Ориентирно-соединительная съемка (через один вертикальный стол) методом примыкания к отвесам соединительным четырехугольником и параллельных (симметричных) шкал

  • Вид работы:
    Реферат
  • Предмет:
    Геология
  • Язык:
    Русский
    ,
    Формат файла:
    MS Word
    1,31 Мб
  • Опубликовано:
    2015-10-25
Вы можете узнать стоимость помощи в написании студенческой работы.
Помощь в написании работы, которую точно примут!

Ориентирно-соединительная съемка (через один вертикальный стол) методом примыкания к отвесам соединительным четырехугольником и параллельных (симметричных) шкал

Федеральное государственное бюджетное образовательное учреждение высшего профессионального образования

Пермский национальный исследовательский политехнический университет

Кафедра маркшейдерского дела, геодезии и геоинформационных систем









Реферат

по дисциплине «Маркшейдерия»

на тему «Ориентирно-соединительная съемка, через один вертикальный стол, методом примыкание к отвесам соединительным четырехугольником и параллельных (симметричных) шкал»

Выполнил ст. гр. МД-11:

Кылосов А.С.

Проверил:

Лысков И.А.



Пермь, 2015

Примыкание к отвесам соединительным четырехугольником

Рассматриваемый способ может быть использован лишь для примыкания к отвесам (по ошибкам примыкания можно посмотреть в «Маркшейдерское дело» Оглоблин Д.Н § 88. Ошибка примыкания к отвесам соединительным четырехугольником) на ориентируемом горизонте. На поверхности координаты и дирекционный угол створа отвесов могут быть определены решением соединительного треугольника. Работа в шахте при примыкании соединительным четырехугольником слагается из трех частей: выбор и закрепление точек примыкания Р1 и Р2 измерение углов при точках Р1 и Р2 измерение расстояний

 

Рис. 1. Примыкание к отвесам соединительным четырехугольником:

а - двухстороннее; б - одностороннее

Выбор расположения точек примыкания. В условиях наиболее распространенных конфигураций околоствольных выработок встречаются два основных случая расположения точек Р1 и Р2 по отношению к створу отвесов АВ: двустороннее (рис. 1, а) и одностороннее (рис. 1, б).

После того как выяснен вопрос, какой вариант примыкания может быть осуществлен в данных условиях, приступают к более точному выбору места заложения точек Р1 и Р2.

Положение точек Р1 и Р2 прежде всего определяется необходимостью взаимной видимости всех четырех вершин соединительного четырехугольника АР2ВР1. Кроме того, одна из точек (Р1 или Р2) должна быть выбрана так, чтобы от нее можно было удобно продолжить теодолитный ход.

Точки Р1 и Р2 должны быть выбраны так, чтобы соединительный четырехугольник имел выгодную форму, обеспечивающую наименьшее влияние ошибок измерений на точность примыкания. Анализ погрешности примыкания к отвесам соединительным четырехугольником рассматривается в специальной части настоящего курса.

Здесь же необходимо указать на следующие общие положения, которыми надлежит руководствоваться при выборе точек Р1 и Р2:

) при двустороннем примыкании соединительный четырехугольник должен быть близок к квадрату с диагоналями АВ и Р1Р2

) при одностороннем примыкании также необходимо придать четырехугольнику форму квадрата с диагоналями АР2 и ВР1;

) удаление точек Р1 и Р2 от отвесов крайне нежелательно в обоих случаях примыкания.

Измерение углов при точках Р1,Р2 должно быть произведено теодолитом, имеющим точность отсчитывания не менее 30", тремя полными повторениями. Должны быть измерены четыре угла α1, β1 и α2, β2 (рис. 1). Кроме того, при одной из точек (Р1 или Р2) следует измерить угол, связывающий линию Р1Р2 с первой стороной подземной теодолитной съемки.

Измерение линейных элементов соединительного четырехугольника, вообще говоря, не требуется, так как четырехугольник АР2ВР1 может быть решен лишь по заданным координатам точек А, В и измеренным углам α1, β1 и α2, β2. Однако измерение расстояния Р1Р2 позволит воспользоваться более простым способом вычисления примыкания. Измерение расстояния между отвесами необходимо для проверки положения отвесов. Учитывая указанные обстоятельства, следует считать обязательным измерение двух линейных элементов соединительного четырехугольника:

а) расстояние между точками примыкания Р1 и Р2;

б) горизонтального расстояния между отвесами А и В.

Указанные расстояния измеряют стальной рулеткой с натяжением ее через динамометр.

Измерение углов и длин сторон должно производиться в соответствии с требованиями:

Средняя ошибка измерения углов при точке P1 и P2 должна быть не более +7", для чего измерение углов должно быть произведено тремя полными повторениями теодолитом, имеющим точность нониуса не менее 30"; при использовании оптических теодолитов измерение углов должно производиться не менее чем тремя приемами. При измерении углов способом повторений разность α1 - β1 - γ1 и α2 - β2 - γ2 не должна превышать +20". Расхождение углов, измеренных различными приемами, не должно быть больше 10". Углы при точке P1 и P2 должны быть уравнены.

Измерение сторон соединительного четырехугольника надлежит производить стальной рулеткой (при постоянном натяжении) не менее 5 раз, с точностью отсчитывания до 1 мм. За окончательный результат принимается среднее арифметическое. Разность между отдельными измерениями одной и той же стороны не должна превышать + 2 мм, а средняя ошибка результата измерения каждой стороны не должна быть больше +0,5 мм.

Решение соединительного четырехугольника может быть выполнено многими способами.

До производства соединительной съемки надлежит определить ошибку дирекционного угла створа отвесов АВ или, что-то же самое, стороны Р1Р2 , (Приложение 1)

Если ошибка дирекционного угла не превысит ±30", то форму соединительного четырехугольника следует считать допустимой.

Решение соединительного четырехугольника может быть выполнено способом условного масштаба и азимута или способом вспомогательных точек. Вычисление рекомендуется производить по формулярам (Приложение 2).

Целесообразнее всего воспользоваться решением способом условного азимута. Характерной особенностью рассматриваемого решения задачи является введение в число исходных данных l - горизонтальной проекции расстояния Р1Р2. Таким образом, даны: координаты отвесов - хА, yA, хB, yB углы при точках Р1 и Р2 - α1, β1, α2, β2; расстояние между точками Р1 и Р2 - l. Требуется определить координаты точек Р1 и Р2, а также дирекционный угол (Р1Р2). Одну из определяемых точек, например, принимают за начало координат, а направление оси абсцисс - совпадающим с направлением Р1Р2 (рис. 1.2).

Рис. 1.2. Решение соединительного четырехугольника способом условного азимута

Таким образом, вводят условный азимут направления Р1Р2. Дальнейший ход решения следующий. Вычисляют координаты отвеса А в условной системе координат. Для этой цели определяют расстояния AР1 и AР2. Из треугольника Р1 AР2 имеет:


Вычисляют условные координаты отвеса А:

Отсюда:


Аналогично предыдущему вычисляют условные координаты отвеса В. Для этого определяют расстояния ВР1 и ВР2 по формулам:


Вычисляют условные координаты отвеса В:

Отсюда:


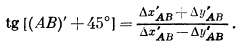
Вычисляют условный азимут створа отвесов (АВ)':


Для контроля определяют тот же азимут по контрольной формуле


Определяют расстояние между отвесами по их условным координатам


Вычисленное расстояние между отвесами сличают с результатами непосредственного измерения в шахте.

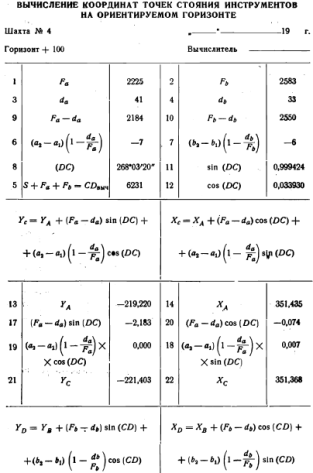
Вычисляют дирекционные углы (АВ) и (Р1Р2) в системе координат, принятой на поверхности. Из рис. 46 находят


Вычисляют координаты точек Р1 и Р2 в системе, принятой на поверхности. Для этого вычисляют дирекционные углы сторон четырехугольника АР2ВР1. Из рис. 45 находят


Вычисляют координаты точек Р1 и Р2 по формулам:


Вычисления примыкания соединительным четырехугольником выполняются в формуляре, образцы которого приведены в справочной литературе.

Допустимое расхождение между вычисленной и непосредственно измеренной длиной стороны Р1 и Р2 не должно быть более 3 мм на поверхности и более 5 мм на горизонте околоствольного двора.

Выбор допускаемой формы соединительного четырехугольника и определение погрешности примыкания

соединительный четырехугольник азимут примыкание

До производства соединительной съемки как на поверхности, так и на ориентируемом горизонте следует выбрать достаточно выгодную форму соединительного четырехугольника АВР1Р2 (рис. 2) и определить погрешность дирекционного угла створа отвесов АВ или, что одно и то же, створа инструментов Р1Р2, т. е. определить погрешность примыкания.

Рис. 2. Номограмма определения погрешности примыкания по способу соединительного четырехугольника при одностороннем расположении (для трапеции)

В основу построения номограмм положены четырехугольники геометрически правильной формы, а именно равнобокая трапеция (рис. 2), параллелограмм (рис. 3) и ромб (рис.4),

с такими изменениями их форм и размеров, которые могут быть практически необходимы.

Из трапеции и параллелограмма путем перемещения точек Р1 и Р2 можно получить прямоугольники различной формы и размеров и в том числе квадрат.

Из ромба таким же путем можно получить симметричные фигуры различных форм и размеров и в том числе квадрат.

Для всех этих фигур через определенные интервалы их размеров по общей формуле (которую не приводим здесь из-за ее сложного вида) в единицах погрешности измерения угла были вычислены погрешности примыкания. Таким образом была по лучена сеть равномерно расположенных точек, по которым и построены изолинии номограмм.

При одностороннем расположении створа инструментов относительно створа отвесов следует пользоваться номограммами рис. 2 и 3; при двусторонних расположениях - номограммой рис. 4.

Перед выбором наиболее выгодной формы четырехугольника, исходя из погрешности примыкания, равной +30", и погрешности измерения углов в четырехугольнике, которую мы принимаем при примыкании, следует найти на номограмме изолинию, внутри которой помещаются допустимые фигуры. Наиболее выгодная из них может быть выбрана исходя из конкретных условий данного околоствольного двора и расположения отвесов.

Выбрав такую фигуру, совмещают ее по линии АВ с соответствующей номограммой и по точкам Р1, Р2, пользуясь

Рис. 3. Номограмма определения. Погрешности примыкания по способу соединительного четырехугольника при одностороннем расположении (для параллелограмма)

. В масштабе 1: 100 или 1: 200 на миллиметровой бумаге изображают околоствольный двор с указанием расположения отвесов.

. Пользуясь этим чертежом, выбирают какое-либо удобное расположение точек стояния инструментов - Р1 и Р2, стремясь создать геометрически правильную форму четырехугольника.

. Выбранный четырехугольник АВР1Р2 изображают на прозрачной бумаге в масштабе номограммы, с которой и совмещают его по линии АВ.

. По положению точек Р1 и Р2 (для номограммы рис. 23 только точки Р1) определяют по изолиниям номограммы погрешность примыкания выбранной формы четырехугольника в единицах погрешности измерения угла.

. Умножив полученную величину на принятую погрешность измерения угла, находят погрешность примыкания.

Если полученное значение погрешности примыкания не превысит +30", то выбранная форма четырехугольника принимается как достаточно выгодная.

Если полученное значение погрешности примыкания превысит +30", то прежде всего следует стремиться повысить точность измерения углов. Если же это невозможно, - необходимо изменить форму четырехугольника. Для этого вновь совмещают соединительный четырехугольник, изображенный на прозрачной бумаге, с номограммой и, учитывая возможность перенесения точек Р1 и Р2 в данном околоствольном дворе, находят новое положение этих точек, соответствующее наименьшей погрешности примыкания в единицах погрешности измерения угла. Умножив эту величину на погрешность измерения угла, получают погрешность примыкания. Если она не превысит +30", то вновь найденная форма четырехугольника принимается. Если же и в этом случае она будет более + 30", то примыкание по способу соединительного четырехугольника в данном случае не может быть принято.

После того как форма соединительного четырехугольника принята на изображении околоствольного двора в масштабе 1 : 100 или 1 : 200 (на миллиметровой бумаге), находят положение точек Р1 и Р2 и при помощи рулеточных замеров переносят эти точки в натуру.

Рис. 4. Номограмма определения погрешности примыкания по способу соединительного четырёхугольника при двухстороннем расположении (для симметричных фигур) изолиниями, определяют погрешность примыкания в единицах погрешности измерения угла (за единицу погрешности измерения угла может быть принята любая величина). Поясним, как практически решается вопрос о достаточно выгодной форме соединительного четырехугольника и о его погрешности примыкания.

Пример. Требуется выбрать допустимую форму соединительного четырехугольника в одностороннем околоствольном дворе.

На миллиметровой бумаге в масштабе 1 : 100 строят чертеж околоствольного двора (рис. 5). На чертеже показывают расположение отвесов А и В. Точки стояния инструментов Р1 и Р2 выбирают так, чтобы создать одну из форм четырехугольника, для которых имеются номограммы.

Останавливаются, например, на точках Р1' и Р2', удобных для установки инструментов, создавая тем самым равнобокую трапецию АВ Р1 и Р2. В масштабе номограммы погрешностей получают положение точки Р2'.

Принимая точку В за начало координат, а направление линии ВА за ось ОY, по чертежу околоствольного двора определяют координаты точки Р2' в метрах:


Из чертежа берут расстояние между отвесами также в метрах:

АВ = с = 2,85 м.

Принимая расстояние АВ, в натуре равное 2,85 м, за расстояние АВ на номограмме погрешностей (рис. 2, 3 или 4), равное, например, 50 мм, выражают координаты  и в единицах измерения длины АВ на номограмме погрешностей из пропорций, а именно:


На прозрачной бумаге откладывают отрезок АВ, равный 50 мм. Сохраняя принятое расположение координатных осей, по координатам  и , на прозрачную бумагу наносят точку Р2'(рис. 6).

Рис. 6. Расположение точек Р2 и Р2' на прозрачной бумаге (в условной системе координат)

Полученное изображение линии АВ на прозрачной бумаге совмещают с линией АВ номограммы погрешностей (рис. 2).

Точка Р2' при этом укажет определяемую по изолиниям погрешность примыкания, если примыкание будет произведено трапецией такой формы.

По номограмме, изображенной на рис. 2, погрешность примыкания будет равна ± 2,5

Примем  равной ± 15", тогда получим погрешность примыкания ± 38".

Полученная величина не удовлетворяет требованиям инструкции. Сопоставляя номограмму погрешностей с чертежом околоствольного двора, нетрудно- убедиться, что для получения более выгодной формы четырехугольника следует створ инструментов Р1' Р2', приблизить к створу отвесов АВ, одновременна сближая инструменты Р / и Р2 до превращения трапеции АВР1'Р2' в прямоугольник АВР1Р2. Останавливаются на точках Р1' и Р2' считая, что по условиям околоствольного двора иное их положение невозможно.

Определяют теперь погрешность примыкания этого прямоугольника.

По чертежу околоствольного двора определяют координаты точки Р2:


Выражают эти координаты в единицах измерения длины АВ по номограмме погрешностей, исходя из пропорции:


Точно так же наносят точку на прозрачную бумагу (рис. 6) и совмещают с той же номограммой.

Точка P2' при этом укажет погрешность примыкания, равную в данном случае ±1,48 Учитывая принятую величину = ±15", получают:


Полученная погрешность примыкания ±22" удовлетворяет требованиям, следовательно, выбранная форма соединительного четырехугольника принимается.










Симметричный способ примыкания

Схема примыкания симметричным способом приведена на рис. 7.

Рис. 7. Схема примыкания симметричным способом

Установка теодолитов в точках С и D производится возможно ближе и под возможно меньшим углом со относительно створа отвесов. Расстояние от инструментов до шкал должно быть не более 5-6 м.

Шкалы Sа и Sb располагаются перпендикулярно к створу инструментов, установленных в точках С и D, на расстояниях a2 и b2, которые должны быть не более 80-100 мм.

Шкальные отсчеты a1 и b1, определяются при помощи инструментов дважды при двух положениях трубы. Отсчеты берутся с точностью до десятых долей миллиметра. За окончательные отсчеты a2 и b2 принимается среднее арифметическое из отсчетов, полученных при двух положениях трубы.

Шкальные отсчеты a1 и b1, соответствующие положениям покоя отвесов А и B, определяются из наблюдений колебаний отвесов на горизонте околоствольного двора, согласно требованиям:

Фиксирование на шкалах крайних положений отвесов, надлежит производить только по внешним или только по внутренним краям проволоки.

Число шкальных отсчетов, соответствующих крайним (левым или правым) положениям отвесов, должно быть порядка одиннадцати-тринадцати.

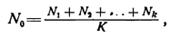
Шкальный отсчет, соответствующий среднему положению отвеса, надлежит определять по формуле


После вычисления шкальных отсчетов, соответствующих среднему положению отвеса по фронтальной и продольной шкалам, следует или закрепить проволоки отвесов против этих отсчетов, или заменить их плашками с остриями, устанавливаемыми посредством винтов против соответствующих шкальных отсчетов.

Расстояния da, db измеряются линейкой с миллиметровыми делениями, а расстояние с - стальной рулеткой не менее 3 раз с точностью отсчитывания ±1 мм. Расстояния Fa и F1 достаточно измерить посредством рулетки с точностью ±1 см.

Измерение угла γ должно производиться в соответствии с требованиями.

Средняя ошибка измерения углов при точке С должна быть не более +7", для чего измерение углов должно быть произведено тремя полными повторениями теодолитом, имеющим точность нониуса не менее 30"; при использовании оптических теодолитов измерение углов должно производиться не менее чем тремя приемами. При измерении углов способом повторений разность ε - δ - γ не должна превышать +20". Расхождение углов, измеренных различными приемами, не должно быть больше 10". Углы при точке P1 и P2 должны быть уравнены.

Для контроля должен быть измерен угол, дополняющий угол γ до 360°. Невязка суммы углов не должна превышать ±20".

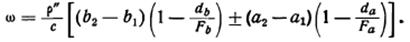
Значение примычного угла δ следует определять по формуле:


Здесь γ - непосредственно измеренный угол ECD между направлением стороны СЕ и створом инструментов CD;

ω - угол между створом отвесов и створом инструментов.

Угол ω вычисляется по формуле


Примечание. Знак плюс между первым и вторым членами формулы принимается, когда отвесы А и В находятся по разные стороны от створа инструментов; знак минус принимается в том случае, если оба отвеса А и В находятся по одну сторону от створа инструментов. Для контроля знак угла со следует определять по чертежу.

Работы по производству примыкания симметричным способом должны проводиться в определенном порядке.

Порядок проведения работ по примыканию симметричным способом

. Сооружают перекрытие и полок и спускают отвесы.

. Приблизительно в створе отвесов устанавливают два теодолита по обе стороны околоствольного двора.

. Между кернами теодолитов натягивают шнур.

. Перпендикулярно створу инструментов устанавливают шкалы при помощи прямоугольного треугольника и шнура. Рас стояние от шкал до отвесов должно быть таким, чтобы, не меняя фокусировки теодолита, можно было отчетливо видеть деления шкалы и проволоку отвеса.

5. Измеряют угол γ (, рис. 8), т. е. угол между направлением стороны полигона СЕ и направлением створа инструментов CD. В целях исключения влияния погрешности центрирования теодолитов визирование необходимо производить на их керны.

Рис. 8. Схема примыкания симметричным способом:

А и В - отвесы; С и D - точки стояния инструментов;и Sfr - шкалы (стрелками указано направление возрастания чисел на делениях шкалы)

. При двух положениях вертикального круга берут по шкалам отсчеты a2 и b2, соответствующие створу инструментов.

. Из серии отсчетов при наблюдениях за колебаниями отвесов вычисляют шкальные отсчеты a1 и b1соответствующие положению покоя отвесов.

. Направляют колебания отвесов перпендикулярно шкалам и измеряют линейкой расстояния da и db.

. Измеряют расстояния Fa, Fb и с.

На этом работы по примыканию заканчиваются.

Вычисление ориентировки рекомендуется производить по формулярам:






Список литературы

1. Филатов С.А. (отв. ред.) Техническая инструкция по производству маркшейдерских работ

2. Оглоблин Д.Н., Бастан П.П., Герасименко Г.И. и др. Маркшейдерское дело

Похожие работы на - Ориентирно-соединительная съемка (через один вертикальный стол) методом примыкания к отвесам соединительным четырехугольником и параллельных (симметричных) шкал

 

Не нашли материал для своей работы?
Поможем написать уникальную работу
Без плагиата!
Без нейросетей!