Определение структурных параметров глинистых минералов
ВВЕДЕНИЕ
Глинистые минералы - это группа
водных силикатов, слагающих основную массу глинистых отложений и большей части
почв и определяющих их физико-химические и механические свойства. Они являются
продуктом выветривания преимущественно алюмосиликатов и силикатов магматических
и метаморфических горных пород на дневной поверхности. В процессе выветривания
глинистые минералы испытывают стадийные преобразования структуры и химического
состава в зависимости от изменения физико-химических условий среды, выветривания
и седиментации. По кристаллической структуре относятся к слоистым силикатам.
Несмотря на большой объем проводимых
исследований, многие вопросы строения, свойств, номенклатуры и классификации
глинистых минералов продолжают оставаться предметом дискуссии. Это осложняется
еще тем, что до сих пор отсутствует общепринятое определение понятия «глинистый
минерал», хотя различные варианты его специально обсуждались на ряде
международных конференций по глинам, в частности в Брюсселе (1958 г.) и
Копенгагене (1960 г.)[5].
1. КЛАССИФИКАЦИЯ И СТРУКТУРА ГЛИНИСТЫХ МИНЕРАЛОВ
Глинистые минералы наиболее трудны для изучения,
что определяется их большой дисперсностью, нередко слабой
окристаллизованностью, сходством оптических и кристаллографических признаков,
их изменчивым химическим составом, смешанным, часто гетерогенным и
неравновесным минеральным составом, отражающим господствующие процессы
переотложения и медленность процессов трансформации минералов. Поэтому в
отношении глин разработано наибольшее число методов диагностики минералов,
использующих новейшие достижения физики, химии и приборостроительной
промышленности, что способствовало повышению качества лабораторных
исследований, улучшению диагностики минералов, изучению их кристаллохимических
особенностей и объяснению свойств[6].
В настоящее время наиболее эффективными методами
изучения структур глинистых минералов являются: 1) электронно-микроскопический;
2) рентгенодифрактометрический и другие методы рентгеноструктурного анализа; 3)
электронографический; 4) термический анализ[6].
Особенно большую популярность приобрел
термический анализ высокодисперсных фракций, что объясняется относительной его
простотой, наглядностью получаемых результатов, большой скоростью и
объективностью. Также всеобщее признание и распространение получил
электронно-микроскопический метод - с его помощью улучшилась диагностика
глинистых минералов. Кроме этого, удалось определить истинный размер и форму
коллоидных частиц, взаимное сцепление тонких частиц, их толщину и другие детали
строения. С помощью современных электронных микроскопов возможно получить
увеличение более чем в сто тысяч раз, что позволяет раздельно видеть молекулы
ряда веществ и кристаллы, состоящие из одной-двух элементарных ячеек[5].
Уже довольно долгое время на вооружении ученых
стоит электронографический метод (Звягин, 1952-1960; Вайнштейн, 1956; Шишаков,
1961; Пинскер, 1949), с помощью которого удалось расшифровать структуру ряда
глинистых минералов, определить параметры кристаллических ячеек, обнаружить
широкое распространение в почве и глинах смешаннослоистых образований и
минералов-сростков (Франк-Каменецкий, 1959-1961; Звягин, 1956-1961). Например,
установлено, что бейделлит, принимаемый раньше за индивидуальный минерал, на
самом деле состоит и слоев монтмориллонита и каолинита или монтмориллонита и
гидрослюды[5].
1.1 Способы определения
структуры глинистых минералов
.1.1 Подготовка
образцов к анализу
Выбор правильной методики подготовки образцов
глинистых пород к анализу морфометрических и геометрических признаков их
микроструктуры - один из самых ответственных моментов, во многом определяющий
успех проведения количественного анализа и достоверность получаемых
результатов. Поэтому перед проведением анализа исследователь должен знать
характеристику образцов и, в зависимости от типа и состояния грунта,
использовать ту или иную методику препарирования. Особое внимание следует
обращать на сушку образцов и получение исследуемой поверхности. Именно от этих
операций зависит получение препарата с ненарушенным строением и высокое
качество РЭМ-изображений, удовлетворяющих формальным требованиям анализа[4].
1.1.2
Рентгенографический метод
Рентгенографическим методом, основанным на
использовании данных о кристаллической структуре вещества, изучаются коллоидные
и илистые фракции почв. С помощью этого метода решается несколько задач, но
одна из важнейших состоит в определении минералогического состава. В практике
рентгеноструктурного анализа минералов обычно используются лучи, имеющие длину
порядка 0,5-2Å[5].
Для фазового и структурного исследования
используется явление дифракции рентгеновских лучей от кристаллических решеток.
Отраженные лучи вступают во взаимодействие между собой согласно определенным
законам, установленным В. X. и В. Л. Брэггами и Г. Ф. Вульфом (1913)[5].
Для того чтобы понять сущность метода
рентгеноструктурного анализа, основанного на использовании дифракции,
необходимо напомнить строение кристаллических веществ, к которым относятся
глинистые и другие минералы, встречающиеся в почвах [5].
В кристаллическом веществе атомы, ионы и
молекулы располагаются упорядоченно, образуя структуру. Материальные точки
располагаются определенным образом, характерным для каждой структуры, и
образуют пространственную решетку. Решетка имеет три измерения и ее можно
представить в форме примыкающих друг к другу параллелепипедов, каждый из
которых можно назвать элементарной ячейкой решетки. В такой решетке можно
выделить узловые прямые и узловые плоскости, плоскости решетки имеют условные
обозначения - индексы[5].
Если обозначить ребра параллелепипеда (оси
решетки) через а, b и с, то ось
a располагается на
наблюдателя, ось b
горизонтально направлена вправо, ось с направлена вверх. Индексы узловых
плоскостей обратно пропорциональны отрезкам, отсекаемым этими плоскостями на
осях решетки. Например, плоскость, параллельная осям а и b,
обозначается индексом (001); плоскость, параллельная осям b
и с и пересекающая ось а, имеет индекс (100); плоскость, параллельная оси с,
имеет индекс (110); плоскость, параллельная диагональной плоскости ячейки, имеет
индекс (111) и т.д.[5].
Узловые плоскости находятся друг от друга на
определенном расстоянии d,
свойственном каждой системе плоскостей данной решетки.
Дифракцию рентгеновских лучей можно себе
представить как результат их отражения от узловых плоскостей hkl
решетки, причем направления лучей должны удовлетворять условию
Вульфа-Брегга[5].
Метод дифракции применительно к порошкообразным
объектам разработал Дебай-Шерер. В порошковых образцах всегда имеются
кристаллы, удовлетворяющие по своей ориентации условию Вульфа-Брегга.
Отраженные лучи действуют на фотопленку, на которой образуются симметрично
расположенные линии, дуги или кольца[5].
Для рентгенографического анализа применяются
аппараты различной конструкции. Из всех существующих аппаратов необходимо обратить
внимание на два - УРС-55А и УРС-70. Наиболее удобным является тип УРС-55А. Он
занимает мало места, удобен в использовании и управлении. На УРС-55Л
одновременно можно проводить рентгенографирование двух образцов, на УРС-70 -
четырех[5].
1.1.3 Электронно-микроскопический
метод
Современный световой микроскоп позволяет
рассматривать предметы, имеющие размеры менее одного микрона. Рассмотрение
более мелких деталей ограничивается разрешающей способностью микроскопа.
Расстояние, при котором детали предмета видны раздельно, определяется формулой:
,
где d
- расстояние между предметами; λ
- длина волны света; U
-апертура; п - коэффициент преломления света в данной среде. Приведенная
формула позволяет рассчитать значение d,
т.е. разрешающее расстояние между предметами. На первый взгляд, кажется, что
применение дополнительных линз в микроскопе может увеличить его разрешающую
способность. Однако на пути такого усовершенствования стоят препятствия, в
числе которых, прежде всего, следует отметить погрешность оптической системы,
ее аберрацию[5].
Благодаря большой разрешающей способности в
электронном микроскопе можно наблюдать предметы, имеющие размер 0-60 Å.
Быстродвижущиеся электроны после прохождения через объект попадают на светящийся
виллемитовый экран, на котором можно наблюдать изображение предмета[5].
Рассмотрим задачи, которые можно решить с
помощью электронного микроскопа при исследовании почвенных коллоидов. Прежде
всего, следует указать, что электронный микроскоп дает возможность определить
размер коллоидных частиц, что нельзя сделать с помощью светового микроскопа и
ультрамикроскопа. Так как разрешающее расстояние электронного микроскопа
достигает 20-60 Å, то в
некоторых случаях можно определить даже размер молекул. Например, молекулы
эдестина имеют размер 80 Å, поэтому
они доступны непосредственному наблюдению. Для изучения почвенных коллоидов
целесообразно применять увеличение в 5000- 10 000 раз. При большем увеличении в
поле зрения можно обнаружить лишь несколько частиц, что не всегда выгодно.
Приведенные на рис. 1 снимки были получены при увеличении в 5-6 тысяч раз при
последующем фотографическом увеличении в три-четыре раза.
Вторая решаемая с помощью электронного
микроскопа задача, тесно связанная с только что указанной, состоит в
определении формы коллоидов. Кристаллы ряда минералов можно отличить один от
другого по форме. Например, нетрудно каолинит отличить от галлуазита, тогда как
рентгенографическим и термическим методами определить эти минералы в смесях
очень трудно, а иногда невозможно. В связи с разной формой высокодисперсных
минералов следует напомнить о формуле, положенной в основу расчета скорости
оседания частиц в воде в зависимости от размера при допущении их шарообразной
формы. В действительности же глинистые минералы имеют пластинчатое строение и
различную форму, что электронный микроскоп убедительно доказывает[5].
Неоценимую пользу оказывает электронный
микроскоп при выяснении скорости и механизма выветривания первичных минералов.
Также он позволяет выяснить природу связи минеральных коллоидов между собой.
Для изучения глинистых высокодисперсных минералов почв следует применять
электронный микроскоп в сочетании с другими методами[5].
1.1.4
Электронографический метод
Электронографический метод был использован для
исследования тонкодисперсных минералов В.И. Вернадским и получил развитие
благодаря работам 3.Г. Пинскера (1949), позднее Б.Б. Звягина (1952-1961). Для
развития и становления метода большое значение имели работы Б.К. Вайнштейна
(1956) [5].
Электронографический метод основан на дифракции
электронов от кристаллического вещества и в этом отношении имеет сходство с
рентгеноструктурным. Однако природа взаимодействия электронов и рентгеновских
лучей при дифракции различна, поэтому электронография имеет свои особенности в
отношении решаемых задач, экспериментальной методики и т.д. Как правило, длина
волны электронного излучения меньше, чем рентгеновских лучей, поэтому в
электронографе можно изучать наиболее высокодисперсные частицы почв. Препаратом
служат коллоидные частицы, которые наносятся на пленку-подложку и помещаются в
электронограф при вакууме порядка 10-4 мм. В этих условиях из препарата
удаляется не только гигроскопическая, но межслоевая вода. Длина волны потока
электронов определяется по формуле:
,
где v
- напряжение в вольтах[5].
Дифракционная картина в электронографе
наблюдается на светящемся экране и фиксируется на фотопластинку. При
напряжении, равном 50 kv,
λ
~ 0,05 kX, т.е.
значительно меньше, чем у рентгеновских лучей. Это, в частности, значительно
упрощает «рентгеновскую» формулу Вульфа - Брэгга, которая в электронографии
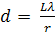
имеет вид
,
где L
- расстояние от препарата до экрана, r
- радиус рефлекса в электронограмме.
Электронографический метод решает ряд
самостоятельных задач, но вместе с тем плодотворно дополняет
рентгенографический и электронно-микроскопический методы[5].
1.2 Классификация и
структурные особенности глинистых минералов
.2.1 Общие сведения
С помощью рентгенографического и
электронографического методов в сочетании с физико-химическими были установлены
структуры и свойства многих глинистых минералов. Глинистые минералы состоят
главным образом из Si,
Al, O,
ОН, а иногда Fe, Mg,
K, Mn
и других элементов. Они имеют своеобразную структуру: эти минералы в
подавляющем большинстве относятся к слоистым силикатам[5].
Атомная структура обычных глинистых минералов
достаточно детально изучена многочисленными исследователями, работы которых
основываются на обобщениях Л. Полинга[2].
Атомная структура большинства глинистых
минералов сложена двумя единицами. Одна структурная единица состоит из двух
слоев плотноупакованных кислородов или гидроксилов, в которых атомы алюминия,
железа или магния расположены в октаэдрической координации таким образом, что
каждый из них находится на равном расстоянии от шести кислородов или
гидроксилов (рис. 2). В случае заполнения октаэдрических позиций алюминием,
чтобы сбалансировать структуру, представляющую собой структуру гиббсита Al₂(ОН)₆,
заполнены должны быть только две трети возможных позиций. В случае магния,
чтобы сбалансировать структуру, представляющую собой структуру брусита Mg₃(OH)₆,
необходимо заполнение всех возможных позиций. Нормальное расстояние между
атомами кислорода составляет 2,60 Å,
а между гидроксилами обычно около 3 Å.
Однако в этой структурной единице расстояние между гидроксилами равно 2,94 Å,
а пространство, доступное для атома в октаэдрической координации, составляет
около 0,61 Å. Толщина этой
структурной единицы в структурах глинистых минералов равна 5,05 Å[2].
Рис. 1. Схематическое изображение отдельного
октаэдра (а) и октаэдрической сетки структуры (б) [2].
Рис. 2. Схематическое изображение отдельного
кремнекислородного тетраэдра (а) и сетки кремне-кислородных тетраэдров (б)[2].
Вторая структурная единица образована
кремне-кислородными тетраэдрами. В каждом тетраэдре атом кремния одинаково
удален от четырех кислородов или гидроксилов, расположенных в форме тетраэдра с
атомом кремния в центре, чтобы сбалансировать структуру (рис. 3).
Кремнекислородные тетраэдры сгруппированы таким образом, что создают
гексагональную сетку, которая бесконечно повторяется и образует лист состава Si₄О₆(OH)₂.
Тетраэдры расположены так, что все их вершины обращены в одну сторону, а
основания лежат в одной и той же плоскости[2].
Сложный характер структур глинистых минералов
определяется простыми гео-метрическими соотношениями между гексагональной
кремне-кислородной сеткой и слоем гидроксилов или слоем молекул воды.
Кремнекислородная сетка является достаточно жесткой и определяет пластинчатый
характер и размеры параметров а и b
всех подобных минералов. Вершины тетраэдров этой сетки составляют часть
гидроксильного слоя между отдельными кремнекислородными сетками. Основания
тетраэдров также могут примыкать к слою гидроксилов или молекул воды. Благодаря
этому возникает бесчисленное множество различных путей соединения слоев друг с
другом. Вышеописанные структуры отвечают определенным типам упаковки слоев,
характеризующимся, по крайней мере, некоторыми элементами упорядоченности.
Перестановка атомов в таких структурах осуществляется без особых
затруднений[2].
Глинистые минералы отличаются один от другого
числом слоев (сеток), порядком их чередования, характером изоморфных замещений.
С помощью рентгенографического метода обычно определяются межплоскостные
расстояния по оси С, которые являются диагностическими признаками минералов.
Например, в каолините это расстояние равно 7,2 kХ;
в монтмориллоните, при максимальном содержании межслоевой воды или при
искусственном насыщении глицерином - 17 kХ
и более; в мусковите и гидрослюде - 10 kХ[2].
монтмориллонит глинистый каолинит микроскопический
Рис. 3. Типы октаэдрических сеток: ди- (б) и
три-октаэдрическая (а), по Л. Полингу
В зависимости от заселения катионами мест в
октаэдрах различают диоктаэдрические и триоктаэдрические минералы. Если в
октаэдрах заселены катионами лишь 2/3 возможных замещении, то минералы
называются диоктаэдрическими (рис. 1, б). Катионом в данном случае является
алюминий. К таким минералам относятся монтмориллонит, бейделлит, нонтронит,
галлуазит, иллит. При заселении катионами всех позиций, например, при замещении
алюминия магнием, минералы называются триоктаэдрическими (рис. 4, а). К
триоктаэдрическим минералам относятся биотит, гидробиотит, вермикулит,
хлорит[2].
В последнее время установлены смешанно-слоистые
минералы, в которых имеется чередование октаэдрических и тетраэдрических слоев
разных минералов. Например, встречаются сочетания монтмориллонита с
гидрослюдой, каолинита с мусковитом, хлорита с вермикулитом и др. [6].
1.2.2 Структура
глинистых минералов на примере отдельных представителей - монтмориллонита
(смектита) и каолинита
1.2.2.1 Структура
минералов монтмориллонитовой группы
Общая химическая формула монтмориллонитовых
минералов:
(1/2 Са, Na)0,7(Al,
Mg, Fe)4
x (Si,
Аl)8О20(ОН)4 nH2O
Структура, впервые предложенная для монтмориллонита,
основывалась на структуре пирофиллита. Пирофиллит состоит из слоев, каждый из
которых содержит расположенные в одной и той же плоскости ионы Al,
заключенные между двумя слоями связанных между собой тетраэдров SiO4,
вершины которых обращены внутрь слоя. Центральную часть этой структуры можно
рассматривать как слой гиббсита, Al₂(ОН)6,
в котором два из каждых трех ионов (ОН) замещены атомами кислорода в вершинах
псевдогексагональной сетки Si4O10.
В самом пирофиллите какие-либо замещения ионов Si
и Al отсутствуют,
сложные слои его структуры электронейтральны и между ними нет никаких катионов.
В монтмориллонитах равенство зарядов нарушено благодаря замещениям в
октаэдрических и тетраэдрических позициях, что компенсируется присутствием
небольшого количества межслоевых катионов, обычно Na
или Са. В таблице 1 приведены параметры b
(b
а
)
типичных монтмориллонитов[14].
Эти параметры в зависимости от различных
замещений несколько варьируют, и Мак-Юан (MacEwan,
1951) предложил экспериментальное уравнение, связывающее параметр b
с различными замещениями. Однако он отметил, что это уравнение лучше подходит к
составам монтмориллонитов в пределах ряда бейделлита - нонтронита, чем в
пределах ряда монтмориллонита - бейделлита. Наибольшее влияние на размеры
параметров оказывают замещения Al
на Fe или Mg
в положениях Y и суммарное число
ионов Y, так что
увеличение параметров, естественно, происходит в направлении монтмориллонит -
нонтронит - сапонит.
Изучение монтмориллонита электронографическим
методом позволило установить следующие параметры: а 5,17 ± 0,02, b
8,94 ± 0,02, с 9,95 ± 0,06 Å,
β 99°54'± 30'
пространственная группа С 2/т (Звягин, Пинскер, 1949) [14].
У пирофиллита базальное межплоскостное
расстояние d001 равно 8,9Å,
а у слюд и иллитов около 10Å.
У монтмориллонитов базальное межплоскостное расстояние изменяется в очень
широких пределах и минимальное значение для полностью сжатой структуры равно
около 9,6Å. По мнению
некоторых исследователей[14], вода входит в структуру в виде целого числа
заполненных слоев молекул воды, расположенных определенным образом по отношению
к ближайшим тетраэдрическим сеткам. Число слоев молекул воды, входящих в
решетку, определяется до некоторой степени природой межслоевого катиона.
Кальциевые монтмориллониты, как правило, имеют два слоя молекул воды и
межплоскостное расстояние d001
15,5Å,
а натровая разновидность монтмориллонита может иметь один (d001
12,5Å),
два (15,5Å) , три (19Å)
или больше слоев водных молекул. Так как в некоторых образцах могут
беспорядочно чередоваться зоны слоев с различным содержанием воды, то и
эффективное межплоскостное расстояние монтмориллонитов может непрерывно
принимать значения в пределах от 10 до 21Å
(Hofmann, Bilke,
1936) и изменяться в зависимости от природы межслоевого катиона и
влажности[14].
Монтмориллониты настолько плохо
окристаллизованы, что их невозможно изучать методом дифракции рентгеновских
лучей от монокристаллов, а одни порошковые рентгенограммы не могут дать
достаточно детальных структурных характеристик. Порошковые рентгенограммы дают
только базальные рефлексы и полосы двумерного рассеивания, указывающие на
отсутствие упорядоченного наложения слоев, что, следовательно, исключает
возможность определения трехмерной элементарной ячейки. Однако вермикулит, во
многих отношениях близкий к монтмориллониту, встречается в виде достаточно
крупных кристаллов, допускающих структурные определения. Таким образом, детали
структуры вермикулита можно распространить на некоторые или даже на все
монтмориллонитовые минералы. Для определения диоктаэдрического или
триоктаэдрического характера монтмориллонитов, так же как и других слоистых
силикатов, можно использовать положение рефлекса 060. Порошковые рентгенограммы
дегидратированного монтмориллонита и сапонита близки к порошковым
рентгенограммам соответственно пирофиллита и талька[14].
Таблица 1. Параметры b
элементарных ячеек монтмориллонитов, пирофиллита и талька
|
Минерал
|
b(Å)
|
Ссылка
|
|
Пирофиллит
|
8,88
|
|
Монтмориллонит
|
8,94-9,00
|
Nagelschmidt, 1938; Earley
et al., 1953
|
|
Бейделлит
|
-9,00
|
Nagelschmidt, 1938
|
|
Нонтронит
|
9,10-9,12
|
Nagelschmidt, 1938
|
|
Тальк
|
9,13
|
Hendricks, 1938
|
|
Сапонит
|
-9,2
|
Mackenzie, 1957
|
|
Гекторит
|
9,16
|
Nagelschmidt, 1938
|
Межслоевые катионы монтмориллонитов в
большинстве случаев являются обменными, но иногда отмечается, что емкость
катионного обмена превышает ожидаемую величину, рассчитанную на основании
недостатка положительных зарядов в пределах сложных слоев. Некоторое увеличение
емкости катионного обмена может быть связано с наличием ненасыщенных
валентностей на краях чешуек, как это имеет место у каолинита. Кроме того, для
объяснения этого явления предложено еще две гипотезы. Первая из них
предполагает существенное отличие структуры монтмориллонита от структуры
пирофиллитового типа (рис. 5). В этой структуре часть тетраэдров SiO4
обращена по отношению к соседним тетраэдрам в противоположную сторону[14].
Атомы кислорода вершин таких тетраэдров,
удаленные от центральных ионов Y,
замещены ионами (ОН)־, âîäîðîä
êîòîðûõ ìîæåò
çàìåùàòüñÿ äðóãèìè
êàòèîíàìè. Äðóãàÿ,
íå ñòîëü ñóùåñòâåííî
îòëè÷àþùàÿ îò
îáùåïðèíÿòîé
ìîäåëü ñòðóêòóðû
ìîíòìîðèëëîíèòà
äîïóñêàåò âîçìîæíîñòü
çàìåùåíèÿ íåêîòîðîãî
êîëè÷åñòâà èîíîâ
êèñëîðîäà îñíîâàíèé
òåòðàýäðîâ SiO4
èîíàìè (ÎÍ). Òàêîå
çàìåùåíèå êîìïåíñèðóåòñÿ
íåäîñòàòêîì
èîíîâ êðåìíèÿ.
Ïëîõàÿ îêðèñòàëëèçîâàííîñòü
ìîíòìîðèëëîíèòîâ,
íåâîçìîæíîñòü
îáåñïå÷èòü ÷èñòîòó
è ãîìîãåííîñòü
îáðàçöà íå ïîçâîëÿþò
ñäåëàòü âûáîð
íàèáîëåå âåðîÿòíîé
ìîäåëè ñòðóêòóðû[14].
Ðèñ. 4. Âàðèàíò
ìîäåëè ñòðóêòóðû
ìîíòìî-ðèëëîíèòà,
ïðîòèâîïîñòàâëÿåìûé
ñòðóêòóðå ïèðîôèëëèòà,
ïðåäëîæåííûé
Ýäåëüìàíîì è
Ôàâåéå (Edelman, Favejee, 1940)
Ðåíòãåíîñòðóêòóðíûå
äàííûå ëó÷øå
ñîîòâåò-ñòâóþò
ïèðîôèëëèòîâîìó
òèïó ñòðóêòóðû,
à íå ñòðóêòóðå,
ïðåäëîæåííîé
Ýäåëüìàíîì è
Ôàâåéå. Ðîóëåíä
ñ ñîàâòîðàìè
(Rowland et
al., 1956) ïîêàçàëè,
÷òî êàëüöèåâûå,
ìàãíèåâûå, ìàðãàíöåâûå,
ëèòèåâûå è âîäîðîäíûå
ìîíòìîðèëëîíèòû
ïðè íàãðåâàíèè
ïðîõîäÿò ÷åðåç
äâå ñòàáèëüíûå
ãèäðàòíûå ôàçû
ñ áàçàëüíûìè
ìåæïëîñêîñòíûìè
ðàññòî-ÿíèÿìè
14,5 è 11,5Å. Îäíàêî
íàòðîâûå è êàëèåâûå
ìîíòìîðèë-ëîíèòû
õàðàêòåðèçóþòñÿ
ïðàâèëüíîé êîíôèãóðàöèåé
îäèíàðíîãî ñëîÿ
âîäíûõ ìîëåêóë
ñ ìåæïëîñêîñòíûì
ðàññòîÿíèåì
12,4Å
è çàìåòíî îòëè÷àþòñÿ
îò 11,5 Å-ãèäðàòíîé
ôîðìû ïðè áîëåå
ìåëêèõ êàòèîíàõ.
Áëèçêèå, õîòÿ
è íå èäåíòè÷íûå,
ðåçóëüòàòû áûëè
ïîëó÷åíû Ìèäãëè
è Ãðîññîì (Midgley,
Gross, 1956), êîòîðûå
â ïðîöåññå äåãèäðàòàöèè
ìîíòìîðèëëîíèòîâ
îáíàðóæèëè ïðîìåæóòî÷íûå
ñòðóêòóðíûå
ñòàäèè è îòìåòèëè
ðàçëè÷íîå ïîâåäåíèå
ìèíåðàëîâ â çàâèñèìîñòè
îò ïðèðîäû îáìåííîãî
èîíà[14].
Ìíîãèå îáðàçöû
ãëèí (íàïðèìåð,
áåíòîíèòû) ïðåäñòàâëÿþò
ñîáîé ñìåñè íåñêîëüêèõ
ãëèíèñòûõ ìèíåðàëîâ,
êîòîðûå ìîãóò
áûòü óïîðÿäî÷åííî
èëè áåñïîðÿäî÷íî
ïåðåñëîåíû. Ðåíòãåíîâñêèì
ïîðîøêîâûì ìåòîäîì
ìîãóò ðàçëè÷àòüñÿ
îáà òèïà ïåðåñëàèâàíèÿ
â òàêèõ ñìåøàííîñëîéíûõ
îáðàçîâàíèÿõ[14].
Íà ðèñ. 6 ïîêàçàíà
çàâèñèìîñòü
ïîêàçàòåëåé
ïðåëîìëåíèÿ ìîíòìîðèëëîíèòà
îò ñîäåðæàíèÿ
Fe2O3.
Ðèñ. 5 Çàâèñèìîñòü
ïîêàçàòåëåé
ïðåëîìëåíèÿ ìîíòìîðèëëîíèòà
îò ñîäåðæàíèÿ
Fe2O3 [14].
1.2.2.2 Ñòðóêòóðà
ìèíåðàëîâ êàîëèíèòîâîé
ãðóïïû
Õèìè÷åñêàÿ
ôîðìóëà êàîëèíèòà:
4[Si4O10](OH)
Ãëàâíûå
îñîáåííîñòè
ñòðóêòóðû ìèíåðàëîâ
ãðóïïû êàîëèíèòà
áûëè âïåðâûå îïèñàíû
Ïàóëèíãîì (Pauling,
1930). Îñíîâîé ñòðóêòóðû
ÿâëÿåòñÿ ïðîòÿæåííûé
ñëîé, â êîòîðîì
ìîæíî âûäåëèòü
äâå ñîñòàâëÿþùèå.
Ñëîé ñîñòàâà
(Si4O10)־4 îáðàçóåòñÿ
òåòðàýäðàìè
SiO4, ñîåäèíåííûìè
â ãåêñàãîíàëüíóþ
ñåòêó; îñíîâàíèÿ
òåòðàýäðîâ ðàñïîëàãàþòñÿ
ïðèìåðíî êîìïëàíàðíî,
à âñå èõ âåðøèíû
îáðàùåíû â îäíó
ñòîðîíó. Àòîìû
êèñëîðîäà, ðàñïîëîæåííûå
â âåðøèíàõ òåòðàýäðîâ,
ñîâìåñòíî ñ íåêîòîðûìè
äîïîëíèòåëüíûìè
èîíàìè (ÎÍ)־ ðàñïîëàãàþùèìèñÿ
íàä öåíòðàìè
øåñòèãðàííèêîâ,
îáðàçóþò îñíîâàíèå
«ãèááñèòîâîãî»
ñëîÿ ñîñòàâà
(ÎÍ)6-Al4-(ÎÍ)2O4.
Ïëàí è âèä ñáîêó
ýòîãî ñëîæíîãî
ñëîÿ ñîñòàâà
Al₄Si₄O₁0(OH)8
ïîêàçàíû íà ðèñ.
7à, á.
Ðèñ. 7à. Ïðîåêöèÿ
èäåàëèçè-ðîâàííîãî
êàîëèíèòîâîãî
ñëîÿ íà ïëîñêîñòü
(001) (Brindley, Robinson, 1946)
Âûñîòà ðàñïîëîæåíèÿ
àòîìîâ íàä ïëîñêîñòüþ
(001): 1 - àòîìû êèñëîðîäà
íà âûñîòå 0; 2-àòîìû
êèñëîðîäà íà
âûñîòå 2,19Å;
3 - èîíû (ÎÍ) íà âûñîòå
4,31 Å;
4 - èîíû (ÎÍ) íà âûñîòå
2,19 Å;
5 - àòîìû Al íà âûñîòå
3,25 Å;
6 - àòîìû Si íà âûñîòå
0,60 Å
Ðèñ. 7á. Ñòðóêòóðà
êàîëèíèòà, íàáëþäàåìàÿ
âäîëü îñåé ó è
x` ïîêàçàíà óïàêîâêà
ïîñëåäîâàòåëüíûõ
ñëîåâ â íàïðàâëåíèÿõ
õ è ó ñîîòâåòñòâåííî
(Brindley, 1951). 1 - àòîìû êðåìíèÿ;
2 - àòîìû àëþìèíèÿ;
3 - àòîìû êèñëîðîäà;
4 - èîíû ãèäðîêñèëà
Òîëüêî äâà
ïîëîæåíèÿ èç
êàæäûõ òðåõ äîñòóïíûõ
ïîëîæåíèé çàíèìàþòñÿ
èîíàìè Al,
òàê ÷òî äàæå ñëîé
ñ èäåàëüíî âûäåðæàííûìè
ðàçìåðàìè íå
ìîæåò èìåòü îñåé
ñèììåòðèè òðåòüåãî
ïîðÿäêà. Ïîëíîå
îïðåäåëåíèå ñòðóêòóðû
äîëæíî âêëþ÷àòü
îïèñàíèå ñïîñîáà
óïàêîâêè ïîñëåäîâàòåëüíûõ
ñëîåâ, è ïîïûòêè
â ýòîì íàïðàâëåíèè
áûëè ïðåäïðèíÿòû
Ãðþíåðîì (Gruner,
1932) è Õåíäðèêñîì
(Hendricks, 1936) [14].
Ïî äàííûì
ïîðîøêîâûõ ðåíòãåíîãðàìì,
Ãðþíåð âûâåë äëÿ
êàîëèíèòà äâóñëîéíóþ
ìîíîêëèííóþ
ýëåìåíòàðíóþ
ÿ÷åéêó ñ ïàðàìåòðàìè
à 5,14, b 8,90, ñ
14,51 Å
è β 100°12'. Áðèíäëè
è Ðîáèíñîí (Brindley,
Robinson, 1946) íå
ñìîãëè ïðîèíäèöèðîâàòü
âñå îòðàæåíèÿ
â ñîîòâåòñòâèè
ñ òàêîé ýëåìåíòàðíîé
ÿ÷åéêîé è ïðèøëè
ê çàêëþ÷åíèþ,
÷òî íàáëþäàåìûì
ðåôëåêñàì îòâå÷àåò
òðèêëèííàÿ ÿ÷åéêà
ñ ïàðàìåòðàìè
à 5,15, b 8,95, ñ
7,39 Å,
à 91,8°, β
104,5-105,0°, ó 90°, ñîäåðæàùàÿ,
òàêèì îáðàçîì,
àòîìû ëèøü îäíîãî
ñëîÿ. Òðè âîçìîæíûå
ñîâîêóïíîñòè
èç äâóõ ïîçèöèé
â
ñòðóêòóðå ýêâèâàëåíòíû
äðóã äðóãó ïðè
ðàññìîòðåíèè
ëèøü îäíîãî èäåàëüíîãî
ñëîÿ, íî ïðè íàëîæåíèè
âòîðîãî ñëîÿ áóäóò
âîçíèêàòü ðàçëè÷íûå
ñòðóêòóðû â çàâèñèìîñòè
îò íàïðàâëåíèÿ
ñìåùåíèÿ ýòîãî
âòîðîãî ñëîÿ îòíîñèòåëüíî
ïåðâîãî. Áûëî óñòàíîâëåíî,
÷òî èç íåñêîëüêèõ
âîçìîæíûõ êîìáèíàöèé
ñìåùåíèé è çàñåëåíèÿ
îêòàýäðè÷åñêèõ
ïîëîæåíèé ëèøü
îäíà äàåò õîðîøåå
ñîãëàñèå ìåæäó
íàáëþäàåìûìè
è âû÷èñëåííûìè
èíòåíñèâíîñòÿìè
ðåíòãåíîâñêèõ
îòðàæåíèé. Èçó÷åíèå
ìèíåðàëîâ ãðóïïû
êàîëèíèòà ïîêàçàëî,
÷òî ïîñëåäîâàòåëüíûå
ñëîè îáû÷íî íàëàãàþòñÿ
äðóã íà äðóãà
òàêèì îáðàçîì,
÷òî àòîìû êèñëîðîäà
èç îñíîâàíèÿ
âåðõíåãî ñëîÿ
òåñíî ïðèìûêàþò
ê èîíàì ãèäðîêñèëà,
ðàñïîëàãàþùèìñÿ
â âåðøèíàõ ñìåæíîãî
íèæíåãî ñëîÿ
(ðèñ. 8). Òàêèå óñëîâèÿ
ìîãóò áûòü äîñòèãíóòû
ïðè îïðåäåëåííûõ
ñìåùåíèÿõ â íàïðàâëåíèè
êàæäîé èëè îáåèõ
îäíîâðåìåííî
îñåé x
è
ó, êîòîðûå ìîãóò
ñîñòàâëÿòü ± (0,
1/6, 1/3 èëè 1/2) èìåþùèõñÿ
â äàííîì ñëó÷àå
ïåðèîäîâ ïîâòîðÿåìîñòè,
ïðè÷åì êàæäîìó
ñìåùåíèþ ñîîòâåòñòâóþò
ñâîè çíà÷åíèÿ
óãëîâ α
è β. Â èäåàëüíîé
ñòðóêòóðå êðèñòàëëè÷åñêîé
ðåøåòêè êàîëèíèòà
âåëè÷èíû α
è β
äîëæíû
ñîñòàâëÿòü ñîîòâåòñòâåííî
90 è 103,5° êàê ñëåäñòâèå
ñìåùåíèé ñëîåâ
íà âåëè÷èíó -
à/3ïî îñè x
ïðè
ïîëíîì îòñóòñòâèè
ñìåùåíèÿ ïî îñè
ó. Îáúÿñíåíèå
îòêëîíåíèé âåëè÷èíû
óãëîâ α
è β
îò
ýòèõ èäåàëüíûõ
çíà÷åíèé áûëî
ïðåäëîæåíî Áðèíäëè
è Íàêàõèðîé (Brindley,
Nakahira, 1958à), êîòîðûå
ïðåäïîëîæèëè,
÷òî â êðèñòàëëè÷åñêîé
ñòðóêòóðå êàîëèíèòà
ñóùåñòâóþò òàêèå
æå èñêàæåííûå
ñëîè òåòðàýäðîâ
è îêòàýäðîâ, êîòîðûå
áûëè óñòàíîâëåíû
ó äèêêèòà. Èñêàæåíèå
êàîëèíèòîâîãî
ñëîÿ âèäîèçìåíÿåò
ñìåùåíèå îäíîãî
ñëîÿ ñòðóêòóðû
îòíîñèòåëüíî
ñìåæíîãî ñ íèì
ñëîÿ òàêèì îáðàçîì,
÷òîáû âñå ìåæñëîåâûå
ñâÿçè O
- (ÎÍ) îêàçàëèñü
ðàâíûìè, áëàãîäàðÿ
÷åìó óãëû α
è β
ïðèîáðåòàþò
çíà÷åíèÿ, áëèçêèå
ê íàáëþäàåìûì
- 91,6 è 104,8°. Íà îñíîâàíèè
êàðòèí äèôðàêöèè
ýëåêòðîíîâ ìîíîêðèñòàëëîâ
áûëà îïèñàíà
(Ïèíñêåð, 1950) èíàÿ
îäíîñëîéíàÿ
ýëåìåíòàðíàÿ
ÿ÷åéêà êàîëèíèòà;
ïàðàìåòðû ýòîé
ÿ÷åéêè èìåëè
çíà÷åíèÿ à 5,14, b
8,92, ñ 7,34 Å, β
103°5', ïðîñòðàíñòâåííàÿ
ãðóïïà Ñò.  ðàçëè÷íûõ
ðàáîòàõ îäíîñëîéíîé
òðèêëèííîé ñòðóêòóðå
êàîëèíèòà îøèáî÷íî
ïðèïèñûâàåòñÿ
ïðîñòðàíñòâåííàÿ
ãðóïïà Cc
èëè
P1, òîãäà
êàê â äåéñòâèòåëüíîñòè
ïðîñòðàíñòâåííàÿ
ãðóïïà ó íåå ìîæåò
áûòü ëèøü P1[14].
Äèêêèò è
íàêðèò ïî õèìè÷åñêîìó
ñîñòàâó èäåíòè÷íû
êàîëèíèòó, íî
õàðàêòåðèçóþòñÿ
äðóãèìè âîçìîæíûìè
óïîðÿäî÷åííûìè
ïîñëåäîâàòåëüíîñòÿìè
ñëîåâ. Òàê, äèêêèò
èìååò äâóñëîéíóþ
ìîíîêëèííóþ
ýëåìåíòàðíóþ
ÿ÷åéêó (Newnham, Brindley, 1956), à
íàêðèò - øåñòèñëîéíóþ
ìîíîêëèííóþ
ÿ÷åéêó (Hendricks, 1938). Ó ãàëëóàçèòà,
Al₄Si₄(OH)₈O₁0
x 4Í₂O,
ìåæäó ñëîÿìè
â ñòðóêòóðå ïðèñóòñòâóåò
îäèí ñëîé ìîëåêóë
âîäû. Âñëåäñòâèå
ýòîãî âçàèìíîå
ðàñïîëîæåíèå
ñëîåâ íåóïîðÿäî÷åííî
è ìåæñëîåâîå
ðàññòîÿíèå (d00₁)
óâåëè÷èâàåòñÿ
ïðèáëèçèòåëüíî
ñ 7,2 äî 10 Å.
 ìåòàãàëëóàçèòå
áîëüøàÿ ÷àñòü
ìåæñëîåâîé âîäû
óäàëåíà è d00₁
ó íåãî ñîêðàùàåòñÿ
ïðèìåðíî äî âåëè÷èíû
7,4 Å,
îäíàêî íåóïîðÿäî÷åííîñòü
â íàëîæåíèè ñëîåâ
ñîõðàíÿåòñÿ.
Íà ïîðîøêîâûõ
ðåíòãåíîãðàììàõ
íåóïîðÿäî÷åííîñòü
ñòðóêòóðû ãàëëóàçèòà
è ìåòàãàëëóàçèòà
âûðàæàåòñÿ îòñóòñòâèåì
îòðàæåíèé hkl è
ïðèñóòñòâèåì
«ïîëîñ» ðàññåÿíèÿ,
ñâîéñòâåííûõ
ñòðóêòóðàì, èìåþùèì
ëèøü äâóìåðíûé
ïîðÿäîê. Âîçìîæíî,
÷òî â ñòðóêòóðå
ãàëëóàçèòà ìåæñëîåâûå
ìîëåêóëû âîäû
ñïåöèôè÷åñêè
ðàñïîëàãàþòñÿ
ïî îòíîøåíèþ
ê ñëîÿì àòîìîâ
êèñëîðîäà èëè
èîíîâ ãèäðîêñèëà
ñ êàæäîé ñòîðîíû
âîäíîãî ñëîÿ
(ðèñ. 9), îáðàçóÿ âîäîðîäíûå
ñâÿçè; â ñâÿçè
ñ ýòèì â íàëîæåíèè
ñëîåâ ìîæåò ñóùåñòâîâàòü
íåêîòîðàÿ ñòåïåíü
óïîðÿäî÷åííîñòè.
Ìåæñëîåâàÿ âîäà
ãàëëóàçèòà ìîæåò
çàìåùàòüñÿ ãëèêîëåì,
÷òî ïðèâîäèò
ê óâåëè÷åíèþ
ìåæïëîñêîñòíîãî
ðàññòîÿíèÿ d00₁
ñ 10 Å äî âåëè÷èíû
ïðèìåðíî 11 Å.
Ó äðóãèõ êàíäèòîâ
ÿâëåíèå íàáóõàíèÿ
íå ïðîÿâëÿåòñÿ
ñîâåðøåííî. Ó
ãàëëóàçèòîâ
÷àñòî íàáëþäàþòñÿ
òðóá÷àòûå ôîðìû
êðèñòàëëîâ[14].
Íåîáû÷íûé
ìèíåðàë ãðóïïû
êàîëèíèòà, ñîñòîÿùèé
èç òðóá÷àòûõ
÷àñòèö, áûë îïèñàí
êàê «ãèäðàòèðîâàííûé
êàîëèí». Ïî ñâîåé
ñòðóêòóðå îí
îòëè÷àåòñÿ îò
ãàëëóàçèòà è
êàîëèíèòà. Ñîãëàñíî
êàðòèíàì äèôðàêöèè
ýëåêòðîíîâ, ýòîò
ìèíåðàë èìååò
òðèêëèííóþ äâóñëîéíóþ
ýëåìåíòàðíóþ
ÿ÷åéêó ñ ïàðàìåòðàìè
à 5,15, b 8,95, csinβ
7,16Å,
à 91,8°, β 83°, ó
90°; â íåêîòîðûõ îáðàçöàõ
ìèíåðàëà õîðîøî
ïðîÿâëÿåòñÿ òðåõìåðíàÿ
óïîðÿäî÷åííîñòü[14].
Ðèñ. 8. Ïðîåêöèÿ
íà ïëîñêîñòü
(001) ñåòêè Si - Î ñìåæíîãî
ñëîÿ èîíîâ (011). Ðèñóíîê
èëëþñòðèðóåò
ãðóïïèðîâêó èîíîâ
êèñëîðîäà è ãèäðîêñèëà
â ïàðû è èñêàæåíèå
øåñòè÷ëåííûõ
êîëåö â äèêêèòå
(Newnham, Brindley, 1956). 1-àòîìû êðåìíèÿ;
2-àòîìû êèñëîðîäà;
3 - èîíû ãèäðîêñèëà[14].
Ðèñ. 9. Âîçìîæíîå
ðàñïîëîæåíèå
àòîìîâ êèñëîðîäà
è âîäîðîäà â ñëîå
ìîëåêóë âîäû â
ìåæñëîåâûõ ïðîìåæóòêàõ
ãëèíèñòûõ ìèíåðàëîâ.
 êàæäîé èç ìîëåêóë
Ê, L, Ì îäèí àòîì
âîäîðîäà íå ó÷àñòâóåò
â ñâÿçÿõ âíóòðè
ñåòêè, à ñëóæèò
äëÿ ñîåäèíåíèÿ
ýòîé ñåòêè ñ
àòîìàìè êèñëîðîäà
ñìåæíîãî ñèëèêàòíîãî
ñëîÿ (Hendricks, Jefferson, 1938). 1- àòîìû
êèñëîðîäà; 2 - àòîìû
âîäîðîäà, ðàñïîëàãàþùèåñÿ
â îäíîé ïëîñêîñòè
ñ àòîìàìè êèñëîðîäà;
3 - àòîìû âîäîðîäà,
ðàñïîëàãàþùèåñÿ
íèæå ïëîñêîñòè,
â êîòîðîé íàõîäÿòñÿ
àòîìû êèñëîðîäà
Öèëèíäðè÷åñêàÿ
îñü òðóá÷àòûõ
êðèñòàëëîâ, íàáëþäàåìûõ
íà ýëåêòðîííî-ìèêðîñêîïè÷åñêèõ
ñíèìêàõ, ñîâïàäàëà
ñ íàïðàâëåíèÿìè
[100], [010] èëè [310]. Ðåíòãåíîãðàììû
íåêîòîðûõ îáðàçöîâ
êàîëèíèòà, ñîñòîÿùèõ
èç îáû÷íûõ ïëàñòèí÷àòûõ
êðèñòàëëîâ, èìåþò
ïðîìåæóòî÷íûé
õàðàêòåð ìåæäó
òèïè÷íûìè ðåíòãåíîãðàììàìè
êàîëèíèòà è ãàëëóàçèòà.
Ýòî âûðàæàåòñÿ
â òîì, ÷òî â íèõ,
ïîìèìî áàçàëüíûõ
ðåôëåêñîâ è íåêîòîðûõ
ïîëîñ hk,
ïðèñóòñòâóþò
ðåçêèå ðåôëåêñû
ñ èíäåêñîì k,
êðàòíûì 3. Òàêàÿ
êàðòèíà ñâèäåòåëüñòâóåò
îá óïîðÿäî÷åííîì
íàëîæåíèè ñëîåâ
îòíîñèòåëüíî
îñè x,
íî ñ áåñïîðÿäî÷íûìè
ñìåùåíèÿìè, êðàòíûìè
b/3, â íàïðàâëåíèè
îñè ó.  ýòîì ñëó÷àå
α
= 90°, β
= 104,5°. Ýòà ñòðóêòóðà
òèïè÷íà äëÿ êàîëèíèòîâ,
ïðèñóòñòâóþùèõ
â íåêîòîðûõ îãíåóïîðíûõ
ãëèíàõ. Íåóïîðÿäî÷åííîå
ðàñïîëîæåíèå
êàîëèíèòîâûõ
ñëîåâ ÷àñòî íàáëþäàëîñü
è â äðóãèõ ñëó÷àÿõ,
íàïðèìåð â êàîëèíîâîé
ãëèíå èç Ëóãó,
Òàíãàíüèêà (Robertson
et al.,
1954). Èíòåðåñíî îòìåòèòü,
÷òî â ïîñëåäíåì
ñëó÷àå êðèñòàëëû
ñ ìåíüøåé ñòåïåíüþ
ïîðÿäêà íå îáÿçàòåëüíî
áûëè õóæå ðàñêðèñòàëëèçîâàíû
ìàêðîñêîïè÷åñêè.
 òàáë. 2 ïðèâîäÿòñÿ
ïàðàìåòðû ýëåìåíòàðíûõ
ÿ÷ååê ðàçëè÷íûõ
ìèíåðàëîâ ãðóïïû
êàîëèíèòà, ïðè÷åì
êàæäûé èç íèõ
õàðàêòåðèçóåòñÿ
ñâîåîáðàçíîé
ïîðîøêîâîé ðåíòãåíîãðàììîé.
Ñëåäóåò îòìåòèòü,
÷òî îáðàçöû, êîòîðûå
ïî ñîâåðøåíñòâó
ñòðóêòóðû çàíèìàþò
ïðîìåæóòî÷íîå
ïîëîæåíèå ìåæäó
êàîëèíèòîì è
÷àñòè÷íî óïîðÿäî÷åííûì
ìèíåðàëîì îãíåóïîðíûõ
ãëèí, âñòðå÷àþòñÿ
äîâîëüíî ÷àñòî;
âåðîÿòíî, ñóùåñòâóþò
òàêæå ïðîìåæóòî÷íûå
ôîðìû ìåæäó êàîëèíèòîì
îãíåóïîðíûõ
ãëèí è ñòðóêòóðíî
íåóïîðÿäî÷åííûì
ãàëëóàçèòîì.
Ïî äàííûì ýëåêòðîííîé
ìèêðîñêîïèè,
êàîëèíèò, äèêêèò
è íàêðèò ñîñòîÿò
èç ïëàñòèí÷àòûõ
êðèñòàëëîâ, òîãäà
êàê ãàëëóàçèò
èìååò òðóá÷àòóþ
ôîðìó ÷àñòèö
(Bates et
al., 1950; Bates,
Comer, 1959). Òðóá÷àòóþ
ôîðìó êðèñòàëëîâ
ñî ñòðóêòóðíîé
òî÷êè çðåíèÿ
ìîæíî îáúÿñíèòü,
ïðèíèìàÿ âî âíèìàíèå,
÷òî êàîëèíèòîâûé
ñëîé ñîñòîèò
èç äâóõ ÷àñòåé:
ãèááñèòîïîäîáíîãî
ñëîÿ îêòàýäðîâ
ñ ïåðèîäîì ïîâòîðÿåìîñòè
b
8,62
Å
è ñåòêè òåòðàýäðîâ
Si2O5
ñ b
8,93
Å[14].
Òàáëèöà
2
Ïàðàìåòðû
ýëåìåíòàðíûõ
ÿ÷ååê ìèíåðàëîâ
ãðóïïû êàîëèíèòà
|
Ìèíåðàë
|
à
(À)
|
b (À)
|
ñ
(À)
|
a°
|
Ã3°
|
V0
|
Êîëè÷åñòâî
ñëîåâ â ÿ÷åéêå
|
Ñèíãîíèÿ
|
Èñòî÷íèê
|
|
Êàîëèíèò
|
5,15
|
8,95
|
7,39
|
91,8
|
104,5-
105,0
|
90
|
1
|
Òðèêëèííàÿ
|
Brindley, Robinson,
1946
|
|
Äèêêèò
|
5,15
|
8,95
|
14,42
|
90
|
90
|
2
|
Ìîíîêëèííàÿ
|
Newnham, Brindley, 1956
|
|
Íàêðèò
|
5,15
|
8,96
|
43,0
|
90
|
90
|
90
|
6
|
|
Hendricks, 1938
|
|
Ìèíåðàë
îãíåóïîðíîé
ãëèíû
|
5,2
|
8,9
|
7,39
|
(Ñìåùåíèÿ
ñëîåâ â íàïðàâëåíèè
îñè ó)
|
|
|
|
|
|
|
|
|
|
|
|
|
|
|
|
|
|
|
|
|
|
|
|
|
|
|
Ãàëëó-àçèò
|
5,2
|
8,9
|
10,1
|
(Ñìåùåíèÿ
ñëîåâ â îäíîì
èëè íåñêîëüêèõ
íàïðàâëåíèÿõ)
|
|
Brindley, 1951
|
|
|
|
|
Ìåòàãàëëóàçèò
|
5,2
|
8,9
|
7,2
|
(Áåñïîðÿäî÷íûå
ñìåùåíèÿ ñëîåâ
â íàïðàâëåíèè
îñåé õ è ó)
|
|
|
|
|
«Òðóá÷àòûé
êàîëèí»
|
5,15
|
8,95
|
7,39
|
91,8
|
83
|
90
|
2
|
Òðèêëèííàÿ
|
Honjo et al., 1954
|
|
|
|
|
|
|
|
|
|
|
|
|
|
|
Âñëåäñòâèå
íåðàâåíñòâà
ðàçìåðîâ ñîñòàâíûõ
÷àñòåé ñëîæíîãî
ñëîÿ âîçíèêàåò
òåíäåíöèÿ ê åãî
öèëèíäðè÷åñêîìó
èçãèáó âîêðóã
îñè x
ñ
ðàñïîëîæåíèåì
îêòàýäðîâ íà
âíóòðåííåé ñòîðîíå
öèëèíäðà.
Èçãèáû ñëîåâ
ìîãóò ïðîèñõîäèòü
è âîêðóã îñè ó
èëè êàêîãî-ëèáî
äðóãîãî íàïðàâëåíèÿ
â ïëîñêîñòè ñëîÿ,
êàê ýòî äåéñòâèòåëüíî
èìååò ìåñòî â
ñëó÷àå îïèñàííîãî
âûøå «òðóá÷àòîãî
êàîëèíà» (ðèñ.
10) [14].
Ðèñ. 10. Ñîîòíîøåíèÿ
ìåæäó ôîðìîé
êðèñòàëëîâ è
êðèñòàëëè÷åñêîé
ñòðóêòóðîé ãàëëóàçèòà.
à - òðóá÷àòûé
êðèñòàëë â ïåðñïåêòèâå;
á - ïîïåðå÷íûé
ðàçðåç (Bates et al., 1950)
Ïðåäïîëàãàåòñÿ,
÷òî â ðåøåòêå
êàîëèíèòà, äèêêèòà
è íàêðèòà âîäîðîäíûå
ñâÿçè ìåæäó ñìåæíûìè
ñëîÿìè íàñòîëüêî
çíà÷èòåëüíû,
÷òî ïðåîäîëåâàþò
òåíäåíöèþ ê èçãèáó
ñëîåâ, òîãäà êàê
ó ãàëëóàçèòà
ìåæñëîåâûå ìîëåêóëû
âîäû è íàðóøåíèÿ
â óïàêîâêå ñëîåâ
îñëàáëÿþò ìåæñëîåâûå
ñèëû è äîïóñêàþò
ñâîðà÷èâàíèå
ñëîåâ, ñíèìàþùåå
íàïðÿæåíèÿ, ñâîéñòâåííûå
ïëîñêîìó ñëîþ.
Áîëåå òåñíîå
ñáëèæåíèå ñëîåâ
â ìåòàãàëëóàçèòå
äîëæíî ñïîñîáñòâîâàòü
ïðîäîëüíîìó ðàñùåïëåíèþ
òðóáîê, è íà ýëåêòðîííî-ìèêðîñêîïè÷åñêèõ
ñíèìêàõ âèäíû
òðåùèíîâàòûå
è ÷àñòè÷íî ñâåðíóòûå
òðóáêè. Òî÷íûå
ñòðóêòóðíûå
ñîîòíîøåíèÿ
ìåæäó «òðóá÷àòûì
êàîëèíîì» è ãàëëóàçèòîì
ïîëíîñòüþ åùå
íå âûÿñíåíû. Òðóá÷àòûå
êðèñòàëëû ãàëëóàçèòà
ìîæíî ñðàâíèòü
ñ àíàëîãè÷íûìè
ôîðìàìè äëÿ õðèçîòèëà.
 îáîèõ ñëó÷àÿõ
èçãèá âîçíèêàåò
èç-çà íåñîîòâåòñòâèÿ
ðàçìåðîâ ñåòîê
òåòðàýäðîâ è îêòàýäðîâ
ñëîÿ, îäíàêî íàïðàâëåíèÿ
ðàäèóñîâ êðèâèçíû
â ñîïîñòàâëÿåìûõ
ñëó÷àÿõ ïðÿìî
ïðîòèâîïîëîæíû.
Òàê, ó ãàëëóàçèòà
íà âíåøíåé ñòîðîíå
èçîãíóòîãî ñëîÿ
ðàñïîëàãàåòñÿ
ñåòêà òåòðàýäðîâ,
à ó õðèçîòèëà
- ñåòêà îêòàýäðîâ.
Áåéòñ (Bates,
1959) ââåë ìîðôîëîãè÷åñêèé
èíäåêñ Ì, îïðåäåëÿþùèé
êîëè÷åñòâåííóþ
ìåðó íåñîîòâåòñòâèÿ
ñåòîê ñëîÿ è ñâÿçàííûé
ñ ïðèðîäîé è êîëè÷åñòâîì
èçîìîðôíûõ çàìåùåíèé
êàòèîíîâ â ñåòêàõ
òåòðàýäðîâ è îêòàýäðîâ.
Âåëè÷èíà Ì èçìåíÿåòñÿ
îò ïðèìåðíî -72 ó
õðèçîòèëîâ äî
-77 ó ãàëëóàçèòîâ.
Áåéòñ, îäíàêî,
îòìå÷àåò, ÷òî
â ñåðïåíòèíîâîé
è êàîëèíèòîâîé
ãðóïïàõ íàðÿäó
ñ èçîìîðôíûìè
çàìåùåíèÿìè
êàòèîíîâ âàæíóþ
ðîëü â ðàçãðàíè÷åíèè
ïëàñòèí÷àòûõ
è òðóá÷àòûõ ðàçíîâèäíîñòåé
èãðàåò òàêæå
êîëè÷åñòâî âîäîðîäà.
 ýòîì ñìûñëå
îñîáåííî âàæíîå
è ðåøàþùåå çíà÷åíèå
âîäîðîä èìååò,
âåðîÿòíî, â ãðóïïå
êàîëèíèòà[14].
Îò äðóãèõ
ãëèíèñòûõ ìèíåðàëîâ
ïðåäñòàâèòåëè
ãðóïïû êàîëèíèòà
îòëè÷àþòñÿ õàðàêòåðíûìè
ïîðîøêîâûìè ðåíòãåíîãðàììàìè,
íà êîòîðûõ ïðèñóòñòâóþò
áàçàëüíûå ðåôëåêñû
ïðè 7,14 è 3,57Å,
îäíàêî ïîõîæèå
ðåíòãåíîãðàììû
äàþò íåêîòîðûå
õëîðèòû, â ñâÿçè
ñ ÷åì äëÿ òî÷íîé
äèàãíîñòèêè
íåîáõîäèìî ïðèìåíÿòü
è äðóãèå èñïûòàíèÿ.
 ïðåäåëàõ êàîëèíèòîâîé
ãðóïïû îòäåëüíûå
ìèíåðàëû - êàîëèíèò,
äèêêèò è íàêðèò
- îáû÷íî ðàçëè÷àþòñÿ
ñâîèìè äèôðàêöèîííûìè
êàðòèíàìè èç
ðåçêèõ ëèíèé.
Áðèíäëè (Brindley,
1951) ïîëíîñòüþ ðàññìîòðåë
áîëåå òîíêèå
ðàçëè÷èÿ ìåæäó
ðåíòãåíîãðàììàìè
êàîëèíèòà, ìèíåðàëà
îãíåóïîðíûõ
ãëèí è ãàëëóàçèòà.
Ó ãàëëóàçèòà
áàçàëüíîå ìåæïëîñêîñòíîå
ðàññòîÿíèå 10Å
ïîñëå äåãèäðàòàöèè
óìåíüøàåòñÿ
äî 7,4Å è óâåëè÷èâàåòñÿ
ïðèìåðíî äî 11Å
ïîñëå îáðàáîòêè
ãëèêîëåì. Ýòà
îñîáåííîñòü
è äðóãèå ìåòîäè÷åñêèå
ïðèåìû ïîìîãàþò
îòëè÷èòü ãàëëóàçèò
îò èëëèòà, òàêæå
èìåþùåãî áàçàëüíîå
ìåæïëîñêîñòíîå
ðàññòîÿíèå 10Å[14].
2. ÐÅÍÒÃÅÍÎÃÐÀÔÈ×ÅÑÊÎÅ
ÈÑÑËÅÄÎÂÀÍÈÅ
ÌÈÍÅÐÀËÎÂ
Ïî ïîëó÷åííûì
ýêñïåðèìåíòàëüíî
äàííûì ðåíòãåíî-
äèôðàêòîìåòðè÷åñêîãî
àíàëèçà, ìîæíî
ïðàêòè÷åñêè
âî âñåõ ñëó÷àÿõ
îïðåäåëèòü òèï
âåùåñòâà, åãî
ôàçó.
Êàæäîå âåùåñòâî
èìååò ñâîþ óíèêàëüíóþ
êðèñòàëëè÷åñêóþ
ðåøåòêó, ñëåäîâàòåëüíî,
è íàáîð ìåæïëîñêîñòíûõ
ðàññòîÿíèé äëÿ
êàæäîãî âåùåñòâà
áóäåò óíèêàëåí.
Èíôîðìàöèþ
ïî ìåæïëîñêîñòíûì
ðàññòîÿíèÿì
â íàøå âðåìÿ ìîæíî
óçíàòü èç ðàçëè÷íûõ
êðèñòàëëîãðàôè÷åñêèõ
áàç äàííûõ, íàïðèìåð
MINCRYST.
Äëÿ îïðåäåëåíèÿ
òîé èëè èíîé ôàçû
â èññëåäóåìîì
âåùåñòâå íåîáõîäèìî
îòñíÿòü äèôðàêöèîííóþ
êàðòèíó êðèñòàëëà
ëèáî ïîðîøêà,
ðàññ÷èòàòü ìåæïëîñêîñòíûå
ðàññòîÿíèÿ d
è
ñðàâíèòü ïîëó÷åííûé
ðÿä ñî çíà÷åíèÿìè
èç áàçû äàííûõ.
Âåëè÷èíû
ìåæïëîñêîñòíûõ
ðàññòîÿíèé îïðåäåëÿþòñÿ
ïî ôîðìóëå Âóëüôà-Áðýããà.
Áûëè ïðîâåäåíû
ðàñ÷åòû ïî îïðåäåëåíèþ
ìåæïëîñêîñòíûõ
ðàññòîÿíèé äëÿ
ãëèíèñòûõ ìèíåðàëîâ
ìîíòìîðèëëîíèòà
è êàîëèíèòà è
ïðîâåäåíî ñðàâíåíèå
(òàáë 3, 4).
.1 Îïðåäåëåíèå
ñòðóêòóðíûõ
õàðàêòåðèñòèê
ìîíòìîðèëëîíèòà
Òàáëèöà
3. Ðåíòãåíîãðàôè÷åñêèå
äàííûå ìîíòìîðèëëîíèòà
(Äëèíà âîëíû ðàâíà
1.54056).
|
Ëèòåðàòóðíûå
äàííûå
[16]
|
Ðàññ÷èòàííûå
äàííûå
|
|
¹
|
Óãîë
|
|
d, Å
|
d, Å
|
|
1
|
2.994
|
100
|
15.0
|
15.0
|
|
2
|
8.862
|
3.1
|
5.0
|
|
3
|
9.878
|
2.6
|
4.49
|
4.49
|
|
4
|
10.322
|
6.6
|
4.2988
|
4.30
|
|
5
|
11.54
|
4.5
|
3.85052
|
3.85
|
|
6
|
13.336
|
1.5
|
3.33948
|
3.34
|
|
7
|
14.878
|
1.2
|
3.0
|
3.0
|
|
8
|
15.527
|
1.4
|
2.87841
|
2.88
|
|
9
|
17.554
|
2.7
|
2.55389
|
2.55
|
|
10
|
18.328
|
3.4
|
2.44959
|
2.45
|
|
11
|
19.569
|
1.8
|
2.29977
|
2.30
|
|
12
|
21.189
|
1.3
|
2.13111
|
2.13
|
|
13
|
30.975
|
1.1
|
1.49667
|
1.50
|
|
14
|
33.339
|
1.2
|
1.40155
|
1.40
|
Ïî äàííûì
òàáëèöû 3 áûëà
âûïîëíåíà øòðèõ-äèàãðàììà
(ðèñ. 11.)
Ðèñ. 11. Øòðèõ-äèàãðàììà
ìîíòìîðèëëîíèòà
2.2 Îïðåäåëåíèå
ñòðóêòóðíûõ
õàðàêòåðèñòèê
êàîëèíèòà
Òàáëèöà
4.
Ðåíòãåíîãðàôè÷åñêèå
äàííûå êàîëèíèòà
(Äëèíà âîëíû ðàâíà
1.54056)
|
Ëèòåðàòóðíûå
äàííûå
[16]
|
Ðàññ÷èòàííûå
äàííûå
|
|
¹
|
Óãîë

|
d, Å
|
d, Å
|
|
1
|
4.937
|
100.0
|
8.88596
|
8.88596
|
|
2
|
6.308
|
8.7
|
7.01047
|
7.01047
|
|
3
|
7.926
|
3.1
|
5.58627
|
5.58627
|
|
4
|
8.163
|
12.0
|
5.42494
|
5.42494
|
|
5
|
8.929
|
5.4
|
4.96262
|
4.96262
|
|
6
|
9.55
|
9.0
|
4.64302
|
4.64302
|
|
7
|
9.984
|
1.2
|
4.44298
|
4.44298
|
|
8
|
10.207
|
3.4
|
4.34687
|
4.34687
|
|
9
|
10.731
|
3.6
|
4.13694
|
4.13694
|
|
10
|
10.846
|
1.7
|
4.09366
|
4.09366
|
|
11
|
11.68
|
3.2
|
3.80497
|
3.80497
|
|
12
|
12.007
|
1.3
|
3.70269
|
3.70269
|
|
13
|
12.221
|
3.0
|
3.63896
|
3.63896
|
|
14
|
12.694
|
5.7
|
3.50523
|
|
15
|
13.323
|
1.5
|
3.34273
|
3.34273
|
|
16
|
13.52
|
2.5
|
3.29477
|
3.29477
|
|
17
|
13.807
|
1.2
|
3.22769
|
3.22769
|
|
18
|
13.974
|
1.1
|
3.18971
|
3.18971
|
|
19
|
15.073
|
2.1
|
2.96199
|
2.96199
|
|
20
|
15.709
|
2.2
|
2.84499
|
2.84499
|
|
21
|
16.048
|
2.3
|
2.78637
|
2.78637
|
|
22
|
17.568
|
1.5
|
2.55199
|
2.55199
|
|
23
|
18.074
|
2.5
|
4.48275
|
4.48275
|
|
24
|
18.764
|
1.3
|
2.39462
|
2.39462
|
|
25
|
19.379
|
3.7
|
2.32145
|
2.32145
|
|
26
|
19.803
|
2.0
|
2.27368
|
2.27368
|
|
27
|
19.99
|
1.9
|
2.25319
|
2.25319
|
|
28
|
23.04
|
1.9
|
1.96816
|
|
29
|
23.734
|
1.5
|
1.9138
|
1.9138
|
|
30
|
25.685
|
1.0
|
1.77719
|
1.77719
|
|
31
|
28.008
|
1.6
|
1.64031
|
1.64031
|
|
32
|
28.87
|
1.1
|
1.59537
|
1.59537
|
|
33
|
31.34
|
3.1
|
1.48099
|
1.48099
|
|
34
|
36.77
|
1.3
|
1.28681
|
1.28681
|
Ðèñ. 12. Øòðèõ-äèàãðàììà
êàîëèíèòà
Âûâîäû
Òàê êàê îñíîâíûå
ïèêè ðåíòãåíî-äèôðàêòîìåòðè÷åñêîãî
ñïåêòðà ìèíåðàëîâ
ãðóïïû ãëèí íàõîäÿòñÿ
íà ìàëûõ áðýããîâñêèõ
óãëàõ (äî 8° ïî θ),
îïðåäåëåíèå ìåæïëîñêîñòíûõ
ðàññòîÿíèé çàòðóäíåíî
ÿâëåíèåì ðàññåÿíèÿ
ðåíòãåíîâñêèõ
ëó÷åé íà âîçäóõå,
÷òî òðåáóåò ïðèìåíåíèÿ
îïðåäåëåííûõ
ìåòîäè÷åñêèõ
ïðèåìîâ ïðè ñúåìêå,
óñòàíîâêè äîïîëíèòåëüíûõ
ðåíòãåíîâñêèõ
êàìåð. Â ñâÿçè
ñ áëèçêèìè çíà÷åíèÿìè
ìåæïëîñêîñòíûõ
ðàññòîÿíèé êàîëèíèòà
è ìîíòìîðèëëîíèòà,
íåîáõîäèìî îñóùåñòâèòü
ñúåìêó äîïîëíèòåëüíûõ
îáðàçöîâ - íàñûùåííûõ
ãëèöåðèíîì, ëèáî
îáåçâîæåííûõ.
ÇÀÊËÞ×ÅÍÈÅ
 ðåçóëüòàòå
ïðîâåäåííîé ðàáîòû
áûëè îñâåùåíû
îñíîâíûå ìåòîäèêè
èçó÷åíèÿ ãëèíèñòûõ
ìèíåðàëîâ, îñîáåííîñòè
îïðåäåëåíèÿ èõ
êîëè÷åñòâåííûõ
è êà÷åñòâåííûõ
õàðàêòåðèñòèê,
ôàçîâîãî ñîñòîÿíèÿ.
Òàêæå áûëè ïðîàíàëèçèðîâàíû
îñíîâíûå ãëèíèñòûå
ìèíåðàëû ãðóïï
ìîíòìîðèëëîíèòà
è êàîëèíèòà, èçó÷åíû
èõ ñòðóêòóðíûå
îñîáåííîñòè,
îñóùåñòâëåíû
ðàñ÷åòû ìåæñëîåâûõ
ðàññòîÿíèé, ïî
ïîëó÷åííûì äàííûì
áûëè ïîñòðîåíû
òàáëèöû è äèàãðàììû.
ÁÈÁËÈÎÃÐÀÔÈ×ÅÑÊÈÉ
ÑÏÈÑÎÊ
1. Ðåíòãåíîãðàôèÿ
îñíîâíûõ òèïîâ
ïîðîäîîáðàçóþùèõ
ìèíåðàëîâ / ïîä
ðåä. Â.À. Ôðàíê-Êàìåíåöêîãî.
Ë., Íåäðà, - 1983,
- 358
ñ.
2. Ãðèì
Ð.Ý. Ìèíåðàëîãèÿ
è ïðàêòè÷åñêîå
ïðèìåíåíèå ãëèí
/ Ð.Ý. Ãðèì, - Ì.: ÌÈÐ,
- 1967, - 264 ñ.
. Êîòåëüíèêîâ
Ä.Ä. Ãëèíèñòûå
ìèíåðàëû îñàäî÷íûõ
ãîðíûõ ïîðîä / Ä.Ä.
Êîòåëüíèêîâ,
À.È. Êîíþõîâ, - Ì.:
Íåäðà, - 1986, - 247 ñ.
. Îñèïîâ
Â.È. Ìèêðîñòðóêòóðà
ãëèíèñòûõ ïîðîä
/ Â.È. Îñèïîâ, Â.Í.
Ñîêîëîâ, Í.À. Ðóìÿíöåâà,
- Ì.: Íåäðà, - 1989, - 211 ñ.
5. Ãîðáóíîâ
Í.È. Âûñîêîäèñïåðñíûå
ìèíåðàëû è ìåòîäû
èõ èçó÷åíèÿ
/ Í.È. Ãîðáóíîâ,
- Ì,: Èçäàòåëüñòâî
Àêàäåìèè Íàóê,
- 1963, - 302 ñ.
6. Ôðîëîâ
Â.Ò. Ëèòîëîãèÿ.
Êí. 2: Ó÷åá. ïîñîáèå.
Ì.: Èçä-âî ÌÃÓ, -
1993, - 432 ñ.
. Ìàòåðèàëû
I Ðîññèéñêîãî
ðàáî÷åãî ñîâåùàíèÿ
«Ãëèíû, ãëèíèñòûå
ìèíåðàëû è ñëîèñòûå
ìàòåðèàëû», ïîñâÿùåííîãî
90-ëåòèþ ñî äíÿ ðîæäåíèÿ
Á.Á. Çâÿãèíà. 2-å
èçäàíèå / ïîä. ðåä.
Àëåêñååâîé Ò.À.,
- Ì.: ÈÃÅÌ ÐÀÍ, - 2011, -
161 ñ.
. Êèðñàíîâ
Í.Â. Ãåíåòè÷åñêèå
òèïû è çàêîíîìåðíîñòè
ðàñïðîñòðàíåíèÿ
ìåñòîðîæäåíèé
áåíòîíèòîâ â
ÑÑÑÐ / Í.Â. Êèðñàíîâ,
Ì.À. Ðàòååâ, À.À.
Ñàáèòîâ è äð. - Ì.:
Íåäðà, 1981, - 214 ñ.
. Ðåíòãåíîâñêèå
ìåòîäû èçó÷åíèÿ
è ñòðóêòóðà ãëèíèñòûõ
ìèíåðàëîâ / Ïîä
ðåä. Ã. Áðàóíà, - Ì.:
ÌÈÐ, - 1965, - 307 ñ.
. Áåððè
Ë.Ã. Ìèíåðàëîãèÿ
/ Ë.Ã. Áåððè, Á.Ã. Ìåéñîí,
Ð.Â. Äèòðèõ, - Ì.: ÌÈÐ,
- 1987, - 603 ñ.
. Êóêîâñêèé
Å.Ã. Îñîáåííîñòè
ñòðîåíèÿ è ôèçèêî-õèìè÷åñêèå
ñâîéñòâà ãëèíèñòûõ
ìèíåðàëîâ / Å.Ã.
Êóêîâñêèé, - Ê.:
Íàóêîâà äóìêà,
- 1966, - 128 ñ.
. Áðåãã
Ó.Ë. Êðèñòàëëè÷åñêàÿ
ñòðóêòóðà ìèíåðàëîâ
/ Ó.Ë. Áðåãã, Ã.Ô. Êëàðèíãáóëë,
- Ì.: ÌÈÐ, - 1966, - 389 ñ.
. Ãîäîâèêîâ
À.À. Ìèíåðàëîãèÿ
/ À.À. Ãîäîâèêîâ
Ì. : Íåäðà, 1975. - 411 ñ.
. Äèð
Ó.À. Ïîðîäîîáðàçóþùèå
ìèíåðàëû : â 5 ò.
/ Ó.À. Äèð, Ð.À. Õàóè,
Äæ. Çóñìàí. - Ò. 3.
- Ì. : Ìèð, 1965. - 311 ñ.
. Ðóêîâîäñòâî
ïî ðåíòãåíîâñêîìó
èññëåäîâàíèþ
ìèíåðàëîâ / ïîä.
ðåä. Â.À. Ôðàíê-Êàìåíåöêîãî.
Ë., Íåäðà, - 1975, - 399 ñ.
. Êðèñòàëëîãðàôè÷åñêàÿ
áàçà äàííûõ ìèíåðàëîâ
MINCRYST
. Ãîðåëèê
Ñ.Ñ. Ðåíòãåíîãðàôè÷åñêèé
è ýëåêòðîííî-îïòè÷åñêèé
àíàëèç / Ñ.Ñ. Ãîðåëèê,
Ë.Í. Ðàñòîðãóåâ,
Þ.À. Ñêàêîâ, - Ì.: Ìåòàëëóðãèÿ,
1970. - 366 ñ
Ðàçìåùåíî
íà Allbest.ur