Миграционные преобразования сейсмических данных на примере материалов Чашкинского месторождения нефти

  • Вид работы:
    Дипломная (ВКР)
  • Предмет:
    Геология
  • Язык:
    Русский
    ,
    Формат файла:
    MS Word
    415,97 Кб
  • Опубликовано:
    2015-07-27
Вы можете узнать стоимость помощи в написании студенческой работы.
Помощь в написании работы, которую точно примут!

Миграционные преобразования сейсмических данных на примере материалов Чашкинского месторождения нефти

Министерство образования и науки Российской Федерации

Федеральное государственное образовательное бюджетное учреждение высшего профессионального образования

«Пермский государственный национальный исследовательский университет»

Геологический факультет

Кафедра геофизики







Миграционные преобразования сейсмических данных на примере материалов Чашкинского месторождения нефти

(Дипломная работа)










Пермь, 2015

КАФЕДРА ГЕОФИЗИКИ

ГЕОФИЗИЧЕСКИЕ ТЕХНОЛОГИИ ПРИ ПОИСКАХ И РАЗРАБОТКЕ МЕСТОРОЖДЕНИЙ НЕФТИ, ГАЗА, КАЛИЙНО-МАГНИЕВЫХ СОЛЕЙ И ОЦЕНКЕ ИХ ТЕХНОГЕННОГОВОЗДЕЙСТВИЯ

Миграционные преобразования сейсмических данных на примере материалов Чашкинского месторождения нефти

Цель работы: Выполнить глубинную и временную миграцию, определить важность выполнения процедуры при изучении структуры месторождений нефти.

Основные задачи:

1.      Углубить знания о сейсмической миграции, виды миграционных процедур, их достоинства и недостатки.

.        Выполнить необходимые виды миграционных преобразований.

.        Выявить форму записи и поведение линий отражающих горизонтов Чашкинской нефтяной структуры.

.        Определить анизотропию скоростей на данном участке.

.        Построить глубинный сейсмический куб, с указанными отражающими горизонтами, в котором будет наиболее близко к поведению реальных геологических границ.

.        Восстановить пространственные формы скоростных и плотностных неоднородностей объекта исследования.

Основные результаты исследований:

1.      Выполнены следующие виды миграции: временная миграция после суммирования(poststackmigration); глубинная миграции сейсмограмм (prestackмigration).

.        Выявлено изменение формы записи и поведение линий отражающих горизонтов АК; на отдельных участках заметны улучшения в качестве этого отражения, прослеживание которого на данной территории затруднено, отражения IП и IIП на склонах Чашкинской структуры. Отличия в поведении более глубоких горизонтов невелики, четче обрисовались в одной части площади, при этом практически не изменилось их положение.

.        Определена слабая анизотропия скоростей, особенно заметная (до 5%) в толще верхнедевонско-турнейских отложений (dH3-2К).

.        В результате миграции получен глубинный сейсмический куб, поведение отражающих горизонтов в котором наиболее близко к поведению реальных геологических границ, а мощности между этими отражающими горизонтами соответствуют данным бурения с точностью до 5ч7 м.

.        Успешно решена основная цель глубинной миграции - восстановление пространственных форм скоростных и плотностных неоднородностей Чашкинской нефтяной структуры.

Содержание

Введение

.        Литолого-стратиграфическая и сейсмогеологическая характеристики разреза

.1 Общие сведения о площади работ

.2 Стратиграфия

.3 Тектоника

.4 Нефтегазоносность

. Этап препроцессинга

.1 Методика полевых работ, описание геометрии, биннинг

.2 Атрибуты качества полевого материала

. Базовая обработка сейсмических данных

.1 Расчёт статических поправок за ЗМС

.2 Итеративное уточнение скоростного закона и статических поправок

.3 Частотно-зависимая редакция амплитуд

.4 Поверхностно-согласованная амплитудная коррекция

.5 Поверхностно-согласованная деконволюция сжатия

.6 Подавление случайныхшумов

.7 Обработка сейсмограмм ОСТ. Подавление волн-помех. Коррекция остаточных фазовых сдвигов

.8 Регуляризацияданных

. Сейсмическая миграция

.1 Миграция Кирхгофа

.2 Миграция сейсмограмм

.3 Временная миграция до суммирования

.4 Обработка после суммирования

.5 Миграция в глубинной области до суммирования

. Инструкция по охране труда при работе на персональном компьютере

.1 Общие требования безопасности

.2 Требования безопасности перед началом работы

.3 Требования безопасности во время работы

.4 Требования безопасности в аварийных ситуациях

.5 Требования безопасности по окончании работы

.6 Время регламентированных перерывов в зависимости от продолжительности рабочей смены, вида и категории трудовой деятельности с персональным компьютером

Заключение

Список литературы

Список текстовых приложений

Название приложения

Стр.

1

Сводный геолого-геофизический разрез

47

2

Обзорная карта тектонического районирования работ

48

3

Фрагмент временного разреза по профилю BD8006

49

4

Распределение кратности

50

5

Контроль геометрии. Сейсмограмма ОПВ с нанесенной линией мьютинга

51

6

Фрагмент сейсмограммы ОПВ с обозначенными окнами для расчета атрибутов качества сигнала по ближним и дальним удалениям

52

7

Схема RMS амплитуд микросейсм ПВ

53

8

Схема RMS амплитуд микросейсм ПП

53

9

Схема RMS амплитуд сигнала ОСТ 0-17 Гц

54

10

Схема RMS амплитуд сигнала ОСТ 15-40 Гц

54

11

Схема RMS амплитуд сигнала ОСТ 40-100 Гц

55

12

Коррекция амплитуд. Вертикальный срез куба (InLine 1510)

56

13

Карта рельефа

57

14

Схема значений Vзмс

57

15

Построения модели ВЧР методом взаимных точек

58

16

Модель ВЧР построенная с учетом томографии

59

17

Фрагмент суммарного разреза по СLine 1378 полученные с разными вариантами априорных статических поправок

60

18

Пример определения скоростей суммирования Vогт

61

19

Фрагмент суммарного разреза по Cline 1378

62

20

Фрагмент разреза окончательных скоростей суммирования Vогт (Cline 1378)

63

21

Пример подавления случайного шума

64

22

Фрагмент сейсмограммы до, после регуляризации, после временной миграции до суммирования в сортировке ОСТ

65

23

Пример временной миграции до суммирования. Фрагмент суммарного разреза по CLINE 1378

66

24

Временной слайс по суммарному кубу (Т0= 0.924 с)

67

25

Результаты глубинной миграции

68

26

Уточнение скоростной модели в результате томографической инверсии

69

27

Учет VTI анизотропии скоростей

70

28

Сопоставление различных вариантов ГСМ

71

29

Отображение артинских рифов на срезах глубинных сейсмических кубов

72


 

Введение


В настоящей дипломной работе представлены результаты обработки и глубинной миграции сейсмических материалов съемки 3Д Чашкинского месторождения нефти на территории Пермского края. Основное внимание в работе уделено миграционным процедурам: выполнены временная миграция сейсмограмм и глубинная миграция сейсмограмм с использованием современных программных средств.

Повышение эффективности сейсморазведки при поисках и разведке нефтяных и газовых месторождений сложной формы и небольших размеров является актуальной задачей, особенно в старых нефтедобывающих регионах, к которым относится Пермское Прикамье. Имеющийся опыт применения трехмерной съемки 3Д сейсмических данных показывает, что при использовании современных многоканальных телеметрических систем регистрации сейсмограмм и современных приемов и технологий обработки данных сейсморазведки удается значительно повысить вертикальную и латеральную разрешающую способность сейсморазведки. Особая роль в новых технологиях отводится построению глубинно-скоростных моделей пластовых (интервальных) скоростей и миграциям до суммирования.

Процесс построения глубинно-скоростной модели и собственно глубинная или временная миграция до суммирования выделяются, как правило, в самостоятельный этап - этап интерпретационной обработки. Этап назван интерпретационной обработкой по причине вовлечения геологов и геофизиков в интерпретацию скоростей и отражений при выполнении стратиграфической привязки и корреляции волн, анализе пластовых скоростей, в том числе калибровке их по скважинам, оценке геологической информативности результатов миграции.

Результат глубинной миграции до суммирования практически всегда дает существенное, а в некоторых случаях значительное приращение в качестве и точности изображения целевых объектов. Опыт показывает, что даже для горизонтально-слоистых толщ со слабой скоростной дифференциацией эффекты фокусировки и учета преломления при миграции могут быть становятся значимыми. Восстановление шероховатых поверхностей континентальных отложений (типа русел, дельтовых потоков, конусов выноса) на результатах миграции выглядит более достоверным.

Для написания дипломной работы использовалась учебная, научно-техническая, специальная, фондовая ОАО “ПЕРМНЕФТЕГЕОФИЗИКА” литература и интернет ресурсы.

Автор выражает глубокую признательность сотрудникам ОАО “ПЕРМНЕФТЕГЕОФИЗИКА”, в особенности Белозёровой Н.С. и Неганову В.М. за материалы, полезные советы, консультации, предоставленные при написании дипломной работы.

1.      Литолого-стратиграфическая и сейсмогеологическая характеристики разреза

 

.1 Общие сведения о площади работ


В административном отношении месторождение нефти, исследуемое сейсмической съемкой 3Д, находится в Соликамском районе Пермского края в 20 км от г. Соликамска, в 18 км к северо-востоку от г. Березники.

Основным транспортным путем, связывающим район с областным центром, является железнодорожный Соликамск-Березники-Пермь, водный - по реке Кама. Также г. Соликамск соединен с областным центром шоссейной дорогой, пригодной для движения автомобильного транспорта круглогодично.

В орогидрографическом отношении район представляет собой всхолмленную равнину, изрезанную густой сетью расчлененных долин, покрытую лесом. Основной рекой является река Кама. Абсолютные отметки рельефа колеблются от 115-150 м в долине рек до 200-240 м на водоразделах.

Гидросеть принадлежит бассейнам рек: Камы, Усолки, Боровой.

Климат района умеренно-континентальный с холодной и продолжительной зимой и теплым коротким летом.

 

1.2 Стратиграфия

сейсмический амплитудный коррекция поверхностный

По эффективности проведения сейсморазведочных работ площадь проектирования расположена в сейсмогеологической зоне III, для которой характерны малоблагоприятные условия возбуждения и приема упругих колебаний, что приводит к значительным искажениям волновых полей, связанных с распространением в верхней части разреза терригенно-карбонатных трещиноватых плитников соликамского горизонта, резко дифференцированной толщи иренских солей. Наличие рифогенных построек позднедевонского возраста, изменчивость типов разрезов в области развития ККСВ также представляют серьезное препятствие для прохождения сейсмических волн.

Рыхлые отложения - галечники, пески, суглинки, глины, торф четвертичного возраста образуют зону малых скоростей (ЗМС), которая характеризуется минимальными пластовыми скоростями 200-1200 м/с. Мощность ЗМС 5-50 м.

Терригенные отложения шешминского горизонта - песчаники, алевролиты и соликамского - мергели образуют зону пониженных скоростей (ЗПС), в переделах которой пластовые скорости увеличиваются до 2400- 4200 м/с.

По литолого-фациальным и скоростным особенностям разреза в осадочной толще выделены архей-нижнепротерозойский, вендский и палеозойский сейсмокомплексы, границы которых ограничены опорными отражениями.

На сводном геолого - геофизическом разрезе наглядноqa представлена мощная толща осадочных пород, залегающая на эродированной поверхности кристаллического фундамента, приведены различные характеристики разреза территории (Приложение 1). При литологическом описании вмещающих пород использованы данные структурного и глубокого бурения.

Архей-нижнепротерозойский СК-5 представлен архей-нижнепротерозойскими гнейсами, реже гранитами, слагающими кристаллический фундамент. С поверхностью фундамента отождествляется ОГ Ф, залегающий в пределах площади на абсолютных отметках в среднем минус 5,0 км, на временных разрезах в отчетах прошлых лет не прослежен вследствие малой длины рабочей записи (2-3 с).

Породы рифейских сейсмокомплексов на исследуемой территории осутствуют.

Вендский терригенный СК-2 залегает непосредственно на размытой поверхности кристаллического фундамента с угловым и стратиграфическим несогласием. Верхневендские отложения расчленяются на бородулинскую и кудымкарскую серии. На территории Чашкинского лицензионного участка развиты только отложения кудымкарской серии, которая по литологическим признакам делится на северокамскую и краснокамскую свиты. Отложения представлены переслаиванием аргиллитов, алевролитов и песчаников. Мощность пород комплекса по сейсмическим данным составляет порядка 1800-2000 м, пластовые скорости изменяются в пределах 4400-4800 м/с. К подошве вендских терригенных пород приурочен ОГ VВП.

Палеозойский преимущественно карбонатный СК-1 представлен отложениями от раннедевонского до пермского возрастов включительно. В пределах комплекса выделена серия сейсмических подкомплексов (СПК), с поверхностями которых связаны основные региональные отражающие горизонты палеозоя.

Девонский терригенный СПК-7 включает отложения эйфельского яруса, породы воробьевского, ардатовского и муллинского горизонтов старооскольского надгоризонта и пашийского, нижней терригенной части тиманского горизонтов коми надгоризонта живетского яруса. Койвенские песчаники буровато-коричневые кварцевые, алевролиты кварцевые с глинистым ожелезненным цементом со стратиграфическим несогласием перекрывают терригенные породы кудымкарской серии венда. Девонская преимущественно терригенная толща сложена аргиллитами, алевролитами и песчаниками, чередующимися между собой, в тимано-пашийское время развивались светло-серые мелко- и среднезернистые песчаники, в нижней части разреза в основании эйфельского времени - алевролиты почти белые, постепенно сменяющиеся вверх по разрезу аргиллитами. Общая мощность отложений СПК-7 составляет в среднем 60 м, из них мощность пород пашийского горизонта - 4-10 м, тиманского - 10-15 м. Скорость распространения сейсмических волн в комплексе достигает 3900-4200 м/с.

С кровлей терригенных пород тиманского горизонта - ОГ III.

Верхнефранско-турнейский карбонатный СПК-6 включает карбонатную пачку тиманского горизонта, вышележащие отложения франского и фаменского ярусов верхнего девона и турнейского яруса каменноугольной системы. Литологический состав комплекса меняется от карбонатного до карбонатно-терригенного.

В разрезе франского яруса отложения саргаевского и доманикого горизонтов представлены часто чередующимися известняками тонкослоистыми темно-серыми, черными, мергелями, известково-глинистыми и горючими сланцами, вторичными доломитами; отложения воронежского, евлановского и ливенского горизонтов - известняками светло-серыми, темно-серыми, светло-коричневыми, тонкокристаллическими, массивными, крепкими, плотными, прослоями мелкокавернозными, слабо трещиноватыми, кальцитизированными, с редкими примазками черного глинистого материала. Нерасчлененная толща фаменских отложений представлена известняками органогенно-детритовыми, перекристаллизо-ваными. Общая мощность франско-фаменских пород 250-600 м.

Турнейские карбонатные отложения на большей части рифогенного массива размыты, их мощность не превышает 2-17 м, над вершинами органогенных позднедевонских построек, возможно, их полное отсутствие. В направлении к впадинной части площади мощность турнейских отложений достигает 180 м.

Отложения верхнефранско-турнейского комплекса формировались в мелководно-морских условиях осадконакопления, что свойственно для бортовых зон ККСВ, на площади представлены рифовый (гребневый, склоновый подтипы), впадинный, межрифовый типы разрезов. Мощность позднедевонских рифов может достигать 460-500 м.

С поверхностью турнейско-фаменских отложений отождествляется ОГ IIП. Скорость распространения сейсмических волн в пределах впадинного типа разреза составляет 4500-5800 м/с, в бортовой части разреза - 6000-6500 м/с. Общая мощность пород СПК-6 составляет 460-600 м.

К проницаемым разностям турнейско-фаменских отложений приурочена залежь нефти (пласт Т-Фм).

Визейский терригенный СПК-5 представлен переслаиванием алевролитов, аргиллитов и песчаников радаевского, бобриковского и тульского горизонтов, со стратиграфическим несогласием перекрывающие разновозрастные карбонатные породы турнейского и фаменского возрастов. В зонах размыва турнейской поверхности радаевские отложения могут отсутствовать. По литологическому составу алевролиты и аргиллиты часто углистые, встречаются прослои угля, брекчий, углисто-глинистых сланцев. Песчаники светло-серые, кварцевые, относительно изолированы от окружающих их глинисто-алевритовых отложений, часто являются литологически замкнутыми ловушками.

Мощность отложений по данным бурения скважин составляет, в основном, 35-50 м, в скв. 25-Дуринская - 42 м, пластовые скорости изменяются в интервале 3500-4300 м/с. С кровлей терригенных пород тульского горизонта отождествляется ОГ IIК.

К проницаемым разностям тульских, бобриковских, радаевских отложений приурочены залежи нефти (пласты Тл2-а, Бб1, Бб2, Мл).

Верхневизейско-башкирский карбонатный СПК-4 объединяет породы окского надгоризонта, включающего карбонатную пачку тульского горизонта верхневизейского яруса, серпуховского и башкирского ярусов. Толща карбонатных отложений представлена чередующимися известняками и доломитами, неравномерно глинистыми, участками окремнелыми, в верхней части комплекса - брекчиевидными. Мощность комплекса изменяется в пределах 230-340 м, башкирского яруса - 50-61 м, пластовые скорости 5700-6000 м/с. С кровлей карбонатных отложений башкирского яруса отождествляется ОГ IП.

Верейский терригенно-карбонатный СПК-3 представлен аргиллитами с прослоями известняков, мергелем. Мощность комплекса составляет порядка 52-71 м, пластовые скорости изменяются в пределах 44000-4900 м/с. В верхней части комплекса выделяется ОГ IК, приуроченный к терригенным отложениям верейского горизонта.

Среднекаменноугольно-нижнепермский сульфатно-карбонатный СПК-2 представлен каширскими, подольскими и мячковскими отложениями московского яруса, породами верхнего карбона, ассельского, сакмарского, артинского, кунгурского и уфимского ярусов нижней перми. Разрез СПК-2 преимущественно карбонатный.

Известняки московского и верхнекаменноугольного времени доломитизированные, участками окремнелые, прослоями глинистые. Раннепермские породы характеризуются значительной литолого-фациальной изменчивостью. Артинские отложения в верхней части разреза представлены переслаиванием песчаников, алевролитов и аргиллитов с прослоями мергелей, в нижней карбонатной части - известняками органогенными, плотными, доломитами от светло- до тёмно-серых, глинистыми, сульфатизированными, участками окремнелыми и битуминозными, с растительным детритом. На востоке площади артинские карбонаты постепенно замещаются карбонатно-глинистыми отложениями, наращивающими снизу разрез артинского терригенного «клина». На отдельных участках развиты небольшие органогенные постройки артинского возраста. Разрез сульфатно-терригенно-карбонатной толщи кунгурского яруса изменчив. Отложения филипповского возраста представлены ангидритами, разделёнными карбонатными породами, вверх по разрезу - чередующимися мергелями, известняками, доломитами и аргиллитами, доломитами с прослоями известняков, в различной степени глинистыми, мощность филипповских пород уменьшается на восток, при этом мощность первого ангидритового пропластка резко уменьшается с запада на восток. Толща иренского времени сложена ангидритами с прослоями доломитов и известняков, по мере движения на восток верхняя её часть замещается солями, их мощность в направлении центральной части Соликамской впадины увеличивается от 0-100 м до 250 м в пределах Камско-Вишерского соляного вала. Подсолевая толща представлена ангидритами с прослоями карбонатов, которые на востоке площади замещаются глинисто-мергелистыми прослоями, по мере движения на восток в подсолевой толще увеличивается количество и мощность глинистых прослоев. Все закономерности в напластовании отложений кунгурского яруса находят свое отображение в изменении скоростей. Завершают разрез палеозоя соликамские и шешминские отложения уфимского возраста - это плитчатые известняки с прослоями глин и мергелей, иногда с прослоями гипса, красноцветные глины, песчаники и алевролиты. В нижней части соляно-мергельной толщи соликамского горизонта имеется переходная пачка, где возможны газодинамические проявления под влиянием соляной тектоники. В составе переходной пачки от одного до трех пластов каменной соли, переслоенных пластами глинисто-мергельных пород. Отложения соликамского и шешминского горизонтов выходят на земную поверхность.

В толще СПК-2 выделяется несколько регионально выдержанных сейсмических отражающих границ. С поверхностью артинских терригенных пород отождествляется ОГ АТ, с верхней границей карбонатных отложений артинского яруса - ОГ АК, с кровлей кунгурского яруса - ОГ К, с подошвой и кровлей соляной толщи - ОГ СП, СК.

За верхнюю отражающую границу (ВОГ) на исследуемой территории принято отражение СП, залегающее на абсолютных отметках минус 420-500 м.

Общая мощность СПК-2 составляет порядка 1500-1700 м, при этом мощность артинских пород до 250 м, кунгурского яруса - 550-760 м, уфимского яруса - до 200-480 м. Пластовые скорости, в зависимости от прохождения сейсмической волны через сульфатно-терригенную или преимущественно карбонатную толщи, составляют соответственно 2400-4400 м/с, 5800-6400 м/с.

Палеозойский комплекс перекрыт четвертичными отложениями мощностью до 25-50 м, представлен аллювиальными образованиями, слагающими террасы рек. Остатки верхней террасы представлены хорошо окатанным галечником, глинами, песками и торфом. Скорость прохождения сейсмических волн достигает 1200 м/с [5].

 

1.3 Тектоника


В тектоническом отношении месторождение расположено в центральной части Соликамской депрессии Предуральского краевого прогиба, на территории Верхнекамского месторождения калийных солей (Приложение 2).

Геологический разрез, вскрытый скважинами в этом районе, подразделяется на три основных структурных этажа: нижний - вендско-тиманский, средний - саргаевско-артинский (рифовый) и верхний - кунгурско-уфимский.

Нижний структурный этаж по данным единичных разведочных скважин и сейсморазведки моноклинально погружается в восточном направлении с градиентом 15-20 м на 1 км.

Нижняя часть среднего структурного этажа (по карбонатные отложения артинского яруса включительно) также погружается в восточном направлении. В верхней части этажа общий восточный структурный уклон за счет регионального нарастания толщины нижнепермских отложений уменьшается, а в самой верхней части меняется на противоположный. Геометрия структурных планов основных реперных горизонтов среднего структурного этажа в значительной степени контролируется строением верхнедевонско-турнейского терригенно-карбонатного комплекса. Этот комплекс пород образован в условиях резко дифференцированного осадконакопления в период формирования Камско-Кинельской системы прогибов. В позднедевонскую эпоху территория современной Соликамской впадины представляла собой крупный архипелаг среди глубоководного шельфа, образованный рифовыми массивами островного типа различной величины или их группами. К структурам облекания позднедевонских рифовых массивов приурочено подавляющее большинство нефтяных месторождений Соликамской депрессии, в том числе и Чашкинское.

Анализ данных сейсморазведки и структурных планов реперных горизонтов карбона и толщин, заключенных между ними пород, показал, что строение рифогенных структур типично для позднедевонских рифовых массивов островного типа, имеющих форму атолла, в виде незамкнутого кольца. Для надрифового разреза характерна сокращенная толщина или полное отсутствие отложений турнейского яруса, частично размыта и кровельная часть фаменского яруса (чаще всего в объеме заволжского горизонта).

В верхней части среднего структурного этажа в карбонатной толще артинского яруса развиты холмовидные органогенные постройки волимской группы, достигающие высоты в несколько десятков метров. В вышезалегающих горизонтах морфологически они выражены слабо, так как почти полностью нивелируются терригенной толщей артинского яруса. Волимские рифы приурочены обычно к карбонатным уступам или располагаются вблизи них. Пример выделения органогенной постройки, осложняющей Чашкинское поднятие, показан на (Приложение 3). К артинским органогенным постройкам могут быть приурочены промышленные скопления нефти.

Строение верхнего структурного этажа подчинено тектонике, заключенной в нем, резко дифференцированной по толщине, соляной толщи. Тектоника соляного и надсоляного комплексов весьма сложна и обусловлена такими качествами солей, как легкорастворимость и пластичность. Основным элементом, осложняющим строение верхнего структурного этажа в пределах описываемой территории, является Дуринский внутриформационный прогиб, прослеживающийся в соляной и местами в подсоляной части иренского горизонта. Здесь из разреза выпадает глинисто-мергелистая пачка толщиной 60-65 м (скважины 18, 31, 32, 302, 303). На бортах прогиба резко сокращается толщина соляных отложений, а в самом прогибе соли практически отсутствуют за исключением нескольких узких, клиновидных, вытянутых по простиранию прогиба соляных линз. Компенсируется прогиб мощной толщей верхнепермских красноцветных отложений. Дуринский прогиб в плане пересекает Чашкинское месторождение в восток-северо-восточном направлении.

Чашкинская структура подготовлена под поисковое бурение в 1968 году по материалам MOB (однократного профилирования). В последствиистроение структуры уточнялось по единичным профилям СП 30/81, 10/82 и 10/84 /105, 106, 107/. Однако технические возможности того времени ограничивали получение кондиционного материала в сложных сейсмогеологических условиях. В 1998 г. при проведении поисковых сейсмических работ ООО «НОВИК» (совместно с ГИ УрО РАН) /66/было уточнено строение не разбуренного глубокими скважинами южного крыла Чашкинской структуры. В результате проведенных работ, в частности, выяснилось, что размеры структуры больше, чем предполагалось ранее. По упомянутым выше причинам при переинтерпретации временных разрезов, полученных в прошлые годы, в картопостроении использованы только уверенно прослеживаемые отражающие границы.

Чашкинский рифовый массив является типичным представителем позднедевонских рифовых массивов островного типа. Собственно органогенные постройки, определяющие морфологию структуры и, особенно внутренней ее части, развиты, в основном, в нижней части массива, соответствующей верхнефранскомуподъярусу. Верхняя часть массива - карбонатная платформа, соответствует фаменскому и турнейскому ярусам. Она преимущественно сложена нормально-слоистыми карбонатными породами и лишь в краевых частях массива развиты органогенные постройки.

На рубеже франского и фаменского, фаменского и турнейского веков зафиксированы значительные перерывы в осадконакоплении, а в результате последнего предвизейского перерыва в осадконакоплении, приведшего к полному размыву турнейского яруса на наиболее приподнятых участках структуры, произошло окончательное формирование морфологии поверхности массива.

По ОГ IIП структура представляет собой уплощенный купол размерами 4.7Ч4.3 км (в пределах изогипсы минус 2020) и амплитудой 80 м. Углы наклона наиболее крутых северного и западного крыльев структуры достигают 10-11є, наиболее пологого юго-восточного крыла - 4-6є. По ОГ IП размеры структуры составляют 4.7Ч4 км в пределах изогипсы минус 1680, амплитуда - 48 м. По ОГ АК размеры структуры 4.1Ч3.1 км, амплитуда 27 м. По ОГ С Чашкинская структура осложнена линейной эрозионной зоной восток-северо-восточного простирания. Эрозионная зона разделяет структуру на два самостоятельных поднятия. Размеры северного поднятия 4.6Ч2.1 км, амплитуда - 24 м. Южное поднятие имеет размеры 5.3Ч1.6 км и амплитуду - 14 м [8].

 

1.4 Нефтегазоносность


Исследуемая площадь относится к Березниковской зоне нефтегазонакопления (ЗНГН) Соликамского нефтегазоносного района (НГР) Камско-Кинельской системы прогибов (НГО) Волго-Уральской нефтегазоносной провинции. Это один из основных нефтегазоносных районов, в пределах которого открыт целый ряд месторождений с промышленной нефтегазоносностью в отложениях от верхнедевонско-турнейского карбонатного до нижнепермского карбонатного нефтегазоносных комплексов включительно.

Перспективность исследуемой территории достаточно высокая, на площади открыто Чашкинское месторождение нефти (пласты Т+Фм, Тл2-а, Бб, Мл), в непосредственной близости находятся Бельское (пласты Тл2, Бш, А), Жилинское (пласты Т+Фм,Тл2, Бб, Бш), Проворовское (Т+Фм, Тл2, Бб), Юрчукское (пласты Т+Фм, Тл2-а, Бб, Мл, Бш), Логовское (пласты Т+Фм, Тл2, Бб, Бш), все месторождения расположены на Березниковском плато верхнедевонско-турнейского палеошельфа, в центральной части Соликамской впадины.

Следует отметить, что часть нефтяных месторождений (Бельское, Чашкинское, частично Юрчукское) находится на территории Верхнекамского месторождения калийных солей (ВКМКС).

Ниже более детально приводится описание нефтепроявлений и залежей нефти Чашкинского месторождения.

Верхнедевонско-турнейский карбонатный НГК объединяет отложения франского, фаменского и турнейского ярусов. Пласты - коллекторы, как правило, имеют сложное строение, и наряду с основным поровым типом, могут иметь порово-трещинный и порово-кавернозный типы.

Залежь пласта Т+Фм Чашкинского месторождения приурочена к верхней подразмывной части карбонатного массива турнейско-фаменского возраста.

По литологическому составу пласт представлен комковато-сгустковыми известняками с кальцитовым разнозернистым цементом.

Коллекторы турнейско-фаменского пласта имеют сложное строение. Покрышкой залежи служат плотные карбонатные породы турнейско-фаменского возраста и непроницаемые аргиллиты и алевролиты радаевского горизонта. Пласт распространен по всей площади месторождения, глубина залегания составляет около 2240 м.

Общая толщина пласта в пределах нефтяной части залежи составляет 1,0-31,4 м, среднее значение - 14,5 м. Эффективная нефтенасыщенная толщина составляет 1-10,8 м. В составе пласта выделяется 1-12 проницаемых прослоев, коэффициент песчанистости - 0,41.

ВНК принят на абсолютной отметке минус 1986 м по данным ГИС и опробованию скважин. Размеры залежи составляют 3,7Ч3,0 км, высота - 33 м. Тип залежи - массивная.

Нижне-средневизейский терригенный НГК представлен отложениями радаевского, бобриковского и тульского горизонтов. Промышленная нефтегазоносность комплекса установлена практически на всех месторождениях Березниковской ЗНГН (Чашкинское, Бельское, Жилинское, Проворовское, Юрчукское, Шершневское, им.Архангельского, Логовское, Сибирское, Уньвинское). Литологически комплекс представлен переслаиванием песчаников с алевролитами и аргиллитами. Пласты-коллекторы сложены песчаниками и алевролитами. Особенностью строения верхней части разреза визейской толщи (тульский горизонт) является тонкослоистость отложений, но могут встречаться и линзовидные песчаные тела, предположительно барового или руслового генезиса. Подобные линзы песчаников выявлены в скв. 5 (Бельское м-е, пласт Тл2), в скв. 726 (Юрчукское м-е). Отложения нижней части разреза чаще характеризуются преобладанием песчаников как бобриковских, так и радаевских, что может быть обусловлено развитием палеоврезовых образований. Как показывает практика, в тульское и радаевское время песчаники увеличенной толщины (> 5 м) развивались в основном локально, а в бобриковское время седиментация песчаного материала происходила более интенсивно, как по разрезу, так и по площади.

На Чашкинском месторождении нефтеносность установлена в пластах Тл2-а, Бб1, Бб2, Мл.

Пласт Тл2-а

Пласт Тл2-а представлен переслаиванием песчаников с алевролитами и аргиллитами. Залегает на глубине порядка 2170 м. Пласт не выдержан по площади месторождения. Коллектор приурочен к центральной части поднятия и протягивается с севера на юг. С запада и востока его ограничивают зоны замещения. Небольшая отдельная линза выделена в восточной части структуры.

ВНК принят на абсолютной отметке минус 1943 м по данным ГИС и опробованию.

Общая толщина пласта изменяется от 4,0 м до 9,3 м и составляет в среднем 6,6 м. Среднее значение эффективной нефтенасыщенной толщины равно 1,8 м. Коэффициент песчанистости составляет 0,27, расчлененности-1,38.

Тип залежи - пластовая сводовая литологически экранированная, её размеры - 1,5Ч3,0 км, высота - 40,0 м.

Пласт Бб1

Пласт Бб1 представлен переслаиванием песчаников, алевролитов и глин, залегает на глубине 2180 м.

Коллектор пласта Бб1 установлен в его верхней части, прослеживается, в основном, в северо-западной и центральной частях поднятия и представлен одним прослоем толщиной 0,6-6,4 м.

ВНК принят единым с пластом Бб2 на абсолютной отметке минус 1980 м по данным ГИС и опробованию скважин.

Среднее значение эффективной нефтенасыщенной толщины пласта составляет 1,4 м. Коэффициент песчанистости равен 0,99, расчлененности -1,17.

Тип залежи - пластовая сводовая литологически экранированная, её размеры составляют 1,0Ч2,2 км, высота - 56,3 м.

Пласт Бб2

Разделом между пластами Бб1 и Бб2 служит прослой плотных глинистых и песчано-алевролито-глинистых пород толщиной около 1,5 м. Пласт Бб2 залегает на глубине около 2190 м. Покрышкой залежи служат плотные глинисто-алевролитовые породы толщиной 3,6-6,2 м. Пласт имеет повсеместное распространение.

ВНК принят на абсолютной отметке минус 1980 м по данным ГИС и опробованию.

Общая толщина пласта составила 6,4-22,9 м, в среднем - 15,1 м. Эффективная нефтенасыщенная толщина изменяется от 2,8 м до 19,6 м, в среднем равна 11,6 м. Коэффициент песчанистости принят 0,74, расчлененности - 6,84.

Тип залежи - пластовая сводовая. Размеры залежи составили 3,0Ч4,5 км, высота - 65,1 м.

Пласт Мл

Пласт Мл представлен переслаиванием песчаников, алевролитов и аргиллитов, залегает на средней глубине 2220 м. Покрышкой служат плотные глинисто-алевролитовые породы радаевского горизонта толщиной 2-5 м. На Чашкинском месторождении установлены три промышленные залежи нефти.

ВНК по залежам принят на абсолютной отметке минус 1980 м по данным ГИС и результатам опробования.

Залежь в районе скв. 159 имеет размеры 0,4Ч1,5 км, высота составляет 43,6 м. Тип залежи - пластовая сводовая литологически ограниченная.

Размеры залежи в районе скв. 193 составляют 0,2Ч0,9 км, высота - 33,7 м. Тип залежи - пластовая сводовая литологически экранированная.

Размеры залежи в районе скв. 59 - 0,25Ч0,8 км, высота - 8,0 м. По типу залежь пластовая сводовая литологически экранированная.

Общая толщина пласта составляет 2,2 м. Эффективная нефтенасыщенная толщина пласта составляет 0,8-3,6 м, в среднем - 2,0 м. Коэффициент песчанистости равен 0,94, коэффициент расчлененности - 1,11.

Верхневизейско-башкирский карбонатный НГК представлен карбонатными окскими, серпуховскими и башкирскими отложениями. Разрез, как правило, имеет тонкослоистое строение, проницаемые прослои маломощные, в основном, до 1 м, реже до - 3 м. Мощность башкирских карбонатных отложений составляет порядка 50 м.

На Чашкинском месторождении нефтеносность комплекса не установлена.

Верейский терригенно-карбонатный НГК представлен известняками с прослоями аргиллитов в нижней части разреза. Основная нефтегазоносность комплекса связана с пластами В3 и В4, рассматриваемые совместно. Коллекторами являются известняки порового типа со средней пористостью 15 %. Средняя мощность комплекса составляет 60 м, эффективная нефтенасыщенная мощность пласта В3В4 - 1,7 м. В кровле и подошве пласт В3В4 ограничен пачками аргиллитов и алевролитов.

Нефтепроявления различной интенсивности отмечены в скважинах Чашкинского, Жилинского, Бельского, Юрчукского месторождений.

Промышленная залежь нефти установлена на Уньвинском месторождении, расположенном на юге Соликамской депрессии. ВНК принят на абсолютной отметке минус 1658 м.

Каширско-гжельский карбонатный НГК объединяет породы каширского (пласт К), подольского (пласт Пд), мячковского (пласт Мч) горизонтов и верхнекаменноугольные отложения (пласт С3). Комплекс представлен переслаиванием известняков и доломитов. Коллекторами являются преимущественно трещиноватые известняки.

На Чашкинском месторождении нефтеносность комплекса не установлена.

В отношении нефтегазоперспективности на исследуемой территории наибольший интерес представляют верхнедевонско-турнейский карбонатный и нижне-средневизейский терригенный нефтегазоносные комплексы, являющиеся промышленно нефтеносными. К менее перспективным относится верхневизейско-башкирский и верейский терригенно-карбонатный НГК. Потенциально перспективными могут быть девонский и вендский преимущественно терригенные НГК [9,10].

 

2. Этап препроцессинга

 

.1 Методика полевых работ, описание геометрии, биннинг


В данном исследовании представлены основные этапы и результаты обработки данных 3D, полученных в 2014 году на Чашкинском месторождении, расположенном на территории Пермского края.

Методика полевых работ: вид работ - МОГТ 3D, система наблюдения - ортогональная типа « крест», блочная. Интервал между линиями приема 250 м, между линиями возбуждения - 250 м, интервал между пунктами приема 25 м, пунктами возбуждения - 25 м. Количество активных каналов в блоке 4000, номинальная кратность наблюдений 100, длина записи 3 с, шаг дискретизации 0.001 с.

Объем обработанных сейсморазведочных материалов МОГТ 3D по контуру ненулевой кратности составил 54 км2.

Обработка сейсмического материала проводилась в ОАО “ПЕРМНЕФТЕГЕОФИЗИКА” с использованием программного комплекса Geovation версии 4100/5000/6401 компании CGG (ФРАНЦИЯ) с привлечением ряда внесистемных программ отечественных авторов, адаптированных к основному пакету (пакет BONUS ОАО СИБНЕФТЕГЕОФИЗИКА). Априорные статические поправки были рассчитаны в программном пакете FATHOM (компания GMG США).

Для расчета статических поправок и создания априорной скоростной модели использовались данные 4 скважины с СК и 7 скважин с МСК.

Была произведена проверка топоданных и геометрии отработки исходного материал. Выполнено формирование исходного полевого материала (формат SEGD) во внутренний формат обрабатывающей системы GEOVATION (сейсмический сервер данных SDS-сервер), присвоение, проверка геометрии и контроль качества (расчет атрибутов сейсмической записи).

В ходе анализа сейсмических данных ошибок геометрии не обнаружено. Размер бинавыбран 12.5 м х 12.5 м. Анализируя схему кратности (Приложение 4) можно сделать вывод в целом о соответствии реальных данных проектным. Диапазон изменения кратности 1-106, преобладающая кратность 100. Описание геометрии и проверка полевых sps файлов проводилось в приложении ONSET.

Проверка геометрии выполнялась методом наложения линии мьютинга на сейсмограммы ОПВ (Приложение 5).

 

2.2 Атрибуты качества полевого материала


Для оценки качественных показателей полевого материала, используя модуль QCXPS в соответствующих окнах (Приложение 6) были рассчитаны следующие атрибуты качества - RMS амплитуды микросейсм по источникам (Приложение 7), RMS амплитуды микросейсм по приёмникам (Приложение 8), соотношение сигнал/микросейсмы по источникам, соотношение сигнал/микросейсмы по приёмникам, RMS сигнала амплитуды в частотном диапазоне 0-17 Гц (Приложение 9), 15-40 Гц (Приложение 10), 40-100 Гц (Приложение 11) (по сейсмограммам в сортировке ОСТ).

По эффективности проведения сейсморазведочных работ площадь расположена в сейсмогеологической зоне III, для которой характерны малоблагоприятные условия возбуждения и приема упругих колебаний, что приводит к значительным искажениям волновых полей, связанных с распространением в верхней части разреза терригенно-карбонатных трещиноватых плитников соликамского горизонта, резко дифференцированной толщи иренских солей. Наличие рифогенных построек позднедевонского возраста, изменчивость типов разрезов в области развития ККСВ также представляют серьезное препятствие для прохождения сейсмических волн. На схемах представленных атрибутов, в правом верхнем углу площади выделяется зона повышенных значений среднеквадратической энергии амплитуд в правом верхнем углу площади (северо-восточная часть) (Приложения 10, 11), повышенного соотношения сигнал-помеха за ПВ.

В (Приложение 12) показан вертикальный срез априорной суммы без регулировки амплитуд. Выделяется амплитудная аномалия в северной части среза.

Поверхностно-согласованная коррекция амплитуд (3 этапа) в окне 0.3-1.3 с полностью не компенсируют амплитудную аномалию в горизонтальном и вертикальном направлении (Приложение 12 А). Амплитудную аномалию удалось устранить, путем применения динамического выравнивания в широком временном окне 0-3 сек (Приложение 12 Б, В).

 

3. Базовая обработка сейсмических данных

 

.1 Расчёт статических поправок за ЗМС


После перевода сейсмограмм во внутренний формат и присвоения геометрии, была выполнена обработка с целью получения априорных статических поправок.

Статические поправки рассчитаны по первым вступлениям преломленных волн от первой жесткой границы с применением комплекса программ FATHOMMILLENIUM фирмы GREENMOUNTAINGEOPHYSICS (USA). Абсолютные отметки рельефа колеблются от +126.9 до +256.5 м (Приложение 13). Уровень приведения + 100 метров. Рельеф местности пересеченный, осложненный речными долинами и оврагами. Территория характеризуется сильной залесенностью (до 70 %) и заболоченностью, наличием шахтных полей, подземных выработок и т.д. Абсолютные отметки рельефа колеблются от +139 м до +242 м на водоразделах и вершинах холмов. Качество прослеживания первых вступлений преломленной волны удовлетворительное (Приложение 2). Рыхлые отложения - галечники, пески, суглинки, глины, торф четвертичного возраста образуют зону малых скоростей (ЗМС).

Вертикальные времена изменяются в диапазоне 3-30 мсек и скорости в ЗМС (Приложение 14), рассчитанные по формуле Vзмс=Dскв./Tверт., изменяются в диапазоне 94-2666 м/сек.

Изученность СК ВЧР низкая. Для расчета априорных статических поправок к уровню приведения +100 м использовались материалы 4-х СК и 3-х МСК. Учитывая сложность ВЧР и для корректного расчета статических поправок (построения глубинно-скоростной модели ВЧР) необходимо было провести МСК в рамках контура площади с плотностью 1 скв. на 1 км2.

Скорости до преломляющей границы рассчитаны методом взаимных точек. Модель ВЧР принята двухслойной. Метод расчета СТП состоял из нескольких этапов:

- пикирование годографов преломленных волн (пропикирована каждая сейсмограмма);

выбор диапазонов удалений, в пределах которых прослеживаются соответствующие преломляющие границы (0-1000 м) (Приложение 14);

- анализ скоростей преломленно-рефрагированных волн с использованием метода взаимных точек (Приложение 15А, Б);

- построение модели ВЧР (двумя способами - двухслойной методом взаимных точек (Приложение 15) и методом томографической инверсии (Приложение16), расчет априорных статических поправок до уровня приведения +100 метров.

По результатам анализа полученных значений априорных статических поправок, карт V0 рассчитанных по формуле V0 = (ALT-100)/Tпп и поведения Т0 на временных сейсмических разрезах, полученных с различными вариантами статических поправок, был выбран вариант расчета поправок методом томографической инверсии. Поведение статических поправок в плане, посчитанные томографическим способом, выглядят более сглаженно (более низкочастотные). На временных разрезах, полученных с различнымвариантами расчета априорных статических поправок, поведение T0 отличаются незначительно (Приложение17).

В качестве скорости замещения для расчета априорных статических поправок за рельеф, способом томографической инверсии, была использована среднеарифметическая скорость в подстилающих породах, V = 3000 м/с.

 

3.2 Итеративное уточнение скоростного закона и статических поправок


Для данного этапа использовались сейсмические материалы после процедур поверхностно-согласованной деконволюции (модуль DECSC), частотно-зависимого шумоподавления (модуль REDSP), полосовой фильтрации (модуль FILTR) в частотном диапазоне 6-12-40-70 Гц, автоматическая регулировка усиления (модуль DYNQU).

Выполнены следующие этапы коррекции статики и кинематики:

1)  Первая итерация скоростей суммирования посредством пикирования «вручную» вертикальных спектров скоростей в интерактивном приложении Сhronovista. Шаг точек анализа = 0.5 км х 0.5 км;

2)      Две итерации коррекции статических поправок с помощью интерактивного приложения PACS и модуля TDSAT.

Вторая итерация скоростей суммирования посредством пикирования «вручную» в интерактивном приложении Сhronovista (Приложение 18). Шаг анализа 0.125 м х 0.125 м.

В (Приложение19) в сравнении приведены временные разрезы на начальной и конечной стадии процесса коррекции остаточных статических и кинематических поправок.

Получена модель среднеквадратичных скоростей суммирования (Приложение 20).

 

3.3 Частотно-зависимая редакция амплитуд


Для подавления поверхностных и звуковых волн, просечек, шумящих каналов, по сейсмограммам ОПВ, была использована процедура гармонизации амплитудно-частотного спектра модуль REDSP. Алгоритм программы основан на ослаблении в волновом поле шумовой компоненты, которая проявляется в виде аномальных значений в амплитудно-частотном спектре при переменном по времени спектральном анализе исходной сейсмограммы. Редактирование «аномальных выбросов» амплитуд происходит до величины, которая не превышает заданный пользователем пороговый уровень. Ключевыми параметрами для работы модуля являются: Т = массив узловых точек по времени, на которых задаются значения параметров Dlim; Dlim = (%) массив значений параметра, на основании которого рассчитываются пороговые значения амплитуд, при превышении которых происходит корректировка амплитуд на текущей частоте и на текущем времени. По результатам тестирования были выбраны следующие параметры работы модуля:

- T = 10, 1200, 2000, 3000;

- Dlim = 1300, 1300, 600, 400.

 

3.4 Поверхностно-согласованная амплитудная коррекция


После подавления помех проведена первая итерация поверхностно-согласованной коррекции амплитуд. Использовались модули AMPOF и AMPCS - расчет и коррекция амплитуд с учетом поверхностных условий с помощью итерационного разложения Гаусса-Зеделя. Амплитудные поправки применялись за ПВ и ПП (опция AD), без коррекции за удаления (опция OF). Выполнено три итерации расчета и применения SCAC.

Амплитуды анализируются в окне 300-1300 мс, затем рассчитываются коэффициенты для источников и приемников для нормализации.

 

3.5 Поверхностно-согласованная деконволюция сжатия


Следующей процедурой, позволяющей стабилизировать спектральный состав и форму записи, была нуль-фазовая поверхностно-согласованная деконволюция сжатия (модуль DECSC). Основное назначение которой - расширение частотного диапазона сейсмической записи и компенсация частотной неидентичности поверхностных условий возбуждения и приёма. С целью устранения смещения нуля и высокочастотного шума перед и после процедуры деконволюции применялась процедура полосовой фильтрации (модуль FILTR) в полосе частот 2-12-90-120 Гц.

Выбраны следующие параметры деконволюции:

·        Длина оператора: 300 мс;

·        Окно для расчета оператора: 150-1500 мс;

·        Процент белого шума 1 %.

Далее были рассчитаны и введены поверхностно-согласованные амплитудные поправки (AMPOF+AMPSC). Выполнена вторая итерация частотно-зависимого шумоподавления (REDSP) со следующими параметрами:

T = 50, 400, 600, 1500, 2000, 3000;

Dlim = 800, 800, 800, 400, 200, 200.

 

3.6 Подавление случайных шумов


Для подавления случайных шумов использовался модуль PRF3D. Данная процедура отделяет сигнал, допускаемый для прогнозирования по х, от непрогнозируемого шума по всем диапазоне частот. Используемая проективная фильтрация обрабатывает сигнал таким образом, как будто он прошел через фильтр со значением 0 или 1, что обеспечивает сохранение сигнала, и, в тоже время оптимизирует подавление случайных помех (Приложение 21).

Параметры:

- длина фильтра прогнозирования LOPX3, LOPY3;

частотный диапазон 0-120 Гц;

группирование трасс в поперечной расстановке (кросс спред);

- обработка во всем временном интервале 0-3000 мс.

 


 

.7 Обработка сейсмограмм ОСТ. Подавление волн-помех

 

Коррекция остаточных фазовых сдвигов

По сейсмограммам ОСТ были дополнительно проведены процедуры подавления остаточного шума (модуль SPARN), подавления линейных волн-помех (модуль FKFIL), подавления кратных волн-помех (модуль RAMUR), коррекции остаточных фазовых сдвигов (модуль ASTACK). Параметры модулей были выбраны по результатам тестирования.

Для подавления остаточного нерегулярного шума применялся модуль SPARN. Модуль выполняет фильтрацию нерегулярного шума в частотно-пространственной области (f-x). Этот модуль отделяет сигнал, допускаемый для прогнозирования по х, от непрогнозируемого шума, во всем диапазоне частот сигнала. Сигнал после фильтрации выглядит так, как будто он прошел через фильтр со значениями спектра 0 или 1. Это обеспечивает сохранение сигнала, и, в то же время оптимизирует подавление случайных помех. Проектируемый фильтр рассчитывается на основе автообратного фильтра ошибки предсказания. Основные параметры модуля SPARN следующие:

· Полоса подавления 2-120 Гц(FMAX,FMIN);

·        Параметр аддитивного предварительного отбеливания XF0.1;

·        Длина фильтра ошибки предсказания 20 трасс (LOPX20).

Для подавления остаточных волн-помех с линейным типом годографа был использован модуль FKFIL (подавление волн с кажущейся скоростью выше 5000 м/c).

Радон-преобразование для подавления многократных волн основано на различии скоростных характеристик полезных волн и многократных волн (модуль RAMUR MA). После трансформации данных в τ-ρ область происходит разделение энергий полезных волн и волн-помех, строится модель многократных волн, многократные волны вычитаются из исходных данных, затем проводится обратное преобразование в x-t область. Данная процедура выполнялась в сортировке ОСТ.

Пороговые значения кинематических сдвигов, использованные для моделирования кратных волн, составляли:

· Опорное удаление 3800 м;

·        Интервал для подавления многократных волн от DTCUTS 150 мс;

·        DTCUTE 700 мс;

·        Время 400 - 3000 мс.

Для коррекции остаточных фазовых сдвигов использовалась программа ASTACK3D (пакет BONUS). Практика показывает, что выполнение процедур коррекции статических и кинематических поправок не достаточно для полного спрямления годографов отраженных волн. По разным причинам в сейсмограммах остаются переменные по времени фазовые сдвиги, препятствующие синфазному суммированию полезного сигнала. Программа ASTACK3D предназначена для автоматической коррекции подобных сдвигов. Алгоритм работы программы состоит в следующем. На заданной пространственной базе с учетом переменных по времени наклонов горизонтов создается эталон. Сдвиги определяются в процессе корреляции эталона в скользящем по времени окне с трассами. Оцененные сдвиги подвергаются гармонизации и вводятся в сейсмограммы перед окончательным суммированием.

 

3.8 Регуляризация данных


Регуляризация (модуль REG3D) направлена на получение равномерного распределения удалений внутри бина за счет формирования недостающих классов удалений, интерполяции трасс в этих классах и центрирования трасс ОГТ внутри бина. А также для выравнивания кратности по площади. Суть работы программы состоит в том, что позиция средней точки смещается в центр бина путем переноса положения пар ПВ-ПП, при этом удаление и азимут остаются без изменений. Для каждого класса удалений сохранялись трассы, ближайшие к центру бина. Пропущенные трассы внутри бина восстанавливались (параметр MTR). Размер класса удалений был выбран неравномерный.

Количество классов общих удалений: 100

Распределение классов общих удалений:

§ шаг 200 м,        от 0            до 200 м 1 класс

§  шаг 100 м, от 201        до 300 м 2 класс

§  шаг 50 м,   от 301        до 350 м, 3-4 класс

§  шаг 25 м,   от 351        до 3048 м, 5-94 класс

§  шаг 50 м,   от 3049      до 3248 м, 95-98 класс

§  шаг 100 м, от 3249      до 3349 м, 99 класс

от 3350 до максимального удаления, 100 класс.

Результат работы регуляризации показан в (Приложение 22).

 

4. Сейсмическая миграция


В словарях приводится множество значений слова run. Они родственны, но четко различаются между собой. Аналогично этому в геофизической разведке слово migrationимеет около четырех родственных между собой, но различающихся значений. Самым простым из них является значение, сходное со словом “двигаться”. Когда некоторый объект, расположенный в какой-то точке плоскости (x, z), некоторое время спустя обнаруживаетсяв ином месте, мы говорим, что он движется. Точно так же, когда некоторое вступление волны (часто называемое “событием”), расположенное где-то на плоскости (x, t) геофизических наблюдений, обнаруживается в иной точке линии наблюдений, располагающейся на большой глубине z, говорят, что оно мигрирует [4].

Целью сейсмической миграции, в общем случае, является перемещение (или миграция) сейсмического сигнала отраженных волн с поверхности в реальное местоположение отражающих границ или дифрагирующих объектов на глубине, используя скорости сейсмических волн, проходящих сквозь землю. Применяют различные виды и способы миграции: миграции временные и глубинные, миграции до (миграции сейсмограмм) и после суммирования.

Необходимость выполнения миграционных процедур демонстрируется следующим примером. На рис. 4.1 показаны характерные признаки искажения изображений среды на временных разрезах ОСТ.

Прежде всего, это касается наклонных границ. Из-за того, что времена отражения по нормали откладываются наразрезе ОСТ по вертикали, угол наклона границ на нем становится меньше, а сами границы удлиняются по горизонтали. Значит, изображение границ на разрезе ОСТ будет точным, только если они горизонтальны. Изображения узких синклинальных структур, таких, например, как межсоляно-купольные впадины, будут искажаться тем, что отражения от крыльев структуры будут пересекаться, а нижняя вогнутая часть складки будет отображаться в виде петли. Точки дифракции, как уже отмечалось, отображаются на разрезе в виде так называемых дифракционных гипербол. Это означает, что неоднородности и разрывные нарушения, вызывающие дифракцию, проявляются на разрезах ОСТ в виде не отображающих действительность дифракционных гипербол. Поэтому возникает возможность ошибочных геологических представлений, если такие гиперболы принять за отраженные волны.

Рис. 4.1. Искажение изображения среды на временном сейсмическом разрезе ОСТ в случаях: а - наклонной границы; б - узкой синклинальной складки; в - точки дифракции. 1 - истинное положение в разрезе, 2 - положение на разрезе ОСТ.

Из сказанного следует, что временной разрез ОСТ можно применять для геологической интерпретации только к том случае, если среда горизонтально-слоистая или близка к ней. При обычно встречающихся сложных средах (наклонные границы, разрывные нарушения) разрезы ОСТ использовать нельзя и их необходимо подвергнуть дополнительной обработке - миграции.

В более общем смысле сейсмическую миграцию (или учет сейсмического сноса) можно определить, как некоторую процедуру преобразования сейсмической информации (в том числеи временного сейсмического разреза ОСТ) для получения правильного изображения и положения в пространстве отражающих границ и дифрагирующих объектов [3].

 

4.1 Миграция Кирхгофа


Приведенный выше простейший способ осуществления миграции является частным случаем более общего подхода, получившего название миграции Кирхгофа. Существующие способы сейсмической миграции можно подразделить на интегральные, конечно-разностные и спектральные. Мы остановимся только на миграции Кирхгофа, как на наиболее физически понятном интегральном способе.

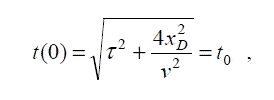
Допустим, что мы имеем разрез ОСТ с одной наклонной отражающей границей R (рис. 4.2а). На этом разрезе времена t0, соответствующие отражениям от границы по нормалям, отложены по вертикальному направлению. Это является причиной того, что положение границы в пространстве на разрезе ОСТ искажено. Задача миграции - правильно восстановить изображениеи положение сейсмических границ в пространстве - эквивалентна правильному восстановлению в пространстве нормальных к границам лучей. Для этого воспользуемся представлением об огибающих изохрон или волновых фронтов, т.е. принципом Гюйгенса-Френеля. С целью миграции границы R предположим, что в каждой общей средней точке М на поверхности находятся источники сферических волн, поскольку скорость в среде постоянна. Тогда соответствующие наклонной границе фронты волн будут представлять полуокружности (дуги) с изменяющимися радиусами t0 во временной области или vt0/2 в глубинной области, а реальная граница R получит новое правильное (мигрированное) положение, которое будет определяться огибающей всех изохрон (рис. 4.2б) или волновых фронтов. При этом времена t0 будут соответствовать нормалям к отражающей границе, выходящим из общих средних точек на поверхности, а сами точки отражения будут соответствовать вертикальным временам tв, относящимся на поверхности к точкам, смещенным в сторону подъема границы относительно средних точек М1…М6.

Рис. 4.2. Разрез ОСТ с наклонной отражающей границей R (а) и её миграция с помощью сферических изохрон (б). Каждая из изохрон в отдельности не показывает истинного положения точек отражения на границе, однако огибающая (касательная) к изохронам определяет эти точки, переводя границу в правильное мигрированное положение R.

Можно показать, что способ фактического распределения отраженного сигнала вдоль миграционных изохрон аналогичен переносу сигналов вдоль дифракционных гипербол в их вершины, которые лежат на изохронах. Если время прихода отраженного импульса на трассе временного разреза в точке М равно t0, то этот импульс может находиться на мигрированном разрезе в любой точке полуокружности (изохроны) с радиусом t0 (рис. 4.3). Таким образом, при миграции мы вправе распределить отраженный импульс вдоль этой изохроны.

Поместим в каждую точку нашей изохроны вершины дифракционных гипербол, геометрия которых обусловлена лучами, распространяющимися из этих точек к поверхности, а именно:


Рис. 4.3. Идентичность процедур развертки сигнала по изохроне и переноса его вдоль дифракционных гипербол. Все вершины гипербол, проходящих через точку М', находятся в точках 1,2,3…,лежащих на изохроне.

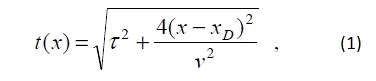
где xD и x - отсчитываемые относительно точки М горизонтальные координаты вершин гипербол и текущие координаты гипербол, соответственно; τ -двойное время для вершины гиперболы. Вдоль каждой из гипербол будем собирать значения амплитуд, суммировать их и сумму помещать в точки, соответствующие вершинам гипербол. Легко показать, что все эти гиперболы будут пересекаться в одной точке, лежащей на изохроне. Действительно, дляточки М', находящейся под М справедливо, что x=0, поэтому время в точке М' для всех дифракционных гипербол будет одинаковым и равным

т.е. все дифракционные гиперболы проходят через точку М'. И если на трассе временного разреза имеется единственный импульс в точке М', то, перенося его в точки вершин дифракционных гипербол, мы получим ту же самую изохрону, имеющую вид полуокружности. Таким образом, распределение амплитуд отраженных сигналов с временного разреза вдоль изохрон полностью адекватно переносу этих сигналов вдоль дифракционных гипербол в их вершины, которые лежат на изохронах.

Миграция Кирхгофа, основанная на суммировании «размазанных» сейсмических сигналов вдоль миграционных изохрон или суммировании сигналов по дифракционным гиперболам, является наиболее понятной с физической точки зрения и чаще реализуется на практике во втором варианте, который получил у нас название дифракционного преобразования (Д-преобразования). Точке дифракции на плоскости временного разреза соответствует дифракционная гипербола. Если каждую точку среды считать источником вторичной (дифрагированной) волны, то отвечающий этой среде временной разрез ОСТ можно представить, как суперпозицию (результат наложения) дифрагированных волн, возникающих в этих точках. Сущность решения задачи миграции состоит в том, что миграцию можно представить как процесс противоположный дифракции. Это значит, что миграция должна осуществлять обратный процесс - стягивать информацию, расположенную вдоль дифракционной гиперболы на временном разрезе в точку, соответствующую вершине гиперболы. Другими словами, если просуммировать значения амплитуд трасс разреза ОСТ в точках их пересечения с вычисленной по формуле (1) гиперболой и суммарную амплитуду, нормированную по числу трасс, поместить ввершину гиперболы, то можно получить правильное изображение среды вэтой точке (рис. 4.4).

Значит, повторяя операцию суммирования по дифракционным гиперболам для всех точек матрицы разреза ОСТ (расположенных по вертикали с шагом дискретизации по времени, а по горизонтали - с шагом трасс ОСТ), можно получить изображение среды - мигрированный разрез, как совокупность неоднородностей, являющихся точками дифракции. При этом должны выделяться как отдельные локальные неоднородности, вызывающие рассеяние сейсмических волн (различные включения, зоны разрывных нарушений и пр.), так и упорядоченные неоднородности - сейсмические границы, каждую из которых можно рассматривать как непрерывный ряд дифрагирующих элементов, самостоятельные изображения которых сливаются в гладкую непрерывную границу.

Рис. 4.4. Фрагмент временного разреза ОСТ с вычисленной по формуле (1) дифракционной гиперболой. Сумма значений амплитуд трасс в точках их пересечения с гиперболой, помещенная в вершину гиперболы D, дает правильное значение амплитуды в этой точке (мигрированное изображение в точке D).

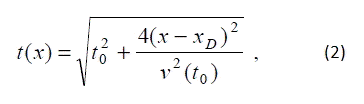
Поскольку в реальных условиях, скорости изменяются с глубиной (со временем), то формула (2) для вычисления дифракционных гипербол трансформируется к следующему виду:


где xD , t0 - координаты вершин гипербол, x - текущие координаты гипербол, а v(t0) - задаваемый скоростной закон. Следовательно, из-за изменения скорости кривизна вычисляемых для миграции дифракционных гипербол не остается постоянной - она изменяется во времени, уменьшаясь с его увеличением.

Критическими моментами при выполнении миграции является выбор правильных кривизны дифракционных гипербол и определение участков разреза, для которых рассчитываются дифракционные гиперболы.

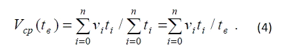
Кривизна гиперболы зависит от значения скорости, задаваемой в формулах (1) или (2) и называемой миграционной скоростью. Эта скорость должна обеспечивать наилучшее по качеству и точности изображение среды, поэтому результат миграции чувствителен к выбору миграционных скоростей. Обычно модель среды считают горизонтально слоистой, для которой характерен эффект преломления на промежуточных границах изотропных слоев, в каждом из которых луч является прямым. Однако, в этом случае, как отмечалось выше, оси синфазности волн могут быть негиперболическими и тогда теряет смысл суммирование вдоль гипербол, предусмотренное миграцией Кирхгофа. Поэтому для обеспечения суммирования вдоль гипербол переходят к определению так называемых предельных скоростей, получаемых по осям синфазности отражений при малых удалениях. В качестве предельной скорости обычно служит так называемая среднеквадратическая скорость VRMS(Root-Mean-Squarevelocity):


определяемая, как корень из взвешенной суммы квадратов скоростей vi в слоях, где в качестве весов фигурируют временные мощности слоев ti=2hi/vi.

Здесь hi- мощности слоев. Использование VRMSпредполагает, что лучи от точки дифракции до поверхности являются прямолинейными и следовательно рассчитанные дифракционные кривые будут являться миграционными гиперболами.

На практике скорости VRMS (t0) по формуле (3) не рассчитывают, считая, что они в первом приближении равны VОСТ(t0) для горизонтально слоистой среды, т.е. VNMO(t0). Таким образом, одни и те же скорости используются какдля ввода кинематических поправок, так и в качестве миграционных скоростей. Ниже упоминается о специальных способах анализа миграционных скоростей, основанных на оценке качества фокусировки амплитудной информации в процессе миграции.

Эффективность миграции Кирхгофа можно показать путем сравнения временного разреза ОСТ и результата его миграции во временной, a затем и глубинной областях. Отметим, что пересчет временного мигрированного разреза в глубинный осуществляется путем нелинейной трансформации каждой трассы разреза в соответствии с заданной кривой v(tв). В качестве последней часто используют среднюю скорость в горизонтально-слоистой среде, характеризующую эту среду в вертикальном направлении:


При пользовании средней скоростью предполагают, что лучи в среде являются прямолинейными. Обычно средняя скорость на несколько процентов меньше, чем среднеквадратическая скорость для той же горизонтально-слоистой среды [3].

4.2 Миграция сейсмограмм


Другим, более современным подходом является непосредственное использование для целей миграции исходных сейсмических данных - сейсмограмм. Это означает, что в противоположность рассмотренному выше процессу миграции после суммирования (poststackmigration), миграция сейсмограмм предшествует суммированию трасс. Поэтому миграция сейсмограммимеет еще и другое название - миграция до суммирования (prestackмigration).

Преимущество миграции сейсмограмм состоит в том, что она, унаследовав все положительные стороны методики ОСТ и последующей миграции его данных - скоростной анализ, кинематическую коррекцию, суммирование трасс сейсмограмм, позволяет более тщательно и детально учитывать скоростную модель среды. При этом, помехи, в том числе и кратные волны, также как и в методике ОСТ, подавляются как при суммировании трасс мигрированных сейсмограмм, так еще и на предварительной стадии обработки, используя различные методы пространственно-временной фильтрации.

При рассмотрении миграции разрезов ОСТ используются простые закономерности поведения миграционных скоростей - скорости считаются постоянными или характерными для горизонтально-слоистой среды. В последнем случае, применяя среднеквадратические (VRMS) скорости, говорят лишь о возможности учета вертикального градиента скоростей. Простейший вариант, называемый временной миграцией сейсмограмм, основан на аналогичных возможностях учета только вертикального градиента скоростей. Преимущество временной миграции сейсмограмм до суммирования перед временной миграцией после суммирования заключается в том, что первая основана наболее локальном определении миграционных скоростей, что приводит к лучшей фокусировке изображений.

Однако в реальности, мощности геологических слоев и скорости в них меняются по горизонтали, что делает необходимым учитывать не только вертикальный, но и горизонтальный градиент скоростей. Как будет показано ниже, все способы временной миграции - после суммирования или до суммирования, основанные на учете только вертикального градиента скоростей, в условиях горизонтальных градиентов скоростей не могут дать правильных результатов. Миграция, основанная на учете не только вертикального, но и горизонтального градиента скоростей, называется глубинной миграцией

Основной целью глубинной миграции до суммирования является «восстановление пространственных форм скоростных и плотностных неоднородностей внутри неоднородной земной среды».Таким образом, очевидным преимуществом глубинного сейсмического куба будет его соответствие реальному геологическому разрезу: поведение поверхностей ОГ в глубинном кубе наиболее близко к поведению геологических границ, к которым они приурочены. Это особенно важно для Чашкинской площади, где скоростные неоднородности ВЧР и пермских отложений заметно искажают поля изохрон временного сейсмического куба.

Другими важными преимуществами глубинной миграции до суммирования перед традиционной 3х мерной миграцией во временной области являются [2]:

более точное отображение особенностей тектонического строения

лучшая фокусировка энергии отражений.

 

4.3 Временная миграция до суммирования


Для выполнения процедуры был использован модуль TIKIM, который выполняет временную миграцию по алгоритму Кирхгофа.

Алгоритм Кирхгоффа - это потрассовая миграция, где каждый выходной дискрет рассматривается как вершина дифракционной кривой. Входные дискреты суммируются или распространяются вдоль кривой дифракции, которая описывается с помощью локально заданной функции скорости. Исходя из этого, изображение отражающей границы создается при помощи усиливающих интерференций. Скорости миграции уточнялись по результатам перебора с шагом 2 процента от окончательных скоростей суммирования в диапазоне 90-104 процентов. В (Приложение 22 В) показан фрагмент мигрированной сейсмограммы ОСТ полученной с уточнёнными скоростями миграции.

Основные параметры модуля TIKIM:

·   максимальное пространственное расширение оператора (апертура) - 2000 м;

·   максимальное ограничение угла наклона оператора -DIPLIM45;

·   применение параметра GSPREAD (компенсация за сферическое расхождение);

·   распределение удалений - OFFSETS = (D12.5, ID35, XPR12.5, XRM3535).

По мигрированным сейсмограммам ОСТ дополнительно применялись процедуры SPARN, FKFIL, ASTACK.

Получение суммарного временного куба проводилось с использованием модуля STAPA. При суммировании применялся внешний мьютинг. Применение миграции позволило уточнить положение отражающих границ, избавиться от осей дифракции устранить явление сейсмического сноса, получить более понятную картину на разрезе (Приложение 23 Б).

 

4.4 Обработка после суммирования


Выполнено подавление остаточной компоненты случайных шумов посредством проективной фильтрации в области f-x, ky (модуль PRF3D).

Параметры:

длина фильтра прогнозирования LOPX5, LOPY5;

частотный диапазон 0-120 Гц;

обработка во всем временном интервале 0-3000 мс.

Для повышения разрешения записи окончательного временного куба была проведена процедура спектральной балансировки (модуль TVDEF) со следующими параметрами (Таблица 1):

Таблица 1

Время начало фильтра, секунд

Полоса пропускания, Гц

0.000

2-110

0.800

2-80

1.400

2-70

3.000

2-40


фактор отбеливания 1300;

длина оператора L300 мс.

Нуль-фазовая деконволюция (модуль SZSHP) миграционных сейсмических данных.

Параметры:

полоса пропускания - 2-4-100-120 Гц;

окно расчета оператора 0-550, 550-750, 750-2000 мс;

фактор отбеливания PREWHT 10;

длина оператора L300 мс.

Полосовая фильтрация (модуль FILTR) в полосе частот 2-12-90-120 Гц.

Применение данных процедур позволило получить более разрешенную волновую картину в целевом интервале в вертикальном и горизонтальном направлении.

Результаты работ данных процедур представлены в (Приложение 23 В) и (Приложение 24 В).

 

4.5 Миграция в глубинной области до суммирования


Помимо временной миграции проведена глубинная миграция по сейсмограммам ОГТ.

Было построено несколько вариантов глубинно-скоростной модели (ГСМ), с которыми проводились миграционные процедуры.

При создании первого варианта ГСМ использовались скорости VОГТ, на основе которых рассчитывался куб среднеквадратичных скоростей VRMS. Скорости VRMS пересчитывались, в свою очередь, в интервальные (Vинт) и инвертировались в глубинную область. С этой априорной скоростной моделью была выполнена глубинная миграция сейсмограмм (модули KIMTR- WEIKO (TOPAK, TTRAY, KIMIP).

Вторым вариантом стало построение «толстослоистой» модели. При таком типе модели скорости в пределах слоя постоянны по вертикали. Главное достоинство слоистой модели - возможность максимально уточнить скорости для нескольких границ - слоев модели, в качестве которых были выбраны основные целевые ОГ, протрассированные во временном кубе: АТ(P1k), АК, (P1k), IП(C2b), IIП(C1t), III (D3tm).

Построение глубинно-скоростной модели выполнялось в специализированном комплексе «GeoVista» с использованием пакетных модулей обрабатывающей системы «Geocluster» для расчета времен прохождения лучей и глубинной миграции сейсмических данных.

Толстослоистая модель, называемая SLT - модель определяется тремя понятиями:

) S (surface) - поверхность;

) L (layer) - слой;

) T (topology) - геометрия и порядок расположения слоев.

Процесс построения глубинно-скоростной модели среды начинался с создания однослойной исходной SLT-модели. В качестве границ между макрослоями принимались поверхности, отслеженные во временном кубе и мигрированные в глубинную область с постоянной интервальной скоростью (средней по данным СК скважин площади).

Для уточнения скоростной характеристики слоя использовалось интерактивное приложение ISO-x, где анализировались наборы глубинных сейсмограмм, предварительно рассчитанных с различными скоростями в диапазоне предполагаемого изменения (dV= -15%ч15% от исходной скорости). Наилучшее спрямление отражения целевого горизонта на сейсмограмме являлось показателем наиболее точной пластовой скорости. С уточненными пластовыми скоростями мигрировала карта Т0 целевого ОГ с использованием лучевой миграции Рунге-Кутта для получения глубинной поверхности нижней границы слоя. Процедура повторялась итерационно для всех слоев модели.

С окончательно сформированной изотропной глубинно-скоростной моделью выполнена глубинная миграция до суммирования способом дифракционного преобразования Кирхгофа (модуль KIMIP).

Результаты миграции с последним вариантом ГСМ показали лучшее качество, и в дальнейшей работе использовалась «толстослоистая» модель (Приложение 25). Для более детального уточнения сейсмических скоростей по разрезу толстослоистая модель была преобразована в «сеточную» - сетку трехмерного грида скоростей, в интервале, включающем всю осадочную толщу пород. Глубинно-скоростная модель создавалась в приложении Vitamin пакета GeoVistа и состояла из двух слоев: 1- водного (в случае наземной съемки - воздушного) и слоя «sedimentory», который включал всю толщу осадочных пород. Созданная ГСМ послужила основой для выполнения томогафической инверсии в приложении VelTracer.- это интерактивное приложение пакета GeoVista, в котором реализован метод выполнения томографической глубинной инверсии для ограниченных удалений, основанный на одном из важнейших критериев нахождения оптимальной модели скоростей - выравнивании RMO (остаточное приращение времени) на сейсмограммах общих точек изображения (CIG).

Для работы инверсии в приложение были загружены априорная скоростная модель (двухслойная) и наборы кривых RMO(C2, C4…) - остаточного приращения времени на сейсмограммах CIG, полученных в результате работы модуля HDRES.

Модуль HDRES выполняет одновременный «пикинг» сейсмограмм PSDM для расчета всех параметров (C2, C4…), создает плотные массивы параметров, описывающих кривые RMO, которые представляются в виде линейных уравнений зависимости от удаления различной степени:

 

Где:

• X - удаление

• XRM - максимальное удаление

• i может быть четным или нечерным (1,2,3…), кратным или однозначным (i={2,4,6}, i=2,…).

Работа инверсии выполнялась в два шага:

. Прямое моделирование, демиграция кривых RMO во временную область с использованием априорной скоростной модели;

. Обратное моделирование, когда с переборами скоростей получали модельные RMO и определяли величину среднеквадратического отклонения (RMS).

Эти два шага повторялись до тех пор, пока финальные кривые RMО не стали достаточно спрямленными. Конечным результатом инверсии явилась уточненная глубинно-скоростная модель (Приложение 26).

С уточнённой глубинно-скоростной моделью была повторена процедура глубинной миграции, получены глубинные сейсмограммы и суммарный глубинный куб.

В глубинном кубе отслежены поверхности основных отражающих горизонтов, выполнен анализ мощностей между целевыми отражающими границами.

Анализ выявил наличие расхождений с данными бурения в точках расположения скважин, обусловленных анизотропией скоростей.

1+2δ)1/2

(1+2ε)1/2

Сейсмические данные регистрируются при многих углах распространения, вследствие наличия выносов. Измеренная скорость сейсмических волн не является ни вертикальной, ни горизонтальной составляющей скорости; это некоторая гиперболическая аппроксимация их смеси. Вертикальная и горизонтальная составляющие скорости относятся к скорости ОГТ, определенной по сейсмическим данным при малых выносах, где:nmo - скорость на малых выносах, рассчитанная в результате анализа скорости суммирования,v - вертикальная составляющая скорости по данным ГИС,h - горизонтальная составляющая скорости, которая неизвестна.

ε , δ - анизотропные параметры Томсена, с помощью которых описывают расхождение по глубине (δ) и остаточное приращение на дальних выносах (ε) для глубинной миграции. Параметр «епсилон» получают в результате анализа остаточного приращения или томографической инверсии, параметр «дельта» получается проще всего из невязки глубин между скважиной и сейсмическим отражением после миграции глубин.

В верхнем интервале разреза была выявлена анизотропия скоростей, особенно заметная (до 19%) в толще терригенных артинских отложений ( dHAТ -AК). В интервале dTАт-Ip величина параметра δ изменяется в диапазоне от (-1%) - 1%, в интервале dTIp-IIp - от 0% до 5%, в интервале dTIIp-III - до -6%. Повышенные значения вертикальной компоненты интервальных скоростей в верхнедевонско-турнейской толще (отрицательный параметр дельта) характерны для девонских, часто трещиноватых карбонатов Пермского края.

Параметр дельта рассчитывался в точках скважин для каждого слоя по формуле:

δ = 0,5 * [(PSDM thickness/MARKER thickness)2-1]

где: PSDM thickness - мощность слоя после глубинной миграции с изотропной моделью;thickness - мощность слоя по скважинным данным.

Для вычисления параметра ε, который определить сложно, применялась приближенная формула: ε = 1,5 * δ.

Полученные значения анизотропных параметров в отдельных точках скважин интерполировались и экстраполировались в пределах всей геометрии съёмки. Окончательная глубинно-скоростная модель создавалась с учетом параметров анизотропии - толстослоистые модели (кубы) параметров анизотропии интегрировались с сеточной скоростной моделью, которая также трансформировалась. В итоге была создана окончательная анизотропная сеточная глубинно-скоростная модель (куб скоростей), с которой проведена финальная миграция.

Процедура глубинной миграции выполнялась на кластерном сервере с использованием комплекса Geocluster (версия 5000).

Получение мигрированного изображения состояло из 2-х этапов. На первом этапе рассчитывались карты времён пробега (модуль TTRAY), при этом на вход модуля расчёта времён пробега подавались глубинно-скоростная модель и модели параметров анизотропии. В соответствии с параметрами анизотропии получаемые карты изохрон трансформировались таким образом, чтобы сохранить спрямление осей синфазности на глубинных сейсмограммах при изменении скоростей миграции. На втором этапе с использованием рассчитанных полей изохрон выполнили глубинную миграцию до суммирования в анизотропном варианте и получили сейсмическое изображение (Приложение 27).

Получены мигрированные глубинные сейсмограммы ОСТ, глубинный мигрированный куб суммотрасс, который затем был инвертирован во временную область (обращённый куб). По обращённому временному кубу были проведены процедуры, аналогичные процедурам, проведённым по суммарному кубу до миграции.

По сейсмическим материалам Чашкинской площади дополнительно опробованы построение ГСМ и миграция сейсмограмм с использованием программного пакета GeoDepth (ParadygmGeophysical).

Построение ГСМ начиналось также в варианте толстослоистой модели, которая уточнялась последующей томографической инверсией. В отличие от примененной ранее методики (GeoVista, CGG), при выполнении томографии изменения скоростей выполнялись в пределах слоев модели (Приложение 28), кроме того, поля скоростей довольно значительно сглаживались. Сравнение результатов миграции показало некоторое улучшение прослеживания отражений в верхнем временном интервале: ОГ АТ, АК

5. Инструкция по охране труда при работе на персональном компьютере

 

.1 Общие требования безопасности


К работе на персональном компьютере допускаются лица, прошедшие обучение безопасным методам труда, вводный инструктаж, первичный инструктаж на рабочем месте.

При эксплуатации персонального компьютера на работника могут оказывать действие следующие опасные и вредные производственные факторы:

повышенный уровень электромагнитных излучений;

повышенный уровень статического электричества;

пониженная ионизация воздуха;

статические физические перегрузки;

перенапряжение зрительных анализаторов.

Работник обязан:

Выполнять только ту работу, которая определена его должностной инструкцией.

Содержать в чистоте рабочее место.

Соблюдать режим труда и отдыха в зависимости от продолжительности, вида и категории трудовой деятельности.

Соблюдать меры пожарной безопасности.

Рабочие места с компьютерами должны размещаться таким образом, чтобы расстояние от экрана одного видеомонитора до тыла другого было не менее 2,0 м, а расстояние между боковыми поверхностями видеомониторов - не менее 1,2 м.

Рабочие места с персональными компьютерами по отношению к световым проемам должны располагаться так, чтобы естественный свет падал сбоку, преимущественно слева.

Оконные проемы в помещениях, где используются персональные компьютеры, должны быть оборудованы регулируемыми устройствами типа: жалюзи, занавесей, внешних козырьков и др.

Рабочая мебель для пользователей компьютерной техникой должна отвечать следующим требованиям:

высота рабочей поверхности стола должна регулироваться в пределах 680 - 800 мм; при отсутствии такой возможности высота рабочей поверхности стола должна составлять 725 мм;

рабочий стол должен иметь пространство для ног высотой не менее 600 мм, глубиной на уровне колен не менее 450 мм и на уровне вытянутых ног не менее 650 мм;

рабочий стул (кресло) должен быть подъемно - поворотным и регулируемым по высоте и углам наклона сиденья и спинки, а также - расстоянию спинки от переднего края сиденья;

рабочее место должно быть оборудовано подставкой для ног, имеющей ширину не менее 300 мм, глубину не менее 400 мм, регулировку по высоте в пределах до 150 мм и по углу наклона опорной поверхности подставки до 20 градусов; поверхность подставки должна быть рифленой и иметь по переднему краю бортик высотой 10 мм;

рабочее место с персональным компьютером должно быть оснащено легко перемещаемым пюпитром для документов.

Для нормализации аэроионного фактора помещений с компьютерами необходимо использовать устройства автоматического регулирования ионного режима воздушной среды (например, аэроионизатор стабилизирующий "Москва-СА1").

Женщины со времени установления беременности и в период кормления грудью к выполнению всех видов работ, связанных с использованием компьютеров, не допускаются.

За невыполнение данной Инструкции виновные привлекаются к ответственности согласно правилам внутреннего трудового распорядка или взысканиям, определенным Кодексом законов о труде Российской Федерации.

 

5.2 Требования безопасности перед началом работы


Подготовить рабочее место.

Отрегулировать освещение на рабочем месте, убедиться в отсутствии бликов на экране.

Проверить правильность подключения оборудования к электросети.

Проверить исправность проводов питания и отсутствие оголенных участков проводов.

Убедиться в наличии заземления системного блока, монитора и защитного экрана.

Протереть антистатической салфеткой поверхность экрана монитора и защитного экрана.

Проверить правильность установки стола, стула, подставки для ног, пюпитра, угла наклона экрана, положение клавиатуры, положение "мыши" на специальном коврике, при необходимости произвести регулировку рабочего стола и кресла, а также расположение элементов компьютера в соответствии с требованиями эргономики и в целях исключения неудобных поз и длительных напряжений тела.

 

5.3 Требования безопасности во время работы


Работнику при работе на ПК запрещается:

прикасаться к задней панели системного блока (процессора) при включенном питании;

переключать разъемы интерфейсных кабелей периферийных устройств при включенном питании;

допускать попадание влаги на поверхность системного блока (процессора), монитора, рабочую поверхность клавиатуры, дисководов, принтеров и других устройств;

производить самостоятельное вскрытие и ремонт оборудования;

работать на компьютере при снятых кожухах;

отключать оборудование от электросети и выдергивать электровилку, держась за шнур.

Продолжительность непрерывной работы с компьютером без регламентированного перерыва не должна превышать 2-х часов.

Во время регламентированных перерывов с целью снижения нервно - эмоционального напряжения, утомления зрительного анализатора, устранения влияния гиподинамии и гипокинезии, предотвращения развития познотонического утомления выполнять комплексы упражнений.

 

5.4 Требования безопасности в аварийных ситуациях


Во всех случаях обрыва проводов питания, неисправности заземления и других повреждений, появления гари, немедленно отключить питание и сообщить об аварийной ситуации руководителю.

Не приступать к работе до устранения неисправностей.

При получении травм или внезапном заболевании немедленно известить своего руководителя, организовать первую доврачебную помощь или вызвать скорую медицинскую помощь.

 

5.5 Требования безопасности по окончании работы


Отключить питание компьютера.

Привести в порядок рабочее место.

Выполнить упражнения для глаз и пальцев рук на расслабление.

 

5.6 Время регламентированных перерывов в зависимости от продолжительности рабочей смены, вида и категории трудовой деятельности с персональным компьютером


1. Виды трудовой деятельности разделяются на 3 группы (Таблица 2): группа А - работа по считыванию информации с экрана компьютера с предварительным запросом; группа Б - работа по вводу информации; группа В - творческая работа в режиме диалога с компьютером. При выполнении в течение рабочей смены работ, относящихся к различным видам трудовой деятельности, за основную работу с компьютером следует принимать такую, которая занимает не менее 50% времени в течение рабочей смены или рабочего дня.

. Для видов трудовой деятельности устанавливается 3 категории тяжести и напряженности работы с компьютером, которые определяются: для группы А - по суммарному числу считываемых знаков за рабочую смену (не более 60000 знаков за смену); для группы Б - по суммарному числу считываемых или вводимых знаков за рабочую смену (не более 40000 знаков за смену); для группы В - по суммарному времени непосредственной работы с компьютером за рабочую смену (не более 6 часов за смену).

. При 8-часовой рабочей смене и работе на компьютере регламентированные перерывы следует устанавливать:

для I категории работ через 2 часа от начала рабочей смены и через 2 часа после обеденного перерыва продолжительностью 15 минут каждый;

для II категории работ через 2 часа от начала рабочей смены и через 1,5 - 2,0 часа после обеденного перерыва продолжительностью 15 минут каждый или продолжительностью 10 минут через каждый час работы;

для III категории работ - через 1,5 - 2,0 часа от начала рабочей смены и через 1,5 - 2,0 часа после обеденного перерыва продолжительностью 20 минут каждый или продолжительностью 15 минут через каждый час работы.

. При 12-часовой рабочей смене регламентированные перерывы должны устанавливаться в первые 8 часов работы аналогично перерывам при 8-часовой рабочей смене, а в течение последних 4 часов работы, независимо от категории и вида работ, каждый час продолжительностью 15 минут [7].

Таблица 2

Категория работы с ПК

Уровень нагрузки за рабочую смену при видах работ с ПК

Суммарное время регламентированных перерывов, минут


группа А, количество знаков

группа Б, количество знаков

группа В, часов

При 8-часовой Смене

при 12-часовой смене

I

До 20000

До 15000

До 2,0

30

70

II

До 40000

До 30000

До 4,0

50

90

III

До 60000

До 40000

До 6,0

70

120


 

Заключение


В дипломной работе представлены основные этапы цифровой обработки, миграционные преобразования сейсмических материалов 3Д, полученных на площади Чашкинского нефтяного месторождения, расположенного на севере Пермского края.

Основная часть исследования посвящена миграционным преобразованиям, которым отводится особая роль в современных технологиях обработки сейсмических данных.

Изложены теоретические основы сейсмической миграции, описаны различные виды миграционных процедур, их достоинства и недостатки. Подробно описана миграция Кирхгофа, так как именно этот вид миграции часто используется на практике, в том числе и в настоящей работе. В процессе обработки были выполнены следующие виды миграции: временная миграция после суммирования (poststackmigration); временная и глубинная миграции сейсмограмм(prestackмigration).

Глубинная миграция сейсмограмм выполнялась в двух вариантах, в двух различных программных комплексах: GeoVista (CGG) и GeoDepth (ParadygmGeophysical). В работе проанализированы особенности построения глубинно-скоростной модели каждой из примененных методик, представлены некоторые результаты.

Процедура глубинной миграции выполнялась на 8-процессорном сервере PCCLUSTER (процессоры INTELPENTIUMXEON 2.4 гГц) с использованием обрабатывающего комплекса Geovation версии 4100/5000/6401, компания CGG (Франция).

Получены мигрированные глубинные сейсмограммы ОГТ, глубинный мигрированный куб суммотрасс, а также конвертированный во временную область куб после глубинной миграции (обращенный).

Для оценки эффектов работы глубинной миграции было выполнено сопоставление срезов куба суммотрасс, полученного с применением традиционной 3х мерной миграции во временной области, со срезами куба, обращенного во временную область после глубинной миграции. Cделаны следующие выводы:

существенно изменились форма записи и поведение линии Т0 ОГ АК; на отдельных участках заметны улучшения в качестве этого отражения, прослеживание которого на данной территории затруднено.

отличия в поведении более глубоких горизонтов невелики, четче обрисовались отражения IП и IIП на склонах Чашкинской структуры в западной части площади, при этом практически не изменилось их положение.

Изучение срезов глубинного куба показало:

выявлена слабая анизотропия скоростей, особенно заметная (до 5%) в толще верхнедевонско-турнейских отложений (dH3-2К). Более высокие интервальные скорости в горизонтальном направлении, свидетельствующие о наличии анизотропии типа VTI (VerticalTransverselyIsotropic), обусловили увеличенные мощности между ОГ глубинного куба.

Для учета влияния анизотропии построена скоростная модель среды, а также кубы анизотропных параметров Томсена (δ и ε).

- в результате миграции с анизотропной скоростной моделью получен глубинный сейсмический куб, поведение поверхностей ОГ в котором наиболее близко к поведению реальных геологических границ, а мощности между этими ОГ соответствуют данным бурения с точностью до 5ч7 м.

Успешно решена основная цель глубинной миграции - восстановление пространственных форм скоростных и плотностных неоднородностей Чашкинской нефтяной структуры.

Список литературы


1. Иноземцев А.Н., Бадейкин А.Н., Коростышевский М.Б., Баранский Н.Л., Птецов С.Н - Современные технологии построения глубинно-скоростных моделей сред и глубинной миграции данных трехмерной сейсморазведки.Ж-л Геофизика, 2003г

. Милашин В.А. - Миграция по исходным сейсмограммам - мода или геолого-геофизическая необходимость. Геофизика, Спецвыпуск «Технологии сейсморазведки - II», 2003, с.180-185

. Воскресенский Ю.Н. -Построение сейсмических изображений. Учебное пособие для вузов. - М.: РГУ нефти и газа, 2006, 116 с.

. Клаербоут Д.Ф. - Сейсмическое изображение земных недр. Пер. с англ.;

Ред. пер. О.А. Потапов. М.: Недра, 1989. 407 с: ил. пер.изд.: США, 1985.

. Буш Д. А. Стратиграфические ловушки в песчаниках. М., «Мир», 1977.

. Викторин В. Д. Влияние особенностей карбонатных коллекторов на эффективность разработки нефтяных залежей. М., «Недра», 1988.

.http://www.vstu.ru/files/webmaster/document/2274/instrukciya_po_ohrane_truda_polzovateley_pevm.pdf

Фондовая литература

. Балашова Н. Г., Попов В. М. Построение геолого-геофизических моделей башкирской, тульского-бобриковско-радаевской и турнейско-фаменской залежей Юрчукского месторождения нефти. Пермь, ТОО «Новик», 1995.

. Протокол ГКЗ №9235 от 20.05.83. Чашкинское нефтяное месторождение. М., 1983, 16 с.

. Шустеф И. Н., Стадникова Н. Е., Голубев Б. М. и др. Отчет по результатам выполнения научно-исследовательских, разведочных и опытно-эксплуатационных работ по Чашкинскому и Юрчукскому месторождениям нефти за 1979-1981 гг. «ПермНИПИнефть». Пермь, 1981.

Похожие работы на - Миграционные преобразования сейсмических данных на примере материалов Чашкинского месторождения нефти

 

Не нашли материал для своей работы?
Поможем написать уникальную работу
Без плагиата!
Без нейросетей!