Рынок ссудных капиталов: сущность, структура и функции

  • Вид работы:
    Курсовая работа (т)
  • Предмет:
    Банковское дело
  • Язык:
    Русский
    ,
    Формат файла:
    MS Word
    87,97 Кб
  • Опубликовано:
    2015-11-24
Вы можете узнать стоимость помощи в написании студенческой работы.
Помощь в написании работы, которую точно примут!

Рынок ссудных капиталов: сущность, структура и функции















Рынок ссудных капиталов: сущность, структура и функции

 

Введение


Важным условием расширения производства и роста благосостояния является возможность привлечения дополнительных денежных средств. Причем, в то время как одни участники рынка в условиях процесса воспроизводства испытывают необходимость в дополнительных денежных ресурсах, другие обладают временно свободными средствами. Данное противоречие разрешается как некое временное перераспределение денежной массы, осуществляемое в особой сфере экономики - рынке ссудных капиталов.

Образование свободного денежного капитала происходит в результате кругооборота функционирующего капитала (торгово-промышленного), личного сектора экономики, денежных доходов и накоплений государства, а также собственных средств кредитных организаций. Наличие свободного, праздно лежащего капитала противоречит самой его природе, денежный капитал выступает в форме ссудного капитала только в случае привлечения его в различные сферы экономики. По целому ряду причин потребность в привлечении свободного денежного капитала всегда имеется в экономике любой страны.

Актуальностью темы возникновения ссудного капитала являются их необходимость в регулировании финансовых отношений. С их помощью можно мобилизовать для каких-либо целей необходимое количество денежных средств, которых в данный момент в наличии нет. Возвратность их обязательна, причём с некоторым увеличением, так называемым процентом.

Преобладавшая государственная форма собственности предполагала в основном централизованное бюджетное финансирование предприятий. Существовавшая ранее система, при которой бюджетные средства выделялись в рамках государственного планирования развития экономики, не учитывала необходимости четкого законодательного регулирования финансово-кредитных вопросов.

С развитием в Республики Беларусь рыночных отношений, появлением предприятий различных форм собственности (как частной, так и государственной) особое значение приобретает проблема четкого правового регулирования финансово-кредитных отношении субъектов предпринимательской деятельности.

В настоящее время назрела необходимость в полной мере использовать экономические рычаги, присущие кредитной сфере, разработать и реализовать принципиально новые подходы к управлению денежным обращением страны.

У предприятий всех форм собственности все чаще возникает потребность привлечения заемных средств для осуществления своей деятельности и извлечения прибыли. Наиболее распространенной формой привлечения средств является получение банковской ссуды по кредитному договору. Однако не только у юридических лиц пользуется популярностью привлечение средств, но и физические лица активно используют возможности займов, ссуд и кредитов. Деньги должны находиться в постоянном обороте, совершать непрерывное обращение. Временно свободные денежные средства должны незамедлительно поступать на рынок ссудных капиталов, аккумулировать в кредитно-финансовых учреждениях, а затем эффективно пускаться в дело, размещаться в тех отраслях, где есть потребность в дополнительных капиталовложениях. Кредит представляет собой движение ссудного капитала, осуществляемое на началах срочности, возвратности и платности.

Целью данной курсовой выяснить основные понятия рынка ссудных капиталов: его проблемы, перспективы развития в современных условиях. Поставленная цель определила следующие задачи для решения:

. Дать понятие, описать структуру и функции рынка ссудного капитала;

. Исследовать компоненты рынка ссудного капитала;

. Проанализировать рынок ссудного капитала в Республики Беларусь. Выявить проблемы и перспективы развития в современных условиях.

 

1. Понятие, структура и функции рынка ссудного капитала

ссудный капитал рынок

1.1 Понятие рынка ссудного капитала


Как экономическая категория ссудный капитал - это денежные средства, отданные в ссуду за определенный процент при условии возвратности.

Формой движения ссудного капитала является кредит. Ссудный капитал представляет собой особую историческую категорию капитала, которая возникает и развивается в условиях капиталистического способа производства.

Для определения современного рынка капиталов необходимо обратиться к понятию ссудного капитала как экономической категории.

Ссудным капиталом называются свободные денежные капиталы, высвобождающиеся у одних предприятий, корпораций и иных экономических субъектов и предназначенные для передачи во временное пользование другим участникам рынка. Отсюда вытекает следующее определение.[1]

Рынок ссудных капиталов представляет собой сферу экономики, где происходит движение или, иначе говоря, перемещение свободных денежных капиталов от кредиторов к заемщикам в любых формах.

Современная структура рынка ссудных капиталов характеризуется двумя основными признаками: временным и институциональным.

По временному признаку различают денежный рынок, на котором предоставляются кредиты на период от нескольких недель до одного года, и непосредственно рынок капиталов, где денежные средства выдаются на более длительные сроки: от года до пяти лет (рынок среднесрочных капиталов) и от пяти и более лет (рынок долгосрочных капиталов).

Рис.1 - Рынок ссудных капиталов[2]

По институциональному признаку современный рынок ссудных капиталов подразумевает наличие двух основных звеньев: кредитной системы (совокупности различных кредитно-финансовых институтов) и рынка ценных бумаг, который разделяется на первичный рынок, где продаются и покупаются новые эмиссии ценных бумаг, биржевой (вторичный) рынок, где покупаются ранее выпущенные ценные бумаги, а также внебиржевой рынок, где совершается реализация ценных бумаг, которые могут быть проданы на бирже. Такой рынок еще называется уличным.

Основными источниками ссудного капитала служат денежные капиталы (денежные средства), высвобождаемые в процессе воспроизводства. К ним относятся:

.        амортизационный фонд предприятий, предназначенный для обновления, расширения и восстановления производственных фондов;

.        часть оборотного капитала в денежной форме, высвобождаемая в процессе реализации продукции и осуществления материальных затрат;

.        денежные средства, образующиеся в результате разрыва между получением денег от реализации товаров и выплатой заработной платы;

.        прибыль, идущая на обновление и расширение производства;

.        денежные доходы и сбережения всех слоев населения;

.        денежные накопления государства в виде средств от владения государственной собственностью, доходы от производственной, коммерческой и финансовой деятельности правительства, а также положительные сальдо национального и местных банков.

При передаче части своего капитала заемщику, сам кредитор лишается возможности получить собственную прибыль за время кредитной сделки. Поэтому заемщик должен платить за полученные в кредит заемные средства - деньги, ссужаемые на время, должны вернуться к кредитору с приращением. Этот прирост, поступающий к собственнику капитала, называется ссудным процентом.

Ссудный процент представляет собой доход, получаемый собственником капитала в результате использования его денежных средств в течение определенного времени. Иначе говоря, это цена кредита.

Заемные средства могут попадать к заемщику двумя основными путями: прямым и косвенным (опосредованным через систему финансового посредничества). [3]

При прямом (непосредственном) заимствовании заемщики берут ссуду у кредиторов на рынке ссудных капиталов, продавая им финансовые инструменты (ценные бумаги). Для покупателя (кредитора) они становятся активами, а для продавца-эмитента (заемщика) пассивами, т.е. обязательствами или долгом. Существуют следующие способы прямого заимствования:

) купля-продажа финансовых инструментов на открытом рынке участниками сделки (кредиторами и заемщиками);

) купля-продажа при помощи фондовых посредников (дилеров и брокеров);

) купля-продажа с участием специального финансового института (инвестиционного банка), помогающего осуществлять первичное размещение финансовых требований.

Обычно рынки прямых кредитов являются крупно-оптовыми, и номиналы продаваемых на них финансовых инструментов достаточно высоки, чтобы существенно ограничить круг возможных покупателей первичных обязательств. Данный недостаток решается с помощью особого финансового института финансовых посредников.

Финансовый посредник - институт, осуществляющий связь между кредиторами и заемщиками, занимая средства у кредиторов и предоставляя их заемщикам. Главной задачей посредничества является преодоление различных затруднений во взаимодействии между кредиторами и заемщиками. При косвенном заимствовании финансовый посредник является кредитором для продавца-эмитента и заемщиком для покупателя вторичных обязательств.

1.2 Структура рынка ссудных капиталов


В период свободной конкуренции основной формой движения ссудного капитала являлся кредит. Он предоставлялся рантье (особыми денежными капиталистами) - различным слоям общества, товаропроизводителями - друг другу, а также банками, которые привлекали свободные денежные капиталы и сбережения одних субъектов и предоставляли их в ссуду другим. [4]

С развитием рынка, расширением объемов капиталов, предоставляемых во временное пользование, с одной стороны, и с ростом спроса на заемный капитал - с другой, структура рынка капиталов и механизм движения ссудного капитала существенно усложнились.

Современная структура рынка ссудных капиталов характеризуется двумя основными признаками: временным и институциональным.

По временному признаку различают денежный рынок, на котором предоставляются кредиты на период от нескольких недель до одного года, и непосредственно, рынок капиталов, где денежные средства выдаются на более длительные сроки: от года до пяти лет (рынок среднесрочных кредитов) и от пяти и более лет (рынок долгосрочных кредитов).

По функционально-институциональному признаку современный рынок ссудных капиталов подразумевает наличие двух основных звеньев: кредитной системы (совокупности различных кредитно-финансовых институтов) и рынка ценных бумаг. Последний, в свою очередь, разделяется на первичный рынок, где продаются и покупаются новые эмиссии ценных бумаг, биржевой (вторичный), где покупаются и продаются ранее выпущенные ценные бумаги, и внебиржевой рынок, где совершается реализация ценных бумаг, которые не могут быть проданы на бирже. Внебиржевой рынок еще называется уличным.

Представим структуру рынка ссудных капиталов с точки зрения функционального и институционального подходов в виде схем.

Рис. 2 - Институциональная структура рынка ссудных капиталов [5]

Рынок ссудных капиталов

Денежный рынок


Рынок капиталов


Рынок ценных бумаг


Конверсионные операции


Краткосрочные депозиты



Среднесрочные кредиты



Первичный рынок



С немедленной поставкой













Учет векселей



Долгосрочные кредиты



Вторичный рынок



Срочные













Краткосрочные кредиты





















Рис. 3 - Функциональная (операционная) структура рынка ссудного капитала [6]

Временной и функционально-институциональный признаки рынка ссудных капиталов характерны для всех стран. Вместе с тем о состоянии национального рынка судят по институциональному признаку, т.е. по наличию двух основных ярусов: кредитной системы и рынка ценных бумаг.

Наиболее развитыми являются рынки капиталов США, стран Западной Европы и Японии. В этих странах существуют разветвленные, гибкие рынки капиталов с хорошо развитыми двумя основными ярусами и разветвленной сетью различных кредитно-финансовых институтов. В то же время рынок капитала в США находится в привилегированном положении, поскольку указанные характеристики в нем представлены значительно ярче и глубже.

1.3 Функции рынка ссудных капиталов


Функции рынка ссудных капиталов определяются его сущностью и ролью, которую он выполняет в экономике, а также задачами по воспроизводству производственных отношений.

Выделяют пять основных функций рынка ссудных капиталов. [6]

) Обслуживание товарного обращения через кредит;

) Аккумуляция или собирание, денежных сбережений (накоплений) предприятий, населения, государства, а также иностранных клиентов.

) Трансформация денежных фондов непосредственно в ссудный капитал и использование его в виде капиталовложений для обслуживания процесса производства.

Эти три функции стали активно использоваться в промышленно развитых странах в послевоенный период.

) Обслуживание государства и населения как источников капитала для покрытия государственных и потребительских расходов (учитывая огромную роль рынка ссудных капиталов в покрытии бюджетных дефицитов и финансировании жилищного строительства через ипотечное кредитование в рамках государственно-монополистического капитализма).

) Ускорение концентрации и централизации капитала для образования мощных финансово промышленных групп.

Отражая накопление и движение денежного капитала, рынок ссудных капиталов органически связан с движением стоимости в ее денежной форме, с образованием и использованием различных денежных фондов в виде кредитных ресурсов и ценных бумаг. Посредством рынка ссудных капиталов как экономической категории можно измерить и определить движение, объем, направление денежных фондов, идущих на развитие общественного воспроизводства, установить классовый спектр использования денежного капитала, воздействие его на социально экономические отношения.

Необходимо отметить также, что:

во-первых, первые три функции стали активно использоваться в промышленно развитых странах лишь в послевоенный период;

во-вторых, в первых четырех функциях, рынок выступает в качестве своеобразного посредника в движении капитала;

в-третьих, все функции направлены на обеспечение эффективного функционирования системы государственно регулируемой экономики.

 

2. Компоненты рынка ссудного капитала

 

.1 Ссудный капитал и источники его формирования


С условиями современной рыночной экономики неразрывно связано понятие ссудного капитала - тех денежных средств собственники, которых отдают их в ссуду (долг) с целью получения прибыли в виде денежного процента при бесспорном условии возвратности первоначального капитала.

Появление ссудного капитала определилось развитием капиталистического способа производства, который выделил его в особую историческую категорию, обслуживающую в основном кругооборот функционирующего капитала.

Первым и основным источником образования ссудных капиталов является часть средств, высвобождаемая в процессе воспроизводства, которая накапливает в себе денежные капиталы. Высвобождению денежных капиталов из процесса производства способствует ряд субъективных факторов: Во-первых, это амортизационный фонд предприятия. Амортизация основных фондов переносит часть их стоимости на себестоимость продукции, результатом которой является высвобождение денежного капитала, который может быть использован для обновления, расширения и восстановления производственных фондов. [7]

Во-вторых, возникает разница выраженная в денежном капитале между стоимостью товара высвобождаемого в процессе реализации продукции и со временем произведения новых материальных затрат на покупку сырья и материалов.

В-третьих, та же разница появляющаяся в результате интервала между временем получения вырученных от реализации доходов и временем выдачи заработной платы.

В-четвёртых, прибавочная стоимость, возникающая в результате производственной деятельности, накопление которой может также не только откладываться в виде денежного капитала, но и при достижении определённых размеров может быть использована для расширения производства, роста дохода, направляться на воспроизводство рабочей силы, производственных отношений.

Часть накопленного денежного капитала оседает в богатства, не использование которого не приносит прибыли.

Вследствие, возникнувшего между денежными капиталами: богатством и капиталом, находящимся в непрерывном движении и приносящим прибыль, противоречия, появляется связующее звено, выступающее посредством кредита. Оно позволяет работать этим капиталам в общем кругообороте производства, принося прибыль: одним в виде прибавочной стоимости, другим в виде ссудного процента.

Вторым источником образования ссудных капиталов являются капиталы рантье (денежных капиталистов) . Капиталистов, которые видят пополнение своих богатств не в том, чтобы извлекать прибыль от вложения в производство, а в том, чтобы дать в ссуду эти капиталы другим капиталистам или государству и заработать с этого ссудный процент при условии возвратности первоначального ссудного капитала . [8]

Третьим источником формирования ссудного капитала является объединение остальных кредиторов вкладывающих свой доход и сбережения в кредитные учреждения. К ним можно отнести страховые компании, пенсионный фонд, временно свободные денежные средства гос.бюджета, сбережения и доходы различных классов и других институтов.

Таким образом, можно сделать вывод, что временно свободные денежные средства, возникающие на основе кругооборота промышленного и торгового капитала, денежные накопления личного сектора и государства образуют источники ссудного капитала.

2.2 Ссудный капитал: спрос и предложение


Сущность движения ссудного капитала наиболее полно проявляется в процессе передачи его от кредитора к заемщику и обратно. Фактически при этом владельцем капитала (кредитором) осуществляется продажа заемщику не самого капитала, а права на его временное использование. Многие экономисты рассматривают ссудный капитал как своеобразный товар, потребительская стоимость которого определяется способностью продуктивно реализовываться заемщиком, обеспечивая ему прибыль (часть которой и используется для последующей выплаты ссудного процента).

Спрос на деньги и их предложение являются наиболее трудно предсказуемыми величинами, поскольку количественно они не могут быть оценены абсолютно точно и окончательно участниками денежного оборота. Соответственно все остальные величины относительные как с точки зрения прогнозирования, так и с точки зрения регулирования денежного оборота. Увеличение спроса на деньги со стороны участников денежного оборота определяется [1]:

-       дальнейшим ростом экономики;

-       снижением инфляции и инфляционных ожиданий;

-       ростом доверия к банковской системе.

В зависимости от того, какими мотивами руководствуется участник денежного оборота, формируется спрос на деньги.

Первый (основной) вид потребности в деньгах, т.е. в запасе денег (трансакционный мотив), обеспечивает текущее хозяйственное функционирование того или иного участника денежного оборота. Для индивида - это запас денег для покупок до следующего получения доходов. Для предприятий запас денег предназначен для обеспечения закупок материалов, выплаты заработной платы и осуществление прочих расходов до получения следующих денежных поступлений от реализации товаров и оказания услуг. Для государства запас денег - это валютные резервы, которые позволяют обеспечить своих резидентов средствами на расчеты по внешнеэкономической деятельности.

Второй вид потребности в деньгах (мотив предосторожности) позволяет участнику денежного оборота создавать резерв денежных средств для снижения рисков в условиях неопределенности и сглаживания неизбежных кассовых разрывов.

Третий вид потребности в деньгах (спекулятивный мотив) возникает в силу того, что современные деньги сами по себе не могут служить средством сохранения стоимости. Определенная часть доходов участника денежного оборота должна использоваться в качестве средства платежа - кредитных ресурсов, приносящих доход в виде процента. Данный спрос реализуется а приобретении не материальных (финансовых) активов участниками денежного оборота. Такими активами могут быть облигации, акции, а также производные финансовые инструменты.

Денежное предложение определяется взаимодействием трех переменных:

. денежной базой Национального банка;

. ставкой процента на денежном рынке;

. нормой обязательного резервирования.

Денежная база Национального банка включает в себя обязательные резервы и наличность. Эта база обеспечивается активами Национального банка: золотовалютными резервами, хранящимися в его портфеле ценными бумагами, кредитами банкам.

Ставка процента на денежном краткосрочном рынке формируется в значительной степени благодаря оптимизации соотношения резервов банковской системы к ее депозитам. На определение нормы обязательного резервирования влияет соотношение наличных денег, находящихся в обороте, и депозитов банковской системы. [9]

На предложение денег также оказывает влияние:

-       розничный товарооборот;

-       поступления налогов и сборов от населения;

-       поступления по банковским вкладам;

-       поступления от реализации ценных бумаг;

-       золотовалютные резервы (особенно при наличии дефицита государственного бюджета);

-       состояние сальдо платежного баланса страны;

-       состояние баланса центрального банка.

Предложение денег формируют все участники денежного оборота. Но банковская система оказывает на предложение денег прямое влияние с помощью:

-       организации более экономического, устойчивого денежного оборота;

-       проведения операций на различных сегментах финансового рынка в целях влияния на структуру денежного оборота;

-       сокращения или увеличения эмиссии денег и других средств платежа.

В зависимости от уровня развития экономики страны, национальных особенностей и финансовых возможностей обеспечение устойчивого денежного оборота осуществляется жестко централизованной системой специализированных подразделений центрального банка или банковской системы в целом. На них возлагаются функции по налаживанию хорошо функционирующего денежного оборота.

Таким образом, замедлении экономического развития и снижения спроса на деньги со стороны экономических агентов, не исключают негативных инфляционных последствий роста денежной массы в условиях сохранения внешнеэкономической конъюнктуры, и для сбалансированности предложения денег и спроса на них требуются усилия.

Денежное предложение должно быть сбалансировано с экономически обоснованным спросом на деньги.

На величину ставки ссудного процента влияют следующие факторы:

. Риск. Чем больше опасений у кредитора, что возможно невозвращение суммы, тем выше ставка процента. И наоборот.

. Срок ссуды. Чем на больший срок предоставляется ссуда, тем больше упущенных (альтернативных) возможностей у кредитора. И риск не возврата. Поэтому кредитор компенсирует и то и другое повышением ставки процента. И наоборот. Однако ставки процента при долгосрочном кредитовании могут быть и ниже, если ссуда направлена на новое строительство, обновление техники и т.д. На такие цели банки предоставляет льготный кредит, а государство поощряет такое кредитование.

. Размер ссуды. При прочих равных условиях ставки выше на ссуду меньшего размера, т.к. административно-управленческие расходы одинаковы при любых размерах ссуды.

. Налогообложение. Поскольку некоторые формы кредита, а, следовательно, и доходы кредиторов, облагаются налогом, то кредитор указанный налог может просто включать в состав процента, вследствие чего последний возрастает.

. Степень монополизации рынка ссудного капитала . Чем меньше банков функционирует на данной территории (в регионе), тем выше ставка процента, и наоборот. Здесь монополия подавляет конкуренцию и диктует свои условия кредитования.

Различают номинальную и реальную ставки ссудного процента. [3]

Номинальная ставка показывает, насколько сумма, которую заемщик возвращает кредитору, превышает величину полученного кредита.

Реальная ставка - это ставка процента, скорректированная на инфляцию, т.е. выраженная в денежных единицах постоянной покупательной способности. Именно реальная ставка определяет принятие решений о целесообразности (или нецелесообразности) инвестиций.

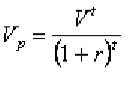
Очень важной стороной движения ссудного процента является его дисконтирование - приведение к одному общему знаменателю величин ссудного капитала в начале и в конце срока кредитования. Чтобы предоставить ссуду, особенно на длительный срок, мы должны рассчитать сегодняшнюю стоимость будущей суммы денег (дохода) или сопоставить сегодняшние затраты и будущие доходы. Иначе говоря, необходимо учесть уровень инфляции. Формула дисконтирования имеет такой вид:

р - сегодняшняя стоимость будущей суммы денег,- будущая стоимость сегодняшней суммы денег (сумма предоставленного кредита плюс процент на него),- число лет,- ставка процента

Таким образом, номинальную ставку процента поправляем на величину предполагаемой инфляции и получаем реальную его ставку. Иначе кредиторы могут понести убытки. Однако ссудный процент не весь является доходом ссудного капиталиста. Он представляет собой сумму из трех компонентов:

-       первый - это учетная ставка или ставка рефинансирования, по которой Нац.банк финансирует коммерческие банки;

-       второй - процент, обеспечивающий безубыточное функционирование банка;

-       третий - банковский процент, выплачиваемый вкладчикам банка.

Эти три компонента и объединяются в понятие ссудного процента, но действительным доходом банка является только вторая часть.

Для создания и увеличения капитала необходимы вложения денежных средств - инвестиции.

Инвестирование - это процесс создания или пополнения запаса капитала. Обычно под процессом инвестирования понимают приток нового капитала в данном году. Различают валовые и чистые инвестиции.

Валовые инвестиции - это общее увеличение запаса капитала. Валовые инвестиции сравниваются с затратами на возмещение.

Возмещение - это процесс замены изношенного основного капитала.

Чистые инвестиции - это валовые инвестиции за вычетом средств, идущих на возмещение.

3. Особенности и перспективы развития рынка ссудных капиталов в Республике Беларусь

• концентрация и централизация капиталов;

• интернационализация и глобализация рынка;

• повышение уровня организованности и усиление государственного контроля;

• компьютеризация рынка ценных бумаг;

• нововведения на рынке;

• секьюритизация;

• взаимопроникновение в другие рынки капиталов.

Тенденция к концентрации и централизации капиталов имеет два аспекта по отношению к рынку ссудных капиталов. С одной стороны, это общерыночная тенденция, которая на рынке ссудных капиталов проявляется в укрупнении организаций профессиональных посредников и в сокращении их количества, включая функционирующие в каждой стране фондовые биржи. Указанные организации становятся все более мощными по размерам собственного капитала и привлекаемым капиталам своих клиентов; разрастается их филиальная сеть как внутри своей страны, так и за рубежом; они становятся все более многофункциональными, и спектр услуг, которые они предоставляют на рынке, становится все более широким; идет процесс их слияния как между собой, так и с другими финансовыми и банковскими структурами. С другой стороны, эта тенденция находит отражение в том, что рынок ценных бумаг сам по себе притягивает все большие капиталы общества.

Интернационализация рынка означает, что национальный капитал переходит границы стран, формируется мировой рынок ценных бумаг, по отношению к которому национальные рынки становятся второстепенными, а барьеры на пути движения капиталов убираются. Рынок ценных бумаг принимает глобальный характер. Национальные рынки - это составные части глобального всемирного рынка ценных бумаг. Торговля на таком глобальном рынке ведется непрерывно и повсеместно. Его основу составляют ценные бумаги транснациональных компаний.

Формирование мирового рынка ценных бумаг - это тот локомотив, который движет вперед процесс в целом. Объединение национальных рынков ценных бумаг в мировой практике идет по таким направлениям, как обеспечение возможности для любого инвестора оперировать с ценными бумагами независимо от их национальной принадлежности; тесная связь национальных рынков между собой благодаря современным средствам связи и организации банковских расчетов в мировом масштабе; переход на единые стандарты деятельности с различными инструментами рынка, а также на фондовых рынках разных стран и их общее регулирование и т.п.

Надежность рынка ценных бумаг и степень доверия к нему со стороны массового инвестора напрямую связаны с повышением уровня организованности рынка и усиления государственного контроля за ним. Масштабы и значение рынка ценных бумаг таковы, что его разрушение прямо ведет к разрушению экономического процесса, процесса воспроизводства вообще. Никакое государство в современную эпоху не может допустить, чтобы вера в этот рынок была бы поколеблена, чтобы массы людей, вложивших свои сбережения в ценные бумаги своей страны или любой другой, вдруг потеряли бы их в результате каких-либо катаклизмов или мошенничества. Все участники рынка поэтому имеют прямую заинтересованность в том, чтобы рынок был правильно организован и жестко контролировался, в первую очередь, самым главным участником рынка - государством.

Но есть и другая причина данного процесса - фискальная.

Усиление организованности рынка и контроля за ним позволяет каждому государству увеличивать свою налогооблагаемую базу и размер налоговых поступлений от участников рынка. Одновременно все более и более перекрываются возможности для «отмывания» денег, полученных от незаконных видов бизнеса - торговли наркотиками и др.

Компьютеризация рынка ценных бумаг - результат широчайшего внедрения компьютеров во все области человеческой жизни в последние десятилетия. Без компьютеризации рынок ценных бумаг в современных формах и размерах был бы просто невозможен. Компьютеризация позволила совершить революцию как в обслуживании рынка, прежде всего через современные системы быстродействующих и всеохватывающих расчетов для участников рынка и между ними, так и в его способах торговли. Компьютеризация составляет фундамент всех нововведений на рынке ценных бумаг.

Нововведения на рынке ценных бумаг и производных инструментов:

• новые инструменты данного рынка;

• новые системы торговли ценными бумагами;

• новая инфраструктура рынка.

Новыми инструментами рынка ценных бумаг являются прежде всего многочисленные виды производных ценных бумаг.

Новые системы торговли - это системы торговли, основанные на использовании компьютеров и современных средств связи, позволяющие вести торговлю полностью в автоматическом режиме, без посредников, без непосредственных контактов между продавцами и покупателями.

Новая инфраструктура рынка - это современные информационные системы, системы клиринга и расчетов, депозитарного обслуживания участников рынка ценных бумаг.

Секьюритизация - это тенденция перехода денежных средств из своих традиционных форм (сбережения, наличность, депозиты и т.п.) в форму ценных бумаг; тенденция превращения все большей массы капитала в форму ценных бумаг; тенденция перехода одних форм ценных бумаг в другие, более доступные для широких кругов инвесторов; тенденция повышения ликвидности (ускорения оборачиваемости) любых активов и пассивов компаний через форму ценной бумаги или с помощью производных инструментов.

Развитие рынка ценных бумаг вовсе не ведет к прекращению использования других рынков капиталов, происходит процесс их взаимопроникновения, взаимостимулирования. С одной стороны, рынок ценных бумаг оттягивает на себя капиталы, а с другой - перемещает эти капиталы через механизм ценных бумаг на другие рынки, тем самым способствует их развитию. Например, все более широкое распространение получает выпуск долговых ценных бумаг под страховку страховых компаний.

Иными словами, инструментарий страхового рынка используется для страхования рисков на рынке ценных бумаг. Выплаты доходов по ценным бумагам ведут к резкому увеличению размеров мирового валютного рынка, что, в свою очередь, является фактором быстрого развития рынка валютных фьючерсных контрактов и опционов и т.п.

В последующие годы на рынке ценных бумаг и производных инструментов все отчетливее проявляются две новейшие тенденции:

• индивидуализация инструментов рынка;

• стирание различий между инструментами рынка.

В первом случае имеет место выпуск таких ценных бумаг и (или) производных инструментов, которые отвечают индивидуальным интересам (требованиям) отдельных эмитентов и инвесторов (или их небольших групп) с точки зрения сочетания доходности, риска, налогообложения и т.п.

Во втором случае создание все новых инструментов рынка осуществляется путем комбинации различных свойств существующих инструментов рынка на каком-либо новом инструменте - «гибридном», или «синтетическом», «искусственном».

На данном этапе развития экономических отношений в Беларуси одной из основных проблем является непонимание потребности в развитом рынке капитала, и, как следствие, недостаточное использование его инструментов и возможностей. Несмотря на наличие законодательных основ его формирования и работу валютно-фондовой биржи, никто не воспринимает рынок капитала как инструмент, позволяющий влиять на ситуацию в реальном секторе экономики. Реальный бизнес в масштабах государства дает не только продукцию, но и экономические показатели, такие как добавочная стоимость, стоимость оборотного капитала и т.д., которые можно и нужно использовать для обеспечения работы рынка капитала. Также следует отметить, что сегодня белорусские банки являются только расчетно-кассовыми центрами. Их операции - это выдача кредитов, принятие и выплата денег, хранение средств вкладчиков, а функции настоящего банка - капитализация денежных потоков и размещение фондовых инструментов.

Капитал является таким же производственным фактором любого предприятия как сырье или основные фонды. Для достижения своей основной цели - увеличения богатства владельцев - ему постоянно приходится искать новые способы доходного вложения своих активов. Помимо этого, принимаемые предприятием инвестиционные проекты нередко требуют привлечения дополнительного капитала. В случае недостаточности внутренних ресурсов (чистой прибыли и амортизации) предприятие должно иметь возможность приобрести недостающий капитал на рынке капитала. В случае, когда у него имеется избыточный собственный оборотный капитал и нет вариантов инвестирования с приемлемой ставкой доходности, предприятие может осуществить финансовые вложения - приобрести ценные бумаги или разместить свободные средства на банковском депозите. Тем самым можно частично возместить альтернативные издержки владения денежными средствами. Покупая ценные бумаги других эмитентов, предприятие продает им свой временно свободный капитал.

Привлечение собственного капитала осуществляется предприятием путем эмиссии обыкновенных и привилегированных акций на так называемых первичных фондовых рынках. Деньги от реализации акций формируют уставный капитал предприятия. Однако в развитых странах наибольший объем сделок с ценными бумагами производится на вторичном рынке, где осуществляется свободная торговля ими. Там также имеет распространение эмиссия краткосрочных корпоративных облигаций. Но к такому способу приобретения краткосрочного капитала обычно прибегают только наиболее крупные компании, для которых издержки эмиссии имеют незначительный удельный вес в сравнении с объемом привлекаемых ресурсов. Наличие вторичного спекулятивного рынка является абсолютной необходимостью для нормального функционирования первичного рынка акций. По закону инвестор не может вернуть предприятию-эмитенту купленные у него ранее акции и потребовать назад уплаченные за них деньги. Для него единственной возможностью избавиться от ставших ненужными бумаг является их перепродажа на вторичном рынке. Если таковой отсутствует или осуществление сделок на нем затруднено, то инвестор просто не станет покупать соответствующие акции в процессе их IPO.

Рынок капитала не является самостоятельной системой взаимоотношений - это инфраструктура, обслуживающая рынок товаров и услуг и обеспечивающая капитализацию средств, размещенных в ценных бумагах, депозитах и других видах вкладов. Отсутствие нормального первичного рынка капитала и ценных бумаг отрицательно сказывается на уровне экономической активности белорусских предприятий, в то же время, получение дополнительного дохода от эксплуатации денег как инструмента может дать колоссальный толчок для притока денег в экономику Беларуси. Грамотное использование рыночных и финансовых инструментов может помочь предприятиям даже при привлечении кредита не только потратить полученные деньги, но и получить прирост, создать необходимые резервы, сформировать бюджет, финансовый план дальнейшего развития на основе долгосрочных инструментов и обязательств. Помимо этого, нормально работающий рынок капитала способствует расширению корпоративной формы предпринимательства, для которой характерно разделение функций владения и управления собственностью.

В настоящее время в Республике Беларусь наиболее развитым и ликвидным является рынок государственных краткосрочных и долгосрочных облигаций с купонным доходом. Он обеспечивает полную прозрачность проведения операций с облигациями и высокую защиту прав инвесторов. Рынок корпоративных облигаций представлен в основном облигациями банков, так как доходы от операций с ними были освобождены от налогообложения. Нельзя не отметить наличия ряда проблем, основной из которых является ограниченная номенклатура выпускаемых ценных бумаг. Поэтому следует проводить работу по созданию условий для роста количественных показателей выпуска и обращения ценных бумаг банков, расширению спектра операций, осуществляемых банками на рынке ценных бумаг, и совершенствованию соответствующей инфраструктуры. Дальнейшее развитие финансового рынка видится, в первую очередь, в расширении круга инвесторов как за счет первичных инвесторов, не являющихся банками, так и физических лиц.

Большую пользу реальному сектору Беларуси принесет выход отечественных предприятий на международный рынок капитала. Это может быть продажа предприятия (обычно - контрольного пакета) стратегическому инвестору или привлечение финансирования на внешних рынках капитала во всех остальных формах (кредиты иностранных банков, облигации, иные долговые ценные бумаги, IPO). Причем второй путь позволяет сохранить контроль над предприятием существующих собственников. Основная часть белорусских предприятий находится на начальной стадии выхода на международные рынки капитала (иностранные кредиты, выпуск облигаций на иностранных площадках). Это связано, во-первых, с низким уровнем прозрачности, так как немногие компании ведут отчетность по МСФО. Во-вторых, с низким уровнем компетенции менеджмента в области международных рынков капитала. Так же существуют различные технические ограничители, например, налогообложение, регулирование процедур выпуска корпоративных ценных бумаг, отсутствие связей с депозитариями других стран и трансграничных сделок, законодательные ограничения.

На сегодняшний день уже принимаются меры для развития внутреннего финансового рынка и создания условий выхода на международные рынки:

получен первый суверенный кредитный рейтинг Беларуси;

принята государственная программа развития внутреннего финансового рынка;

отмена «золотой акции»;

отмена моратория на движение акций;

снижение налогов на операции с ценными бумагами;

создание условий для активизации работы белорусской фондовой биржи.

Сегодня крупнейшие государственные банки имеют возможности для получения синдицированных кредитов, выпуска кредитных нот и еврооблигаций, IPO (выпуск глобальных депозитарных расписок на акции). Успешные частные белорусские компании могут привлекать средства частных инвестиционных фондов в объемах не менее 5 млн. евро на один проект, проводить размещение по закрытой подписке либо выпускать акции по упрощенной процедуре на Варшавской фондовой бирже (площадка на NewConnect).

Крупные государственные предприятия с хорошим уровнем корпоративного управления могут позволить себе IPO (выпуск GDR) и синдицированные кредиты.

Вместе с тем остается целый ряд законодательных барьеров, которые создают в основном технические проблемы для желающих активно участвовать в торговле ценными бумагами. Среди них можно отметить, например, требование о проведении открытой подписки и порядок оплаты финансовых инструментов (проведение оплаты до регистрации акций); требования к документам при совершении сделок; налогообложение сделок с производными инструментами. Законодательством не установлены четкие критерии необходимости обращения в антимонопольный орган. Поэтому фактически любая сделка купли-продажи акций или долей любого предприятия, независимо от его размеров, должна получать согласие антимонопольного комитета. Это противоречит всем международным стандартам, и создает серьезные препятствия для привлечения инвесторов на техническом уровне.

Таким образом, главная задача на сегодняшний день - создание необходимых условий для становления целостного, ликвидного, прозрачного и эффективного рынка капиталов в Республике Беларусь, регулируемого государством и интегрированного в мировой рынок, для привлечения инвестиций, прежде всего в реальный сектор экономики. У Беларуси есть перспективы и пути для развития в данном направлении.

Источники

1.      Федеральный закон « О банках и банковской деятельности». от 29.12.04 г. № 122-ФЗ (в ред. 2009 г. № 19-ФЗ).

.        ХVIII Международный банковский конгресс (МБК - 2009) Издательства «Финансы и статистика».

.        Борисов А.Б Большой экономический словарь. Издание 2-е переработанное и дополненное. - М.: Книжный мир, 2009. - 860с.

.        Банки и банковские операции: Учебник для вузов/ Е.Ф.Жуков, Л.М.Максимова и др., под ред. профессора Е.Ф Жукова. - М.; Банки и биржи, ЮНИТИ, 2011 г.

.        Банковские кредиты и способы обеспечения кредитных обязательств: Учебник/ Под ред. А. В. Чиненков. - 2-е изд. Перераб. и доп. - М.: ЮНИТИ-ДАНА, 2009 г.

.        Василешен Э.К. Центробанк и коммерческие банки в новой кредитной системе / Российский экономический журнал. - 2010.

.        Деньги, кредит, банки / Под ред. Г.Н. Белоглазовой: учебник. - М.: Высшее образование,2010. - 620с.

.        Куликов А. А., Голосов В. В., Пеньков Е. Е.. Кредиты. Инвестиции. - Москва,2010.

.        Литовеких А.М., Шевченко И.К.Финансы. Денежное обращение. Кредит: Учебное пособие. Таганрог: ТРТУ, 2009.

.        Петрова Е.В., Сухина Н.Ю., Баяндурян Г.Л. Деньги. Кредит. Банки. Краснодар.: ТУ КГТУ, 2009 - 244с.

.        Трошин А. Н., В.И. Фомкина Финансы. Денежное обращение. Кредит.: - М., 2008.

.        Финансы, деньги, кредит: Учебник / Под ред. О.В. Соколовой. - М: Юристь, 2011.

Похожие работы на - Рынок ссудных капиталов: сущность, структура и функции

 

Не нашли материал для своей работы?
Поможем написать уникальную работу
Без плагиата!
Без нейросетей!