Вызов притока пенными системами

  • Вид работы:
    Курсовая работа (т)
  • Предмет:
    Геология
  • Язык:
    Русский
    ,
    Формат файла:
    MS Word
    606,09 Кб
  • Опубликовано:
    2015-05-29
Вы можете узнать стоимость помощи в написании студенческой работы.
Помощь в написании работы, которую точно примут!

Вызов притока пенными системами














Технология вызова притока пенными системами

Введение

Одним из основных этапов заканчивания скважин является этап их освоения, включающий решение задачи получения в минимальные сроки потенциально возможного дебита и передачу скважины в эксплуатацию.

Под освоением скважин мы понимаем комплекс проводимых в них работ по окончании бурения, крепления и перфорации (или капитального ремонта) с целью получить при оптимальных технологических режимах работы эксплуатационного пласта максимального дебита нефти (газа) или лучшей приемистости пласта при закачке в него газа (иных флюидов).

Процесс освоения скважины заключается в возбуждении скважины, очистке ПЗП от жидкости и прочих загрязняющих примесей, находящихся в стволе, в проведении необходимых работ с целью повысить фильтрационную характеристику призабойной зоны продуктивного пласта.

Сущность возбуждения скважины состоит в понижении давления на забой (в ПЗП), создаваемого столбом бурового раствора (или иной жидкости) различными способами до давления меньше пластового, чтобы обеспечить приток нефти или газа в скважину.

В последнее время освоение скважин при помощи пенных систем приобретает все более актуальный характер на месторождениях, как в России так и зарубежом.

1.     
Освоение скважин с использованием пен

Сущность вызова притока флюида из продуктивного пласта состоит в замене имеющейся в скважине жидкости (после перфорации) на двухфазную пену. В качестве жидкости могут быть буровые растворы или вода. Однако применение пен может быть излишним, если приток флюида из пласта происходит при замене бурового раствора на воду.

Вызов притока жидкости и газа может осуществляться двумя способами:

с применением двухфазной пены;

с одновременной очисткой призабойной зоны пласта с помощью пен.

Наличие ПАВ в жидкости (воде) резко снижает скорость всплывания пузырька газа, увеличивает прочность оболочек пузырьков, способствует образованию более мелких пузырьков газа, препятствует коалесценции - слиянию отдельных мелких пузырьков газа с образованием более крупных.

При групповом поднятии пузырьков в скважине на большие расстояния, необходимо учитывать следующие моменты, которые усложняют происходящие явления:

пузырьки по мере всплывания увеличиваются в объеме вследствие уменьшения гидростатического давления среды;

пузырьки всплывают в "стесненных" условиях группами, замедляя свое движение;

всплывание пузырьков происходит не в спокойной жидкости, а в движущихся в разных направлениях потоках.

ПАВ в объеме аэрированной воды в стволе скважины снижает скорость подъема воздушных пузырьков за счет тормозящего действия на разделе жидкость - воздух вследствие адсорбции ПАВ на поверхности пузырька и предохраняет пузырьки от коалесценции. В результате пузырьки воздуха более равномерно распределяются в стволе скважины, увеличивается полезная работа, выполняемая каждым пузырьком, и уменьшаются потери на относительное движение.

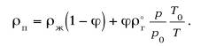
Плотность пены является одной из важнейших физических характеристик пенной системы, определяющей, в частности, статическое давление столба пены в скважине. Плотность пены ρ п зависит от плотностей пенообразующего раствора ρ ж и воздуха ρг и истинного газосодержания φ:

                 (1)

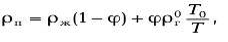
В силу сжимаемости газовой фазы плотность пены зависит от давления. Если принять, что газ следует закону Бойля-Мариотта, т.е.

                  (2)

где ρг - плотность газа при нормальных давлении Р0 и температуре T0; Р давление столба пены в скважине; T - температура в скважине, то

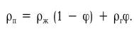
               (3)

При отсутствии относительного движения фаз истинное газосодержание равно расходному газосодержанию в (отношение расхода газа Q г к расходу смеси (Qж + Qг). Тогда плотность пены

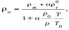
                     (4)

где α - степень аэрации (отношение расхода газа при нормальных давлении и температуре Qг. к расходу жидкости Qж).

Известно, что при движении газожидкостной смеси по вертикальной трубе (в скважине) наблюдается проскальзывание газа относительно жидкости. Вследствие этого в восходящем потоке фактическая плотность смеси превышает плотность, рассчитанную по формуле (4) без учета проскальзывания; в нисходящем потоке - обратное соотношение.

На стендовой установке НГДУ "Абиннефть" объединения "Краснодарнефтегаз" проводили эксперименты по изучению плотности пены. Опыты осуществляли на стальной трубе диаметром 90,8 мм и длиной 18,8 м, установленной вертикально. Пена из аэратора по промывочному шлангу высокого давления подавалась к нижнему концу рабочей трубы. На выкидном трубопроводе была установлена задвижка, которой регулировалось давление в трубе. Для подачи жидкости и воздуха использовали промывочные агрегаты Азинмаш-32М и компрессоры УКП-80. Образование газожидкостной смеси осуществлялось в аэраторе типа "труба в трубе". Для изменения плотности газожидкостной смеси (пены) был применен радиоизотопный плотномер для жидкости типа ПЖР-5. Опыты проводили при давлениях до 8,5 МПа. Расход жидкости в опытах составил 3 и 6 л/с, воздуха - от 1,8 до 14,4 м3/мин, т.е. степень аэрации изменялась от 10 до 80.

В опытах с пеной в качестве пенообразователя использовали сульфонол при концентрации 0,1 % по активному веществу. Поверхностное натяжение раствора ПАВ на границе с воздухом составило около 30 мН/м. Все эксперименты осуществлены при температуре воздуха 22 - 25 °C

.

Рис.1.Зависимость плотности пены и водовоздушной смеси (ВВС) от давления ( расход жидкости 3л/с )

Для сравнения опыты проводили также на водовоздушной смеси. Как показали измерения, различия свойств двухфазной пены и водовоздушной смеси весьма существенны. На рис. 1. показана зависимость плотности пены (точки) и водовоздушной смеси (сплошная линия) от давления при фиксированных расходе жидкости и степени аэрации. Пунктирной линией показана расчетная зависимость плотности газожидкостной смеси от давления без учета проскальзывания. Как видно, плотность водовоздушной смеси значительно превышает расчетную, особенно велика разница (до 60 - 80 %) при давлениях, меньших 2,5 МПа.

Для двухфазной пены за счет пленочного каркаса, обладающего определенной структурно-механической прочностью, скорость проскальзывания воздуха относительно жидкости незначительна и фактическая плотность близка к расчетной. Причем при давлениях до 5 МПа почти полностью совпадают измеренная и расчетная плотности.

Результаты опытов на вертикальном стенде показали, что проскальзывание воздуха относительно жидкости в двухфазной пене, даже не стабилизированной специальными стабилизаторами, невелико. При сравнении истинного и расходного газосодержаний для двухфазной пены отмечено, что истинное газосодержание не более чем на 5 % меньше расходного (в восходящем потоке). Для водовоздушной смеси эта разница составляет более 20 %. Данные опытов на вертикальном стенде (в условиях восходящего потока) сравнивали с данными замеров плотности пены при циркуляции ее в стендовой скважине НГДУ "Абиннефть" с использованием скважинного гамма- плотномера при спуске НКТ диаметром 62 мм на глубину 1500 м. Циркуляцию пены осуществляли по схеме прямой промывки, а затем плотности пены в НКТ - в условиях нисходящего потока. Концентрация сульфонола в пенообразующем растворе составляла 0,1 % по активному веществу.

Регистрацию плотности пены производили при подъеме гамма-плотномера с глубины 1500 м через каждые 100 м. Циркуляция пены осуществлялась при расходах жидкости 3 и 6 л/с и степенях аэрации α = 10 ÷ 80

Рис. 2. Распределение плотности пены в нисходящем потоке внутри колонны НКТ при прямой циркуляции.

Плотность пены на устье скважины при циркуляции составляла на входе 0,2 - 0,48 г/см3, на выходе - 0,07 - 0,13 г/см3. На рис. 2. показаны зависимости плотности двухфазной пены от глубины для нисходящего потока в НКТ диаметром 62 мм при Ож = 3 л/с и α 10 ÷ 80. Как видно, плотность пены повышается от устья к забою.

Сравнивали данные замера плотности пены на фиксированных глубинах с расчетом плотности по формуле, не учитывающей проскальзывание. Данные о давлениях на соответствующих глубинах были получены параллельно с замером плотности с помощью глубинного геликсного манометра, соединенного с гамма-плотномером.

В табл. 1. приведены сравнительные данные для случая циркуляции пены при Ож = 3 л/с и а = 40.

Как видно из табл. 1, полученные результаты аналогичны данным опытов на вертикальном стенде. При небольших давлениях (малой глубине) фактическая и расчетная плотности почти совпадают, при больших давлениях имеется небольшая разница, причем измеренная плотность меньше расчетной, как это и должно быть для нисходящего потока. Сравнение истинного и расходного газосодержания и в этом случае показывает, что для двухфазной пены разница между φ и β не превышает 5 %. Таким образом, для восходящего и нисходящего течения двухфазной пены на основании проведенных экспериментов можно принять

φ = (1 ± K) β,                                                               (5)

где K - коэффициент проскальзывания, равный 0,05 (знак минус относится к случаю восходящего потока, плюс - нисходящего).

Если установлено, что после полной замены в скважине бурового раствора на воду нет признаков фонтанирования и для вызова притока из пласта требуется снижать уровень жидкости в скважине в целях снижения забойного давления, то устье скважины оборудуют согласно схеме рис. 3 и приступают к выполнению работ по вызову притока двухфазной пеной.

Таблица 1.

Рис. 3. Схема обвязки устья скважины при освоении пеной:

1- НКТ; 2 - манометры; 3 - расходомер воздуха; 4 - компрессор; 5- обратные клапаны; 6 - аэратор; 7- нагнетательная линия; 8 - насос; 9 - мерная емкость; 10 - накопительная емкость для пенообразующей жидкости; 11 - выкид пены; 12 - затрубное пространство.

Прежде всего буровой раствор в скважине заменяют на водный раствор ПАВ. Концентрацию ПАВ (0П-10, сульфонол, ДС-РАС и др.) принимают в пределах 0,1-0,2 % (по активному веществу). Во избежание контакта больших объемов бурового раствора с вскрытой перфорацией толщиной продуктивного пласта замену бурового раствора на водный раствор осуществляют прямой промывкой. Водный раствор закачивают в НКТ, буровой раствор вытесняют через затрубное пространство. После этого приступают к замене водного раствора ПАВ на двухфазную пену. Как правило, такая замена проводится при обратной промывке, т.е. пена закачивается в затрубное пространство, водный раствор ПАВ вытесняется из скважины по НКТ. Вытесняемый водный раствор ПАВ в дальнейшем используют для образования пены. Однако во избежание контакта большого количества водного раствора ПАВ со вскрытой толщиной пласта, как и при замене бурового раствора водным раствором ПАВ, применяют следующий технологический прием.

Сначала водный раствор ПАВ можно заменить на двухфазную пену с малой степенью аэрации (например, а = 5 ÷ 10) при прямой промывке до полного удаления из скважины водного раствора ПАВ, а затем приступить к дальнейшим работам по снижению забойного давления путем замены в скважине пены с меньшей степенью аэрации (с большей плотностью) на пену с большей степенью аэрации (с меньшей плотностью). При этом нагнетание осуществляется в затрубное пространство, а вытеснение происходит по НКТ. Описанный технологический прием, т.е. предварительная замена водного раствора ПАВ на двухфазную пену с малой степенью аэрации, можно использовать в тех случаях, когда известно, что такая замена не вызовет притока жидкости и газа из пласта.

Очень важен пусковой момент, т.е. начало замены водного раствора ПАВ в скважине на двухфазную пену. Осуществляется это следующим образом. Из мерной емкости 9 (см. рис. 3) насосом 8 подают в аэратор 6 водный раствор ПАВ, который по линии 7 поступает в НКТ 1, а вытесняемая из скважины жидкость по затрубному пространству 12 направляется на дневную поверхность в емкость 10 или в другую емкость по линии 11. Расход жидкости при этом принимают равным 3 - 5 л/с. После появления циркуляции во внутреннюю перфорированную трубу аэратора 6 подают компрессором 4 сжатый воздух и по линии 7 в НКТ уже поступает пена, которая начинает вытеснять из скважины жидкость.

В аэратор сжатый воздух подают постепенно, плавно и малыми дозами.

Такой режим образования пены необходим для предотвращения появления в скважине воздушных пробок. Наличие воздушных пробок резко повышает давление, что может вызвать большие осложнения вплоть до выхода из строя компрессора и устьевого оборудования. При больших расходах воздуха в пусковой период возникает резкая пульсация давления, хорошо фиксируемая манометрами 2 и расходомером 3. Правильный режим подачи воздуха для образования пены в аэраторе характеризуется плавным изменением давления жидкости, а затем по мере проникновения пены в НКТ давление постепенно снижается и после полной замены жидкости пеной при данной степени аэрации становится постоянным. Во избежание попадания жидкости в компрессор и воздуха в насос на их нагнетательных линиях устанавливают обратные клапаны 5. Дальнейший режим снижения забойного давления с применением двухфазной пены зависит от параметров применяемого компрессора.

Промысловая практика показывает, что при использовании компрессора типа УКП-80 для образования пены в течение 7-8 ч снижается забойное давление в скважине глубиной 5000 - 6000 м на величину, равную 80-85 % гидростатического. Поэтому нет смысла применять более мощные компрессоры для вызова притока жидкости и газа из пласта двухфазной пеной. Напротив, можно использовать и менее мощные компрессоры. Однако при этом продолжительность вызова притока будет несколько больше. Таким образом, зная характеристику компрессора и задаваясь предельным давлением нагнетания, можно проектировать режим снижения забойного давления с применением двухфазной пены.

Например, если используется компрессор типа УКП-80, то можно установить предельное давление нагнетания в пределах 6-7 МПа, т.е. при нагнетании пены в скважину путем постепенного снижения расхода жидкости и сохранения подачи компрессора на неизменном уровне максимальное давление нагнетания не должно превышать 6-7 МПа. Нижний предел нагнетания устанавливается в процессе постепенного увеличения степени аэрации - уменьшения плотности пены в стволе скважины. При этом важно не допустить пульсацию давления, что обычно характеризует неравномерное уменьшение расхода жидкости при сохранении на неизменном уровне подачи компрессора.

Таким образом, при замене в скважине жидкости на двухфазную пену, а затем пену с большей плотностью на меньшую для постепенного снижения забойного давления необходимо, прежде всего, добиваться устранения пульсации давления. Достигается это путем постепенного и плавного снижения расхода жидкости. При необходимости расход жидкости можно довести до 0,5-0,3 л/с при сохранении подачи компрессора на неизменном уровне.

Таким путем можно добиться существенного снижения давления на забое скважины, соблюдая при этом режим вызова притока жидкости и газа из пласта - плавность и отсутствие пульсации давления. Это очень важно для предотвращения преждевременного прорыва подошвенной воды, нижних и верхних вод, расположенных над кровлей и в подошве продуктивного пласта. Кроме того, плавный и постепенный режим снижения забойного давления предотвратит деформацию цементного кольца за эксплуатационной колонной в интервале продуктивного пласта, а также разрушение призабойной зоны при наличии слабосцементированных коллекторов.

После достижения заданной величины забойного давления с учетом энергии сжатых пузырьков останавливают насос и компрессор. Дальнейшее снижение забойного давления происходит за счет реализации упругой энергии пенной системы, которая выражается в самоизливе пены из скважины. Следует отметить, что некоторые разновидности вызова притока жидкости и газа из пласта, применяемые иногда в промысловой практике, неправомерно противопоставляются пенным системам. Например, вызов притока с применением азота некоторыми промысловыми специалистами считается особым способом. На самом деле азот, как воздух, природный газ и другие, является газовой фазой пенной системы и его использование для образования пены даст лучшие результаты, чем самостоятельное применение азота для вызова притока из пласта. Некоторые специалисты считают возможным после уменьшения забойного давления путем постепенного снижения плотности пены в скважине оставшийся столб пены продавить (удалить из ствола скважины) воздухом. Такой способ совершенно неприемлем, так как применение воздуха в момент начала притока нефти или газа может вызвать серьезные осложнения. Мнение сторонников такого технологического приема, считающих, что применение воздуха на конечном этапе вызова притока из пласта несколько ускорит процесс заканчивания скважин, ошибочно. Во - первых, ускорение в этом случае может измеряться часами, не более. Во - вторых, задача состоит не в том, чтобы ускорить вызов притока на несколько часов или даже на сутки, а главным образом в том, чтобы обеспечить в процессе вызова притока при использовании пенных систем высокую продуктивность скважины за счет очистки призабойной зоны пласта и вовлечения в работу низкопроницаемых прослоев.

Анализ промысловой практики показывает, что применение пенных систем для вызова притока жидкости и газа из пласта является наиболее прогрессивным способом, отвечающим современным требованиям технологии освоения скважин как разведочных, так и добывающих. Дальнейшее совершенствование этого способа должно идти по пути создания более компактных агрегатов для образования пены, условий для быстрого разрушения на поверхности поступающей из скважины пены в целях обеспечения непрерывной циркуляции.

Способ освоения скважины с одновременной очисткой призабойной зоны пласта с помощью пен предназначается для вызова притока жидкости и газа из пласта в скважинах, вводимых в эксплуатацию из бурения, для периодической очистки призабойной зоны пласта (ПЗП) от кольматирующих веществ в эксплуатирующихся скважинах, а также для освоения скважин после производства в них ремонтных работ. В целях повышения эффективности удаления кольматирующего пласт материала в процессе вызова пластового флюида пенообразующий массовый состав должен содержать компоненты (в %), представленные ниже.

Сульфонол (0П-10)..................... 2 (2)

Едкий натр...............................     4 (3)

Нефть............................................ 0,04 (0,04)

Этиленгликоль............................. 3 (10)

Пресная вода............................     Остальное

Сущность технологии очистки призабойной зоны пласта состоит в том, чтобы в скважинах, вводимых в эксплуатацию из бурения, до вызова притока очистить пласт от твердой и жидкой фаз бурового раствора. В добывающих скважинах, находящихся длительное время в эксплуатации, необходимо периодически очищать призабойную зону пласта от глинистых частиц, асфальтосмолистых веществ, парафина и т.д. Кроме того, призабойную зону как в новых, так и в старых скважинах следует очищать от воды, проникшей в низкопроницаемые зоны продуктивной толщи.

Как показали лабораторные исследования, с помощью предложенных составов ПЗП очищается вполне удовлетворительно. За счет сочетания ПАВ и едкого натра происходит более эффективная пептизация в кольматирую- щих пласт веществах, которые затем в процессе вызова притока будут вынесены на поверхность. Нефть является гидрофобизатором поверхности частиц кольматирующих веществ, способствует лучшему прилипанию этих частиц к пузырькам пены и последующему выносу их потоком из ПЗП. Этиленгликоль (диэтиленгликоль) является дегидратом, т.е. способствует извлечению воды из низкопроницаемых зон пласта.

В процессе приготовления пенообразующего раствора указанного состава необходимо соблюдать последовательность введения реагентов в раствор. Так, предварительно в пресную воду вводят пенообразователь (сульфонол или 0П-10) и перемешивают до полного его растворения, затем в водный раствор пенообразователя добавляют нефть и все вновь тщательно перемешивают. После получения однородного состава в раствор добавляют этиленгликоль (диэтиленгликоль).

Концентрация сульфонола в приведенной рецептуре принята из расчета содержания в нем 100 % активного вещества. Однако в товарном продукте сульфонола содержится не более 20 - 50 % активного вещества, поэтому в промысловых условиях необходимо увеличивать концентрацию сульфонола в рецептуре в зависимости от содержания в нем активного вещества.

Одним из важных условий повышения эффективности проводимого процесса является сохранение в неизменном состоянии полученной на поверхности пены в процессе ее нагнетания в скважину и последующего продавливания в пласт. Для выполнения этого используют буферные жидкости (нижняя и верхняя), в качестве которых применяется пенообразующий раствор вышеуказанного состава.

Последовательность проведения технологии освоения скважин с одновременной очисткой призабойной зоны пласта с помощью пен.

1.      Имеющуюся в стволе скважины жидкость после перфорации колонны заменяют на водный раствор ПАВ с концентрацией 0,1-0,2 % (по активному веществу). Замену осуществляют прямой промывкой. Нагнетание водного раствора ПАВ в НКТ обеспечивает контакт минимального количества жидкости со вскрытой толщиной пласта.

2.      После полной замены жидкости на водный раствор ПАВ в НКТ нагнетают 1-2 м3 пенообразующего раствора, затем закачивают пену и поверх пены вновь нагнетают 1-2 м3 пенообразующего раствора. Таким образом, пена движется в НКТ, находясь между двумя буферными жидкостями.

3.      Задвижку в затрубном пространстве закрывают только тогда, когда половина нижней буферной жидкости окажется в затрубном пространстве. После этого начинается продавливание в пласт находящейся в НКТ второй половины нижней буферной жидкости, заданного объема пены и всего объема верхней буферной жидкости водным раствором ПАВ концентрацией 0,1-0,2 %.

4.      Объемы нижней и верхней буферных жидкостей (пенообразующий раствор, из которого образуют пену для нагнетания в пласт) в каждом конкретном случае определяют опытным путем.

5.      Поскольку освоение скважин обычно проводят компрессорами типа УКП-80, то объем нагнетаемой в пласт пены для очистки его и степень аэрации определяют в зависимости от приемистости ПЗП, величины пластового давления и состояния эксплуатационной колонны. Степень аэрации может колебаться в пределах 0,5-2,0 в пластовых условиях, а объем пены в пересчете на пенообразующий раствор составит 3-10 м3.

6.      После нагнетания в пласт пены и буферных жидкостей скважину оставляют под давлением в течение 1-3 ч.

7.      По истечении указанного времени приступают к работам по вызову притока жидкости и газа из пласта.

Последовательность работ по освоению скважины двухфазной пеной следующая.

1.      Постепенно снижают давление, открыв задвижку на устье скважины, и одновременно нагнетают в затрубное пространство двухфазную пену (концентрация ПАВ 0,1-0,2 % по массе активного вещества) для последующей полной замены на нее всей находящейся в стволе скважины жидкости.

2.      Во избежание образования в кольцевом пространстве воздушных пробок в кольцевое пространство сначала нагнетают раствор ПАВ при расходе жидкости не более 3 л/с и одновременно подают через аэратор небольшое количество воздуха, постепенно увеличивая его расход до полной подачи компрессора. Отсутствие пульсации после аэратора будет свидетельствовать о равномерности смешивания водного раствора ПАВ с воздухом и образовании двухфазной пены.

3.      Для дальнейшего уменьшения забойного давления постепенно снижают расход водного раствора ПАВ при постоянной подачи компрессора, т.е. увеличивая степень аэрации, что приводит к уменьшению плотности пены в стволе скважины.

Эта операция продолжается до получения полного притока нефти и газа из пласта. В процессе этих работ по мере снижения забойного давления ПЗП будет очищаться от загрязняющих пласт веществ. При необходимости повторной очистки ПЗП следует до вызова полного притока повторить нагнетание пены специального состава (ПАВ + едкий натр + нефть + эти- ленгликоль).

На предприятии "Кубаньгазпром" применительно к геолого-эксплуатационной характеристике месторождений региона разработана технология освоения скважин с использованием двухфазных пен.

Сущность этой технологии состоит в том, что для вызова притока из пласта забойное давление уменьшают путем постепенного снижения плотности жидкости в скважине закачкой в нее двухфазной пены с различной степенью аэрации.

Использование пен при освоении скважин имеет ряд преимуществ:

соблюдаются благоприятные условия для планового вызова притока флюида из пласта, так как в результате изменения степени аэрации удается в широком диапазоне регулировать плотность пены и создавать необходимую величину депрессии на пласт;

в связи с плановым изменением депрессии исключается возможность разрушения пород призабойной зоны, цементного кольца и эксплуатационной колонны;

устраняется почти полностью проникновение воды в пласт и ухудшение фильтрационной характеристики призабойной зоны;

предотвращается возможность образования взрывов с разрушением наземного и подземного оборудования, что может быть при освоении скважины с использованием воздуха. Для получения пены в качестве газовой фазы используют воздух и водно-пенообразующий раствор ПАВ (сульфонол, ОП-10, ДС-РАС и др.). Раствор приготавливают следующего состава: ПАВ 0,1-0,3 % по массе, вода остальное. Для повышения стабильности в пенообразующий раствор в качестве стабилизатора добавляются КМЦ-600, РС-2, РС-4 и другие вещества.

Для разрушения пены после выполнения работ по освоению в необходимых случаях используют химические реагенты - пеногасители (триксан и др.).

В зависимости от глубины залегания продуктивного пласта, величины забойного давления, температуры, способа циркуляции (прямая или обратная) и других факторов определяются оптимальное соотношение компонентов в пенообразующей жидкости, плотность пены, степень аэрации, необходимый расход воздуха и жидкости и потребность в технических средствах.

Степень аэрации изменяется в пределах 5-120, расход воздуха - 816 м3/мин, плотность пены - 0,90-1,0 г/см3.

При отсутствии пенообразующих ПАВ разрешается осваивать скважину увлажненным воздухом (водовоздушная смесь) при выполнении всех параметров и режимов технологического процесса, предусмотренных для пены.

Перед освоением скважины фонтанная арматура должна быть соединена с двумя продувочными отводами, направленными в противоположные направления. Каждый отвод должен иметь длину не менее 100 м и соединяться с факельной установкой с дистанционным зажиганием. Типы резьбовых соединений труб для отводов должны соответствовать ожидаемым давлениям, быть смонтированы и испытаны на герметичность опрессовкой на полуторакратное ожидаемое максимальное давление. Отводы следует крепить к бетонным или металлическим забетонированным стойкам. К фонтанной арматуре должны быть подсоединены линии для глушения скважины через трубное пространство. Линии глушения должны быть снабжены обратными клапанами. Перед освоением на скважине необходимо иметь запас бурового раствора соответствующей плотности в количестве не менее двух объемов скважины без учета раствора, находящегося в скважине, а также запас химических реагентов и утяжелителя.

Технология освоения скважин с применением пен в зависимости от пластового давления имеет в основном три категории:

первая - Рпл = (0,8 - 1,0) Рг;

вторая - Рпл = (0,5 - 0,7) Рг;

третья - Рпл = (0,1 - 0,4) Рг,

где Рпл - давление пластовое; Рг - давление гидростатическое.

Для создания щадящих условий депрессии на пласт, в зависимости от величины пластового давления, в каждом конкретном случае освоение скважины с точки зрения циркуляции в ней пены осуществляется по одному из двух вариантов.

При первом варианте с пластовым давлением первой и второй категории схема циркуляции следующая. Замена столба жидкости в скважине пеной большой плотности производится с малой степенью аэрации при прямом способе циркуляции (пену закачивают через НКТ, а жидкость вытесняется на поверхность через кольцевое пространство). После замены жидкости пеной приступают к вызову притока, используя пену с меньшей плотностью; циркуляцию при этом осуществляют обратным способом - вытесняющую пену закачивают в кольцевое пространство, а вытесняемую удаляют из скважины через НКТ.

Второй вариант освоения скважины с низким пластовым давлением (третья категория) заключается в том, что циркуляция пены производится сразу обратным способом (закачка пены осуществляется в кольцевое пространство), а вытеснение жидкости и пены из скважины - через НКТ.

Плотность пены зависит от плотностей пенообразующего раствора и воздуха, истинного газосодержания ф и определяется по формуле

           (6)                  (6)

где ρп - плотность пены, кг/м3; ρж - плотность пенообразующего раствора, кг/м3; ρ°г - плотность газа при нормальном давлении р0 и температуре T0, кг/м3; φ - газосодержание (кг/м3); р - статическое давление столба пены в скважине, МПа; T - температура пластовая в скважине °C.

Так как плотность двухфазной пены можно регулировать в пределах от 900 до 100 кг/м3, что достигается постепенным увеличением газосодержания, то вызов притока из пласта можно осуществлять плавно.

Скважины глубиной до 3000 м рекомендуется осваивать при расходе пенообразующего раствора 3 - 5 л/с, а глубже 3000 м - при расходе 2 - 6 л/с. При освоении скважин глубиной 5000 - 6000 м рекомендуется использовать компрессоры, по технической характеристике обеспечивающие давление 8 - 12 МПа и подачу воздуха 8-16 м3/мин.

Таблица 2.Расход газа (воздуха) Q, при определенных значениях расхода жидкости Q>K и степени аэрации а

Степень аэрации

Расход жидкости Ож

а

2/0,12

3/0,18

4/0,24

5/0,30

6/0,36

7/0,42

8/0,48

9/0,54

10/0,60

5

10/0,6

15/0,9

20/1,2

25/1,5

30/1,8

35/2,1

40/2,4

45/2,7

50/3,0

10

20/1,2

30/1,8

40/2,4

50/3,0

60/3,6

70/4,2

90/5,4

100/6,0

20

40/2,4

60/3,6

80/4,8

100/6,0

120/7,2

140/8,4

160/9,6

180/10,8

200/12,0

30

60/3,6

90/5,4

120/7,2

150/9,0

180/10,8

210/12,6

240/14,4

240/16,2

300/18,0

40

80/4,8

120/7,2

160/9,6

200/12,0

240/14,4

280/16,8

220/19,2



50

100/6,0

150/9,0

200/12,0

250/15,0

300/18,0





60

120/7,2

180/10,8

240/14,4

300/18,0






70

140/8,4

210/16,8

280/16,8







80

160/9,6

240/14,4








90

180/10,8

270/16,2








100

200/12,0

300/18,0








110

220/13,2









120

240/14,4










П р и м е ч а н и е . В числителе приведены величины в л/с, в знаменателе - в м3/мин.


Рис. 4. Зависимость степени аэрации α от расхода воздуха Qв при постоянном расходе жидкости Qж.

Процесс постепенного повышения степени аэрации при постоянном расходе пенообразующего раствора должен быть прекращен после достижения заданного забойного давления P = P1 - P2

где P1 - текущее забойное давление в процессе освоения скважины; P2 - величина снижения забойного давления после остановки насоса и компрессора вследствие самоизлива пены при данной степени аэрации.

К параметрам режима освоения относятся; степень аэрации - 5, 10, 20, 40, 60, 80, 120; расход сжатого воздуха - 8-16 м3/мин; плотность пены - 900-100 кг/м3; забойное допустимое давление - (Pпл + x) МПа, где x - расчетная величина, равная (0,1÷0,2) Pпл.

Основным параметром освоения скважины является забойное давление. Оно получается расчетным путем или задается.

Отличительная особенность освоения скважины второй категории от первой заключается в том, что в начальный период освоения, когда в НКТ нагнетается пена для вытеснения жидкости из скважины, степень аэрации принимается значительно выше. Она должна иметь такую величину, чтобы за время замены столба жидкости в скважине пеной при прямой системе циркуляции забойное давление было бы на уровне пластового.

Вызов притока газа в скважинах третьей категории производится с самого начала путем нагнетания двухфазной пены в кольцевое пространство с малым расходом жидкости (3 - 5 л/с) с постепенным повышением степени аэрации вплоть до фонтанирования скважины.

В табл. 2 приведены данные о расходе газа (воздуха) Qв при определенном расходе жидкости Qж и принятой степени аэрации α. На рис. 4 приведен график зависимости степени аэрации от расхода воздуха при постоянном расходе жидкости Qж.

2.      Технология вызова притока из пласта пенами с использованием эжекторов

Технология вызова притока из пласта пенами с использованием эжекторов состоит в приготовлении с помощью последних, насосного и компрессорного оборудования двухфазных пен, закачивании их в скважину для вытеснения воды и создании необходимой величины депрессии на забое за счет меньшей плотности пены и ее самоизлива. Она имеет свои особенности. Применение эжектора для приготовления пен позволяет использовать в качестве источников сжатого воздуха компрессоры пневматической системы буровых установок при кустовом и разведочном бурении. В качестве источников сжатого воздуха могут быть использованы передвижные компрессоры высокого давления. Применение эжектора при использовании компрессоров высокого давления позволяет упростить управление процессом приготовления и закачивания пены и повысить качество последней.

)        уменьшение вероятности внутрискважинного воспламенения вследствие использования в качестве рабочего агента пены;

)        использование сжатого воздуха низкого давления при применении компрессоров буровых установок.

Технология вызова притока из пласта пенами использованием эжекторов предназначена для освоения разведочных и эксплуатационных скважин с пластовым давлением равным или ниже гидростатического, если после замены раствора, находящегося в скважине, на воду был получен приток.

Выполнение работ по освоению скважин пенами с использованием эжектором для скважин глубиной более 3000 м может осуществляться с учетом гидродинамических особенностей процесса закачивания и циркуляции пены в скважинах, а также конкретных геолого-технических условий. Вызов притока нефти и газа из пласта пенами с использованием эжекторов на скважинах, продукция которых содержит сероводород, должен осуществляться с соблюдением требований "Инструкции по безопасности работ при разработке нефтяных, газовых и газоконденсатных месторождений, содержащих сероводород", утвержденной Миннефтепромом СССР 21.10.77 и Госгортехнадзором СССР 05.12.77, и "Инструкции по безопасному ведению работ при разведке нефтяных, газовых и газоконденсатных месторождений с высоким содержанием сероводорода и других вредных и агрессивных веществ", утвержденной постановлением коллегии Госгортехнадзора СССР № 16 от 17.06.82.

Предельная глубина скважин, на которой может быть использован процесс вызова притока пенами с использованием эжекторов, - 3000 м.

Процесс вызова притока с использованием эжекторов должен обеспечивать снижение забойного давления. Ниже приведены величины максимального снижения забойного давления (в % от гидростатического) при вызове притока пеной из скважины, заполненной водой.

Глубина скважины, м .....  1500 2000 2500 3000

Максимальное снижение забойного давления при использовании оборудования:

компрессоры буровых установок

(КТ-6, КТ-7, КСЭ-57) .....  40/50 30/45 25/35 20/30

передвижные компрессоры типа

УКП-80, СД-9/101, КПУ-16/100    85 80 75 70

Указанные величины максимального снижения забойного давления могут быть получены при использовании в качестве источника сжатого воздуха компрессоров буровой установки в результате циркуляции пены в скважине с самоизливом (в числителе - за один цикл, в знаменателе - за два цикла циркуляции) или в результате одного цикла циркуляции пены с самоизливом при использовании передвижных компрессоров. Продолжительность самоизлива пены из межтрубного и трубного пространств скважины при отсутствии притока - не менее 1,5 ч.

Перед проведением процесса вызова притока с использованием эжекторов в скважину спускают лифтовую колонну на глубину, при которой ее башмак размещается на 5-10 м выше интервала перфорации. Устье оборудуется трубопроводами и арматурой таким образом, чтобы обеспечивалась возможность закачивания пены в межтрубное пространство и одновременного выброса жидкости из трубного пространства скважины, а также возможность осуществления последующего самоизлива пены из межтрубного и трубного пространств одновременно.

Схема обвязки наземного оборудования и устья скважины при проведении процесса вызова притока с использованием передвижных компрессоров или компрессоров буровой установки представлена на рис. 5.

Обвязка эжектора осуществляется таким образом, чтобы его боковой патрубок с обратным клапаном был направлен вертикально вниз.

Подвод сжатого воздуха к эжектору при использовании компрессоров буровой установки осуществляется от ресивера с помощью резинового шланга с внутренним диаметром не менее 25 мм или по временному разборному трубопроводу из НКТ.

При кустовом бурении подвод воздухопровода от действующей буровой к группе осваиваемых скважин целесообразно осуществлять заблаговременно в период их обвязки с коллектором. Конец воздухопровода проводится к центру группы скважин и оборудован запорным вентилем. Общий вид эжектора ЭЖГ-2 представлен на рис. 6. Приготовление пенообразующей жидкости для двухфазной пены может быть выполнено непосредственно в процессе закачивания пены в скважину.

Параметры технологии вызова притока из пласта пенами с использованием эжекторов выбирают, исходя из необходимости создания требуемой величины снижения забойного давления (депрессии) и имеющегося компрессорного оборудования.

Рис. 5. Схема обвязки наземного оборудования и устья скважины при вызове притока пенами с использованием эжектора:

- цементировочный агрегат; 2 - компрессор; 3 - линия для подачи пенообразующей жидкости; 4 - воздухопровод; 5 - об ратный клапан эжектора; 6 - эжектор; 7 - заглушка; 8 - пенопровод; 9, 10, 11, 12, 13, 14 - задвижки; 15 - эксплуатационная колонна; 16 - выброс пены; 17 - накопительная емкость; 18 - нефтепромысловый коллектор; 19 - манометр

Необходимое значение величины снижения забойного давления определяется геолого-техническими условиями строительства скважин и допустимой прочностью эксплуатационных колонн на смятие наружным давлением. Создание необходимого снижения забойного давления ∆Pз при проведении регламентируемой инструкцией технологии может осуществляться после вытеснения бурового раствора водой путем закачивания в скважину двухфазной пены и ее последующего самоизлива.

При использовании в качестве источника сжатого воздуха передвижных компрессоров в зависимости от величины ∆Pз может быть осуществлен полный цикл закачивания (циркуляции) пены с выходом ее на устье через трубное пространство с последующим самоизливом или частичный цикл с последующим самоизливом. В последнем случае пена закачивается на необходимую глубину в межтрубное пространство, не достигая башмака насосно-компрессорных труб. В обоих указанных случаях процесс закачивания пены осуществляется при постоянной степени аэрации, что обеспечивается установлением определенной начальной величины давления пенообразующей жидкости Рж, подаваемой в эжектор.

При использовании в качестве источника сжатого воздуха компрессоров буровой установки в зависимости от величины ∆Pз может быть осуществлен полный или частичный цикл закачивания пены с последующим самоизливом, а также два цикла закачивания пены с самоизливом после каждого из них. В этом случае нагнетание пены в скважину осуществляется при переменной степени ее аэрации, при этом заданный режим работы эжектора обеспечивается установлением определенной начальной величины давления Рж.

Для выбора Рж при использовании передвижных компрессоров необходимо по номограмме (рис. 7) определить степень аэрации, при которой для требуемой глубины спуска лифтовых труб обеспечивается заданная величина ∆Pз, затем по номограмме (рис. 8) в зависимости от найденной степени аэрации и типа (марки) компрессора следует определить Рж.

Рис. 6. Эжектор жидкостно-газовый ЭЖГ-2:

- корпус эжектора; 2 - диффузор; 3 - камера смесительная; 4 - гайка; 5 - втулка; 6 - решетка; 7 - седло обратного клапана; 8 - насадок; 9 - уплотнение; 10 - шар.

Рис. 7. Номограмма для определения степени аэрации пены для проведения одного полного цикла закачивания пены при использовании передвижных компрессоров.

Рис. 8. Номограмма для определения давления нагнетания пенообразующей жидкости для различных типов передвижных компрессоров: 1, 2, 3 - компрессоры УКП-80, СД-9/101, КПУ-16/100 соответственно.

Процесс вызова притока нефти и газа из пласта пенами с использованием эжекторов должен осуществляться путем выполнения ряда последовательных технологических операций, описание, порядок и особенности проведения которых указаны ниже.

.        Осуществить спуск колонны насосно-компрессорных труб.

.        Оборудовать устье скважины фонтанной арматурой, вытеснить из нее буровой раствор водой и осуществить обвязку наземного оборудования в соответствии со схемой (см. рис. 5).

.        Опрессовать трубопроводную обвязку наземного оборудования гидравлическим способом на давление 25 МПа, предварительно отсоединив воздухопровод от бокового патрубка эжектора, и убедиться в герметичности всей обвязки и обратного клапана эжектора.

.        Опрессовать пневматическим способом выкидной воздухопровод на максимальное рабочее давление компрессора.

.        Открыть задвижки 9, 11, 12; закрыть задвижки 10, 13, 14 (см. рис. 5).

.        С помощью насоса цементировочного агрегата осуществить подачу пенообразующей жидкости в эжектор.

.        Подать воздух в эжектор от компрессора. При использовании компрессора буровой установки давление воздуха на входе в эжектор должно находиться в пределах 0,7 - 0,8 МПа. При использовании передвижных компрессоров давление воздуха на входе в эжектор устанавливается самопроизвольно в пределах 1-2 МПа в начале процесса закачивания пены в скважину и 2 - 6 МПа - в конце процесса. Вариации указанных значений давлений воздуха определяются величиной давления нагнетания жидкости и типом компрессора.

.        Закачать в скважину пену, осуществляя подачу пенообразующей жидкости в эжектор.

.        После промывки скважины пеной (или закачивания пены в межтрубное пространство при частичном цикле) следует закрыть задвижку 9, открыть задвижку 10 и осуществить в течение не менее 1,5 ч самоизлив пены по трубопроводу 16 в накопительную емкость.

.        При наличии притока нефти и газа из трубного пространства закрыть задвижку 11 и после вытеснения из межтрубного пространства пены закрыть задвижку 10, отсоединить трубопровод 16, поставить на месте его подключения к устью скважины заглушку 7 и открыть задвижки 11, 12 и 14, направив продукцию скважины в нефтесборный коллектор.

.        В случае использования передвижного компрессора при отсутствии притока нефти и газа после самоизлива пены в течение первых 1,5 ч продолжить самоизлив до его окончания.

.        В случае применения компрессоров буровой установки при отсутствии притока нефти и газа после осуществления первого цикла закачивания пены и ее самоизлива в течение 1,5 ч осуществить второй цикл закачивания и самоизлив до его окончания.

.        При отсутствии притока после проведения работ следует оставить скважину с открытыми задвижками на трубном и межтрубном пространствах на операцию ожидания притока в течение 36 ч.

.        При отсутствии притока из скважины после проведения работ в зависимости от геолого-технических условий, опыта применения пен на данном месторождении возможно повторение процесса закачивания пены в скважину при ранее выбранных давлениях подачи пенообразующей жидкости в эжектор, а также осуществление операции ожидания притока в течение 36 ч.

.        В случае соответствия отобранных проб ожидаемой продукции, свидетельствующего о наличии притока по стволу скважины, в зависимости от геолого-технических условий, способа эксплуатации и опыта освоения скважин возможно повторение процесса при ранее выбранных давлениях подачи пенообразующей жидкости в эжектор. Если повторные промывки скважины пеной не дают положительных результатов, необходимо провести работы по воздействию на призабойную зону пласта.

.        В случае несоответствия проб ожидаемой продукции следует установить причину этого, провести на скважине необходимые ремонтно-изоляционные работы и повторить процесс ее освоения.

3.      Технология освоения скважин с применением самогенерирующих пенных систем (СГПС)

Технологический процесс освоения скважин с применением самогенерирующих пенных систем (СГПС) направлен на сохранение и восстановление коллекторских свойств продуктивных пластов с целью повысить продуктивность добывающих скважин и приемистость нагнетательных скважин, сократить затраты на их освоение и обеспечить безопасность работ, выполняемых при этом.

Технологический процесс основан на газировании жидкости азотом, образующимся в результате химических реакций, и образовании пенных систем в скважине или призабойной зоне пласта. Степень газонасыщения раствором может изменяться при нормальных условиях от 10 до 120. Побочным продуктом процесса образования азота является водный раствор хлористого натрия.

Материалами для приготовления раствора СГПС служат: нитрит натрия технический в растворе, допускается использование натрия кристаллического;

аммоний хлористый технический;

косульфат = 3-10н, допускается использование сульфонола НП-3 или превоцела (продукт ФРГ).

бензолсульфокислота, допускается использование амидосульфоновой (сульфаминовой) кислоты, соляной кислоты ингибированной или абгазовой соляной кислоты.

Исходные растворы СГПС готовятся на водной основе с использованием следующих химических продуктов:

аммоний хлористый технический (нашатырь), газообразователь - порошок или гранулы белого цвета, растворимость в воде - 29,4 %, плотность 1,527 г/см3;

нитрит натрия в растворе, газообразователь - бесцветная, светло-желтая или светло-желтая с зеленоватым оттенком прозрачная жидкость; невзрывоопасное и непожароопасное вещество.

Перед приготовлением раствора СГПС контролируют содержание основного вещества по плотности раствора.

При необходимости получения раствора с повышенной степенью газонасыщения - 80- 120 (в нормальных условиях) - вместо нитрата натрия в растворе используют кристаллический нитрит натрия, который представляет собой кристаллы бесцветные или желтоватого цвета, плотность 2,17 г/см3, растворимость в воде при 20 °С - 88 г на 100 г воды.

Косульфат-3-10н, пенообразователь - смесь натриевых солей алкил- сульфата и сульфата моноэтаноламида. Это пастообразная масса от белого до светло-коричневого цвета.

Содержится косульфат в герметически закрываемых железных бочках вместимостью 100 - 200 дм3 или полиэтиленовых банках вместимостью до дм3.

Сульфонол НП-3, пенообразователь, выпускается в виде вязкой пасты, хорошо растворяется в воде.

Превоцел, пенообразователь, представляет собой смесь жирного спирта и окиси этилена с блоксополимером окиси этилена (окиси пропилена), растворимость в воде хорошая, плотность при 20 °С - 1,20 г/см3.

В качестве инициатора реакции газообразования при температурах 20 - 70 °С используют бензолсульфокислоту, допускается применение сульфами- новой или соляной кислоты.

Амидосульфоновая (сульфаминовая) кислота представляет собой негигроскопические кристаллы без запаха, плотность 2,126 г/см3, растворимость в воде при 20 °С - 21,3 г на 100 г воды. Кальциевые и магниевые соли, образующиеся в продуктах реакции сульфаминовой кислоты, хорошо растворимы в воде.

Соляная кислота, ингибированная техническая - прозрачная, бесцветная жидкость.

Технология проведения работ.

Количество раствора СГПС выбирают из расчета заполнения скважины в интервале от искусственного забоя до глубины на 15 - 20 м выше верхней части интервала перфорации. Количество водного раствора ПАВ (1,0 - %-ный разделительный (буферный) раствор) выбирают из расчета заполнения в скважине (затрубном пространстве) интервала длиной 40 - 50 м между раствором СГПС и жидкостью, заполняющей скважину.

Раствор СГПС приготавливают на растворном узле или на скважине (куске скважин) с помощью насосного агрегата (например, ЦА-320). При этом исходный раствор нитрита натрия разбавляют водой до заданной концентрации, а затем вводят в него хлористый аммоний и пенообразователь (табл. 12.15). После ввода каждого реагента раствор перемешивается в течение 15 - 20 мин (насос работает "на себя") до полного растворения реагентов. При всех операциях приготовленный раствор СГПС перевозят и хранят в закрытых емкостях.

Раствор ПАВ приготавливают на скважине, используя емкости насосных агрегатов. После ввода пенообразователя раствор перемешивают в течение 10 - 15 мин.

Нагнетают растворы в НКТ последовательно: ПАВ (1-я порция для размещения в затрубном пространстве), раствор СГПС, раствор ПАВ (2-я порция) и продавочная жидкость. Затем проводят перфорационные работы. Проведение дальнейших работ по освоению скважины (ОПЗ и вызов притока) с использованием СГПС проектируется в соответствии с рекомендациями РД-39-0147009-506 - 85. Обязательным условием проведения работ данным способом при репрессии на пласт является полное соответствие их "Единым техническим правилам ведения работ при строительстве скважин на нефтяных, газовых и газоконденсатных месторождениях".

Таблица 3. Компонентный состав для приготовления 1 м3 СГПС различного назначения


Наличие СГПС контролируется в заданном интервале в скважине с помощью резистивиметра.

Обработку призабойной зоны с целью восстановления коллекторских свойств пласта и вызов притока производят при пластовых температурах 70-120 °С и 20-70 °С.

При обработке скважин с температурами 70-120 °С проводят следующие работы.

Определяют количество раствора СГПС из расчета заполнения скважин в интервале от забоя до глубины на 10-15 м выше верхней части интервала перфорации, заполнения НКТ до глубины не более 1000 м от устья скважины (величина давления жидкости, заполняющей НКТ над раствором СГПС, не должна превышать 10,0 МПа, а величина температуры в верхней части СГПС - свыше 70 °С) и нагнетания в пласт раствора в количестве 0,12 м3 на 1 м вскрытой (перфорацией) толщины пласта.

Количество раствора ПАВ (содержание ПАВ - 0,5-1,0 %) выбирают из расчета заполнения в НКТ и затрубном пространстве интервалов длиной 40-50 м между раствором СГПС и жидкостью, заполняющей скважину.

Приготавливают растворы СГПС и ПАВ.

Нагнетают последовательно в НКТ: раствор ПАВ (1-я порция), раствор СГПС, раствор ПАВ и продавочную жидкость с учетом задавливания в пласт части раствора СГПС (0,1-0,2 м3 на 1 м) при закрытом затрубном пространстве.

Выдерживают скважину (при закрытом затрубном пространстве) 30 - 40 мин для осуществления процессов генерации азота и образования пены. Контролируются эти процессы по росту давления на устье скважины - в НКТ и затрубном пространстве, а завершаются работы после стабилизации давления. При проведении работ давление в затрубном пространстве не должно превышать величину допустимого давления на эксплуатационную колонну.

Пускают скважину на самоналив для очистки призабойной зоны пласта.

Если планируется эксплуатация фонтанным способом и при самоналиве обеспечивается создание необходимой депрессии на пласт, то после проведения ОПЗ исследуют скважину на приток и вводят ее в эксплуатацию.

При выполнении работ с целью создать повышенные депрессии на пласт допускаются использование дополнительного количества раствора СГПС и повышение количества газо- и пенообразователей. При этом дополнительное количество раствора СГПС размещают в затрубном пространстве скважины.

Если планируется эксплуатация скважины механизированным способом (например, с использованием ЭЦН), то после ОПЗ осуществляют промывку скважины до забоя рабочим раствором (например, водным раствором ПАВ), не загрязняющим коллектор, прокачав 1,5 -2,0 объема НКТ до поступления чистой жидкости; в случае необходимости заполняют скважину задавочной жидкостью (например, солевым раствором), поднимают НКТ, опускают глубинный насос и вводят скважину в эксплуатацию с исследованием на приток.

После ОПЗ нагнетательных скважин пускают скважину на самоналив для очистки призабойной зоны пласта или осуществляют промывку скважины раствором ПАВ до забоя до поступления чистой жидкости и вводят скважину под нагнетание.

При обработке призабойной зоны скважин с температурами 20 - 70 °С проводят работы, аналогичные перечисленным, дополнительно используя инициатор реакции газообразования.

Приготавливают раствор инициатора в виде 3 %-ного раствора на водной основе в емкости. Вводят инициатор в раствор СГПС в процессе нагнетания его в скважину.

Для контроля качества проводимых работ используют глубинные регистрирующие манометры и термометры, которые устанавливают в процессе ОПЗ и вызова притока в НКТ на глубине на 10 - 15 м выше башмака НКТ.

Для оценки результатов работ по сохранению и восстановлению коллекторских свойств пластов проводят комплекс гидродинамических исследований; исследование методом установившихся отборов (не менее чем на трех режимах) с получением индикаторных диаграмм и коэффициентов продуктивности; исследование методом восстановления давления с определением состояния призабойной зоны и качества (степени совершенства) сообщения скважины с пластом-коллектором; исследование профиля притока флюида к скважине для дифференцированной оценки качества работ.

При освоении скважин с применением СГПС должны соблюдаться требования следующих документов: правил безопасности в нефтегазодобывающей промышленности; отраслевой инструкции по безопасности труда при освоении нефтяных и газовых скважин; отраслевой инструкции по безопасному ведению работ при применении пенных систем в добыче нефти и газа; ИБТВ 1-103 - 89; отраслевой инструкции по безопасности труда при бурении с использованием газообразных агентов - ИБТВ 1-062 - 79.

Материалы, используемые для освоения скважин с СГПС, являются серийно выпускаемыми отечественной промышленностью. При их применении должны соблюдаться меры безопасности, изложенные в стандартах и технических условиях на эти материалы.

Предельно допустимые концентрации вредных веществ, содержащихся в составе СГПС, и их характеристики приведены в табл. 4.

Таблица 4. Предельно допустимые концентрации компонентов состава.

Вещество

ПДК мг/м3

Токсикологическая характеристика

Нитрит натрия

5

По степени воздействия на организм относится к 3-му классу опасности; недопустимо попадание внутрь организма

Хлористый аммоний

-

Не токсичен

Косульфат-3-10н


Продукт не выделяет паров, поэтому не характеризуется ПДК

Сульфанол НП-3

-

Не токсичен

Превоцел

-

Не токсичен

Бензолсульфокислота


По степени токсичности относится в 3му классу опасности

Амидосульфоновая

-

По степени токсичности относится к

(сульфаминовая) кислота


4-му классу опасности

Соляная кислота

5

По степени токсичности относится к 3-му классу опасности


Список используемой литературы

пенный скважина эжектор

1. Вскрытие и освоение нефтегазовых пластов. Амиян В.А., Васильева Н.П. М.: Недра, 1972.

.   Теория и практика заканчивания скважин: В 5 т./А.И. Булатов, П.П. Макаренко, В.Ф, Будников, Ю.М. Басарыгин; Под. ред. А.И. Булатова. - М.: ОАО "Издательство "Недра", 1998. - Т. 5. - 375 с.

3. Подбор пенообразующих композиций для освоения скважин. Петров Н.А., Давыдова И.Н.

Похожие работы на - Вызов притока пенными системами

 

Не нашли материал для своей работы?
Поможем написать уникальную работу
Без плагиата!
Без нейросетей!