Динамика фондовых рынков в странах БРИК до и после кризиса

  • Вид работы:
    Дипломная (ВКР)
  • Предмет:
    Банковское дело
  • Язык:
    Русский
    ,
    Формат файла:
    MS Word
    581,54 Кб
  • Опубликовано:
    2015-11-29
Вы можете узнать стоимость помощи в написании студенческой работы.
Помощь в написании работы, которую точно примут!

Динамика фондовых рынков в странах БРИК до и после кризиса

Введение

В 2001 году экономистом Goldman Sachs была предложена концепция, объединяющая страны с высоким потенциалом роста. В эту группу вошли 4 страны: Бразилия, Россия, Индия, Китай, составившие аббревиатуру БРИК. Концепция получила общее признание и широкое распространение, и по сегодняшний день является одним из самых обсуждаемых и исследуемых в различных областях объектом.

Высокий потенциальный рост этих стран послужил источником формирования быстроразвивающихся финансовых рынков. Фондовые рынки стран БРИК стали привлекательными для инвесторов в силу высоких доходностей. Прилив капитала привел к значительному росту капитализации рынков до 2008 года. Динамика рынков имела особый характер для каждой страны, при этом тенденция роста капитализации наблюдалась во всех четырех странах группы.

Однако после 2008 года фондовые рынки этих стран изменили свою динамику, показывая разноплановое движение. Такая тенденция, с одной точки зрения, может объясняться изменением динамики внутренних показателей стран. С другой стороны, возможно, произошел процесс переоценки инвесторами рынков данных стран и переключение реакции на альтернативные показатели.

Опираясь на исследования, проведенные в литературе по странам БРИК, в данной работе рассматриваются два вопроса: в какой степени после 2008 года рынки БРИК отражают динамику внутренних показателей этих стран; не изменили ли инвесторы свое видение на взаимосвязь между рынками стран БРИК.

Такая постановка вопроса актуальна, так как в литературе присутствуют работы по анализу мировых фондовых рынков, не сконцентрированных на специфике развивающихся стран, либо работы, основанные на уже устаревших данных. Более того, представляется интересным сравнить динамику фондовых рынков четырех стран и взаимосвязи между показателями, их обуславливающими.

Научная новизна работы состоит в комплексном подходе в рассмотрении динамики рынков четырех стран на широком временном диапазоне с учетом как внутренних, так и внешних факторов.

Исходя из вопросов исследования, цель работы может быть сформулирована следующим образом: сравнить динамику фондовых рынков в странах БРИК до и после кризиса.

Для достижения поставленной цели необходимо выполнить выделенные задачи: фондовый рынок макроэкономический кризисный

проанализировать динамику показателей фондового рынка стран БРИК: оценить тенденцию и провести межстрановое сопоставление

проанализировать влияние макроэкономических факторов на показатели фондового рынка для стран БРИК

оценить изменения в зависимостях в до- и посткризисных периодах

оценить степень взаимодействия рынков БРИК внутри группы в до и после кризисных периодах

Предметом исследования являются фондовые рынки стран БРИК. В данной работе в качестве показателя фондового рынка выбрана суммарная рыночная капитализация, являющаяся объектом исследования.

В рамках работы выдвигаются следующие гипотезы, которые будут проверены в ходе исследования:

Внутренние фундаментальные факторы, определяющие динамику ФР (фондовых рынков) стран БРИК, становятся незначимыми после кризиса 2008 года.

Наблюдается усиление влияния цены нефти на рынки БРИК после 2009 года.

Степень влияния фондового рынка США на ФР БРИК не изменилась после 2009 года.

Проверяется также гипотеза о том, что степень экзогенности рынков после кризиса снизилась.

Гипотезы были выдвинуты на основе анализа литературы, посвященной подобной тематике, где присутствовали противоречивые результаты исследований.

Данная работа имеет следующую структуру. Она состоит из трех глав, введения и заключения. Первая и вторая главы посвящены теоретическим основам исследования.         

В первой главе рассматриваются основные характеристики фондовых рынков стран БРИК, описана концепция стран данной четверки.

Во второй главе проводится анализ научных работ, посвященных данной тематике. Описана методология проводимого исследования и изложены теоретические основы эконометрического анализа работы.

Третья глава посвящена эмпирическому исследованию и анализу его результатов. В ней проверяются основные гипотезы, на основе которых был проведен эмпирический анализ, представлены сами результаты эмпирического анализа и выводы, полученные по итогам исследования.

Глава 1. Фондовые рынки стран БРИК

.1 Значение фондовых рынков в экономике

На протяжении последних нескольких лет считалось, что БРИК - развивающиеся страны, за которыми кроется высокий экономический потенциал. Полагалось, что они менее всего пострадают в кризисе 2008 года и продемонстрируют дальнейший рост, играя роль драйвера мировой экономики, находящейся в упадке. Однако последнее время наблюдается ощутимое снижение темпов роста экономик данных стран.

Поскольку развитость фондового рынка является одним из показателей функционирования экономики государства, представляется интересным рассмотреть поведение рынков стран БРИК. В частности, ответить на вопросы, какие факторы определяют динамику фондовых рынков данных стран; насколько кризис 2008 года повлиял на характеристики фондовых рынков.

Эффективность финансовых рынков рассматривается как один из наиболее важных факторов экономического развития страны как в развитых, так и в развивающихся странах.Высоко развитые фондовые рынки являются естественной частью финансовой системы. Степень участия фондового рынка и банковского сектора в финансировании инвестиционной активности компаний служит ключевым параметром. Чем более развитым является фондовый рынок, тем больше ресурсовдля инвестиционных проектовспособны привлекать компании. Несмотря на общую потребность в финансовых услугах, глубина финансовых рынков, включая фондовые рынки, сильно различается между странами.

По состоянию фондового рынка можно судить о внутренних процессах внутри страны или внутри компании. По нему можно оцениватьстабильность страны и компании путем отслеживания цен на финансовые инструменты.

Среди функций фондового рынка следует отметить следующие:

Привлечение инвестиций для развития наиболее приоритетных производственных отраслей;

Перераспределение накоплений капитала в развивающиеся отрасли из менее значимых;

Аккумулирование средств для покрытия дефицита государственного бюджета;

Возможность оценивать стабильность положения страны на международной арене или компании;

Возможность влияния на темп инфляции.

Помимо важных задач по стабилизации макроэкономической политики, фондовый рынок также является одним из прибыльных видов ведения бизнеса. Для развивающихся стран особенно важным моментом является привлечение средств для расширения экономики, показывающей высокие темпы роста.

В данной работе рассматриваются рынки четырех развивающихся стран БРИК. В следующем разделе будет описана концепция, согласно которой произошло ихобъединение в одну группу.

.2 Концепция стран БРИК

Понятие БРИК - группировка стран Бразилия, Россия, Индия, Китай было предложено в 2001 году главным экономистом GoldmanSachs О`Нилом. Работа была посвящена изучению взаимосвязей между ведущими экономиками мира и некоторыми развивающимися странами.

Автор сделал предположение о том, что развитие мировой экономики в ближайшем десятилетии может быть обеспечено за счет бурного роста 4 перспективных стран. О`Нил предположил, что доля этих 4 стран в мировом ВВП, составляющая 8% на тот момент существенно возрастет в ближайшем времени. Было предложено четыре сценария развития, согласно которым доля ВВП БРИК должна была достичь от 9 до 14% мирового ВВП.

Последователи О`Нила, построив прогнозы до 2050 года, утверждали, что суммарный объем ВВП БРИК превысит ВВП G7 к 2039 году.

Рисунок 1. Прогнозы ВВП БРИК

В работе «DreamingWithBRICs: ThePathto 2050» DominicWilsonandRoopaPurushothaman, развив идеи О`Нила, представили сценарий развития экономик четверки. На следующем графике указаны периоды, когда согласно их расчетам ВВП стран БРИК должен обогнать ВВП членов G6.

Рисунок 2. Периоды, в котором ВВП БРИК превзойдет ВВП указанных стран

Глобализация и распространение технологий, в частности, интернета, подтолкнули страны БРИК в их стремлении к выходу на мировую арену и предоставили широкие возможности для роста.

В Индии факторами, выявляющими высокий потенциал, служили высокие демографические показатели и широкая распространенность английского языка, что способствовало использованию интернета и становлению рынка аутсорсинговых услуг.

В рейтинге стран по ВВП Бразилия обогнала Италию в 2010 году, в 2011 году экономика Китая стала второй по величине в мире, обогнав Японию. Индия и Россия также демонстрировали стремительный рост в течение десятилетия, превосходя предсказания аналитиков. ВВП Китая в 2001 году превышал ВВП Италии, входящей в Большую семерку.

Совокупный ВВП БРИК увеличился в 4 раза, в то время как мировая экономика выросла только вдвое. Источником ее роста на протяжении 10 лет был именно внутренний спрос, а не только экспорт в развитые страны и растущего в цене сырья.

После кризиса 2008 года многие полагали, что рост БРИК закончен и роль двигателя мировой экономики потеряна. Фондовые рынки этих стран демонстрировали значительное падение, превышающее спад в развитых странах. Однако, по мнению автора,БРИК только укрепили свое положение.

Согласно О`Нилу В странах БРИК увеличилось личное потребление. 20% мировой торговли приходится на эту четверку. Наблюдается интенсивный рост торговли между данными странами, превышающий рост мировой торговли в целом.

Основными факторами, послужившими включению в данную группу именно этих стран, cогласно О`Нилу, послужили два аспекта. Это демография и производительность труда. Совокупное население этих стран, исчисляющееся в почти 3 млрд человек составляет практически половину мирового населения. В основном такое соотношение обеспечено за счет Китая и Индии, население каждой из которых превышает население США более, чем в 4 раза. В качестве прогнозов роста населения стран были использованы долгосрочные расчеты ООН в отношении возрастной структуры и численного трудоспособного населения. Согласно построенной модели, каждая из стран должна была получить свое развитие в плане демографии. Россия получила неблагоприятные характеристики в силу низкой рождаемости и старения населения, в то время, как китайская демография была представлена на уровне развитых европейский стран. Наиболее благоприятными демографические прогнозы были представлены для Бразилии и Индии.

Рисунок 3. Прогноз численности трудоспособного населения

В качестве еще одного параметра оценки потенциала роста служил сконструированный индекс «оценки условий роста». Он был рассчитан на основе макро- и микроэкономических переменных, таких как: инфляция, дефицит государственного бюджета, внешний долг,инвестиции, степень открытости, использование мобильной связи, использование интернета, использование компьютеров, ожидаемая продолжительность жизни, уровень образования, верховенство закона, уровень коррупции и стабильность правительства.

Все вышеперечисленные переменные оказывают значимый вклад в производительность труда. Идея данного индекса заключается в отражении скорости достижения страной производительности труда, сопоставимой с развитыми странами.

Первое место согласно индексу занимал Китай, выигрывая за счет экономической стабильности, уровню образования и открытости для торговли. Россия, находящаяся на втором месте, имела нестабильную политическую систему, коррупцию и высокую инфляцию. Сильными сторонами Бразилии являлись высокая продолжительность жизни и стабильность политической системы. Индия, находясь на 4-ом месте, проигрывала за счет слабого использования технологий, дефицита бюджета и невысокого уровня образования. Следует отметить, что на момент 2011 года одним из самых высоких значений индикатора обладает Южная Корея.

Авторы представили рост ВВП как результат трех составляющих.


Это, во-первых, рост занятости. Занятость зависит от численности трудоспособного (15-60 лет) населения (L). Оно определяется согласно прогнозам американского бюро статистики.

Во-вторых, это рост основных фондов или накопленный капитал (K). Капитал выступает в качестве источника инвестиций. Рост капитала рассчитывается на основе нормы инвестирования и нормы амортизации.


Третьей составляющей является технический прогресс, выступающий в качестве меры роста производительности экономики (A). Рассчитывается на основе дохода на душу населения в развивающихся странах и в США. Скорость конвергенции (ß) принимается равным 1,5%, а 1,3% - коэффициент роста технического прогресса.


В качестве модели для определения изменения реального валютного курса используется модель динамического равновесия курса, которая предполагает, что сила валюты является отражением относительной производительности экономики.[4]


В продолжение идеи БРИК выделяют группу развивающихся стран, следующую за четверкой, в терминах GoldmanSachs, NextEleven или N-11. Сюда входят следующие страны: Бангладеш, Египет, Индонезия, Иран, Южная Корея, Мексика, Нигерия, Пакистан, Филиппины, Турция и Вьетнам. Потенциал этих стран значительно скромнее масштабов БРИК, однако такие страны как Мексика и Корея по мнению О`Нила способны играть не меньшую роль в экономике, чем БРИК.

По примеру O`Нила,исследователи формировали также альтернативные группировки стран, потенциальных «чемпионов мировой экономики», например, с таким акронимом, как MIST (Мексика, Индонезия, Южная Корея, Турция).

.3 Характеристика фондовых рынков БРИК

Следом за высокими темпами роста экономик, финансовые рынки стран БРИК демонстрировали стремительное развитие, что поддерживалось реформами, нацеленными на повышение эффективности функционирования рынка. Высокие доходности и возможности диверсификации активов являлись привлекающими инвесторов факторами.

Насчитывается более 50 крупных фондов, занимающихся инвестициями в страны БРИК. Под их управлением находится капитал величиной более 10 млрд долларов. Ниже приведена краткая характеристика фондовых рынков БРИК. Рейтинг стран по капитализации фондовых рынков можно найти в приложении (Приложение 1).

Бразилия

Фондовый рынок Бразилии является старейшим в Латинской Америке. Биржа Рио-де-Жанейро была основана в 1845 году, биржа Сан-Паулу в 1890. Рынок формировался по модели французского, существовавшего на то время рынка, поэтому в настоящее время имеет больше общего с европейскими рынками, чем с американским. Количественные показатели рынка ценных бумаг Бразилии приближены к российскому рынку.

В начале 1990-х годов рынок Бразилии демонстрировал рекордные темпы роста, что было обусловлено либерализацией законодательства по иностранным инвестициям. С конца 1990-х следовало снижение капитализации, отражающее мировой «медвежий» тренд и внутренние проблемы страны. С 2003 года рынки вернулись на докризисные значения, продемонстрировав рост на 86%. Последующие годы продолжили оптимистическое развитие рынка.

В Бразилии существовало 9 крупных бирж, которые были реструктуризированы в 2000 году. В результате крупнейшая фондовая биржа BOVESPA, на которую до этого приходилось около 2/3 оборота, превратилась в единственный рынок акций страны. Основным фондовым индексом является индекс IBOVESPA, исчисляемый с 1968 года по примерно 50 компаниям. Вторым важнейшим индексом считается IBrX, рассчитываемый по 100 самым крупным бразильским предприятиям и является основой для опционных и фьючерсных контрактов.

Структура рынка Бразилии представлена широким спектром компаний по различным отраслям экономики. Значительную часть составляют акции компаний телекоммуникационного сектора и топливно-энергетического комплекса.

Россия

Российский рынок существенно уступает рынкам как развитых, так и развивающихся стран. Если в 2006 году рынок находился на втором месте среди четверки, то на данный момент замыкает список рассматриваемых стран.

Фондовый рынок России является сравнительно молодым в силу особенностей политического и экономического строя. Он получил свое развитие в 1991 году после либерализации экономики. В 1992 году появляется межбанковская валютная биржа ММВБ, в 1995 году открывается биржа РТС. Однако активно развиваться рынок начал после 2000 года, сопутствуя экономического росту страны. Таким образом, для российского фондового рынка характерны черты развивающегося рынка, высокие темпы роста, высокая волатильность, доходность выше среднего, а также значительные риски.

В 2011 году биржи ММВБ и РТС объединились в ММВБ-РТС, которая носит название ОАО Московская биржа. В России рассчитываются два основных фондовых индекса, это РТС и ММВБ. Они были созданы в 1995 и 1997 годах соответственно и включают в себя котировки 50 и 30 акций.

Основу капитализации фондовых индексов составляют компании топливно-энергетического комплекса. Это приводит к тому, что их показатели в значительной степени подчинены влиянию внешней конъюнктуры.

Россия преодолевала кризис 2008 года затруднительно и, после кризиса, потеряла привлекательность глазах инвесторов.

Индия

Фондовый рынок Индии был основан еще в 30-х годах 19 века. Старейшая в Азии - Бомбейская биржа основана в 1875 году. В наше время биржа по многим показателям не уступает рынкам развитых стран. Была проведена либерализация финансовой системы, заключавшаяся в отмене регулирования валютного курса и ставок, а также в допуске иностранных инвестиций. В результате реформы повысились прозрачность и ликвидность рынка, что способствовало появлению различных биржевых инструментов. Особенностью структуры собственности индийского рынка является высокая доля семейной собственности, в 2003 году 58% акций компаний принадлежало учредителям и связанным с ними лицам.

С 1991 по 2000 многократно повысилась капитализация рынка, с 21 до 85% к ВВП. Мировое снижение повлекло также и спад на индийском рынке до 29%, что также было связано с переоценкой появившихся компаний, представляющих новые отрасли. Далее последовало стремительное восстановление рынка акций.

Отраслевая структура компаний разнопланова, это такие отрасли, как нефтепереработка, фармацевтика, легкая и пищевая промышленность и финансовый сектор. Уровень концентрации невысок по сравнению с другими членами четверки и составляет примерно 30%. Основными фондовыми индексами являются BSE-30 и S&PCNXNifty.

Китай

Фондовый рынок Китая зародился в конце 60-х годов 19 века. Пекинская фондовая биржа основана в 1918 году. Позже открылись также Шанхайская и Шанхайская Хуашангская биржи. В силу того, что экономика Китая носила аграрный характер, роль бирж была незначительна. Первый акции в современном Китае появились в 1990-х, представленные на биржах Шанхайская и Шэньчжэньская. Шанхайская фондовая биржа по своей операционной способности является одной из наиболее мощных в мире, поскольку ее торговая система позволяет производить до 16 тысяч транзакций в секунду.

Капитализация рынка ценных бумаг в Китае в 2014 году увеличилась на 33% и достигла 4,48 трлн долларов. Это позволило Китаю обойти по этому показателю Японию, и стать вторым биржевым рынком в мире после США.

Количество владельцев акций составляло 73 млн в 2006 году и несильно уступало показателю в США. Китай занимает первое место по сумме задолжности по облигациям. Имея весьма либерализированную политику относительно иностранных инвестиций и внешней торговли, фондовый рынок Китая является относительно закрытой зоной, которая в сильной степени контролируется государством и не всегда эффективно используется.

Китайский фондовый рынок - единственный в мире, на котором подавляющее большинство обращающихся акций, по сути, являются акциями государственных компаний, преобразованных в ходе проведения реформ в акционерные общества, контрольный пакет акций которых принадлежит государству.

Одной из отличительных черт китайского фондового рынка Китая является преобладание среди его участников частных инвесторов. На долю юридических лиц приходится лишь 12% акций, обращающихся на рынке, при этом институциональным инвесторам - паевым фондам, управляющим компаниям, банкам, страховым компаниям и пенсионным фондам -принадлежит лишь 4% акций. Китай значительно отстает от других стран мира по этому показателю.

По классификации S&P, страны БРИК относятся к формирующимся рынкам. Данное определение применяется к стране, если для нее выполняется одно из условий: страна относится к группе государств с низким или средним душевым доходом; страна имеет низкое отношение капитализации к ВВП. Также применяются неколичественные параметры, такие как наличие ограничений на портфельные иностранные инвестиции. Среди рассматриваемых стран существует довольно много различий по параметрам: масштаб рынка, прозрачность системы, жесткость системы регулирования, длительность функционирования. Однако все эти страны объединяет неустойчивость финансовых рынков, а также высокие ценовые риски по сравнению с развитыми странами.

В 2012 году страны БРИКС создали альянс, запустив программу кросс-листинга производных финансовых инструментов на фондовые индексы. В альянс вошли фондовая биржа Бразилии ВМ&F Bovespa, биржа ММВБ-РТС-России, Индии- BSE Limited, корпорация бирж и клиринговых организаций Китая - HKEx, фондовая биржа Йоханнесбурга Южной Африки - JSE Limited. Сотрудничество в рамках альянса предполагает предоставление доступа к производным инструментам на основные фондовые индексы стран группы БРИКС с целью привлечения большего числа инвесторов. Данный проект предоставляет широкие возможности роста и развития рынков, позволяет локальным инвесторам проводить диверсификацию портфелей, выходить на другие развивающиеся рынки через продукты, прошедшие местный листинг. Проект способен обеспечить рост ликвидности на рынках БРИКС, а также, укрепить международное положение альянса в мировой экономике.

Таким образом, у стран группы БРИК существует множество различий, отраслевая структура фондовых рынков неоднородна, и связана в первую очередь с экономическим потенциалом стран. Однако все рынки стран БРИК в большей степени представлены компаниями ТЭК, что связано с развитостью экспортно-сырьевой особенности экономик.

В следующем разделе будет рассматриваться динамика показателей ФР рассмотренных стран в до и после кризисные периоды.

.4 Динамика показателей фондовых рынков

Одним из наиболее часто используемых аналитиками показателей фондового рынка страны является отношение рыночной капитализации в ВВП. Также используется показатель, где в знаменателе стоит ВНП.

Данный индикатор показывает значение фондового рынка в экономике страны, а также способен выявить переоцененность или недооцененность рынка. Стоит отметить, что абсолютное значение показателя не имеет практического значения, однако по динамике отношения можно судить о состоянии рынка.

На следующем графике представлена динамика данного показателя по странам БРИК. Для сравнения также приведены значения индикатора по таким рынкам, как США, Великобритания и Германия.

Рисунок 4. Динамика рыночной капитализации в % ВВП

Показатель демонстрирует весьма разноплановое поведение по странам. Из общей динамики выбиваются рассмотренные развитые страны. Для стран БРИК картина является более однородной.

Рисунок 5. Динамика рыночной капитализации в % ВВП, БРИК

График позволяет наглядно понять суть индикатора, выделяя явную перегретость рынков в 2007 году, что соответствовало началу мирового кризиса. На момент последних данных, по 2012 году рынки находятся в более умеренной зоне до 80% ВВП.

Рисунок 6. Капитализация в % ВВП, БРИК. 2007-2012

Для России индекс показывает наименьшее значение и низкие темпы роста. Для всех 4 стран после локального пика в 2009 году заметно снижение показателя до 2011 года и слабый подъем впоследствии. Наибольшую амплитуду колебаний демонстрирует рынок Китая.

В данной работе ввиду ограниченности доступных квартальных данных в качестве индикаторных переменных были выбраны значения капитализации основных бирж стран БРИК. Фондовые рынки стран представляют следующие биржи: BOVESPA, NationalIndianStockExchange, MoscowExchange, HongKongExchange.

Нельзя не отметить, что значения капитализации для 4 стран демонстрируют высокую корреляцию между собой, так, все коэффициенты превышают значение 0,9. Интересно, что при рассмотрении докризисного периода коэффициенты снижаются до уровня 0,5-0,7. Посткризисные значения высоки. Наиболее тесная взаимосвязь наблюдается между Бразилией и Индией как по всему периоду в целом, так и по до- и послекризисным периодам.

Рисунок 7. Динамика рыночной капитализации 4 бирж. 2003-2013

Показатели Китая демонстрируют наиболее интенсивный рост, превышая докризисные значения. Для Бразилии и Индии характерно снижение значений капитализации после 2011 года. Российский рынок в абсолютном выражении значительно меньше китайского, а также и других членов четверки, однако наблюдается стабилизация показателя на докризисном уровне.

Для того, чтобы сравнить поведение данного индикатора до и после кризиса, рассмотрим динамику капитализации основных бирж стран в периоды 2003-2007 и 2008-2014 годы. На представленных ниже графиках изображены темпы прироста значений капитализации. Первые два рисунка характеризуют рынок Бразилии.

Рисунок 8.Темпы прироста капитализации, Бразилия

График демонстрирует значительное снижение темпов роста после 2008 года. Докризисные значения находились в основном в положительной зоне, превышая 10% и доходя до 25%-30% в максимумах. В послекризисном периоде тенденция изменилась: разброс значений в большей части лежит в зоне -13- +11%, при этом 2011-2013 годы показывают средний темп прироста 3,7%.

Для российского рынка динамика следующая:



Рисунок 9. Темпы прироста капитализации, Россия

Для России в целом характерны невысокие темпы прироста, после кризиса колебания происходят в диапазоне -10- +8% и средний темп прироста равен 4%.


Рисунок 10. Темпы прироста капитализации, Индия

На данных графиках аналогичные показатели индийского фондового рынка. Можно заметить схожую динамику невысоких колебаний с преобладающим сокращением роста рынка.


Рисунок 11. Темпы прироста капитализации, Китай

Послекризисный период в Китае демонстрирует схожую динамику капитализации, показывая небольшие темпы прироста, чередующиеся со спадами в рамках 10%.

В целом по странам БРИК на протяжении последних лет видна тенденция к затухающим колебаниям с примерно одинаковым распределением между периодами роста и спада. Таким образом, можно сделать вывод о том, что после кризиса 2008 года произошло изменение в динамике фондовых рынков.

Индексы бирж, такие как BOVESPA, MICEX, BSE, SENSEX, SHANGHAI показывают схожую динамику, что подтверждают коэффициенты корреляции межу российским, бразильским и индийским индексами, превышающие 0,85. Индекс для Китая выбивается из общей тенденции, представляя стремительный рост после 2008 года с пиком в середине 2009, после чего последовал резкий спад. Подобная динамика может быть объяснена действием китайский властей, стремившихся поддержать рынок в 2008 году. Нынешние значения находятся ниже докризисного уровня.

Рисунок 12. Фондовый индекс Китая. 2003-2013

Индексы остальных стран четверки изменялись схоже, к примеру, приведем график индекса ММВБ.

Рисунок 13. Фондовый индекс России. 2003-2013

После резкого падения в 2008 году индекс вырос на 153% (от минимальной точки до следующего локального пика) и продолжил плавное снижение с относительной стабилизацией на уровне 2005-2006 года.

Индексы стран характеризуются примерно одинаковой степенью волатильности:

Таблица 1. Волатильность фондовых индексов

Индекс

BOVESPA

MICEX

BSE SENSEX

SHANGHAI

Волатильность

6,59%

8,23%

7,23%

8,71%


Волатильность расчитана на месячных данных для периода 2003-2014 годы.

Торговый оборот на бирже также претерпел резкие изменения из-за кризиса 2008 года, но в Индии и Бразилии он вышел на уровень значений 2007 года.

На следующем графике отображена сглаженная динамика показателя оборота торгов на бирже.

Рисунок 14. Динамика оборота торгов на бирже

Интересно также оценить изменение биржевого листинга. На следующем графике представлена динамика количества размещенных на бирже компаний. Представлены данные для Бразилии, Индии и Китая.

Рисунок 15. Динамика количества компаний на бирже

Рынки Индии и Китая показывают интенсивный рост числа компаний. До 2008 года в Индии рост был сильнее, чем после кризиса. На динамику показателя Китая кризис 2008 года не оказал влияния. Для Бразилии ситуация складывается противоположным образом: количество компаний, прошедших листинг на бирже находится на постоянном уровне, значительно низшем, чем в Китае и Индии, имеется небольшая тенденция снижению показателя.

Из проведенного анализа можно сделать вывод о подтверждении гипотезы изменения динамики показателей фондовых рынков рассматриваемых стран после 2008 года. По оценкам Bloomberg, рынки БРИК стали демонстрировать весьма разнонаправленную динамику.Такой вывод приводит к вопросу о причинах изменения динамики с точки зрения степени отражения ФР динамики внутренних показателей в двух периодах.

В следующей части будет проведен анализ литературы, посвященной проблематике фондовых рынков БРИК, зависимостей, определяющих их движение и взаимосвязи данных рынков.

Глава 2. Теоретические основы исследования

.1 Обзор литературы

Исследования рынков стран БРИК получили свое широкое распространение после кризиса 2008 года, когда изменилась тенденция высоких темпов роста стран. Кроме того, интерес вызван тем, что, на рынки данных стран кризис оказал влияние большее, чем на рынки развитых стран.

Одной из детерминант экономического развития страны является наличие развитой финансовой системы. Так как важность взаимосвязи финансовых рынков и экономического развития очевидна, этот вопрос весьма широко исследован в литературе. В этом разделе исследований фондовые рынки привлекают особенное внимание как важный источник роста и развития.

Растет количество исследований, посвященных изучению различных факторов на национальные фондовые рынки. В литературе взаимосвязь между финансовым развитием и экономическим ростом обсуждается сторонниками трех взглядов: глубина финансовой системы способствует экономическому росту; экономический рост стимулирует финансовое развитие; финансовое развитие и экономический рост влияют друг на друга. Несмотря на разность позиций, изучение факторов, влияющих на развитие фондовых рынков - один из самых актуальных в литературе данного раздела. Признается, что макроэкономические факторы наряду с институциональными - наиболее сильно влияют на динамику фондовых рынков.

Данная работа использована в качестве выбора индикаторов, влияющих на развитость фондовых рынков. Используя панельные данные, авторы заключают, что страны с высоким ВВП, более здравой макро политикой, более эффективной правовой системой и большей степенью открытости экономики имеют более развитые финансовые рынки. В статье выделяются такие факторы развитости рынка, как отношение рыночной капитализации к ВВП, объем торгов к ВВП, объем привлеченного капитала. Используются композитные меры институциональной среды и возможностей экономического роста. Вводятся общие индексы интернационализации счета капитала и фондового рынка.

В статье Do global factors impact BRICS stock markets? A quantile regression approach авторы изучают влияние на фондовые рынки стран БРИК таких глобальных фактов, как изменения в мировых фондовых рынках, цены на сырье, неопределенность политики США, неопределенность состояния фондовых рынков. Данные страны являются значимыми получателями мировых инвестиционных потоков и одни из главных потребителей сырьевых товаров. Авторы также задаются вопросом одинаковы ли зависимости для каждой из изучаемых стран, и каким образом кризис 2008 года повлиял на характер данных зависимостей.

В статье авторы применяют метод квантильной регрессии для изучения структуры зависимостей. На периоде с сентября 1997 по сентябрь 2013 года они приходят к выводу, что ФР БРИК испытывают влияние от глобальных рынков и цен на сырье, так же как и от изменений индекса волатильности американского рынка. Структура зависимостей оказывается ассиметричной и изменяется после финансового кризиса 2008 года. Напротив, индекс политической нестабильности США не оказывает влияния на рынки БРИК.

Цены на сырьевые товары влияют на фондовые рынки как до, так после кризиса, однако в разной степени. После кризиса увеличилась параллельная динамика фондовых рынков и цен на сырьевые активы всех стран БРИК на всех квантилях. Структура зависимости фондовых рынков от цен на золото остается неизменной и симметрична на всех квантилях.

В работе Dynamic linkages of stock prices between the BRICs and the UnitedStates: Effects of the 2008-09 financial crisis Haifeng Xu a, Shigeyuki Hamori были протестированы взаимозависимости между фондовыми индексами в пяти странах: США и БРИК. Вопрос исследования формулировался как определение влияния кризиса 2008 года на динамические связи между ценами акций на данных рынках. Эмпирические результаты подтверждают гипотезу того, что после кризиса зависимости ослабились.

Встатье Has recent financial crisis changed permanently the correlations between BRICS and developedstock markets? Рассматривается влияние кризиса 2008 года на взаимосвязь между рынками БРИК и развитых стран. Используя методы анализа условной корреляции, авторы приходят к выводам, что финансовый кризис 2007 года послужил причиной перманентного изменения в долгосрочных взаимосвязях между фондовыми рынками. Авторы находят подтверждение того, что изменились взаимосвязи между развитыми странами и БРИК. Рынки Бразилии и России имеют наиболее сильную корреляцию с развитыми странами, чем Индия и Китай.

Авторы статьи What drives stock market development in emerging markets-institutions, remittances, or natural resources? Andreas Billmeier, Isabella Massa оценивают влияние макроэкономических показателей на капитализацию фондовых рынков 17 стран. Строится панельное исследование. К традиционным независимым переменным - объему торгов, ВВП, сбережения к инвестициям, внутреннему кредитованию авторы добавляют несколько факторов. В модель включается институциональные факторы и потоки денежных переводов. Также авторы разбивают все страны на две группы - экспортирующие и импортирующие углеводород. Проведенный анализ приводит к выводу, что и институциональные факторы и макроэкономические факторы значимо влияют на капитализацию рынка. Также потоки денежных переводов значимо отражаются в капитализации рынков. Для стран, богатых природными ресурсами капитализация рынка объясняется в основном ценами на нефть.

В данной работе учитывались результаты наработок выпускников ВШЭ, работы которых касались фондового рынка России и изменения зависимостей индекса РТС в докризисный и кризисный, послекризисный периоды. В работе К. В. Галчёнковой «Взаимосвязь между индексом РТС и другими фондовым индексами в докризисный и кризисный периоды» изучаются зависимости между фондовыми рынками ряда стран. Проверялась гипотеза о том, что во время кризиса взаимосвязи между ФР возрастают. В нашей работе будет подтверждена данная гипотеза относительно стран БРИК в после кризисный период. Для изучения характера связи строились модели векторной авторегрессии, а также моделей коррекции ошибками. Используются также коинтеграционный анализ и тест Грэйнджера на причинность. Авторы работы пришли к выводу, что во время кризиса степень экзогенности снижается и число значимых связей между индексами растет.

В работе Д. В. Самойлова «Факторы, влияющие на индекс РТС во время финансового кризиса 2008- 2009 гг. и до него» исследуются факторы, влияющие на изменение РТС. Исследование проводится с использованием корреляционного анализа, причинности по Грэйнджеру, коинтеграционных связей, функций импульсного отклика и разложения дисперсии РТС. Анализ показал, что наибольший вклад в изменение индекса в докризисный и послекризисный период вносит индекс Великобритании FTSE- 100. В работе констатируется, что S&P-500 и VIX объясняют невысокую долю дисперсии. Воздействие цен на нефть высоко во всех рассматриваемых периодах, наибольшее влияние он имеет при пиковых ценах на нефть. Эти два факторы обладают наибольшим влиянием на индекс РТС.

Выводы, полученные в статье Самойлова интересны, так как вступают в противоречие с работами 2008-2009 годов, утверждающих, что главным фактором индекса РТС является индекс США S&P - 500.

В настоящей работе будет проверена гипотеза об изменении влияния рынка США на капитализацию рынка России и остальных стран БРИК.

Одной из наиболее распространенных тем исследования является влияние цены на нефть на рынки развивающихся стран. Подобному вопросу посвящена статья Федоровой Е. А. [11]

В статье на основе современных экономико-математических методов проанализировано влияние цен на нефть на отечественный финансовый рынок. Предложен обзор наиболее интересных гипотез и результатов исследований влияния цен на нефть на развивающиеся рынки. Для тестирования гипотез о влиянии макроэкономических факторов на фондовый рынок России проведено четыре вида анализа: корреляционный, каузальный, построение и оценка модели VAR, коинтеграционный анализ. Доказано, что в стабильный период для российского фондового рынка важны цена на нефть марки Brent и объем мировой добычи нефти. В кризис эти факторы не оказывают значимого влияния на индекс РТС.

Исходя из рассмотренной литературы был выделен ряд показателей, являющихся наиболее значимыми при определении уровня развитости фондовых рынков.

market capitalization & market capitalization over GDP traded domestically over GDP raised domestically over GDP

stock market turnover ratio

Для объяснения тенденции развития этих показателей в литературе выделяется некоторое количество макроэкономических, финансовых и социальных индикаторов. Следует проанализировать следующие показатели, которые наиболее часто оказываются значимыми:

Цена на нефть

Уровень резервов

Ставка процента

Индекс потребительских цен

Курс национальной валюты

Объем экспорта

Фондовый рынок США

2.2 Факторы динамики фондовых рынков

В первой части работы на основе анализа динамики рынков была подтверждена гипотеза о характерном переломе в поведении фондовых рынков стран БРИК после 2008 года. В соответствии с выдвинутыми задачами работы, для того, чтобы понять причину изменения динамики, целесообразно выделить и оценить факторы, влияющие на уровень капитализации фондовых рынков.

Более того, следует понять, чем определяется межстрановое различие показателей внутри БРИК.

Результирующей переменной анализа является капитализация фондового рынка. Капитализация является стоимостной оценкой капитала, выраженного в форме ценных бумаг, в первую очередь, таких как акции и облигации.

В настоящей работе анализируется влияние нескольких групп факторов на капитализацию фондового рынка стран БРИК.

В качестве объясняющих переменных модели будут рассмотрены показатели, которые условно можно разделить на внутренние макроэкономические показатели; внешние факторы.

В анализ включены следующие показатели, являющиеся внутренним факторами: индекс производства, индекс потребительских цен, уровень резервов, объем экспорта, ставка процента.

К внешним факторам стоит относить цену на нефть, курс национальной валюты по отношению к доллару США, капитализация рынка США.

Факторы, анализируемые в работе

Индекс производства является оперативным индикатором, который отражает макроэкономическое состояние страны с точки зрения производства экономики. Показывает относительное изменение масштаба физического объема производства всех видов продукции. Влияние на фондовый рынок распространяется через канал капитализации компаний, чья стоимость повышается с ростом объемов производства. Более того, индикатор напрямую влияет на все экономические показатели. Его выход оказывает ощутимое влияние на движение фондового рынка.

Индекс потребительских цен является одним из важнейших показателей, характеризующих уровень инфляции. Характеризует изменение во времени общего уровня цен на товары и услуги, приобретаемые населением для непроизводственного потребления. Он измеряет отношение стоимости фиксированного набора товаров и услуг в текущем периоде к его стоимости в базисном периоде. Рост CPI может привести к повышению процентных ставок в экономике, что, в свою очередь, приводит к росту курса доллара, так как привлекательность вложения средств в валюту увеличивается.

Уровень резервов отражает стоимость высоколиквидных активов, находящиеся под контролем государственных органов денежно-кредитного регулирования. Состоят из средств в иностранной валюте <https://ru.wikipedia.org/wiki/%D0%92%D0%B0%D0%BB%D1%8E%D1%82%D0%B0>, специальных прав заимствования <https://ru.wikipedia.org/wiki/%D0%A1%D0%BF%D0%B5%D1%86%D0%B8%D0%B0%D0%BB%D1%8C%D0%BD%D1%8B%D0%B5_%D0%BF%D1%80%D0%B0%D0%B2%D0%B0_%D0%B7%D0%B0%D0%B8%D0%BC%D1%81%D1%82%D0%B2%D0%BE%D0%B2%D0%B0%D0%BD%D0%B8%D1%8F>, резервной позиции в МВФ <https://ru.wikipedia.org/wiki/%D0%9C%D0%B5%D0%B6%D0%B4%D1%83%D0%BD%D0%B0%D1%80%D0%BE%D0%B4%D0%BD%D1%8B%D0%B9_%D0%B2%D0%B0%D0%BB%D1%8E%D1%82%D0%BD%D1%8B%D0%B9_%D1%84%D0%BE%D0%BD%D0%B4>.Отражают запас ликвидности в экономике.Международные резервы выполняют роль своеобразного буфера для нейтрализации воздействия внешних шоков, влияющих как на счет текущих операций, так и на финансовый счет платежного баланса. При этом достаточный объем международных резервов позволяет избежать разрушительных последствий приспособления экономики к внешним потрясениям, которые во многих случаях становятся причиной падения производства, торможения инвестиционной деятельности и приостановки кредитной активности.

Объем экспорта является показателем, характеризующим внешнеторговые отношения страны с партнерами.

Ставка процента. В качестве ставки процента выбрана межбанковская ставка. Межбанковская ставка характеризует стоимость краткосрочных заимствований между банковскими институтами.Рассчитывается по операциям крупнейших российских банков на межбанковском кредитном рынке.

Цена на нефть общепризнано является фактором, обуславливающим динамику фондовых рынков, особенно в случае сырьевых экономик и фондовых рынков, чья структура в большей степени отражает ТЭК.

Курс национальной валюты по отношению к доллару США отражает покупательную способность валюты страны, что значимо влияет на внешнеторговые отношение. Изменения данного показателя оказывают воздействие на стабильность валютно-кредитных и финансовых связей между странами.

Капитализация рынка США является значимым фактором динамики многих фондовых рынков в силу лидирующей силы США как в экономическом, политическом, так и финансовом плане.

Таким образом, выбранные показатели характеризуют различные аспекты экономики страны: денежно-кредитный рынок, производство, внешне-торговые отношения, валютный рынок.

Ниже представлена таблица корреляций факторов с капитализацией фондового рынка в до и послекризисный период.

Таблица 2. Корреляции между капитализацией и определяющими факторами


BRENT

CPI

EXCHANGE RATE

EXPORT

PRODUCTION

RESERVES

USA

RATE

 

Бразилия

До кризиса

0.8753

0.8813

-0.8844

0.9054

0.9126

0.9503

0.9055

-0.8060

После кризиса

0.5312

-0.0735

-0.8506

0.4503

0.4509

0.2377

0.0247

-0.0967

 

Россия

До кризиса

0.8516

0.9362

-0.8815

0.9193

0.9382

0.9173

0.9168

-0.8887

После кризиса

0.6057

-0.0172

-0.5631

0.4594

0.2503

0.6170

0.0132

-0.6106

 

Индия

До кризиса

0.8645

0.9341

-0.7863

0.9381

0.9346

0.9722

0.8777

 

После кризиса

0.4448

0.3239

-0.1016

0.4327

0.5644

0.7119

0.4278

 

 

Китай

До кризиса

0.6621

0.8698

-0.8926

0.7590

0.2779

0.8293

0.7142

0.1637

После кризиса

0.6103

0.7298

-0.6734

0.7564

-0.0215

0.7932

0.8149

0.6104


Корреляции с описанными выше показателями в докризисный период являлись высокими, что изменилось в после кризисный период.

.3 Методология исследования

В следующем разделе будет описана методология эконометрических методов, применяемых в исследовании.

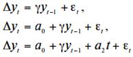
Перед началом анализа временных рядов необходимо провести проверку стационарности ряда. Для этого проводится тест на наличие единичного корня. Если ряд содержит единичный корень, то он признается нестационарным.

Для корректных результатов следует применить расширенный тест Дики-Фуллера. Рассматривается три различных реализации уравнения регрессии:

Если точная спецификация модели неизвестна, следует использовать альтернативный критерий определения стационарности временного ряда. Более достоверный результат может быть получен с помощью применения процедуры Доландо, Дженкинсона, Сосвилла-Риверо. Процедура заключается в выполнении следующих шагов. Первоначально оценивается модель, включающая константу и тренд.


Нулевая гипотеза проверяется с помощью статистики Дики - Фуллера. Если она отвергается, то единичный корень отсутствует. Если гипотезу отвергнуть нельзя, то проводится следующий шаг. Тестируется гипотеза о незначимости тренда в модели вида:


В случае, если гипотеза отвергается, то тестируется гипотеза . Если вторая гипотеза отвергается, делается вывод об отсутствии единичного корня. Если гипотеза не отвергается, проводится еще один этап. Оценивается модель с константой, без тренда:


Если нулевая гипотеза отвергается, делается вывод об отсутствии единичного корня.На четвертом этапе нулевая гипотеза следующая:Если гипотеза отвергается, то тестируется гипотеза о .

В случае ее отвержения делается вывод об отсутствии единичного корня. В противном случае оценивается модель без тренда и без константы.


Если нулевая гипотеза отвергается, то делается вывод об отсутствии единичного корня.

В случае, если ряд признается нестационарным, для дальнейшего анализа следует преобразовать ряд в стационарный путем взятия первой разности. Если первая разность стационарна, то нестационарный процесс является интегрированным процессом первого порядка.

В качестве подтверждения результатов описанной выше процедуры, дополнительно проводится тест KPSS (Квятковски, Филлипса, Шмидта и Шина). модель

В исследовании будет использована методология построения модели векторной авторегрессии (VAR) для определения взаимосвязи временных рядов.

Каждая переменная в модели является зависимой как от собственных лагов, так и от лагов остальных переменных. VAR представляет собой систему эконометрических уравнений, каждое из которых - модель авторегрессии и распределенного лага <https://ru.wikipedia.org/wiki/%D0%9C%D0%BE%D0%B4%D0%B5%D0%BB%D0%B8_%D0%B0%D0%B2%D1%82%D0%BE%D1%80%D0%B5%D0%B3%D1%80%D0%B5%D1%81%D1%81%D0%B8%D0%B8_%D0%B8_%D1%80%D0%B0%D1%81%D0%BF%D1%80%D0%B5%D0%B4%D0%B5%D0%BB%D0%B5%D0%BD%D0%BD%D0%BE%D0%B3%D0%BE_%D0%BB%D0%B0%D0%B3%D0%B0>. Пусть  - -й временной ряд. ADL(p,p)-модель для -го временного ряда будет иметь вид


Определение причинности по Грейнджеру

Для определения того, является ли одна переменная информативной в предсказании целевой переменной используется тест на причинность по Грейнджеру. Между рядами существует причинная связь Грейнджера , если вариация ошибки оптимального прогноза  по  меньше, чем по . Таким образом, выполняется неравенство


Декомпозиция дисперсии ошибки прогноза

Разложение дисперсии ошибки прогноза модели векторной авторегрессии дает возможность выявить взаимосвязи между переменными. Такой анализ показывает, какая доля изменений признака приходится на каждый фактор модели.

Глава 3. Практическая часть

.1 Используемые данные

В данной работе анализируются факторы динамики фондовых рынков стран БРИК. Рассматривается два периода - до кризиса 2008 года и после с целью проанализировать изменение взаимосвязи показателей, определяющих динамику рынков. Докризисный период определяется интервалом с сентября 2003 года по декабрь 2007 года. С декабря 2008 года по декабрь 2014 года наблюдается послекризисный период.

В качестве индикатора состояния фондового рынка страны берутся значения капитализации рынка. Данные имеют месячную периодичность, что позволяет учесть в анализе достаточное количество факторов, по которым имеется статистика.

Анализируется влияние нескольких видов факторов. Во-первых, рассматриваются внутренние макроэкномические показатели, таких как: индекс потребительских цен, индекс производства, объем экспорта, уровень резервов, ставка процента. Во-вторых, оценивается влияние цены на нефтьи курса национальной валюты по отношению к доллару.В-третьих, анализируется взаимосвязь фондового рынка страны с рынком США.

Таким образом, в исследовании оценивается влияние перечисленных выше показателей в разрезе до и после кризисного периодов для каждой из стран четверки.

Работа основана на данных, взятых из различных баз данных, таких как Bloomberg, Reuters, IMF, Worldbank, OECD, FederalReserveEconomicData.

.2 Проверка временных рядов стационарность

Все ряды данных по каждой стране предварительно были проанализированы на наличие стационарности. Согласно описанной выше методологии, применялась процедура Доландо, Дженкинсона, Сосвилла-риверо. Результаты применения тестов приведены в следующей таблице.

Таблица 3. Стационарность временных рядов до кризиса

До кризиса

Brazil

Russia

India

China

Капитализация

I (1)

I (1)

I (1)

I (1)

Резервы

I (1)

I (1)

I (1)

Экспорт

I (0)

I (1)

I (1)

I (1)

Ставка

I (1)

I (1)

I (0)

I (1)

ИПЦ

I (1)

I (1)

I (1)

I (1)

Курс доллара

I (1)

I (1)

I (1)

I (1)

Индекс производства

I (0)

I (1)

I (1)

I (1)


В докризисном периоде для большинства рядов данных было характерно наличие единичного корня, то есть ряды были нестационарны. Взятие первой разности привело ряды к стационарным процессам, то есть исходные показателями являются интегрированными процессами первого порядка. Некоторые переменные, например, индекс производства для Бразилии, является стационарным рядом, так же как и ставка процента для Индии.

В после кризисном периоде практически все временные ряды также являлись нестационарными процессами, первые разности которых не содержат единичного корня. Результаты теста приведены в следующей таблице.

Таблица 4. Стационарность временных рядов после кризиса

После кризиса

Brazil

Russia

India

China

Капитализация

I (1)

I (1)

I (1)

I (1)

Резервы

I (1)

I (1)

I (1)

I (1)

Экспорт

I (1)

I (1)

I (1)

I (1)

Ставка

I (0)

I (1)

I (0)

I (1)

ИПЦ

I (1)

I (1)

I (1)

I (1)

Курс доллара

I (1)

I (1)

I (1)

I (0)

Индекс производства

I (1)

I (1)

I (1)

I (1)

Далее был проведен тест KPSS для проверки результатов теста на стационарность. Результаты предыдущего теста подтвердились, однако есть некоторые различия, в частности, в предкризисном периоде ставка процента для России признается стационарным процессом, а индекс производства для Бразилии интегрированным первого порядка. В послекризисном периоде курс доллара для России нестационарен в первой разности, а стационарен во второй; курс доллара для Китая является интегрированным процессом первого порядка. Большинство временных рядов признаются стационарными в первых разностях.

Цена на нефть признается нестационарным процессом, стационарным в первой разности согласно результатам обоих тестов.

Процедура Доландо, Дженкинсона, Сосвилла- Риверо и тест KPSSв некоторых случаях приводят к различным результатам, противоречащим друг другу. Однако, можно построить модель векторной авторегрессии на основе первых разностей временных рядов.

Перед построением моделей VAR следует определить количество лагов, которые будут включены в модель. Для этого сравниваются модель с различным количеством лагов по пяти критериям: LR, FPE, AIC, SC, HQ.

В следующей части приводятся результаты эконометрического анализа взаимосвязей между переменными.

.3 Построение моделей векторной авторегрессии

Проанализируем докризисный период на фондовом рынке Бразилии.

Бразилия

Для модели капитализации рынка Бразилии было оценено количество лагов, которое следует включить в модель. Все критерии говорят в пользу выбора 4 лагов.

Была построена VAR модель, содержащая все показатели, описанные в предыдущем разделе. На основании нее было проведено разложение дисперсии ошибки прогноза. Результаты представлены в таблице 5.

Таблица 5. Декомпозиция дисперсии ошибки прогноза. Бразилия до кризиса


Доля дисперсии, приходящаяся на собственные шоки капитализации рынка Бразилии, относительно других стран невысока и к 10 периоду снижается с 84 до 32%. Наиболее важным внутренним показателем являются резервы, объясняющие до 30% доли дисперсии. Также важными факторами являются курс доллара, цена на нефть и объем экспорта. Наименее значимыми факторами являются индекс потребительских цен, индекс производства, ставка процента. Рынок США влияет на рынок Бразилии относительно других показателей незначимо, объясняя лишь до 3% дисперсии ошибки прогноза.

Из результатов теста на причинность по Грейнджеру следует, что изменения капитализации рынка не зависят от изменений рассматриваемых факторов. Только рынок США, согласно Грейнджеру, влияет на динамику капитализации Бразилии.

После кризисный период

Таблица 6. Декомпозиция дисперсии ошибки прогноза. Бразилия после кризиса


Степень экзогенности рынка Бразилии после кризиса меняется не сильно. Разброс значений в различных периодах составляет от 60 до 45%. Резко возрастает влияние цены на нефть, она объясняет до 33% доли дисперсии ошибки прогноза, в то время, как в докризисное время максимальное значение составляло 10. Следующими по степени влияния показателями являются курс валюты и экспорт, составляя по 7% дисперсии. Такие факторы, как индекс производства, ставка процента остались незначимыми для капитализации рынка, снизившись еще сильнее. Влияние рынка США не изменилось. Степень влияния уровня резервов значительно снизилась.

Согласно тесту причинности по Грейнджеру, единственным показателем, влияющим на капитализацию рынка Бразилии, как и в докризисный период, является рынок США.

Результаты эконометрического анализа сведены в следующей таблице, где представлены наиболее значимые факторы для капитализации фондового рынка Бразилии.

Таблица 7. Значимые факторы капитализации

До кризиса

После кризиса

Экзогенность рынка

Резервы

Цена на нефть

Снизилась не сильно

Курс доллара

Курс доллара


Цена на нефть



Объем экспорта




Россия

Докризисный период

Согласно 4 критериям, для VAR модели следует выбрать количество лагов, равное 4.

Была построена модель векторной авторегрессии на основе капитализации рынка, внутренних показателей, цены на нефть, а также капитализации рынка США. Исследуем разложение дисперсии ошибки прогноза. Экзогенность капитализации рынка России резко падает после 4 периода, к 10 периоду достигая значения в 16%.

Таблица 8. Декомпозиция дисперсии ошибки прогноза. Россия до кризиса


Наиболее сильное влияние оказывают такие факторы как нефть (до 28%) и экспорт (до 30%). Индекс производства и курс валюты оказывают влияние средней степени. Рынок США объясняет всего 1% дисперсии, не оказывая значимого влияния на фондовый рынок России до кризиса.

Согласно тесту на причинность по Грейнджеру, на капитализацию рынка влияет индекс потребительских цен, экспорт и индекс производства.

Послекризисный период

Капитализации рынка России после кризиса стала менее экзогенной. Влияние цены на нефть на фондовый рынок увеличилось. Сильно выросло влияние курса валюты, доходя до 38% дисперсии ошибки прогноза. Влияние показателя индекса производства незначительно снизилось. Доля дисперсии, объясненная экспортом, значительно сократилась в послекризисном периоде. Исходя из результатов теста на причинность по Грейнджеру, нефть является единственным показателем, от которого зависит капитализация рынка.

Таблица 9. Декомпозиция дисперсии ошибки прогноза. Россия после кризиса


Результаты эконометрического анализа сведены в следующей таблице.

Таблица 10. Значимые факторы капитализации

До кризиса

После кризиса

Экзогенность рынка

Цена на нефть

Цена на нефть

снизилась

Объем экспорта

Курс доллара


Индекс производства

 


Курс доллара

 



Индия

В результате сравнения моделей с разным количеством лагов по информационным критериям, была выбрана модель векторной авторегрессии с 4 лагами.

Ниже представлена таблица декомпозиции дисперсии ошибки прогноза модели.

Таблица 11. Декомпозиция дисперсии ошибки прогноза. Индия до кризиса


Степень экзогенности фондового рынка Индии является относительно высокой, незначительно колеблясь в периодах около значения 57%. Нефть является фактором, оказывающим наиболее сильное влияние на капитализацию рынка. На рынок Индии сильное влияние оказывает также уровень резервов. Такие показатели, как капитализация рынка США, индекс потребительских цен, индекс производства и экспорт влияют на капитализацию рынка незначительно.

Рассмотрим результаты анализа теста на причинность по Грейнджеру. Исходя из данного теста, на динамику капитализации рынка Индии до кризиса значимое влияние оказывают уровень резервов, курс валюты, рынок США.

Послекризисный период

Рассмотрим исследование декомпозиции дисперсии ошибки прогноза модели векторной авторегрессии.

Доля дисперсии признака, объясненного собственными, шоками сильно изменяется, снижаясь до 12% к 10 периоду. До 50 % дисперсии объясняется показателей цены на нефть, таким образом, в послекризисном периоде, на рынок Индии самое большое влияние оказывает цена на нефть. Курс валюты также показывает высокий процент объясненной дисперсии. Уровень экспорта влияет на рынок Индии в средней степени, а индекс производства, уровень резервов и капитализация рынка США значимо не влияют на рынок Индии.

Таблица 12. Декомпозиция дисперсии ошибки прогноза. Индия после кризиса


Сопоставляя период до и после кризиса, можно заметить, что экзогенность рынка снизилась. Это произошло за счет резкого роста степени влияния цены на нефть, увеличения значимости валютного курса и уровня экспорта. Влияние уровня резервов на фондовый рынок снизилось.

Тест на причинность по Грэнджеру не выявил значимых факторов, которые влияют на фондовый рынок Индии.

Краткие результаты эконометрического анализа значимости факторов по Индии сведены в следующей таблице.

Таблица 13. Значимые факторы капитализации

До кризиса

После кризиса

Экзогенность рынка

Цена на нефть

Цена на нефть

снизилась

Уровень резервов

Курс доллара



Китай

Докризисный период

Экзогенность рынка Китая значительно снижается к 10 периоду, достигая значения в 13% объясненной собственными шоками дисперсии.

Таблица 14. Декомпозиция дисперсии ошибки прогноза. Китай до кризиса


Согласно результату анализа разложения дисперсии, можно увидеть, что наиболее сильное влияние оказывает цена на нефть, доходя до 42% дисперсии, индекс потребительских цен, ставка процента и уровень экспорта.

Проанализировав результаты теста на причинность по Грейнджеру, можно сказать о значимом влиянии объема экспорта и курса валюты.

Послекризисный период

Для послекризисного периода была построена модель векторной авторегрессии с 5 лагами. Выбор количества лагов основан на большинстве информационных критериях, говорящих в пользу выбора модели с пятью лагами.

Ниже представлена таблица с результатами декомпозиции дисперсии ошибки прогноза.

Таблица 15. Декомпозиция дисперсии ошибки прогноза. Китай после кризиса


По отношению к предкризисному периоду степень экзогенности рынка Китая выросла. Это произошло за счет снижения степени влияния цены на нефть, а также индекса потребительских цен. Самым значимым показателем оказывается уровень внутренних резервов.

Результаты эконометрического анализа для Китая представленыниже. В таблице представлены факторы, оказывающие наибольшее влияние на капитализацию фондового рынка Китая.

Таблица 16. Значимые факторы капитализации

До кризиса

После кризиса

Экзогенность рынка

Цена на нефть

Уровень резервов

Увеличилась

Индекс потребительских цен

Цена на нефть


Ставка процента

 


Объем экспорта

 



Межстрановое сопоставление

Проанализировав изменение факторов, влияющих на капитализацию фондовых рынков БРИК до и после кризиса можно сделать следующие выводы.

Для 4 анализируемых стран выделяются общие тенденции. В докризисный период для каждой страны наиболее значимыми факторами динамики фондового рынка являлись индивидуальные внутренние показатели. Однако на динамику всех стран влияли объем экспорта, цена на нефть, курс доллара и уровень резервов.

В послекризисный период для всех стран резко увеличилось влияние цены на нефть и курса доллара. Степень воздействия остальных факторов на их фоне является незначительной.

Несколько другая картина характерна для Китая: курс доллара не является определяющим факторов динамики фондового рынка. В докризисном периоде кроме цены на нефть и объема экспорта, на капитализацию рынка оказывали влияние индекс потребительских цен и ставка процента. В послекризисном периоде высоко влияние уровня резервов.

Экзогенность фондового рынка стран Бразилии, России и Индии после кризиса снизилась. Исключением является Китай, экзогенность рынка которого увеличилась после 2008 года.

В данном разделе был проведен анализ значимо влияющих факторов на каждый из рынков стран БРИК в двух периодах: до кризиса 2008 года и после. Были выделены характерные особенности для каждой страны и общие тенденции среди группы. Интересным представляется также вопрос о влиянии каждого рынка на остальные в рамках четверки. Данные вопрос будет освещен в следующем пункте.

.4 Анализ взаимосвязей между фондовыми рынками БРИК

С помощью теста на причинность по Грейнджеру были проанализированы взаимосвязи между капитализацией фондовых рынков Бразилии, России, Индии, Китая в до- и после кризисные периоды.

На следующих графиках отображено наличие причинных связей между показателями фондовых рынков стран. Первый график (рис. 16) соответствует докризисному периоду, второй (рис. 17) - после кризисному.

Рисунок 16. Тест на причинность между ФР БРИК по Грейнджеру до кризиса

Таким образом, в период до декабря 2007 года согласно Грейнджеру, фондовый рынок Бразилии оказывал влияние на ФР Китая; ФР России на ФР Индии и Китая, а ФР Китая на капитализацию Бразилии.

Рисунок 17. Тест на причинность между ФР БРИК по Грейнджеру после кризиса

В послекризисный период увеличилось количество влияющих взаимосвязей между фондовыми рынками стран БРИК. В частности, на ФР Китая и Индии оказывают влияние все три рынка. Сохранилось тенденция влияния рынка Китая на капитализацию рынка Бразилии.

Из проведенного анализа, а также опираясь на выводы части 3.3 следует сделать вывод о том, что тенденция развития рынка Китая носит обособленный характер. Экзогенность данного рынка после кризиса увеличивается, и, если до 2008 года Китай определял динамику рынка Бразилии, то после кризиса он стал самостоятельной силой, определяющей движение рынков.

Интересно также отметить, что рынок России выбивается из общей траектории, являясь независимым от остальных стран БРИК.

Полученные в эмпирическом исследовании выводы согласуются с экономической логикой, хоть и являются неожиданными в некоторых аспектах. В следующем разделе приведена экономическая трактовка умозаключений по проведенному исследованию.

3.5 Экономическая трактовка результатов

Мировой рынок производных финансовых инструментов, привязанных к нефти, показывает стремительный рост и более чем в 40 раз превышает рынок самой нефти по объему продаж. Такая тенденция является одним из следствий интеграции рынков, в результате чего спекулятивные капиталы получили возможность очень быстро перетекать с одного рынка на другой[16]. В силу данного обстоятельства рассматриваемые рынки показывают высокую степень зависимость от котировок нефти.

Россия является крупным нефтеэкспортером, поэтому ее экономика связана с мировыми ценами на нефть. Исследователи фондового рынка приходят к выводам, что влияние цены нефти на фондовый рынок осуществляется по двум каналам. Во-первых, это изменение капитализации акций нефтяных компаний, которые составляют большую долю в индексах бирж. Во-вторых, происходит изменение сальдо платежного баланса и денежной массы. Курс доллара оказывает значимое влияние соответственно, поскольку выручка от экспорта нефти приходит в страну в иностранной валюте.

Считается, что после 2008 года произошло изменение восприятия инвесторов относительно некоторых аспектов. В частности, в 2006 году среди инвесторов господствующим было мнение о том, что рост цены нефти отрицательно сказывается на китайской экономикеиз-за высокой энергоемкости.

Начиная с 2008 года, главной стала точка зрения, что рост цены на нефть отражает увеличение мирового спроса на нее, то есть характеризует развитие мировой экономики, и в результате приводит к росту спроса на китайский экспорт. Такая логика заменила в сознании инвесторов суждениео том, что рост цены на нефть подрывает фундаментальные показатели китайской экономики, удорожая энергоемкую продукцию. Такому изменению в оценках способствовали меры по снижению энергоемкости ряда отраслей, которые были предприняты в Китае.

Еще одной тенденцией на рынке Китая стала переориентация на макроэкономические показатели экономики, показавшей свою высокую жизнеспособность в период кризиса и способность модернизироваться и выйти на более высокий технологический уровень.Россия же, наоборот, вышла из кризиса менее конкурентоспособной.

В Китае проводится реформирование экономики с переходом от экспортно-ориентированной системы на стимулирование внутреннего спроса. Поэтому в послекризисные годы зависимость капитализации от уровня экспорта снижается. Китай снижает и степень зависимости от курса доллара, переходя на расчеты в национальной валюте. Юань в течение 8 лет уверенно укрепляется по отношению к доллару, многие китайские банки перешли в режим выдачи кредитов в национальной валюте.

Стоит также отметить, что в списке крупнейших компаний КНР преобладают банки. Самойкрупнойкомпаниейсчитается Industrial & Commercial Bank of China Ltd. (ICBC), капитализациякоторогосоставляет, пооценкам Bloomberg, 223,1 млрд. долларов. Далееидутещедвабанка: Agricultural Bank of China Ltd. и China Merchants Bank Co.

Фондовый рынок Бразилии потерял ориентацию на показатели роста своей экономики и стал более зависимым от внешней среды в силу процессам более тесной интеграции с глобальной экономикой. Множество бразильских компаний котируются на западных фондовых биржах и связаны тесными кооперативными связями с транснациональными компаниями.

В странах с формирующейся и развивающейся экономикой общий объем валютных резервов в упал на 114,5 млрд долларов в годовом исчислении в 2014 году - до 7,74 трлн долларов. Снижение резервов может быть обусловлено изменениями в мировой торговле. Происходит постепенной отказ от доллара и переход на прямые двусторонние расчеты. Это сегодня активно делают Китай и Индия. Данный переход снижает потребность в международных резервах. Соответственно, зависимость от уровня резервов снижается.

Заключение

Оценивая проведенный анализ, стоит подчеркнуть следующие заключения. Динамика фондовых рынков стран БРИК имеет очень много общего. Развитие таких характеристик рынка, как отношение рыночной капитализации к ВВП, объем торгов на бирже, количество размещенных компаний, коэффициент ликвидности рынка подчинены общим тенденциям. Результаты анализа дают полагать, что до кризиса в динамике фондовых рынков БРИК не наблюдалось существенных отличий. Большинство показателей коррелировали в высокой степени. После кризиса 2008 года произошел перелом в динамике фондовых рынков. Гипотеза о том, что одним из важнейших последствий кризиса 2008 года является отказ инвесторов от прежних стереотипов, в рамках данного исследования подтвердилась.

Кризис 2008 года сказался на экономических показателях снижением темпов роста фондовых рынков и экономик стран в целом.В работе было проведено сопоставление динамики показателей фондового рынка в периоды до кризиса и в период восстановления экономик.

Для определения факторов динамики капитализации рынков были проанализированы внутренние макроэкономические показатели, курс доллара, а также котировки на нефть и капитализация рынка США.

Была подтверждена гипотеза о снижении влияния внутренних макроэкономических показателей на фондовый рынок страны после кризиса. Наиболее значимыми показателями после кризиса признаются цена на нефть и курс национальной валюты к доллару. Гипотеза о значительном увеличении влияния нефтяных котировок на капитализацию рынка после кризиса подтверждена.

Также подтвердилась гипотеза о сохранении влияния рынка США на рынки стран БРИК в до и после кризисный периоды. Степень данного влияния ниже, чем указанные выше факторы, однако, кризис не изменил существующих зависимостей.

В работе были получены выводы о том, что в послекризисный период снижается степень экзогенности фондовых рынков. При этом возрастает количество взаимосвязей между рынками стран БРИК. Исключением становится Китай, экзогенность данного которого увеличилась в после кризисный период при сохранении значимости показателя внутренних резервов.

Результаты исследования говорят о том, что тенденция развития рынка Китая носит обособленный характер как в до, так и в послекризисном периоде, однако после 2008 года данное различие становится более очевидным. Вместе с ростом экзогенности рынка, после кризиса увеличивается самостоятельная сила, способная определять движение других рынков.

Интересно также отметить, что рынок России выбивается из общей траектории, являясь независимым от остальных стран БРИК.

В работе также представлена трактовка результатов эмпирических исследований с экономической точки зрения. Обоснованы обособленное положение Китая и изменения в зависимостях, оказывающих влияние на динамику его фондового рынка.

Принимая во внимание отмеченные в исследовании закономерности, понимая глубинные связи между финансовыми и макроэкономическими показателями, инвесторам легче принимать обоснованные решения по формированию и диверсификации портфеля. Следует учитывать долгосрочные зависимости, которые являются определяющими в движении рынков.

Результаты, полученные в рамках работы, могут служить опорным материалом для дальнейшего исследования фондовых рынков данных странВ качестве развития работы интересным представляется рассмотрение динамики фондовых рынков развитых стран и сопоставление полученных результатов, а также выявление факторов, обуславливающие различия. Более того, возможно стоит разбить послекризисный период на несколько частей и проанализировать изменения в зависимостях на более краткосрочных периодах.

Список используемой литературы

Галчёнкова К. В. Взаимосвязь между индексом РТС и другими фондовым индексами в докризисный и кризисный периоды, 2009

ГлушенковаМ.//КоммерсантBUSINESSGUIDE №176 2007

Митин Ю.П. Влияние мировых экономических индикаторов на динамику российского фондового рынка в 1999-2010 гг. СПб. 2011 26 с

О'Нил, Д. Карта роста. М., Альпина Бизнес Букс, 2013

Рубцов, Б. Б. Современные фондовые рынки. М., Альпина Бизнес Букс, 2007. 925 с

Самойлов Д.В. Факторы, оказывающие влияние на индекс РТС во время финансового кризиса 2008-2009 гг и до него//Экономический журнал ВШЭ 2010 №2

Фёдорова Е.А. Основные тенденции развития фондового рынка РФ // Финансовый менеджмент. 2013. № 5.

Фёдорова Е.А., Панкратов К.А. Влияние мирового финансового рынка на фондовый рынок России // Аудит и финансовый анализ. 2009. № 2

Федорова Е. А. Влияние макроэкономических факторов на фондовый рынок России // Проблемы прогнозирования 2010 №2

Федорова Е. А. Прогнозирование кризисных состояний российского финансового рынка с помощью анализа взаимосвязи цены на нефть и валютного курса // Финансовая аналитика: проблемы и решения, 2012 №31 (121)

Федорова Е. А. Влияние цен на нефть на фондовые рынки стран БРИКС // Финансы и Кредит №46 2013

Федорова Е. А Влияние процентных ставок на поведение фондовых рынков стран БРИК // Финансовая аналитика: проблемы и решения, 11(197) 2014 март с 30-36

Федорова Е.А., Ланец И.В.Влияние рынка золота на фондовые рынки стран БРИК // Экономический анализ: теория и практика №19 2014

Обзор финансового рынка. Департамент исследований и информации Банка России 2013 № 75

ВедевА., Ю. Данилов, Прогноз развития финансового рынка РФ до 2020 года, М., И. Института Гайдара, 2012

Перминов С.Б., Егорова Е.Н., Вигриянова М.С., Абрамов В.И. Макроэкономические ориентиры фондовых рынков стран БРИК / Препринт # WP/2013/300. М., ФГУН ЦЭМИ РАН, 2013 59 с.

Лансков П., Неидеальные черты фондового рынка России // Рынок ценных бумаг № 17 (314) 2007

Finance and growth: theory and evidence ROSS LEVINE, Department of Economics, Providence, USA, 2005Sachs Global Economics Group, Brics and Beyond, 2007Growth Drivers for Low-Income Countries: The Role of BRICs, IMF, January 12, 2011. Billmeier , Isabella Massa,What drives stock market development in emerging markets-institutions, remittances, or natural resources? // International Monetary Fund, NW, Venezia, 2008

Altın H., Sahin M., Macroeconomic Effects on Stock Markets: An Empirical Analysis for Developed, Emerging and Financial Suffering Countries // Middle Eastern Finance and Economics. 2011. № 13. P. 71-89emerging economies hit hard times, Brazil and Russia look particulary weak, Nov 2014 // The EcomomistZhang, Xindan Li, Honghai Yu, Has recent financial crisis changed permanently the correlations between BRICS and developed stock markets? // School of Management and Engineering, Nanjing University, PR China, 2013 . Majumder, When the market becomes inefficient: Comparing BRIC markets with markets in the USA // International review of Financial Analysis 24 2012 84-92p.Fang Cheng, M. Gutierrez, A. Mahajan, Y.Schachmurove A future global economy to be built by BRICs // Global Finance Journal 18 2007 143-156O`Nil, Anna Stupnytska, The Long-Term Outlook for the BRICs and N-11 Post Crisis, // Goldman Sachs Global Economics Paper No: 192, 2009 O`Nil, Building Better global Economic BRICs // Global Economics Paper №66R., Impact of Macroeconomic Variables on Indian Stock Market // The IUP Journal of Financial Risk Management. 2012. № 9. .Samarakoon, Stock market interdependence, contagion, and the U.S. financial crisis: The case of emerging and frontier markets // Journal of International Financial Markets, Institutions and Money Vol. 21, Issue 5, December 2011, Pages 724-74Bianconi, J A. Yoshino, M O., BRIC and the U.S. financial crisis: An empirical investigation of stock and bond markets Economics. Bayraktar, Measuring relative development level of stock markets: Capacity and effort of countries //Borsa Istanbul Review 2014 1-22 p. Snowden Building a BRIC? Stock market Opening and Investment Finance in India since Liberalization // World Development Vol. 40 2012 1109-1121p. Kenourgios, A.Samitas,.Financial crises and stock market contagion in a multivariate time-varying asymmetric framework // Journal of International Financial Markets, Institutions and Money Vol. 21, Issue 1, February 2011, Pages 92-106. Aloui, M. Safouane, Global financial crisis, extreme interdependences, and contagion effects: The role of economic structure? // Journal of Banking and Finance 35, 2011. Pp 130-141. Grigoryev, The interdependence between stock markets of BRIC and developed countries and the impact of oil prices on this interdependence, 2010Claessens, DKlingebiel, S. L. Schmukler,Stock market development and internationalization: Do economic fundamentals spur both similarly?

Приложение 1. Страны - лидеры по ВВП 2014 год

Rank 2014

Country/Region

GDP (Millions of US$)

 

 World

77,301,958

 

 European Union

18,495,349

1

 United States

17,418,925

2

 China

10,380,380

3

 Japan

4,616,335

4

 Germany

3,859,547

5

 United Kingdom

3,056,499

6

 France

2,846,889

7

 Brazil

2,353,025

8

 Italy

2,147,952

9

 India

2,049,501

10

 Russia

1,857,461



Приложение 2. Страны - лидеры по суммарной капитализации рынков, 2012 год

2012 Rank

Country

2012

% of World Market Cap

1

United States

$18668.33

40%

2

China

$3697.38

8%

3

Japan

$3680.98

8%

4

United Kingdom

$3019.47

6%

5

Canada

$2016.12

4%

6

France

$1823.34

4%

7

Germany

$1486.31

3%

8

Australia

$1286.44

3%

9

India

$1263.34

3%

10

Brazil

$1229.85

3%

11

South Korea

$1180.47

3%

12

Hong Kong, China

$1108.13

2%

13

Switzerland

$1079.02

2%

14

Spain

$995.09

2%

15

Russia

$874.66

2%

16

Netherlands

$651

1%

17

South Africa

1%

18

Sweden

$560.53

1%

19

Mexico

$525.06

1%

20

Italy

$480.45

1%



Приложение 3. Тест Грейнджера между рынками БРИК до кризиса

Pairwise Granger Causality Tests

Date: 05/11/15 Time: 17:40

Sample: 2003M09 2007M12

Lags: 2



 Null Hypothesis:

Obs

F-Statistic

Prob.

 CHINA does not Granger Cause BRAZIL

 50

 0.92206

0.4051

 BRAZIL does not Granger Cause CHINA

 4.45513

0.0172

 INDIA does not Granger Cause BRAZIL

 50

 0.88028

0.4217

 BRAZIL does not Granger Cause INDIA

 6.53574

0.0032

 RUSSIA does not Granger Cause BRAZIL

 50

 1.40844

0.2551

 BRAZIL does not Granger Cause RUSSIA

 0.41837

0.6607

 USA does not Granger Cause BRAZIL

 50

 2.88226

0.0664

 BRAZIL does not Granger Cause USA

 3.03562

0.0580

 INDIA does not Granger Cause CHINA

 50

 3.62164

0.0348

 CHINA does not Granger Cause INDIA

 4.52607

0.0162

 RUSSIA does not Granger Cause CHINA

 50

 4.89367

0.0119

 CHINA does not Granger Cause RUSSIA

 2.34652

0.1073

 USA does not Granger Cause CHINA

 50

 3.02653

0.0585

 CHINA does not Granger Cause USA

 4.35040

0.0187

 RUSSIA does not Granger Cause INDIA

 50

 2.12766

0.1309

 INDIA does not Granger Cause RUSSIA

 0.36130

0.6988

 USA does not Granger Cause INDIA

 50

 3.26880

0.0473

 INDIA does not Granger Cause USA

 1.38611

0.2605

 USA does not Granger Cause RUSSIA

 50

 0.95352

0.3930

 RUSSIA does not Granger Cause USA

 4.42713

0.0176



Приложение 4. Тест Грейнджера между рынками БРИК после кризиса

Pairwise Granger Causality Tests

Date: 05/11/15 Time: 17:42

Sample: 2008M11 2015M02

Lags: 2



 Null Hypothesis:

Obs

F-Statistic

Prob.

 CHINA does not Granger Cause BRAZIL

 74

 4.02266

0.0223

 BRAZIL does not Granger Cause CHINA

 3.52484

0.0349

 INDIA does not Granger Cause BRAZIL

 74

 1.05959

0.3522

 BRAZIL does not Granger Cause INDIA

 1.47599

0.2357

 RUSSIA does not Granger Cause BRAZIL

 74

 1.03846

0.3595

 BRAZIL does not Granger Cause RUSSIA

 1.79894

0.1731









 USA does not Granger Cause BRAZIL

 74

 4.59584

0.0134

 BRAZIL does not Granger Cause USA

 0.58300

0.5609









 INDIA does not Granger Cause CHINA

 74

 1.51493

0.2270

 CHINA does not Granger Cause INDIA

 0.33819

0.7142

 RUSSIA does not Granger Cause CHINA

 74

 3.58472

0.0330

 CHINA does not Granger Cause RUSSIA

 1.26079

0.2899

 USA does not Granger Cause CHINA

 74

 1.06266

0.3511

 CHINA does not Granger Cause USA

 0.32556

0.7232

 RUSSIA does not Granger Cause INDIA

 74

 4.28126

0.0177

 INDIA does not Granger Cause RUSSIA

 0.34074

0.7124

 USA does not Granger Cause INDIA

 74

 1.07723

0.3462

 INDIA does not Granger Cause USA

 0.58840

0.5580

 USA does not Granger Cause RUSSIA

 74

 2.77697

0.0692

 RUSSIA does not Granger Cause USA

 0.96681

0.3854












Приложение 5. Уравнения капитализации рынков

Уравнение модели капитализации Бразилии до кризиса

CAPITALIZATION = 10895.886769*BRENT(-1) + 2757.29419806*BRENT(-2) + 2802.33335771*BRENT(-3) + 4242.98819168*BRENT(-4) - 0.749653230283*CAPITALIZATION(-1) - 0.138632276279*CAPITALIZATION(-2) + 0.152001280136*CAPITALIZATION(-3) - 0.119840263505*CAPITALIZATION(-4) + 134853.604154*CPI(-1) - 20635.44126*CPI(-2) - 123444.763124*CPI(-3) - 69245.2941304*CPI(-4) - 3577.57867275*EXCHANGE_RATE(-1) + 73408.9528291*EXCHANGE_RATE(-2) - 243662.649146*EXCHANGE_RATE(-3) - 159188.986111*EXCHANGE_RATE(-4) - 2.12276234082e-05*EXPORT(-1) - 5.20171224634e-07*EXPORT(-2) - 1.62066706653e-06*EXPORT(-3) + 2.89506923984e-05*EXPORT(-4) + 14596.8822859*PRODUCTION(-1) + 15176.7476634*PRODUCTION(-2) + 9184.09037322*PRODUCTION(-3) - 8274.30703806*PRODUCTION(-4) + 24946.9406221*RATE_INTERBANK(-1) + 1583.7757706*RATE_INTERBANK(-2) - 78653.3846851*RATE_INTERBANK(-3) + 42895.1310393*RATE_INTERBANK(-4) + 1.56000312306e-07*RESERVES(-1) + 4.82721116482e-06*RESERVES(-2) + 1.76930298405e-06*RESERVES(-3) + 1.7992524433e-06*RESERVES(-4) + 0.110870189084*USA(-1) + 0.00813269752622*USA(-2) + 0.00382519695422*USA(-3) - 0.00401611086609*USA(-4) + 1926593.4927

Уравнение модели капитализации Бразилии после кризиса

CAPITALIZATION = 2814.03055283*BRENT(-1) - 2106.93289919*BRENT(-2) + 630.249960419*BRENT(-3) - 774.585958417*BRENT(-4) + 0.824039273172*CAPITALIZATION(-1) - 0.00327106435401*CAPITALIZATION(-2) + 0.0282861776804*CAPITALIZATION(-3) - 0.561787740436*CAPITALIZATION(-4) + 11517.2907166*CPI(-1) + 120354.347407*CPI(-2) - 76079.1204392*CPI(-3) - 34790.789597*CPI(-4) + 4367.77851574*EXCHANGE_RATE(-1) + 938920.869259*EXCHANGE_RATE(-2) - 1039592.114*EXCHANGE_RATE(-3) - 254834.158562*EXCHANGE_RATE(-4) + 3.9343990993e-05*EXPORT(-1) - 1.45361665469e-05*EXPORT(-2) - 3.04153704787e-05*EXPORT(-3) + 1.09169748375e-05*EXPORT(-4) + 5451.9698834*PRODUCTION(-1) - 1389.98912459*PRODUCTION(-2) - 3986.04248926*PRODUCTION(-3) - 399.581096238*PRODUCTION(-4) + 89386.0488748*RATE_INTERBANK(-1) - 66835.5295873*RATE_INTERBANK(-2) - 3919.6056811*RATE_INTERBANK(-3) - 19188.4295577*RATE_INTERBANK(-4) + 4.31611813434e-06*RESERVES(-1) + 2.8748843658e-06*RESERVES(-2) - 1.81629708676e-06*RESERVES(-3) - 6.16689649638e-06*RESERVES(-4) - 0.0554848138151*USA(-1) + 0.0153580353917*USA(-2) - 0.0355296374872*USA(-3) + 0.0267301142688*USA(-4) + 38106.2277571

Уравнение модели капитализации России до кризиса

CAPITALIZATION = 8760.61011787*BRENT(-1) - 10892.0053996*BRENT(-2) - 429.490513034*BRENT(-3) - 2074.33405862*BRENT(-4) + 0.206324274911*CAPITALIZATION(-1) + 0.235639787425*CAPITALIZATION(-2) + 0.204246923734*CAPITALIZATION(-3) - 0.183241706139*CAPITALIZATION(-4) - 84363.3300995*CPI(-1) - 23833.6203517*CPI(-2) + 23920.9751063*CPI(-3) - 70110.335726*CPI(-4) + 8388.52493538*EXCHANGE_RATE(-1) + 51375.3696008*EXCHANGE_RATE(-2) - 129059.842197*EXCHANGE_RATE(-3) + 44584.2580028*EXCHANGE_RATE(-4) + 2.87460158409e-05*EXPORT(-1) + 7.07643282777e-05*EXPORT(-2) + 6.40863140154e-05*EXPORT(-3) + 3.44475576032e-05*EXPORT(-4) + 16355.8128082*PRODUCTION(-1) + 19654.2346585*PRODUCTION(-2) + 41407.1261562*PRODUCTION(-3) + 15099.6163413*PRODUCTION(-4) - 17936.8085864*RATE(-1) + 49172.3804116*RATE(-2) + 47471.8659418*RATE(-3) + 88680.9084641*RATE(-4) + 3.68059946816e-07*RESERVES(-1) - 2.03747382068e-06*RESERVES(-2) - 7.62890504402e-07*RESERVES(-3) + 8.40009097037e-07*RESERVES(-4) + 0.0381465857957*USA(-1) + 0.0395798205403*USA(-2) - 0.0104594245504*USA(-3) + 0.0155177743436*USA(-4) - 4782352.31468

Уравнение модели капитализации России после кризиса

CAPITALIZATION = - 5491.14119378*BRENT(-1) + 2187.78390206*BRENT(-2) + 3862.9212917*BRENT(-3) + 1693.39095017*BRENT(-4) + 0.582249888797*CAPITALIZATION(-1) - 0.0865453451605*CAPITALIZATION(-2) + 0.329375552306*CAPITALIZATION(-3) - 0.188856140249*CAPITALIZATION(-4) + 1465.99685334*CPI(-1) + 51995.4917834*CPI(-2) - 67203.860145*CPI(-3) - 14842.0690996*CPI(-4) + 18655.3721998*EXCHANGE_RATE(-1) - 596.222488096*EXCHANGE_RATE(-2) + 40685.8388523*EXCHANGE_RATE(-3) - 887.486643058*EXCHANGE_RATE(-4) + 3.43509716566e-06*EXPORT(-1) + 1.04061844144e-05*EXPORT(-2) + 3.03228942859e-06*EXPORT(-3) - 9.65712913944e-06*EXPORT(-4) + 33468.6927936*PRODUCTION(-1) + 5286.16393696*PRODUCTION(-2) - 2732.73450974*PRODUCTION(-3) - 20750.4859575*PRODUCTION(-4) + 8001.41475081*RATE(-1) - 20755.4114926*RATE(-2) + 37165.4705525*RATE(-3) + 26942.3143776*RATE(-4) + 2.24705672973e-06*RESERVES(-1) + 7.09644253541e-07*RESERVES(-2) + 2.03881260475e-06*RESERVES(-3) - 1.68177821428e-07*RESERVES(-4) + 0.0137212206655*USA(-1) - 0.00305214764102*USA(-2) - 0.00395950425718*USA(-3) + 0.0193571494099*USA(-4) - 3503439.42499

Уравнение модели капитализации Индии до кризиса

CAPITALIZATION = - 4567.0713987*BRENT(-1) + 1627.67568353*BRENT(-2) - 232.09478801*BRENT(-3) + 626.134069971*BRENT(-4) + 0.875650919259*CAPITALIZATION(-1) - 0.300828193633*CAPITALIZATION(-2) + 0.505200087663*CAPITALIZATION(-3) + 0.5322117617*CAPITALIZATION(-4) + 36865.7878971*CPI(-1) - 64990.3485488*CPI(-2) + 18984.6820791*CPI(-3) + 10051.2531033*CPI(-4) - 38871.2999127*EXCHANGE(-1) + 36674.5545106*EXCHANGE(-2) + 9759.06378062*EXCHANGE(-3) - 32811.2369703*EXCHANGE(-4) + 6.45645688222e-06*EXPORT(-1) - 2.54777691067e-05*EXPORT(-2) + 5.9252005311e-06*EXPORT(-3) - 6.9140630106e-06*EXPORT(-4) + 5287.5571945*PRODUCTION(-1) - 10653.1889276*PRODUCTION(-2) + 13199.2732434*PRODUCTION(-3) + 8813.35963859*PRODUCTION(-4) - 5.23386458623e-06*RESERVES(-1) + 4.34567116697e-06*RESERVES(-2) - 1.11003343286e-05*RESERVES(-3) + 1.09359401674e-05*RESERVES(-4) - 0.0205931846458*USA(-1) + 0.0266485248065*USA(-2) - 0.118956789055*USA(-3) + 0.0278732327133*USA(-4) + 1492285.29791

Уравнение модели капитализации Индии после кризиса

CAPITALIZATION = - 1855.76182938*BRENT(-1) + 393.337040255*BRENT(-2) + 2871.4356001*BRENT(-3) - 4590.81826959*BRENT(-4) + 0.549016353994*CAPITALIZATION(-1) + 0.026364297963*CAPITALIZATION(-2) + 0.22824413101*CAPITALIZATION(-3) + 0.407360655003*CAPITALIZATION(-4) - 9239.04867469*CPI(-1) - 5662.86334694*CPI(-2) - 6281.67723969*CPI(-3) + 12840.1051675*CPI(-4) + 7614.07913157*EXCHANGE(-1) + 17586.4505499*EXCHANGE(-2) + 28180.7737334*EXCHANGE(-3) - 16860.4387952*EXCHANGE(-4) - 1.10067984181e-05*EXPORT(-1) - 1.30911669059e-05*EXPORT(-2) + 7.19808390994e-06*EXPORT(-3) + 9.72750233389e-06*EXPORT(-4) + 18505.2201524*PRODUCTION(-1) + 5352.56818222*PRODUCTION(-2) - 6563.05675588*PRODUCTION(-3) - 5660.53241761*PRODUCTION(-4) + 6.2063822111e-06*RESERVES(-1) - 3.00335591217e-06*RESERVES(-2) - 5.68504022202e-06*RESERVES(-3) + 5.54380384756e-06*RESERVES(-4) - 0.0215527865268*USA(-1) - 0.00799365999522*USA(-2) - 0.0105328742697*USA(-3) + 0.0227904572888*USA(-4) - 2406824.54286

Уравнение модели капитализации Китая до кризиса

CAPITALIZATION = - 942.24622873*BRENT(-1) - 6260.191169*BRENT(-2) + 0.753539839245*CAPITALIZATION(-1) + 0.188710424939*CAPITALIZATION(-2) + 5162.60177885*CPI(-1) + 16912.8705893*CPI(-2) - 1130450.70724*EXCHANGE_RATE(-1) + 481177.27523*EXCHANGE_RATE(-2) - 2.68920708216e-06*EXPORT(-1) + 8.65517565753e-07*EXPORT(-2) + 67954.7338708*INTERBANK_RATE(-1) + 8757.14537669*INTERBANK_RATE(-2) - 1207.77020572*PRODUCTION(-1) - 2564.86487575*PRODUCTION(-2) + 8.07956423379e-07*RESERVES(-1) - 1.37978921917e-07*RESERVES(-2) - 0.106618647517*USA(-1) + 0.00196079792141*USA(-2) + 5217622.58087

Уравнение модели капитализации Китая после кризиса

CAPITALIZATION = - 22316.6623652*BRENT(-1) + 10059.4678853*BRENT(-2) - 15169.0564132*BRENT(-3) - 1170.19848573*BRENT(-4) - 4084.38355707*BRENT(-5) - 0.0322427582325*CAPITALIZATION(-1) - 0.0812025211485*CAPITALIZATION(-2) - 0.414708090508*CAPITALIZATION(-3) + 0.289023152794*CAPITALIZATION(-4) - 0.263988098655*CAPITALIZATION(-5) + 46674.8413132*CPI(-1) - 41221.3620126*CPI(-2) - 34304.6123894*CPI(-3) - 72098.1851887*CPI(-4) + 55736.8033592*CPI(-5) + 5546869.51308*EXCHANGE_RATE(-1) - 1037063.65177*EXCHANGE_RATE(-2) - 7007807.45018*EXCHANGE_RATE(-3) - 1150458.6026*EXCHANGE_RATE(-4) + 8019200.96526*EXCHANGE_RATE(-5) - 5.17626198613e-06*EXPORT(-1) + 4.47778636186e-06*EXPORT(-2) + 1.29549945692e-05*EXPORT(-3) - 2.91681588449e-06*EXPORT(-4) - 7.12325158377e-06*EXPORT(-5) + 3.62680282328e-06*RESERVES(-1) + 1.50793954248e-06*RESERVES(-2) - 8.69746466349e-07*RESERVES(-3) - 1.19619201691e-06*RESERVES(-4) + 6.47724819171e-07*RESERVES(-5) - 16018.2518084*PRODUCTION(-1) - 17493.3104393*PRODUCTION(-2) - 18770.8663396*PRODUCTION(-3) + 53232.7394518*PRODUCTION(-4) - 25918.7050335*PRODUCTION(-5) - 1283967.14521*INTERBANK_RATE(-1) + 1506126.80214*INTERBANK_RATE(-2) + 1119652.95224*INTERBANK_RATE(-3) - 305462.410315*INTERBANK_RATE(-4) + 751998.031873*INTERBANK_RATE(-5) + 0.02387449748*USA(-1) - 0.0653881887601*USA(-2) + 0.210518645709*USA(-3) - 0.0327887132534*USA(-4) - 0.175181078437*USA(-5) - 30022311.1043


Похожие работы на - Динамика фондовых рынков в странах БРИК до и после кризиса

 

Не нашли материал для своей работы?
Поможем написать уникальную работу
Без плагиата!
Без нейросетей!