Восточно-Сихоте-Алинский вулканический пояс
СПИСОК СОКРАЩЕНИЙ
ВСАВПП - Восточно-Сихотэ-Алинский
вулкано-плутонический пояс
ВТС - вулкано-тектоническая структура
РЗЭ - редкоземельные элементы
ОЧВПП - Охотско-Чукотский вулкано-плутонический
пояс
ДВГИ - Дальневосточный геологический
институт <#"885197.files/image001.gif">
Рисунок 1 - Схема расположения альб-сеноманских
магматических образований на территории Приморья: 1 - Восточно-Сихотэ-Алинский
вулкано-плутонический пояс; 2 - основные участки развития сеноманских
вулканитов и районы их исследования (1 - бассейн р. Черная, 2 - Синанчинская
вулкано-тектоническая структура, 3 - кастафуновская свита на левобережье р.
Аввакумовка, 4 - синанчинская свита Угловской ВТС, 5 - Дальнегорской ВТС, 6 -
Пластунской ВТС); 3, 4 - районы развития вулканитов альб-сеноманской
трансформной континентальной окраины калифорнийского типа (3 - Партизанский
каменноугольный бассейн, 4 - Алчанский прогиб); 5 - районы развития
апт-альбских вулканитов Кемского террейна Монероно-Самаргинской островной дуги;
6 - главные разломы (1 - Арсеньевский, 2 - Центральный Сихотэ-Алинский); 7 -
прибрежные интрузивы
Вулканические породы представлены как
порфировыми, так и афировыми типами. Порфировые вкрапленники сложены
плагиоклазом, зональным андезином или образуют роговообманково-плагиоклазовый,
пироксен-плагиоклазовый и пироксен-магнетит-плагиоклазовый минеральные
парагенезисы. Среди пироксенов доминирует клинопироксен (авгит), а ортопироксен
редок. Основная масса имеет пилотакситовую или микролитовую структуры.
Вторичные (зеленокаменные) изменения пород сопровождаются развитием серицита по
плагиоклазу и хлорита по темноцветным минералам и стеклу основной массы.
Породы относятся к известково-щелочной серии
умеренно глинозёмистого типа с отношением K2O/Na2O<1
(табл. 1). Содержание MgO
в базальтах редко превышает 6 мас.%. Исключение составляют магнезиальные
базальты Угловской структуры в Кавалеровском рудном районе [9]. По содержанию
редкоземельных элементов эффузивы синанчинского комплекса характеризуются
довольно высоким содержанием лантаноидов (табл. 2). Нормированные к хондриту
графики концентраций редких земель характеризуются умеренным наклоном кривой и
отсутствием европиевого минимума (рис. 2, 3). Значения Eu/Eu
= 0,77-1, отношения (La/Sm)n
изменяются от 2-3,6 в базальтах до 3,4-6 в андезитах, а (Ce/Yb)n
составляют 3,5-10,4. На различных диаграммах точки синанчинского комплекса
соответствуют вулканитам активных континентальных окраин и островных дуг (рис.
4). По La/Yb-K2O
они соответствуют лавам островных дуг и близки базальтам Большого Толбачинского
извержения на Камчатке [9]. Приведенные материалы свидетельствуют о
принадлежности эффузивов синанчинского комплекса к надсубдукционному типу
вулканитов известково-щелочного ряда, сформированных на континентальной окраине
андийского типа.
В турон-сантонское время (90-85 млн. лет) в
осевой части пояса произошли большеобъемные извержения платоигнимбритов
приморской серии. Приморская серия включает ряд однотипных вулканических
комплексов: приморский, кисинский, монастырский и др. Она сложена туфами и
игнимбритами риодацитового и риолитового состава с редкими горизонтами
вулканогенно-осадочных пород. Ими выполнен ряд вулканических депрессий
диаметром до 30-50 км [15,6, и др.]. Находки растительных остатков в
вулканогенно-осадочных породах позволяют выделить два возраста накопления
приморской серии - турон коньякский и коньяк-сантонский (устное сообщение С.И.
Неволиной).
Формирование платоигнимбритов связывается с
ареальными извержениями из малоглубинных очагов гранитоидной магмы. В комплексе
преобладают кристаллотуфы и кристаллоигнимбриты риолитов. Они отличаются
высоким содержанием (40-60 %) кристаллокластов кварца и плагиоклаза размером до
1 см. Темноцветные минералы - биотит и роговая обманка. Цементирующая масса
лавоподобная микрофельзитовая, отчетливо флюидальная.
Химический и микроэлементный состав игнимбритов
приморского комплекса приведен в таблице 3. Эффузивы относятся к
известково-щелочной серии. Породы кислые и умеренно кислые (SiO2
= 64-75 %), с умеренной глиноземистостью, нормальной и повышенной щелочностью [6].
Графики концентраций редких земель, нормированные к среднему составу верхней
коры, соответствуют магматическим породам окраинно-континентального типа с
отчетливыми минимумами ниобия, стронция, циркония, титана и максимумами -
калия, тория, лантана, церия (рис. 5). Кислые породы характеризуются пологой
кривой содержания редких земель, возрастающей от лантана к лютецию и их
неоднородным распределением с европиевым минимумом или максимумом (для
различных вулканоструктур) (рис. 5). На диаграммах Дж. Пирса игнимбриты
приморского комплекса располагаются в полях островодужных и орогенных
образований. Соотношение 87Sr/86Sr
составляет 0,7078±3 [8].
Таблица 1 - Химический состав (в мас.%)
сеноманских вулканитов Восточно-Сихотэ-Алинского вулканического пояса
|
Параметры
|
Номер
образца
|
|
ПТ-2
|
ПТ-7
|
ПТ-33
|
ПТ-35/1
|
ПТ-36
|
ПТ-38
|
Ф-47
|
ПТ-44
|
Ф-20
|
Ф-22
|
ПТ-51
|
|
1
|
2
|
3
|
4
|
5
|
6
|
7
|
8
|
9
|
10
|
11
|
|
SiO2
|
59,54
|
58,52
|
49,74
|
60,63
|
61,30
|
63,98
|
50,68
|
53,88
|
55,64
|
55,62
|
59,35
|
|
TiO2
|
0,83
|
1,15
|
1,41
|
0,97
|
1,18
|
0,70
|
0,82
|
0,96
|
1,12
|
1,21
|
0,91
|
|
Л12Оз
|
14,23
|
16,01
|
17,38
|
15,38
|
15,30
|
13,78
|
13,19
|
16,46
|
17,42
|
17,44
|
15,63
|
|
Fe2O3
|
5,31
|
3,36
|
5,11
|
2,27
|
2,97
|
1,10
|
1,99
|
2,87
|
5,35
|
1,67
|
3,69
|
|
FeO
|
2,36
|
2,70
|
4,00
|
2,88
|
2,59
|
2,16
|
5,78
|
5,10
|
3,22
|
6,86
|
5,97
|
|
MnO
|
0,07
|
0,10
|
0,16
|
0,09
|
0,07
|
0,07
|
0,17
|
0,17
|
0,07
|
0,18
|
0,18
|
|
MgO
|
2,04
|
2,61
|
2,86
|
1,98
|
1,93
|
1,90
|
7,34
|
2,84
|
1,88
|
3,72
|
2,35
|
|
CaO
|
3,33
|
4,40
|
9,46
|
3,83
|
3,31
|
4,99
|
10,20
|
8,19
|
6,98
|
6,31
|
3,27
|
|
Na2O
|
2,44
|
3,30
|
2,26
|
2,84
|
3,81
|
1,31
|
2,17
|
2,26
|
3,46
|
2,69
|
2,62
|
|
K2O
|
1,04
|
2,19
|
1,43
|
2,12
|
1,86
|
2,27
|
0,89
|
0,50
|
2,30
|
1,41
|
0,55
|
|
P2O5
|
0,57
|
0,59
|
0,66
|
0,45
|
0,44
|
0,23
|
0,27
|
0,36
|
0,37
|
0,40
|
0,18
|
|
H2O'
|
1,14
|
0,20
|
0,00
|
0,35
|
0,15
|
0,00
|
0,25
|
0,20
|
0,00
|
0,12
|
0,00
|
|
H2O+
|
7,01
|
4,51
|
7,54
|
5,71
|
4,80
|
7,06
|
2,88
|
6,54
|
1,87
|
2,13
|
5,09
|
|
Сумма
|
99,94
|
99,64
|
100,65
|
99,55
|
99,74
|
99,55
|
99,77
|
100,34
|
99,68
|
99,16
|
99,78
|
|
FeO*/MgO
|
3,15
|
3,55
|
3,00
|
2,48
|
2,72
|
1,65
|
1,02
|
2,70
|
4,27
|
2,24
|
3,95
|
|
K2O/Na2O
|
0,42
|
0,28
|
0,46
|
0,90
|
0,49
|
1,73
|
0,41
|
0,22
|
0,66
|
0,52
|
0,20
|
|
σ
|
0,73
|
1,94
|
2,02
|
1,39
|
1,75
|
0,61
|
1,21
|
0,70
|
2,62
|
1,33
|
0,61
|
|
Параметры
|
Номер
образца
|
|
Ф-19
|
ПТ-226
|
ПТ-228
|
К-475
|
268/87
|
К-475/5
|
К-475/9
|
К-488/4
|
223/87
|
1
|
|
12
|
13
|
14
|
15
|
16
|
17
|
18
|
19
|
20
|
21
|
|
SiO2
|
46,20
|
62,09
|
60,85
|
50,60
|
50,38
|
51,39
|
53,49
|
53,29
|
50,40
|
58,50
|
|
TiO2
|
0,53
|
0,64
|
1,02
|
1,28
|
1,22
|
1,19
|
1,07
|
0,97
|
1,15
|
0,74
|
|
AI2O3
|
20,70
|
16,78
|
16,20
|
17,74
|
18,73
|
16,84
|
18,17
|
19,38
|
16,49
|
16,44
|
|
Fe2O3
|
2,97
|
2,06
|
4,63
|
3,90
|
1,86
|
3,20
|
2,49
|
5,66
|
3,73
|
0,91
|
|
FeO
|
4,48
|
4,17
|
2,34
|
4,89
|
8,29
|
5,03
|
4,27
|
4,97
|
4,94
|
5,74
|
|
MnO
|
0,14
|
0,20
|
0,11
|
0,17
|
0,51
|
0,19
|
0,13
|
0,21
|
0,18
|
0,14
|
|
MgO
|
7,37
|
1,27
|
1,17
|
3,59
|
4,80
|
3,59
|
2,13
|
2,65
|
7,55
|
4,61
|
|
CaO
|
12,77
|
5,80
|
4,78
|
7,83
|
5,30
|
8,51
|
7,68
|
5,18
|
8,33
|
|
Na2O
|
1,55
|
3,11
|
3,39
|
2,95
|
1,41
|
2,41
|
2,32
|
3,21
|
2,72
|
2,97
|
|
K2O
|
0,32
|
1,60
|
2,71
|
0,40
|
1,49
|
0,27
|
1,11
|
2,05
|
1,11
|
2,65
|
|
P2O5
|
0,20
|
0,37
|
0,50
|
0,70
|
0,49
|
0,70
|
0,51
|
0,40
|
0,27
|
|
|
H2O'
|
0,28
|
0,69
|
1,22
|
0,00
|
0,08
|
0,00
|
0,00
|
0,00
|
0,15
|
|
|
H2O+
|
2,04
|
0,69
|
0,58
|
6,04
|
4,82
|
6,21
|
6,34
|
1,72
|
2,84
|
|
|
Сумма
|
99,77
|
99,47
|
99,50
|
100,04
|
99,49
|
99,53
|
99,71
|
99,69
|
99,86
|
|
|
FeO*/MgO
|
1,62
|
4,74
|
5,56
|
2,34
|
2,07
|
2,20
|
2,10
|
3,79
|
1,09
|
1,47
|
|
K2O/Na2O
|
0,20
|
0,57
|
0,89
|
0,13
|
1,0
|
0,11
|
0,41
|
0,63
|
0,40
|
0,89
|
|
σ
|
1,08
|
1,16
|
2,08
|
1,47
|
1,13
|
0,85
|
1,12
|
2,68
|
1,98
|
2,04
|
|
|
|
|
|
|
|
|
|
|
|
|
|
|
|
|
|
|
Примечание. 1, 2 - андезиты р. Черная; 3 -
базальты; 4 - андезиты; 5, 6 - андезидациты Синанчинской ВТС; 7-12 -
кастофуновская свита падей Кастафунова и Петрозуевка (7 - базальты, 8-10 -
андезибазальты, 11 - андезит, 12 - субвулканический габбро-диабаз); 13, 14 -
андезиты Пластунской ВТС, 15-19 - вулканиты Дальнегорской ВТС (15-17 -
базальты, 18, 19 - андезибазальты); 20, 21 - вулканиты Угловской ВТС (20 -
базальт, 21 - андезит). G
= (К2О +Na2O)2/SiO2
- 43
Таблица 2 - Микроэлементный состав (в г/т)
сеноманских вулканитов Восточно-Сихотэ-Алинского вулканического пояса
|
Параметры
|
Номер
образца
|
|
ПТ-2*
|
ПТ-7*
|
ПТ-33
|
ПТ-35/1*
|
ПТ-36*
|
ПТ-38*
|
Ф-47
|
ПТ-44
|
Ф-20
|
Ф-22
|
ПТ-51*
|
|
1
|
2
|
3
|
4
|
5
|
6
|
7
|
8
|
9
|
10
|
11
|
|
Ni
|
25
|
8
|
35
|
11
|
16
|
10
|
76
|
12
|
16
|
10
|
23
|
|
Co
|
18
|
8,7
|
16
|
9,5
|
12
|
7,4
|
33
|
20
|
15
|
23
|
15
|
|
Cr
|
7,5
|
7,8
|
45
|
5,0
|
14
|
7,2
|
250
|
29
|
32
|
14
|
22
|
|
V
|
85
|
70
|
215
|
39
|
55
|
23
|
182
|
163
|
159
|
200
|
270
|
|
Cu
|
40
|
18
|
41
|
40
|
37
|
23
|
44
|
18
|
7,2
|
21
|
3,5
|
|
Pb
|
5,8
|
3,0
|
12
|
5,0
|
5,8
|
4,7
|
5,7
|
7,5
|
9,3
|
11
|
2,2
|
|
Zn
|
83
|
36
|
110
|
73
|
73
|
33
|
81
|
8,2
|
6,6
|
218
|
50
|
|
Sn
|
1,8
|
0,9
|
2,0
|
0,8
|
0,9
|
1,0
|
0,7
|
1,9
|
1,4
|
1,0
|
1,2
|
|
Zr
|
119
|
126
|
174
|
156
|
140
|
135
|
144
|
144
|
146
|
144
|
127
|
|
Rb
|
49
|
36
|
47,2
|
29
|
15
|
61
|
17,5
|
16
|
42,8
|
40,3
|
31
|
|
Sr
|
418
|
645
|
958
|
468
|
558
|
401
|
522
|
435
|
468
|
522
|
394
|
|
Y
|
46
|
10
|
30,5
|
-
|
-
|
-
|
24
|
26,2
|
26,9
|
28,2
|
-
|
|
Nb
|
12
|
8,0
|
20,9
|
14
|
17
|
8
|
11,8
|
16,0
|
11,9
|
11,8
|
8
|
|
Ba
|
1556
|
1420
|
775
|
430
|
314
|
734
|
550
|
431
|
883
|
4,83
|
348
|
|
Hf
|
25
|
4,8
|
4,3
|
0,71
|
1,7
|
3,1
|
2,97
|
3,86
|
3,84
|
3,75
|
0,39
|
|
Ta
|
-
|
1,2
|
0,97
|
-
|
1,0
|
1,25
|
0,50
|
0,73
|
0,53
|
0,72
|
-
|
|
Th
|
5,2
|
1,3
|
6,6
|
6,9
|
12
|
7,25
|
4,23
|
6,44
|
5,72
|
5,56
|
4,1
|
|
U
|
|
|
1,56
|
|
|
|
0,98
|
1,72
|
1,50
|
1,37
|
|
|
La
|
59,7
|
32,9
|
33,2
|
37,6
|
33,7
|
28,1
|
16,95
|
22,88
|
26,7
|
21,5
|
18,8
|
|
Ce
|
95,2
|
51,0
|
70,4
|
50,1
|
59,6
|
54,5
|
47,58
|
52,0
|
44,3
|
44,9
|
|
Pr
|
|
|
8,6
|
|
|
|
4,19
|
5,51
|
5,77
|
5,53
|
10
|
|
Nd
|
53
|
47
|
34
|
23
|
25
|
37
|
17,78
|
23
|
22,4
|
22,2
|
2,89
|
|
Sm
|
14,8
|
4,89
|
6,9
|
3,92
|
6,06
|
4,07
|
3,90
|
4,89
|
4,58
|
4,60
|
1,0
|
|
Eu
|
3,49
|
1,45
|
2,0
|
1,06
|
1,36
|
1,23
|
1,28
|
1,35
|
1,50
|
1,50
|
|
|
Gd
|
|
|
6,5
|
|
|
|
4,12
|
4,49
|
4,38
|
4,53
|
|
|
Tb
|
1,59
|
0,61
|
0,95
|
-
|
0,91
|
-
|
0,63
|
0,71
|
0,66
|
0,67
|
0,61
|
|
Dy
|
|
|
5,1
|
|
|
|
3,71
|
4,33
|
4,02
|
4,32
|
|
|
Ho
|
|
|
1,67
|
|
|
|
0,84
|
0,89
|
0,93
|
0,94
|
|
|
Er
|
|
|
2,63
|
|
|
|
1,98
|
2,33
|
2,28
|
2,40
|
|
|
Tm
|
|
|
0,38
|
|
|
|
0,32
|
0,35
|
0,36
|
0,36
|
|
|
Yb
|
4,69
|
3,55
|
2,46
|
1,23
|
2,16
|
2,32
|
1,95
|
2,28
|
2,40
|
2,10
|
1,87
|
|
Lu
|
0,77
|
0,53
|
3,0
|
0,16
|
0,27
|
0,37
|
0,29
|
0,34
|
0,33
|
0,34
|
0,38
|
|
E REE
|
|
|
175,9
|
|
|
|
91,4
|
120,9
|
128,3
|
114,3
|
|
|
Eu/Eu*
|
|
|
0,89
|
|
|
|
0,97
|
0,86
|
1,00
|
0,99
|
|
|
Номер
образца
|
|
Ф-19
|
ПТ-226*
|
ПТ-228*
|
К-475
|
268/87
|
К-475/5
|
К-475/9
|
К-488/4
|
223/87
|
1
|
|
12
|
13
|
14
|
15
|
16
|
17
|
18
|
19
|
20
|
21
|
|
Ni
|
58
|
12
|
6,8
|
13
|
17
|
11
|
6,9
|
9,7
|
226
|
|
|
Co
|
33
|
20
|
11
|
21
|
22
|
20
|
18
|
18
|
36
|
|
|
Cr
|
199
|
12
|
8,5
|
26
|
50
|
26
|
9,2
|
9,2
|
532
|
|
|
V
|
141
|
310
|
100
|
220
|
233
|
218
|
166
|
166
|
202
|
|
|
Cu
|
7,5
|
110
|
1,0
|
15
|
7
|
15
|
6,3
|
11
|
33
|
|
|
Pb
|
7,8
|
40
|
28
|
9,7
|
10
|
14
|
11,3
|
13,7
|
3,54
|
0,9
|
|
Zn
|
51
|
160
|
100
|
98
|
108
|
112
|
113
|
132
|
74
|
|
|
Sn
|
0,6
|
1,8
|
2,2
|
2,8
|
5,3
|
2,8
|
3,1
|
8,0
|
2,1
|
|
|
Zr
|
77
|
123
|
239
|
182
|
134
|
170
|
209
|
219
|
126
|
121
|
|
Rb
|
10
|
10
|
36
|
11,2
|
78,6
|
10,9
|
55,5
|
146
|
31,4
|
102
|
|
Sr
|
616
|
493
|
396
|
725
|
284
|
671
|
483
|
449
|
362
|
292
|
|
Y
|
8,2
|
14
|
22
|
29,2
|
30,9
|
31,3
|
34
|
40,5
|
25,5
|
22,3
|
|
Nb
|
2,1
|
15
|
16
|
15,7
|
12,8
|
17,0
|
20,4
|
18,9
|
10,5
|
7,0
|
|
Ba
|
94
|
136
|
696
|
310
|
451
|
321
|
468
|
366
|
281
|
450
|
|
Hf
|
1,85
|
2,2
|
4,1
|
4,36
|
3,65
|
4,34
|
4,99
|
5,68
|
2,96
|
3,87
|
|
Ta
|
0,18
|
-
|
1,1
|
1,07
|
0,68
|
0,71
|
0,92
|
1,24
|
0,50
|
|
|
Th
|
1,31
|
5,5
|
10,7
|
5,46
|
4,36
|
5,97
|
8,80
|
13,5
|
3,70
|
19,3
|
|
U
|
0,48
|
|
|
1,22
|
0,99
|
1,24
|
1,82
|
1,86
|
0,77
|
4,95
|
|
La
|
4,99
|
14,1
|
34,9
|
25,0
|
17,4
|
27,8
|
34,1
|
27,8
|
14,6
|
30,2
|
|
Ce
|
11,2
|
33
|
72,5
|
56,7
|
39,0
|
72
|
62,4
|
33,2
|
62,6
|
|
Pr
|
1,32
|
|
|
6,81
|
4,91
|
7,32
|
8,22
|
7,82
|
4,12
|
7,16
|
|
Nd
|
5,53
|
20
|
40
|
28,1
|
21,3
|
29,3
|
33,6
|
32,4
|
17,3
|
24,8
|
|
Sm
|
1,15
|
3,28
|
7,38
|
5,94
|
4,82
|
6,48
|
6,22
|
7,31
|
4,03
|
4,95
|
|
Eu
|
0,51
|
1,23
|
1,61
|
1,58
|
1,31
|
1,62
|
1,72
|
1,89
|
1,16
|
0,98
|
|
Gd
|
1,27
|
|
|
5,36
|
4,97
|
5,82
|
6,15
|
7,49
|
4,15
|
4,43
|
|
Tb
|
0,18
|
0,83
|
0,87
|
0,82
|
0,79
|
0,87
|
0,91
|
1,08
|
0,60
|
0,67
|
|
Dy
|
1,22
|
|
|
4,84
|
4,85
|
5,35
|
5,13
|
6,78
|
4,02
|
3,97
|
|
Ho
|
0,29
|
|
|
1,08
|
1,14
|
1,15
|
1,17
|
1,45
|
0,96
|
0,81
|
|
Er
|
0,69
|
|
|
2,66
|
2,83
|
2,76
|
2,82
|
3,83
|
2,22
|
2,34
|
|
Tm
|
0,11
|
|
|
0,39
|
0,44
|
0,42
|
0,42
|
0,62
|
0,38
|
0,36
|
|
Yb
|
0,72
|
2,42
|
4,03
|
2,51
|
2,82
|
2,58
|
2,71
|
3,63
|
2,40
|
2,29
|
|
Lu
|
0,12
|
0,55
|
0,62
|
0,36
|
0,40
|
0,35
|
0,39
|
0,52
|
0,30
|
0,35
|
|
E REE
|
29,3
|
|
|
142,1
|
107,0
|
153,4
|
175,5
|
165,0
|
89,44
|
149,0
|
|
Eu/Eu*
|
1,28
|
|
|
0,84
|
0,81
|
0,79
|
0,84
|
0,77
|
0,86
|
0,62
|
|
KREE
|
2,44
|
|
|
3,21
|
2,75
|
3,44
|
3,33
|
2,84
|
2,98
|
3,00
|
|
|
|
|
|
|
|
|
|
|
|
|
|
|
|
|
|
|
|
Примечание. Звёздочка означает, что REE,
Th, Hf,
Ta определены нейтронно-активационным методом, остальные масс- спектральным с
индукционно связанной плазмой (ICP-MS).
Прочерк - не обнаружено, пропуск - нет данных.
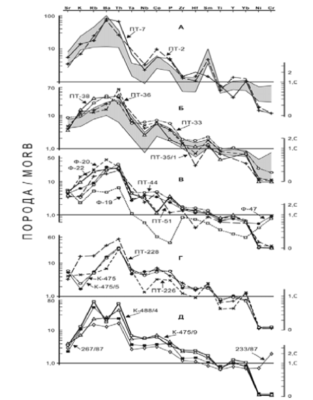
Рисунок 2 - Нормированное по MORB
распределение микроэлементов в сеноманских вулканитах Приморья: А - бассейн р.
Черная; Б - Синанчинская ВТС; В - кастафуновская свита; Г, Д - Дальнегорская,
Пластунская и Угловская ВТС. Заштрихованные поля: А - базальты Кемского
островодужного террейна, Б - альб-сеноманские вулканиты Партизанского
каменноугольного бассейна Номера проб приведены в таблице 2
Рисунок 3 - Нормированное по хондриту
распределение концентраций REE
в сеноманских вулканитах Приморья: Заштрихованные поля: Г - альбсеноманские
вулканиты Партизанского каменноугольного бассейна Приморья, Д - базальты
Кемского островодужного террейна. Тренды типовых пород структур: I-I
- андезиты Омолонского массива ОЧВПП [4]; II-II
- средний тип андезитов островных дуг; III-III
- базальты северной зоны Андийского вулканического пояса [19]; IV-IV
- андезибазальты южной зоны Андийского вулканического пояса [24]; V-V
- андезибазальты Высоких Каскад [23]. Остальные обозначения см. на рисунке 2
В Маастрихте вулканизм локализовался на
пересечениях северо-восточных и северо-западных разломов. Это время
характеризуется формированием в сводовой части пояса крупных стратовулканов:
Самаргинского, Светлинского, Тернейского, Солонцовского, Сергеевского и др.
Эффузивы базальт-андезит-дацитового состава выделяются в самаргинский и
пластунский комплексы. Одновременно формируются кальдерные вулканоструктуры:
Озерковская, Базовская и др. Они выполнены андезитами, дацитами и риолитами
сияновского комплекса.
Эффузивы самаргинского, пластунского и
сияновского комплексов слагают покровные, жерловые и экструзивные тела. Лавовые
образования имеют порфировую структуру, обусловленную вкрапленниками пироксена,
роговой обманки и плагиоклаза. Много акцессорных минералов - сфена, рутила,
граната, монацита.
Базальты, андезиты и дациты самаргинского
комплекса представляют дифференцированную магматическую серию
известково-щелочного ряда с повышенной и нормальной щелочностью. Химический и
микроэлементный состав андезитов самаргинского комплекса, слагающих Тернейскую
вулканоструктуру, приведен в таблице 3. Отношение K2O/Na2O
составляет 0,3-0,8, повышаясь в кислых породах до 1,2-1,3 [6]. Графики
концентраций редких земель, нормированные к базальтам MORB,
соответствуют магматическим породам окраинноконтинентального типа с отчетливыми
минимумами бария, ниобия, гафния, циркония, титана и максимумами рубидия, тория
и лантана (рис. 6). Андезиты характеризуются отсутствием европиевого минимума,
крутым наклоном кривой от лантана к европию, ее выполаживанием в области
тяжелых элементов от гольвеция к лютецию (рис. 6). На дискриминантных
диаграммах Дж. Пирса и Д. Вуда андезиты самаргинского комплекса располагаются в
полях активных континентальных окраин и островных дуг (рис. 7). Соотношение 87Sr/86Sr
в андезитах самаргинского комплекса 0,7039-0,7061 [8].
Сияновский вулканический комплекс является
возрастным аналогом самаргинского [6]. Он развит в южной части Восточно-Сихотэ-
Алинского вулканического пояса в Кавалеровском и Дальнегорском рудных районах.
Эффузивные образования комплекса выполняют Караванную, Озерковскую и Базовскую
кальдеры. Вулканические породы представлены туфами и игнимбритами риодацитов и
дацитов (Караванная кальдера), реже туфами и лавами андезитов и андезидацитов
(Базовская и Озерковская кальдеры). Кислые эффузивы содержат до 10 %
кристаллокластов кварца, ортоклаза и плагиоклаза. По химическому составу породы
относятся к известково-щелочному ряду, с преобладанием калия над натрием в
риолитах и риодацитах. В андезитах и андезидацитах содержание Na2O
больше K2O,
что подчеркивает их сходство с вулканитами островодужного (надсубдукционного)
типа.
Рисунок 4 - Диаграмма Th-Hf/3-Ta
[28] для сеноманских вулканитов Приморья: 1-3 - базальты Синанчинской ВТС (1),
кастафуновской свиты на левобережье р. Аввакумовка (2) и Дальнегорской ВТС (3).
Поля базальтов на диаграмме: A
- тип MORB, B
- тип MORB и
внутриплитных базальтов, C
- щелочных внутриплитных базальтов, D
- базальтов островных дуг и активных континентальных окраин
. ИНТРУЗИВНЫЕ ОБРАЗОВАНИЯ
Интрузивы Восточно-Сихотэ-Алинского вулкано-плутонического
пояса, обнаженные вдоль всего побережья Японского моря (от Тернея до мыса
Островного), являются типичными представителями формации субвулканических
гранитов [5] вулкано-плутонической формации [10] или вулкано-интрузивными
ассоциациями [14], широко распространенными в вулканических поясах, обрамляющих
Тихий океан. Массивы Приморского побережья Японского моря характеризуют
интрузивный магматизм вдоль пояса, а интрузивы Дальнегорского района позволяют
проследить его поперечное изменение. Геолого-петрологические исследования,
проведенные автором, показали, что гранитоиды ВСАВПП образуют три группы тел,
сформированных на небольшой (< 3-4 км) глубине, разделенных пространственно
и различающихся своими петрологическими особенностями (табл. 4). Интрузивы
восточной части (на побережье Японского моря - 1-я группа) образуют крупные
(десятки километров) многофазные тела, сложенные равномернозернистыми породами
диорит-гранодиорит-гранитного состава, кристаллизовались при 650-750°С и
являются магнетитовыми. Массивы западной части пояса - Дальнегорского района
(2-я группа) и Краснореченского поднятия (3-я группа) - однофазны, сложены
порфировидными породами ильменитовой серии и кристаллизовались при 750-850°С и
800900°С соответственно. Они образуют небольшие тела (первые километры в
Дальнегорском и десятки метров в Краснореченском), сопровождаются
боросиликатными и полиметаллическими в Дальнегорском,
оловянно-полиметаллическими месторождениями - в Краснореченском районе, тогда
как в интрузивах прибрежной группы известны только незначительные
магнетит-скарновые и молибденовые рудопроявления.
Интрузивы побережья Японского моря (1-я группа).
Гранитоидные интрузивы восточной части пояса образуют зону северо-восточного
простирания и отделены друг от друга верхнемеловыми эффузивами (рис. 1). Все
они имеют лакколитообразную форму и сильно вытянуты вдоль берега моря -
достигают 20-60 км в длину при ширине 5-10 км.
Четких геологических фактов, свидетельствующих о
глубине формирования интрузивов, нет. М.А. Фаворская [13] оценивает глубину их
формирования в 500 м, Ф. К. Шипулин [18] - в 1-2 км. По мнению А. И. Ханчука,
глубина формирования массивов определяется мощностью верхнемеловых эффузивов,
которая в Прибрежной зоне составляет 3000-5000 м [3], т. е. максимально возможная
глубина формирования гранитоидов должна быть не более 3-4 км. Петрологические
данные показывают, что литостатическое давление кристаллизации гранитных
расплавов, определяемое по РН2о< Робщ., не превышало 1-1,5 кбар, т. е.
глубина не превышала 3-4 км.
Массивы отличаются друг от друга по глубине
становления. Опричнинский интрузив, имеющий гранофировые приконтактовые фации,
формировался на глубине менее 3 км, а южнее расположенные Владимирский,
Ольгинский и Валентиновский - 3-4 км. Глубина эрозионного среза невелика - чаще
всего обнажаются прикровлевые части интрузивных тел. Сложены они различными
разновидностями пород, из которых каждая образует одну фазу, прорывающую
предыдущие с образованием на контактах зон закалки, гнезд пегматитов и зон
обогащения темноцветными минералами в виде полос и линз. Первая фаза - диориты
(88-74 млн. лет) - проявлена в Опричнинском, Ольгинском и Валентиновском
массивах; вторая фаза - гранодиориты (6560 млн. лет) - во всех массивах, кроме
Опричнинского. Для нее характерны округлые включения пород гранодиоритового
состава, равномерно рассеянные в породе либо образующие линзообразные скопления
или горизонты. Третья фаза - крупнозернистые граниты (58-53 млн. лет) почти без
включений, но с гнездами пегматитов и аплито-пегматитовыми телами - во всех
массивах. Четвертая фаза - миароловые граниты (43-48 млн. лет) - в Ольгинском
массиве и щелочные граниты мыса Орлова (41 млн. лет) - в Валентиновском.
Пятая фаза -гранит- и гранодиорит-порфиры и
аплито-пегматитовые тела - во всех массивах.
Рисунок 5 - Нормированное по составу верхней
коры распределение некогерентных (а) и редкоземельных (б) элементов в
игнимбритах приморского комплекса: 1 - игнимбрит, Кемская вулканоструктура; 2 -
игнимбрит, Самаргинская вулканоструктура; 3 - игнимбрит, Усть-Соболевская
вулканоструктура; 4 - игнимбрит, Тернейская вулканоструктура
Таким образом, по данным калий-аргонового метода
гранитоидные массивы формировались от позднего мела (88-74 млн. лет - диориты)
до палеоцена-эоцена (65-41 млн. лет - гранодиориты и граниты) вдоль Прибрежной
зоны ВСАВПП. Несмотря на общие черты, каждый из изученных массивов по-своему
индивидуален. Детальная характеристика их приводится в ряде монографий
[1,2,13,18].
Интрузивы Дальнегорской вулканоструктуры (2-я
группа). В Дальнегорском районе проявлены магматические породы двух серий:
известково-щелочной, представленной диорит-гранодиорит-гранитной ассоциацией, и
субщелочной - монцодиорит-гранодиоритовой. Первая обнажается в центре и на юго-востоке
Дальнегорской вулканоструктуры, образуя центральные и локальные интрузивные
купола, составляющие 2-ю группу интрузивов. Вторая ассоциация распространена на
северо-западе в Краснореченском сводово-глыбовом поднятии. Она образует 3-ю
группу интрузивов вулканического пояса.
Гранитоидные породы в Дальнегорском районе
занимают довольно скромную площадь, часть интрузивов (Дальнегорский и
Партизанский) не выходит на поверхность и вскрыта только скважинами. В
распределении интрузивов наблюдается четкий структурный контроль: наиболее
крупные из них обнажены в центре вулканоструктуры, образуя интрузивно-купольное
поднятие - Араратский интрузив гранофировых гранитов (60 млн. лет). Более
мелкие интрузивы приурочены к ее периферии, образуя локальные поднятия, осложняющие
основную структуру: интрузивы 27-го Ключа (50-62 млн. лет), Дальнегорский
(59-64 млн. лет), Партизанский (53-58 млн. лет), Николаевский (габбро-диориты -
83 млн. лет и граниты - 60 млн. лет) и Лидовский (69 млн. лет). В плане
интрузивы чаще всего изометричны. Кристаллизовались они на глубине не более 3
км. Глубина эрозионного среза массивов невелика: чаще всего обнажаются
прикровлевые части интрузивных тел подобно интрузивам побережья. Гранитоиды
везде прорывают, ороговиковывают и скарнируют триасово-юрские и нижнемеловые
осадочные породы, а также позднемеловые эффузивы.
Интрузивы 2-й группы детально охарактеризованы в
монографии Г. А. Валуй и А. А. Стрижковой [2].
Интрузивы Краснореченского поднятия (3-я
группа). Краснореченское поднятие расположено в осевой части хр. Сихотэ-Алинь и
примыкает к Дальнегорскому рудному полю с запада. Это кольцевая
интрузивно-купольная структура, которой соответствует положительная
гравитационная аномалия. Магматические образования монцодиорит-гранодио-
ритового ряда расположены внутри поднятия, за пределами вулканоструктур,
ограничивающих Краснореченское рудное поле. Они прорывают и метаморфизуют
осадки раннего мела и не имеют эффузивных аналогов. Наиболее изучены интрузивы,
расположенные в бассейнах ручьев Лапшин, Солнечный, Ветвистый, Желтый и др. Они
представлены мелкими штоками и трещинными телами монцодиоритов, диоритов и
гранодиоритов. Возраст их определяется как начало позднего мела (84-87 млн. лет
- по определению лаборатории ДВГИ) и палеогена (59-64 млн. лет - по данным
Института геохимии СО РАН). Интрузивы детально описаны в монографии Г. А.
Валуй, А. А. Стрижковой [2].
Минеральный состав пород ВСАВПП показан на
рисунке 8, а химический в таблице 5 и на рисунке 9.
На диаграмме Rb-(Y+Nb)
Дж. Пирса [25,26] для различия гранитоидов по тектоническому положению все
интрузивы ВСАВПП лежат в поле гранитоидов вулканических дуг (рис. 10).
-я группа интрузивов формировалась из более
низкотемпературных расплавов, содержащих 3 % массы Н2О, выплавленных на меньших
глубинах (12-15 км), чем 2-я и 3-я группы, которые образовались из более
высокотемпературных расплавов с исходным водосодержанием >3 % массы H2O
и на глубине 18-20 км (Дальнегорская вулканоструктура) и 25-30 км
(Краснореченское поднятие). Подобное различие, вероятно, обусловлено
увеличением глубины магматических очагов от побережья к континенту. Различное
исходное содержание флюидов определило динамику кристаллизации расплавов и
характер отделения флюидов. Известно, что при содержании флюидов более 3 %
массы при кристаллизации расплава происходит разгерметизация магматической
камеры, так как давление вмещающих пород не может компенсировать объемный
эффект кристаллизации на глубинах менее 5 км. При этом флюид покидает расплав,
что приводит к формированию резко порфировидных пород. На побережье обнажены
интрузивы, возникшие при кристаллизации более «сухих» расплавов. При их
формировании разгерметизации магматической камеры не происходит, и флюиды
остаются в расплаве. Это привело к образованию равномернозернистых пород и широкому
развитию процессов внутрикамерной дифференциации расплавов.
В гранитоидных интрузивах
Восточно-Сихотэ-Алинского вулкано-плутонического пояса широко проявлена
фракционная дифференциация исходных расплавов на различных уровнях и стадиях
существования расплава. Дифференциация на стадии генерации расплава приводит к
образованию крупных многофазных интрузивов диорит-гранодиорит-гранитного
состава в восточной части пояса и однофазных тел габбро-диоритов, гранодиоритов
или гранитов - в Дальнегорском районе.
Степень дифференциации расплавов уменьшается с
востока на запад от многофазных прибрежных массивов через однофазные
дальнегорские - к однофазным слабодифференцированным магматическим телам
монцодиорит-гранодиоритового состава Краснореченского поднятия, в направлении
возрастания мощности земной коры.
Дифференциация на стадии кристаллизации (в
магматической камере) приводит к образованию автолитов, аплит-пегматитов,
ритмично-расслоенных зон и пр., широко проявленных в интрузивах побережья
Японского моря. Выявлены признаки четырех типов механизма внутрикамерной
дифференциации, отвечающих различным этапам становления интрузивных тел: 1)
кристаллизационная дифференциация с отсадкой плагиоклазов, 2)
флюидно-магматическое и 3) диффузионно-магматическое расслоение первичных
расплавов (в краевых частях), а также 4) расслоение остаточных расплавов,
богатых летучими компонентами.
Широко проявлено расслоение гранитных расплавов
в интрузивах восточной части ВСАВПП (в таком разнообразии не описанных в других
регионах мира), что позволяет выделить ее как провинцию расслоенных гранитов.
Родство магм, образовавших различные фазы в прибрежных массивах, подтверждается
редкоземельными элементами (рис. 11, табл. 5). Расчет модельного распределения
РЗЭ для пород верхней и нижней коры и гранитов, а также диоритов показал, что
диориты могли возникнуть при полном равновесном или фракционном плавлении (судя
по содержанию легких РЗЭ) или 50 %-ном плавлении пород нижней коры (если судить
по содержанию тяжелых РЗЭ), а гранитные расплавы при тех же соотношениях - при
плавлении пород верхней коры (рис. 12).
Содержание РЗЭ в гранодиоритах, адамеллитах и
гранитах центральных частей разных массивов оказалось близким и является
средним между диоритами и породами, генезис которых предполагает участие
внутрикамерной дифференциации.
Диориты, развитые на побережье Японского моря, и
монцодиориты Краснореченского поднятия могут рассматриваться как наиболее
близкие к первичным магмам, а гранодиориты и граниты - как производные.
Низкое отношение Sm/Nd
свидетельствует,
что источником расплавов, образовавшим гранитоидные интрузивы ВСАВПП, могли
служить обогащенные коровые резервуары, которые состоят преимущественно из
низкомагнезиальных базитов, сиалических магматических пород, а также
магматического материала, перемещенного в земную кору из мантии [7].
Согласно диаграмме Al2O3/(MgO+FeO)-
CaO/(MgO+FeO)
[22] диориты и монцониты всех изученных массивов пояса могли быть образованы из
расплавов - продуктов парциального плавления амфиболитов, тогда как кислые разности
серий - за счет парциального плавления дацитов (тоналитов) и, возможно,
метаграувакк (рис. 13).
Таким образом, диориты и монцодиориты ВСАВПП
нижнекоровые, а гранитоиды - верхнекоровые производные расплавы I-типа.
Гранитоиды восточной части образуют магнетитовую серию, тогда как западные -
ильменитовую серию. Гранитоидный магматизм ВСАВПП может быть отнесен к
надсубдукционному.
Рисунок 6 - Нормированное по MORB
распределение некогерентных (а) и редкоземельных (б) элементов в андезитах
самаргинского комплекса: 1 - андезиты, Тернейская вулканоструктура; 2 -
андезиты, больбинская свита (Нижнее Приамурье); 3 - андезиты, Солонцовский
вулкан
Рисунок 7 - Диаграмма Th-Hf/3-Ta
[28] для андезитов самаргинского комплекса
Поля базальтов на диаграмме: A
- N-тип MORB,
B - E-тип
MORB и внутриплитных
базальтов, C - щелочных
внутриплитных базальтов, D
- базальтов островных дуг и активных континентальных окраин. Условные
обозначения см. на рисунке 6
Таблица 3 - Химический (в мас. %) и
микроэлементный (в г/т) состав сеноман-маастрихтских эффузивов
Восточно-Сихотэ-Алинского вулканического пояса [8]
|
Параметры
|
1
|
2
|
3
|
4
|
5
|
6
|
7
|
8
|
9
|
10
|
|
SiO2
|
73,54
|
69,75
|
67,77
|
72,10
|
|
58,30
|
62,28
|
59,85
|
61,45
|
60,85
|
|
TiO2
|
0,14
|
0,31
|
0,37
|
0,09
|
|
1,19
|
0,70
|
0,90
|
0,73
|
0,78
|
|
Л12Оз
|
12,96
|
14,59
|
14,64
|
12,70
|
|
16,59
|
16,62
|
16,28
|
15,91
|
16,97
|
|
Fe2O3
|
0,86
|
1,85
|
1,62
|
0,30
|
|
3,96
|
1,57
|
4,06
|
3,46
|
4,48
|
|
FeO
|
1,62
|
2,74
|
2,90
|
2,60
|
|
4,51
|
3,46
|
1,78
|
2,23
|
1,48
|
|
MnO
|
0,08
|
0,03
|
0,07
|
0,06
|
|
0,15
|
0,13
|
0,11
|
0,12
|
0,11
|
|
MgO
|
0,10
|
0,53
|
1,41
|
0,18
|
|
2,74
|
1,40
|
1,53
|
1,98
|
2,32
|
|
CaO
|
0,45
|
2,23
|
2,06
|
0,91
|
|
5,17
|
4,05
|
5,82
|
5,99
|
5,80
|
|
Na2O
|
3,46
|
2,98
|
3,66
|
4,40
|
|
3,61
|
4,43
|
2,79
|
2,79
|
2,88
|
|
K2O
|
5,14
|
3,28
|
3,35
|
4,50
|
|
1,96
|
3,02
|
2,28
|
2,38
|
2,35
|
|
P2O5
|
0,19
|
0,17
|
0,17
|
0,14
|
|
0,29
|
0,16
|
0,28
|
0,21
|
0,22
|
|
H2O'
|
0,27
|
0,25
|
0,20
|
0,20
|
|
0,00
|
1,45
|
0,19
|
0,26
|
0,23
|
|
Н2О+
|
|
|
|
|
|
|
0,57
|
|
|
|
|
п.п.п.
|
0,76
|
0,91
|
1,36
|
0,76
|
|
1,50
|
0,63
|
3,63
|
1,99
|
1,56
|
|
Сумма
|
99,57
|
99,62
|
99,58
|
99,94
|
|
99,97
|
100,20
|
99,51
|
99,50
|
100,03
|
|
Sc
|
4,9
|
6,2
|
12,0
|
|
21,0
|
19,0
|
|
|
|
|
Co
|
4,0
|
5,2
|
6,7
|
3,5
|
3,3
|
23,0
|
8,1
|
14
|
15
|
15
|
|
Ni
|
9,4
|
14,0
|
13,0
|
18,0
|
14,3
|
21,0
|
5,6
|
7,8
|
8
|
10
|
|
Cr
|
16,0
|
26,0
|
27,0
|
25,0
|
22,8
|
87,0
|
22,0
|
26
|
31
|
23
|
|
V
|
40,0
|
31,0
|
55,0
|
13,0
|
|
190
|
63,0
|
142
|
157
|
152
|
|
Zn
|
20,9
|
14,2
|
18,7
|
11,8
|
|
70,2
|
38,9
|
|
|
|
|
Ga
|
11,8
|
12,7
|
14,8
|
15,2
|
|
19,3
|
17,9
|
|
|
|
|
Ge
|
1,0
|
1,0
|
1,39
|
2,0
|
|
3,92
|
1,73
|
|
|
|
|
Rb
|
97,1
|
102
|
81,4
|
147
|
196,2
|
7,8
|
50,7
|
58
|
66
|
75
|
|
Sr
|
233
|
179
|
209
|
89
|
104
|
485
|
314
|
467
|
414
|
360
|
|
Y
|
11,1
|
16,9
|
19,1
|
29,3
|
22,5
|
16,4
|
26,0
|
22,6
|
25,4
|
25,9
|
|
Zr
|
63,4
|
69,9
|
106
|
69,4
|
58
|
50,4
|
66,5
|
136
|
116
|
148
|
|
Nb
|
3,0
|
3,0
|
3,90
|
6,0
|
11,48
|
4,22
|
4,05
|
9,43
|
8,19
|
8,99
|
|
Ba
|
662
|
500
|
698
|
333
|
645
|
133
|
365
|
578
|
443
|
414
|
|
La
|
16,0
|
22,1
|
19,7
|
22,5
|
20,3
|
13,1
|
22,7
|
21,6
|
21,0
|
21,5
|
|
Ce
|
33,0
|
45,2
|
43,0
|
48,4
|
43,1
|
32,4
|
53,8
|
46,7
|
44,8
|
46,14
|
|
Pr
|
4,0
|
5,0
|
5,05
|
6,0
|
4,63
|
4,22
|
6,94
|
5,06
|
4,92
|
5,02
|
|
Nd
|
13,3
|
16,1
|
20,1
|
23,2
|
18,3
|
18,9
|
27,1
|
21,8
|
20,77
|
21,41
|
|
Sm
|
2,0
|
3,0
|
4,17
|
5,0
|
4,57
|
4,14
|
6,09
|
4,64
|
4,59
|
4,72
|
|
Eu
|
1,0
|
1,0
|
0,89
|
0,5
|
0,45
|
1,32
|
1,38
|
1,24
|
1,18
|
1,17
|
|
Gd
|
2,0
|
2,0
|
3,39
|
4,0
|
3,9
|
3,93
|
5,77
|
4,43
|
4,45
|
4,55
|
|
Tb
|
0,3
|
0,4
|
0,58
|
1,0
|
0,69
|
0,61
|
0,90
|
0,66
|
0,70
|
0,70
|
|
Dy
|
2,0
|
3,0
|
3,78
|
5,0
|
3,87
|
3,23
|
5,73
|
3,62
|
3,99
|
4,05
|
|
Ho
|
0,5
|
1,0
|
0,77
|
1,0
|
0,74
|
0,66
|
0,95
|
0,64
|
0,71
|
0,73
|
|
Er
|
1,0
|
2,0
|
2,46
|
3,0
|
2,53
|
1,72
|
3,08
|
1,98
|
2,24
|
2,31
|
|
Tm
|
0,31
|
0,4
|
0,36
|
0,5
|
0,49
|
0,28
|
0,45
|
0,32
|
0,38
|
0,39
|
|
Yb
|
1,1
|
2,0
|
2,73
|
4,2
|
3,25
|
1,72
|
3,18
|
1,94
|
2,42
|
2,45
|
|
Lu
|
0,3
|
0,4
|
0,43
|
1,0
|
0,50
|
0,26
|
0,45
|
0,28
|
0,36
|
0,36
|
|
Hf
|
2,1
|
2,3
|
3,67
|
3,1
|
2,53
|
1,55
|
2,17
|
3,24
|
3,07
|
3,07
|
|
Ta
|
0,4
|
1,0
|
0,41
|
1,1
|
1,37
|
0,43
|
0,59
|
0,72
|
0,64
|
0,69
|
|
Th
|
11,9
|
16,4
|
14,71
|
24,4
|
16,21
|
4,34
|
11,1
|
6,16
|
6,78
|
7,57
|
|
U
|
2,0
|
3,0
|
3,44
|
4,0
|
3,27
|
0,73
|
2,43
|
1,26
|
1,49
|
1,59
|
|
87Sr/86Sr
|
0,70580
|
0,70590
|
|
|
|
|
0,705232
|
|
|
|
Примечание. 1, 2 - приморский комплекс: 1 -
игнимбрит, Кемская вулканоструктура, 2 - игнимбрит, Самаргинская
вулканоструктура; 3 - игнимбрит, левособолевская свита, Усть-Соболевская
вулканоструктура; 4, 5 игнимбрит, приморский комплекс, Тернейская
вулканоструктура; 6, 7 - андезиты, самаргинский комплекс, Тернейская
вулканоструктура; 8-10 - андезиты, самаргинский комплекс, вулкан Солонцовый
(данные В.П. Симаненко). 87Sr/86Sr
- измеренные соотношения изотопов стронция. Пропуск - нет данных
Таблица 4 - Сравнительная характеристика
ильменитовых и магнетитовых серий гранитоидов Восточного и Центрального
Сихотэ-Алиня
|
Параметры
|
Массивы
интрузивов
|
|
I
|
II
|
III
|
IV
|
|
Прибрежные
|
Дальнегорские
|
Краснореченские
|
Арминские
|
|
Состав
|
1-
диориты 2 - гранодиориты 3- граниты 4 - граниты иароловые, аплитовидные, 5 -
аплито-пегматиты, гранит-порфиры
|
1
-диориты- 2-гранодиориты 3 - граниты
|
Монцодиорит-гранодиориты
|
|
Возраст,
млн. лет
|
1
- 88-72 2 - 69-65 3 - 64-50 4 - 48-41
|
1-
83 2 - 69-72 3 - 60-63
|
84-87
(64-59)
|
1
- 83-94 2 - 69-78 3 - 58-78
|
|
Размер
интрузивных тел, км.
|
10-70
|
1-5
|
Сотни
метров
|
70-250 км2
|
|
Количество
фаз
|
Многофазные
|
Однофазные
(дифференцированные)
|
Однофазные
(слабо дифференцированные)
|
Двухфазные
|
|
Структура
пород
|
Равномернозернистая
|
Резкопорфировидная
|
Порфировидная,
равномернозернистая
|
|
Условия
кристаллизации
|
Закрытая
система
|
Открытая
система
|
|
Глубина
кристаллизации, км.
|
3-4
|
0,5-2,5
|
1,2-2
|
2-3
|
|
Температура
кристаллизации, °С
|
650-750
|
750-850
|
800-900
|
750-650
|
|
Парагенезис
темноцветных материалов
|
|
Роговая
обманка, биотит
|
Пироксен,
роговая обманка
|
Роговая
обманка, биотит
|
|
Акцессорные
минералы
|
Магнетит
|
Ильменит,
магнетит
|
Ильменит
|
Ильменит,
магнетит
|
|
Глубина
генерации расплавов, км
|
15-20 (5-6 кбар)
|
20-25 (7-8 кбар)
|
25-30 (9-10 кбар)
|
35-40
|
|
Содержание
флюидов в породе, мл/г
|
7-9
|
7-22
|
13-15
|
Нет
данных
|
|
СО2
(в флюидной фазе), об %
|
2
|
3-7
|
3-7
|
Нет
данных
|
Рисунок 8 - Количественно-минеральный состав
гранитоидов Восточно-Сихотэ-Алинского вулкано-плутонического пояса: А -
интрузивы восточной части (1 - Опричнинский, 2 - Владимирский, 3 - Ольгинский,
4 - Валентиновский); Б - интрузивы западной части (Дальнегорский массив: 1 -
адамеллиты, 2 - граниты, 3 - гранит-порфиры; Краснореченское поднятие: 4 - кл.
Лапшин, 5 - кл.
Желтый, 6 - кл.
Солнечный)
Рисунок 9 - Положение точек составов гранитоидов
на классификационных диаграммах: 1 - восточная и 2 - западная части
Восточно-Сихотэ-Алинского вулкано-плутонического пояса; I-VI
- поля минеральных парагенезисов
Рисунок 10 - Зависимость содержания Rb
и Nb+Y
в гранитоидах ВСАВПП от тектонического положения: Col
G - коллизионные rpaHmbi;WPG
- внутриплитные граниты; ORG
- граниты вулканических дуг; VAG
- то же океанических хребтов. Точки гранитоидов следующих массивов: 1 -
Араратский, 2 - 27-го ключа, 3 - кл. Лидовский, 4 - Бринеровский, 5 -
Дальнегорский, 6 - Лангоу, 7 - Краснореченское поднятие, 8 - Северо-Якутинский,
9 - Николаевский, 10 - Опричнинский
Рисунок 11 - Нормированное по хондриту [20]
распределение редкоземельных элементов в гранитоидах Восточно-Сихотэ-Алинского
вулкано-плутонического пояса. Не закрашенными значками показаны включения в
соответствующих породах
Таблица 5 - Химический (в мас.%) и
микроэлементный (в г/т) состав гранитоидов западной части ВСАВПП
|
Параметры
|
Номер
образца
|
|
В-1430
|
B-1498a
|
В-1497м
|
A-380
|
B-1489
|
B-14786
|
В-1554в
|
А-106в
|
A-123a
|
А-168
|
|
SiO2
|
74,37
|
69,82
|
72,67
|
70,92
|
74,50
|
66,10
|
52,90
|
61,05
|
60,94
|
61,50
|
|
TiO2
|
0,13
|
0,32
|
0,19
|
0,40
|
0,24
|
0,45
|
0,99
|
0,81
|
0,60
|
0,87
|
|
AI2O3
|
13,16
|
15,00
|
13,23
|
14,58
|
11,86
|
14,51
|
19,80
|
16,44
|
16,07
|
17,10
|
|
Fe2O3
|
1,50
|
1,74
|
1,08
|
0,79
|
1,39
|
2,30
|
2,93
|
2,91
|
0,92
|
2,60
|
|
FeO
|
0,12
|
1,46
|
0,99
|
3,16
|
0,79
|
1,87
|
3,99
|
2,23
|
5,25
|
2,88
|
|
MnO
|
0,05
|
0,05
|
0,07
|
0,07
|
0,12
|
0,13
|
0,10
|
0,09
|
0,12
|
0,09
|
|
MgO
|
0,46
|
0,62
|
0,49
|
1,09
|
0,89
|
2,10
|
3,26
|
4,07
|
3,21
|
2,67
|
|
CaO
|
0,48
|
3,16
|
3,33
|
2,75
|
1,25
|
3,88
|
8,04
|
4,75
|
5,02
|
3,70
|
|
Na2O
|
4,06
|
3,68
|
2,53
|
3,00
|
3,00
|
3,64
|
3,17
|
2,76
|
2,61
|
2,90
|
|
K2O
|
4,32
|
3,45
|
4,63
|
3,00
|
4,51
|
2,61
|
1,38
|
3,15
|
2,33
|
3,40
|
|
P2O5
|
0,02
|
0,19
|
0,11
|
0,07
|
-
|
-
|
0,32
|
1,06
|
0,36
|
0,20
|
|
H2O"
|
0,45
|
0,21
|
0,15
|
0,05
|
-
|
-
|
0,29
|
0,17
|
0,10
|
0,07
|
|
п.п.п.
|
0,81
|
0,69
|
0,26
|
0,57
|
0,99
|
2,24
|
2,45
|
-
|
1,50
|
1,66
|
|
Rb
|
106
|
97
|
97
|
96
|
97
|
63
|
31
|
91
|
40
|
179
|
|
Sr
|
60
|
251
|
163
|
238
|
139
|
434
|
534
|
336
|
348
|
531
|
|
Ba
|
1086
|
671
|
769
|
679
|
827
|
674
|
366
|
878
|
634
|
790
|
|
Zr
|
207
|
159
|
128
|
163
|
117
|
203
|
120
|
206
|
42
|
177
|
|
Nb
|
19
|
9
|
14
|
9
|
30
|
5
|
11
|
19
|
10
|
17
|
|
La
|
34
|
22
|
40
|
42
|
44
|
26
|
32
|
45
|
24
|
39
|
|
Ce
|
90
|
49
|
49
|
61
|
63
|
51
|
36
|
62
|
35
|
46
|
|
Nd
|
13
|
28
|
35
|
30
|
11
|
12
|
9
|
27
|
5
|
19
|
|
Y
|
26
|
19
|
16
|
23
|
29
|
10
|
16
|
39
|
30
|
34
|
|
Ni
|
7
|
12
|
11
|
35
|
3
|
7
|
27
|
34
|
35
|
10
|
|
Co
|
2
|
7
|
3
|
6
|
3
|
10
|
25
|
20
|
18
|
10
|
|
Cr
|
5
|
11
|
9
|
31
|
5
|
8
|
51
|
174
|
44
|
|
V
|
2
|
61
|
45
|
56
|
36
|
75
|
140
|
270
|
240
|
160
|
|
Cu
|
7
|
14
|
10
|
20
|
7
|
26
|
25
|
65
|
110
|
29
|
|
Zn
|
110
|
42
|
78
|
130
|
38
|
93
|
130
|
160
|
110
|
66
|
|
Pb
|
57
|
37
|
52
|
31
|
17
|
27
|
17
|
44
|
120
|
28
|
|
Sn
|
4
|
12
|
7
|
7
|
2
|
3
|
3
|
1
|
4
|
29
|
|
Mo
|
1
|
2
|
4
|
3
|
2
|
2
|
1
|
38
|
1
|
4
|
|
B
|
4
|
31
|
39
|
22
|
7
|
27
|
23
|
960
|
14
|
42
|
|
F
|
-
|
-
|
230
|
800
|
-
|
-
|
-
|
|
120
|
200
|
Примечание. Интрузивы: Араратский (1 - гранит);
Дальнегорский (2 - адамеллит, 3 - гранит); Партизанский (4 - адамеллит); 27-й
ключ (5 - гранит, 6 - гранодиорит); Николаевский (7 - габбро-диорит);
Краснореченское поднятие: кл. Лапшин (8 - гранодиорит); кл. Солнечный (9 -
гранодиорит); кл. Желтый (10 - гранодиорит)
Рисунок 12 - Модельное распределение РЗЭ при
плавлении пород нижней и верхней коры [27] и сравнение с диоритом (обр. В 300а)
и гранитом (обр. В 267) Опричнинского массиваCl
- концентрация элемента в образующемся (или остаточном) расплаве при весовой
доле расплава F=0,9-0,1
Рисунок 13 - Составы гранитоидов
Восточно-Сихотэ- Алинского вулкано-плутонического пояса и поля парциальных
расплавов различных источников [22]. 1 - гранитоиды восточной и 2 - западной
части ВСАВПП
ЗАКЛЮЧЕНИЕ
В результате проделанной работы мы получили
навыки самостоятельной работы при изучении теоретического курса геологии
Дальнего востока и сопредельных территорий, приобрели самостоятельные навыки
анализа и обобщения геологической информации в работе с геологическими картами
и разрезами, тектоническими схемами, диаграммами, различными литературными
источниками, а также изучили петрографические характеристики горных пород
ВСАВПП, определили их петрохимические характеристики, овладели основными
методами и принципами выполнения научно-исследовательской работы, получили
навыки написания петрологических частей в научно-производственных отчётах.
БИБЛИОГРАФИЧЕСКИЙ СПИСОК
1.
Валуй, Г. А. Полевые шпаты и условия кристаллизации гранитоидов / Г. А. Валуй.
- М. : Наука, 1979. - 146 с.
.
Валуй, Г. А. Петрология малоглубинных гранитоидов на примере Дальнегорского
района, Приморье / Г. А. Валуй, А. А. Стрижкова. - Владивосток : Дальнаука,
1997. - 200 с.
.
Геология СССР. Приморский край. - М. : Недра, 1969. - Т.32. - 690 с.
.
Захаров, М. Н. Особенности распределения РЗЭ в вулканических образованиях
Охотско-Чукотского пояса и в базальтоидах наложенных кайнозойских структур
континентальных сводов: геохимия вулканитов различных геодинамических
обстановок / М. Н. Захаров, В. В. Конусова, Е. В Смирнова. - Новосибирск:
Наука, 1986. с. 133148.
.
Кузнецов, Ю. А. Главные типы магматических формаций / Ю. А. Кузнецов. - М. :
Недра, 1964. - 387 с.
.
Михайлов, В. А. Магматизм вулкано-тектонических структур южной части
Восточно-Сихотэ-Алинского вулканического пояса / В. А. Михайлов. - Владивосток:
ДВО АН СССР, 1989 - 172 с.
.
Попов, В. С. Sm-Nd
и Rb-Sr
изотопная систематика верхнемантийных и коровых резервуаров: зап. ВМО / В. С.
Попов. - 2003, - Ч.132. - № 4. - С. 38-49.
.
Сахно, В. Г. Позднемезозойско-кайнозойский континентальный вулканизм Востока
Азии / В. Г. Сахно. - Владивосток: Дальнаука, 2001. - 338 с.
.
Симаненко, В. П. Сеноманский вулканизм Восточно-Сихотэ-Алинского вулканического
пояса (геохимические особенности) // Геохимия. - 2003. - № 8. - С. 866-878.
.
Устиев, Е. К. Проблемы вулканизма-плутонизма. Вулкано-плутонические формации //
Изв. АН СССР. Сер. геол. - 1963. - № 12. - С. 3-30.
.
Уткин, В. П. Эшелонированные разрывные структуры месторождений Приморья //
Геотектоника, 1978. - № 4. - С. 97-103.
.
Уткин, В. П. Горст-аккреционные системы, рифто-грабены и вулкано-плутонические
пояса юга Дальнего Востока России. Геодинамические модели синхронного
формирования горст-аккреционных систем и рифто-грабенов // Тихоокеан. геология,
1999. - Т. 18. - № 6. - С. 35-58.
.
Фаворская, М. А. Верхнемеловой и кайнозойский магматизм восточного склона
Сихотэ-Алиня / М. А. Фаворская - Тр. ИГЭМ. : - 1956. - Вып. 7. 305 с.
.
Ферштатер, Г. Б. Петрология главных интрузивных ассоциаций / Г. Б. Ферштатер. -
М. : Наука, 1987. - 232 с.
.
Фремд, Г. М. Вулкано-тектонические структуры Восточно-Сихотэ-Алинского
вулканического пояса / Г. М. Фремд, В. И. Рыбалко. - Томск : Изд-во Том. ун-та,
1972. - 150 с.
.
Ханчук А. И. Палеогеодинамический анализ формирования рудных месторождений
Дальнего Востока России: рудные месторождения континентальных окраин / А. И.
Ханчук. - Владивосток : Дальнаука, 2000. - Вып. 1. - C.
5-34.
.
Ханчук, А. И. Тектоника и магматизм палеотрансформных континентальных окраин
калифорнийского типа на Востоке России. Общие вопросы тектоники. Тектоника
России: материалы XXXIII
тектон. совещ. / А. И. Ханчук. - М. : ГЕОС, 2000. С. 544-547.
.
Шипулин, Ф. К. Интрузивные породы юговосточного Приморья и связь с ними
орудениения / Шипулин, Ф. К. - Тр. ИГЭМ.
1957. - Вып.
3. - 280 с.
.
Andean magmatism: chemical and isotopic constraints / eds E. S. Harmon, B. A.
Barreiro. - Nartwich : Shiva Publ., 1984. - 250 p.
.
Boynton, W. V. Geochemistry of rare earth elements: meteorite studies / W. V.
Boynton [et. al.]. - Rare earth elements geochemistry. Elsevir : Acad. Press.
1984. P. 63-114.
.
Debon, F., Le Fort. P. A chemical-mineralodgical classification of common
plutonic rocks and associations / F. Debon, P. Le Fort. - Trans. Roy. Soc.
Edinburg : Earth Sci. 1983. - V. 73. - P. 135149.
.
Gerdes, A. Post-collisional granite generation and HT-LP metamorphism by
radiogenic heating: the Variscan South Bohemian Batholith / A. Gerdes, G.
Worner, A. Henk. - J. : Geol. Soc. London. 2000. - V. 157. - P. 577-587.
.
Grove T.L. Origin of calc- alkaline series lavas at Medicine Lake volcano by
fractionation, assimilation and mixing / T. L.Grove, D. C. Gerlach, T. W.
Sando. - Contrib : Mineral. Petrol. 1982. - V. 80. - P. 160-182.
.
Hickey, V.R. Geochemical variation in Andean basaltic and silicic lavas from
Villarica-Latin volcanic chain (39.5° S): an evolution of source heterogeneity,
fractional crystallization and crustal assimilation / V. R. Hickey [at al.]. -
Contrib : Miner. Petrol. 1989. - V. 103. - P. 161-186.
.
Lipman, P. W. Evolution of silicic magma in the upper crust: the Mid-Tertiary
Latir volcanic field and its cogenitic granitic batholith, northern New Mexico
U.S.A. / P. W. Lipman. - Trans. Roy. Soc. Edinburg : Earth Sci. 1988. - V. 79.
- P. 215-288.
.
Pearce, J. A. Trace element discrimination diagrams for the tectonic
interpretation of granitic rocks / J. A. Pearce, N. B. W. Harris, A. G. Tindle.
- J. : Petrol. 1984. - V. 25. - P. 956-983.
.
Weaver, B. Empirical approach to estimating the composition of continental
crust / B. Weaver, J. Tarney. - Nature. 1994. - N 310. - P. 575-577.
.
Wood D. A. The application of a Th-Hf-Ta diagram to problem of tectonomagmatic
classification and to establishing the nature of crustal contamination of
basaltic lavas of the British Tertiary volcanic province / D. A. Wood. - Earth
Planet. Sci. Lett. 1980. - V. 50. - P. 11-30.