|
1
|
Euro-Pattern Smart Investments
<#"885089.files/image020.jpg">
Для
Zapad <#"885089.files/image021.jpg">.
Для Work only USDRUB Script v9.0 <#"885089.files/image022.jpg">5,57
Для Nikolay Tsepelev
1,67
Для
Freya <#"885089.files/image026.jpg">1,33
Для
Only USDRUB VSV Group
16,33
Для Standard Model VSV Group
<#"885089.files/image030.jpg">1,9
Для
Pavlik77
1,76
Для
Peak <#"885089.files/image034.jpg">2,33
Для
POCT <#"885089.files/image036.jpg">1,9 .
ПАММ-счета
в рейтинге в соответствии с полученным коэффициентом риска потери вложений.
Полученные данные представлены в таблице 2.
Таблица
2
Рейтинг риска потери вложений
|
Место
|
Название счета
|
Коэффициент риска потери вложений
|
|
1
|
Zapad
|
0,05
|
|
2
|
Euro-Pattern Smart Investments
|
0,07
|
|
3
|
Freya
|
1,33
|
|
4
|
Nikolay Tsepelev
|
1,67
|
|
5
|
Pavlik77
|
1,76
|
|
6
|
POCT
|
1,90
|
|
7
|
Standard Model VSV Group
|
1,90
|
|
8
|
Peak
|
2,33
|
|
9
|
Work only USDRUB Script v9.0
|
5,58
|
|
10
|
Only USDRUB VSV Group
|
16,33
|
В соответствии с данными таблицы 2 можно сделать вывод, полученные
коэффициенты риска потери вложений изменили рейтинг ПАММ-счетов.
Наименее рискованными ПАММ-счетами являются счета Zapad и Euro-Pattern Smart Investments.
Инвестирую в них, инвестор рискует потерять весь свой капитал в разы меньше,
чем инвестирую в остальные счета из списка топ-10 ПАММ-счетов.
Наиболее рискованными ПАММ-счетами являются счета Work only USDRUB Script v9.0 и Only USDRUB VSV Group. Инвестирую в них, инвестор
рискует потерять весь свой капитал гораздо больше, чем инвестирую в остальные
счета из списка топ-10 ПАММ-счетов.
3.2 Коэффициент
компетентности управляющего ПАММ-счетом
Коэффициент компетентности управляющего ПАММ-счетом - это коэффициент,
отражающий в себе консолидированную форму ряда показателей торговли
управляющего и показателей текущего состояния счета. Рассчитывается коэффициент
компетентности управляющего ПАММ-счетом по формуле
(3)
где коэффициент компетентности управляющего;
коэффициент мобильности средств;
коэффициент среднедневного прироста капитала;
коэффициент убыточных дней;
коэффициент доверия инвесторов;
коэффициент вознаграждения управляющего;
коэффициент отношения риск доходность;
нисходящий риск;
При инвестициях в ПАММ-счетах важную роль играет своевременный ввод и
вывод средств на счет и со счета, и чем короче промежуток времени между подачей
заявки на ввод, вывод средств и её исполнением, тем больше шансов у инвестора
вовремя ввести или вывести свои средства со счета. Коэффициент мобильности
средств показывает, на сколько быстро согласно оферте управляющий исполняет
заявки на ввод или вывод средств инвестора. Максимальное значение коэффициента
означает, что средства на счету максимально мобильны и инвестор может вывести
их с ПАММ-счета за предельно короткий срок. Коэффициент мобильности средств
рассчитывается по формуле
(4)
где чисто временных интервалов для ввода, вывода средств;
максимально число временных интервалов для ввода, вывода
средств на торговой площадке.
Коэффициент среднедневного прироста капитала показывает отношения
среднедневного убытка к среднедневной прибыли и рассчитывается по формуле
(5)
где среднедневной убыток;
среднедневная прибыль.
Коэффициент убыточных дней показывает отношения количества убыточных дней
к количество прибыльных дней за весь период торговли, рассчитывается по формуле
(6)
где количество убыточных дней;
количество прибыльных дней.
Чем больше средств инвесторов на счету у управляющего, тем большую
степень доверия заслуживает управляющий, так как другие инвесторы считают
инвестировать средства в его счет достаточно безопасно. Коэффициент доверия
инвесторов показывает отношения максимального количества средств в управлении
трейдера на всей ПАММ-площадке за вычетом капитала управляющего этим счетом к
текущим средствам на счету оцениваемого управляющего, за вычетом капитала
оцениваемого управляющего, рассчитывается по формуле
(7)
где наибольшее значение средств в управлении на ПАММ-площадке;
капитал управляющего с максимальным количеством средств в
управлении на ПАММ-площадке;
средства в управлении оцениваемого управляющего;
капитал оцениваемого управляющего.
Важным фактором при оценке ПАММ-счета является процент вознаграждения
управляющего согласно оферте. Чем больше вознаграждение управляющего, тем
меньшую прибыль получает инвестор при неизменном риске. Коэффициент
вознаграждения рассчитывается по формуле
(8)
где вознаграждение управляющего на оцениваемом счету;
максимально возможное вознаграждение на ПАММ-площадке.
Соотношения риска и доходности для инвестора должно быть, как минимум в
несколько раз различаться. Если инвестор рискует потерять весь свой капитал, то
он должен делать, это с надеждой увеличить его в три, четыре раза. Коэффициент
соотношения риска и доходности показывает соотношения максимального дневного
убытка к максимальной дневной прибыли, рассчитывается по формуле
(9)
где максимальный дневной убыток;
максимальная дневная прибыль.
Каждому инвестору важно, чтобы прибыль, которую он рассчитывает получить
от ПАММ-счета, была выше темпов инфляции и прибыли от менее рискованных
вложений т.к. средняя ставка по депозитам в банках. Для этого на странице
интересующих нас ПАММ-счетов дан показатель нисходящий риск, который показывает
вероятность, что инвестиции в ПАММ-счет принесут менее 10% годовых.
Топ-10 ПАММ-счетов в рейтинге торговой площадки Альпари:
) Zapad;
2) Work only USDRUB Script v9.0
<#"885089.files/image066.jpg">
Рисунок
7 - График исполнения заявок счета Zapad
Как видно на графике на счете Zapad 5 открытых ролловеров в день при максимальном количестве 24. По формуле
(4) коэффициент мобильности средств
;
На странице счета находим значение среднедневного убытка 1,26% и
среднедневной прибыли 2,35, на основе этих данных посчитаем коэффициент
среднедневного прироста капитала по формуле (5)
;
Для определения коэффициента убыточных дней необходимо со страницы
ПАММ-счета скачать таблицу данных о ежедневном изменении состояния счета и
посчитать количество убыточных и количество прибыльных дней за весь срок жизни
счета. Результаты подсчета таковы за все время торговли счет имел 513
прибыльных дней и 222 дня терпел убытки, коэффициент убыточных дней,
рассчитанный по формуле(6)
Определим максимальное количество средств инвесторов на счету
управляющего в рамках торговой площадки. Для этого сделаем сортировку всех счетов
в рейтинге по убыванию от максимального количества средств в управлении,
полученный результат представлен на рисунке 8
Рисунок
8 - Рейтинг счетов с максимальным количеством средств
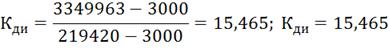
На рисунке видно, что счет с максимальным количеством средств Freya. На счету этого счета 3349963
долларов США, из которых 3000 долларов США капитал управляющего.
На счете Zapad 219420
долларов США при капитале управляющего 3000 долларов США. Эти данные дают
возможность посчитать коэффициент доверия инвесторов по формуле (7)
Управляющие на торговой площадке в оферте могут поставить максимальную
просадку в размере 50% от прибыли инвесторов, на оцениваемом ПАММ-счете
вознаграждение при минимальном депозите равно 50%, исходя из этого коэффициент
вознаграждения управляющего согласно формуле (8) равен
На странице ПАММ-счета Zapad
указан максимальный дневной убыток 13,33% и максимальная дневная прибыль
45,42%, Коэффициент соотношения риска и доходности по формуле (9)
Нисходящий риск равен 0,72
Итого коэффициент компетентности управляющего согласно формуле (3) равен
Чем ближе значение коэффициента компетентности управляющего к нулю, тем
выше шанс того что управляющий будет стабильно приносить прибыль инвесторам.
Исходные
данные для расчета коэффициента компетентности управляющего счетом Work only
USDRUB Script v9.0 <#"885089.files/image077.jpg">
Рисунок
9 - График исполнения заявок счета Work only USDRUB Script v9.0
<#"885089.files/image078.jpg">
На странице счета находим значение среднедневного убытка 1,26% и
среднедневной прибыли 2,35, на основе этих данных посчитаем коэффициент
среднедневного прироста капитала по формуле (5)
;
Коэффициент убыточных дней. Результаты подсчета таковы за все время
торговли счет имел 156 прибыльных дня и 93 дня терпел убытки, коэффициент
убыточных дней, рассчитанный по формуле(6)
На
счете Work only USDRUB Script v9.0 <#"885089.files/image082.jpg">
На
оцениваемом ПАММ-счете вознаграждение при минимальном депозите равно 50
процентам, исходя из этого коэффициент вознаграждения управляющего согласно
формуле (8) равен
На
странице ПАММ-счета указан максимальный дневной убыток 11,17% и максимальная
дневная прибыль 40,26%, Коэффициент соотношения риска и доходности по формуле
(9)
Нисходящий
риск равен 1,1
Итого
коэффициент компетентности управляющего согласно формуле (3) равен
Исходные
данные для расчета коэффициента компетентности управляющего счетом Moriarti
support lines <#"885089.files/image086.jpg">
Рисунок
10 - График исполнения заявок счета Moriarti support lines
<#"885089.files/image087.jpg">
На странице счета находим значение среднедневного убытка 1,87% и
среднедневной прибыли 4,28 на основе этих данных посчитаем коэффициент
среднедневного прироста капитала по формуле (5)
Коэффициент убыточных дней. Результаты подсчета таковы за все время
торговли счет имел 42 прибыльных дня и 30 дня терпел убытки, коэффициент
убыточных дней, рассчитанный по формуле(6)
На
счете Moriarti support lines <#"885089.files/image090.jpg">.
На
оцениваемом ПАММ-счете вознаграждение при минимальном депозите равно 40%,
исходя из этого коэффициент вознаграждения управляющего согласно формуле (8)
равен
На
странице ПАММ-счета указан максимальный дневной убыток 11,17% и максимальная
дневная прибыль 40,26%, Коэффициент соотношения риска и доходности по формуле
(9)
Нисходящий
риск равен 0,17
Итого
коэффициент компетентности управляющего согласно формуле (3) равен
Исходные
данные для расчета коэффициента компетентности управляющего счетом Euro-Pattern
приведены в приложении Г.
Для
ПАММ-счета Euro-Pattern коэффициент мобильности средств. Для его определения
необходимо ознакомится с графиком исполнения заявок, который предоставлен на
рисунке 11.
Рисунок 11 - График исполнения заявок счета Euro-Pattern
Как видно на графике, на счете один открытый ролловер в день при
максимальном количестве 24, что очень неудобно для инвесторов. По формуле (4) коэффициент
мобильности средств
На странице счета находим значение среднедневного убытка 0,69% и
среднедневной прибыли 1,32 на основе этих данных посчитаем коэффициент
среднедневного прироста капитала по формуле (5)
Коэффициент убыточных дней. Результаты подсчета таковы за все время
торговли счет имел 150 прибыльных дня и 50 дня терпел убытки, коэффициент
убыточных дней, рассчитанный по формуле(6)
На счете Euro-Pattern 229740 долларов США при капитале управляющего 3000
долларов США. Эти данные дают возможность посчитать коэффициент доверия
инвесторов по формуле (7)
.
На оцениваемом ПАММ-счете вознаграждение при минимальном депозите равно
40%, исходя из этого коэффициент вознаграждения управляющего согласно формуле
(8) равен
На странице ПАММ-счета указан максимальный дневной убыток 11,17% и
максимальная дневная прибыль 40,26%, Коэффициент соотношения риска и доходности
по формуле (9)
Нисходящий риск равен 0,31
Итого коэффициент компетентности управляющего согласно формуле (3) равен
Исходные данные для расчета коэффициента компетентности управляющего
счетом Nikolay Tsepelev приведены в приложении Д.
Для ПАММ-счета Nikolay Tsepelev коэффициент мобильности средств. Для его
определения необходимо ознакомится с графиком исполнения заявок, который
предоставлен на рисунке 12.
Рисунок 12 - График исполнения заявок счета Nikolay Tsepelev
Как видно на графике, на счете четыре открытых ролловера в день при
максимальном количестве 24. По формуле (4) коэффициент мобильности средств

Коэффициент убыточных дней. Результаты подсчета таковы за все время
торговли счет имел 97 прибыльных дня и 38 дня терпел убытки, коэффициент
убыточных дней, рассчитанный по формуле(6)
На счете Nikolay Tsepelev 41204 долларов США при капитале управляющего
3000 долларов США. Эти данные дают возможность посчитать коэффициент доверия
инвесторов по формуле (7)
.
На оцениваемом ПАММ-счете вознаграждение при минимальном депозите равно
10%, исходя из этого коэффициент вознаграждения управляющего согласно формуле
(8) равен
На странице ПАММ-счета указан максимальный дневной убыток 5,52% и
максимальная дневная прибыль 25,91%, Коэффициент соотношения риска и доходности
по формуле (9)
Нисходящий риск равен 0,17
Итого коэффициент компетентности управляющего согласно формуле (3) равен
Исходные
данные для расчета коэффициента компетентности управляющего счетом Only USDRUB
VSV Group <#"885089.files/image109.jpg">
Рисунок
13 - График исполнения заявок счета Only USDRUB VSV Group
<#"885089.files/image087.jpg">
На странице счета находим значение среднедневного убытка 3,31% и
среднедневной прибыли 7,81 на основе этих данных посчитаем коэффициент
среднедневного прироста капитала по формуле (5)
Коэффициент убыточных дней. Результаты подсчета таковы за все время
торговли счет имел 158 прибыльных дня и 102 дня терпел убытки, коэффициент
убыточных дней, рассчитанный по формуле(6)
На
счете Only USDRUB VSV Group
<#"885089.files/image112.jpg">.
На
оцениваемом ПАММ-счете вознаграждение при минимальном депозите равно 35%,
исходя из этого коэффициент вознаграждения управляющего согласно формуле (8)
равен
На
странице ПАММ-счета указан максимальный дневной убыток 19,03% и максимальная
дневная прибыль 48,01%, Коэффициент соотношения риска и доходности по формуле
(9)
Нисходящий
риск равен 1,45
Итого
коэффициент компетентности управляющего согласно формуле (3) равен
Исходные
данные для расчета коэффициента компетентности управляющего счетом MusculePamm
приведены в приложении Ж.
Для
ПАММ-счета MusculePamm коэффициент мобильности средств. Для его определения
необходимо ознакомится с графиком исполнения заявок, который предоставлен на
рисунке 14.
Рисунок 14 - График исполнения заявок счета MusculePamm
Как видно на графике, на счете 23 открытых ролловера в день при
максимальном количестве 24. По формуле (4) коэффициент мобильности средств
На странице счета находим значение среднедневного убытка 0,87% и
среднедневной прибыли 1,43 на основе этих данных посчитаем коэффициент
среднедневного прироста капитала по формуле (5)
Коэффициент убыточных дней. Результаты подсчета таковы за все время
торговли счет имел 63 прибыльных дня и 27 дня терпел убытки, коэффициент
убыточных дней, рассчитанный по формуле(6)
На счете MusculePamm 222843 долларов США при капитале управляющего 3000
долларов США. Эти данные дают возможность посчитать коэффициент доверия
инвесторов по формуле (7)
.
На оцениваемом ПАММ-счете вознаграждение при минимальном депозите равно
50%, исходя из этого коэффициент вознаграждения управляющего согласно формуле
(8) равен
На странице ПАММ-счета указан максимальный дневной убыток 4,11% и
максимальная дневная прибыль 9,17%, Коэффициент соотношения риска и доходности
по формуле (9)
Так как ПАММ-счет MusculePamm работает менее года, то расчет нисходящего
риска невозможен, в силу этого необходимо исключить нисходящий риск из формулы
коэффициента управляющего.
Итого коэффициент компетентности управляющего согласно формуле (3) равен
Исходные
данные для расчета коэффициента компетентности управляющего счетом Standard
Model VSV Group <#"885089.files/image123.jpg">
Рисунок
15 - График исполнения заявок счета Standard Model VSV Group
<#"885089.files/image102.jpg">
На странице счета находим значение среднедневного убытка 1,35% и
среднедневной прибыли 2,19 на основе этих данных посчитаем коэффициент
среднедневного прироста капитала по формуле (5)
Коэффициент убыточных дней. Результаты подсчета таковы за все время
торговли счет имел 130 прибыльных дня и 54 дня терпел убытки, коэффициент
убыточных дней, рассчитанный по формуле(6)
На
счете Standard Model VSV Group
<#"885089.files/image126.jpg">.
На
оцениваемом ПАММ-счете вознаграждение при минимальном депозите равно 50%,
исходя из этого коэффициент вознаграждения управляющего согласно формуле (8)
равен
На
странице ПАММ-счета указан максимальный дневной убыток 6,02% и максимальная
дневная прибыль 0,395%, Коэффициент соотношения риска и доходности по формуле
(9)
Нисходящий
риск равен 0,44
Итого
коэффициент компетентности управляющего согласно формуле (3) равен
Исходные
данные для расчета коэффициента компетентности управляющего счетом Pavlik77
приведены в приложении Л.
Для
ПАММ-счета Pavlik77 коэффициент мобильности средств. Для его определения
необходимо ознакомится с графиком исполнения заявок, который предоставлен на
рисунке 16.
Рисунок 16 - График исполнения заявок счета Pavlik77
Как видно на графике, на счете 24 открытых ролловера в день при
максимальном количестве 24. По формуле (4) коэффициент мобильности средств
На странице счета находим значение среднедневного убытка 1,96% и
среднедневной прибыли 1,75 на основе этих данных посчитаем коэффициент
среднедневного прироста капитала по формуле (5)
Коэффициент убыточных дней. Результаты подсчета таковы за все время
торговли счет имел 118 прибыльных дня и 37 дня терпел убытки, коэффициент
убыточных дней, рассчитанный по формуле(6)
На счете Pavlik77 235126 долларов США при капитале управляющего 3000
долларов США. Эти данные дают возможность посчитать коэффициент доверия
инвесторов по формуле (7)
.
На оцениваемом ПАММ-счете вознаграждение при минимальном депозите равно
50%, исходя из этого коэффициент вознаграждения управляющего согласно формуле
(8) равен
На странице ПАММ-счета указан максимальный дневной убыток 6,02% и
максимальная дневная прибыль 0,395%, Коэффициент соотношения риска и доходности
по формуле (9)
Так как ПАММ-счет Pavlik77 работает менее года, то расчет нисходящего
риска невозможен, в силу этого необходимо исключить нисходящий риск из формулы
коэффициента управляющего.
Итого коэффициент компетентности управляющего согласно формуле (3) равен
Исходные данные для расчета коэффициента компетентности управляющего
счетом Only USDRUB VSV Group приведены в приложении М.
Для ПАММ-счета Only USDRUB VSV Group коэффициент мобильности средств. Для
его определения необходимо ознакомится с графиком исполнения заявок, который
предоставлен на рисунке 17.
Рисунок 17 - График исполнения заявок счета Only USDRUB VSV Group
Как видно на графике, на счете 24 открытых ролловера в день при
максимальном количестве 24. По формуле (4) коэффициент мобильности средств
На странице счета находим значение среднедневного убытка 3,25% и среднедневной
прибыли 7,89 на основе этих данных посчитаем коэффициент среднедневного
прироста капитала по формуле (5)
Коэффициент убыточных дней. Результаты подсчета таковы за все время
торговли счет имел 158 прибыльных дня и 104 дня терпел убытки, коэффициент
убыточных дней, рассчитанный по формуле(6)
На счете Only USDRUB VSV Group 29970 долларов США при капитале
управляющего 5000 долларов США. Эти данные дают возможность посчитать коэффициент
доверия инвесторов по формуле (7)
.
На оцениваемом ПАММ-счете вознаграждение при минимальном депозите равно
35%, исходя из этого коэффициент вознаграждения управляющего согласно формуле
(8) равен
На странице ПАММ-счета указан максимальный дневной убыток 19,03% и
максимальная дневная прибыль 48,01%, Коэффициент соотношения риска и доходности
по формуле (9)
Нисходящий риск равен 1,45
Итого коэффициент компетентности управляющего согласно формуле (3) равен
ПАММ-счета в рейтинге в соответствии с полученным коэффициентом
компетентности управляющего ПАММ-счетом. Полученные данные представлены в таблице
5.
Таблица 5
Рейтинг компетентности управляющих ПАММ-счетами
|
Место в рейтинге
|
Название счета
|
Коэффициент компетентности управляющего
|
|
1
|
Pavlik77
|
0,58
|
|
2
|
Freya
|
1,034
|
|
3
|
Standard Model VSV Group
|
2,112
|
|
4
|
POCT
|
2,676
|
|
5
|
Zapad
|
3,773
|
|
6
|
Work only USDRUB Script v9.0
|
4,797
|
|
7
|
Euro-Pattern Smart Investments
|
5,945
|
|
8
|
Nikolay Tsepelev
|
8,722
|
|
9
|
Only USDRUB VSV Group
|
14,605
|
|
10
|
Peak
|
102,792
|
Как видно из таблицы 5, рейтинг ПАММ-счетов претерпел значительный
изменения. Лучшим в данном рейтинге стал ПАММ-счет с названием Pavlik77, который в стандартном рейтинге
ПАММ-счетов занимал пятое место, инвестировав средства в этом ПАММ-счетом
инвесторы с наибольшей вероятность получат прибыль. Худшим в рейтинге стал
ПАММ-счет Peak co значением коэффициента компетентности управляющего 102,792,
что говорит что инвестор, выбирая данный счет, рискует в большей степени, чем
инвесторы, которые инвестируют в другие ПАММ-счета из этого рейтинга.
4. Методы технического анализа ПАММ-счетов
4.1 Определение
точек входа и выхода с помощью индикаторов на графиках скользящей средней и MACD
На основе данных из приложения А о состояние счета за период с 12.05.2009
по 21.11.2014 был построен график доходности. Как видно на рисунке 18,
ПАММ-счет за последние 5 лет имеет синусоидальный характер, в истории счета
присутствуют как длительный цикла получения дохода, так и длительные циклы
просадки. В настоящий период времени счет находится в стадии восстановления
после просадки, которая продолжалась 09.09.14 по 06.11.14.
Рисунок 18 - График нарастающей доходности
Так как оценить перемены в ПАММ-счете по графику нарастающей доходности
достаточно сложно, график интервальной доходности, доходность которого
определяется по формуле
(10)
где - доходность на настоящую дату,
- значение доходности на дату начала оцениваемого интервала,
- значение доходности на конец оцениваемого интервала.
На рисунке 19 представлен график месячных результатов с более точным
изображением динамики роста ПАММ-счета. Из графика видно, что самый большой
месячный доход 40,51% на ПАММ-счете был в сентябре 2009 года, а так же что в 27
сентября 2010 года ПАММ-счет достиг максимальной просадки -24,13%. В настоящий
момент месячная доходность счета отрицательная.
Рисунок 19 - Интервальная доходность
Для более наглядного изображения состояния счета необходимо построить
скользящую среднюю для графика интервальной доходности. Точки на графике
скользящей средней определяются, среднее арифметическое за оцениваемый период.
График скользящей средней представлен на рисунке 20.
Из показаний графика можно заключить, что лучший уровень
доходности за период 75 дней был в 2009 году, в последующие годы доходность
счета стала вдвое меньше на уровне 7,5% с одновременным увеличением
максимальной просадки с 5% до 10%. В настоящий момент средняя месячная
доходность за период 75 дней отрицательная.
Далее были рассмотрены максимальные просадки на графике скользящей
средней, как индикаторы ввода средств на счет управляющего, а пики доходности,
как индикаторы вывода средств. Посчитан возможный процент прибыли за рассматриваемые
периоды инвестирования. Полученные результаты приведены в таблице 6.
Рисунок 20 - График скользящая средней
Таблица 6
Данные анализа графика скользящей средней
|
Период инвестирования
|
Значение на начало периода%
|
Значение на конец периода%
|
Полученный доход (убыток)%
|
|
|
|
|
|
29.07.09-02.12.09
|
114,6
|
221,33
|
106,73
|
|
23.03.10-01.09.10
|
193,8
|
298,26
|
104,46
|
|
16.11.10-24.01.11
|
230,96
|
247,2
|
16,24
|
|
04.04.11-11.07.11
|
192,16
|
240,23
|
48,07
|
|
11.10.11-29.12.11
|
169,98
|
212,57
|
42,59
|
|
17.05.12-01.12.12
|
168,93
|
232,24
|
63,31
|
|
05.02.13.-05.05.13
|
259,22
|
315,73
|
56,51
|
|
22.07.13-19.11.13
|
223,12
|
287,54
|
64,42
|
|
02.05.14-07.10.14
|
290,62
|
339,37
|
48,75
|
|
Итого
|
-
|
-
|
551,08
|
Из данных таблицы 20 можно сделать вывод, в 2009 и 2010 можно было
удвоить инвестируемый капитал. В последующие периоды средняя доходность
анализируемых периодов в среднем составила 53%. Суммарный доход, который мог бы
получить инвестор, составил 551%.
Был построен график для индикатора схождения и расхождения, скользящих
средник MACD (Moving Average Convergence/ Divergence). Точки на графике определяются
следующим методом, строятся две скользящие средние, быстрая с периодом 75 дней
и медленная с периодом 150 дней. Точки на графике MACD равны разнице между точками быстрой и медленной скользящих
средних.
На финансовых рынках MACD показывает скорость, изменения цен. И чем
больше эта разница, тем быстрее меняется цена. Но когда разница начинает
уменьшаться, это сигнал, что тренд становится слабее - а значит, ситуация может
измениться на противоположную. График MACD на основе данных приложения 1. Если быстрая средняя выше медленной -
тренд положительный, а если ниже - отрицательный. Полученный график приведен на
рисунке 21.
Рисунок 21 - График MACD
Когда MACD больше 0%, это значит, что доходность за три месяца растет
быстрее, чем за шесть. На практике это означает, что ПАММ-счет сейчас находится
в более благоприятной фазе роста, чем три месяца назад и на нем, в общем-то,
можно заработать больше именно сейчас.
Были рассмотрены максимальные просадки на графике MACD, как индикаторы ввода средств на
счет управляющего, а вершины графика, как индикаторы вывода средств. И посчитан
возможный процент прибыли за рассматриваемые периоды инвестирования. Полученные
результаты приведены в таблице 7
Таблица 7 - Анализ доходности по графику MACD
|
Период инвестирования
|
Значение на начало периода%
|
Значение на конец периода%
|
Полученный доход (убыток)%
|
|
|
|
|
|
1
|
2
|
3
|
4
|
|
15.07.09-26.11.09
|
117,9
|
212,4
|
94,5
|
|
23.03.10-15.06.10
|
193,8
|
247,8
|
54
|
|
19.11.10-11.02.11
|
217
|
227,2
|
10,2
|
|
04.04.11-12.07.11
|
192,16
|
248,35
|
56,19
|
|
23.03.12-28.09.12
|
165,47
|
211,5
|
46,03
|
|
12.02.13-02.05.13
|
193,58
|
236,26
|
42,68
|
|
26.07.13-18.11.13
|
222,48
|
289,03
|
66,55
|
|
05.02.14-26.03.14
|
267,2
|
315,73
|
48,53
|
|
25.04.14-07.10.14
|
312,03
|
299,46
|
-12,57
|
|
Итого
|
-
|
-
|
406,11
|
Из данных таблицы 1 можно сделать вывод, в 2009 можно было удвоить
инвестируемый капитал. В последующие периоды средняя доходность анализируемых периодов
в среднем составила 52%. В последнем анализируемом периоде наблюдается убыток,
что может быть связано с тем, что рост MACD обусловлен более медленной просадкой депозита, чем 3
месяца назад. Суммарный доход, который мог бы получить инвестор, составил 406%.
Сравнивая два индикатора скользящую среднею и MACD, можно сделать вывод, что индикатор скользящей
средней более маневренный в связи с анализом небольшого периода. МACD же является индикатором для
долгосрочных вкладов, чем способствует большему объему упущенной выгоды.
5. Стратегия
ПАММ-инвестирования
5.1 Периодическая
ребалансировка портфеля ПАММ-счетов
Поле того, как инвестор с помощью различных методов
оценки ПАММ-счетов выбрал лучшие, заключительным этапом в принятии решения о
инвестировании, является определение оптимальной стратегии инвестирования.
Первое стратегическое решения, которое придется
применять инвесторам - диверсификация его средств по разным ПАММ-счетам и даже
ПАММ-площадкам. Лучшее решение - это сочетание в портфеле консервативных,
умеренных и агрессивных счетов. Большую часть портфеля следует доверить
консервативным управляющим, а меньшую - агрессивным, так как их относительная
потенциальная доходность выше, может сравняться с доходностью консервативных
счетов, а в случае просадки не скажется серьезно на состоянии портфеля
инвестора.
Еще один метод диверсификации риска инвесторов,
диверсификация счетов по валюте, у многих трейдеров имеются счета с одинаковой
стратегией и открытые в разных валютах. Если часть портфеля будет вложена в
евро и рублевые счета, то инвестор будет подготовлен к изменениям курса
доллара.
Вторым решением в стратегии станет временной период,
на который инвестор готов вложить свои средства - горизонт инвестирования. Это
решение он принимаете на основании его лично финансового плана и результатов,
которые он хочет получить от вклада.
Горизонт бывает краткосрочным (до месяца),
среднесрочным (от нескольких месяцев до года) и долгосрочным (более года).
Более того горизонт может варьироваться для разных частей портфеля [17].
На распределении средств по счетам и площадкам участие
в работе финансов не заканчивается. Грамотный инвестор отслеживает состояние
своего портфеля на протяжении всего срока инвестирования: регулярно
пересматривает его составляющие и совершает ребалансировку, если это
необходимо.
Здесь возможны несколько тактик - совокупность
приемов, которые можно использовать для периодического перераспределения
финансов для максимизации дохода своего портфеля: ребалансировка, калибровка по
просадке, распределенный вход и скальпинг.
Периодическая ребалансировка портфеля. Если
инвестор имеет равные доли по 1000 долларов США в 2 ПАММ-счетах. Через месяц он
проверяет результаты и видите, что какие-то из них принесли больше прибыли,
какие-то меньше, какие-то ушли и вовсе находятся в просадке. Пример 1: Есть 2
счета ПАММ1 = 1000 и ПАММ2 = 1000 долларов США, их сумма составляет 2000
долларов США. После первого торгового периода инвестор увеличил счет ПАММ1 на
500 и счет ПАММ2 на 2000 долларов США, следовательно на обоих счетах 4500
долларов США. Завершился второй торговый период и теперь счет ПАММ1 = 3500 и
счет ПАММ2 = 1500 долларов США, что в сумме 5000 долларов США. После третьего
торгового периода суммы на счетах составили на счете ПАММ1 4000 и на счете
ПАММ2 3200 долларов США, что в сумме 7200 долларов США.
Со временем агрессивные счета по размеру могут догнать
консервативные, а значит, относительная угроза для портфеля от них увеличится.
Значит необходимо проводить периодическое перераспределение средств таким образом,
чтобы доли снова стали в первоначальном соотношении.
Преимущества ребалансировки на примере представленны
на рисунке 22. Два счета имеют следующий график прибыли (точками выделены
окончания торговых периодов):
Цифры на оси ординат показывают баланс счета в
долларах, изначально на каждом счету было по 1000.
Если бы инвестор пользовался ребалансировкой в конце
каждого периода таким образом, что средств на счетах снова становилось поровну.
Пример 2: Снова 2 счета ПАММ1=1000 и ПАММ2=1000, их сумма составляет 2000
долларов США. После первого торгового периода инвестор увеличил счет ПАММ1 на
500 и счет ПАММ2 на 2000 долларов США, следовательно на обоих счетах 4500
долларов США. Инвестор проводит ребалансировку до равных долей по 2250 долларов
США на каждом счете. Завершился второй торговый период и теперь счет ПАММ1=5250
и счет ПАММ2=1125 долларов США, что в сумме 6375 долларов США. Инвестор снова
делает, ребалансировку на каждом счете стало по 3187,5 долларов США. После
третьего торгового периода суммы на счетах составили на счете ПАММ1 3642 и на
счете ПАММ2 6798 долларов США, что в сумме 10440 долларов США.
<#"885089.files/image149.jpg"> <#"885089.files/image150.jpg"> <http://doctor-invest.ru/pamm-investirovanie/pamm-skalping/>
Рисунок 24 - Моменты входа и выхода в ПАММ-счете при Скальпинге
Волатильный счет предоставляет много возможностей для
скальпинга. Так же отличным место для Скальпинга и слишком агрессивные счета,
доходность на которых превышает 300% за последние месяцы. Разгонные счета, которые
в первые же недели показывают хорошие результаты. Но их скальпирование стоит
производить крайне осторожно, обязательно используя механизмы ограничения
убытков, так как по статистике такие счета намного чаще разоряются, чем
проходят в топ.
инвестиция счет рынок форекс
Выводы
Исследование понятие ПАММ-счетов помогло вывести определение, наиболее
точно отражающие их сущность. ПАММ-счета - специфичный механизм
функционирования торгового счета, технически упрощающий процесс передачи
средств на торговом счете в доверительном управлении выбранному доверенному
управляющему для проведения операций на финансовых рынках. У каждого ПАММ-счета
есть управляющий. У одного управляющего может быть несколько ПАММ-счетов. Все
взаимодействия между инвесторами и управляющими осуществляются через
компанию-брокера, которая предоставляет на своем сайте все необходимые
инструменты и сервисы для управления и мониторинга. Инвестор, заключающий
договор с ПАММ-счетом выделяет определенную часть своих средств, которые
начинают участвовать во всех сделках, заключаемых управляющим.
ПАММ-счетам, как и любому виду инвестирования присущи некоторое группы
рисков, основными рисками для ПАММ-счетов являются: риск эффекта кредитного
плеча, технический риск, правовой и социально-политический риск, не торговый
риск, торговый риск.
Инвестиции в ПАММ-счета на рынке Форекс никогда не
дают стопроцентной гарантии сохранности капитала. Иными словами, риск есть
всегда, но его практически всегда возможно свести к минимуму. Именно поэтому
эксперты в области инвестирования и опытные инвесторы рекомендуют выбирать
ПАММ-счёт управляющего трейдера по определённым критериям. Основные критерии:
) возраст управляемого счета;
2) доходность ПАММ-счета;
) собственный капитал управляющего;
) совокупный капитал инвесторов на счету
управляющего;
) торговый период ПАММ-счета;
) распределение прибыли на ПАММ-счете;
) отзывы реальных инвесторов;
) загрузка депозита;
) стратегия торговли управляющего
) риск
Важным этапом в выборе управляющего на ПАММ-площадке,
является определение его торговой стратегии, так как правильно определенная
торговая стратегия дает информацию инвестору о соотношении риска и доходности
счета. Есть четыре основные торговые стратегии:
) Мартингейл;
2) Усреднение убыточных позиций;
) Скальпинг;
) Трендовая торговля.
Самый высокий доход показывают управляющие с торговой
стратегией Скальпинг, но в то же время этой торговой стратегии присущи самые
высокий уровень риска.
В ходе исследования были разработаны два значимых для
инвестора коэффициента с разными целями их расчета. Коэффициент риска потери
вложений в ПАММ-счет помогает инвестору сравнивать управляющих, исходя из
статистических данных по всем существующим счетам на торговой площадке. Данный
коэффициент показывает величину риска инвестора потерять весь свой капитал,
инвестируя в выбранный им счет.
Коэффициент компетентности управляющего ПАММ-счетом -
это коэффициент, отражающий в себе консолидированную форму ряда показателей
торговли управляющего и показателей текущего состояния счета. Динамика роста
доходности счета Pavlik77,
занявшего первое место в рейтинге показала, что за 3 последних месяца
инвесторы, вложившие свой капитал в данный ПАММ-счет получили доход в размере
22,3%, а счет, занявший второе место Freya 61,2%. Из полученных результатов можно заключить вывод, что оптимальным
значения коэффициента компетентности управляющего является значение от 0 до 1.
После того, как инвестор с помощью критериев выбора
ПАММ-счета и коэффициентного метода оценки счетов определился куда
инвестировать, перед ним встает вопрос куда инвестировать, его решением
становится технический анализ графиков ПАММ-счетов. Проведенные расчеты
показали, что наиболее точными индикаторами ввода и вывода средств является
точки на графике скользящей средней. Проведенные расчеты показали, что
инвесторов, использовавший в качестве индикаторов ввода и вывода средств
экстремумы на графике скользящей средней получил на 145% прибыли больше, чем
инвестор, использовавший экстремумы MACD.
Заключительная задача для инвестора определить тактику
инвестирования, а именно, сколько и с какой периодичностью инвестировать. Одной
из наиболее разумных тактик инвестирования является рабалансировка портфеля
ПАММ-счетов. Этот тактика позволит инвестору снижать риск заработанного дохода
и уменьшить время выхода из просадки убыточных счетов. Сравнительные примеры
расчета прибыли при различных стратегиях инвестирования, показал, что инвестор,
использующий стратегию ребалансировки портфеля при равных условиях получает
прибыли на 45% больше, чем инвестор, использующий классическую стратегию
инвестирования.
Набор методик в данной работе позволит инвестору
существенно снизить риски инвестирования в ПАММ-счета, а так же упростит задачу
выбора счетов и времени инвестирования в них.
Список
использованных источников
1. Федоров
А.В. Анализ финансовых рынков и торговля финансовыми активами. - М.: Форекс
Клуб, 2007.
2. Жвалюк
Ю.В. Внутренняя торговля на рынке Форекс. - М.: Питер, 2001.
. Калмыкова
Л.И. Фундаментальный анализ финансовых рынков. - М.: Питер, 2007.
. Журавель
В.А. Управление капиталом на рынке Форекс - М.: Форекс Клуб, 2012.
. Федоров
А.В. Основы финансовых инвестиций. - М.: Питер, 2009.
. Сафин
В.И. Внутридневная торговая система. - М.: Питер, 2003.
. Соколов
А.Н. Рынок Форекс: руководство пользователя. - М.: СмартБук, 2012.
. Гребенщиков
С.И. Как делать деньги на Форекс. - М.: Альпина Публишер, 2014.
. Морозов
И.В. Форекс: от простого к сложному. - М.: Альпина Публишер, 2014.
. Кондаков
К.Г. Учимся зарабатывать на Форекс. - М.: Бослен, 2012.
. Акелис
С.Б. Технический анализ от А до Я. - М.: Евро, 2010.
. Джек
Д. Швагер Технический анализ. - М.: Альпина Публишер, 2014.
. Рик
Бенгигнор Новое мышление в техническом анализе. - М.: Интернет-Трейдинг, 2002.
. Роберт
Колби Энциклопедия технических индикаторов рынка. - М.: Альпина Публишер, 2014.
. Финансовая
энциклопедия
. График
доходности
. Сем
Эдер Простое исполнение // Forex Magazine. - 2015.
- №563.
. Методическое
указание к оформлению выпускных квалификационных работ №2108: Учеб. пособие //
Картеникова Н.В., Гудилин А.А.- М.: МИСиС, 2012.
Приложение А
Мониторинг
средств ПАММ-счета Zapad
Таблица А.1
Мониторинг средств ПАММ-счета Zapad
|
Дата
|
Доходность
|
|
open
|
high
|
low
|
close
|
|
1
|
2
|
3
|
4
|
5
|
|
27.02.2012
|
0,00
|
13,10
|
0,00
|
13,10
|
|
28.02.2012
|
13,10
|
40,30
|
8,86
|
14,93
|
|
29.02.2012
|
14,93
|
30,73
|
14,93
|
30,73
|
|
01.03.2012
|
30,73
|
30,73
|
13,30
|
13,30
|
|
02.03.2012
|
13,30
|
20,66
|
-46,70
|
|
05.03.2012
|
20,66
|
33,36
|
-1,14
|
33,36
|
|
06.03.2012
|
33,36
|
46,70
|
33,36
|
46,70
|
|
07.03.2012
|
46,70
|
46,70
|
-14,27
|
46,70
|
|
08.03.2012
|
46,70
|
117,93
|
37,43
|
113,33
|
|
09.03.2012
|
113,33
|
150,66
|
107,79
|
147,92
|
|
12.03.2012
|
147,92
|
147,92
|
147,92
|
147,92
|
|
13.03.2012
|
147,92
|
147,92
|
147,92
|
147,92
|
|
14.03.2012
|
147,92
|
147,92
|
147,92
|
147,92
|
|
15.03.2012
|
147,92
|
147,92
|
147,92
|
147,92
|
|
16.03.2012
|
147,92
|
147,92
|
147,92
|
147,92
|
|
19.03.2012
|
147,92
|
147,92
|
147,92
|
147,92
|
|
20.03.2012
|
147,92
|
147,92
|
147,92
|
147,92
|
|
21.03.2012
|
147,92
|
147,92
|
147,92
|
147,92
|
|
22.03.2012
|
147,92
|
147,92
|
147,92
|
147,92
|
|
23.03.2012
|
147,92
|
147,92
|
147,92
|
147,92
|
|
26.03.2012
|
147,92
|
147,92
|
147,92
|
147,92
|
|
27.03.2012
|
147,92
|
147,92
|
147,92
|
147,92
|
|
28.03.2012
|
147,92
|
147,92
|
147,92
|
147,92
|
|
29.03.2012
|
147,92
|
147,92
|
147,92
|
147,92
|
|
30.03.2012
|
147,92
|
147,92
|
147,92
|
147,92
|
|
02.04.2012
|
147,92
|
147,92
|
147,92
|
147,92
|
|
03.04.2012
|
147,92
|
147,92
|
147,92
|
147,92
|
|
04.04.2012
|
147,92
|
147,92
|
147,92
|
147,92
|
|
05.04.2012
|
147,92
|
147,92
|
147,92
|
147,92
|
|
06.04.2012
|
147,92
|
147,92
|
147,92
|
147,92
|
|
09.04.2012
|
147,92
|
147,92
|
147,92
|
147,92
|
|
10.04.2012
|
147,92
|
147,92
|
147,92
|
147,92
|
|
11.04.2012
|
147,92
|
147,92
|
147,92
|
147,92
|
|
12.04.2012
|
147,92
|
147,92
|
147,92
|
147,92
|
|
13.04.2012
|
147,92
|
147,92
|
147,92
|
147,92
|
|
16.04.2012
|
147,92
|
152,05
|
143,98
|
151,90
|
|
17.04.2012
|
151,90
|
151,90
|
151,90
|
151,90
|
|
18.04.2012
|
151,90
|
151,90
|
151,90
|
151,90
|
|
19.04.2012
|
151,90
|
151,90
|
151,90
|
151,90
|
|
20.04.2012
|
151,90
|
151,90
|
151,90
|
151,90
|
|
23.04.2012
|
151,90
|
151,90
|
151,90
|
151,90
|
|
24.04.2012
|
151,90
|
151,90
|
151,90
|
151,90
|
|
25.04.2012
|
151,90
|
151,90
|
151,90
|
151,90
|
|
26.04.2012
|
151,90
|
151,90
|
151,90
|
151,90
|
|
27.04.2012
|
151,90
|
167,01
|
149,33
|
162,69
|
|
30.04.2012
|
162,69
|
163,45
|
157,30
|
157,72
|
|
01.05.2012
|
157,72
|
163,59
|
145,12
|
156,27
|
|
02.05.2012
|
156,27
|
156,27
|
156,27
|
156,27
|
|
03.05.2012
|
156,27
|
156,27
|
156,27
|
156,27
|
|
04.05.2012
|
156,27
|
156,27
|
156,27
|
156,27
|
|
07.05.2012
|
156,27
|
156,27
|
156,27
|
156,27
|
|
08.05.2012
|
156,27
|
156,27
|
156,27
|
156,27
|
|
09.05.2012
|
156,27
|
173,79
|
152,23
|
169,21
|
|
10.05.2012
|
169,21
|
169,21
|
169,21
|
169,21
|
|
11.05.2012
|
169,21
|
169,21
|
169,21
|
169,21
|
|
14.05.2012
|
169,21
|
169,21
|
169,21
|
169,21
|
|
15.05.2012
|
169,21
|
191,97
|
165,45
|
188,92
|
|
16.05.2012
|
188,92
|
188,92
|
188,92
|
188,92
|
|
17.05.2012
|
188,92
|
193,94
|
174,24
|
182,71
|
|
18.05.2012
|
182,71
|
191,57
|
164,05
|
166,94
|
|
21.05.2012
|
166,94
|
182,28
|
156,07
|
157,73
|
|
22.05.2012
|
157,73
|
198,85
|
157,09
|
192,25
|
|
23.05.2012
|
192,25
|
202,01
|
163,82
|
173,05
|
|
24.05.2012
|
173,05
|
182,92
|
156,21
|
170,43
|
|
25.05.2012
|
170,43
|
179,48
|
156,11
|
174,27
|
|
28.05.2012
|
174,27
|
174,64
|
150,92
|
169,65
|
|
29.05.2012
|
169,65
|
171,36
|
156,80
|
162,74
|
|
30.05.2012
|
162,74
|
163,28
|
151,02
|
151,05
|
|
31.05.2012
|
151,05
|
151,05
|
151,05
|
151,05
|
|
01.06.2012
|
151,05
|
151,05
|
151,05
|
151,05
|
|
04.06.2012
|
151,05
|
151,05
|
151,05
|
151,05
|
|
05.06.2012
|
151,05
|
151,05
|
151,05
|
151,05
|
|
06.06.2012
|
151,05
|
151,05
|
151,05
|
151,05
|
|
07.06.2012
|
151,05
|
164,82
|
134,27
|
157,60
|
|
08.06.2012
|
157,60
|
180,59
|
157,60
|
180,59
|
180,59
|
209,83
|
180,59
|
209,83
|
|
12.06.2012
|
209,83
|
251,21
|
-8,91
|
249,02
|
|
13.06.2012
|
249,02
|
300,88
|
249,02
|
300,88
|
|
14.06.2012
|
300,88
|
347,70
|
300,88
|
347,70
|
|
15.06.2012
|
347,70
|
356,62
|
347,70
|
356,62
|
|
18.06.2012
|
356,62
|
476,89
|
356,62
|
356,62
|
|
19.06.2012
|
356,62
|
360,73
|
354,18
|
360,24
|
|
20.06.2012
|
360,24
|
360,24
|
360,24
|
360,24
|
|
21.06.2012
|
360,24
|
360,24
|
360,24
|
360,24
|
|
22.06.2012
|
360,24
|
370,67
|
354,93
|
368,51
|
|
25.06.2012
|
368,51
|
369,34
|
343,62
|
354,00
|
|
26.06.2012
|
354,00
|
360,62
|
330,60
|
342,39
|
|
27.06.2012
|
342,39
|
353,01
|
336,45
|
348,44
|
|
28.06.2012
|
348,44
|
350,34
|
323,91
|
338,22
|
|
29.06.2012
|
338,22
|
366,93
|
329,27
|
361,59
|
|
02.07.2012
|
361,59
|
363,41
|
356,69
|
357,76
|
|
03.07.2012
|
357,76
|
357,76
|
357,76
|
357,76
|
|
04.07.2012
|
357,76
|
357,76
|
357,76
|
357,76
|
|
05.07.2012
|
357,76
|
357,76
|
357,76
|
357,76
|
|
06.07.2012
|
357,76
|
361,49
|
356,83
|
360,31
|
|
09.07.2012
|
360,31
|
360,31
|
358,07
|
358,07
|
|
10.07.2012
|
358,07
|
368,87
|
355,13
|
366,76
|
|
11.07.2012
|
366,76
|
372,07
|
360,20
|
371,10
|
|
12.07.2012
|
371,10
|
375,23
|
370,62
|
374,40
|
|
13.07.2012
|
374,40
|
377,40
|
370,82
|
371,28
|
|
16.07.2012
|
371,28
|
376,45
|
368,48
|
369,66
|
|
17.07.2012
|
369,66
|
375,49
|
366,63
|
368,16
|
|
18.07.2012
|
368,16
|
373,56
|
367,36
|
368,93
|
|
19.07.2012
|
368,93
|
372,72
|
366,29
|
369,07
|
|
20.07.2012
|
369,07
|
378,61
|
368,94
|
377,57
|
|
23.07.2012
|
377,57
|
386,53
|
375,73
|
379,53
|
|
24.07.2012
|
379,53
|
390,06
|
376,68
|
388,54
|
|
25.07.2012
|
388,54
|
389,43
|
379,63
|
381,24
|
|
26.07.2012
|
381,24
|
386,90
|
357,39
|
363,74
|
|
27.07.2012
|
363,74
|
369,66
|
353,94
|
356,78
|
|
30.07.2012
|
356,78
|
356,78
|
351,72
|
352,02
|
|
31.07.2012
|
352,02
|
352,82
|
347,08
|
348,97
|
|
01.08.2012
|
348,97
|
350,56
|
323,99
|
325,27
|
|
02.08.2012
|
325,27
|
363,40
|
306,26
|
315,71
|
|
03.08.2012
|
315,71
|
360,76
|
313,15
|
359,29
|
|
06.08.2012
|
359,29
|
371,52
|
349,98
|
359,92
|
|
07.08.2012
|
359,92
|
368,91
|
354,91
|
359,60
|
|
08.08.2012
|
359,60
|
360,53
|
344,52
|
352,38
|
|
09.08.2012
|
352,38
|
357,05
|
331,62
|
339,76
|
|
10.08.2012
|
339,76
|
342,15
|
326,25
|
335,62
|
|
13.08.2012
|
335,62
|
354,30
|
329,92
|
350,88
|
|
14.08.2012
|
350,88
|
350,88
|
350,88
|
350,88
|
|
15.08.2012
|
350,88
|
350,88
|
350,88
|
350,88
|
|
16.08.2012
|
350,88
|
350,88
|
350,88
|
350,88
|
|
17.08.2012
|
350,88
|
350,88
|
350,88
|
350,88
|
|
20.08.2012
|
350,88
|
350,88
|
350,88
|
350,88
|
|
21.08.2012
|
350,88
|
350,88
|
350,88
|
350,88
|
|
22.08.2012
|
350,88
|
366,76
|
343,76
|
364,55
|
|
23.08.2012
|
364,55
|
376,45
|
363,58
|
370,72
|
|
24.08.2012
|
370,72
|
371,89
|
353,18
|
359,49
|
|
27.08.2012
|
359,49
|
364,68
|
354,93
|
356,81
|
|
28.08.2012
|
356,81
|
372,46
|
349,83
|
370,51
|
|
29.08.2012
|
370,51
|
371,31
|
366,82
|
367,64
|
|
30.08.2012
|
367,64
|
370,46
|
364,39
|
365,73
|
|
31.08.2012
|
365,73
|
376,19
|
364,90
|
371,29
|
|
03.09.2012
|
371,29
|
373,93
|
369,91
|
372,43
|
|
04.09.2012
|
372,43
|
375,33
|
369,44
|
370,32
|
|
05.09.2012
|
370,32
|
375,00
|
365,18
|
372,92
|
|
06.09.2012
|
372,92
|
383,08
|
369,96
|
379,73
|
|
07.09.2012
|
379,73
|
407,50
|
379,13
|
404,09
|
|
10.09.2012
|
404,09
|
404,09
|
395,78
|
396,10
|
|
11.09.2012
|
396,10
|
417,89
|
395,66
|
413,80
|
|
12.09.2012
|
413,80
|
444,45
|
380,81
|
435,04
|
|
13.09.2012
|
435,04
|
476,46
|
401,48
|
469,41
|
|
14.09.2012
|
469,41
|
493,50
|
465,12
|
487,33
|
|
17.09.2012
|
489,70
|
484,87
|
486,32
|
|
18.09.2012
|
486,32
|
486,56
|
479,47
|
481,34
|
|
19.09.2012
|
481,34
|
485,42
|
471,42
|
479,99
|
|
20.09.2012
|
479,99
|
481,70
|
461,25
|
468,17
|
|
21.09.2012
|
468,17
|
479,37
|
466,53
|
467,12
|
|
24.09.2012
|
467,12
|
469,52
|
451,66
|
458,76
|
|
25.09.2012
|
458,76
|
462,86
|
453,77
|
454,14
|
|
26.09.2012
|
454,14
|
454,14
|
454,14
|
454,14
|
|
27.09.2012
|
454,14
|
455,16
|
453,98
|
454,76
|
|
28.09.2012
|
454,76
|
454,76
|
454,76
|
454,76
|
|
01.10.2012
|
454,76
|
454,76
|
454,76
|
454,76
|
|
02.10.2012
|
454,76
|
466,59
|
449,96
|
451,65
|
|
03.10.2012
|
451,65
|
457,11
|
438,84
|
447,09
|
|
04.10.2012
|
447,09
|
476,49
|
446,15
|
472,35
|
|
05.10.2012
|
472,35
|
500,84
|
471,70
|
483,04
|
|
08.10.2012
|
483,04
|
483,04
|
442,65
|
455,94
|
|
09.10.2012
|
455,94
|
463,68
|
420,11
|
428,46
|
|
10.10.2012
|
428,46
|
437,54
|
412,65
|
425,37
|
|
11.10.2012
|
425,37
|
447,51
|
411,64
|
440,25
|
|
12.10.2012
|
440,25
|
457,17
|
439,59
|
446,04
|
|
15.10.2012
|
446,04
|
453,23
|
431,07
|
445,51
|
|
16.10.2012
|
445,51
|
475,02
|
444,00
|
472,70
|
|
17.10.2012
|
472,70
|
496,41
|
472,69
|
490,67
|
|
18.10.2012
|
490,67
|
493,54
|
475,47
|
477,90
|
|
19.10.2012
|
477,90
|
480,71
|
464,96
|
467,20
|
|
22.10.2012
|
467,20
|
481,32
|
465,45
|
475,75
|
|
23.10.2012
|
475,75
|
479,34
|
451,90
|
459,22
|
|
24.10.2012
|
459,22
|
461,52
|
445,44
|
456,11
|
|
25.10.2012
|
456,11
|
466,93
|
447,56
|
448,41
|
|
26.10.2012
|
448,41
|
452,96
|
439,38
|
449,02
|
|
29.10.2012
|
449,02
|
450,15
|
440,00
|
443,02
|
|
30.10.2012
|
443,02
|
456,36
|
440,26
|
452,91
|
|
31.10.2012
|
452,91
|
462,15
|
450,36
|
451,81
|
|
01.11.2012
|
451,81
|
456,06
|
447,10
|
449,37
|
|
02.11.2012
|
449,37
|
451,08
|
431,90
|
433,03
|
|
05.11.2012
|
433,03
|
434,68
|
423,49
|
427,66
|
|
06.11.2012
|
427,66
|
432,07
|
423,08
|
430,21
|
|
07.11.2012
|
430,21
|
439,00
|
306,26
|
423,96
|
|
08.11.2012
|
423,96
|
425,37
|
301,51
|
420,58
|
|
09.11.2012
|
420,58
|
426,09
|
298,61
|
415,93
|
|
12.11.2012
|
415,93
|
419,57
|
299,89
|
415,86
|
|
13.11.2012
|
415,86
|
417,85
|
295,23
|
415,24
|
|
14.11.2012
|
415,24
|
423,49
|
306,99
|
418,63
|
|
15.11.2012
|
418,63
|
426,23
|
303,16
|
423,72
|
|
16.11.2012
|
423,72
|
424,28
|
304,95
|
419,38
|
|
19.11.2012
|
419,38
|
428,00
|
306,96
|
427,20
|
|
20.11.2012
|
427,20
|
428,97
|
310,06
|
427,57
|
|
21.11.2012
|
427,57
|
429,30
|
311,17
|
428,78
|
|
22.11.2012
|
428,78
|
438,03
|
328,87
|
435,40
|
|
23.11.2012
|
435,40
|
451,71
|
325,58
|
448,54
|
|
26.11.2012
|
448,54
|
450,54
|
324,44
|
448,42
|
|
27.11.2012
|
448,42
|
454,08
|
330,47
|
443,91
|
|
28.11.2012
|
443,91
|
445,82
|
320,74
|
445,28
|
|
29.11.2012
|
445,28
|
454,73
|
323,55
|
449,18
|
|
30.11.2012
|
449,18
|
456,59
|
332,05
|
450,17
|
|
03.12.2012
|
450,17
|
463,73
|
449,86
|
460,35
|
|
04.12.2012
|
460,35
|
468,37
|
459,32
|
466,25
|
|
05.12.2012
|
466,25
|
471,05
|
459,77
|
460,89
|
|
06.12.2012
|
460,89
|
464,28
|
441,33
|
443,94
|
|
07.12.2012
|
443,94
|
445,03
|
429,17
|
436,99
|
|
10.12.2012
|
436,99
|
440,42
|
430,46
|
439,40
|
|
11.12.2012
|
439,40
|
451,45
|
437,54
|
449,86
|
|
12.12.2012
|
449,86
|
465,41
|
448,45
|
461,21
|
|
13.12.2012
|
461,21
|
465,99
|
458,27
|
459,48
|
|
14.12.2012
|
459,48
|
459,77
|
459,48
|
459,48
|
|
17.12.2012
|
459,48
|
459,48
|
459,48
|
459,48
|
|
18.12.2012
|
459,48
|
459,48
|
459,48
|
459,48
|
|
19.12.2012
|
459,48
|
459,48
|
459,48
|
459,48
|
|
20.12.2012
|
459,48
|
459,48
|
459,48
|
459,48
|
|
21.12.2012
|
459,48
|
459,48
|
459,48
|
459,48
|
|
24.12.2012
|
459,48
|
459,48
|
459,48
|
|
25.12.2012
|
459,48
|
459,48
|
459,48
|
459,48
|
|
26.12.2012
|
459,48
|
459,48
|
459,48
|
459,48
|
|
27.12.2012
|
459,48
|
459,48
|
459,48
|
459,48
|
|
28.12.2012
|
459,48
|
459,48
|
459,48
|
459,48
|
|
31.12.2012
|
459,48
|
459,48
|
459,48
|
459,48
|
|
01.01.2013
|
459,48
|
460,44
|
459,48
|
460,44
|
|
02.01.2013
|
460,44
|
460,45
|
459,48
|
459,48
|
|
03.01.2013
|
459,48
|
460,45
|
459,48
|
459,48
|
|
04.01.2013
|
459,48
|
459,48
|
459,48
|
459,48
|
|
07.01.2013
|
459,48
|
459,48
|
459,48
|
459,48
|
|
08.01.2013
|
459,48
|
460,06
|
455,29
|
457,47
|
|
09.01.2013
|
457,47
|
458,81
|
453,53
|
455,88
|
|
10.01.2013
|
455,88
|
468,51
|
453,67
|
467,29
|
|
11.01.2013
|
467,29
|
479,23
|
464,20
|
476,23
|
|
14.01.2013
|
476,23
|
483,79
|
476,23
|
481,56
|
|
15.01.2013
|
481,56
|
484,27
|
471,23
|
475,52
|
|
16.01.2013
|
475,52
|
477,62
|
470,43
|
473,75
|
|
17.01.2013
|
473,75
|
483,99
|
471,92
|
482,66
|
|
18.01.2013
|
482,66
|
484,87
|
472,87
|
476,86
|
|
21.01.2013
|
476,86
|
478,15
|
474,90
|
476,17
|
|
22.01.2013
|
476,17
|
482,02
|
471,65
|
477,01
|
|
23.01.2013
|
477,01
|
480,27
|
471,50
|
476,51
|
|
24.01.2013
|
476,51
|
483,93
|
473,61
|
482,22
|
|
25.01.2013
|
482,22
|
498,44
|
479,83
|
495,06
|
|
28.01.2013
|
495,06
|
497,06
|
492,36
|
495,00
|
|
29.01.2013
|
495,00
|
498,82
|
491,23
|
498,26
|
|
30.01.2013
|
498,26
|
498,65
|
497,72
|
497,80
|
|
31.01.2013
|
497,80
|
497,87
|
497,80
|
497,80
|
|
01.02.2013
|
497,80
|
498,70
|
497,80
|
497,80
|
|
04.02.2013
|
497,80
|
497,80
|
497,80
|
497,80
|
|
05.02.2013
|
497,80
|
497,80
|
497,80
|
497,80
|
|
06.02.2013
|
497,80
|
497,80
|
497,80
|
497,80
|
|
07.02.2013
|
497,80
|
497,80
|
497,80
|
497,80
|
|
08.02.2013
|
497,80
|
497,80
|
497,80
|
497,80
|
|
11.02.2013
|
497,80
|
497,80
|
497,80
|
497,80
|
|
12.02.2013
|
497,80
|
497,80
|
497,80
|
497,80
|
|
13.02.2013
|
497,80
|
497,80
|
497,80
|
497,80
|
|
14.02.2013
|
497,80
|
498,12
|
488,78
|
492,20
|
|
15.02.2013
|
492,20
|
495,79
|
486,44
|
492,92
|
|
18.02.2013
|
492,92
|
496,15
|
485,89
|
491,14
|
|
19.02.2013
|
491,14
|
499,02
|
487,29
|
497,56
|
|
20.02.2013
|
497,56
|
505,81
|
477,09
|
478,44
|
|
21.02.2013
|
478,44
|
480,39
|
457,70
|
462,29
|
|
22.02.2013
|
462,29
|
472,36
|
454,88
|
462,48
|
|
25.02.2013
|
462,48
|
484,77
|
437,90
|
440,29
|
|
26.02.2013
|
440,29
|
450,67
|
432,80
|
440,01
|
|
27.02.2013
|
440,01
|
454,10
|
436,94
|
452,60
|
|
28.02.2013
|
452,60
|
456,48
|
439,10
|
439,30
|
|
01.03.2013
|
439,30
|
446,64
|
425,39
|
433,24
|
|
04.03.2013
|
433,24
|
435,29
|
427,58
|
434,36
|
|
05.03.2013
|
434,36
|
441,86
|
431,92
|
438,13
|
|
06.03.2013
|
438,13
|
441,05
|
425,14
|
425,21
|
|
07.03.2013
|
425,21
|
429,97
|
425,21
|
428,43
|
|
08.03.2013
|
428,43
|
428,63
|
428,43
|
428,43
|
|
11.03.2013
|
428,43
|
428,43
|
428,43
|
428,43
|
|
12.03.2013
|
428,43
|
428,43
|
428,43
|
428,43
|
|
13.03.2013
|
428,43
|
429,57
|
420,21
|
423,42
|
|
14.03.2013
|
423,42
|
429,37
|
419,31
|
426,98
|
|
15.03.2013
|
426,98
|
440,62
|
426,75
|
436,10
|
|
18.03.2013
|
436,10
|
436,10
|
408,42
|
419,28
|
|
19.03.2013
|
419,28
|
420,94
|
403,38
|
406,58
|
|
20.03.2013
|
406,58
|
422,19
|
405,13
|
417,28
|
|
21.03.2013
|
417,28
|
419,01
|
408,43
|
410,36
|
|
22.03.2013
|
410,36
|
426,66
|
409,57
|
423,96
|
|
25.03.2013
|
423,96
|
431,80
|
401,19
|
403,85
|
|
26.03.2013
|
403,85
|
409,67
|
400,99
|
404,88
|
|
27.03.2013
|
404,88
|
406,48
|
390,13
|
393,69
|
|
28.03.2013
|
393,69
|
403,15
|
390,77
|
398,78
|
|
29.03.2013
|
398,78
|
402,11
|
396,16
|
398,87
|
|
01.04.2013
|
398,87
|
406,08
|
403,36
|
|
02.04.2013
|
403,36
|
407,43
|
397,98
|
399,30
|
|
03.04.2013
|
399,30
|
405,58
|
395,41
|
403,28
|
|
04.04.2013
|
403,28
|
417,45
|
389,08
|
415,50
|
|
05.04.2013
|
415,50
|
430,11
|
410,74
|
423,23
|
|
08.04.2013
|
423,23
|
429,59
|
419,99
|
425,52
|
|
09.04.2013
|
425,52
|
438,53
|
425,07
|
435,69
|
|
10.04.2013
|
435,69
|
441,08
|
433,64
|
435,07
|
|
11.04.2013
|
435,07
|
440,57
|
432,90
|
437,46
|
|
12.04.2013
|
437,46
|
439,61
|
432,41
|
438,12
|
|
15.04.2013
|
438,12
|
438,63
|
431,17
|
432,10
|
|
16.04.2013
|
432,10
|
445,48
|
431,67
|
443,56
|
|
17.04.2013
|
443,56
|
445,33
|
429,57
|
431,90
|
|
18.04.2013
|
431,90
|
437,11
|
431,07
|
433,36
|
|
19.04.2013
|
433,36
|
439,69
|
433,04
|
433,45
|
|
22.04.2013
|
433,45
|
436,09
|
430,54
|
434,72
|
|
23.04.2013
|
434,72
|
436,04
|
426,91
|
428,92
|
|
24.04.2013
|
428,92
|
431,99
|
425,35
|
430,34
|
|
25.04.2013
|
430,34
|
436,89
|
428,13
|
430,01
|
|
26.04.2013
|
430,01
|
433,00
|
428,27
|
431,30
|
|
29.04.2013
|
431,30
|
438,74
|
431,28
|
437,13
|
|
30.04.2013
|
437,13
|
444,54
|
433,72
|
442,94
|
|
01.05.2013
|
442,94
|
449,30
|
442,40
|
443,93
|
|
02.05.2013
|
443,93
|
444,81
|
442,84
|
442,88
|
|
03.05.2013
|
442,88
|
442,88
|
442,88
|
442,88
|
|
06.05.2013
|
442,88
|
442,88
|
442,88
|
442,88
|
|
07.05.2013
|
442,88
|
442,88
|
442,88
|
442,88
|
|
08.05.2013
|
442,88
|
447,85
|
440,72
|
443,76
|
|
09.05.2013
|
443,76
|
446,06
|
430,29
|
432,98
|
|
10.05.2013
|
432,98
|
433,91
|
422,66
|
427,55
|
|
13.05.2013
|
427,55
|
428,78
|
423,27
|
426,52
|
|
14.05.2013
|
426,52
|
431,66
|
420,55
|
421,16
|
|
15.05.2013
|
421,16
|
423,38
|
413,89
|
418,01
|
|
16.05.2013
|
418,01
|
422,07
|
414,14
|
417,38
|
|
17.05.2013
|
417,38
|
418,25
|
409,43
|
413,23
|
|
20.05.2013
|
413,23
|
419,34
|
411,60
|
417,52
|
|
21.05.2013
|
417,52
|
422,43
|
413,61
|
419,82
|
|
22.05.2013
|
419,82
|
428,61
|
418,27
|
420,20
|
|
23.05.2013
|
420,20
|
420,20
|
420,20
|
420,20
|
|
24.05.2013
|
420,20
|
420,20
|
420,20
|
420,20
|
|
27.05.2013
|
420,20
|
420,20
|
420,20
|
420,20
|
|
28.05.2013
|
420,20
|
420,20
|
420,20
|
420,20
|
|
29.05.2013
|
420,20
|
420,20
|
420,20
|
420,20
|
|
30.05.2013
|
420,20
|
420,20
|
420,20
|
420,20
|
|
31.05.2013
|
420,20
|
420,20
|
420,20
|
420,20
|
|
03.06.2013
|
420,20
|
420,20
|
420,20
|
420,20
|
|
04.06.2013
|
420,20
|
420,20
|
420,20
|
420,20
|
|
05.06.2013
|
420,20
|
420,20
|
420,20
|
420,20
|
|
06.06.2013
|
420,20
|
420,20
|
420,20
|
420,20
|
|
07.06.2013
|
420,20
|
420,20
|
420,20
|
420,20
|
|
10.06.2013
|
420,20
|
420,20
|
420,20
|
420,20
|
|
11.06.2013
|
420,20
|
420,20
|
420,20
|
420,20
|
|
12.06.2013
|
420,20
|
420,20
|
420,20
|
420,20
|
|
13.06.2013
|
420,20
|
420,20
|
420,20
|
420,20
|
|
14.06.2013
|
420,20
|
420,20
|
420,20
|
420,20
|
|
17.06.2013
|
420,20
|
420,20
|
420,20
|
420,20
|
|
18.06.2013
|
420,20
|
420,20
|
420,20
|
420,20
|
|
19.06.2013
|
420,20
|
420,20
|
420,20
|
420,20
|
|
20.06.2013
|
420,20
|
420,20
|
420,20
|
420,20
|
|
21.06.2013
|
420,20
|
420,20
|
420,20
|
420,20
|
|
24.06.2013
|
420,20
|
420,20
|
420,20
|
420,20
|
|
25.06.2013
|
420,20
|
420,20
|
420,20
|
420,20
|
|
26.06.2013
|
420,20
|
420,20
|
420,20
|
420,20
|
|
27.06.2013
|
420,20
|
420,20
|
420,20
|
420,20
|
|
28.06.2013
|
420,20
|
420,20
|
420,20
|
420,20
|
|
01.07.2013
|
420,20
|
420,20
|
420,20
|
420,20
|
|
02.07.2013
|
420,20
|
420,20
|
420,20
|
420,20
|
|
03.07.2013
|
420,20
|
420,20
|
420,20
|
420,20
|
|
04.07.2013
|
420,20
|
420,20
|
420,20
|
420,20
|
|
05.07.2013
|
420,20
|
420,20
|
420,20
|
420,20
|
|
08.07.2013
|
420,20
|
420,20
|
420,20
|
|
09.07.2013
|
420,20
|
420,20
|
420,20
|
420,20
|
|
10.07.2013
|
420,20
|
422,91
|
419,68
|
422,67
|
|
11.07.2013
|
422,67
|
422,67
|
422,67
|
422,67
|
|
12.07.2013
|
422,67
|
422,67
|
422,67
|
422,67
|
|
15.07.2013
|
422,67
|
422,67
|
422,67
|
422,67
|
|
16.07.2013
|
422,67
|
422,68
|
422,67
|
422,68
|
|
17.07.2013
|
422,68
|
422,68
|
422,68
|
422,68
|
|
18.07.2013
|
422,68
|
422,68
|
422,68
|
422,68
|
|
19.07.2013
|
422,68
|
422,68
|
422,68
|
422,68
|
|
22.07.2013
|
422,68
|
422,68
|
422,68
|
422,68
|
|
23.07.2013
|
422,68
|
424,10
|
421,66
|
423,59
|
|
24.07.2013
|
423,59
|
424,65
|
422,11
|
422,86
|
|
25.07.2013
|
422,86
|
425,86
|
421,72
|
425,30
|
|
26.07.2013
|
425,30
|
425,94
|
424,52
|
425,28
|
|
29.07.2013
|
425,28
|
425,87
|
424,07
|
424,80
|
|
30.07.2013
|
424,80
|
426,08
|
423,91
|
424,79
|
|
31.07.2013
|
424,79
|
427,22
|
423,22
|
426,08
|
|
01.08.2013
|
426,08
|
426,34
|
422,57
|
422,96
|
|
02.08.2013
|
422,96
|
425,82
|
422,34
|
425,36
|
|
05.08.2013
|
425,36
|
426,03
|
423,79
|
424,62
|
|
06.08.2013
|
424,62
|
426,81
|
424,22
|
426,20
|
|
07.08.2013
|
426,20
|
427,60
|
424,84
|
427,25
|
|
08.08.2013
|
427,25
|
429,52
|
426,97
|
428,83
|
|
09.08.2013
|
428,83
|
429,16
|
427,12
|
427,34
|
|
12.08.2013
|
427,34
|
427,51
|
425,17
|
425,94
|
|
13.08.2013
|
425,94
|
426,57
|
423,65
|
424,62
|
|
14.08.2013
|
424,62
|
425,24
|
423,83
|
424,38
|
|
15.08.2013
|
424,38
|
428,14
|
422,66
|
427,57
|
|
16.08.2013
|
427,57
|
428,74
|
426,33
|
426,92
|
|
19.08.2013
|
426,92
|
428,51
|
426,47
|
427,11
|
|
20.08.2013
|
427,11
|
431,11
|
426,75
|
429,92
|
|
21.08.2013
|
429,92
|
430,25
|
427,44
|
427,85
|
|
22.08.2013
|
427,85
|
428,46
|
426,01
|
427,90
|
|
23.08.2013
|
427,90
|
429,65
|
427,15
|
428,67
|
|
26.08.2013
|
428,67
|
429,77
|
426,69
|
427,39
|
|
27.08.2013
|
427,62
|
429,46
|
427,62
|
429,46
|
|
28.08.2013
|
429,57
|
429,92
|
423,35
|
425,75
|
|
29.08.2013
|
425,75
|
426,01
|
417,22
|
418,84
|
|
30.08.2013
|
418,84
|
418,84
|
417,24
|
417,24
|
|
02.09.2013
|
417,24
|
417,75
|
414,66
|
415,13
|
|
03.09.2013
|
415,13
|
415,60
|
411,33
|
413,63
|
|
04.09.2013
|
413,63
|
417,11
|
412,67
|
416,28
|
|
05.09.2013
|
416,28
|
417,41
|
409,25
|
409,92
|
|
06.09.2013
|
409,92
|
414,88
|
408,83
|
414,00
|
|
09.09.2013
|
414,00
|
421,44
|
412,93
|
419,58
|
|
10.09.2013
|
419,58
|
421,05
|
417,81
|
420,44
|
|
11.09.2013
|
420,44
|
424,48
|
418,76
|
423,47
|
|
12.09.2013
|
423,47
|
424,42
|
419,78
|
422,60
|
|
13.09.2013
|
422,60
|
424,17
|
419,37
|
422,21
|
|
16.09.2013
|
422,21
|
429,06
|
422,21
|
425,17
|
|
17.09.2013
|
425,17
|
427,88
|
424,51
|
427,18
|
|
18.09.2013
|
427,18
|
439,44
|
427,18
|
439,44
|
|
19.09.2013
|
439,44
|
440,50
|
437,82
|
440,03
|
|
20.09.2013
|
440,03
|
440,03
|
440,03
|
440,03
|
|
23.09.2013
|
440,03
|
440,03
|
440,03
|
440,03
|
|
24.09.2013
|
440,03
|
440,03
|
440,03
|
440,03
|
|
25.09.2013
|
440,03
|
440,03
|
440,03
|
440,03
|
|
26.09.2013
|
440,03
|
440,03
|
440,03
|
440,03
|
|
27.09.2013
|
440,03
|
440,03
|
440,03
|
440,03
|
|
30.09.2013
|
440,03
|
440,03
|
440,03
|
440,03
|
|
01.10.2013
|
440,03
|
440,03
|
437,25
|
438,00
|
|
02.10.2013
|
438,00
|
445,18
|
436,18
|
443,88
|
|
03.10.2013
|
443,88
|
443,88
|
443,88
|
443,88
|
|
04.10.2013
|
443,88
|
443,88
|
443,88
|
443,88
|
|
07.10.2013
|
443,88
|
443,88
|
443,88
|
443,88
|
|
08.10.2013
|
443,88
|
446,60
|
442,89
|
443,63
|
|
09.10.2013
|
443,63
|
446,35
|
436,71
|
439,35
|
|
10.10.2013
|
439,35
|
441,31
|
436,24
|
438,98
|
|
11.10.2013
|
438,98
|
444,32
|
438,85
|
442,84
|
|
14.10.2013
|
442,84
|
442,84
|
442,84
|
442,84
|
442,84
|
442,84
|
442,84
|
442,84
|
|
16.10.2013
|
442,84
|
442,84
|
442,84
|
442,84
|
|
17.10.2013
|
442,84
|
442,84
|
442,84
|
442,84
|
|
18.10.2013
|
442,84
|
442,84
|
442,84
|
442,84
|
|
21.10.2013
|
442,84
|
442,84
|
442,84
|
442,84
|
|
22.10.2013
|
442,84
|
442,84
|
442,84
|
442,84
|
|
23.10.2013
|
442,84
|
442,84
|
442,84
|
442,84
|
|
24.10.2013
|
442,84
|
442,84
|
442,84
|
442,84
|
|
25.10.2013
|
442,84
|
442,84
|
442,84
|
442,84
|
|
28.10.2013
|
442,84
|
442,84
|
442,84
|
442,84
|
|
29.10.2013
|
442,84
|
442,84
|
442,84
|
442,84
|
|
30.10.2013
|
442,84
|
442,84
|
442,84
|
442,84
|
|
31.10.2013
|
442,84
|
443,98
|
440,15
|
440,20
|
|
01.11.2013
|
440,20
|
440,20
|
440,20
|
440,20
|
|
04.11.2013
|
440,20
|
440,20
|
440,20
|
440,20
|
|
05.11.2013
|
440,20
|
440,20
|
440,20
|
440,20
|
|
06.11.2013
|
440,20
|
440,20
|
440,20
|
440,20
|
|
07.11.2013
|
440,20
|
440,32
|
415,04
|
415,04
|
|
08.11.2013
|
415,04
|
415,04
|
415,04
|
415,04
|
|
11.11.2013
|
415,04
|
415,04
|
415,04
|
415,04
|
|
12.11.2013
|
415,04
|
415,04
|
415,04
|
415,04
|
|
13.11.2013
|
415,04
|
415,04
|
415,04
|
415,04
|
|
14.11.2013
|
415,04
|
417,50
|
412,99
|
414,04
|
|
15.11.2013
|
414,04
|
414,04
|
414,04
|
414,04
|
|
18.11.2013
|
414,04
|
414,04
|
414,04
|
414,04
|
|
19.11.2013
|
414,04
|
414,22
|
410,28
|
411,89
|
|
20.11.2013
|
411,89
|
411,89
|
411,89
|
411,89
|
|
21.11.2013
|
411,89
|
411,89
|
411,89
|
411,89
|
|
22.11.2013
|
411,89
|
411,89
|
411,89
|
411,89
|
|
25.11.2013
|
411,89
|
411,89
|
411,89
|
411,89
|
|
26.11.2013
|
411,89
|
411,89
|
411,89
|
411,89
|
|
27.11.2013
|
411,89
|
411,89
|
411,89
|
411,89
|
|
28.11.2013
|
411,89
|
411,89
|
411,89
|
411,89
|
|
29.11.2013
|
411,89
|
411,89
|
411,89
|
411,89
|
|
02.12.2013
|
411,89
|
411,89
|
411,89
|
411,89
|
|
03.12.2013
|
411,89
|
411,89
|
411,89
|
411,89
|
|
04.12.2013
|
411,89
|
411,89
|
411,89
|
411,89
|
|
05.12.2013
|
411,89
|
411,89
|
411,89
|
411,89
|
|
06.12.2013
|
411,89
|
411,89
|
411,89
|
411,89
|
|
09.12.2013
|
411,89
|
411,89
|
411,89
|
411,89
|
|
10.12.2013
|
411,89
|
411,89
|
411,89
|
411,89
|
|
11.12.2013
|
411,89
|
411,89
|
411,89
|
411,89
|
|
12.12.2013
|
411,89
|
411,89
|
411,89
|
411,89
|
|
13.12.2013
|
411,89
|
411,89
|
411,89
|
411,89
|
|
16.12.2013
|
411,89
|
411,89
|
411,89
|
411,89
|
|
17.12.2013
|
411,89
|
411,89
|
411,89
|
411,89
|
|
18.12.2013
|
411,89
|
411,89
|
411,89
|
411,89
|
|
19.12.2013
|
411,89
|
411,89
|
411,89
|
411,89
|
|
20.12.2013
|
411,89
|
411,89
|
411,89
|
411,89
|
|
23.12.2013
|
411,89
|
411,89
|
411,89
|
411,89
|
|
24.12.2013
|
411,89
|
411,89
|
411,89
|
411,89
|
|
26.12.2013
|
411,89
|
411,89
|
411,89
|
411,89
|
|
27.12.2013
|
411,89
|
411,89
|
411,89
|
411,89
|
|
30.12.2013
|
411,89
|
411,89
|
411,89
|
411,89
|
|
31.12.2013
|
411,89
|
411,89
|
411,89
|
411,89
|
|
02.01.2014
|
411,89
|
411,89
|
411,89
|
411,89
|
|
03.01.2014
|
411,89
|
411,89
|
411,89
|
411,89
|
|
06.01.2014
|
411,89
|
411,89
|
411,89
|
411,89
|
|
07.01.2014
|
411,89
|
411,89
|
411,89
|
411,89
|
|
08.01.2014
|
411,89
|
414,01
|
409,60
|
411,09
|
|
09.01.2014
|
411,09
|
415,02
|
409,24
|
410,03
|
|
10.01.2014
|
410,03
|
412,24
|
404,49
|
405,59
|
|
13.01.2014
|
405,59
|
407,91
|
404,65
|
405,60
|
|
14.01.2014
|
405,60
|
407,12
|
403,64
|
405,04
|
|
15.01.2014
|
405,04
|
411,73
|
404,92
|
410,11
|
|
16.01.2014
|
410,11
|
411,61
|
407,07
|
409,07
|
|
17.01.2014
|
409,07
|
416,18
|
408,97
|
414,50
|
|
20.01.2014
|
414,50
|
416,81
|
412,65
|
413,80
|
|
21.01.2014
|
413,80
|
416,25
|
412,59
|
413,13
|
|
22.01.2014
|
413,13
|
414,95
|
411,78
|
413,43
|
|
23.01.2014
|
413,43
|
413,43
|
413,43
|
|
24.01.2014
|
413,43
|
413,43
|
413,43
|
413,43
|
|
27.01.2014
|
413,43
|
413,43
|
413,43
|
413,43
|
|
28.01.2014
|
413,43
|
413,43
|
413,43
|
413,43
|
|
29.01.2014
|
413,43
|
413,43
|
413,43
|
413,43
|
|
30.01.2014
|
413,43
|
416,55
|
405,65
|
407,30
|
|
31.01.2014
|
407,30
|
410,12
|
395,99
|
396,88
|
|
03.02.2014
|
396,88
|
404,42
|
395,67
|
402,83
|
|
04.02.2014
|
402,83
|
404,90
|
398,07
|
401,82
|
|
05.02.2014
|
401,82
|
407,45
|
398,86
|
404,18
|
|
06.02.2014
|
404,18
|
417,40
|
396,36
|
412,85
|
|
07.02.2014
|
412,85
|
421,13
|
406,92
|
419,77
|
|
10.02.2014
|
419,77
|
422,39
|
416,86
|
421,49
|
|
11.02.2014
|
421,49
|
426,52
|
420,62
|
424,20
|
|
12.02.2014
|
424,20
|
424,20
|
424,20
|
424,20
|
|
13.02.2014
|
424,20
|
424,20
|
424,20
|
424,20
|
|
14.02.2014
|
424,20
|
424,20
|
424,20
|
424,20
|
|
17.02.2014
|
424,20
|
424,20
|
424,20
|
424,20
|
|
18.02.2014
|
424,20
|
424,20
|
424,20
|
424,20
|
|
19.02.2014
|
424,20
|
424,20
|
424,20
|
424,20
|
|
20.02.2014
|
424,20
|
424,20
|
424,20
|
424,20
|
|
21.02.2014
|
424,20
|
424,20
|
424,20
|
424,20
|
|
24.02.2014
|
424,20
|
424,20
|
424,20
|
424,20
|
|
25.02.2014
|
424,20
|
424,20
|
424,20
|
424,20
|
|
26.02.2014
|
424,20
|
424,20
|
424,20
|
424,20
|
|
27.02.2014
|
424,20
|
424,20
|
424,20
|
424,20
|
|
28.02.2014
|
424,20
|
424,20
|
424,20
|
424,20
|
|
03.03.2014
|
424,20
|
424,21
|
424,20
|
424,21
|
|
04.03.2014
|
424,21
|
424,21
|
424,21
|
424,21
|
|
05.03.2014
|
424,21
|
424,21
|
424,21
|
424,21
|
|
06.03.2014
|
424,21
|
424,21
|
424,21
|
424,21
|
|
07.03.2014
|
424,21
|
424,21
|
424,21
|
424,21
|
|
10.03.2014
|
424,21
|
424,21
|
424,21
|
424,21
|
|
11.03.2014
|
424,21
|
424,21
|
424,21
|
424,21
|
|
12.03.2014
|
424,21
|
426,37
|
422,19
|
424,90
|
|
13.03.2014
|
424,90
|
432,64
|
417,88
|
421,17
|
|
14.03.2014
|
421,17
|
429,06
|
418,08
|
426,19
|
|
17.03.2014
|
426,19
|
430,53
|
421,70
|
427,05
|
|
18.03.2014
|
427,05
|
430,01
|
421,49
|
428,77
|
|
19.03.2014
|
428,77
|
428,77
|
404,17
|
405,55
|
|
20.03.2014
|
405,55
|
411,10
|
391,84
|
397,99
|
|
21.03.2014
|
397,99
|
404,37
|
394,95
|
400,75
|
|
24.03.2014
|
400,75
|
417,84
|
393,84
|
410,01
|
|
25.03.2014
|
410,01
|
411,81
|
391,57
|
407,46
|
|
26.03.2014
|
407,46
|
407,75
|
397,16
|
398,95
|
|
27.03.2014
|
398,95
|
401,23
|
387,34
|
389,87
|
|
28.03.2014
|
389,87
|
396,44
|
382,39
|
391,99
|
|
31.03.2014
|
391,99
|
403,77
|
385,94
|
395,48
|
|
01.04.2014
|
395,48
|
405,14
|
395,48
|
400,40
|
|
02.04.2014
|
400,40
|
406,29
|
391,82
|
394,80
|
|
03.04.2014
|
394,80
|
403,36
|
379,81
|
384,48
|
|
04.04.2014
|
384,48
|
386,92
|
374,39
|
380,56
|
|
07.04.2014
|
380,56
|
390,56
|
379,39
|
389,07
|
|
08.04.2014
|
389,07
|
403,90
|
388,15
|
400,78
|
|
09.04.2014
|
400,78
|
414,48
|
397,17
|
412,99
|
|
10.04.2014
|
412,99
|
422,06
|
408,89
|
419,36
|
|
11.04.2014
|
419,36
|
423,44
|
414,65
|
419,01
|
|
14.04.2014
|
419,01
|
419,01
|
403,32
|
405,91
|
|
15.04.2014
|
405,91
|
408,43
|
399,72
|
404,59
|
|
16.04.2014
|
404,59
|
411,77
|
402,42
|
404,74
|
|
17.04.2014
|
404,74
|
414,33
|
403,80
|
404,24
|
|
18.04.2014
|
404,24
|
405,98
|
403,11
|
403,11
|
|
21.04.2014
|
403,11
|
407,53
|
399,00
|
400,10
|
|
22.04.2014
|
400,10
|
406,36
|
398,59
|
402,47
|
|
23.04.2014
|
402,47
|
412,22
|
401,52
|
404,74
|
|
24.04.2014
|
404,74
|
409,92
|
399,75
|
407,54
|
|
25.04.2014
|
407,54
|
410,77
|
406,67
|
407,85
|
|
28.04.2014
|
407,85
|
416,68
|
404,35
|
411,23
|
|
29.04.2014
|
411,23
|
416,51
|
402,70
|
403,88
|
|
30.04.2014
|
403,88
|
415,66
|
397,11
|
413,91
|
|
01.05.2014
|
413,91
|
413,10
|
414,34
|
|
02.05.2014
|
414,34
|
416,41
|
403,80
|
414,18
|
|
05.05.2014
|
414,18
|
417,29
|
413,29
|
415,22
|
|
06.05.2014
|
415,22
|
429,58
|
414,64
|
425,05
|
|
07.05.2014
|
425,05
|
427,16
|
421,76
|
421,78
|
|
08.05.2014
|
421,78
|
439,38
|
399,00
|
400,67
|
|
09.05.2014
|
400,67
|
401,83
|
376,78
|
379,24
|
|
12.05.2014
|
379,24
|
384,23
|
377,75
|
379,76
|
|
13.05.2014
|
379,76
|
383,35
|
362,40
|
365,92
|
|
14.05.2014
|
365,92
|
372,97
|
364,62
|
368,85
|
|
15.05.2014
|
368,85
|
373,35
|
351,78
|
367,26
|
|
16.05.2014
|
367,26
|
371,93
|
361,25
|
363,49
|
|
19.05.2014
|
363,49
|
373,59
|
363,22
|
367,13
|
|
20.05.2014
|
367,13
|
368,46
|
359,42
|
365,29
|
|
21.05.2014
|
365,29
|
370,83
|
348,44
|
361,56
|
|
22.05.2014
|
361,56
|
361,81
|
351,14
|
353,68
|
|
23.05.2014
|
353,68
|
354,38
|
343,83
|
346,96
|
|
26.05.2014
|
346,96
|
353,49
|
342,88
|
351,18
|
|
27.05.2014
|
351,18
|
357,06
|
343,00
|
348,44
|
|
28.05.2014
|
348,44
|
349,31
|
336,87
|
337,42
|
|
29.05.2014
|
337,42
|
346,11
|
336,21
|
340,01
|
|
30.05.2014
|
340,01
|
352,31
|
339,25
|
348,36
|
|
02.06.2014
|
348,36
|
348,90
|
336,73
|
338,77
|
|
03.06.2014
|
338,77
|
351,72
|
336,41
|
346,66
|
|
04.06.2014
|
346,66
|
349,57
|
338,69
|
339,18
|
|
05.06.2014
|
339,18
|
357,26
|
314,67
|
354,76
|
|
06.06.2014
|
354,76
|
358,98
|
344,90
|
350,20
|
|
09.06.2014
|
350,20
|
356,99
|
335,07
|
337,71
|
|
10.06.2014
|
337,71
|
339,96
|
322,46
|
326,04
|
|
11.06.2014
|
326,04
|
328,46
|
319,30
|
321,46
|
|
12.06.2014
|
321,46
|
331,99
|
316,83
|
326,61
|
|
13.06.2014
|
326,61
|
333,70
|
319,03
|
323,16
|
|
16.06.2014
|
323,16
|
333,85
|
316,92
|
332,20
|
|
17.06.2014
|
332,20
|
335,73
|
322,77
|
325,40
|
|
18.06.2014
|
325,40
|
338,89
|
324,10
|
337,73
|
|
19.06.2014
|
337,73
|
349,94
|
334,82
|
340,64
|
|
20.06.2014
|
340,64
|
347,60
|
329,60
|
338,62
|
|
23.06.2014
|
338,62
|
342,24
|
326,73
|
339,82
|
|
24.06.2014
|
339,82
|
345,99
|
334,45
|
340,30
|
|
25.06.2014
|
340,30
|
351,99
|
338,83
|
346,10
|
|
26.06.2014
|
346,10
|
349,27
|
332,34
|
341,46
|
|
27.06.2014
|
341,46
|
351,64
|
340,88
|
351,17
|
|
30.06.2014
|
351,17
|
363,87
|
348,96
|
362,27
|
|
01.07.2014
|
362,27
|
364,54
|
357,98
|
358,68
|
|
02.07.2014
|
358,68
|
359,73
|
348,72
|
353,45
|
|
03.07.2014
|
353,45
|
354,84
|
336,55
|
340,26
|
|
04.07.2014
|
340,26
|
340,54
|
333,55
|
335,88
|
|
07.07.2014
|
335,88
|
340,08
|
331,00
|
338,69
|
|
08.07.2014
|
338,69
|
342,31
|
334,15
|
340,53
|
|
09.07.2014
|
340,53
|
348,14
|
338,50
|
346,56
|
|
10.07.2014
|
346,56
|
348,50
|
335,50
|
339,57
|
|
11.07.2014
|
339,57
|
343,07
|
335,96
|
339,28
|
|
14.07.2014
|
339,28
|
346,41
|
337,11
|
341,60
|
|
15.07.2014
|
341,60
|
343,90
|
327,92
|
329,23
|
|
16.07.2014
|
329,23
|
330,45
|
317,85
|
318,89
|
|
17.07.2014
|
318,89
|
322,43
|
316,55
|
318,76
|
|
18.07.2014
|
318,76
|
321,82
|
315,48
|
319,53
|
|
21.07.2014
|
319,53
|
319,80
|
316,35
|
319,41
|
|
22.07.2014
|
319,41
|
336,26
|
319,20
|
335,91
|
|
23.07.2014
|
335,91
|
340,54
|
329,29
|
333,17
|
|
24.07.2014
|
333,17
|
337,65
|
321,00
|
325,43
|
|
25.07.2014
|
325,43
|
358,15
|
323,47
|
354,88
|
|
28.07.2014
|
354,88
|
355,86
|
346,20
|
353,58
|
|
29.07.2014
|
353,58
|
388,86
|
353,40
|
387,61
|
|
30.07.2014
|
387,61
|
435,80
|
384,68
|
426,75
|
|
31.07.2014
|
426,75
|
452,35
|
422,08
|
449,76
|
|
01.08.2014
|
449,76
|
470,62
|
445,06
|
468,62
|
|
04.08.2014
|
468,62
|
468,62
|
466,41
|
467,20
|
|
05.08.2014
|
467,20
|
538,27
|
456,19
|
537,80
|
|
06.08.2014
|
537,80
|
541,13
|
537,61
|
539,80
|
|
07.08.2014
|
539,80
|
577,36
|
576,98
|
|
08.08.2014
|
576,98
|
576,98
|
549,94
|
558,12
|
|
11.08.2014
|
558,12
|
571,33
|
558,12
|
570,75
|
|
12.08.2014
|
570,75
|
570,97
|
569,13
|
570,62
|
|
13.08.2014
|
570,62
|
570,84
|
559,15
|
566,30
|
|
14.08.2014
|
566,30
|
659,17
|
557,06
|
658,00
|
|
15.08.2014
|
658,00
|
658,00
|
658,00
|
658,00
|
|
18.08.2014
|
658,00
|
658,00
|
658,00
|
658,00
|
|
19.08.2014
|
658,00
|
658,00
|
658,00
|
658,00
|
|
20.08.2014
|
658,00
|
665,07
|
657,48
|
664,20
|
|
21.08.2014
|
664,20
|
666,99
|
660,32
|
661,34
|
|
22.08.2014
|
661,34
|
670,14
|
659,13
|
666,92
|
|
25.08.2014
|
666,92
|
675,54
|
666,92
|
673,92
|
|
26.08.2014
|
673,92
|
675,47
|
671,35
|
673,36
|
|
27.08.2014
|
673,36
|
718,48
|
664,99
|
715,55
|
|
28.08.2014
|
715,55
|
766,87
|
682,49
|
753,25
|
|
29.08.2014
|
753,25
|
773,65
|
746,31
|
771,41
|
|
01.09.2014
|
771,41
|
771,41
|
771,41
|
771,41
|
|
02.09.2014
|
771,41
|
771,41
|
771,41
|
771,41
|
|
03.09.2014
|
771,41
|
771,41
|
771,41
|
771,41
|
|
04.09.2014
|
771,41
|
771,41
|
771,41
|
771,41
|
|
05.09.2014
|
771,41
|
771,41
|
771,41
|
771,41
|
|
08.09.2014
|
771,41
|
771,41
|
771,41
|
771,41
|
|
09.09.2014
|
771,41
|
778,96
|
714,35
|
728,00
|
|
10.09.2014
|
728,00
|
766,86
|
710,49
|
742,82
|
|
11.09.2014
|
742,82
|
757,45
|
718,49
|
737,29
|
|
12.09.2014
|
737,29
|
749,45
|
697,93
|
708,40
|
|
15.09.2014
|
708,40
|
749,70
|
702,11
|
726,24
|
|
16.09.2014
|
726,24
|
739,88
|
686,04
|
712,05
|
|
17.09.2014
|
712,05
|
792,73
|
694,83
|
782,93
|
|
18.09.2014
|
782,93
|
806,33
|
751,84
|
775,35
|
|
19.09.2014
|
775,35
|
785,18
|
767,80
|
771,44
|
|
22.09.2014
|
771,44
|
775,49
|
768,03
|
771,03
|
|
23.09.2014
|
771,03
|
852,19
|
766,20
|
846,69
|
|
24.09.2014
|
846,69
|
902,20
|
827,48
|
899,80
|
|
25.09.2014
|
899,80
|
933,10
|
889,48
|
933,06
|
|
26.09.2014
|
933,06
|
983,90
|
929,35
|
982,69
|
|
29.09.2014
|
982,69
|
1013,00
|
978,97
|
1011,09
|
|
30.09.2014
|
1011,09
|
1077,83
|
993,77
|
1074,96
|
|
01.10.2014
|
1074,96
|
1114,79
|
1066,10
|
1101,88
|
|
02.10.2014
|
1101,88
|
1188,86
|
1100,06
|
1181,93
|
|
03.10.2014
|
1181,93
|
1245,77
|
1171,89
|
1245,55
|
|
06.10.2014
|
1245,55
|
1247,11
|
1116,90
|
1132,84
|
|
07.10.2014
|
1132,84
|
1199,55
|
1127,31
|
1195,83
|
|
08.10.2014
|
1195,83
|
1195,83
|
1195,83
|
1195,83
|
|
09.10.2014
|
1195,83
|
1195,83
|
1195,83
|
1195,83
|
|
10.10.2014
|
1195,83
|
1195,83
|
1195,83
|
1195,83
|
|
13.10.2014
|
1195,83
|
1208,23
|
1187,20
|
1206,56
|
|
14.10.2014
|
1206,56
|
1244,12
|
1195,18
|
1243,18
|
|
15.10.2014
|
1243,18
|
1354,80
|
1186,59
|
1346,07
|
|
16.10.2014
|
1346,07
|
1346,07
|
1346,07
|
1346,07
|
|
17.10.2014
|
1346,07
|
1346,07
|
1346,07
|
1346,07
|
|
20.10.2014
|
1346,07
|
1346,08
|
1346,07
|
1346,08
|
|
21.10.2014
|
1346,08
|
1346,08
|
1346,08
|
1346,08
|
|
22.10.2014
|
1346,08
|
1346,08
|
1346,08
|
1346,08
|
|
23.10.2014
|
1346,08
|
1406,35
|
1339,59
|
1401,40
|
|
24.10.2014
|
1401,40
|
1401,40
|
1401,40
|
1401,40
|
|
27.10.2014
|
1401,40
|
1401,41
|
1401,40
|
1401,41
|
|
28.10.2014
|
1401,41
|
1480,89
|
1394,91
|
1470,07
|
|
30.10.2014
|
1470,07
|
1515,35
|
1456,77
|
1511,99
|
|
31.10.2014
|
1511,99
|
1541,71
|
1506,48
|
1539,31
|
|
03.11.2014
|
1539,31
|
1539,31
|
1539,31
|
1539,31
|
|
04.11.2014
|
1539,31
|
1539,31
|
1539,31
|
1539,31
|
|
05.11.2014
|
1539,31
|
1539,31
|
1539,31
|
1539,31
|
|
06.11.2014
|
1539,31
|
1539,31
|
1539,31
|
1539,31
|
|
07.11.2014
|
1539,31
|
1539,31
|
1539,31
|
1539,31
|
|
10.11.2014
|
1539,31
|
1539,32
|
1539,31
|
1539,32
|
|
11.11.2014
|
1539,32
|
1564,62
|
1536,48
|
1562,42
|
|
12.11.2014
|
1562,42
|
1563,47
|
1560,34
|
1562,26
|
|
13.11.2014
|
1562,26
|
1562,50
|
1555,80
|
1556,85
|
|
14.11.2014
|
1556,85
|
1577,00
|
1554,21
|
|
17.11.2014
|
1576,52
|
1576,52
|
1576,52
|
1576,52
|
|
18.11.2014
|
1576,52
|
1576,52
|
1576,52
|
1576,52
|
|
19.11.2014
|
1576,52
|
1576,52
|
1576,52
|
1576,52
|
|
20.11.2014
|
1576,52
|
1621,59
|
1565,77
|
1620,64
|
|
21.11.2014
|
1620,64
|
1620,64
|
1620,64
|
1620,64
|
|
24.11.2014
|
1620,64
|
1620,64
|
1620,64
|
1620,64
|
|
25.11.2014
|
1620,64
|
1625,68
|
1597,02
|
1607,93
|
|
26.11.2014
|
1607,93
|
1687,44
|
1599,14
|
1676,97
|
|
27.11.2014
|
1676,97
|
1704,63
|
1665,10
|
1700,04
|
|
28.11.2014
|
1700,04
|
1700,04
|
1700,04
|
1700,04
|
|
01.12.2014
|
1700,04
|
1700,04
|
1700,04
|
1700,04
|
|
02.12.2014
|
1700,04
|
1776,35
|
1689,28
|
1776,35
|
|
03.12.2014
|
1776,35
|
1776,35
|
1776,35
|
1776,35
|
|
04.12.2014
|
1776,35
|
1776,35
|
1776,35
|
1776,35
|
|
05.12.2014
|
1776,35
|
1776,35
|
1776,35
|
1776,35
|
|
08.12.2014
|
1776,35
|
1776,35
|
1776,35
|
1776,35
|
|
09.12.2014
|
1776,35
|
1776,35
|
1776,35
|
1776,35
|
|
10.12.2014
|
1776,35
|
1898,79
|
1767,40
|
1898,16
|
|
11.12.2014
|
1898,16
|
1961,18
|
1892,66
|
1959,72
|
|
12.12.2014
|
1959,72
|
1959,72
|
1959,72
|
1959,72
|
|
15.12.2014
|
1959,72
|
1959,72
|
1959,72
|
1959,72
|
|
16.12.2014
|
1959,72
|
1959,73
|
1959,72
|
1959,73
|
|
17.12.2014
|
1959,73
|
1959,96
|
1959,73
|
1959,96
|
|
18.12.2014
|
1959,96
|
1959,96
|
1949,47
|
1953,51
|
|
19.12.2014
|
1953,51
|
2011,02
|
1950,52
|
2008,65
|
|
22.12.2014
|
2008,65
|
2008,66
|
2008,65
|
2008,66
|
|
23.12.2014
|
2008,66
|
2008,97
|
2008,66
|
2008,97
|
|
24.12.2014
|
2008,97
|
2008,97
|
2008,97
|
2008,97
|
|
26.12.2014
|
2008,97
|
2008,97
|
2008,97
|
2008,97
|
|
29.12.2014
|
2008,97
|
2008,97
|
2008,97
|
2008,97
|
|
30.12.2014
|
2008,97
|
2008,97
|
2008,97
|
2008,97
|
|
31.12.2014
|
2008,97
|
2008,97
|
2008,97
|
2008,97
|
|
02.01.2015
|
2008,97
|
2008,97
|
2008,97
|
2008,97
|
|
05.01.2015
|
2008,97
|
2008,97
|
2008,97
|
2008,97
|
|
06.01.2015
|
2008,97
|
2008,97
|
2008,97
|
2008,97
|
|
07.01.2015
|
2008,97
|
2008,98
|
2008,97
|
2008,98
|
|
08.01.2015
|
2008,98
|
2008,98
|
2008,98
|
2008,98
|
|
09.01.2015
|
2008,98
|
2008,98
|
2008,98
|
2008,98
|
|
12.01.2015
|
2008,98
|
2008,98
|
2008,98
|
2008,98
|
|
13.01.2015
|
2008,98
|
2008,98
|
2008,98
|
2008,98
|
|
14.01.2015
|
2008,98
|
2008,98
|
2008,98
|
2008,98
|
|
15.01.2015
|
2008,98
|
2008,98
|
2008,98
|
2008,98
|
|
16.01.2015
|
2008,98
|
2008,98
|
2008,98
|
2008,98
|
|
19.01.2015
|
2008,98
|
2008,99
|
2008,98
|
2008,99
|
|
20.01.2015
|
2008,99
|
2008,99
|
2008,99
|
2008,99
|
|
21.01.2015
|
2008,99
|
2008,99
|
2008,99
|
2008,99
|
|
22.01.2015
|
2008,99
|
2008,99
|
2008,99
|
2008,99
|
|
23.01.2015
|
2008,99
|
2008,99
|
2008,99
|
2008,99
|
|
26.01.2015
|
2008,99
|
2008,99
|
2008,99
|
2008,99
|
|
27.01.2015
|
2008,99
|
2018,76
|
2007,75
|
2014,74
|
|
28.01.2015
|
2014,74
|
2014,74
|
2014,74
|
2014,74
|
|
29.01.2015
|
2014,74
|
2014,74
|
2014,74
|
2014,74
|
|
30.01.2015
|
2014,74
|
2014,74
|
2014,74
|
2014,74
|
|
02.02.2015
|
2014,74
|
2014,75
|
2014,74
|
2014,75
|
|
03.02.2015
|
2014,75
|
2014,75
|
2014,75
|
2014,75
|
|
04.02.2015
|
2014,75
|
2014,75
|
2014,75
|
2014,75
|
|
05.02.2015
|
2014,75
|
2014,75
|
2014,75
|
2014,75
|
|
06.02.2015
|
2014,75
|
2014,76
|
2014,75
|
2014,76
|
|
09.02.2015
|
2014,76
|
2014,76
|
2014,76
|
2014,76
|
|
10.02.2015
|
2014,76
|
2014,76
|
2014,76
|
2014,76
|
|
11.02.2015
|
2014,76
|
2014,76
|
2014,76
|
2014,76
|
|
12.02.2015
|
2014,76
|
2014,76
|
2014,76
|
2014,76
|
|
13.02.2015
|
2014,76
|
2014,76
|
2014,76
|
2014,76
|
|
16.02.2015
|
2014,76
|
2014,76
|
2013,55
|
2013,98
|
|
17.02.2015
|
2013,98
|
2013,98
|
2013,98
|
2013,98
|
|
18.02.2015
|
2013,98
|
2013,98
|
2013,98
|
2013,98
|
|
19.02.2015
|
2013,98
|
2013,98
|
2013,98
|
2013,98
|
|
20.02.2015
|
2013,98
|
2195,65
|
1912,34
|
2171,91
|
|
23.02.2015
|
2171,91
|
2187,47
|
2171,44
|
2181,87
|
|
24.02.2015
|
2181,87
|
2186,24
|
2173,56
|
2182,10
|
2182,10
|
2189,31
|
2181,38
|
2185,08
|
|
26.02.2015
|
2185,08
|
2187,36
|
2162,67
|
2164,36
|
|
27.02.2015
|
2164,36
|
2170,27
|
2161,70
|
2163,85
|
|
02.03.2015
|
2163,85
|
2169,52
|
2159,73
|
2162,60
|
|
03.03.2015
|
2162,60
|
2166,59
|
2159,15
|
2161,64
|
|
04.03.2015
|
2161,64
|
2162,78
|
2148,29
|
2150,18
|
|
05.03.2015
|
2150,18
|
2154,58
|
2139,31
|
2144,39
|
|
06.03.2015
|
2144,39
|
2144,92
|
2118,48
|
2118,53
|
|
09.03.2015
|
2118,53
|
2128,18
|
2116,10
|
2120,32
|
|
10.03.2015
|
2120,32
|
2120,74
|
2093,43
|
2095,17
|
|
11.03.2015
|
2095,17
|
2100,91
|
2069,10
|
2074,30
|
|
12.03.2015
|
2074,30
|
2096,21
|
2066,23
|
2086,81
|
|
13.03.2015
|
2086,81
|
2088,35
|
2061,94
|
2066,98
|
|
16.03.2015
|
2066,98
|
2080,63
|
2064,55
|
2079,72
|
|
17.03.2015
|
2079,72
|
2079,72
|
2079,72
|
2079,72
|
|
18.03.2015
|
2079,72
|
2079,72
|
2079,72
|
2079,72
|
|
19.03.2015
|
2079,72
|
2079,81
|
2079,72
|
2079,81
|
|
20.03.2015
|
2079,81
|
2079,81
|
2079,81
|
2079,81
|
|
23.03.2015
|
2079,81
|
2079,82
|
2079,81
|
2079,82
|
|
24.03.2015
|
2079,82
|
2084,77
|
2074,10
|
2075,15
|
|
25.03.2015
|
2075,15
|
2077,97
|
2072,17
|
2074,12
|
|
26.03.2015
|
2074,12
|
2081,32
|
2072,86
|
2079,39
|
|
27.03.2015
|
2079,39
|
2079,39
|
2075,42
|
2076,29
|
|
30.03.2015
|
2076,29
|
2076,29
|
2076,29
|
2076,29
|
|
31.03.2015
|
2076,29
|
2076,43
|
2076,29
|
2076,43
|
|
01.04.2015
|
2076,43
|
2076,43
|
2076,43
|
2076,43
|
|
02.04.2015
|
2076,43
|
2152,98
|
2067,50
|
2151,49
|
|
03.04.2015
|
2151,49
|
2211,76
|
2147,50
|
2208,49
|
|
06.04.2015
|
2208,49
|
2208,49
|
2208,49
|
2208,49
|
Приложение
Б
Мониторинг
средств ПАММ-счета Work
only USDRUB Script v9.0 <http://www.alpari.ru/ru/investor/pamm/316616/>
Таблица Б.1
Мониторинг средств ПАММ-счета Work only USDRUB Script v9.0
|
Дата
|
Доходность
|
|
open
|
high
|
low
|
close
|
|
1
|
2
|
3
|
4
|
5
|
|
18.04.2014
|
0,00
|
0,00
|
-1,29
|
-1,26
|
|
21.04.2014
|
-1,26
|
1,95
|
-1,53
|
0,42
|
|
22.04.2014
|
0,42
|
1,06
|
-3,43
|
-2,64
|
|
23.04.2014
|
-2,64
|
-2,47
|
-5,07
|
-4,22
|
|
24.04.2014
|
-4,22
|
-1,58
|
-6,37
|
-4,57
|
|
25.04.2014
|
-4,57
|
6,32
|
-4,80
|
1,59
|
|
28.04.2014
|
1,59
|
4,67
|
-8,95
|
-8,69
|
|
29.04.2014
|
-8,69
|
-6,36
|
-9,43
|
-9,33
|
|
30.04.2014
|
-9,33
|
-9,21
|
-10,55
|
-10,34
|
|
01.05.2014
|
-10,34
|
-10,34
|
-10,34
|
-10,34
|
|
02.05.2014
|
-10,34
|
-8,84
|
-12,65
|
-9,88
|
|
05.05.2014
|
-9,88
|
-9,83
|
-14,13
|
-13,95
|
|
06.05.2014
|
-13,95
|
-8,62
|
-15,26
|
-11,42
|
|
07.05.2014
|
-11,42
|
13,55
|
-16,59
|
12,89
|
|
08.05.2014
|
12,89
|
14,70
|
3,78
|
3,92
|
|
09.05.2014
|
3,92
|
3,92
|
3,92
|
3,92
|
|
12.05.2014
|
3,92
|
4,51
|
-5,61
|
-3,34
|
|
13.05.2014
|
-3,34
|
5,46
|
-3,34
|
2,29
|
|
14.05.2014
|
2,29
|
10,99
|
2,29
|
3,39
|
|
15.05.2014
|
3,39
|
11,50
|
1,42
|
1,93
|
|
16.05.2014
|
1,93
|
3,16
|
-2,67
|
-1,78
|
|
19.05.2014
|
-1,78
|
17,21
|
-2,42
|
9,00
|
|
20.05.2014
|
9,00
|
14,47
|
4,06
|
7,48
|
|
21.05.2014
|
7,48
|
25,13
|
5,01
|
23,16
|
|
22.05.2014
|
23,16
|
38,14
|
23,16
|
27,79
|
|
23.05.2014
|
27,79
|
61,73
|
25,48
|
47,35
|
|
26.05.2014
|
47,35
|
67,24
|
43,12
|
45,51
|
|
27.05.2014
|
45,51
|
51,40
|
35,29
|
37,51
|
|
28.05.2014
|
37,51
|
47,24
|
37,51
|
44,53
|
|
29.05.2014
|
44,53
|
56,55
|
38,84
|
47,66
|
|
30.05.2014
|
47,66
|
80,62
|
43,52
|
75,05
|
|
02.06.2014
|
75,05
|
83,85
|
67,34
|
74,87
|
|
03.06.2014
|
74,87
|
88,04
|
74,11
|
85,57
|
|
04.06.2014
|
85,57
|
100,56
|
78,58
|
78,94
|
|
05.06.2014
|
78,94
|
92,25
|
76,07
|
88,51
|
|
06.06.2014
|
88,51
|
109,90
|
86,27
|
103,82
|
|
09.06.2014
|
103,82
|
116,98
|
103,82
|
108,12
|
|
10.06.2014
|
108,12
|
112,70
|
105,62
|
107,30
|
|
11.06.2014
|
107,30
|
102,43
|
104,39
|
|
12.06.2014
|
104,39
|
105,09
|
104,39
|
105,09
|
|
13.06.2014
|
105,09
|
106,57
|
100,17
|
100,51
|
|
16.06.2014
|
100,51
|
104,72
|
96,90
|
98,40
|
|
17.06.2014
|
98,40
|
110,65
|
98,03
|
107,33
|
|
18.06.2014
|
107,33
|
116,66
|
102,08
|
115,66
|
|
19.06.2014
|
115,66
|
137,87
|
115,66
|
122,61
|
|
20.06.2014
|
122,61
|
124,53
|
120,75
|
122,31
|
|
23.06.2014
|
122,31
|
124,32
|
116,94
|
124,06
|
|
24.06.2014
|
124,06
|
163,65
|
124,06
|
153,34
|
|
25.06.2014
|
153,34
|
153,44
|
145,68
|
146,03
|
|
26.06.2014
|
146,03
|
150,35
|
145,41
|
146,49
|
|
27.06.2014
|
146,49
|
157,51
|
139,38
|
140,24
|
|
30.06.2014
|
140,24
|
141,21
|
131,69
|
132,82
|
|
01.07.2014
|
132,82
|
154,13
|
132,45
|
150,41
|
|
02.07.2014
|
150,41
|
152,79
|
128,56
|
128,78
|
|
03.07.2014
|
128,78
|
132,13
|
120,48
|
121,10
|
|
04.07.2014
|
121,10
|
133,74
|
120,39
|
120,90
|
|
07.07.2014
|
120,90
|
145,64
|
120,15
|
124,08
|
|
08.07.2014
|
124,08
|
126,27
|
119,15
|
120,90
|
|
09.07.2014
|
120,90
|
145,27
|
120,90
|
144,87
|
|
10.07.2014
|
144,87
|
165,41
|
133,67
|
134,75
|
|
11.07.2014
|
134,75
|
162,76
|
134,14
|
156,00
|
|
14.07.2014
|
156,00
|
184,90
|
155,11
|
177,27
|
|
15.07.2014
|
177,27
|
190,04
|
169,34
|
185,30
|
|
16.07.2014
|
185,30
|
191,18
|
173,90
|
182,84
|
|
17.07.2014
|
182,84
|
224,92
|
181,19
|
223,24
|
|
18.07.2014
|
223,24
|
227,55
|
209,40
|
209,72
|
|
21.07.2014
|
209,72
|
214,02
|
206,02
|
206,73
|
|
22.07.2014
|
206,73
|
206,73
|
191,08
|
191,51
|
|
23.07.2014
|
191,51
|
201,22
|
191,51
|
192,51
|
|
24.07.2014
|
192,51
|
193,02
|
181,79
|
184,78
|
|
25.07.2014
|
184,78
|
187,24
|
182,69
|
184,40
|
|
28.07.2014
|
184,40
|
205,02
|
184,24
|
201,65
|
|
29.07.2014
|
201,65
|
216,73
|
191,14
|
191,14
|
|
30.07.2014
|
191,14
|
194,77
|
184,34
|
186,50
|
|
31.07.2014
|
186,50
|
200,65
|
183,09
|
186,05
|
|
01.08.2014
|
186,05
|
195,50
|
183,50
|
185,26
|
|
04.08.2014
|
185,26
|
186,94
|
178,97
|
179,29
|
|
05.08.2014
|
179,29
|
195,46
|
173,66
|
193,99
|
|
06.08.2014
|
193,99
|
211,48
|
191,80
|
200,03
|
|
07.08.2014
|
200,03
|
220,47
|
197,94
|
202,61
|
|
08.08.2014
|
202,61
|
230,09
|
194,29
|
194,70
|
|
11.08.2014
|
194,70
|
208,18
|
193,60
|
206,81
|
|
12.08.2014
|
206,81
|
207,67
|
184,68
|
185,79
|
|
13.08.2014
|
185,79
|
192,91
|
176,87
|
178,32
|
|
14.08.2014
|
178,32
|
199,70
|
175,68
|
177,79
|
|
15.08.2014
|
177,79
|
180,03
|
170,57
|
170,57
|
|
18.08.2014
|
170,57
|
170,77
|
169,43
|
169,75
|
|
19.08.2014
|
169,75
|
170,11
|
166,26
|
166,43
|
|
20.08.2014
|
166,43
|
177,50
|
164,91
|
170,85
|
|
21.08.2014
|
170,85
|
176,54
|
147,29
|
150,77
|
|
22.08.2014
|
150,77
|
157,75
|
125,67
|
126,73
|
|
25.08.2014
|
126,73
|
133,64
|
124,37
|
124,58
|
|
26.08.2014
|
124,58
|
128,12
|
122,24
|
122,68
|
|
27.08.2014
|
122,68
|
124,53
|
115,31
|
116,05
|
|
28.08.2014
|
116,05
|
140,86
|
116,05
|
137,95
|
|
29.08.2014
|
137,95
|
150,65
|
136,95
|
143,39
|
|
01.09.2014
|
143,39
|
163,14
|
142,79
|
144,51
|
|
02.09.2014
|
144,51
|
150,57
|
142,58
|
146,39
|
|
03.09.2014
|
146,39
|
161,70
|
138,68
|
150,41
|
|
04.09.2014
|
150,41
|
152,07
|
141,14
|
142,56
|
|
05.09.2014
|
142,56
|
142,56
|
124,20
|
124,84
|
|
08.09.2014
|
124,84
|
125,11
|
115,51
|
116,19
|
|
09.09.2014
|
116,19
|
118,24
|
111,71
|
111,86
|
|
10.09.2014
|
111,86
|
119,13
|
110,46
|
111,28
|
|
11.09.2014
|
111,28
|
132,98
|
110,30
|
121,83
|
|
12.09.2014
|
121,83
|
172,77
|
121,83
|
147,02
|
|
15.09.2014
|
147,02
|
208,81
|
146,57
|
203,80
|
|
16.09.2014
|
203,80
|
232,39
|
203,28
|
205,83
|
|
17.09.2014
|
205,83
|
208,61
|
203,31
|
|
18.09.2014
|
203,31
|
205,64
|
201,74
|
202,21
|
|
19.09.2014
|
202,21
|
202,66
|
193,52
|
194,23
|
|
22.09.2014
|
194,23
|
201,60
|
188,25
|
200,39
|
|
23.09.2014
|
200,39
|
205,09
|
185,09
|
187,98
|
|
24.09.2014
|
187,98
|
187,98
|
171,53
|
181,66
|
|
25.09.2014
|
181,66
|
183,86
|
165,28
|
165,55
|
|
26.09.2014
|
165,55
|
222,14
|
165,13
|
218,48
|
|
29.09.2014
|
218,48
|
267,13
|
217,63
|
246,20
|
|
30.09.2014
|
246,20
|
283,51
|
227,13
|
261,56
|
|
01.10.2014
|
261,56
|
271,32
|
250,36
|
250,50
|
|
02.10.2014
|
250,50
|
252,27
|
244,40
|
244,46
|
|
03.10.2014
|
244,46
|
271,18
|
244,12
|
267,35
|
|
06.10.2014
|
267,35
|
280,09
|
244,24
|
244,72
|
|
07.10.2014
|
244,72
|
264,43
|
242,48
|
251,84
|
|
08.10.2014
|
251,84
|
286,62
|
251,05
|
259,88
|
|
09.10.2014
|
259,88
|
259,88
|
237,60
|
256,40
|
|
10.10.2014
|
256,40
|
301,64
|
255,75
|
273,85
|
|
13.10.2014
|
273,85
|
301,39
|
249,61
|
291,61
|
|
14.10.2014
|
291,61
|
401,50
|
280,21
|
397,05
|
|
15.10.2014
|
397,05
|
428,18
|
347,55
|
360,48
|
|
16.10.2014
|
360,48
|
365,28
|
332,45
|
340,15
|
|
17.10.2014
|
340,15
|
360,72
|
303,41
|
305,70
|
|
20.10.2014
|
305,70
|
320,30
|
300,98
|
313,42
|
|
21.10.2014
|
313,42
|
324,31
|
292,15
|
297,53
|
|
22.10.2014
|
297,53
|
344,09
|
290,15
|
339,94
|
|
23.10.2014
|
339,94
|
400,63
|
336,43
|
374,47
|
|
24.10.2014
|
374,47
|
429,33
|
372,35
|
382,41
|
|
27.10.2014
|
382,41
|
414,33
|
375,45
|
406,50
|
|
28.10.2014
|
406,50
|
449,39
|
402,41
|
412,81
|
|
29.10.2014
|
412,81
|
518,44
|
412,04
|
512,88
|
|
30.10.2014
|
512,88
|
590,38
|
510,06
|
567,11
|
|
31.10.2014
|
567,11
|
567,22
|
534,12
|
542,98
|
|
03.11.2014
|
542,98
|
562,67
|
538,15
|
547,44
|
|
04.11.2014
|
547,44
|
547,44
|
546,80
|
546,80
|
|
05.11.2014
|
546,80
|
643,78
|
546,19
|
622,92
|
|
06.11.2014
|
622,92
|
764,32
|
620,48
|
763,49
|
|
07.11.2014
|
763,49
|
829,49
|
729,72
|
751,21
|
|
10.11.2014
|
751,21
|
788,52
|
751,21
|
785,40
|
|
11.11.2014
|
785,40
|
869,33
|
777,66
|
796,49
|
|
12.11.2014
|
796,49
|
837,22
|
766,31
|
767,20
|
|
13.11.2014
|
767,20
|
792,74
|
693,04
|
733,64
|
|
14.11.2014
|
733,64
|
879,43
|
720,63
|
730,44
|
|
17.11.2014
|
730,44
|
813,03
|
701,42
|
711,60
|
|
18.11.2014
|
711,60
|
742,32
|
618,07
|
633,64
|
|
19.11.2014
|
633,64
|
667,83
|
593,89
|
607,12
|
|
20.11.2014
|
607,12
|
688,92
|
585,02
|
682,40
|
|
21.11.2014
|
682,40
|
957,04
|
682,40
|
765,91
|
|
24.11.2014
|
765,91
|
1323,95
|
765,91
|
1080,51
|
|
25.11.2014
|
1080,51
|
1196,34
|
1013,18
|
1167,90
|
|
26.11.2014
|
1167,90
|
1558,97
|
1154,39
|
1555,33
|
|
27.11.2014
|
1555,33
|
2121,23
|
1401,48
|
2108,68
|
|
28.11.2014
|
2108,68
|
2303,85
|
2106,98
|
2202,18
|
|
01.12.2014
|
2202,18
|
2717,62
|
2201,26
|
2442,52
|
|
02.12.2014
|
2442,52
|
2725,19
|
2373,98
|
2660,33
|
|
03.12.2014
|
2660,33
|
2845,94
|
2484,48
|
2525,31
|
|
04.12.2014
|
2525,31
|
2525,42
|
2279,56
|
2318,30
|
|
05.12.2014
|
2318,30
|
2318,30
|
2009,88
|
2048,10
|
|
08.12.2014
|
2048,10
|
2049,71
|
1849,90
|
1874,62
|
|
09.12.2014
|
1874,62
|
2112,09
|
1848,93
|
1984,94
|
|
10.12.2014
|
1984,94
|
2332,77
|
1918,10
|
2257,34
|
|
11.12.2014
|
2257,34
|
2975,20
|
2045,45
|
2933,45
|
|
12.12.2014
|
2933,45
|
4279,42
|
2920,35
|
4154,71
|
|
15.12.2014
|
4154,71
|
5264,09
|
4154,71
|
5136,55
|
|
16.12.2014
|
5136,55
|
5136,55
|
5136,55
|
5136,55
|
|
17.12.2014
|
5136,55
|
5137,02
|
5136,55
|
5137,02
|
|
18.12.2014
|
5137,02
|
5137,02
|
5137,02
|
5137,02
|
|
19.12.2014
|
5137,02
|
5137,02
|
5137,02
|
5137,02
|
|
22.12.2014
|
5137,02
|
5137,02
|
5137,02
|
5137,02
|
|
23.12.2014
|
5137,02
|
5137,25
|
5137,02
|
5137,25
|
|
24.12.2014
|
5137,25
|
5137,25
|
5137,25
|
|
26.12.2014
|
5137,25
|
5137,25
|
5137,25
|
5137,25
|
|
29.12.2014
|
5137,25
|
5137,26
|
5137,25
|
5137,26
|
|
30.12.2014
|
5137,26
|
5137,26
|
5137,26
|
5137,26
|
|
31.12.2014
|
5137,26
|
5137,26
|
5137,26
|
5137,26
|
|
02.01.2015
|
5137,26
|
5137,26
|
5137,26
|
5137,26
|
|
05.01.2015
|
5137,26
|
5137,26
|
5137,26
|
5137,26
|
|
06.01.2015
|
5137,26
|
5137,26
|
5137,26
|
5137,26
|
|
07.01.2015
|
5137,26
|
5137,26
|
5137,26
|
5137,26
|
|
08.01.2015
|
5137,26
|
5137,26
|
5137,26
|
5137,26
|
|
09.01.2015
|
5137,26
|
5137,26
|
5137,26
|
5137,26
|
|
12.01.2015
|
5137,26
|
5137,27
|
5137,26
|
5137,27
|
|
13.01.2015
|
5137,27
|
5137,27
|
5137,27
|
5137,27
|
|
14.01.2015
|
5137,27
|
5137,27
|
5137,27
|
5137,27
|
|
15.01.2015
|
5137,27
|
5137,27
|
5137,27
|
5137,27
|
|
16.01.2015
|
5137,27
|
5137,28
|
5137,27
|
5137,28
|
|
19.01.2015
|
5137,28
|
5137,28
|
5137,28
|
5137,28
|
|
20.01.2015
|
5137,28
|
5137,28
|
5137,28
|
5137,28
|
|
21.01.2015
|
5137,28
|
5137,28
|
5137,28
|
5137,28
|
|
22.01.2015
|
5137,28
|
5137,29
|
5137,28
|
5137,29
|
|
23.01.2015
|
5137,29
|
5137,29
|
5137,29
|
5137,29
|
|
26.01.2015
|
5137,29
|
5137,29
|
5137,29
|
5137,29
|
|
27.01.2015
|
5137,29
|
5137,29
|
5137,29
|
5137,29
|
|
28.01.2015
|
5137,29
|
5137,30
|
5137,29
|
5137,30
|
|
29.01.2015
|
5137,30
|
5137,30
|
5137,30
|
5137,30
|
|
30.01.2015
|
5137,30
|
5137,30
|
5137,30
|
5137,30
|
|
02.02.2015
|
5137,30
|
5137,30
|
5137,30
|
5137,30
|
|
03.02.2015
|
5137,30
|
5137,30
|
5137,30
|
5137,30
|
|
04.02.2015
|
5137,30
|
5137,30
|
5137,30
|
5137,30
|
|
05.02.2015
|
5137,30
|
5137,31
|
5137,30
|
5137,31
|
|
06.02.2015
|
5137,31
|
5137,31
|
5137,31
|
5137,31
|
|
09.02.2015
|
5137,31
|
5137,31
|
5137,31
|
5137,31
|
|
10.02.2015
|
5137,31
|
5137,31
|
5137,31
|
5137,31
|
|
11.02.2015
|
5137,31
|
5137,31
|
5137,31
|
5137,31
|
|
12.02.2015
|
5137,31
|
5137,31
|
5137,31
|
5137,31
|
|
13.02.2015
|
5137,31
|
5137,32
|
5137,31
|
5137,32
|
|
16.02.2015
|
5137,32
|
5137,32
|
5137,32
|
5137,32
|
|
17.02.2015
|
5137,32
|
5137,32
|
5137,32
|
5137,32
|
|
18.02.2015
|
5137,32
|
5137,32
|
5137,32
|
5137,32
|
|
19.02.2015
|
5137,32
|
5137,32
|
5137,32
|
5137,32
|
|
20.02.2015
|
5137,32
|
5137,33
|
5137,32
|
5137,33
|
|
23.02.2015
|
5137,33
|
5137,33
|
5137,33
|
5137,33
|
|
24.02.2015
|
5137,33
|
5137,33
|
5137,33
|
5137,33
|
|
25.02.2015
|
5137,33
|
5137,33
|
5137,33
|
5137,33
|
|
26.02.2015
|
5137,33
|
5137,46
|
5137,31
|
5137,45
|
|
27.02.2015
|
5137,45
|
5137,50
|
5137,34
|
5137,45
|
|
02.03.2015
|
5137,45
|
5137,52
|
5137,45
|
5137,52
|
|
03.03.2015
|
5137,52
|
5137,52
|
5137,52
|
5137,52
|
|
04.03.2015
|
5137,52
|
5137,58
|
5137,50
|
5137,55
|
|
05.03.2015
|
5137,55
|
5137,64
|
5137,54
|
5137,60
|
|
06.03.2015
|
5137,60
|
5137,85
|
5137,57
|
5137,82
|
|
09.03.2015
|
5137,82
|
5138,00
|
5137,57
|
5137,67
|
|
10.03.2015
|
5137,67
|
5137,69
|
5137,25
|
5137,56
|
|
11.03.2015
|
5137,56
|
5137,85
|
5137,49
|
5137,85
|
|
12.03.2015
|
5137,85
|
5138,13
|
5137,66
|
5138,01
|
|
13.03.2015
|
5138,01
|
5138,09
|
5137,41
|
5137,52
|
|
16.03.2015
|
5137,52
|
5137,57
|
5137,27
|
5137,29
|
|
17.03.2015
|
5137,29
|
5137,60
|
5137,21
|
5137,59
|
|
18.03.2015
|
5137,59
|
5137,77
|
5137,58
|
5137,64
|
|
19.03.2015
|
5137,64
|
5137,94
|
5137,61
|
5137,92
|
|
20.03.2015
|
5137,92
|
5138,21
|
5137,83
|
5138,12
|
|
23.03.2015
|
5138,12
|
5138,30
|
5137,98
|
5138,29
|
|
24.03.2015
|
5138,29
|
5138,30
|
5138,29
|
5138,30
|
|
25.03.2015
|
5138,30
|
5138,30
|
5138,30
|
5138,30
|
|
26.03.2015
|
5138,30
|
5138,30
|
5138,23
|
5138,27
|
|
27.03.2015
|
5138,27
|
5138,43
|
5138,22
|
5138,43
|
|
30.03.2015
|
5138,43
|
5138,43
|
5138,43
|
5138,43
|
|
31.03.2015
|
5138,43
|
5138,45
|
5138,14
|
5138,38
|
|
01.04.2015
|
5138,38
|
5138,46
|
5138,01
|
5138,21
|
|
02.04.2015
|
5138,21
|
5138,29
|
5137,70
|
5137,75
|
|
03.04.2015
|
5137,75
|
5137,91
|
5137,64
|
5137,65
|
5137,65
|
5138,03
|
5137,64
|
5138,02
|
Приложение
В
Мониторинг
средств ПАММ-счета Moriarti support lines
<http://www.alpari.ru/ru/investor/pamm/329842/>
Таблица В.1
Мониторинг средств ПАММ-счета Moriarti support lines
|
Дата
|
Доходность
|
|
open
|
high
|
low
|
close
|
|
1
|
2
|
3
|
4
|
5
|
|
23.12.2014
|
0,00
|
0,00
|
0,00
|
0,00
|
|
24.12.2014
|
0,00
|
0,00
|
0,00
|
0,00
|
|
26.12.2014
|
0,00
|
0,00
|
0,00
|
0,00
|
|
29.12.2014
|
0,00
|
0,00
|
0,00
|
0,00
|
|
30.12.2014
|
0,00
|
2,26
|
-1,98
|
0,05
|
|
31.12.2014
|
0,05
|
4,02
|
-0,82
|
3,88
|
|
02.01.2015
|
3,88
|
10,42
|
3,84
|
10,29
|
|
05.01.2015
|
10,29
|
19,32
|
10,29
|
14,86
|
|
06.01.2015
|
14,86
|
18,21
|
12,57
|
17,85
|
|
07.01.2015
|
17,85
|
23,69
|
17,42
|
21,10
|
|
08.01.2015
|
21,10
|
26,87
|
20,66
|
24,31
|
|
09.01.2015
|
24,31
|
26,31
|
20,77
|
20,97
|
|
12.01.2015
|
20,97
|
24,75
|
19,10
|
21,58
|
|
13.01.2015
|
21,58
|
26,92
|
19,86
|
25,62
|
|
14.01.2015
|
25,62
|
28,66
|
20,78
|
24,52
|
|
15.01.2015
|
24,52
|
39,27
|
24,29
|
35,03
|
|
16.01.2015
|
35,03
|
46,47
|
33,90
|
39,28
|
|
19.01.2015
|
39,28
|
40,39
|
34,57
|
36,53
|
|
20.01.2015
|
36,53
|
41,12
|
36,17
|
40,43
|
|
21.01.2015
|
40,43
|
41,05
|
31,83
|
36,43
|
|
22.01.2015
|
36,43
|
56,05
|
33,60
|
52,73
|
|
23.01.2015
|
52,73
|
69,48
|
52,24
|
63,36
|
|
26.01.2015
|
63,36
|
70,63
|
57,46
|
61,19
|
|
27.01.2015
|
61,19
|
62,24
|
48,99
|
51,72
|
|
28.01.2015
|
51,72
|
58,74
|
51,60
|
57,93
|
|
29.01.2015
|
57,93
|
59,72
|
52,64
|
55,79
|
|
30.01.2015
|
55,79
|
58,55
|
52,92
|
57,95
|
|
02.02.2015
|
57,95
|
57,95
|
53,06
|
54,38
|
|
03.02.2015
|
54,38
|
56,31
|
41,55
|
45,15
|
|
04.02.2015
|
45,15
|
56,09
|
44,84
|
54,13
|
|
05.02.2015
|
54,13
|
56,89
|
43,92
|
45,33
|
|
06.02.2015
|
45,33
|
56,39
|
44,75
|
56,17
|
|
09.02.2015
|
56,17
|
59,15
|
53,21
|
55,43
|
|
10.02.2015
|
55,43
|
58,98
|
54,16
|
55,75
|
|
11.02.2015
|
55,75
|
58,52
|
54,01
|
54,58
|
|
12.02.2015
|
54,58
|
57,01
|
48,99
|
50,31
|
|
13.02.2015
|
50,31
|
51,87
|
47,66
|
50,80
|
|
16.02.2015
|
50,80
|
55,89
|
48,60
|
53,47
|
|
17.02.2015
|
53,47
|
55,71
|
49,17
|
49,76
|
|
18.02.2015
|
49,76
|
54,94
|
49,45
|
50,67
|
|
19.02.2015
|
50,67
|
53,51
|
47,20
|
52,64
|
|
20.02.2015
|
52,64
|
58,60
|
48,60
|
51,79
|
|
23.02.2015
|
51,79
|
57,53
|
50,75
|
54,90
|
|
24.02.2015
|
54,90
|
57,89
|
53,34
|
54,51
|
|
25.02.2015
|
54,51
|
54,84
|
51,32
|
52,73
|
|
26.02.2015
|
52,73
|
82,36
|
49,72
|
79,96
|
|
27.02.2015
|
79,96
|
83,58
|
72,11
|
80,26
|
|
02.03.2015
|
80,26
|
86,27
|
72,87
|
82,22
|
|
03.03.2015
|
82,22
|
87,23
|
76,75
|
83,53
|
|
04.03.2015
|
83,53
|
102,69
|
82,02
|
99,85
|
|
05.03.2015
|
99,85
|
115,06
|
94,10
|
107,60
|
|
06.03.2015
|
107,60
|
139,59
|
107,44
|
138,92
|
|
09.03.2015
|
138,92
|
142,45
|
128,56
|
137,43
|
|
10.03.2015
|
137,43
|
163,42
|
137,02
|
162,59
|
|
11.03.2015
|
162,59
|
173,84
|
160,12
|
171,55
|
|
12.03.2015
|
171,55
|
174,95
|
162,36
|
166,21
|
|
13.03.2015
|
166,21
|
177,10
|
165,67
|
174,82
|
|
16.03.2015
|
174,82
|
175,95
|
166,63
|
170,12
|
|
17.03.2015
|
170,12
|
171,18
|
164,56
|
168,06
|
|
18.03.2015
|
168,06
|
169,27
|
137,84
|
152,61
|
|
19.03.2015
|
152,61
|
165,94
|
146,61
|
163,43
|
|
20.03.2015
|
163,43
|
163,43
|
163,43
|
163,43
|
|
23.03.2015
|
163,43
|
163,43
|
163,43
|
163,43
|
|
24.03.2015
|
163,43
|
164,04
|
161,96
|
163,40
|
|
25.03.2015
|
163,40
|
165,68
|
157,24
|
160,20
|
|
26.03.2015
|
160,20
|
168,58
|
160,16
|
168,10
|
|
27.03.2015
|
168,10
|
166,62
|
167,84
|
|
30.03.2015
|
167,84
|
169,30
|
166,35
|
166,91
|
|
31.03.2015
|
166,91
|
171,70
|
166,32
|
170,73
|
|
01.04.2015
|
170,73
|
172,52
|
168,91
|
170,68
|
|
02.04.2015
|
170,68
|
171,85
|
164,20
|
165,27
|
|
03.04.2015
|
165,27
|
166,73
|
161,26
|
164,81
|
|
06.04.2015
|
164,81
|
166,32
|
154,74
|
158,84
|
Приложение
Г
Мониторинг
средств ПАММ-счета Euro-Pattern
<http://www.alpari.ru/ru/investor/pamm/320447/>
Таблица Г.1
Мониторинг средств ПАММ-счета Euro-Pattern
|
Дата
|
Доходность
|
|
open
|
high
|
low
|
close
|
|
1
|
2
|
3
|
4
|
5
|
|
26.06.2014
|
0,00
|
0,00
|
0,00
|
0,00
|
|
27.06.2014
|
0,00
|
0,00
|
0,00
|
0,00
|
|
30.06.2014
|
0,00
|
0,27
|
-4,06
|
-3,65
|
|
01.07.2014
|
-3,65
|
-2,42
|
-4,29
|
-2,69
|
|
02.07.2014
|
-2,69
|
0,09
|
-2,96
|
-1,18
|
|
03.07.2014
|
-1,18
|
3,66
|
-1,54
|
2,56
|
|
04.07.2014
|
2,56
|
2,58
|
2,47
|
2,58
|
|
07.07.2014
|
2,58
|
2,58
|
2,58
|
2,58
|
|
08.07.2014
|
2,58
|
2,58
|
2,58
|
2,58
|
|
09.07.2014
|
2,58
|
2,58
|
2,58
|
2,58
|
|
10.07.2014
|
2,58
|
2,58
|
2,58
|
2,58
|
|
11.07.2014
|
2,58
|
2,58
|
2,58
|
2,58
|
|
14.07.2014
|
2,58
|
5,13
|
1,88
|
3,50
|
|
15.07.2014
|
3,50
|
3,54
|
3,47
|
3,53
|
|
16.07.2014
|
3,53
|
3,53
|
3,53
|
3,53
|
|
17.07.2014
|
3,53
|
3,53
|
3,53
|
3,53
|
|
18.07.2014
|
3,53
|
3,53
|
3,53
|
3,53
|
|
21.07.2014
|
3,53
|
5,02
|
2,21
|
3,01
|
|
22.07.2014
|
3,01
|
3,47
|
-1,99
|
-1,51
|
|
23.07.2014
|
-1,51
|
-0,85
|
-2,33
|
-1,69
|
|
24.07.2014
|
-1,69
|
-1,69
|
-2,49
|
-2,49
|
|
25.07.2014
|
-2,49
|
-2,49
|
-2,49
|
-2,49
|
|
28.07.2014
|
-2,49
|
-1,45
|
-2,79
|
-1,81
|
|
29.07.2014
|
-1,81
|
-1,81
|
-1,97
|
-1,91
|
|
30.07.2014
|
-1,91
|
-1,91
|
-1,91
|
-1,91
|
|
31.07.2014
|
-1,91
|
-1,91
|
-1,91
|
-1,91
|
|
01.08.2014
|
-1,91
|
-1,91
|
-1,91
|
-1,91
|
|
04.08.2014
|
-1,91
|
-0,45
|
-2,19
|
-1,46
|
|
05.08.2014
|
-1,46
|
-1,44
|
-1,51
|
-1,49
|
|
06.08.2014
|
-1,49
|
-1,49
|
-1,49
|
-1,49
|
|
07.08.2014
|
-1,49
|
-1,49
|
-1,49
|
-1,49
|
|
08.08.2014
|
-1,49
|
-1,49
|
-1,49
|
-1,49
|
|
11.08.2014
|
-1,49
|
0,49
|
-1,76
|
0,13
|
|
12.08.2014
|
0,13
|
0,24
|
0,12
|
0,17
|
|
13.08.2014
|
0,17
|
0,17
|
0,17
|
0,17
|
|
14.08.2014
|
0,17
|
0,17
|
0,17
|
0,17
|
|
15.08.2014
|
0,17
|
0,17
|
0,17
|
0,17
|
|
18.08.2014
|
0,17
|
3,53
|
-0,20
|
2,65
|
|
19.08.2014
|
2,65
|
2,67
|
2,60
|
2,63
|
|
20.08.2014
|
2,63
|
2,63
|
2,63
|
2,63
|
|
21.08.2014
|
2,63
|
2,63
|
2,63
|
2,63
|
|
22.08.2014
|
2,63
|
2,63
|
2,63
|
2,63
|
|
25.08.2014
|
2,63
|
3,22
|
1,08
|
1,74
|
|
26.08.2014
|
1,74
|
3,53
|
-0,49
|
-0,27
|
|
27.08.2014
|
-0,27
|
3,11
|
-1,48
|
1,72
|
|
28.08.2014
|
1,72
|
3,92
|
-1,03
|
0,77
|
|
29.08.2014
|
0,77
|
1,91
|
-3,24
|
-3,24
|
|
01.09.2014
|
-3,24
|
-1,92
|
-4,11
|
-3,34
|
|
02.09.2014
|
-3,34
|
-2,67
|
-4,87
|
-3,01
|
|
03.09.2014
|
-3,01
|
-2,99
|
-3,11
|
-3,03
|
|
04.09.2014
|
-3,03
|
-3,03
|
-3,03
|
-3,03
|
|
05.09.2014
|
-3,03
|
-3,03
|
-3,03
|
-3,03
|
|
08.09.2014
|
-3,03
|
2,52
|
-3,22
|
1,61
|
|
09.09.2014
|
1,61
|
1,68
|
1,57
|
1,66
|
|
10.09.2014
|
1,66
|
1,66
|
1,66
|
1,66
|
|
11.09.2014
|
1,66
|
1,66
|
1,66
|
1,66
|
|
12.09.2014
|
1,66
|
1,66
|
1,66
|
1,66
|
|
15.09.2014
|
1,66
|
6,54
|
1,47
|
3,95
|
|
16.09.2014
|
3,95
|
4,09
|
3,88
|
4,00
|
|
17.09.2014
|
4,00
|
4,00
|
4,00
|
4,00
|
|
18.09.2014
|
4,00
|
4,00
|
4,00
|
|
19.09.2014
|
4,00
|
4,00
|
4,00
|
4,00
|
|
22.09.2014
|
4,00
|
7,11
|
2,80
|
5,56
|
|
23.09.2014
|
5,56
|
5,60
|
5,28
|
5,50
|
|
24.09.2014
|
5,50
|
5,50
|
5,50
|
5,50
|
|
25.09.2014
|
5,50
|
5,50
|
5,50
|
5,50
|
|
26.09.2014
|
5,50
|
5,50
|
5,50
|
5,50
|
|
29.09.2014
|
5,50
|
8,31
|
3,72
|
5,65
|
|
30.09.2014
|
5,65
|
5,77
|
5,61
|
5,72
|
|
01.10.2014
|
5,72
|
5,72
|
5,72
|
5,72
|
|
02.10.2014
|
5,72
|
5,72
|
5,72
|
5,72
|
|
03.10.2014
|
5,72
|
5,72
|
5,72
|
5,72
|
|
06.10.2014
|
5,72
|
14,98
|
5,43
|
13,85
|
|
07.10.2014
|
13,85
|
13,86
|
13,70
|
13,71
|
|
08.10.2014
|
13,71
|
13,71
|
13,71
|
13,71
|
|
09.10.2014
|
13,71
|
13,71
|
13,71
|
13,71
|
|
10.10.2014
|
13,71
|
13,71
|
13,71
|
13,71
|
|
13.10.2014
|
13,71
|
22,80
|
13,38
|
22,16
|
|
14.10.2014
|
22,16
|
22,64
|
22,13
|
22,50
|
|
15.10.2014
|
22,50
|
22,50
|
22,50
|
22,50
|
|
16.10.2014
|
22,50
|
22,50
|
22,50
|
22,50
|
|
17.10.2014
|
22,50
|
22,50
|
22,50
|
22,50
|
|
20.10.2014
|
22,50
|
22,50
|
22,50
|
22,50
|
|
21.10.2014
|
22,50
|
22,50
|
22,50
|
22,50
|
|
22.10.2014
|
22,50
|
22,50
|
22,50
|
22,50
|
|
23.10.2014
|
22,50
|
22,50
|
22,50
|
22,50
|
|
24.10.2014
|
22,50
|
22,50
|
22,50
|
22,50
|
|
27.10.2014
|
22,50
|
22,50
|
22,50
|
22,50
|
|
28.10.2014
|
22,50
|
22,50
|
22,50
|
22,50
|
|
29.10.2014
|
22,50
|
22,50
|
22,50
|
22,50
|
|
30.10.2014
|
22,50
|
22,50
|
22,50
|
22,50
|
|
31.10.2014
|
22,50
|
22,50
|
22,50
|
22,50
|
|
03.11.2014
|
22,50
|
22,61
|
17,78
|
20,54
|
|
04.11.2014
|
20,54
|
27,18
|
20,46
|
24,98
|
|
05.11.2014
|
24,98
|
25,10
|
24,71
|
25,09
|
|
06.11.2014
|
25,09
|
25,09
|
25,09
|
25,09
|
|
07.11.2014
|
25,09
|
25,09
|
25,09
|
25,09
|
|
10.11.2014
|
25,09
|
29,14
|
21,96
|
28,98
|
|
11.11.2014
|
28,98
|
29,10
|
28,79
|
28,82
|
|
12.11.2014
|
28,82
|
28,82
|
28,82
|
28,82
|
|
13.11.2014
|
28,82
|
28,82
|
28,82
|
28,82
|
|
14.11.2014
|
28,82
|
28,82
|
28,82
|
28,82
|
|
17.11.2014
|
28,82
|
35,35
|
26,11
|
34,95
|
|
18.11.2014
|
34,95
|
35,00
|
34,83
|
34,96
|
|
19.11.2014
|
34,96
|
34,96
|
34,96
|
34,96
|
|
20.11.2014
|
34,96
|
34,96
|
34,96
|
34,96
|
|
21.11.2014
|
34,96
|
34,96
|
34,96
|
34,96
|
|
24.11.2014
|
34,96
|
40,76
|
34,06
|
40,51
|
|
25.11.2014
|
40,51
|
40,54
|
40,45
|
40,47
|
|
26.11.2014
|
40,47
|
40,47
|
40,47
|
40,47
|
|
27.11.2014
|
40,47
|
40,47
|
40,47
|
40,47
|
|
28.11.2014
|
40,47
|
40,47
|
40,47
|
40,47
|
|
01.12.2014
|
40,47
|
45,78
|
37,66
|
42,15
|
|
02.12.2014
|
42,15
|
42,42
|
42,09
|
42,26
|
|
03.12.2014
|
42,26
|
42,26
|
42,26
|
42,26
|
|
04.12.2014
|
42,26
|
42,26
|
42,26
|
42,26
|
|
05.12.2014
|
42,26
|
42,26
|
42,26
|
42,26
|
|
08.12.2014
|
42,26
|
47,74
|
38,98
|
45,30
|
|
09.12.2014
|
45,30
|
45,30
|
44,68
|
45,04
|
|
10.12.2014
|
45,04
|
45,04
|
45,04
|
45,04
|
|
11.12.2014
|
45,04
|
45,04
|
45,04
|
45,04
|
|
12.12.2014
|
45,04
|
45,04
|
45,04
|
45,04
|
|
15.12.2014
|
45,04
|
47,51
|
44,55
|
46,57
|
|
16.12.2014
|
46,57
|
46,69
|
46,03
|
46,28
|
|
17.12.2014
|
46,28
|
46,28
|
46,28
|
46,28
|
|
18.12.2014
|
46,28
|
46,28
|
46,28
|
46,28
|
|
19.12.2014
|
46,28
|
46,28
|
46,28
|
46,28
|
|
22.12.2014
|
46,28
|
49,47
|
45,82
|
47,93
|
|
23.12.2014
|
47,93
|
48,30
|
46,75
|
47,60
|
|
24.12.2014
|
47,60
|
47,60
|
47,60
|
47,60
|
|
26.12.2014
|
47,60
|
47,60
|
47,60
|
47,60
|
47,60
|
47,60
|
47,60
|
47,60
|
|
30.12.2014
|
47,60
|
47,60
|
47,60
|
47,60
|
|
31.12.2014
|
47,60
|
47,60
|
47,60
|
47,60
|
|
02.01.2015
|
47,60
|
47,60
|
47,60
|
47,60
|
|
05.01.2015
|
47,60
|
47,60
|
47,60
|
47,60
|
|
06.01.2015
|
47,60
|
47,60
|
47,60
|
47,60
|
|
07.01.2015
|
47,60
|
47,60
|
47,60
|
47,60
|
|
08.01.2015
|
47,60
|
47,60
|
47,60
|
47,60
|
|
09.01.2015
|
47,60
|
49,62
|
44,03
|
49,50
|
|
12.01.2015
|
49,50
|
52,19
|
49,38
|
51,08
|
|
13.01.2015
|
51,08
|
53,05
|
49,31
|
52,07
|
|
14.01.2015
|
52,07
|
54,25
|
51,93
|
52,35
|
|
15.01.2015
|
52,35
|
59,55
|
52,34
|
58,33
|
|
16.01.2015
|
58,33
|
60,02
|
57,62
|
59,84
|
|
19.01.2015
|
59,84
|
60,50
|
59,42
|
60,12
|
|
20.01.2015
|
60,12
|
61,98
|
57,92
|
61,26
|
|
21.01.2015
|
61,26
|
62,93
|
59,88
|
61,00
|
|
22.01.2015
|
61,00
|
62,86
|
59,15
|
62,19
|
|
23.01.2015
|
62,19
|
62,28
|
62,03
|
62,12
|
|
26.01.2015
|
62,12
|
64,49
|
61,40
|
63,76
|
|
27.01.2015
|
63,76
|
63,82
|
60,66
|
61,47
|
|
28.01.2015
|
61,47
|
61,88
|
60,16
|
60,17
|
|
29.01.2015
|
60,17
|
60,17
|
60,17
|
60,17
|
|
30.01.2015
|
60,17
|
63,13
|
59,22
|
62,66
|
|
02.02.2015
|
62,66
|
62,66
|
61,39
|
62,06
|
|
03.02.2015
|
62,06
|
63,12
|
60,01
|
61,22
|
|
04.02.2015
|
61,22
|
62,26
|
59,70
|
61,63
|
|
05.02.2015
|
61,63
|
62,36
|
60,76
|
60,93
|
|
06.02.2015
|
60,93
|
64,31
|
57,87
|
62,49
|
|
09.02.2015
|
62,49
|
62,49
|
60,63
|
61,46
|
|
10.02.2015
|
61,46
|
62,87
|
61,33
|
62,32
|
|
11.02.2015
|
62,32
|
63,71
|
62,13
|
63,65
|
|
12.02.2015
|
63,65
|
63,68
|
63,42
|
63,43
|
|
13.02.2015
|
63,43
|
63,96
|
63,09
|
63,43
|
|
16.02.2015
|
63,43
|
63,91
|
62,15
|
62,69
|
|
17.02.2015
|
62,69
|
68,32
|
62,77
|
67,41
|
|
18.02.2015
|
67,41
|
67,99
|
67,24
|
67,36
|
|
19.02.2015
|
67,36
|
67,36
|
67,36
|
67,36
|
|
20.02.2015
|
67,36
|
67,41
|
64,35
|
64,45
|
|
23.02.2015
|
64,45
|
65,34
|
64,36
|
65,13
|
|
24.02.2015
|
65,13
|
65,17
|
64,37
|
65,01
|
|
25.02.2015
|
65,01
|
65,37
|
64,66
|
64,86
|
|
26.02.2015
|
64,86
|
67,19
|
64,38
|
66,92
|
|
27.02.2015
|
66,92
|
67,43
|
66,00
|
66,58
|
|
02.03.2015
|
66,58
|
66,85
|
65,60
|
65,68
|
|
03.03.2015
|
65,68
|
66,85
|
65,51
|
66,43
|
|
04.03.2015
|
66,43
|
66,87
|
65,89
|
66,09
|
|
05.03.2015
|
66,09
|
67,04
|
65,62
|
66,23
|
|
06.03.2015
|
66,23
|
68,28
|
65,29
|
67,57
|
|
09.03.2015
|
67,57
|
68,98
|
67,46
|
68,02
|
|
10.03.2015
|
68,02
|
68,07
|
67,22
|
67,22
|
|
11.03.2015
|
67,22
|
67,31
|
66,59
|
66,59
|
|
12.03.2015
|
66,59
|
66,80
|
65,77
|
65,94
|
|
13.03.2015
|
65,94
|
66,17
|
65,55
|
65,73
|
|
16.03.2015
|
65,73
|
67,20
|
65,65
|
66,48
|
|
17.03.2015
|
66,48
|
66,52
|
64,30
|
65,13
|
|
18.03.2015
|
65,13
|
65,39
|
62,75
|
62,77
|
|
19.03.2015
|
62,77
|
62,87
|
62,72
|
62,82
|
|
20.03.2015
|
62,82
|
62,82
|
62,82
|
62,82
|
|
23.03.2015
|
62,82
|
63,98
|
61,29
|
61,64
|
|
24.03.2015
|
61,64
|
62,38
|
60,43
|
61,99
|
|
25.03.2015
|
61,99
|
62,24
|
60,70
|
61,27
|
|
26.03.2015
|
61,27
|
65,36
|
60,78
|
64,84
|
|
27.03.2015
|
64,84
|
66,01
|
64,26
|
64,96
|
|
30.03.2015
|
64,96
|
66,60
|
64,89
|
66,17
|
|
31.03.2015
|
66,17
|
66,39
|
65,47
|
65,54
|
|
01.04.2015
|
65,54
|
65,76
|
65,50
|
65,69
|
|
02.04.2015
|
65,69
|
65,79
|
65,09
|
65,23
|
|
03.04.2015
|
65,23
|
65,43
|
62,59
|
63,05
|
|
06.04.2015
|
63,05
|
64,33
|
62,38
|
64,07
|
Приложение
Д
Мониторинг
средств ПАММ-счета Nikolay Tsepelev
<http://www.alpari.ru/ru/investor/pamm/320447/>
Мониторинг средств ПАММ-счета Nikolay Tsepelev
|
Дата
|
Доходность
|
|
open
|
high
|
low
|
close
|
|
1
|
2
|
3
|
4
|
5
|
|
25.09.2014
|
0,00
|
0,00
|
0,00
|
0,00
|
|
26.09.2014
|
0,00
|
0,00
|
0,00
|
0,00
|
|
29.09.2014
|
0,00
|
0,00
|
0,00
|
0,00
|
|
30.09.2014
|
0,00
|
3,01
|
-2,09
|
-2,09
|
|
01.10.2014
|
-2,09
|
-2,09
|
-2,09
|
-2,09
|
|
02.10.2014
|
-2,09
|
-2,09
|
-2,09
|
-2,09
|
|
03.10.2014
|
-2,09
|
2,31
|
-3,72
|
0,96
|
|
06.10.2014
|
0,96
|
2,90
|
-4,31
|
-4,31
|
|
07.10.2014
|
-4,31
|
-4,31
|
-4,31
|
-4,31
|
|
08.10.2014
|
-4,31
|
-0,84
|
-8,80
|
-3,37
|
|
09.10.2014
|
-3,37
|
9,49
|
-7,11
|
-4,62
|
|
10.10.2014
|
-4,62
|
-4,62
|
-4,62
|
-4,62
|
|
13.10.2014
|
-4,62
|
-4,62
|
-4,62
|
-4,62
|
|
14.10.2014
|
-4,62
|
2,73
|
-6,06
|
1,91
|
|
15.10.2014
|
1,91
|
4,99
|
-2,29
|
0,80
|
|
16.10.2014
|
0,80
|
0,80
|
0,80
|
0,80
|
|
17.10.2014
|
0,80
|
0,80
|
0,80
|
0,80
|
|
20.10.2014
|
0,80
|
0,80
|
0,80
|
0,80
|
|
21.10.2014
|
0,80
|
2,37
|
-1,18
|
-1,18
|
|
22.10.2014
|
-1,18
|
-1,18
|
-1,18
|
-1,18
|
|
23.10.2014
|
-1,18
|
-1,18
|
-1,18
|
-1,18
|
|
24.10.2014
|
-1,18
|
-1,18
|
-1,18
|
-1,18
|
|
27.10.2014
|
-1,18
|
-1,18
|
-1,18
|
-1,18
|
|
28.10.2014
|
-1,18
|
1,13
|
-7,03
|
-6,63
|
|
29.10.2014
|
-6,63
|
-6,63
|
-6,63
|
-6,63
|
|
30.10.2014
|
-6,63
|
-6,63
|
-6,63
|
-6,63
|
|
31.10.2014
|
-6,63
|
-3,62
|
-8,58
|
-8,58
|
|
03.11.2014
|
-8,58
|
-8,58
|
-8,58
|
-8,58
|
|
04.11.2014
|
-8,58
|
-8,35
|
-10,35
|
-10,35
|
|
05.11.2014
|
-10,35
|
-10,35
|
-10,35
|
-10,35
|
|
06.11.2014
|
-10,35
|
-9,56
|
-12,08
|
-12,08
|
|
07.11.2014
|
-12,08
|
-12,08
|
-12,08
|
-12,08
|
|
10.11.2014
|
-12,08
|
-12,08
|
-12,08
|
-12,08
|
|
11.11.2014
|
-12,08
|
-12,08
|
-12,08
|
-12,08
|
|
12.11.2014
|
-12,08
|
-12,08
|
-12,08
|
-12,08
|
|
13.11.2014
|
-12,08
|
-12,08
|
-12,08
|
-12,08
|
|
14.11.2014
|
-12,08
|
-2,14
|
-14,93
|
-4,96
|
|
17.11.2014
|
-4,96
|
-2,38
|
-6,24
|
-2,74
|
|
18.11.2014
|
-2,74
|
-2,74
|
-2,74
|
-2,74
|
|
19.11.2014
|
-2,74
|
-2,74
|
-4,43
|
-4,41
|
|
20.11.2014
|
-4,41
|
-1,18
|
-4,69
|
-3,98
|
|
21.11.2014
|
-3,98
|
8,52
|
-6,97
|
7,46
|
|
24.11.2014
|
7,46
|
7,46
|
7,46
|
7,46
|
|
25.11.2014
|
7,46
|
8,69
|
4,29
|
6,92
|
|
26.11.2014
|
6,92
|
8,25
|
6,50
|
8,24
|
|
27.11.2014
|
8,24
|
8,24
|
8,24
|
8,24
|
|
28.11.2014
|
8,24
|
8,24
|
8,14
|
8,22
|
|
01.12.2014
|
8,22
|
9,26
|
7,83
|
7,83
|
|
02.12.2014
|
7,83
|
7,83
|
7,83
|
7,83
|
|
03.12.2014
|
7,83
|
10,28
|
7,17
|
10,11
|
|
04.12.2014
|
10,11
|
10,29
|
7,98
|
7,98
|
|
05.12.2014
|
7,98
|
10,05
|
6,24
|
9,15
|
|
08.12.2014
|
9,15
|
9,25
|
7,75
|
8,42
|
|
09.12.2014
|
8,42
|
8,42
|
8,42
|
8,42
|
|
10.12.2014
|
8,42
|
8,42
|
8,42
|
8,42
|
|
11.12.2014
|
8,42
|
8,42
|
8,42
|
8,42
|
|
12.12.2014
|
8,42
|
8,42
|
8,42
|
8,42
|
|
15.12.2014
|
8,42
|
8,42
|
8,42
|
8,42
|
|
16.12.2014
|
8,42
|
8,42
|
8,42
|
8,42
|
|
17.12.2014
|
8,42
|
8,58
|
8,25
|
8,25
|
|
18.12.2014
|
8,25
|
8,25
|
8,25
|
8,25
|
|
19.12.2014
|
8,25
|
8,25
|
8,25
|
8,25
|
|
22.12.2014
|
8,25
|
8,25
|
8,25
|
8,25
|
|
23.12.2014
|
8,25
|
8,25
|
8,25
|
8,25
|
|
24.12.2014
|
8,25
|
8,25
|
8,25
|
8,25
|
|
26.12.2014
|
8,25
|
8,25
|
8,25
|
8,25
|
|
29.12.2014
|
8,25
|
8,25
|
8,25
|
8,25
|
|
30.12.2014
|
8,25
|
9,75
|
8,47
|
|
31.12.2014
|
8,47
|
8,90
|
7,21
|
7,21
|
|
02.01.2015
|
7,21
|
8,79
|
5,68
|
7,24
|
|
05.01.2015
|
7,24
|
9,51
|
4,65
|
8,37
|
|
06.01.2015
|
8,37
|
8,37
|
8,37
|
8,37
|
|
07.01.2015
|
8,37
|
8,37
|
8,37
|
8,37
|
|
08.01.2015
|
8,37
|
8,37
|
8,37
|
8,37
|
|
09.01.2015
|
8,37
|
8,45
|
7,16
|
7,97
|
|
12.01.2015
|
7,97
|
7,97
|
7,97
|
7,97
|
|
13.01.2015
|
7,97
|
7,97
|
7,97
|
7,97
|
|
14.01.2015
|
7,97
|
8,20
|
6,04
|
6,04
|
|
15.01.2015
|
6,04
|
33,52
|
-4,02
|
33,52
|
|
16.01.2015
|
33,52
|
33,52
|
33,52
|
33,52
|
|
19.01.2015
|
33,52
|
33,54
|
33,29
|
33,46
|
|
20.01.2015
|
33,46
|
34,48
|
32,82
|
33,20
|
|
21.01.2015
|
33,20
|
33,39
|
32,84
|
32,84
|
|
22.01.2015
|
32,84
|
51,51
|
28,97
|
45,24
|
|
23.01.2015
|
45,24
|
48,66
|
44,27
|
45,14
|
|
26.01.2015
|
45,14
|
45,14
|
44,00
|
44,00
|
|
27.01.2015
|
44,00
|
44,47
|
38,83
|
38,83
|
|
28.01.2015
|
38,83
|
38,83
|
38,83
|
38,83
|
|
29.01.2015
|
38,83
|
38,83
|
38,83
|
38,83
|
|
30.01.2015
|
38,83
|
39,38
|
37,40
|
37,40
|
|
02.02.2015
|
37,40
|
37,40
|
37,40
|
37,40
|
|
03.02.2015
|
37,40
|
53,00
|
32,98
|
43,23
|
|
04.02.2015
|
43,23
|
43,28
|
38,67
|
38,93
|
|
05.02.2015
|
38,93
|
42,03
|
36,79
|
36,79
|
|
06.02.2015
|
36,79
|
44,43
|
36,50
|
43,75
|
|
09.02.2015
|
43,75
|
45,58
|
42,37
|
43,18
|
|
10.02.2015
|
43,18
|
44,81
|
41,74
|
41,74
|
|
11.02.2015
|
41,74
|
43,02
|
41,51
|
42,64
|
|
12.02.2015
|
42,64
|
45,73
|
38,21
|
42,74
|
|
13.02.2015
|
42,74
|
46,12
|
42,01
|
43,50
|
|
16.02.2015
|
43,50
|
43,50
|
43,50
|
43,50
|
|
17.02.2015
|
43,50
|
43,98
|
43,50
|
43,55
|
|
18.02.2015
|
43,55
|
45,15
|
42,80
|
44,28
|
|
19.02.2015
|
44,28
|
48,31
|
43,90
|
45,73
|
|
20.02.2015
|
45,73
|
54,87
|
39,66
|
48,03
|
|
23.02.2015
|
48,03
|
48,03
|
48,03
|
48,03
|
|
24.02.2015
|
48,03
|
48,03
|
48,03
|
48,03
|
|
25.02.2015
|
48,03
|
48,03
|
48,03
|
48,03
|
|
26.02.2015
|
48,03
|
57,27
|
46,34
|
55,86
|
|
27.02.2015
|
55,86
|
56,30
|
55,28
|
55,59
|
|
02.03.2015
|
55,59
|
55,59
|
55,59
|
55,59
|
|
03.03.2015
|
55,59
|
55,59
|
55,59
|
55,59
|
|
04.03.2015
|
55,59
|
65,05
|
53,73
|
64,41
|
|
05.03.2015
|
64,41
|
67,99
|
62,47
|
65,69
|
|
06.03.2015
|
65,69
|
75,30
|
65,60
|
73,52
|
|
09.03.2015
|
73,52
|
73,52
|
73,52
|
73,52
|
|
10.03.2015
|
73,52
|
74,24
|
71,13
|
71,13
|
|
11.03.2015
|
71,13
|
71,14
|
71,13
|
71,14
|
|
12.03.2015
|
71,14
|
71,14
|
71,14
|
71,14
|
|
13.03.2015
|
71,14
|
71,14
|
71,14
|
71,14
|
|
16.03.2015
|
71,14
|
71,86
|
69,88
|
70,02
|
|
17.03.2015
|
70,02
|
71,70
|
69,48
|
71,54
|
|
18.03.2015
|
71,54
|
89,49
|
69,66
|
87,76
|
|
19.03.2015
|
87,76
|
88,36
|
84,59
|
84,59
|
|
20.03.2015
|
84,59
|
85,61
|
83,28
|
83,65
|
|
23.03.2015
|
83,65
|
83,65
|
80,68
|
80,68
|
|
24.03.2015
|
80,68
|
80,68
|
80,68
|
80,68
|
|
25.03.2015
|
80,68
|
80,68
|
80,68
|
80,68
|
|
26.03.2015
|
80,68
|
80,79
|
79,11
|
79,11
|
|
27.03.2015
|
79,11
|
79,11
|
79,11
|
79,11
|
|
30.03.2015
|
79,11
|
79,11
|
79,11
|
79,11
|
|
31.03.2015
|
79,11
|
79,12
|
79,11
|
79,12
|
|
01.04.2015
|
79,12
|
80,65
|
78,70
|
80,31
|
|
02.04.2015
|
80,31
|
80,53
|
80,12
|
80,41
|
|
03.04.2015
|
80,41
|
81,51
|
74,76
|
74,76
|
|
06.04.2015
|
74,76
|
74,76
|
74,76
|
74,76
|
Приложение
Е
Мониторинг
средств ПАММ-счета Only USDRUB VSV Group
Таблица Е.1
Мониторинг средств ПАММ-счета Only USDRUB VSV Group
|
Дата
|
Доходность
|
|
open
|
high
|
low
|
close
|
2
|
3
|
4
|
5
|
|
03.04.2014
|
0,00
|
0,00
|
0,00
|
0,00
|
|
04.04.2014
|
0,00
|
2,81
|
-2,50
|
-1,10
|
|
07.04.2014
|
-1,10
|
-0,91
|
-3,71
|
-3,09
|
|
08.04.2014
|
-3,09
|
-3,09
|
-7,22
|
-6,91
|
|
09.04.2014
|
-6,91
|
-4,56
|
-9,35
|
-9,20
|
|
10.04.2014
|
-9,20
|
-9,16
|
-9,80
|
-9,80
|
|
11.04.2014
|
-9,80
|
-8,63
|
-11,25
|
-10,77
|
|
14.04.2014
|
-10,77
|
-6,58
|
-12,45
|
-11,98
|
|
15.04.2014
|
-11,98
|
-10,77
|
-15,34
|
-12,78
|
|
16.04.2014
|
-12,78
|
-12,78
|
-24,87
|
-22,74
|
|
17.04.2014
|
-22,74
|
-18,15
|
-26,95
|
-18,68
|
|
18.04.2014
|
-18,68
|
-17,49
|
-23,66
|
-22,78
|
|
21.04.2014
|
-22,78
|
-18,49
|
-23,03
|
-19,58
|
|
22.04.2014
|
-19,58
|
-18,51
|
-23,03
|
-21,52
|
|
23.04.2014
|
-21,52
|
-20,57
|
-25,02
|
-23,17
|
|
24.04.2014
|
-23,17
|
-18,72
|
-25,66
|
-22,33
|
|
25.04.2014
|
-22,33
|
-6,50
|
-22,33
|
-8,43
|
|
28.04.2014
|
-8,43
|
-6,63
|
-14,92
|
-14,76
|
|
29.04.2014
|
-14,76
|
-13,27
|
-15,79
|
-15,72
|
|
30.04.2014
|
-15,72
|
-15,61
|
-16,92
|
-16,62
|
|
01.05.2014
|
-16,62
|
-16,62
|
-16,62
|
-16,62
|
|
02.05.2014
|
-16,62
|
-15,27
|
-18,91
|
-16,84
|
|
05.05.2014
|
-16,84
|
-16,46
|
-20,62
|
-20,49
|
|
06.05.2014
|
-20,49
|
-16,92
|
-21,73
|
-19,15
|
|
07.05.2014
|
-19,15
|
2,97
|
-23,41
|
2,14
|
|
08.05.2014
|
2,14
|
5,21
|
-2,98
|
-2,67
|
|
09.05.2014
|
-2,67
|
-2,67
|
-2,67
|
-2,67
|
|
12.05.2014
|
-2,67
|
-2,32
|
-12,09
|
-9,18
|
|
13.05.2014
|
-9,18
|
1,35
|
-9,18
|
-3,68
|
|
14.05.2014
|
-3,68
|
11,94
|
-3,68
|
1,29
|
|
15.05.2014
|
1,29
|
10,97
|
-0,77
|
1,53
|
|
16.05.2014
|
1,53
|
4,21
|
-1,33
|
-0,93
|
|
19.05.2014
|
-0,93
|
21,23
|
-1,58
|
10,97
|
|
20.05.2014
|
10,97
|
17,17
|
4,72
|
7,67
|
|
21.05.2014
|
7,67
|
25,68
|
4,93
|
24,08
|
|
22.05.2014
|
24,08
|
38,35
|
24,08
|
29,14
|
|
23.05.2014
|
29,14
|
58,70
|
27,22
|
45,52
|
|
26.05.2014
|
45,52
|
64,33
|
41,43
|
44,04
|
|
27.05.2014
|
44,04
|
49,05
|
34,97
|
37,12
|
|
28.05.2014
|
37,12
|
46,08
|
37,12
|
43,20
|
|
29.05.2014
|
43,20
|
54,48
|
38,21
|
45,85
|
|
30.05.2014
|
45,85
|
78,04
|
41,98
|
72,35
|
|
02.06.2014
|
72,35
|
81,38
|
63,93
|
73,19
|
|
03.06.2014
|
73,19
|
85,47
|
72,47
|
83,03
|
|
04.06.2014
|
83,03
|
98,85
|
80,38
|
80,41
|
|
05.06.2014
|
80,41
|
90,56
|
78,09
|
87,58
|
|
06.06.2014
|
87,58
|
108,90
|
84,78
|
107,18
|
|
09.06.2014
|
107,18
|
117,74
|
106,83
|
109,27
|
|
10.06.2014
|
109,27
|
113,60
|
106,01
|
108,09
|
|
11.06.2014
|
108,09
|
112,37
|
100,76
|
101,86
|
|
12.06.2014
|
101,86
|
101,86
|
101,86
|
101,86
|
|
13.06.2014
|
101,86
|
103,41
|
96,05
|
96,97
|
|
16.06.2014
|
96,97
|
112,47
|
96,68
|
103,11
|
|
17.06.2014
|
103,11
|
121,84
|
102,48
|
115,33
|
|
18.06.2014
|
115,33
|
123,93
|
110,72
|
123,23
|
|
19.06.2014
|
123,23
|
143,82
|
123,23
|
126,67
|
|
20.06.2014
|
126,67
|
127,56
|
121,65
|
122,60
|
|
23.06.2014
|
122,60
|
126,22
|
115,49
|
125,82
|
|
24.06.2014
|
125,82
|
164,78
|
125,82
|
152,95
|
|
25.06.2014
|
152,95
|
153,69
|
142,42
|
144,61
|
|
26.06.2014
|
144,61
|
148,71
|
141,98
|
144,21
|
|
27.06.2014
|
144,21
|
154,96
|
131,84
|
134,61
|
|
30.06.2014
|
134,61
|
135,29
|
123,17
|
125,91
|
|
01.07.2014
|
125,91
|
153,03
|
125,44
|
148,86
|
|
02.07.2014
|
148,86
|
151,09
|
133,59
|
139,56
|
|
03.07.2014
|
139,56
|
146,97
|
127,96
|
134,54
|
|
04.07.2014
|
134,54
|
155,55
|
132,88
|
143,34
|
|
07.07.2014
|
143,34
|
168,56
|
140,56
|
142,70
|
|
08.07.2014
|
142,70
|
147,02
|
130,25
|
133,10
|
|
09.07.2014
|
163,57
|
133,10
|
163,40
|
|
10.07.2014
|
163,40
|
184,53
|
153,31
|
154,15
|
|
11.07.2014
|
154,15
|
186,64
|
153,48
|
177,89
|
|
14.07.2014
|
177,89
|
200,01
|
176,74
|
192,49
|
|
15.07.2014
|
192,49
|
200,92
|
185,96
|
194,55
|
|
16.07.2014
|
194,55
|
198,80
|
191,54
|
192,23
|
|
17.07.2014
|
192,23
|
218,92
|
191,37
|
216,70
|
|
18.07.2014
|
216,70
|
220,25
|
201,50
|
203,05
|
|
21.07.2014
|
203,05
|
207,79
|
201,76
|
202,77
|
|
22.07.2014
|
202,77
|
214,74
|
200,42
|
201,13
|
|
23.07.2014
|
201,13
|
209,07
|
199,68
|
200,38
|
|
24.07.2014
|
200,38
|
200,90
|
190,26
|
192,34
|
|
25.07.2014
|
192,34
|
194,31
|
189,98
|
192,39
|
|
28.07.2014
|
192,39
|
218,15
|
192,15
|
214,06
|
|
29.07.2014
|
214,06
|
225,21
|
205,23
|
205,23
|
|
30.07.2014
|
205,23
|
209,41
|
198,03
|
200,37
|
|
31.07.2014
|
200,37
|
215,32
|
195,84
|
199,74
|
|
01.08.2014
|
199,74
|
209,46
|
195,92
|
198,08
|
|
04.08.2014
|
198,08
|
202,72
|
188,68
|
194,75
|
|
05.08.2014
|
194,75
|
219,82
|
190,15
|
218,66
|
|
06.08.2014
|
218,66
|
243,47
|
214,93
|
227,83
|
|
07.08.2014
|
227,83
|
257,04
|
224,34
|
235,04
|
|
08.08.2014
|
235,04
|
267,33
|
224,58
|
225,10
|
|
11.08.2014
|
225,10
|
240,82
|
223,43
|
238,83
|
|
12.08.2014
|
238,83
|
239,80
|
215,37
|
217,60
|
|
13.08.2014
|
217,60
|
224,96
|
205,79
|
208,97
|
|
14.08.2014
|
208,97
|
226,32
|
201,40
|
203,48
|
|
15.08.2014
|
203,48
|
204,87
|
193,23
|
193,65
|
|
18.08.2014
|
193,65
|
193,92
|
190,24
|
190,34
|
|
19.08.2014
|
190,34
|
191,44
|
185,75
|
186,98
|
|
20.08.2014
|
186,98
|
196,00
|
183,62
|
190,24
|
|
21.08.2014
|
190,24
|
195,23
|
166,52
|
174,64
|
|
22.08.2014
|
174,64
|
181,56
|
143,96
|
145,61
|
|
25.08.2014
|
145,61
|
155,29
|
142,98
|
143,29
|
|
26.08.2014
|
143,29
|
149,58
|
138,51
|
141,43
|
|
27.08.2014
|
141,43
|
144,49
|
128,01
|
129,30
|
|
28.08.2014
|
129,30
|
154,39
|
128,83
|
147,51
|
|
29.08.2014
|
147,51
|
160,04
|
146,66
|
152,90
|
|
01.09.2014
|
152,90
|
171,36
|
147,72
|
151,94
|
|
02.09.2014
|
151,94
|
159,76
|
150,56
|
154,31
|
|
03.09.2014
|
154,31
|
160,31
|
142,62
|
151,41
|
|
04.09.2014
|
151,41
|
152,89
|
142,60
|
146,92
|
|
05.09.2014
|
146,92
|
146,92
|
119,42
|
120,26
|
|
08.09.2014
|
120,26
|
122,35
|
111,51
|
112,76
|
|
09.09.2014
|
112,76
|
115,32
|
107,33
|
107,74
|
|
10.09.2014
|
107,74
|
114,50
|
103,84
|
105,81
|
|
11.09.2014
|
105,81
|
127,10
|
104,14
|
116,34
|
|
12.09.2014
|
116,34
|
167,04
|
115,65
|
142,92
|
|
15.09.2014
|
142,92
|
213,47
|
142,30
|
208,08
|
|
16.09.2014
|
208,08
|
237,95
|
207,57
|
217,06
|
|
17.09.2014
|
217,06
|
218,50
|
206,55
|
208,62
|
|
18.09.2014
|
208,62
|
211,34
|
206,81
|
207,94
|
|
19.09.2014
|
207,94
|
208,29
|
202,34
|
203,35
|
|
22.09.2014
|
203,35
|
210,13
|
195,40
|
207,65
|
|
23.09.2014
|
207,65
|
212,28
|
192,84
|
196,08
|
|
24.09.2014
|
196,08
|
196,08
|
173,79
|
184,79
|
|
25.09.2014
|
184,79
|
186,53
|
170,50
|
172,51
|
|
26.09.2014
|
172,51
|
221,69
|
172,12
|
217,97
|
|
29.09.2014
|
217,97
|
255,03
|
217,37
|
236,82
|
|
30.09.2014
|
236,82
|
268,11
|
221,72
|
247,47
|
|
01.10.2014
|
247,47
|
260,44
|
226,65
|
227,61
|
|
02.10.2014
|
227,61
|
233,29
|
224,05
|
224,70
|
|
03.10.2014
|
224,70
|
253,51
|
223,18
|
247,92
|
|
06.10.2014
|
247,92
|
264,17
|
219,36
|
219,80
|
|
07.10.2014
|
219,80
|
241,31
|
214,50
|
228,73
|
|
08.10.2014
|
228,73
|
265,58
|
227,72
|
239,80
|
|
09.10.2014
|
239,80
|
239,80
|
208,32
|
234,93
|
|
10.10.2014
|
234,93
|
276,74
|
234,18
|
249,87
|
|
13.10.2014
|
249,87
|
270,09
|
230,04
|
261,71
|
|
14.10.2014
|
261,71
|
347,42
|
252,48
|
342,05
|
|
15.10.2014
|
342,05
|
295,97
|
296,32
|
|
16.10.2014
|
296,32
|
321,60
|
283,93
|
294,01
|
|
17.10.2014
|
294,01
|
312,36
|
262,52
|
264,84
|
|
20.10.2014
|
264,84
|
282,42
|
262,69
|
274,84
|
|
21.10.2014
|
274,84
|
282,57
|
254,71
|
260,86
|
|
22.10.2014
|
260,86
|
296,93
|
251,90
|
293,88
|
|
23.10.2014
|
293,88
|
350,77
|
290,33
|
330,07
|
|
24.10.2014
|
330,07
|
383,04
|
324,54
|
336,80
|
|
27.10.2014
|
336,80
|
368,37
|
325,45
|
359,05
|
|
28.10.2014
|
359,05
|
397,15
|
356,33
|
362,07
|
|
29.10.2014
|
362,07
|
437,20
|
361,59
|
433,42
|
|
30.10.2014
|
433,42
|
503,86
|
430,62
|
483,48
|
|
31.10.2014
|
483,48
|
488,50
|
457,51
|
465,39
|
|
03.11.2014
|
465,39
|
490,88
|
460,77
|
480,69
|
|
04.11.2014
|
480,69
|
480,69
|
479,89
|
479,89
|
|
05.11.2014
|
479,89
|
576,31
|
479,11
|
556,20
|
|
06.11.2014
|
556,20
|
698,54
|
553,16
|
698,12
|
|
07.11.2014
|
698,12
|
768,65
|
671,71
|
694,16
|
|
10.11.2014
|
694,16
|
873,75
|
694,16
|
781,98
|
|
11.11.2014
|
781,98
|
941,74
|
780,84
|
835,93
|
|
12.11.2014
|
835,93
|
873,46
|
803,29
|
803,29
|
|
13.11.2014
|
803,29
|
827,33
|
725,44
|
764,66
|
|
14.11.2014
|
764,66
|
896,05
|
748,94
|
768,79
|
|
17.11.2014
|
768,79
|
835,46
|
722,16
|
729,85
|
|
18.11.2014
|
729,85
|
754,73
|
621,97
|
628,66
|
|
19.11.2014
|
628,66
|
636,77
|
606,19
|
610,56
|
|
20.11.2014
|
610,56
|
693,16
|
563,31
|
691,71
|
|
21.11.2014
|
691,71
|
950,95
|
691,71
|
767,33
|
|
24.11.2014
|
767,33
|
1257,03
|
767,33
|
1009,27
|
|
25.11.2014
|
1009,27
|
1145,32
|
962,56
|
1089,72
|
|
26.11.2014
|
1089,72
|
1358,53
|
1077,61
|
1358,53
|
|
27.11.2014
|
1358,53
|
1921,44
|
1209,70
|
1899,48
|
|
28.11.2014
|
1899,48
|
1957,46
|
1897,33
|
1957,46
|
|
01.12.2014
|
1957,46
|
2467,08
|
1930,98
|
2028,19
|
|
02.12.2014
|
2028,19
|
2506,78
|
1912,10
|
2399,48
|
|
03.12.2014
|
2399,48
|
2642,26
|
1929,94
|
1961,17
|
|
04.12.2014
|
1961,17
|
1962,19
|
1567,38
|
1616,95
|
|
05.12.2014
|
1616,95
|
1616,95
|
1265,50
|
1331,80
|
|
08.12.2014
|
1331,80
|
1334,64
|
1054,15
|
1059,34
|
|
09.12.2014
|
1059,34
|
1168,51
|
1043,03
|
1090,07
|
|
10.12.2014
|
1090,07
|
1383,23
|
1047,84
|
1322,72
|
|
11.12.2014
|
1322,72
|
1855,11
|
1180,19
|
1813,79
|
|
12.12.2014
|
1813,79
|
2865,87
|
1804,32
|
2732,58
|
|
15.12.2014
|
2732,58
|
4377,87
|
2582,91
|
4011,11
|
|
16.12.2014
|
4011,11
|
4011,12
|
4011,11
|
4011,12
|
|
17.12.2014
|
4011,12
|
4012,24
|
4011,12
|
4012,24
|
|
18.12.2014
|
4012,24
|
4012,25
|
4012,24
|
4012,25
|
|
19.12.2014
|
4012,25
|
4012,26
|
4012,25
|
4012,26
|
|
22.12.2014
|
4012,26
|
4012,26
|
4012,26
|
4012,26
|
|
23.12.2014
|
4012,26
|
4012,27
|
4012,26
|
4012,27
|
|
24.12.2014
|
4012,27
|
4012,27
|
4012,27
|
4012,27
|
|
26.12.2014
|
4012,27
|
4012,28
|
4012,27
|
4012,28
|
|
29.12.2014
|
4012,28
|
4012,28
|
4012,28
|
4012,28
|
|
30.12.2014
|
4012,28
|
4012,28
|
4012,28
|
4012,28
|
|
31.12.2014
|
4012,28
|
4012,28
|
4012,28
|
4012,28
|
|
02.01.2015
|
4012,28
|
4012,28
|
4012,28
|
4012,28
|
|
05.01.2015
|
4012,28
|
4012,29
|
4012,28
|
4012,29
|
|
06.01.2015
|
4012,29
|
4012,29
|
4012,29
|
4012,29
|
|
07.01.2015
|
4012,29
|
4012,30
|
4012,29
|
4012,30
|
|
08.01.2015
|
4012,30
|
4012,30
|
4012,30
|
4012,30
|
|
09.01.2015
|
4012,30
|
4012,30
|
4012,30
|
4012,30
|
|
12.01.2015
|
4012,30
|
4012,31
|
4012,30
|
4012,31
|
|
13.01.2015
|
4012,31
|
4012,31
|
4012,31
|
4012,31
|
|
14.01.2015
|
4012,31
|
4012,32
|
4012,31
|
4012,32
|
|
15.01.2015
|
4012,32
|
4012,32
|
4012,32
|
4012,32
|
|
16.01.2015
|
4012,32
|
4012,33
|
4012,32
|
4012,33
|
|
19.01.2015
|
4012,33
|
4012,34
|
4012,33
|
4012,34
|
|
20.01.2015
|
4012,34
|
4012,34
|
4012,34
|
4012,34
|
|
21.01.2015
|
4012,34
|
4012,34
|
4012,34
|
4012,34
|
|
22.01.2015
|
4012,34
|
4012,35
|
4012,34
|
4012,35
|
|
23.01.2015
|
4012,35
|
4012,35
|
4012,35
|
|
26.01.2015
|
4012,35
|
4012,36
|
4012,35
|
4012,36
|
|
27.01.2015
|
4012,36
|
4012,37
|
4012,36
|
4012,37
|
|
28.01.2015
|
4012,37
|
4012,37
|
4012,37
|
4012,37
|
|
29.01.2015
|
4012,37
|
4012,37
|
4012,37
|
4012,37
|
|
30.01.2015
|
4012,37
|
4012,37
|
4012,37
|
4012,37
|
|
02.02.2015
|
4012,37
|
4012,38
|
4012,37
|
4012,38
|
|
03.02.2015
|
4012,38
|
4012,38
|
4012,38
|
4012,38
|
|
04.02.2015
|
4012,38
|
4012,38
|
4012,38
|
4012,38
|
|
05.02.2015
|
4012,38
|
4012,39
|
4012,38
|
4012,39
|
|
06.02.2015
|
4012,39
|
4012,39
|
4012,39
|
4012,39
|
|
09.02.2015
|
4012,39
|
4012,39
|
4012,39
|
4012,39
|
|
10.02.2015
|
4012,39
|
4012,40
|
4012,39
|
4012,40
|
|
11.02.2015
|
4012,40
|
4012,40
|
4012,40
|
4012,40
|
|
12.02.2015
|
4012,40
|
4012,40
|
4012,40
|
4012,40
|
|
13.02.2015
|
4012,40
|
4012,41
|
4012,40
|
4012,41
|
|
16.02.2015
|
4012,41
|
4012,41
|
4012,41
|
4012,41
|
|
17.02.2015
|
4012,41
|
4012,42
|
4012,41
|
4012,42
|
|
18.02.2015
|
4012,42
|
4012,42
|
4012,42
|
4012,42
|
|
19.02.2015
|
4012,42
|
4012,42
|
4012,42
|
4012,42
|
|
20.02.2015
|
4012,42
|
4012,43
|
4012,42
|
4012,43
|
|
23.02.2015
|
4012,43
|
4012,43
|
4012,43
|
4012,43
|
|
24.02.2015
|
4012,43
|
4012,43
|
4012,43
|
4012,43
|
|
25.02.2015
|
4012,43
|
4012,44
|
4012,43
|
4012,44
|
|
26.02.2015
|
4012,44
|
4013,16
|
4012,33
|
4013,09
|
|
27.02.2015
|
4013,09
|
4013,36
|
4012,53
|
4013,10
|
|
02.03.2015
|
4013,10
|
4013,45
|
4013,10
|
4013,45
|
|
03.03.2015
|
4013,45
|
4013,45
|
4013,45
|
4013,45
|
|
04.03.2015
|
4013,45
|
4013,82
|
4013,36
|
4013,63
|
|
05.03.2015
|
4013,63
|
4014,12
|
4013,56
|
4013,90
|
|
06.03.2015
|
4013,90
|
4015,31
|
4013,77
|
4015,14
|
|
09.03.2015
|
4015,14
|
4016,15
|
4013,97
|
4014,48
|
|
10.03.2015
|
4014,48
|
4014,58
|
4012,38
|
4013,94
|
|
11.03.2015
|
4013,94
|
4015,40
|
4013,59
|
4015,40
|
|
12.03.2015
|
4015,40
|
4016,86
|
4014,49
|
4016,31
|
|
13.03.2015
|
4016,31
|
4016,70
|
4013,37
|
4013,90
|
|
16.03.2015
|
4013,90
|
4014,12
|
4012,66
|
4012,76
|
|
17.03.2015
|
4012,76
|
4014,29
|
4012,35
|
4014,24
|
|
18.03.2015
|
4014,24
|
4015,24
|
4014,21
|
4014,61
|
|
19.03.2015
|
4014,61
|
4016,09
|
4014,47
|
4016,01
|
|
20.03.2015
|
4016,01
|
4017,46
|
4015,58
|
4016,99
|
|
23.03.2015
|
4016,99
|
4017,89
|
4016,32
|
4017,83
|
|
24.03.2015
|
4017,83
|
4017,84
|
4017,83
|
4017,84
|
|
25.03.2015
|
4017,84
|
4017,84
|
4017,84
|
4017,84
|
|
26.03.2015
|
4017,84
|
4017,85
|
4017,48
|
4017,71
|
|
27.03.2015
|
4017,71
|
4018,45
|
4017,44
|
4018,45
|
|
30.03.2015
|
4018,45
|
4018,45
|
4018,45
|
4018,45
|
|
31.03.2015
|
4018,45
|
4018,55
|
4017,02
|
4018,24
|
|
01.04.2015
|
4018,24
|
4018,60
|
4016,37
|
4017,36
|
|
02.04.2015
|
4017,36
|
4017,74
|
4014,88
|
4015,08
|
|
03.04.2015
|
4015,08
|
4015,91
|
4014,57
|
4014,64
|
|
06.04.2015
|
4014,64
|
4016,50
|
4013,05
|
4013,37
|
|
07.04.2015
|
4013,37
|
4014,28
|
4012,27
|
4012,28
|
|
08.04.2015
|
4012,28
|
4012,28
|
4012,28
|
4012,28
|
Приложение
Ж
Мониторинг
средств ПАММ-счета MusculePamm
<http://www.alpari.ru/ru/investor/pamm/320447/>
Таблица Ж
Мониторинг средств ПАММ-счета MusculePamm
|
Дата
|
Доходность
|
|
open
|
high
|
low
|
close
|
|
1
|
2
|
3
|
4
|
5
|
|
01.12.2014
|
0,00
|
0,57
|
-0,37
|
0,40
|
|
02.12.2014
|
0,40
|
0,78
|
0,20
|
0,78
|
|
03.12.2014
|
0,78
|
1,01
|
0,71
|
0,97
|
|
04.12.2014
|
0,97
|
1,85
|
0,60
|
1,67
|
|
05.12.2014
|
1,67
|
2,48
|
1,29
|
2,20
|
|
08.12.2014
|
2,20
|
2,72
|
1,59
|
2,72
|
|
09.12.2014
|
2,72
|
3,21
|
2,22
|
3,21
|
|
10.12.2014
|
3,21
|
3,37
|
1,31
|
1,87
|
|
11.12.2014
|
1,87
|
4,38
|
-0,04
|
3,00
|
|
12.12.2014
|
3,00
|
6,21
|
2,10
|
5,69
|
|
15.12.2014
|
5,69
|
6,83
|
5,49
|
6,83
|
|
16.12.2014
|
6,83
|
8,83
|
5,17
|
8,67
|
|
17.12.2014
|
8,67
|
9,91
|
8,35
|
9,65
|
|
18.12.2014
|
9,65
|
10,61
|
9,14
|
9,15
|
9,15
|
10,61
|
7,45
|
7,93
|
|
22.12.2014
|
7,93
|
11,04
|
7,54
|
10,80
|
|
23.12.2014
|
10,80
|
11,18
|
10,71
|
10,78
|
|
24.12.2014
|
10,78
|
11,15
|
10,68
|
10,72
|
|
26.12.2014
|
10,72
|
10,85
|
10,43
|
10,53
|
|
29.12.2014
|
10,53
|
10,94
|
10,43
|
10,59
|
|
30.12.2014
|
10,59
|
10,80
|
10,25
|
10,27
|
|
31.12.2014
|
10,27
|
10,36
|
8,91
|
9,10
|
|
02.01.2015
|
9,10
|
12,18
|
8,42
|
12,02
|
|
05.01.2015
|
12,02
|
12,20
|
11,01
|
12,20
|
|
06.01.2015
|
12,20
|
12,20
|
12,20
|
12,20
|
|
07.01.2015
|
12,20
|
12,20
|
12,20
|
12,20
|
|
08.01.2015
|
12,20
|
12,20
|
12,20
|
12,20
|
|
09.01.2015
|
12,20
|
12,33
|
11,01
|
11,16
|
|
12.01.2015
|
11,16
|
16,35
|
8,10
|
16,18
|
|
13.01.2015
|
16,18
|
16,42
|
13,91
|
15,01
|
|
14.01.2015
|
15,01
|
19,39
|
13,82
|
19,39
|
|
15.01.2015
|
19,39
|
24,55
|
17,04
|
24,44
|
|
16.01.2015
|
24,44
|
25,94
|
22,94
|
25,75
|
|
19.01.2015
|
25,75
|
26,47
|
25,48
|
26,47
|
|
20.01.2015
|
26,47
|
26,98
|
24,12
|
25,50
|
|
21.01.2015
|
25,50
|
28,54
|
16,72
|
20,34
|
|
22.01.2015
|
20,34
|
26,82
|
13,18
|
23,96
|
|
23.01.2015
|
23,96
|
27,90
|
16,73
|
27,90
|
|
26.01.2015
|
27,90
|
28,06
|
26,95
|
28,06
|
|
27.01.2015
|
28,06
|
28,28
|
27,67
|
28,11
|
|
28.01.2015
|
28,11
|
29,34
|
27,04
|
27,05
|
|
29.01.2015
|
27,05
|
31,86
|
20,88
|
29,31
|
|
30.01.2015
|
29,31
|
35,77
|
20,98
|
35,77
|
|
02.02.2015
|
35,77
|
37,80
|
35,39
|
36,61
|
|
03.02.2015
|
36,61
|
49,48
|
25,30
|
49,14
|
|
04.02.2015
|
49,14
|
51,75
|
47,58
|
51,26
|
|
05.02.2015
|
51,26
|
52,65
|
50,83
|
51,44
|
|
06.02.2015
|
51,44
|
52,02
|
50,37
|
50,73
|
|
09.02.2015
|
50,73
|
52,27
|
50,49
|
51,78
|
|
10.02.2015
|
51,78
|
52,06
|
49,70
|
50,72
|
|
11.02.2015
|
50,72
|
54,56
|
43,98
|
50,65
|
|
12.02.2015
|
50,65
|
54,23
|
43,57
|
49,72
|
|
13.02.2015
|
49,72
|
51,68
|
47,37
|
47,65
|
|
16.02.2015
|
47,65
|
52,13
|
45,34
|
50,35
|
|
17.02.2015
|
50,35
|
53,83
|
50,29
|
53,40
|
|
18.02.2015
|
53,40
|
53,75
|
46,73
|
50,77
|
|
19.02.2015
|
50,77
|
53,35
|
48,45
|
50,23
|
|
20.02.2015
|
50,23
|
53,03
|
46,77
|
52,06
|
|
23.02.2015
|
52,06
|
52,79
|
51,88
|
52,72
|
|
24.02.2015
|
52,72
|
53,02
|
52,53
|
52,55
|
|
25.02.2015
|
52,55
|
53,11
|
51,21
|
52,89
|
|
26.02.2015
|
52,89
|
54,31
|
50,87
|
53,14
|
|
27.02.2015
|
53,14
|
55,44
|
50,44
|
55,08
|
|
02.03.2015
|
55,08
|
55,11
|
54,51
|
55,09
|
|
03.03.2015
|
55,09
|
55,60
|
54,73
|
55,60
|
|
04.03.2015
|
55,60
|
56,02
|
52,28
|
53,84
|
|
05.03.2015
|
53,84
|
58,88
|
49,93
|
58,85
|
|
06.03.2015
|
58,85
|
60,00
|
56,73
|
56,76
|
|
09.03.2015
|
56,76
|
60,21
|
55,75
|
60,11
|
|
10.03.2015
|
60,11
|
60,73
|
59,70
|
60,58
|
|
11.03.2015
|
60,58
|
61,61
|
57,65
|
60,54
|
|
12.03.2015
|
60,54
|
61,68
|
55,07
|
58,34
|
|
13.03.2015
|
58,34
|
62,35
|
57,45
|
61,85
|
|
16.03.2015
|
61,85
|
62,50
|
61,69
|
62,50
|
|
17.03.2015
|
62,50
|
62,77
|
61,99
|
62,70
|
|
18.03.2015
|
62,70
|
65,71
|
3,37
|
65,64
|
|
19.03.2015
|
65,64
|
71,84
|
62,66
|
71,79
|
|
20.03.2015
|
71,79
|
72,80
|
63,88
|
68,69
|
|
23.03.2015
|
68,69
|
75,79
|
52,30
|
74,66
|
|
24.03.2015
|
74,66
|
75,34
|
74,16
|
74,85
|
|
25.03.2015
|
74,85
|
75,82
|
74,70
|
75,38
|
|
26.03.2015
|
75,38
|
77,78
|
75,08
|
77,69
|
|
27.03.2015
|
77,69
|
78,14
|
77,48
|
78,14
|
|
30.03.2015
|
78,14
|
78,14
|
78,14
|
78,14
|
|
31.03.2015
|
78,62
|
78,01
|
78,62
|
|
01.04.2015
|
78,62
|
79,25
|
78,01
|
79,20
|
|
02.04.2015
|
79,20
|
79,46
|
77,90
|
78,50
|
|
03.04.2015
|
78,50
|
80,85
|
77,77
|
80,03
|
|
06.04.2015
|
80,03
|
81,84
|
79,63
|
81,61
|
|
07.04.2015
|
81,61
|
83,36
|
80,01
|
83,25
|
|
08.04.2015
|
83,25
|
83,44
|
83,15
|
83,38
|
Приложение
К
Мониторинг
средств ПАММ-счета Standard Model VSV Group
Таблица К.1
Мониторинг средств ПАММ-счета Standard Model VSV Group
|
Дата
|
Доходность
|
|
open
|
high
|
low
|
close
|
|
1
|
2
|
3
|
4
|
5
|
|
22.07.2014
|
0,00
|
0,00
|
0,00
|
0,00
|
|
23.07.2014
|
0,00
|
0,00
|
0,00
|
0,00
|
|
24.07.2014
|
0,00
|
0,14
|
-0,39
|
0,06
|
|
25.07.2014
|
0,06
|
0,36
|
-0,05
|
0,31
|
|
28.07.2014
|
0,31
|
3,03
|
0,29
|
2,67
|
|
29.07.2014
|
2,67
|
4,59
|
1,82
|
1,82
|
|
30.07.2014
|
1,82
|
2,15
|
0,92
|
1,28
|
|
31.07.2014
|
1,28
|
3,05
|
0,68
|
1,08
|
|
01.08.2014
|
1,08
|
2,03
|
0,77
|
1,24
|
|
04.08.2014
|
1,24
|
2,00
|
0,25
|
1,22
|
|
05.08.2014
|
1,22
|
3,84
|
0,68
|
3,83
|
|
06.08.2014
|
3,83
|
6,35
|
3,39
|
5,08
|
|
07.08.2014
|
5,08
|
8,16
|
4,65
|
6,08
|
|
08.08.2014
|
6,08
|
9,88
|
4,83
|
4,87
|
|
11.08.2014
|
4,87
|
6,42
|
4,75
|
6,29
|
|
12.08.2014
|
6,29
|
6,38
|
4,06
|
4,37
|
|
13.08.2014
|
4,37
|
5,28
|
2,95
|
3,20
|
|
14.08.2014
|
3,20
|
4,84
|
2,03
|
2,24
|
|
15.08.2014
|
2,24
|
2,52
|
1,74
|
1,74
|
|
18.08.2014
|
1,74
|
1,74
|
1,74
|
1,74
|
|
19.08.2014
|
1,74
|
1,87
|
1,60
|
1,73
|
|
20.08.2014
|
1,73
|
2,56
|
1,33
|
2,01
|
|
21.08.2014
|
2,01
|
2,46
|
-0,70
|
0,13
|
|
22.08.2014
|
0,13
|
0,87
|
-3,60
|
-3,31
|
|
25.08.2014
|
-3,31
|
-2,30
|
-3,45
|
-3,42
|
|
26.08.2014
|
-3,42
|
-2,48
|
-3,94
|
-3,24
|
|
27.08.2014
|
-3,24
|
-2,88
|
-4,46
|
-4,30
|
|
28.08.2014
|
-4,30
|
-0,85
|
-4,30
|
-1,88
|
|
29.08.2014
|
-1,88
|
0,21
|
-2,02
|
-0,99
|
|
01.09.2014
|
-0,99
|
1,93
|
-1,85
|
-1,16
|
|
02.09.2014
|
-1,16
|
-0,11
|
-1,47
|
-0,63
|
|
03.09.2014
|
-0,63
|
-0,63
|
-3,07
|
-2,54
|
|
04.09.2014
|
-2,54
|
-2,24
|
-3,51
|
-2,46
|
|
05.09.2014
|
-2,46
|
-2,46
|
-7,15
|
-7,00
|
|
08.09.2014
|
-7,00
|
-6,77
|
-8,34
|
-8,17
|
|
09.09.2014
|
-8,17
|
-7,85
|
-8,50
|
-8,28
|
|
10.09.2014
|
-8,28
|
-8,25
|
-8,92
|
-8,83
|
|
11.09.2014
|
-8,83
|
-7,00
|
-8,97
|
-8,09
|
|
12.09.2014
|
-8,09
|
-2,60
|
-8,18
|
-5,36
|
|
15.09.2014
|
-5,36
|
3,21
|
-5,43
|
2,72
|
|
16.09.2014
|
2,72
|
6,21
|
2,72
|
3,96
|
|
17.09.2014
|
3,96
|
3,99
|
3,03
|
3,44
|
|
18.09.2014
|
3,44
|
3,90
|
3,13
|
3,55
|
|
19.09.2014
|
3,55
|
3,79
|
3,23
|
3,54
|
|
22.09.2014
|
3,54
|
4,69
|
2,34
|
4,44
|
|
23.09.2014
|
4,44
|
5,25
|
2,22
|
3,31
|
|
24.09.2014
|
3,31
|
3,31
|
0,18
|
1,53
|
|
25.09.2014
|
1,53
|
1,74
|
-0,52
|
-0,15
|
|
26.09.2014
|
-0,15
|
5,78
|
-0,15
|
5,36
|
|
29.09.2014
|
5,36
|
10,40
|
5,27
|
7,96
|
|
30.09.2014
|
7,96
|
12,64
|
5,56
|
10,15
|
|
01.10.2014
|
10,15
|
11,78
|
7,16
|
7,27
|
|
02.10.2014
|
7,27
|
7,97
|
7,26
|
7,34
|
|
03.10.2014
|
7,34
|
9,45
|
6,98
|
8,94
|
|
06.10.2014
|
8,94
|
10,44
|
6,28
|
6,33
|
|
07.10.2014
|
6,33
|
9,30
|
5,76
|
8,00
|
|
08.10.2014
|
8,00
|
11,75
|
8,00
|
9,04
|
|
09.10.2014
|
9,04
|
9,39
|
5,92
|
9,25
|
|
10.10.2014
|
9,25
|
13,88
|
9,25
|
10,94
|
|
13.10.2014
|
10,94
|
12,89
|
8,34
|
12,06
|
|
14.10.2014
|
12,06
|
20,62
|
20,11
|
|
15.10.2014
|
20,11
|
22,38
|
15,72
|
15,72
|
|
16.10.2014
|
15,72
|
17,94
|
14,66
|
15,84
|
|
17.10.2014
|
15,84
|
18,05
|
11,19
|
11,82
|
|
20.10.2014
|
11,82
|
14,62
|
11,75
|
14,08
|
|
21.10.2014
|
14,08
|
14,91
|
11,99
|
12,85
|
|
22.10.2014
|
12,85
|
16,76
|
11,76
|
16,47
|
|
23.10.2014
|
16,47
|
21,34
|
16,17
|
19,64
|
|
24.10.2014
|
19,64
|
24,51
|
18,85
|
20,15
|
|
27.10.2014
|
20,15
|
22,44
|
18,91
|
21,55
|
|
28.10.2014
|
21,55
|
24,64
|
20,70
|
21,23
|
|
29.10.2014
|
21,23
|
28,24
|
21,23
|
27,87
|
|
30.10.2014
|
27,87
|
32,13
|
27,56
|
31,18
|
|
31.10.2014
|
31,18
|
31,68
|
28,97
|
29,53
|
|
03.11.2014
|
29,53
|
31,30
|
28,94
|
31,15
|
|
04.11.2014
|
31,15
|
31,15
|
31,06
|
31,06
|
|
05.11.2014
|
31,06
|
40,66
|
30,97
|
38,43
|
|
06.11.2014
|
38,43
|
47,96
|
38,07
|
47,95
|
|
07.11.2014
|
47,95
|
53,26
|
45,15
|
51,00
|
|
10.11.2014
|
51,00
|
58,19
|
51,00
|
51,17
|
|
11.11.2014
|
51,17
|
57,82
|
50,87
|
52,71
|
|
12.11.2014
|
52,71
|
53,58
|
50,02
|
50,02
|
|
13.11.2014
|
50,02
|
51,42
|
46,51
|
48,51
|
|
14.11.2014
|
48,51
|
56,85
|
46,89
|
49,30
|
|
17.11.2014
|
49,30
|
54,35
|
46,19
|
47,10
|
|
18.11.2014
|
47,10
|
48,89
|
39,47
|
40,53
|
|
19.11.2014
|
40,53
|
41,01
|
39,38
|
39,72
|
|
20.11.2014
|
39,72
|
45,04
|
37,17
|
44,94
|
|
21.11.2014
|
44,94
|
62,26
|
44,94
|
50,22
|
|
24.11.2014
|
50,22
|
83,79
|
50,22
|
67,14
|
|
25.11.2014
|
67,14
|
70,49
|
61,67
|
65,68
|
|
26.11.2014
|
65,68
|
76,52
|
65,51
|
76,52
|
|
27.11.2014
|
76,52
|
82,17
|
70,33
|
78,69
|
|
28.11.2014
|
78,69
|
80,11
|
78,61
|
80,11
|
|
01.12.2014
|
80,11
|
95,94
|
79,12
|
86,36
|
|
02.12.2014
|
86,36
|
100,08
|
82,12
|
97,30
|
|
03.12.2014
|
97,30
|
103,35
|
83,54
|
88,41
|
|
04.12.2014
|
88,41
|
88,41
|
75,73
|
77,07
|
|
05.12.2014
|
77,07
|
77,07
|
68,66
|
69,71
|
|
08.12.2014
|
69,71
|
69,75
|
64,73
|
66,72
|
|
09.12.2014
|
66,72
|
71,16
|
66,33
|
69,33
|
|
10.12.2014
|
69,33
|
78,24
|
67,47
|
76,61
|
|
11.12.2014
|
76,61
|
97,76
|
70,51
|
96,31
|
|
12.12.2014
|
96,31
|
132,06
|
95,93
|
126,18
|
|
15.12.2014
|
126,18
|
140,75
|
125,52
|
134,66
|
|
16.12.2014
|
134,66
|
134,67
|
134,66
|
134,67
|
|
17.12.2014
|
134,67
|
134,67
|
134,67
|
134,67
|
|
18.12.2014
|
134,67
|
134,67
|
134,67
|
134,67
|
|
19.12.2014
|
134,67
|
134,67
|
134,67
|
134,67
|
|
22.12.2014
|
134,67
|
134,67
|
122,68
|
122,68
|
|
23.12.2014
|
122,68
|
122,68
|
122,68
|
122,68
|
|
24.12.2014
|
122,68
|
122,68
|
122,68
|
122,68
|
|
26.12.2014
|
122,68
|
122,69
|
122,68
|
122,69
|
|
29.12.2014
|
122,69
|
122,69
|
122,69
|
122,69
|
|
30.12.2014
|
122,69
|
122,69
|
122,69
|
122,69
|
|
31.12.2014
|
122,69
|
122,69
|
122,69
|
122,69
|
|
02.01.2015
|
122,69
|
122,69
|
122,69
|
122,69
|
|
05.01.2015
|
122,69
|
122,69
|
122,69
|
122,69
|
|
06.01.2015
|
122,69
|
122,69
|
122,69
|
122,69
|
|
07.01.2015
|
122,69
|
122,69
|
122,69
|
122,69
|
|
08.01.2015
|
122,69
|
122,69
|
122,69
|
122,69
|
|
09.01.2015
|
122,69
|
122,69
|
122,69
|
122,69
|
|
12.01.2015
|
122,69
|
122,69
|
122,69
|
122,69
|
|
13.01.2015
|
122,69
|
122,69
|
122,69
|
122,69
|
|
14.01.2015
|
122,69
|
122,69
|
122,69
|
122,69
|
|
15.01.2015
|
122,69
|
122,69
|
122,69
|
122,69
|
|
16.01.2015
|
122,69
|
122,69
|
122,69
|
122,69
|
|
19.01.2015
|
122,69
|
122,69
|
122,69
|
122,69
|
|
20.01.2015
|
122,69
|
122,69
|
122,69
|
122,69
|
|
21.01.2015
|
122,69
|
122,69
|
122,69
|
122,69
|
|
22.01.2015
|
122,69
|
122,69
|
122,69
|
|
23.01.2015
|
122,69
|
122,69
|
122,69
|
122,69
|
|
26.01.2015
|
122,69
|
122,69
|
122,69
|
122,69
|
|
27.01.2015
|
122,69
|
122,69
|
122,69
|
122,69
|
|
28.01.2015
|
122,69
|
122,69
|
122,69
|
122,69
|
|
29.01.2015
|
122,69
|
122,69
|
122,69
|
122,69
|
|
30.01.2015
|
122,69
|
122,69
|
122,69
|
122,69
|
|
02.02.2015
|
122,69
|
122,69
|
122,69
|
122,69
|
|
03.02.2015
|
122,69
|
122,69
|
122,69
|
122,69
|
|
04.02.2015
|
122,69
|
122,69
|
122,69
|
122,69
|
|
05.02.2015
|
122,69
|
122,69
|
122,69
|
122,69
|
|
06.02.2015
|
122,69
|
122,69
|
122,69
|
122,69
|
|
09.02.2015
|
122,69
|
122,69
|
122,69
|
122,69
|
|
10.02.2015
|
122,69
|
122,69
|
122,69
|
122,69
|
|
11.02.2015
|
122,69
|
122,69
|
122,69
|
122,69
|
|
12.02.2015
|
122,69
|
122,69
|
122,69
|
122,69
|
|
13.02.2015
|
122,69
|
122,69
|
122,69
|
122,69
|
|
16.02.2015
|
122,69
|
122,69
|
122,69
|
122,69
|
|
17.02.2015
|
122,69
|
122,69
|
122,69
|
122,69
|
|
18.02.2015
|
122,69
|
122,69
|
122,69
|
122,69
|
|
19.02.2015
|
122,69
|
122,69
|
122,69
|
122,69
|
|
20.02.2015
|
122,69
|
122,69
|
122,69
|
122,69
|
|
23.02.2015
|
122,69
|
122,69
|
122,69
|
122,69
|
|
24.02.2015
|
122,69
|
122,69
|
122,69
|
122,69
|
|
25.02.2015
|
122,69
|
122,69
|
122,69
|
122,69
|
|
26.02.2015
|
122,69
|
122,74
|
122,68
|
122,73
|
|
27.02.2015
|
122,73
|
122,75
|
122,69
|
122,73
|
|
02.03.2015
|
122,73
|
122,76
|
122,73
|
122,76
|
|
03.03.2015
|
122,76
|
122,76
|
122,76
|
122,76
|
|
04.03.2015
|
122,76
|
122,78
|
122,75
|
122,77
|
|
05.03.2015
|
122,77
|
122,80
|
122,77
|
122,79
|
|
06.03.2015
|
122,79
|
122,88
|
122,78
|
122,87
|
|
09.03.2015
|
122,87
|
122,93
|
122,78
|
122,82
|
|
10.03.2015
|
122,82
|
122,82
|
122,67
|
122,78
|
|
11.03.2015
|
122,78
|
122,87
|
122,75
|
122,87
|
|
12.03.2015
|
122,87
|
122,97
|
122,81
|
122,93
|
|
13.03.2015
|
122,93
|
122,96
|
122,74
|
122,77
|
|
16.03.2015
|
122,77
|
122,79
|
122,69
|
122,70
|
|
17.03.2015
|
122,70
|
122,79
|
122,67
|
122,79
|
|
18.03.2015
|
122,79
|
122,85
|
122,79
|
122,81
|
|
19.03.2015
|
122,81
|
122,91
|
122,80
|
122,90
|
|
20.03.2015
|
122,90
|
123,00
|
122,87
|
122,97
|
|
23.03.2015
|
122,97
|
123,03
|
122,92
|
123,02
|
|
24.03.2015
|
123,02
|
123,02
|
123,02
|
123,02
|
|
25.03.2015
|
123,02
|
123,02
|
123,02
|
123,02
|
|
26.03.2015
|
123,02
|
123,03
|
123,00
|
123,02
|
|
27.03.2015
|
123,02
|
123,07
|
123,00
|
123,07
|
|
30.03.2015
|
123,07
|
123,07
|
123,07
|
123,07
|
|
31.03.2015
|
123,07
|
123,07
|
122,97
|
123,05
|
|
01.04.2015
|
123,05
|
123,07
|
122,93
|
122,99
|
|
02.04.2015
|
122,99
|
123,02
|
122,84
|
122,85
|
|
03.04.2015
|
122,85
|
122,90
|
122,81
|
122,82
|
|
06.04.2015
|
122,82
|
122,94
|
122,72
|
122,74
|
|
07.04.2015
|
122,74
|
122,79
|
122,67
|
122,67
|
|
08.04.2015
|
122,67
|
122,67
|
122,67
|
122,67
|
Приложение
Л
Мониторинг
средств ПАММ-счетаPavlik77
Таблица Л.1
Мониторинг средств ПАММ-счета Pavlik77
|
Дата
|
Доходность
|
|
open
|
high
|
low
|
close
|
|
1
|
2
|
3
|
4
|
5
|
|
01.09.2014
|
0,00
|
0,00
|
0,00
|
0,00
|
|
02.09.2014
|
0,00
|
0,17
|
-1,15
|
0,14
|
|
03.09.2014
|
0,14
|
0,91
|
-0,25
|
0,91
|
|
04.09.2014
|
0,91
|
0,91
|
0,91
|
0,91
|
|
05.09.2014
|
0,91
|
1,20
|
-3,67
|
-2,17
|
|
08.09.2014
|
-2,17
|
1,72
|
-2,22
|
1,72
|
|
09.09.2014
|
1,72
|
1,72
|
1,72
|
1,72
|
|
10.09.2014
|
1,72
|
3,42
|
1,46
|
3,17
|
|
11.09.2014
|
3,17
|
3,29
|
1,74
|
2,04
|
|
12.09.2014
|
2,04
|
2,04
|
2,04
|
2,04
|
|
15.09.2014
|
2,04
|
3,44
|
1,47
|
2,09
|
|
16.09.2014
|
2,09
|
7,77
|
0,91
|
7,77
|
|
17.09.2014
|
7,77
|
8,45
|
5,13
|
6,20
|
|
18.09.2014
|
8,78
|
5,85
|
6,55
|
|
19.09.2014
|
6,55
|
11,14
|
4,65
|
6,75
|
|
22.09.2014
|
6,75
|
10,95
|
6,51
|
10,60
|
|
23.09.2014
|
10,60
|
13,12
|
10,15
|
13,05
|
|
24.09.2014
|
13,05
|
14,32
|
7,59
|
9,15
|
|
25.09.2014
|
9,15
|
9,61
|
4,64
|
6,50
|
|
26.09.2014
|
6,50
|
10,81
|
5,30
|
10,44
|
|
29.09.2014
|
10,44
|
10,81
|
7,85
|
10,18
|
|
30.09.2014
|
10,18
|
13,44
|
8,21
|
13,27
|
|
01.10.2014
|
13,27
|
14,31
|
12,81
|
14,26
|
|
02.10.2014
|
14,26
|
15,82
|
13,18
|
15,66
|
|
03.10.2014
|
15,66
|
15,66
|
15,66
|
15,66
|
|
06.10.2014
|
15,66
|
15,66
|
15,66
|
15,66
|
|
07.10.2014
|
15,66
|
16,73
|
13,98
|
16,08
|
|
08.10.2014
|
16,08
|
17,03
|
15,29
|
17,00
|
|
09.10.2014
|
17,00
|
21,21
|
10,76
|
20,88
|
|
10.10.2014
|
20,88
|
25,19
|
16,70
|
25,03
|
|
13.10.2014
|
25,03
|
27,38
|
22,37
|
27,30
|
|
14.10.2014
|
27,30
|
27,92
|
27,18
|
27,83
|
|
15.10.2014
|
27,83
|
29,39
|
23,56
|
29,39
|
|
16.10.2014
|
29,39
|
33,04
|
28,81
|
32,79
|
|
17.10.2014
|
32,79
|
32,79
|
25,78
|
32,28
|
|
20.10.2014
|
32,28
|
32,28
|
27,50
|
29,03
|
|
21.10.2014
|
29,03
|
30,90
|
24,95
|
29,31
|
|
22.10.2014
|
29,31
|
31,74
|
26,98
|
29,91
|
|
23.10.2014
|
29,91
|
33,85
|
27,71
|
32,28
|
|
24.10.2014
|
32,28
|
36,45
|
31,35
|
34,91
|
|
27.10.2014
|
34,91
|
35,02
|
26,15
|
31,37
|
|
28.10.2014
|
31,37
|
32,92
|
22,80
|
32,07
|
|
29.10.2014
|
32,07
|
43,92
|
26,07
|
43,85
|
|
30.10.2014
|
43,85
|
48,21
|
32,19
|
47,79
|
|
31.10.2014
|
47,79
|
49,27
|
47,32
|
49,15
|
|
03.11.2014
|
49,15
|
51,73
|
47,41
|
51,10
|
|
04.11.2014
|
51,10
|
52,05
|
49,42
|
50,41
|
|
05.11.2014
|
50,41
|
52,98
|
45,67
|
52,95
|
|
06.11.2014
|
52,95
|
53,43
|
40,61
|
42,82
|
|
10.11.2014
|
55,65
|
57,32
|
53,44
|
56,59
|
|
11.11.2014
|
56,59
|
56,59
|
56,59
|
56,59
|
|
12.11.2014
|
56,59
|
56,59
|
50,11
|
54,18
|
|
13.11.2014
|
54,18
|
60,13
|
53,22
|
60,13
|
|
14.11.2014
|
60,13
|
60,81
|
59,73
|
60,76
|
|
17.11.2014
|
60,76
|
62,60
|
59,90
|
62,58
|
|
18.11.2014
|
62,58
|
62,58
|
59,83
|
60,73
|
|
19.11.2014
|
60,73
|
62,99
|
54,78
|
58,99
|
|
20.11.2014
|
58,99
|
63,96
|
57,08
|
63,92
|
|
21.11.2014
|
63,92
|
64,44
|
62,60
|
62,84
|
|
24.11.2014
|
62,84
|
65,63
|
60,88
|
65,62
|
|
25.11.2014
|
65,62
|
66,16
|
63,28
|
65,00
|
|
26.11.2014
|
65,00
|
69,65
|
64,05
|
69,45
|
|
27.11.2014
|
69,45
|
70,43
|
68,20
|
70,43
|
|
28.11.2014
|
70,43
|
71,01
|
58,36
|
62,03
|
|
01.12.2014
|
62,03
|
69,26
|
55,72
|
65,66
|
|
02.12.2014
|
65,66
|
72,09
|
64,72
|
72,09
|
|
03.12.2014
|
72,09
|
72,09
|
72,09
|
72,09
|
|
04.12.2014
|
72,09
|
72,74
|
71,13
|
72,50
|
|
05.12.2014
|
72,50
|
77,28
|
70,25
|
77,10
|
|
08.12.2014
|
77,10
|
79,58
|
73,94
|
79,51
|
|
09.12.2014
|
79,51
|
82,17
|
78,80
|
82,16
|
|
10.12.2014
|
82,16
|
83,87
|
78,13
|
78,14
|
|
11.12.2014
|
78,14
|
83,58
|
73,12
|
83,58
|
|
12.12.2014
|
83,58
|
84,81
|
79,76
|
80,47
|
|
15.12.2014
|
80,47
|
83,35
|
65,01
|
65,18
|
|
16.12.2014
|
65,18
|
77,24
|
62,24
|
72,24
|
|
17.12.2014
|
72,24
|
84,30
|
64,90
|
83,06
|
|
18.12.2014
|
83,06
|
83,06
|
83,06
|
83,06
|
|
19.12.2014
|
83,06
|
85,18
|
82,93
|
85,18
|
|
22.12.2014
|
85,18
|
85,18
|
85,18
|
85,18
|
|
23.12.2014
|
85,18
|
85,18
|
85,18
|
85,18
|
|
24.12.2014
|
85,18
|
85,18
|
85,18
|
85,18
|
|
26.12.2014
|
85,18
|
85,18
|
85,18
|
85,18
|
|
29.12.2014
|
85,18
|
85,18
|
85,18
|
|
30.12.2014
|
85,18
|
85,18
|
85,18
|
85,18
|
|
31.12.2014
|
85,18
|
85,18
|
85,18
|
85,18
|
|
02.01.2015
|
85,18
|
85,18
|
85,18
|
85,18
|
|
05.01.2015
|
85,18
|
87,58
|
84,05
|
87,00
|
|
06.01.2015
|
87,00
|
89,58
|
86,36
|
89,41
|
|
07.01.2015
|
89,41
|
89,41
|
89,41
|
89,41
|
|
08.01.2015
|
89,41
|
90,57
|
87,71
|
88,19
|
|
09.01.2015
|
88,19
|
89,62
|
77,30
|
77,90
|
|
12.01.2015
|
77,90
|
89,94
|
70,82
|
85,60
|
|
13.01.2015
|
85,60
|
90,11
|
79,36
|
84,01
|
|
14.01.2015
|
84,01
|
95,45
|
79,78
|
94,26
|
|
15.01.2015
|
94,26
|
97,39
|
94,01
|
97,16
|
|
16.01.2015
|
97,16
|
98,62
|
96,55
|
98,52
|
|
19.01.2015
|
98,52
|
100,11
|
98,09
|
99,79
|
|
20.01.2015
|
99,79
|
99,79
|
99,79
|
99,79
|
|
21.01.2015
|
99,79
|
100,80
|
98,74
|
100,71
|
|
22.01.2015
|
100,71
|
101,60
|
100,57
|
100,84
|
|
23.01.2015
|
100,84
|
102,13
|
96,81
|
98,56
|
|
26.01.2015
|
98,56
|
101,45
|
90,24
|
92,10
|
|
27.01.2015
|
92,10
|
101,46
|
87,97
|
101,46
|
|
28.01.2015
|
101,46
|
102,02
|
97,78
|
101,91
|
|
29.01.2015
|
101,91
|
102,45
|
96,35
|
98,90
|
|
30.01.2015
|
98,90
|
99,32
|
89,93
|
91,32
|
|
02.02.2015
|
91,32
|
101,42
|
88,39
|
101,42
|
|
03.02.2015
|
101,42
|
102,53
|
101,30
|
102,44
|
|
04.02.2015
|
102,44
|
105,47
|
102,20
|
105,42
|
|
05.02.2015
|
105,42
|
107,75
|
104,27
|
107,75
|
|
06.02.2015
|
107,75
|
109,19
|
104,55
|
109,19
|
|
09.02.2015
|
109,19
|
110,04
|
104,48
|
107,95
|
|
10.02.2015
|
107,95
|
110,35
|
107,95
|
108,93
|
|
11.02.2015
|
108,93
|
110,23
|
108,64
|
110,23
|
|
12.02.2015
|
110,23
|
113,10
|
109,55
|
112,56
|
|
13.02.2015
|
112,56
|
113,62
|
112,05
|
113,61
|
|
16.02.2015
|
113,61
|
114,00
|
112,31
|
112,98
|
|
17.02.2015
|
112,98
|
114,41
|
113,48
|
114,41
|
|
18.02.2015
|
114,41
|
115,41
|
114,00
|
115,39
|
|
19.02.2015
|
115,39
|
116,57
|
114,77
|
115,83
|
|
20.02.2015
|
115,83
|
116,93
|
114,51
|
114,73
|
|
23.02.2015
|
114,73
|
118,19
|
114,43
|
118,18
|
|
24.02.2015
|
118,18
|
120,14
|
116,92
|
118,58
|
|
25.02.2015
|
118,58
|
119,05
|
114,14
|
115,05
|
|
26.02.2015
|
115,05
|
119,63
|
109,75
|
119,54
|
|
27.02.2015
|
119,54
|
120,04
|
119,30
|
120,03
|
|
02.03.2015
|
120,03
|
120,32
|
116,86
|
117,38
|
|
03.03.2015
|
117,38
|
120,75
|
116,09
|
120,08
|
|
04.03.2015
|
120,08
|
121,57
|
117,34
|
120,12
|
|
05.03.2015
|
120,12
|
121,05
|
118,39
|
120,40
|
|
06.03.2015
|
120,40
|
121,50
|
120,05
|
121,21
|
|
09.03.2015
|
121,21
|
122,16
|
118,84
|
119,99
|
|
10.03.2015
|
119,99
|
124,99
|
115,43
|
124,99
|
|
11.03.2015
|
124,99
|
126,07
|
121,96
|
123,80
|
|
12.03.2015
|
123,80
|
126,94
|
122,89
|
126,87
|
|
13.03.2015
|
126,87
|
126,87
|
126,87
|
126,87
|
|
16.03.2015
|
126,87
|
127,25
|
123,27
|
126,95
|
|
17.03.2015
|
126,95
|
129,32
|
123,81
|
128,31
|
|
18.03.2015
|
128,31
|
128,31
|
128,31
|
128,31
|
|
19.03.2015
|
128,31
|
130,18
|
128,15
|
130,01
|
|
20.03.2015
|
130,01
|
131,40
|
129,75
|
131,39
|
|
23.03.2015
|
131,39
|
131,90
|
128,27
|
128,75
|
|
24.03.2015
|
128,75
|
133,65
|
122,27
|
132,74
|
|
25.03.2015
|
132,74
|
133,44
|
129,12
|
131,95
|
|
26.03.2015
|
131,95
|
134,56
|
126,76
|
134,19
|
|
27.03.2015
|
134,19
|
134,19
|
134,19
|
134,19
|
|
30.03.2015
|
134,19
|
134,19
|
134,19
|
134,19
|
|
31.03.2015
|
134,19
|
135,30
|
133,67
|
135,29
|
|
01.04.2015
|
135,29
|
136,85
|
133,62
|
136,35
|
|
02.04.2015
|
136,35
|
138,47
|
134,92
|
138,41
|
|
03.04.2015
|
138,41
|
138,62
|
128,44
|
132,12
|
|
06.04.2015
|
132,12
|
141,48
|
128,24
|
139,81
|
|
07.04.2015
|
139,81
|
139,81
|
139,81
|
|
08.04.2015
|
139,81
|
139,81
|
139,81
|
139,81
|
Приложение
М
Мониторинг
средств ПАММ-счета Peak
Таблица М.1
Мониторинг средств ПАММ-счета Peak
|
Дата
|
Доходность
|
|
open
|
high
|
low
|
close
|
|
1
|
2
|
3
|
4
|
5
|
|
03.04.2014
|
0,00
|
0,00
|
0,00
|
0,00
|
|
04.04.2014
|
0,00
|
2,81
|
-2,50
|
-1,10
|
|
07.04.2014
|
-1,10
|
-0,91
|
-3,71
|
-3,09
|
|
08.04.2014
|
-3,09
|
-3,09
|
-7,22
|
-6,91
|
|
09.04.2014
|
-6,91
|
-4,56
|
-9,35
|
-9,20
|
|
10.04.2014
|
-9,20
|
-9,16
|
-9,80
|
-9,80
|
|
11.04.2014
|
-9,80
|
-8,63
|
-11,25
|
-10,77
|
|
14.04.2014
|
-10,77
|
-6,58
|
-12,45
|
-11,98
|
|
15.04.2014
|
-11,98
|
-10,77
|
-15,34
|
-12,78
|
|
16.04.2014
|
-12,78
|
-12,78
|
-24,87
|
-22,74
|
|
17.04.2014
|
-22,74
|
-18,15
|
-26,95
|
-18,68
|
|
18.04.2014
|
-18,68
|
-17,49
|
-23,66
|
-22,78
|
|
21.04.2014
|
-22,78
|
-18,49
|
-23,03
|
-19,58
|
|
22.04.2014
|
-19,58
|
-18,51
|
-23,03
|
-21,52
|
|
23.04.2014
|
-21,52
|
-20,57
|
-25,02
|
-23,17
|
|
24.04.2014
|
-23,17
|
-18,72
|
-25,66
|
-22,33
|
|
25.04.2014
|
-22,33
|
-6,50
|
-22,33
|
-8,43
|
|
28.04.2014
|
-8,43
|
-6,63
|
-14,92
|
-14,76
|
|
29.04.2014
|
-14,76
|
-13,27
|
-15,79
|
-15,72
|
|
30.04.2014
|
-15,72
|
-15,61
|
-16,92
|
-16,62
|
|
01.05.2014
|
-16,62
|
-16,62
|
-16,62
|
-16,62
|
|
02.05.2014
|
-16,62
|
-15,27
|
-18,91
|
-16,84
|
|
05.05.2014
|
-16,84
|
-16,46
|
-20,62
|
-20,49
|
|
06.05.2014
|
-20,49
|
-16,92
|
-21,73
|
-19,15
|
|
07.05.2014
|
-19,15
|
2,97
|
-23,41
|
2,14
|
|
08.05.2014
|
2,14
|
5,21
|
-2,98
|
-2,67
|
|
09.05.2014
|
-2,67
|
-2,67
|
-2,67
|
-2,67
|
|
12.05.2014
|
-2,67
|
-2,32
|
-12,09
|
-9,18
|
|
13.05.2014
|
-9,18
|
1,35
|
-9,18
|
-3,68
|
|
14.05.2014
|
-3,68
|
11,94
|
-3,68
|
1,29
|
|
15.05.2014
|
1,29
|
10,97
|
-0,77
|
1,53
|
|
16.05.2014
|
1,53
|
4,21
|
-1,33
|
-0,93
|
|
19.05.2014
|
-0,93
|
21,23
|
-1,58
|
10,97
|
|
20.05.2014
|
10,97
|
17,17
|
4,72
|
7,67
|
|
21.05.2014
|
7,67
|
25,68
|
4,93
|
24,08
|
|
22.05.2014
|
24,08
|
38,35
|
24,08
|
29,14
|
|
23.05.2014
|
29,14
|
58,70
|
27,22
|
45,52
|
|
26.05.2014
|
45,52
|
64,33
|
41,43
|
44,04
|
|
27.05.2014
|
44,04
|
49,05
|
34,97
|
37,12
|
|
28.05.2014
|
37,12
|
46,08
|
37,12
|
43,20
|
|
29.05.2014
|
43,20
|
54,48
|
38,21
|
45,85
|
|
30.05.2014
|
45,85
|
78,04
|
41,98
|
72,35
|
|
02.06.2014
|
72,35
|
81,38
|
63,93
|
73,19
|
|
03.06.2014
|
73,19
|
85,47
|
72,47
|
83,03
|
|
04.06.2014
|
83,03
|
98,85
|
80,38
|
80,41
|
|
05.06.2014
|
80,41
|
90,56
|
78,09
|
87,58
|
|
06.06.2014
|
87,58
|
108,90
|
84,78
|
107,18
|
|
09.06.2014
|
107,18
|
117,74
|
106,83
|
109,27
|
|
10.06.2014
|
109,27
|
113,60
|
106,01
|
108,09
|
|
11.06.2014
|
108,09
|
112,37
|
100,76
|
101,86
|
|
12.06.2014
|
101,86
|
101,86
|
101,86
|
101,86
|
|
13.06.2014
|
101,86
|
103,41
|
96,05
|
96,97
|
|
16.06.2014
|
96,97
|
112,47
|
96,68
|
103,11
|
|
17.06.2014
|
103,11
|
121,84
|
102,48
|
115,33
|
|
18.06.2014
|
115,33
|
123,93
|
110,72
|
123,23
|
|
19.06.2014
|
123,23
|
143,82
|
123,23
|
126,67
|
|
20.06.2014
|
126,67
|
127,56
|
121,65
|
122,60
|
|
23.06.2014
|
122,60
|
126,22
|
115,49
|
125,82
|
|
24.06.2014
|
125,82
|
164,78
|
125,82
|
152,95
|
|
25.06.2014
|
152,95
|
153,69
|
142,42
|
144,61
|
|
26.06.2014
|
144,61
|
148,71
|
141,98
|
144,21
|
|
27.06.2014
|
144,21
|
154,96
|
131,84
|
134,61
|
|
30.06.2014
|
134,61
|
135,29
|
123,17
|
125,91
|
|
01.07.2014
|
125,91
|
153,03
|
125,44
|
148,86
|
|
02.07.2014
|
148,86
|
151,09
|
133,59
|
139,56
|
|
03.07.2014
|
139,56
|
146,97
|
127,96
|
134,54
|
134,54
|
155,55
|
132,88
|
143,34
|
|
07.07.2014
|
143,34
|
168,56
|
140,56
|
142,70
|
|
08.07.2014
|
142,70
|
147,02
|
130,25
|
133,10
|
|
09.07.2014
|
133,10
|
163,57
|
133,10
|
163,40
|
|
10.07.2014
|
163,40
|
184,53
|
153,31
|
154,15
|
|
11.07.2014
|
154,15
|
186,64
|
153,48
|
177,89
|
|
14.07.2014
|
177,89
|
200,01
|
176,74
|
192,49
|
|
15.07.2014
|
192,49
|
200,92
|
185,96
|
194,55
|
|
16.07.2014
|
194,55
|
198,80
|
191,54
|
192,23
|
|
17.07.2014
|
192,23
|
218,92
|
191,37
|
216,70
|
|
18.07.2014
|
216,70
|
220,25
|
201,50
|
203,05
|
|
21.07.2014
|
203,05
|
207,79
|
201,76
|
202,77
|
|
22.07.2014
|
202,77
|
214,74
|
200,42
|
201,13
|
|
23.07.2014
|
201,13
|
209,07
|
199,68
|
200,38
|
|
24.07.2014
|
200,38
|
200,90
|
190,26
|
192,34
|
|
25.07.2014
|
192,34
|
194,31
|
189,98
|
192,39
|
|
28.07.2014
|
192,39
|
218,15
|
192,15
|
214,06
|
|
29.07.2014
|
214,06
|
225,21
|
205,23
|
205,23
|
|
30.07.2014
|
205,23
|
209,41
|
198,03
|
200,37
|
|
31.07.2014
|
200,37
|
215,32
|
195,84
|
199,74
|
|
01.08.2014
|
199,74
|
209,46
|
195,92
|
198,08
|
|
04.08.2014
|
198,08
|
202,72
|
188,68
|
194,75
|
|
05.08.2014
|
194,75
|
219,82
|
190,15
|
218,66
|
|
06.08.2014
|
218,66
|
243,47
|
214,93
|
227,83
|
|
07.08.2014
|
227,83
|
257,04
|
224,34
|
235,04
|
|
08.08.2014
|
235,04
|
267,33
|
224,58
|
225,10
|
|
11.08.2014
|
225,10
|
240,82
|
223,43
|
238,83
|
|
12.08.2014
|
238,83
|
239,80
|
215,37
|
217,60
|
|
13.08.2014
|
217,60
|
224,96
|
205,79
|
208,97
|
|
14.08.2014
|
208,97
|
226,32
|
201,40
|
203,48
|
|
15.08.2014
|
203,48
|
204,87
|
193,23
|
193,65
|
|
18.08.2014
|
193,65
|
193,92
|
190,24
|
190,34
|
|
19.08.2014
|
190,34
|
191,44
|
185,75
|
186,98
|
|
20.08.2014
|
186,98
|
196,00
|
183,62
|
190,24
|
|
21.08.2014
|
190,24
|
195,23
|
166,52
|
174,64
|
|
22.08.2014
|
174,64
|
181,56
|
143,96
|
145,61
|
|
25.08.2014
|
145,61
|
155,29
|
142,98
|
143,29
|
|
26.08.2014
|
143,29
|
149,58
|
138,51
|
141,43
|
|
27.08.2014
|
141,43
|
144,49
|
128,01
|
129,30
|
|
28.08.2014
|
129,30
|
154,39
|
128,83
|
147,51
|
|
29.08.2014
|
147,51
|
160,04
|
146,66
|
152,90
|
|
01.09.2014
|
152,90
|
171,36
|
147,72
|
151,94
|
|
02.09.2014
|
151,94
|
159,76
|
150,56
|
154,31
|
|
03.09.2014
|
154,31
|
160,31
|
142,62
|
151,41
|
|
04.09.2014
|
151,41
|
152,89
|
142,60
|
146,92
|
|
05.09.2014
|
146,92
|
146,92
|
119,42
|
120,26
|
|
08.09.2014
|
120,26
|
122,35
|
111,51
|
112,76
|
|
09.09.2014
|
112,76
|
115,32
|
107,33
|
107,74
|
|
10.09.2014
|
107,74
|
114,50
|
103,84
|
105,81
|
|
11.09.2014
|
105,81
|
127,10
|
104,14
|
116,34
|
|
12.09.2014
|
116,34
|
167,04
|
115,65
|
142,92
|
|
15.09.2014
|
142,92
|
213,47
|
142,30
|
208,08
|
|
16.09.2014
|
208,08
|
237,95
|
207,57
|
217,06
|
|
17.09.2014
|
217,06
|
218,50
|
206,55
|
208,62
|
|
18.09.2014
|
208,62
|
211,34
|
206,81
|
207,94
|
|
19.09.2014
|
207,94
|
208,29
|
202,34
|
203,35
|
|
22.09.2014
|
203,35
|
210,13
|
195,40
|
207,65
|
|
23.09.2014
|
207,65
|
212,28
|
192,84
|
196,08
|
|
24.09.2014
|
196,08
|
196,08
|
173,79
|
184,79
|
|
25.09.2014
|
184,79
|
186,53
|
170,50
|
172,51
|
|
26.09.2014
|
172,51
|
221,69
|
172,12
|
217,97
|
|
29.09.2014
|
217,97
|
255,03
|
217,37
|
236,82
|
|
30.09.2014
|
236,82
|
268,11
|
221,72
|
247,47
|
|
01.10.2014
|
247,47
|
260,44
|
226,65
|
227,61
|
|
02.10.2014
|
227,61
|
233,29
|
224,05
|
224,70
|
|
03.10.2014
|
224,70
|
253,51
|
223,18
|
247,92
|
|
06.10.2014
|
247,92
|
264,17
|
219,36
|
219,80
|
|
07.10.2014
|
219,80
|
241,31
|
214,50
|
228,73
|
|
08.10.2014
|
228,73
|
265,58
|
227,72
|
239,80
|
|
09.10.2014
|
239,80
|
239,80
|
208,32
|
234,93
|
|
10.10.2014
|
276,74
|
234,18
|
249,87
|
|
13.10.2014
|
249,87
|
270,09
|
230,04
|
261,71
|
|
14.10.2014
|
261,71
|
347,42
|
252,48
|
342,05
|
|
15.10.2014
|
342,05
|
368,10
|
295,97
|
296,32
|
|
16.10.2014
|
296,32
|
321,60
|
283,93
|
294,01
|
|
17.10.2014
|
294,01
|
312,36
|
262,52
|
264,84
|
|
20.10.2014
|
264,84
|
282,42
|
262,69
|
274,84
|
|
21.10.2014
|
274,84
|
282,57
|
254,71
|
260,86
|
|
22.10.2014
|
260,86
|
296,93
|
251,90
|
293,88
|
|
23.10.2014
|
293,88
|
350,77
|
290,33
|
330,07
|
|
24.10.2014
|
330,07
|
383,04
|
324,54
|
336,80
|
|
27.10.2014
|
336,80
|
368,37
|
325,45
|
359,05
|
|
28.10.2014
|
359,05
|
397,15
|
356,33
|
362,07
|
|
29.10.2014
|
362,07
|
437,20
|
361,59
|
433,42
|
|
30.10.2014
|
433,42
|
503,86
|
430,62
|
483,48
|
|
31.10.2014
|
483,48
|
488,50
|
457,51
|
465,39
|
|
03.11.2014
|
465,39
|
490,88
|
460,77
|
480,69
|
|
04.11.2014
|
480,69
|
480,69
|
479,89
|
479,89
|
|
05.11.2014
|
479,89
|
576,31
|
479,11
|
556,20
|
|
06.11.2014
|
556,20
|
698,54
|
553,16
|
698,12
|
|
07.11.2014
|
698,12
|
768,65
|
671,71
|
694,16
|
|
10.11.2014
|
694,16
|
873,75
|
694,16
|
781,98
|
|
11.11.2014
|
781,98
|
941,74
|
780,84
|
835,93
|
|
12.11.2014
|
835,93
|
873,46
|
803,29
|
803,29
|
|
13.11.2014
|
803,29
|
827,33
|
725,44
|
764,66
|
|
14.11.2014
|
764,66
|
896,05
|
748,94
|
768,79
|
|
17.11.2014
|
768,79
|
835,46
|
722,16
|
729,85
|
|
18.11.2014
|
729,85
|
754,73
|
621,97
|
628,66
|
|
19.11.2014
|
628,66
|
636,77
|
606,19
|
610,56
|
|
20.11.2014
|
610,56
|
693,16
|
563,31
|
691,71
|
|
21.11.2014
|
691,71
|
950,95
|
691,71
|
767,33
|
|
24.11.2014
|
767,33
|
1257,03
|
767,33
|
1009,27
|
|
25.11.2014
|
1009,27
|
1145,32
|
962,56
|
1089,72
|
|
26.11.2014
|
1089,72
|
1358,53
|
1077,61
|
1358,53
|
|
27.11.2014
|
1358,53
|
1921,44
|
1209,70
|
1899,48
|
|
28.11.2014
|
1899,48
|
1957,46
|
1897,33
|
1957,46
|
|
01.12.2014
|
1957,46
|
2467,08
|
1930,98
|
2028,19
|
|
02.12.2014
|
2028,19
|
2506,78
|
1912,10
|
2399,48
|
|
03.12.2014
|
2399,48
|
2642,26
|
1929,94
|
1961,17
|
|
04.12.2014
|
1961,17
|
1962,19
|
1567,38
|
1616,95
|
|
05.12.2014
|
1616,95
|
1616,95
|
1265,50
|
1331,80
|
|
08.12.2014
|
1331,80
|
1334,64
|
1054,15
|
1059,34
|
|
09.12.2014
|
1059,34
|
1168,51
|
1043,03
|
1090,07
|
|
10.12.2014
|
1090,07
|
1383,23
|
1047,84
|
1322,72
|
|
11.12.2014
|
1322,72
|
1855,11
|
1180,19
|
1813,79
|
|
12.12.2014
|
1813,79
|
2865,87
|
1804,32
|
2732,58
|
|
15.12.2014
|
2732,58
|
4377,87
|
2582,91
|
4011,11
|
|
16.12.2014
|
4011,11
|
4011,12
|
4011,11
|
4011,12
|
|
17.12.2014
|
4011,12
|
4012,24
|
4011,12
|
4012,24
|
|
18.12.2014
|
4012,24
|
4012,25
|
4012,24
|
4012,25
|
|
19.12.2014
|
4012,25
|
4012,26
|
4012,25
|
4012,26
|
|
22.12.2014
|
4012,26
|
4012,26
|
4012,26
|
4012,26
|
|
23.12.2014
|
4012,26
|
4012,27
|
4012,26
|
4012,27
|
|
24.12.2014
|
4012,27
|
4012,27
|
4012,27
|
4012,27
|
|
26.12.2014
|
4012,27
|
4012,28
|
4012,27
|
4012,28
|
|
29.12.2014
|
4012,28
|
4012,28
|
4012,28
|
4012,28
|
|
30.12.2014
|
4012,28
|
4012,28
|
4012,28
|
4012,28
|
|
31.12.2014
|
4012,28
|
4012,28
|
4012,28
|
4012,28
|
|
02.01.2015
|
4012,28
|
4012,28
|
4012,28
|
4012,28
|
|
05.01.2015
|
4012,28
|
4012,29
|
4012,28
|
4012,29
|
|
06.01.2015
|
4012,29
|
4012,29
|
4012,29
|
4012,29
|
|
07.01.2015
|
4012,29
|
4012,30
|
4012,29
|
4012,30
|
|
08.01.2015
|
4012,30
|
4012,30
|
4012,30
|
4012,30
|
|
09.01.2015
|
4012,30
|
4012,30
|
4012,30
|
4012,30
|
|
12.01.2015
|
4012,30
|
4012,31
|
4012,30
|
4012,31
|
|
13.01.2015
|
4012,31
|
4012,31
|
4012,31
|
4012,31
|
|
14.01.2015
|
4012,31
|
4012,32
|
4012,31
|
4012,32
|
|
15.01.2015
|
4012,32
|
4012,32
|
4012,32
|
4012,32
|
|
16.01.2015
|
4012,32
|
4012,33
|
4012,32
|
4012,33
|
|
19.01.2015
|
4012,33
|
4012,34
|
4012,33
|
4012,34
|
|
20.01.2015
|
4012,34
|
4012,34
|
4012,34
|
|
21.01.2015
|
4012,34
|
4012,34
|
4012,34
|
4012,34
|
|
22.01.2015
|
4012,34
|
4012,35
|
4012,34
|
4012,35
|
|
23.01.2015
|
4012,35
|
4012,35
|
4012,35
|
4012,35
|
|
26.01.2015
|
4012,35
|
4012,36
|
4012,35
|
4012,36
|
|
27.01.2015
|
4012,36
|
4012,37
|
4012,36
|
4012,37
|
|
28.01.2015
|
4012,37
|
4012,37
|
4012,37
|
4012,37
|
|
29.01.2015
|
4012,37
|
4012,37
|
4012,37
|
4012,37
|
|
30.01.2015
|
4012,37
|
4012,37
|
4012,37
|
4012,37
|
|
02.02.2015
|
4012,37
|
4012,38
|
4012,37
|
4012,38
|
|
03.02.2015
|
4012,38
|
4012,38
|
4012,38
|
4012,38
|
|
04.02.2015
|
4012,38
|
4012,38
|
4012,38
|
4012,38
|
|
05.02.2015
|
4012,38
|
4012,39
|
4012,38
|
4012,39
|
|
06.02.2015
|
4012,39
|
4012,39
|
4012,39
|
4012,39
|
|
09.02.2015
|
4012,39
|
4012,39
|
4012,39
|
4012,39
|
|
10.02.2015
|
4012,39
|
4012,40
|
4012,39
|
4012,40
|
|
11.02.2015
|
4012,40
|
4012,40
|
4012,40
|
4012,40
|
|
12.02.2015
|
4012,40
|
4012,40
|
4012,40
|
4012,40
|
|
13.02.2015
|
4012,40
|
4012,41
|
4012,40
|
4012,41
|
|
16.02.2015
|
4012,41
|
4012,41
|
4012,41
|
4012,41
|
|
17.02.2015
|
4012,41
|
4012,42
|
4012,41
|
4012,42
|
|
18.02.2015
|
4012,42
|
4012,42
|
4012,42
|
4012,42
|
|
19.02.2015
|
4012,42
|
4012,42
|
4012,42
|
4012,42
|
|
20.02.2015
|
4012,42
|
4012,43
|
4012,42
|
4012,43
|
|
23.02.2015
|
4012,43
|
4012,43
|
4012,43
|
4012,43
|
|
24.02.2015
|
4012,43
|
4012,43
|
4012,43
|
4012,43
|
|
25.02.2015
|
4012,43
|
4012,44
|
4012,43
|
4012,44
|
|
26.02.2015
|
4012,44
|
4013,16
|
4012,33
|
4013,09
|
|
27.02.2015
|
4013,09
|
4013,36
|
4012,53
|
4013,10
|
|
02.03.2015
|
4013,10
|
4013,45
|
4013,10
|
4013,45
|
|
03.03.2015
|
4013,45
|
4013,45
|
4013,45
|
4013,45
|
|
04.03.2015
|
4013,45
|
4013,82
|
4013,36
|
4013,63
|
|
05.03.2015
|
4013,63
|
4014,12
|
4013,56
|
4013,90
|
|
06.03.2015
|
4013,90
|
4015,31
|
4013,77
|
4015,14
|
|
09.03.2015
|
4015,14
|
4016,15
|
4013,97
|
4014,48
|
|
10.03.2015
|
4014,48
|
4014,58
|
4012,38
|
4013,94
|
|
11.03.2015
|
4013,94
|
4015,40
|
4013,59
|
4015,40
|
|
12.03.2015
|
4015,40
|
4016,86
|
4014,49
|
4016,31
|
|
13.03.2015
|
4016,31
|
4016,70
|
4013,37
|
4013,90
|
|
16.03.2015
|
4013,90
|
4014,12
|
4012,66
|
4012,76
|
|
17.03.2015
|
4012,76
|
4014,29
|
4012,35
|
4014,24
|
|
18.03.2015
|
4014,24
|
4015,24
|
4014,21
|
4014,61
|
|
19.03.2015
|
4014,61
|
4016,09
|
4014,47
|
4016,01
|
|
20.03.2015
|
4016,01
|
4017,46
|
4015,58
|
4016,99
|
|
23.03.2015
|
4016,99
|
4017,89
|
4016,32
|
4017,83
|
|
24.03.2015
|
4017,83
|
4017,84
|
4017,83
|
4017,84
|
|
25.03.2015
|
4017,84
|
4017,84
|
4017,84
|
4017,84
|
|
26.03.2015
|
4017,84
|
4017,85
|
4017,48
|
4017,71
|
|
27.03.2015
|
4017,71
|
4018,45
|
4017,44
|
4018,45
|
|
30.03.2015
|
4018,45
|
4018,45
|
4018,45
|
4018,45
|
|
31.03.2015
|
4018,45
|
4018,55
|
4017,02
|
4018,24
|
|
01.04.2015
|
4018,24
|
4018,60
|
4016,37
|
4017,36
|
|
02.04.2015
|
4017,36
|
4017,74
|
4014,88
|
4015,08
|
|
03.04.2015
|
4015,08
|
4015,91
|
4014,57
|
4014,64
|
|
06.04.2015
|
4014,64
|
4016,50
|
4014,58
|
4015,15
|
Похожие работы на - Стратегия ПАММ-инвестирования
|