Анализ текущей модели формирования резервов на возможные потери по ссудам российского банковского сектора
Введение
Актуальность темы исследования
Банковский сектор является важнейшим элементом
финансовой системы, от стабильности и благополучия которого зависит состояние
экономики страны в целом. Как известно, экономика подвергается циклическим
колебаниям: выделяются фазы подъема и спада. В последнее время в условиях
открытых рынков и растущей международной интеграции стран усиливается частота и
сила негативных макроэкономических шоков в экономике, что отрицательно влияет
на различные сферы экономической и общественной жизни, в том числе и на
банковский сектор.
В настоящее время тенденция такова, что в
благоприятные периоды банки недооценивают свои риски, увеличивая кредитное
предложение для получения высокой прибыли. Однако их поведение резко меняется
при ухудшении экономической ситуации, когда кредитные риски материализуются, и
банки вынуждены в условиях низких доходов наращивать резервы на возможные
потери по ссудам (далее РВПС) за счет текущих расходов, что еще более
усугубляет положение банков и сокращает кредитное предложение. Кредитное сжатие
негативно сказывается на экономике: банки не могут предоставить денежные
средства предприятиям, когда они больше всего в этом нуждаются. Таким образом,
РВПС являются процикличными по отношению к динамике экономического цикла. В
российском банковском секторев настоящее время используется статическое
резервирование: резервы начисляются, когда риск уже материализовался, что в
период повышенных рисков негативно влияет на состояние банков, аэто, в свою
очередь, на экономику.
В настоящее время в мировой банковской практике
большое внимание уделяется разработке и применению различных инструментов
контрциклического регулирования банковского сектора, направленных на укрепление
стабильности банков в период кризиса и на ослабление его воздействия на
реальный сектор. В российском банковском секторе наиболее уязвимым к колебаниям
экономического цикла является качество кредитного портфеля банков. Это связано
с тем, что около 70% совокупных активов банков составляют кредиты, для которых
в период кризиса резко вырастает вероятность перехода в категории с более
высоким уровнем риска. Это заставляет банки нести дополнительные расходы по
досозданию резервов. Одним из вариантов решения этой проблемы может стать
динамическое резервирование, суть которого заключается в начислении РВПС в
период экономического подъема и использовании их в период спада, то есть в
формировании своего рода «подушки безопасности» для покрытия возможных потерь.
В рамках данного исследования целесообразно проанализировать, сможет ли
контрциклический подход к формированию резервов на возможные потери по ссудам
снизить кредитные риски в банковском секторе и ослабить их процикличность по
отношению к экономике.
Исследование проблемы контрциклического
резервирования в коммерческих банках в настоящее время является весьма
актуальным, поскольку имеют место проблемы недооценки кредитных рисков, которые
способствуют ухудшению положения банков в условиях нестабильной
макроэкономической обстановки. В кризис 2008-2009 г.г. российские банки были
вынуждены значительно увеличить РВПС, что привело к снижению прибыли и
дополнительному давлению на капитал. Пересмотр модели резервирования позволит
стабилизировать ситуацию, сгладить колебания финансового результата кредитных
организаций, а также обеспечить подушку безопасности на случай материализации
рисков.
Цель и задачи исследования
Целью исследования является разработка модели
динамического резервирования в российском банковском секторев качестве
инструмента контрциклического регулирования для обеспечения стабильности банков
и экономики в целом, а также сравнение результативности динамического
резервирования с традиционным механизмом формирования РВПС.
Для достижения поставленной цели необходимо
решить несколько задач.
Во-первых, изучить сущность механизма
динамического резервирования, его преимущества, недостатки и проблемы
применения.
Во-вторых, проанализировать текущее состояние
формирования и использования РВПС в российском банковском секторе.
В-третьих, доказать с помощью эконометрического
анализа зависимость РВПС банковского сектора от динамики макроэкономических
факторов, к которым чувствительна российская экономика.
В-четвертых, исследовать опыт стран, которые уже
применяют на практике динамическое резервирование.
В-пятых, апробировать механизм динамического
резервирования, используемый в Испании и показавший свою эффективность, на
данных российского банковского сектора, с тем, чтобы выявить, к каким
изменениям в деятельности банков он может привести и как он может повлиять на
финансовый результат в период кризиса.
В-шестых, разработать авторскую модель
формирования динамических резервов для российского банковского сектора с целью
сглаживания процикличности развития и повышения стабильности банковской системы
в условиях макроэкономической дестабилизации.
Объект и предмет исследования
Объектом исследования выступает российский
банковский сектор. В данном исследовании коммерческие банки рассматриваются как
единое целое, без учета их индивидуальных особенностей.
Предмет исследования - процесс формирования и
использования резервов на возможные потери по ссудам с учетом фаз
экономического цикла. Мы попытаемся определить,каким образом введение
динамического резервирования повлияет на состояние всей банковской системы и
как оно поможет улучшить ситуациюна кредитном рынке.
Методы исследования
Исследование строится на основе статистического
и сравнительного анализа. Оно основывается на обработке современных
эмпирических данных российского банковского сектора и макроэкономических
показателей. Кроме того, решение поставленной проблемы предполагает разработку
модели динамического резервирования, нацеленной на повышение устойчивости
банковского сектора в условиях макроэкономической нестабильности. Поэтому в
работе используются эконометрические методы анализа данных с целью выявления
наличия и степени предполагаемых взаимосвязей.
Теоретическая и практическая значимость
результатов исследования
Результатом данного исследования можно считать
совершенствование теоретических положений реализации механизма
контрциклического резервирования для развивающегося рынка РФ на основе
зарубежного опыта. Практическая значимость результатов исследования состоит в
возможности использования данного механизма в процессе регулирования и надзора
за банками с учетом контрциклического аспекта. Основные теоретические выводы и
практические рекомендации по теме исследования опубликованы в журнале
«Банковское дело» в статье «Использование контрциклического резервирования в
банковском секторе РФ: уроки зарубежного опыта» (2014г.).
Глава 1. Теоретические основы создания и
использования резервов на возможные потери по ссудам
.1Основные понятия и взаимосвязи динамического
резервирования
Последний мировой финансовый кризис показал, что
надзорным и регулирующим органам необходим набор эффективных инструментов,
направленных на сглаживание и минимизацию шоков, возникающих в экономике и
финансовом секторе, что увеличивает вероятность и величину понесенных потерь. В
этих условиях многие страны приняли решение о разработке и применении новых
инструментов макропруденциальной политики. «Макропруденциальная политика -
комплекс превентивных мер, направленных на минимизацию риска системного
финансового кризиса, т.е. риска возникновения ситуации, в которой значительная
часть финансового сектора становится неплатежеспособной или неликвидной, в
результате чего участники рынка не могут продолжать действовать без поддержки
денежных властей или органа надзора»[3].
Роль макропруденциальной политики усиливается в
условиях повышения частоты и силы кризисов в мире, поскольку ее осуществление
направлено на достижение следующих важных задач:
Обеспечение поддержки стабильности финансовой
системы и ее элементов к агрегированным шокам, включая рецессию и внешние шоки;
Сдерживание избыточных финансовых рисков, принимаемых
на себя финансовой системой в целом;
Сглаживание цикличности экономики.
Решение поставленных задач имеет большое
значение для экономик различных стран, поскольку текущий уровень глобализации и
международной экономической интеграции показывает высокую степень
взаимозависимости между странами, что увеличивает риск цепной реакции, когда
нестабильность в экономике одной страны порождает кризис в другой. Данный факт
подчеркивает, что поддержание устойчивости финансовой системы приобретает
наднациональный характер, что подталкивает государства к совместному решению
проблем и разработке эффективных мер. Как указывалось выше, одна из
приоритетных задач макропруденциальной политики заключается в сглаживании
цикличности в экономике. Очевидно, что экономика подвержена колебаниям, где
подъем и бум рано или поздно сменяются рецессией. Регулирующие органы должны
осознавать этот факт и подготовить «подушку безопасности» в период роста, чтобы
впоследствии смягчить удар кризиса и сгладить его.
Рассмотрим, каким образом фазы экономического
цикла влияют на состояние банковского сектора. Как известно, для любой
экономики положительными являются периоды подъема и пика, а негативными -
стадии рецессии и кризиса. В фазе экономического подъема, как правило, фирмы
увеличивают прибыль, цены на активы растут, и у населения формируются
оптимистические ожидания в отношении будущего. В экономике наблюдается рост
совокупного спроса и доходов населения, что приводит к росту темпов спроса на
кредиты банков. Банки, в свою очередь, активно увеличивают свои кредитные
портфели, стремясь удовлетворить спрос на кредитные ресурсы и, тем самым,
увеличить свою прибыль, поскольку основной доход банков - это кредитование. В
период экономического бума банки с целью привлечения клиентов, как правило,
упрощают требования к потенциальным заемщикам, тем самым недооценивая
сопутствующие этому риски. Кроме того, в благоприятных условиях снижается
вероятность неплатежей со стороны клиентов, объем просроченных и списанных
кредитов, что приводит к снижению объема резервов на возможные потери по
ссудам.
Однако рано или поздно за пиком экономической
активности наступает период спада в экономике. Снижается спрос и цены на
активы, прибыли фирм сокращаются, растет уровень безработицы, что приводит к
снижению доходов населения, уменьшению стоимости их залогового имущества, росту
вероятности неплатежей по кредитам. В данной ситуации банки сталкиваются с тем,
что увеличиваются проблемные активы в их балансе, снижается категория качества
заемщиков, то есть риски резко возрастают, что может потребовать доформирования
резервов и поддержания более высокого уровня капитала. Банковский кризис еще
более усугубляет кризис в стране - налицо процикличность банковских переменных
по отношению к основным макроэкономическим показателям. Таким образом, банки
подвержены влиянию тенденций, происходящих в экономике, и их реакция может еще
большей степени усилить воздействие кризиса, поскольку именно банковский сектор
является ключевым элементом финансовой системы. Кроме того, стоит отметить
наличие пруденциальных норм, действие которых направлено не столько на
поддержание устойчивости банковского сектора, сколько усиливает его
проциклическую направленность. Одна из таких норм - формирование резервов на
возможные потери по ссудам.
В период роста экономики в банковском секторе
наблюдается быстрое увеличение кредитного предложения, сопровождающееся
ослаблением критериев к потенциальным заемщикам для получения кредитов. Прибыли
банков растут, поскольку просроченная задолженность по предоставленным кредитам
находится на минимальном уровне, увеличиваются процентные доходы и банки не
начисляют РВПС в условиях пониженного кредитного риска. Согласно установленным
нормам банки формируют резервы на возможные потери, когда они считают, что есть
риск невыполнения кредитных обязательств со стороны заемщика. Рост
сформированных резервов, в свою очередь, влияет как на прибыль банка, так как
они являются для банка расходами, так и на его капитал, уменьшая чистую
стоимость активов. Большие объемы резервов могут привести к тому, что банк
будет получать не прибыль, а убыток от своей деятельности, что отрицательно
скажется на его платежеспособности и финансовой устойчивости. Таким образом, мы
приходим к выводу, что объемы резервов на возможные потери уменьшаются в период
экономического подъема и увеличиваются в условиях рецессии и макроэкономической
нестабильности, что усиливает процикличность банковского сектора и экономики в
целом. Дело в том, что необходимость наращивания РВПС в период кризиса приводит
к кредитному сжатию, тем самым существенно ограничивая доступ нефинансового
сектора к ресурсам, когда они им больше всего нужны для поддержания своего
нормального функционирования. Банки не желают выдавать новые кредиты в условиях
повышенного риска в период кризиса, поскольку они в этом случае вынуждены
присвоить кредитам более низкие категории качества, а, следовательно,
сформировывать дополнительные РВПС.
В настоящее время одной из приоритетных тем
макропруденциальной политики является контрциклическое регулирование,
направленное на сглаживание финансового цикла и снижение процикличности в
экономике. Среди наиболее обсуждаемых инструментов для достижения вышеуказанной
цели рассматривают введение динамического резервирования для обеспечения
финансовой устойчивости кредитных организаций в условиях макроэкономической
нестабильности. Сущность динамического резервирования заключается в том, что
«резервы на возможные потери по кредитному портфелю должны учитывать не только
текущие, но и долгосрочные ожидаемые потери»[4]. Другими словами, динамическое
резервирование - это своего рода «буфер резервов», который дает возможность
амортизировать кредитные шоки. «Динамическое резервирование - это
статистический метод формирования резервов на возможные потери по ссудам, который
основывается на исторических данных для различных видов активов, чтобы
определить уровень резервов, который должен начисляться помимо стандартных
резервов»[28]. Основная цель динамического резервирования - это постепенное
формирование резервов на протяжении благоприятного периода в экономике и их
использование на протяжении экономического спада.
На рисунке 1 один представлена упрощенная
схематическая иллюстрация процесса динамического резервирования на возможные
потери по ссудам. (Рис.1) [3].Мы видим, что общая сумма стандартных и
динамических резервов практически не меняется, то есть в кризис банкам не нужно
будет формировать РВПС из текущей прибыли, которая и так невелика.
Рис.1 Схема динамического резервирования в
течение цикла
Источник: С.Р. Моисеев. «Контрциклическое
регулирование: динамические резервы и резервный капитал». - Банковское дело. -
2009г. - №10.
Другими словами, получается так, что прибыль
кредитных организаций более равномерно распределена с течением времени с
использованием динамических резервов: в период подъема она несколько ниже, а в
кризис выше, чем при традиционном резервировании (Рис.2) [3].
Рис.2. Динамика прибыли банков в рамках
финансового цикла
Источник: С.Р. Моисеев. «Контрциклическое
регулирование:
динамические резервы и резервный капитал». -
Банковское дело. - 2009г. - №10.
- финансовый результат банков при динамическом
подходе резервирования
- финансовый результат банков при стандартном
подходе резервирования
Сглаживание финансового результата во времени
воспринимается банками с некоторой долей скептики и настороженности. С одной
стороны, низкий уровень флюктуации финансового результата делает банки более
стабильными в получении прибыли и позволяет сглаживать в определенной степени
последствия распространившегося кризиса. С другой стороны, банки боятся, что
если они в период бума будут начислять резервы, то это существенно снизит их
прибыль. Данный факт может привести к потере конкурентных позиций на
международном банковском рынке по отношению к банкам, в которых отсутствует
динамическое резервирование, и отчетность которых будет, таким образом,
выглядеть более привлекательно. Также банки опасаются психологической стороны
роста резервов в период бума. Для некоторыхучастников рынка это может послужить
своего рода предупредительным сигналом ухудшения экономической обстановки и
положения банков, что может негативно сказаться на привлечении средств со
стороны потенциальных вкладчиков и инвесторов, а также стоимости акций банков.
В данном случае выявляется проблема недальновидности банков и других
экономических агентов в принятии стратегических решений, поскольку они должны
осознавать необходимость принятия мер по предотвращению несостоятельности на
долгосрочную перспективу, в том числе готовиться к кризису заранее, не
дожидаясь, что в момент его наступления придется заплатить более высокую цену.
В этой связи целесообразно менять отношение экономических агентов к риску, а
также развивать методы его оценки и инструменты регулирования. Формируя резервы
заранее в период экономического подъема, банки будут избегать сокращения
капитала в период кризиса, когда он становится особенно дорогим, тем самым
сокращая вероятность банкротства, вызванного недостаточностью капитала.
ФРС СШАвысказывается в поддержку динамического
резервирования, считая, что «используя динамические резервы, банки смогут быть
более реалистичными в оценке и признании проблем с кредитным портфелем на
ранней стадии в период благоприятного развития экономики, формируя alarge
‘warchest’ (большой военный бюджет на случай материализации рисков) резервов на
возможные потери по ссудам. Позже, когдапотери по ссудам действительно
реализуются в результате ухудшения качества выданных ссуд, накопленный резерв может
поглощать убытки без ущерба для капитала, сохранив надежность, устойчивость
банков и их способность осуществления кредитования»[18].BenBernanke
такжевысказался в поддержку развития инструментов динамического резервирования.
По его словам, «существует значительная неопределенность в вычислении точного
уровня резервов на возможные потери по ссудам в период цикла. Нужно продолжать
исследование данного направления, что поможет ввести коррективы в правила
бухгалтерского учета, что сократит проциклический эффект РВПС без ущерба для
прозрачности и открытости отчетности кредитных организаций»[33].
Важно выделить две основные функции динамических
резервов:
снижение давления на прибыль и собственный
капитал кредитных организаций в периоды кредитного сжатия за счет усиления
резервной нагрузки в период кредитного бума, что позволит обеспечить
долгосрочную стабильность банковского сектора;
ограничение избыточного роста кредитного
предложения при помощи обязательных норм динамического резервирования,
зависящих от темпов роста кредитного портфеля;
Таким образом, мы видим, что введение
динамического резервирования имеет экономический смысл и рассматривается
мировым сообществом как одна из возможных эффективных мер по снижению
процикличности банковского сектора и его укреплению в период кризиса и
распространения шоков в экономике.
.2 Теоретический обзор исследований взаимосвязи
РВПС и макроэкономических факторов
В последнее время экономики разных стран все
чаще подвергаются воздействию негативных макроэкономических шоков, которые
приводят к развитию различных кризисных сценариев. В этих условиях, для того
чтобы обеспечить макроэкономическую и финансовую стабильность, важной задачей
является выявить, каким образом и в какой степени влияют макроэкономические
шоки на банковский сектор.До введения динамического резервирования нам
необходимо получить доказательство того, что стандартная модель резервирования
действительно носит процикличный характер по отношению к основополагающим
макроэкономическим факторам.
Данное исследование необходимо, поскольку, если
банки подвергаются макроэкономическим шокам, и эффект от этого влияния
аналогичный влиянию на экономику в целом, то в случае рецессии и кризиса,
состояние банковского сектора будет еще сильнее усугублять текущее положение дел
и масштаб кризиса. Стоит отметить, что основные макроэкономические показатели
банковского сектора способны выступать в качестве индикаторов, отражающих
степень воздействия макроэкономических шоков на банковский сектор. В нашем
случае, в качестве такого индикатора будут выступать резервы на возможные
потери по ссудам, которые являются непосредственным объектом нашей работы. В
ходе дальнейшего исследования нам необходимо проверить характер и степень
влияния макроэкономических шоков, характерных для российской экономики, на
банковский сектор через динамику и величину РВПС и доказать процикличность
стандартной модели резервирования.
В настоящее время существует достаточно большой
объем работ, посвященных изучению степени влияния макроэкономических факторов
на РВПС с использованием эконометрических моделей. Поскольку риски, связанные с
предоставлением кредитов, как правило, являются основными источниками
финансовой нестабильности банков, то в качестве зависимой переменной в научных
работах зарубежных авторов часто проводится анализ банковских показателей,
характеризующих степень качества кредитного портфеля. Например, Pesola (2001)
посвятил свою работу анализу банковских кризисов в странах Северной Европы
(Дании, Швеции, Финляндии и Норвегии). Он оценивает приемлемость использования
макроэкономических шоков для объяснения динамики доли потерь по ссудам в
кредитном портфеле, которая является одним из основных показателей состояния
банковского сектора. В ходе исследований он пришел к выводу, что высокий
уровень задолженности населения и предприятий, рост процентных ставок, а также
снижение темпов роста ВВП выше прогнозного значения приводят к увеличению доли
потерь по ссудам и развитию банковских кризисов в Норвегии, Швеции и Финляндии
[31].
Ряд авторов в своих работах сконцентрировали
внимание на изучении динамики резервов банков, поскольку размеры резервов на
возможные потери отражают изменения кредитоспособности заемщиков и
поведениебанков по отношению к ситуации, складывающейся в экономике.
Исследование Европейского Центрального банка показало, что в странах Евросоюза
резервы на возможные потери по ссудам формируются только, когда кредитный риск
действительно материализовался, то есть они не создают резерв под вероятность
возникновения кредитного риска в будущем. В результате выявлено, что ухудшение
экономической ситуации в стране прямо отражается на банках через увеличение
резервов на возможные потери.. PainиM. Arpaтакже посвятили свои исследования
анализу степени воздействия экономических циклов на уровень резервов на
возможные потери по ссудам в английских и австрийских банках. Результаты
показали, что спад в экономике негативно сказывается на стабильности
банковского сектора. Кроме того, они подтвердили, что кредитование секторов
экономики с более высоким уровнем риска сопровождается ростом резервов,
поскольку возрастет риск невозврата или просрочки по данным кредитам. Например,
они отмечали, что резервы ипотечных банков значительно ниже по сравнению с
коммерческими банками, поскольку их ссуды обеспечиваются залогом, что снижает
вероятность потерь банка по предоставленным кредитам. Arpa, оценивая простую
эконометрическую модель с лагированными переменными, пришел к выводу, что
резервы увеличиваются в период снижения темпов роста ВВП. Также он нашел
подтверждения, что некоторые банки используют РВПС во время значительного роста
прибыли для сглаживания ее колебаний (“income-smoothinghypothesis”), то есть
вопреки принципу снижения РВПС в период экономического подъема, наблюдается
незначительная тенденция к росту [17, 30].
К интересным выводам приходят Bikkerи Hu (2002),
которые также оценивали зависимость резервов от макроэкономических шоков. Они
обнаружили, что коэффициенты перед темпами роста ВВП и инфляцией имеют
отрицательный знак, в то время как уровень безработицы - положительный. Однако
в период роста доходов банков они выявили, что величина резервов остается
высокой, тем самым подтвердив гипотезу сглаживания доходов. В конечном итоге,
это приводит к тому, что банки в период макроэкономической нестабильности будут
менее уязвимы, поскольку они сформировали некоторый резерв, когда имелась для
этого возможность увеличить расходы при высоких доходах [20].
Таким образом, как мы видим, в зарубежной
литературе имеется достаточно большой объем исследований, которые подтвердили,
что стабильность банковского сектора различных европейских стран зависит от
стабильности в экономике и отсутствия потрясений. Эффект от распространения
макроэкономических шоков на банки материализуется в форме роста резервов на
возможные потери и снижения финансовой устойчивости кредитной организации.
Также стоить подчеркнуть, что каждым автором доказана процикличная зависимость
резервов от ситуации в экономике, которая, в свою очередь, еще более усугубляет
последствия кризиса для страны через ухудшение положения банковского сектора -
ключевого звена финансовой системы.
.3 Формирование резервов на возможные потери по
ссудам в РФ
Порядок начисления РВПС в кредитных организациях
в РФ регламентируется Положением Банка России №254-П «О порядке формирования
кредитными организациями резервов на возможные потери по ссудам, по ссудной и
приравненной к ней задолженности» от 26 марта 2004 года [12]. В нашей стране
используется стандартный принцип резервирования, который заключается в том, что
банки обязаны начислять резервы в случае материализации рисков, то есть когда
факты обесценения ссуды уже очевидны. Размер РВПС в банках формируется
следующим образом. Сначала каждой ссуде или портфелю однородных ссуд
присваивается определенная категория. Всего выделяется пять категорий:
Высшая категория качества (стандартные ссуды) -
отсутствие кредитного риска;
Нестандартные ссуды - умеренный кредитный риск;
Сомнительные ссуды - значительный кредитный
риск;
Проблемные ссуды - высокий кредитный риск;
Безнадежные ссуды - отсутствует вероятность
возврата ссуды в силу неспособности или отказа заемщика выполнять обязательства
по ссуде.
Принадлежность к той или иной категории при
выдаче ссуды, а также в процессе ее дальнейшего мониторинга, определяется
исходя из двух критериев - финансовое положение заемщика и качество
обслуживания долга (Табл.1).
Таблица 1
Определение категории ссуды
|
Обслуживание долга /Финансовое
положение
|
Хорошее
|
Среднее
|
Неудовлетворительное
|
|
Хорошее
|
Стандартные
|
Нестандартные
|
Сомнительные
|
|
Среднее
|
Нестандартные
|
Сомнительные
|
Проблемные
|
|
Плохое
|
Сомнительные
|
Проблемные
|
Безнадежные
|
В зависимости от категории, к которой отнесена
ссуда, начисляется определенный процент РВПСот величины ссудной задолженности
(Табл.2).
Таблица 2
РВПС в зависимости от категории ссуды
|
Категория
|
РВПС по ссуде
|
РВПС по портфелю однородных ссуд
|
|
Стандартные ссуды
|
0%
|
0%
|
|
2.Нестандартные ссуды
|
1-20%
|
Не более 3%
|
|
3.Сомнительные ссуды
|
21-50%
|
3-20%
|
|
4.Проблемные ссуды
|
51-100%
|
20-50%
|
|
5.Безнадежные ссуды
|
100%
|
Свыше 50%
|
Таким образом, мы видим, что чем больше
категория ссуды (ниже ее качество), тем больший процент от остатка ссудной
задолженности обязан зарезервировать банк, чтобы покрыть свои потери в случае
реализации рисков, вероятность которых достаточно существенна. Однако данная
методика способствует процикличности кредитных организаций. Дело в том, что в
период экономического подъема и кредитного бума финансовое состояние заемщиков
оценивается как хорошее, и отсутствуют проблемы с просрочкой платежей и
погашения долга. Поэтому в период роста основная доля кредитов - стандартные
ссуды, по которым резервы не начисляются.Согласно официальным данным ЦБ РФ,
удельный вес стандартных ссуд банковского сектора в период 2007-2008г.г.
составил более 50%. Так происходит до момента наступления кризисных
макроэкономических явлений, когда населению и предприятиям становится тяжело
возвращать долги, так как их доходы снижаются. Это приводит к тому, что банки
начинают переводить ссуды из стандартной категории в ссуды более низкого
качества, что автоматически обязывает их начислять РВПС из текущих расходов в
ситуации уменьшающейся прибыли. Кроме того, велика вероятность, что под ссуду,
признанную безнадежной, РВПСбыл создан недостаточный для ее полного покрытия,
что также негативно сказывается на финансовом результате и капитале банков.
Один из важных моментов для российского
банковского сектора заключается в том, что в кризис резервы не начисляются в
том объеме, который реально соответствует уровню кредитного риска. Поскольку
банки в период экономического спада испытывают снижение финансового результата
и существенное ухудшение качества кредитного портфеля, то они вынуждены
прибегать к различным уловкам, чтобы наращивание РВПС за счет финансового
результата еще более не усугубило ситуацию и неувеличило вероятность
банкротства. Международным валютным фондом указано на тот факт, что «банки в
период кризиса не отражают в своей отчетности реальных необслуживаемых
кредитов. Для этого они используют различные способы, среди которых -
искусственное завышение стоимости изъятых за долги активов из залогового
обеспечения, перевод ряда проблемных активов за баланс. Особо стоит отметить
процесс реструктуризации кредитов,которые составляют примерно тридцать
процентов крупных кредитов»[5]. Банки решаются на эти меры, поскольку лучше
реструктурировать ссуду, чем она будет признана просроченной, в результате чего
банку придется начислять под нее повышенный резерв.Кроме того, стоит отметить,
что даже если банк формирует РВПС, то его размер, как правило, находится на
минимально допустимом уровне, который предусмотрентребованиями надзора. Поэтому
достаточность резерва на покрытие убытков в случае признания ссуды безнадежной
находится под большим сомнением. Если мы посмотрим на данные по кредитному
портфелю российского банковского сектораза 2010, предоставленных МВФ, то увидим
следующее (Рис.3) [5].
Рис.3 РВПС по категориям ссудв банковском
секторе РФ в 2010г.
Источник: Международный Валютный Фонд.
Российская Федерация.
Оценка стабильности финансовой системы. Доклад
МВФ по стране №11/291
Как видно из рисунка, фактически начисляемые
банками РВПС находятся на минимальном уровне, кроме того,существенная часть
покрывается за счет залога, стоимость которого может быть завышена и велика
вероятность, что в период кризиса он обесценится и не покроет даже минимальные
потери. Это подтверждает недостаточность сформированных РВПС, что негативно
отражается в период реализации кредитных рисков. Кроме того, качество
предоставленных кредитов российских банков зачастую завышено, так же как и
стоимость залогового обеспечения, которая еще не учитывает трудности и издержки
его реализации.В добавление к вышесказанному, представим следующую статистику
по величине РВПС (Табл.3).
Таблица 3
Сформированный РВПС российских банков за
2007-2014 гг.
|
Сформированный РВПС, %
|
2007
|
2008
|
2009
|
2010
|
2011
|
2012
|
2013
|
2014
|
|
от общей ссудной задолженности
|
3.4
|
4.5
|
9.1
|
8.5
|
6.9
|
6.1
|
6.0
|
7.1
|
|
от проблемных ссуд
|
35.1
|
41.4
|
43
|
44.8
|
44.1
|
41.9
|
41.0
|
43.4
|
|
от безнадежных ссуд
|
86.9
|
86.1
|
84.3
|
89.5
|
90.2
|
89.1
|
88,5
|
88.6
|
Из таблицы мы видим, что РВПС по наиболее
рисковым категориям кредитов - проблемным и безнадежным ниже установленного
уровня. РВПС, начисленный по проблемным ссудам составляет около 40%, хотя
согласно положению должен быть свыше 50%. Безнадежные ссуды также не
покрываются в полном объеме, даже с учетом обеспечения. Так как эти кредиты
наиболее рисковые, то вероятность потерь по ним намного выше и сформированный
РВПС явно недостаточен для их покрытия. Такой низкий уровень покрытия также связан
с обеспечением, поскольку разрешается снизить резерв, если залоговое
обеспечение признается формально хорошим. Но стоимость залога, как говорилось
ранее, завышается и не является объективной рыночной ценой. Кроме того, если мы
посмотрим на РВПС от общей ссудной задолженности в 2007-2008 году - он крайне
низок - 3,4% и 4,5% соотвественно. То есть банки не осознают риск возможного
ухудшения качества кредитного портфеля и понесения серьезных потерь. Результаты
такого недальновидного поведения проявились в 2009 году, когда банки были
вынуждены в существенных объемах доначислять резервы под стремительно
обесценивающиеся ссуды. Стоит отметить, что отзывы банковских лицензий как в
кризис 2008-2009 г.г., так и в настоящее время, зачастую обусловлены
необходимостью досоздания резервов, и как следствие - отрицательным финансовым
результатом.
В период финансово-экономического кризиса
2008-2009 г.г. Банк России принял решение о смягчении требований к
классификации ссуд и формированию РВПС с целью обеспечить поддержку банкам и не
допустить риска их банкротства. ЦБ РФ принял документ №2156-У «Об особенностях
оценки кредитного риска по выданным ссудам, ссудной и приравненной к ней
задолженности» [13], носящий контрциклический характер, который допускал
относить ссуду копределенной категории, учитывая вероятность восстановления
финансового состояния заемщика. Кроме того, было разрешено не снижать категорию
качества по реструктурированным и пролонгированным ссудам. Другими словами,
смягчение требований было направлено на снижение объемов РВПС, которые росли
большими темпами и негативно сказывались на прибыльности кредитных организаций.
Данные меры ЦБ РФ позволили банкам в 2009 году снизить величину необходимых
резервов на возможные потери по ссудам на 10%, что сэкономило банкам около 300
млрд. рублей и дало возможность улучшить финансовую устойчивость банковского
сектора в условиях кризиса.
В 2014 году в условиях введения санкций со
стороны США и ряда стран Европейского Союза, снижения цен на нефть и ослабления
рубля банковский сектор вновь подвергся серьзному давлению, которое отразилось
на разных сторонах банковской деятельности, в том числе и на качестве
кредитного портфеля и, следовательно, объемах РВПС. Банки снова столкнулись с
необходимостью наращивать РВПС по ухудшающимся кредитам при одновременном
снижении их доходов. Чтобы еще более не усугубить ситуацию 18 декабря 2014 года
ЦБ РФ снова опубликовал ряд мер по снижению кредитного риска.Были приняты два
нормативных документа «Об особенностях применения нормативных актов Банка
России» от 18 декабря 2014 года [10, 11].
Первый документ №209-Т дает право кредитным
организациям признавать ссуды, реструктурированные с 1 декабря 2014 года, без
ухудшения качества обслуживания долга и доформирования РВПС. Второй документ
№210-Т регламентирует поведение банков в отношении заемщиков, на которых
существенно повлияли введенные ограничительные политические и экономические
меры других стран к России. Согласно принятому документу, в случае если
просроченная задолженность и ухудшение финансового положения заемщика
обусловлено санкционными мерами, кредитная организация при наличии
доказательств их влияния может не понижать категорию кредита и не увеличивать
РВПС. Таким образом, очередной раз, очевидно, что заниженное резервирование в
период относительной стабильности приводит к росту кредитных рисков в период
кризиса, в связи с чем,требуется дополнительное вмешательство и поддержка со
стороны ЦБ РФ.
В 2013 г. ряд крупнейших российских банков
приняли усовершенствованный подход к оценке кредитного риска и определению
возможных ожидаемыхпотерь (EL) по Базелю 2 [9]. Суть подхода к оценке
кредитного риска на основе внутренних рейтингов (ПВР) заключается в том, что
ожидаемыепотери рассчитываются по следующей формуле:
(%) = PD x LGD, где
(вероятность дефолта заемщика) - числовое
значение вероятности дефолта заемщика (контрагента) по конкретному кредитному
требованию (пулу однородных кредитных требований) на период в один год,
соответствующее разряду внутренней рейтинговой шкалы заемщиков. - доля безвозвратных
потерь при дефолте в величине кредитного требования к контрагенту по
конкретному кредитному требованию (пулу однородных кредитных требований)
Величина ожидаемых потерь в стоимостном
выражении рассчитываетсякак произведение EL на величину кредитного требования,
подверженнуюриску дефолта. Этот подход позволяет подойти к оценке кредитного
риска на основе собственной накопленной статистики банка и, тем самым, более
точно определить потери по каждому типу заемщиков и кредитных требований.
Однако для реализации ПВР необходима определенная глубина статистической
выборки для получения более точных расчетов величины кредитного риска. В связи
с этим, несмотря на внедрение подхода к оценке кредитного риска на основе
внутренних рейтингов заемщиков согласно Письму ЦБ РФ №192-Т, в настоящее время
отсутствуют требования к банкам по использованию величиныEL при расчете
норматива достаточности капитала Н1. Это означает, что банки будут продолжать
рассчитывать РВПС традиционным способом на основе Положения №254-П. То есть
надзор за РВПС остается формализованным. Таким образом, мы видим, что
существуют ряд методов оценки потерь по ссудам, которые требуют
усовершенствования в целях укрепления стабильности банковского сектора,
снижения процикличности и повышения качества управления кредитным портфелем.
.4 Контрциклическое резервирование. Опыт других
стран
Вопрос кредитной политики и управления кредитным
риском обсуждается и принимается к рассмотрению на наднациональном уровне.
Например, Международным Валютным Фондом рекомендуютсядля каждой страны два
показателя, характеризующие качество кредитного портфеля и обеспеченность РВПС:
отношение РВПС к необслуживаемым кредитам (Bank Provisions to Nonperforming
Loans) и доля необслуживаемых кредитов в совокупном объеме кредитов(BankNonperforming
Loans to Total Loans). Эти два показателя позволяют отслеживать общую тенденцию
качества кредитного портфеля различных стран и уровень покрытия РВПС, а также
проводить сравнение кредитной политики государств. Если мы посмотрим на их значения,
то обнаружим, что по динамике они различаются для развитых и развивающихся
стран (Рис.4,5).
Рис.4. Отношение РВПС к необслуживаемым кредитам
(развивающиеся страны), %
Рис.5. Отношение РВПС к необслуживаемым кредитам
(развитые страны), %
Источник: Составлено по данным МВФ
Если мы сравним два выше приведенных графика, то
четко можем проследить разницу между развитыми и развивающимися странами. В
развитых странах динамика РВПС достаточно сглаженная и отсутствуют резкие
скачки. Особенно в последние пять лет видно, что эти страны стараются держать
определенный процент покрытия РВПС просроченной задолженности. Однако этого не
скажешь о развивающихся странах, включая Россию. РВПС начисляются крайне
неравномерно, выражены резкие скачки и отсутствует стабильность. Это
подтверждает необходимость пересмотреть традиционные процессы резервирования и
применить механизм, который поможет начислять РВПС в нужном объеме в нужное
время и избегать резких скачков, негативно влияющих на банковскую деятельность
в целом.
В российском банковском секторе отсутствует опыт
введения механизма динамических резервов. Многие страны находятся только в
стадии обсуждения данного инструмента, его целесообразности, эффективности и
каким образом он будет внедряться в банковский сектор. Однако есть ряд стран,
которые уже широко используют динамические резервы как средство, направленное
на снижение процикличности в экономике. В литературе, как правило, подробно
рассматриваетсяопыт трех государств: Испании, Перу и Колумбии. Первопроходцем в
этом вопросе является Испания, которая начала применять динамические резервы с
2000 года, в результате чего это единственная страна из списка, где
контрциклическое резервирование действовало на всех стадиях цикла, что
позволило отследить его реальное влияние. В остальных странах контрциклическое
резервирование было введено значительно позже: Колумбия - 2008 г., Перу -
2009г. Стоит отметить, что элементы механизма контрциклического резервирования
в каждой из стран отличаются друг от друга. Рассмотрим модели каждой из стран в
отдельности.
Испания
Испания была первой страной, которая применила
данный инструмент. Динамические (статистические) резервы были направлены на
достижение двойной цели: сдерживать кредитный рост за счет увеличения издержек
по новым ссудам и защитить банки от будущих убытков, вызванных снижением
стандартов кредитоспособности заемщиков. Динамические резервы начислялись в
общем виде по следующей формуле:
(1)
где
-
прирост кредитного предложения;
- кредитное
предложение;
- резервы,
начисленные стандартным образом, зависящие от качества кредита;
-
коэффициенты, которые меняются в зависимости от вида риска. Значения
коэффициентов представлены в таблице 4 [33].
Таблица 4
Испания: Коэффициенты риска для динамического
резервирования
|
Тип риска
|
α
|
|
|
Noapparentrisk
|
0,00
|
0,00
|
|
Lowrisk
|
0,60
|
0,11
|
|
Low-medium risk
|
1,5
|
0,44
|
|
Medium risk
|
1,8
|
0,65
|
|
Medium-high risk
|
2,0
|
1,10
|
|
High risk
|
2,5
|
1,64
|
Источник:
Pain D. “The provisioning experience ofmajor UK banks: a small panel
investigation”, 2003
Из таблицы 4 и из вышеуказанной формулы мы
видим, что динамические резервы начисляются по определенной формуле, структура
и коэффициенты которой разрабатывались на основе обработки широкого
статистического материала. Рост динамических резервов привязан к величине и
темпам прироста кредитного портфеля, а также к уровню риска предоставленных
ссуд. То есть мы видим, что в фазе кредитной экспансии динамические резервы
увеличиваются с тем, чтобы сформировать своего рода запас на случай кризиса,
когда качество портфеля резко упадет, и ослабить темпы кредитования в период
перегрева. Однако на величину динамических резервов установлен лимит, который
банки не должны преодолевать.
Динамические резервы в Испании применяются уже
более десяти лет, и мировой финансовый кризис стал серьезным испытанием их
эффективности. FernándezdeLis,Garcia-HerreroиSaurina
[28, 33]доказаливсвоихработах, чтоконтрциклическое резервирование имело
незначительное влияние на темпы кредитного роста, поскольку после его введения
была отмечена кредитная экспансия. Однако они подчеркивают, что эти меры
способствовали значительному накоплению буфера, который помог испанским банкам
лучше справиться с потерями по ссудам в период последнего финансового потрясения.
Научные исследования по этому поводу также подтверждают, что динамическое
резервирование способствует ослаблению процикличности в банковском секторе и
экономике в целом.Garriga (2010)показаливсвоеймодели динамического
резервирования, что если бы американские банки применили данный инструмент, как
это сделали испанские банки, то они бы смогли намного лучше преодолеть потери
по ссудам, понесенные на протяжении последнего финансового кризиса [23]. Однако
для Испании контрциклическое регулирование не стало вакциной от всех болезней
банковского сектора, поскольку имелись просчеты в вычислении возможного периода
бума и периода спада для начисления резервов, а также в нормах резервирования,
чтобы банкам на случай шоков в экономике было достаточно средств, чтобы покрыть
свои потери.
Колумбия
В 2007 году Колумбия тоже ввела модель
динамического резервирования для коммерческих и потребительских ссуд, которые
составляют более 90% кредитного портфеля банков. Контрциклическое
резервирование строится на основе четырех индикаторов, которые дают сигнал,
когда резервы должны накапливаться.
Ухудшение качества кредитного портфеля,
основанное на изменении величины индивидуальных резервов (
).
«Индивидуальные резервы отражают риск по каждому заемщику и типу кредита, и
могут быть использованы, если кредит признается необслуживаемым»[28].
Эффективность, основанная на отношении чистой
величины восстановленных резервов (PNR) к величине процентных доходов (IxC).
Стабильность, основанная на отношении чистых
восстановленных резервов к валовой финансовой прибыли.
- чистые восстановленные резервы,
-
операционная прибыль до вычета амортизации плюс чистая восстановленная величина
резервов по кредитам и лизинговым операциям.
Рост кредитного портфеля
Все вышеуказанные индикаторы разработаны таким
образом, чтобы сигнализировать о периоде экономического спада. Каждый индикатор
имеет определенное значение, преодоление которого приостанавливает процесс
накопления резервов. Если одно из условий не выполняется, то банки продолжают
наращивать динамические резервы (соответствует циклическому подъему). Если же
все четыре условия выполняются в течение трех месяцев подряд, то банки
перестают наращивать контрциклические резервы, и они постепенно снижаются
(соответствует периоду циклического спада). Четвертое условие, связанное с
темпом кредитного роста, похоже на испанскую систему. Однако в отличие от
испанских банков в Колумбии включены еще дополнительные требования, что делает
колумбийскую систему более жесткой.
Когда вышеуказанные условия не выполняются, что
означает период подъема, колумбийские банки активизируют механизм динамического
резервирования, который применяется следующим образом. Регулирующий орган на
основе всех имеющихся данных рассчитывает два возможных сценария А и В (где
сценарий В - более рискованный). Результатом расчетов получаются две матрицы,
которые содержат в себе вероятность дефолта по каждому кредиту и каждому
заемщику. Резервы, основанные на расчете ожидаемых потерь, имеют следующую
величину:
=OVL*PD*LGD, где
формирующиеся резервы, OVL - текущая стоимость
кредита, PD-вероятность дефолта, LGD - потери при реализации дефолта.
На протяжении высокого кредитного и
экономического роста матрица А применялась, чтобы определить величину
индивидуальных резервов, матрица В - чтобы подсчитать величину необходимых
резервов в случае более рискованного развития событий. Разница между двумя
этими величинами и составляет необходимую сумму контрциклических резервов. На
протяжении спада в экономике матрица А применялась для расчета индивидуальных
резервов, а контрциклические резервы не формировались, а компенсировали резкое
увеличение индивидуальных резервов в условиях роста кредитного риска. Таким
образом, мы видим, что механизм динамического резервирования в Колумбии сложный
и содержит в себе много требований. Сложность отчасти связана с тем, что
контрциклическая составляющая связана с каждой ссудой, а не с совокупным
портфелем и резервами. Насколько эффективна и устойчива эта модель для снижения
цикличности в банковском секторе, пока неизвестно, поскольку она вводилась в
период экономического подъема в Колумбии, и нужно время, чтобы получить ответы
на возникающие вопросы.
Перу
Орган финансового регулирования в Перу в 2008
году ввел механизм контрциклического резервирования в банках, в основу которого
было положено правило, зависящее от темпов роста ВВП. Процесс накопления
динамических резервов активизируется, когда темпы роста ВВП преодолевают
максимальный порог (в период бума), величина которого связана с оценкой его
потенциального значения. Динамические резервы являются частью общих резервов,
которые не формируются под каждую ссуду и не связаны с индивидуальными
резервами, как это практикуется в Колумбии. Динамические резервы формируются в
данном случае исходя из типа заемщика (Табл. 5).
Таблица 5
Коэффициенты контрциклического резервирования в
Перу
|
Тип заемщика
|
% резервирования в стандартных
условиях
|
Дополнительная циклическая
составляющая,%
|
|
Corporate
|
0,7
|
0,45
|
|
Large firms
|
0,7
|
0,45
|
|
Medium-sized firms
|
1,0
|
0,30
|
|
Small firms
|
1,0
|
0,50
|
|
Micro-firms
|
1,0
|
0,50
|
|
Consumer, revolving
|
1,0
|
1,50
|
|
Consumer, nonrevolving
|
1,0
|
1,00
|
|
Mortgage
|
0,7
|
0,40
|
Источник:
Fernandez Santiago, Garcia Alisia.
“Dynamic provisioning: some lessons
from existing experiences”, 2010.
В период, когда темпы роста ВВП ниже порогового
значения, по каждому типу заемщиков формируется дополнительный резерв в
размере, указанном во втором столбце таблицы 5. Как только, темпы роста ВВП
становятся выше порогового значения, банки начинают помимо стандартного
резервирования дополнительно формировать динамические резервы в соответствии с
третьим столбцом в таблице 5. Таким образом, рост динамических резервов
увеличивается в период экономического подъема и прекращается в период спада и
кризиса, тем самым формируя своего рода резервный буфер, за счет которого банки
покрывают растущие потери по кредитам в период макроэкономической
нестабильности.
Мы рассмотрели три варианта инструментов
контрциклического резервирования, введенных в Испании, Колумбии и Перу, и
видим, что между ними есть некоторые отличия. Одно из важных различий между
тремя системами - переменная, которая выбрана за основу начисления динамических
резервов. Испанская система опирается на динамику кредитов, Перу использует
ВВП, а колумбийская система учитывает комплекс показателей, включающих
изменение необслуживаемых кредитов, кредитный рост, эффективность и
стабильность. Также есть различия в том, каким образом и в каком размере
начисляются эти резервы. Все системы имеют право на существование, поскольку
каждая из них формировалась с учетом особенностей конкретной страны и ее
банковского сектора. Российскому банковскому сектору целесообразно
проанализировать уже накопленный опыт в этом направлении, а также использовать
ряд корректировок, учитывающих особенности российской экономики и банковского
сектора.
.4 Проблемы при внедрениидинамического
резервирования
Динамическое резервирование может оказать
действительную поддержку банкам в период кризиса и сгладить величину понесенных
потерь, однако его эффективность зависит от многих факторов. Главной проблемой
внедрения механизма динамического резервирования является точное определение
момента, когда необходимо запускать и приостанавливать функционирование данного
механизма. Важно, чтобы он начал свое действие без опозданий, что значительно
повышает его эффективность. Выбор времени необходимо связать с изучением
поведения ряда переменных, из которых можно выбрать тот ориентир, по которому
орган надзора будет определять, в какой стадии экономического цикла находится
экономика. Этот индикатор должен с достаточной степенью точности отражать
характер циклических колебаний в данной стране и быть чувствительным к
внутренним и внешним шокам. Важно не только выбрать нужные показатели, но и
вычислить их пороговое значение. Для этого особое внимание необходимо уделить
разработке самой модели, по которой должен рассчитываться необходимый уровень
резервов. Это очень важно, поскольку применяемая модель должна максимально
точно, насколько возможно, рассчитать размер формируемых резервов с учетом
будущих долгосрочных ожидаемых потерь. Если модель ошибочна, то возможно, что
резервов в период бума будет накоплено недостаточно и банки в период роста кредитного
риска не смогут за счет них покрыть свои потери. Тогда динамическое
резервирование теряет свой основной смысл и направленность.
Еще один важный момент - какую норму
резервирования нужно установить, а также как устанавливать эти нормы: по каждой
ссуде, типу заемщика или виду кредитов. Нормы резервирования должны
рассчитываться на основе широкого статистического материала и должны постоянно
корректироваться с учетом вновь появляющихся данных, чтобы более точно
вычислить их величину. Что касается вопроса, каким образом формировать
динамические резервы, на мой взгляд, лучше всего производить отчисления либо по
каждой ссуде, что будет более затратным и трудоемким, но более эффективным,
либо по однородным портфелям ссуд. В случае если резерв не привязан к кредиту,
а в период кризиса материализуется крупный кредитный риск, то это может
привести к израсходованию практически полностью накопленных резервов на один
кредит, что приведет к искажению реальных рисков банка. Также в качестве
альтернативного варианта можно рассмотреть следующий вариант динамического
резервирования: по корпоративаным ссудам - по каждому отдельному клиенту,
поскольку суммы кредитов достаточно крупные, а по потребительским кредитам - по
портфелю в целом.
Следующая проблема, связанная с введением
динамического резервирования, заключается в правилах отражения резервов в
финансовой отчетности. Согласно международным стандартам финансовой отчетности
кредиты должны отражаться по непогашенной стоимости, если нет «объективных
данных» ухудшения кредитного качества актива (стандарт IAS 39 «Финансовые
инструменты: признание и измерение»). Этот стандарт означает, что резервы
должны начисляться только при реализации риска, а не на основе его возможной
реализации и возникновения возможных потерь в будущем, как предполагают
динамические резервы.
Динамические резервы как инструмент
макропруденциальной политики по снижению цикличности в банковском секторе
действительно могут способствовать снижению кредитного риска и укреплению
устойчивости кредитных организаций. Однако помимо положительных сторон, данный
механизм подвергается некоторой критике. Некоторые эксперты считают, что
динамические резервы не смогут восполнить значительные потери. Как правило,
динамические резервы рассчитываются как некоторая усредненная величина, которая
не учитывает резкие выбросы. Поэтому в случае реализации крупных рисков
резервов может оказаться недостаточно и необходимо будет их компенсировать за
счет других источников. Кроме того, как мы уже говорили ранее, ряд банков опасается,
что динамические резервы будут занижать их прибыли, что приведет к искажению
реальной ситуации, и банки станут менее привлекательны для потенциальных
кредиторов и менее конкурентноспособны по сравнению с банками других стран, где
отсутствует динамическое резервирование.
Таким образом, нужно с особой тщательностью
подходить к разработке и внедрению данного инструмента с тем, чтобы повысить
его эффективностьс учетом национальных особенностейи способствовать снижению
зависимости банков от шоков, распространяющихся в стране и в мире.
Глава 2. Анализ текущей модели формирования РВПС
российского банковского сектора
.1Анализ резервов на возможные потери по ссудам
кредитных организаций
резерв потеря ссуда банковский
В данном разделе проведем анализ текущей
ситуации формирования РВПС в российских кредитных организациях. В период
экономического подъема, когда финансовое состояние заемщика стабильное и
платежеспособное, банки, предоставляя кредиты, присваивают им, как правило,
первую категорию качества. Отнесение ссуды к стандартной категории означает,
что банк рассматривает риск невозврата этой ссуды как нулевой и не формирует
под нее РВПС. Однако такое поведение банков не учитывает вероятность ухудшения
экономической конъюнктуры в стране, что непосредственно может сказаться на
финансовом положении заемщиков. Таким образом, через некоторое время ссуда
высшего качества может перейти в более низкие категории, что означает
обязанность банка начислить под эту ссуду соответствующий объем резервов.
Рассмотрим состояние и динамику кредитного портфеля российского банковского
сектора в разрезе категорий кредитов (Рис.6).
На диаграмме изображена структура кредитного
портфеля банковского сектора. В докризисный период 2007-2008 гг. около 50%
портфеля составляли стандартные кредиты.На кредиты с высоким уровнем риска
(сомнительные и безнадежные) приходилось всего около 2-3%. Однако в период
экономического кризиса, который отразился как на финансовом положении реального
сектора, так и на физических лицах, картина начинает существенно меняться.
Ухудшение качества заемщиков, рост просроченной задолженности приводит к
изменению структуры кредитного портфеля и увеличению кредитного риска. В 2009
году доля стандартных ссуд снизилась с 51,3% до 35,1% по отношению к прошлому
году (на 336 млрд.руб.). При этом размер нестандартных ссуд вырос в 2009 году в
1,8 раза на 4306 млрд.рублей, что увеличило их долю с 35,2 до 46,9%. Стоит
также отметить рост наиболее рискованных категорий кредитов: абсолютная
величина проблемных кредитов выросла в 2,5 раза по сравнению с 2008 годом,
сомнительных в 5 раз (на 360 и 1035 млрд.рублей соответственно). Таким образом,
можно сделать вывод, что в период кризиса и макроэкономической нестабильности
банки неизбежно сталкиваются с проблемой ухудшения качества кредитного
портфеля. Это может возникнуть по двум причинам: во-первых,просроченная
задолженность и невозврат по ранее предоставленным кредитам предусматривает
обязательный переход такой ссуды в категорию более низкого качества; во-вторых,
в условиях кризиса банки продолжают кредитовать хоть и в существенно меньших
объемах, присваивая при этом новым кредитам более низкий уровень качества. Оба
эти фактора заставляют банки в период кризиса увеличивать объемы требуемого
резерва на возможные потери по ссудам. Так как РВПС отражается на прибыли,
которая снижается во время экономического спада, это еще более усугубляет
положение и нестабильность кредитной организации.
Рис.6. Структура кредитного портфеляроссийских
банков в 2007-2014 г.г.,%
Источник: ЦБ РФ
Рост кредитного риска в период кризиса и
необходимость доначисления резервов подтверждается и статистикой по
просроченной задолженности (Рис.7).Из графика мы видим, что пик просроченной
задолженности по кредитам приходится на 2009 год. Доля просроченных
потребительских кредитов выросла по отношению к 2008 году с 3,7% до 6,8%,
кредитов нефинансовому сектору с 2,1% до 6,1%. Последние два года просроченная
задолженность снова начинает расти, что обусловлено ухудшением макроэкономической
обстановки и как следствие финансового положения заемщиков.
Рис.7 Динамика доли просроченной задолженности
по кредитам в российском банковском секторе за 2007-2014гг., %
Источник: ЦБ РФ
Далее проанализируем, как макроэкономическая
нестабильность и рост кредитного риска проявились в динамике РВПС (Рис.8). На
графике изображена динамика отношения начисленного РВПС к совокупному
кредитному портфелю. Примерно до конца третьего квартала 2008 года величина
покрытия кредитов резервами снижалась примерно до 4%, для российской экономики
это был период стабильности и экономического роста, для банковского сектора
период высоких прибылей и низких кредитных рисков. Затем ситуация резко
изменяется, ухудшается качество кредитных портфелей, вызванное снижением
платежеспособности населенияи предприятий, и банки вынуждены доначислять
резервы для покрытия возможных потерь по кредитам. В результате в 2009-2010
году отношение РВПС к выданным кредитам выросло до 10%. Только за 4 квартал
2008 года и 1 квартал 2009 года банковский сектор увеличил объем РВПС с 753,9
до 1325,1 млрд.рублей (почти в 2 раза). События, развернувшиеся в 2014 году,
привели к очередному повышению кредитных рисков, в результате чего РВПС вырос
на 1152 млрд.руб. или на 39%, а отношение РВПС к кредитам увеличилось с 7 до
8%.
Рис.8 Покрытие РВПС ссудной задолженности в
российском банковском секторе в 2002-2014 г.г., %.
Источник: ЦБ РФ
Поскольку РВПС начисляется из расходов, то мы видим,
что прибыль в период кризиса резко снижается.Графикна рис.9подтверждает, что
падение прибыли в условиях экономического спада усиливается в результате
доначисления РВПС по ухудшающимся кредитам. Также стоит добавить, что зачастую
после кризиса прибыль растет за счет восстановления РВПС в результате улучшения
качества кредитного портфеля. Например, прибыль в 2012-2013 г.г. была в 2 раза
больше, чем до кризиса, не смотря на то, что темп роста ВВП упал с 8% до 1,5%.
То есть банки получают прибыль не за счет кредитования экономики, а механически
- за счет восстановления РВПС.
Рис.9 РВПС и финансовый результат российского
банковского сектора за 2006-2014 г.г., млрд. руб.
Источник: ЦБ РФ
Динамика темпов прироста РВПС и ВВП также
подтверждает процикличность банковского сектора по отношению к экономике через
изменение РВПС кредитных организаций(Рис.10.). Ухудшение экономической
конъюнктуры в стране, выражающееся в снижении темпов роста ВВП, приводит к
сложностям функционирования нефинансового сектора экономики и снижению доходов
населения.
Рис.10. Динамика РВПС российских банков и темпов
прироста ВВП в 2005-2014 г.г.,%
Источник: ЦБ РФ
Для банка это означает рост просроченной задолженности,
повышение кредитных рисков, сопровождающееся доначислением РВПС. Рост резервов
по ссудам сдерживает темпы кредитного предложения в период кризиса, именно в
тот важный момент времени, когда экономика нуждается больше всего во вливаниях
для преодоления макроэкономических шоков и стабилизации ситуации. В настоящее
время мы вновь сталкиваемся с этой проблемой: в 4 квартале 2014 года по
отношению к соответствующему периоду прошлого года РВПС вырос на 1153 млрд.руб.
или на 40%, в то время как ВВП сократился на 0.2%. Таким образом, мы доказали
на примере динамики РВПС, что данный инструмент процикличен и имеет достаточно
негативное влияние на кредитные организации в период кризиса, а они в свою
очередь еще более усиливают воздействие шоков на экономику.
Из рисунка 11мы видим, что кризис 2008-2009 г.г.
сопровождался сокращением кредитного портфеля одновременно с ускорением темпов
прироста РВПС. Например, в конце 2008 г. - первой половине 2009г. средний темп
прироста кредитного портфеля российского банковского сектора составил около
3%-4,5% (в период бума - более 12%), в то же самое время темпыприроста РВПС
достигли более 30%.
Рис.11. Динамика кредитов и РВПС банковского
сектора РФ в 2002-2014 г.г.,%
Источник: ЦБ РФ
Таким образом, подтверждается целесообразность
контрциклического резервирования, которое даст возможность банкам сгладить
потери от реализации кредитного риска и подготовиться к ним заранее.
.2 Модель анализа влияния макроэкономических
факторов на банковский сектор РФ
Проанализировав и обобщив опыт зарубежных
исследований о зависимости РВПС от различных макроэкономических переменных, в
этой главе перейдем непосредственно к анализу зависимости резервов на возможные
потери по ссудам от ряда макроэкономических факторов, которые характерны для
российской экономики. Цельданного шага заключаетс в том, чтобы выявить, какие
шоки и каким образом влияют на положение банковского сектора, а также через
какое время банковский сектор ощущает на себе эффект от их воздействия.
Для проведения анализа и построения
регрессионных уравнений были использованы поквартальные данные за период
2002-2014 г.г. Информация была взята из источников:
Официальный сайт Центрального Банка России;
Официальный сайт Финам;
Официальный сайт Росстата;
Для расчета значений зависимых переменных
резервов на возможные потери берутся значения по банковскому сектору в целом из
годовых отчетов о развитии банковского сектора и банковского надзора. Поскольку
исходные данные в работе поквартальные, то наша модель будет представлять собой
временной ряд, оцененный с помощью метода наименьших квадратов (OLS). Во
временной ряд могут быть включены лагированные переменные. Лаги в объясняющих
переменных учитывают степень возможной задержки, с которой макроэкономические
шоки оказывают влияние на банки. Другими словами, изменения значений
макроэкономических факторов оказывают не мгновенное воздействие на положение
банков, а проявляются спустя какое-то время, то есть с опозданием. Подобные
лаги необходимо выявить и учесть для того, чтобы сформировать более точную и
полную картину воздействия макроэкономических колебаний на банковский сектор.
В ходе предварительной диагностики данных
выявлено наличие гетероскедастичности и автокорреляции первого порядка. Для ее
устранения применяются поправки Newey-West, корректирующие
вариацонно-ковариационную матрицу для получения более состоятельных оценок
коэффициентов регрессии.При отборе показателей для изучения степени воздействия
макроэкономических факторов на устойчивость банковского сектора учитывались
особенности экономики нашей страны. Россия имеет сырьевую направленность
экспорта, который практически на 70% состоит из топливно-энергетической
продукции. Это означает, что размер доходов от экспорта, финансовое положение
компаний и стабильность экономики сильно зависит от ценовой конъюнктуры на
мировом энергетическом рынке, а именно цены на нефть.
Кроме того, Россия относится к странам с
развивающимся рынком, который характеризуется повышенной волатильностью
валютных курсов, нестабильностью финансовых рынков и высокими процентными
ставками и спрэдами. Поэтому для нашей страны характерен риск резкого оттока
капитала в случае возникновения кризисных ситуаций в мире, поскольку инвесторы
стремятся изъять свои средства из стран, которые наиболее уязвимы к влиянию
макроэкономических шоков.
Динамика ВВП - один из важных показателей
экономической активности государства. Его падение в период кризиса негативно
сказывается в различных сферах экономической и общественной жизни.
Индекс ММВБ отражает состояние на рынке акций
крупных российских компаний, которые являются наиболее важными для экономики
страны. Обвал индекса означает ухудшение положения компаний, снижение рыночной
стоимости их активов и усиливает проблемы с погашением внешней задолженности и
получением новых кредитов для обеспечения функционирования своей деятельности.
Кроме того, обвал котировок на фондовом рынке приводит к большим убыткам в
результате отрицательной переоценки акций в торговых портфелях.
Стоит подчеркнуть, что уменьшение величины
резервов может быть вызвано не только в результате улучшения кредитоспособности
заемщика, но и при списании безнадежных кредитов. Поэтому, на мой взгляд, для
получения более точных оценок стоит использовать не абсолютную величину
резервовбанковского сектора, а их изменение за период в расчете на рубль всех
выданных кредитов, выраженное в процентах. В регрессии оно будет обозначаться
как LLP.Итак, для построения регрессионной зависимости резервов на возможные
потери включены следующие показатели (Табл.6).
Таблица 6
Макроэкономические факторы для анализа влияния
на РВПС банковского сектора РФ
|
Обозначение
|
Наименование переменной
|
Предполагаемая зависимость с LLP
|
|
GDPGR
|
Темпы прироста ВВП,%
|
отрицательная
|
|
INV
|
Приток(+)/отток(-) капитала,
млрд.долл.
|
отрицательная
|
|
BRENT
|
Цена на нефть,$
|
отрицательная
|
|
DOLLAR
|
Курс доллара,$
|
Положительная/отрицательная
|
|
MMVB
|
Индекс ММВБ, пункты
|
отрицательная
|
Матрица корреляции между зависимой и
объясняющими переменными подтверждает знаки предполагаемой зависимости (Табл.7).
Таблица 7
Резервы на возможные потери - коэффициенты
корреляции
|
LLP
|
BRENT
|
DOLLAR
|
GDPGR
|
INV
|
MMVB
|
|
LLP
|
1.000000
|
-0.332209
|
0.186817
|
-0.263244
|
-0.283022
|
-0.303302
|
|
BRENT
|
-0.332209
|
1.000000
|
-0.354032
|
0.083011
|
-0.014776
|
0.887493
|
|
DOLLAR
|
0.186817
|
-0.354032
|
1.000000
|
-0.085318
|
-0.100880
|
-0.498143
|
|
GDPGR
|
-0.263244
|
0.083011
|
-0.085318
|
0.368438
|
0.054321
|
|
INV
|
-0.283022
|
-0.014776
|
-0.100880
|
0.368438
|
1.000000
|
0.144351
|
|
MMVB
|
-0.303302
|
0.887493
|
-0.498143
|
0.054321
|
0.144351
|
1.000000
|
Статическая модель зависимости LLP от
макроэкономических переменных.
Уравнение оцениваемой регрессии имеет следующую
форму (статическая модель):
Где
-
коэффициент перед соответствующей макроэкономической переменной, t -
ежеквартальные значения показателей.
В процессе анализа были получены следующие
результаты (Табл.8).
Таблица 8
Модель зависимости резервов на возможные потери
от макроэкономических факторов.
|
Dependent Variable: LLP
|
|
|
|
Method: Least Squares
|
|
|
|
Date: 03/29/15 Time: 16:09
|
|
|
|
Sample (adjusted): 2002Q2 2014Q3
|
|
|
Included observations: 49 after
adjustments
|
|
|
HAC standard
errors & covariance (Bartlett kernel, Newey-West fixed
|
|
bandwidth
= 4.0000)
|
|
|
|
Variable
|
Coefficient
|
Std. Error
|
t-Statistic
|
Prob.
|
|
C
|
2.836674
|
0.867530
|
3.269826
|
0.0023
|
|
BRENT
|
-0.006069
|
0.001789
|
-3.391541
|
0.0017
|
|
DOLLAR
|
0.005171
|
0.026746
|
-2.436631
|
0.0198
|
|
GDPGR
|
-0.015927
|
0.005592
|
-2.848358
|
0.0071
|
|
L2GDPGR
|
-0.024245
|
0.007757
|
-3.125358
|
0.0034
|
|
L1INV
|
-0.009233
|
0.002107
|
-4.382809
|
0.0001
|
|
R-squared
|
0.679629
|
Mean dependent var
|
0.389041
|
|
Adjusted R-squared
|
0.669308
|
S.D. dependent var
|
0.398114
|
|
S.E. of regression
|
0.305976
|
Akaike info criterion
|
0.598170
|
|
Sum squared resid
|
3.463996
|
Schwarz criterion
|
0.843919
|
|
Log likelihood
|
-6.860648
|
Hannan-Quinn criter.
|
0.688794
|
|
F-statistic
|
6.820611
|
Durbin-Watson stat
|
1.375056
|
|
Prob(F-statistic)
|
0.000134
|
|
|
|
|
|
|
|
|
|
|
|
|
|
|
|
|
|
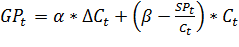
|
LLP = 2.836 - 0.006*BRENT +
0.005*DOLLAR - 0.0159*GDPGR - 0.024*L2GDPGR - 0.009*L1INV
Регрессия в целом значима на 1%-ном уровне,
поскольку Prob (F-st)=0,000134<0,01. Кроме того, величина R2adj= 0,66,
характеризующая качество подгонки регрессии, находится на достаточно хорошем
уровне и в пределах, полученных в других работах, исследующих влияние макроэкономических
факторов на стабильность банковского сектора.
В статической модели в качестве объясняющих
переменных были включены только макроэкономические факторы, которые являлись
экзогенными для данного уравнения. Однако в случае применения динамического подхода,
величина начисленных РВПС будет учитывать и накопленный в предыдущий период
объем резервов. Проверим нашу гипотезу, что в случае накопления и учета резерва
в предыдущем периоде влияние макроэкономических шоков будет слабее.С целью
проверки данной предпосылки мы включим в состав регрессии показатель LLP с
лагом в один квартал. Уравнение примет следующую форму:
Где
- темпы прироста резервов на возможные потери на рубль предоставленных кредитов
в предыдущем периоде, %,
- коэффициент
перед соответствующей макроэкономической переменной, t- ежеквартальные значения
показателей.
Результаты представлены в таблице 9.
Таблица 9
Модель зависимости резервов на возможные потери
от макроэкономических факторов
|
Dependent Variable: LLP
|
|
|
|
Method: Least Squares
|
|
|
|
Date: 03/29/15 Time: 17:25
|
|
|
|
Sample (adjusted): 2002Q2 2014Q3
|
|
|
Included observations: 49 after
adjustments
|
|
|
HAC standard
errors & covariance (Bartlett kernel, Newey-West fixed
|
|
bandwidth
= 4.0000)
|
|
|
|
Variable
|
Coefficient
|
Std. Error
|
t-Statistic
|
Prob.
|
|
C
|
2.649151
|
0.798445
|
3.317887
|
0.0021
|
|
LLP1
|
0.483943
|
0.137633
|
3.516180
|
0.0012
|
|
BRENT
|
-0.004201
|
0.001413
|
-2.972637
|
0.0052
|
|
DOLLAR
|
-0.071257
|
0.024552
|
-2.902351
|
0.0063
|
|
GDPGR
|
-0.013702
|
0.004871
|
-2.812910
|
0.0079
|
|
L2GDPGR
|
-0.017393
|
0.005295
|
-3.284979
|
0.0023
|
|
L1INV
|
-0.006900
|
0.001742
|
-3.961619
|
0.0003
|
|
R-squared
|
0.741995
|
Mean dependent var
|
0.389041
|
|
Adjusted R-squared
|
0.693994
|
S.D. dependent var
|
0.398114
|
|
S.E. of regression
|
0.253672
|
Akaike info criterion
|
0.242355
|
|
Sum squared resid
|
2.316590
|
Schwarz criterion
|
0.529062
|
|
Log likelihood
|
1.789376
|
Hannan-Quinn criter.
|
0.348083
|
|
F-statistic
|
11.24114
|
Durbin-Watson stat
|
2.302497
|
|
Prob(F-statistic)
|
0.000000
|
|
|
|
|
|
|
|
|
|
|
|
|
|
LLP = 2.649 + 0.483*LLP1 -
0.004*BRENT + 0.001*DOLLAR - 0.013*GDPGR - 0.017*L2GDPGR - 0.006*L1INV
Регрессия в целом также значима на 1%-ном
уровне, поскольку Prob (F-st)=0,000000<0,01, величина R2adj= 0,69, что
значительно лучше в сравнении со статической моделью.
Далее сравним полученные результаты по
статической и динамической моделям (Табл. 10).Из таблицы видно, что все
объясняющие переменные, полученные в первой модели, остались значимыми и сохранили
первоначальный знак, однако степень их воздействия стала несколько слабее.
Например, снижение цены на нефть на 1 доллар приводит к предполагаемому росту
резервов на возможные потери в статической модели на 0,006%, в динамической -
0,004%. Для остальных показателей прослеживается аналогичная тенденция. Другими
словами, если банковский сектор заранее учитывает вероятность материализации
рисков в случае ухудшения макроэкономической обстановки и формирует резерв, то
это снижает уязвимость банков к макрошокам и снижает будущие потери.
Таблица 10
Сравнение статической и динамической модели
оценки LLP от макроэкономических показателей
|
Обозначение
|
Статическая модель
|
Динамическая модель
|
|
Coefficient
|
Probability
|
Coefficient
|
Probability
|
|
BRENT
|
-0.006069
|
0.0017
|
-0.004201
|
0.0052
|
|
DOLLAR
|
0.005171
|
0.0198
|
0.001257
|
0.0063
|
|
GDPGR
|
-0.015927
|
0.0071
|
-0.013702
|
0.0079
|
|
L2GDPGR
|
-0.024245
|
0.0034
|
-0.017393
|
0.0023
|
|
L1INV
|
-0.009233
|
0.0001
|
-0.006900
|
0.0003
|
Далее перейдем к интерпретации результатов по
каждому регрессору, полученных в ходе построения эконометрических моделей
зависимости РВПС российского банковского сектора от ряда макроэкономических
переменных.
В ходе анализа выяснилось, что для данной модели
индекс ММВБ оказался не значимым. С одной стороны, это можно объяснить наличием
мультиколлинеарности между ценой на нефть и уровнем индекса ММВБ. В его состав
включены все крупные нефтяные и добывающие компании страны, следовательно, его
динамика зависит от рыночных цен на акции компаний, которые в свою очередь определяются
ценами на нефть. Поскольку цена на нефть значима для нашей модели, то индекс
ММВБ можно исключить без существенных потерь. Кроме того, на мой взгляд,
динамика индекса ММВБ вряд ли может сильно воздействовать на размеры резервов
на возможные потери банков, поскольку, в основном, эти компании имеют сильную
поддержку со стороны государства, и в случае необходимости государство окажет
им финансовую помощь для пополнения средств и исполнения кредитных обязательств
перед банками. Также стоит отметить, что крупные компании предпочитают брать
кредиты за рубежом, так как там проценты по кредитам значительно ниже, чем в
России. Таким образом, можно сделать вывод, что падение индекса ММВБ значимо не
ухудшает положение банков посредством повышения резервов на возможные потери.
Цена на нефть (ВRENT) в модели оказалась
значимой и имеет отрицательный знак. Отсюда следует, что макроэкономический шок
в виде снижения цен на нефть приводит к наращиванию банками резервов на
возможные потери, ухудшая тем самым финансовое положение банковского сектора.
Значимость цены на нефть подтверждает уязвимость различныхсекторов российских
экономики, в том числе и банков, к колебаниям на международном нефтяном рынке.
В условиях падения цены на нефть снижается объем поступлений от ее продажи. Это
негативно сказывается на значительной части экономики страны, а не только на
энергетическом секторе. Сокращаются доходы и расходы бюджета, снижается
платежеспособность организаций нефинансового сектора и доходы населения, растет
инфляция. В конечном итоге, это приводит к снижению кредитоспособности
заемщиков и стоимости активов, и как следствие, к росту кредитного риска и
увеличению резервов на возможные потери.
Курс доллара по отношению к рублю (Dollar) в
нашей модели является значимым в объяснении влияния на уровень резервов на
возможные потери. На первый взгляд, здесь сложно выявить однозначное влияние
динамики курса доллара - все зависит от типа заемщиков, которым выданы кредиты
в инвалюте. С одной стороны, если кредиты выданы заемщикам, которые получают
доходы в иностранной валюте (например, компании, экспортирующие товары), то
рост курсадоллара значительно на них не отразится, и у них не будет сложностей
с погашением кредитов. То есть наблюдается отрицательная зависимость между РВПС
и курсом доллара. С другой стороны, если заемщик не имеет доходов в иностранной
валюте, обесценение рубля может производить противоположный эффект, поскольку
ему будет необходимо намного больше рублей, чтобы конвертировать их для
погашения кредита. В этом случае увеличивается риск неплатежа и просроченной
задолженности, и банки вынуждены увеличивать величину РВПС. В нашей модели
выявлена положительная зависимость резервов на возможные потери от курса
доллара. На рисунке 12 видно, что в период роста курса доллара доля
просроченных кредитов в иностранной валюте растет, а значит, банки под них
формируют дополнительные резервы.
Рис. 12. Динамика доли просроченных кредитов в
иностранной валюте
в
банковском секторе РФ в кредитах, выданных в иностранной валюте в
2002-2014г.г., %.
Источник: составлено по данным ЦБ РФ
Следующий фактор, который является значимым в
нашей модели - темпы роста ВВП (GDPGR) - один из важных показателей
экономической активности государства. Как мы уже говорили ранее, банки снижают
объем резервов на возможные потери в период экономического подъема, то есть
когда увеличиваются темпы роста ВВП, и наращивают их в период экономического
спада. Модель подтверждает отрицательную зависимость между динамикой ВВП и
резервами на возможные потери по ссудам. Вместе с текущим значением показателя
мы включили в регрессию данную переменную с лагом, для того чтобы
определитьвремя, через которое ухудшение в реальном секторе экономики
воздействует на качество кредитного портфеля банков. В результате мы получили,
что на изменение резервов влияют как текущие темпы роста ВВП, так и с задержкой
в 2 квартала, причем коэффициент перед L2GDPGRзначительно выше и имеет более
высокий уровень значимости. Данный факт означает, что динамика ВВП оказывает не
мгновенное влияние на состояние банковского сектора, а с некоторым
запаздыванием. Знак минус перед GDPGRи L2GDPGR подтверждает, что спад
экономической активности, проявляющийся в форме снижения ВВП, отрицательно
влияет на стабильность банковского сектора (Рис. 13).
Рис.13. Темпы прироста ВВП и прироста РВПС на
рубль выданных кредитов банковского сектора РФ2005-2014, %
Источник: составлено по данным ЦБ РФ
- отток/приток капитала, млрд.долл. Кризис на
мировых финансовых рынках сопровождается оттоком капитала, деньги и инвестиции
уходят из страны в условиях макроэкономической нестабильности. Отток капитала в
России вызван не только неприятием инвесторами риска на российских рынках, но и
большой внешней корпоративной задолженностью, которую предприятия вынуждены
погашать кредиторам. В этих условиях различные сектора экономики сталкиваются с
дефицитом денежных средств и сокращением доходов от своей деятельности, что
негативно сказывается на их кредитоспособности.
Вывоз капитала из страны приводит к сдерживанию
экономического развития и к ослаблению финансовой стабильности в результате
нехватки инвестиционных ресурсов. Превышение оттока капитала над притоком
означает реальное сокращение финансовых ресурсов для развития
экономики.Ежегодная утечка определенной доли валового внутреннего продукта за
рубеж отрицательно сказывается на экономическом развитии страны, поскольку
является прямым вычетом из ресурсной базы для внутренних инвестиций. Отток
капитала дестабилизирует систему макроэкономического регулирования.Повышение
реальной процентной ставки для предотвращения утечки капитала негативно
отражается на внутреннем инвестиционном процессе, одновременно ведя к ухудшению
инвестиционного климата в стране, ослаблению интереса иностранных инвесторов к
России, все чаще относящих ее к разряду «проблемных рынков». Бегство капитала
из страны приводит к дефициту ликвидности в банковской системе, что в свою
очередь, отражается на объемах кредитования реального сектора экономики.
Кроме того, сам банковский сектор сталкивается с
недостатком ликвидности, в результате чего растут расходы на привлечение
средств. Для покрытия своих расходов банки вынуждены увеличивать уровень риска
кредитного портфеля, поскольку рост риска сопровождается ростом процентных
ставок по предоставленным кредитам. Таким образом, наблюдается отрицательная
зависимость между движением капитала и размером РВПС (Рис.14)
Рис. 14. Отток капитала в РФ и темпы
приростаРВПС банковского сектора в 2002-2014г.г.
Источник: составлено по данным ЦБ РФ
В полученной модели подтверждается отрицательный
характер влияния оттока капитала из страны на РВПСс лагом в один период
(L1INV). Из этого следует вывод, что шок от оттока капитала распространяется на
банки не мгновенно, а спустя некоторый период времени, как и в случае с ВВП.
На основе полученных моделей мы выяснили, что
макроэкономические шоки в форме снижения цен на нефть, падения курса рубля и
уровня ВВП, а также отток капитала отрицательно влияют на банковский сектор
через увеличение резервов на возможные потери. Причем эффект от одних
проявляется сразу, а от других - спустя некоторый промежуток времени. Кроме
того, динамическая модель показала, что наличие сформированного в предыдущие периоды
РВПС дает возможность ослабить процикличную связь с макроэкономическими
факторами, характерными для российской экономики, что в свою очередь, еще раз
подтверждает оправданность разработки и внедрения инструмента динамического
резервированияГлава 3. Модель формирования динамических резервов на возможные
потери в России
.1 Апробирование испанской модели динамического
резервирования на российском банковском секторе
В предыдущей главе мы доказали с помощью
эконометрической модели, что статическая модель формирования РВПС является
процикличной по отношению к основным макроэкономическим факторам, характерным
для российской экономики, что негативно сказывается на банковском секторе в
период кризиса. Это привело нас к идее рассмотрения альтернативного решения для
российского банковского сектора - контрциклического резервирования. Для
прогнозирования того, насколько необходимо динамическое резервирование как
контрциклический инструмент для российского банковского сектора, в качестве
теста была взята испанская модель формирования резервов, которая также уже была
апробирована на данных американских банков. Согласнорезультатам исследований,
представленнымJoseFillatиJuditMontoriol-Garrigaвстатье
“Addressingtheprocyclicalityofcapitalrequirementswithadynamicloanlossprovisionsystem”
[35],испанская модель действительно может способствовать сглаживанию динамики
РВПС в течение цикла и смягчить потери в период кризиса. Апробируем
разработанную модель на данных российского банковского сектора и посмотрим, к
каким изменениям она приведет и изменит ли что-то вообще.
Перейдем к представлению модели, с помощью
которой испанские банки формируют динамические резервы. Формула для начисления
резервов согласно испанской методике имеет следующий вид:
, где(1)
- резервы
- прирост кредитов
за период t
- величина РВПС в
период t
- кредиты
банковского сектора в период t
- параметры начисления.
Согласно методике данные параметры
рассчитываются следующим образом. Коэффициент α показывает,насколько
в среднем увеличивается просроченная задолженность при увеличении кредитного
портфеля банковского сектора. Данный параметр определятся с помощью
регрессионного анализа по следующей формуле:
, где (2)
величина просроченной задолженности в период t.
Отличие описанных выше формул от оригинала
заключается лишь в том, что здесь вычисляются коэффициенты для кредитного
портфеля в целом, а испанские банки применяют дифференцированный подход при
динамическом резервировании и присваивают различные значения коэффициентам
в
зависимости от типа риска кредита.
Коэффициент
рассчитывается
исходя из предположения, что рост просроченной задолженности приведет к
необходимости начисления РВПС. Выдвигается предположение, что прирост кредитов
неизбежно сопровождается приростом некоторой доли просроченной задолженности, а
затем, следовательно, увеличением РВПС. Поэтому данный факт необходимо
учитывать в формуле. Результаты эконометрического анализа представлены в
таблице 11.
Таблица 11
Вычисление параметра α
|
Dependent Variable: NPL
|
|
Method: Least Squares
|
|
Date: 04/29/14 Time: 22:23
|
|
Sample: 2002:1 2014:2
|
|
Included observations: 48
|
|
Variable
|
Coefficient
|
Std. Error
|
t-Statistic
|
Prob.
|
|
C
|
-127.5807
|
40.36630
|
-3.160575
|
0.0029
|
|
CREDIT
|
0.003152
|
0.002518
|
15.53812
|
0.0012
|
|
R-squared
|
0.851817
|
Mean dependent var
|
379.8091
|
|
Adjusted R-squared
|
0.848289
|
S.D. dependent var
|
404.1274
|
|
S.E. of regression
|
157.4081
|
Akaike info criterion
|
12.99995
|
|
Sum squared resid
|
1040647.
|
Schwarz criterion
|
13.08105
|
|
Log likelihood
|
-283.9989
|
F-statistic
|
241.4332
|
|
Durbin-Watson stat
|
0.341844
|
Prob(F-statistic)
|
0.000000
|
Искомый параметр перед регрессоромCREDIT
α=0.003102.Коэффициент значимый, поскольку
Prob(t-st)=0.0012<0.01, и имеет положительный знак. Это означает, что в
среднем рост кредитного портфеля сопровождается ростом просроченной
задолженности. R2=0.85- это говорит о достаточно высоком качестве регрессии и
достоверности полученных результатов.
Следующий коэффициент βрассчитывается
как среднее за анализируемый периодотношение РВПС к кредитам банковского
сектора. В нашем случае данный параметр равен
Разница
между этим средним значением и отношением в каждый период времени
показывает,
насколько текущее значение отличается от среднего за период. Если значение в
скобках положительное, это говорит умеренном кредитном риске, и банк должен
доначислить динамический резерв на недостающую до среднего значения величину.
Если же разница получилась отрицательной, то есть банк начисляет больше, чем
необходимов среднем, то это говорит об ухудшении кредитного портфеля.
Динамическую часть начислять в этом случае не надо, а стандартные РВПС
формируются за счет накопленной динамического резерва. Итоговая формула для
общих резервов представляет собой сумму стандартных и динамических резервов на
возможные потери по ссудам:
(3)
Данное уравнение показывает, что общие резервы в
этом случае не зависят от стандартных РВПС до тех пор, пока
и
.
Когда это происходит, что сигнализирует об ухудшении качества кредитного
портфеля и росте рисков в экономической среде, общие резервы становятся равны
стандартным РВПС, которые начисляются в размерах, установленных
законодательством в зависимости от категории качества ссуды. Стоит отметить,
когда формируются только стандартные резервы, они покрываются за счет
динамической части в пределах имеющейся накопленной величины, а не из текущей
прибыли. В случае,если накопленный запас динамических резервов исчерпан,
необходимая величина стандартных РВПС начисляется в обычном порядке.
Далее применим вышеуказанные расчеты по
формированию и использованию динамических резервов для российского банковского
сектора. Суть наших расчетов состоит в моделировании инструмента динамического
резервирования, начиная с2006 года,с целью определить, каким образом действие
инструмента динамического резервирования могло отразиться на показателях
российского банковского сектора. В таблице 12 представлены основные показатели,
используемые при расчете динамической части общих резервов.
Таблица12
Данные для формирования РВПС, млрд. руб.
|
обозначение
|
2006
|
2007
|
2008
|
2009
|
2010
|
2011
|
2012
|
2013
|
2014
|
|
SPt
|
452
|
586
|
1023
|
2051
|
2192
|
2319
|
2441
|
2852
|
4054
|
|
Ct
|
8031
|
12288
|
16527
|
16116
|
18148
|
23266
|
27708
|
32456
|
51799
|
|
SPt/Ct
|
0,056
|
0,048
|
0,062
|
0,127
|
0,121
|
0,100
|
0,088
|
0,088
|
0,078
|
|
ΔCt
|
2581
|
4257
|
4239
|
-411
|
2032
|
5118
|
4442
|
4748
|
19343
|
|
(b-SPt/Ct)*Ct
|
175,455
|
374,051
|
268,240
|
-774,113
|
-501,248
|
-276,198
|
-316,241
|
-6,990
|
|
a*ΔCt
|
8,138
|
13,422
|
13,365
|
-1,296
|
6,407
|
16,137
|
14,005
|
14,970
|
60,987
|
|
GPt
|
183,593
|
387,473
|
281,605
|
|
|
|
|
|
|
|
Динамическая часть
|
Да
|
Нет
|
Из таблицы 12 видно, что в период с 2006-2008
гг. значение динамических резервов положительное. Наибольший объем отмечается в
2007-2008 гг., когда была относительно благоприятная экономическая обстановка.
Начиная с 2009 года, исходя из полученных данных, мы наблюдаем отрицательное
значение объема динамических резервов. Это означает, что банки резервируют на
рубль выданных кредитов больше, чем в среднем по историческим данным. То есть
на лицо ухудшение макроэкономической обстановки и кредитного портфеля банков.
Таким образом, согласно используемой методике,
динамические резервы будут доначислены к стандартным РВПС в 2006-2008 годах, а
начиная с 2009года стандартные РВПС будут покрываться за счет динамических, а
оставшаяся часть необходимых резервов будет начисляться в обычном порядке за
счет финансового результата банков.
В таблице13 представлена модифицированная
структура РВПС российского банковского сектора. Как мы говорили выше, в
2006-2008 гг. к стандартным РВПС дополнительно начисляется динамическая часть,
а в остальные годы банки начисляют только стандартные РВПС, связанные с
реализацией кредитных рисков и ухудшением качества кредитного портфеля. В
период кризиса они покрываются сначала за счет накопленной ранее динамической
части, а в недостающем объеме - за счет текущей прибыли.
Таблица 13
Состав общих РВПС с учетом динамической составляющей,
млрд. руб.
|
Наименование
|
2006
|
2007
|
2008
|
2009
|
2010
|
2011
|
2012
|
2013
|
2014
|
|
Общие резервы (TP)
|
635,59
|
1157,07
|
1875,67
|
2051,00
|
2192
|
2319
|
2441
|
2852
|
4054
|
|
из них
|
|
|
|
|
|
|
|
|
|
|
Стандартные (SP)
|
452
|
586
|
1023
|
2051
|
2192
|
2319
|
2441
|
2852
|
4054
|
|
Динамические (GP)
|
183,59
|
571,07
|
852,67
|
|
|
|
|
|
|
Далее рассмотрим порядок начисления стандартных
РВПС с учетом накопленной динамической части.В 2006-2008 гг. согласно
вышеуказанным расчетам, основанным на формуле (3), российский банковский сектор
должен сформировать динамический резервв размере:
Динамический РВПС=183.59+387.47+281.61=852.67
млрд.руб.
Период 2006-2008 гг. был для России
благоприятным: ежегодные темпы роста ВВП в ценах 2008 года составляли 6-9%,
увеличивались доходы населения и предприятий.В течение этого времени цена на
нефть выросла с 60 до 130 долларов за баррель, рубль укрепился с 28 до 24
рублей. Также в 2006-2007г.г. в стране был чистый приток капитала на общую
сумму около 120 млрд. долл., что подтверждало благоприятный инвестиционный
климат и низкией уровень риска в стране. Банки, свою очередь, увеличивали
кредитное предложение: в 2006 году суммарный объем кредитов, предоставленных
нефинансовым организациям и физическим лицам вырос на 47%, в 2007 году - на
53%, в 2008 году- на 34,5%. В результате за три года объем предоставленных
кредитов увеличился с 8031.4 до 16526.9 млрд.рублей (более чем в 2 раза).
Причем стоит отметить, что более 50% этих кредитов отнесены к 1 категории
качества, по которой РВПС не начисляются, а это может представлять серьезную
угрозу для банков в будущем в случае возникновения проблем в экономике. Таким
образом, в этот период необходимо начислять динамический резерв под вероятность
ухудшения качества кредитного портфеля.
Следующий временной отрезок 2009-2014 гг.- это
период, в котором страна перенесла финансово-экономический кризис и
постепенновыходила из него, а в конце 2014 года столкнулась с очередными
трудностями. В 2009 году падение ВВП составило около 8%, падение цен на нефть
ниже 100 долларов, обесценение рубля и его плановая девальвация, в результате
которой рубль ослабел на 18%, чистый отток капитала, а также рост безработицы и
ухудшение платежеспособности населения и предприятий оказало негативное
воздействие на банковский сектор. Рост просроченной задолженности и снижение
качества кредитов обязывали банки наращивать РВПС за счет прибыли, которая в
условиях кризисаснижалась. Впоследствии в течение ряда лет экономика постепенно
выходила из кризиса и восстанавливалась, показывая положительную динамику по
различным показателям, но не смогла достичь уровня предкризисного периода. В
2014 году российская экономика, включая банковский сектор, вновь столкнулась с
серьезнами трудностями и ограничениями, вызванными исчерпанием традиционных
источников экономического роста и введением санкций со стороны США и стран
Европы. Прирост ВВП за 2014 год составил всего 0.6%, что говорит о стагнации в
России, цена на нефть снизилась на 40%, курс рубля упал к концу года на 72% до
57 рублей за доллар, отток капитала на 42 млн.долл.. Все это в совокупности не
могло не отразиться на кредитном портфеле банковского сектора. Рост инфляции и
расходов, дефицит источников финансирования, снижение потребительского спроса и
реальных доходов населения ухудшало финансовое состояние организаций и физических
лиц. Это проявлялось в росте просроченной задолженности до 3.8% и увеличении
доли плохих кредитов в кредитном портфеле российского банковского сектора до
6.7% (6% - в 2013.г.).Таким образом, согласно условиям тестируемой модели в
2009-2014г.г. дополнительный динамический резерв не начисляется. В рамках нашей
модели динамического резервирования рассмотрим, как этот механизм мог быть
использован в банках (Табл. 14).
Таблица 14
Механизм резервирования в российском банковском
секторев 2009-2013гг.
|
Наименование
|
2009
|
2010
|
2011
|
2012
|
2013
|
2014
|
|
РВПС
|
2051
|
2192
|
2319
|
2441
|
2852
|
4054
|
|
Абсолютный прирост РВПС за период
|
1028
|
141
|
127
|
122
|
411
|
1202
|
|
Накопленные динамические резервы
|
852,67
|
0
|
0
|
0
|
0
|
0
|
|
Покрытие РВПС за счет динамической
части
|
852,67
|
0
|
0
|
0
|
0
|
0
|
|
Динамические резервы на конец
периода
|
0
|
0
|
0
|
0
|
0
|
0
|
|
Начисление РВПС из прибыли
|
175,33
|
141
|
127
|
122
|
411
|
1202
|
В 2009 году размер РВПС российского банковского
сектора увеличился на 1028 млрд.рублей и составил 2051 млрд.рублей. Данный
прирост будет начисляться не за счет текущей прибыли, а за счет накопленной в
период экономического подъема динамической части в размере 852.67 млрд. руб.
Однако накопленная динамическая часть покроет прирост не в полном объеме: еще
175.33 млрд. руб. будут начислены за счет расходов банковского сектора.Другими
словами, в 2009 году в случае применения динамического резервирования банки
доначислили ли бы из текущей прибыли только 175.33 млрд.руб. вместо 1028 млрд.,
то есть почти в 6 раз меньше. Все последующее время до 2014 года включительно банковский
сектор будет начислять РВПС в стандартном формате, поскольку накопленные
динамические резервы будут полностью потрачены на покрытие кредитные рисков в
2009 году, и он снизится до нуля.
Полученные результаты сравнения динамического и
статического подхода к формированию резервов представлены графически на Рис.15.
Благодаря динамической модели резервирования банки получают возможность
избежать сильных колебаний в формировании РВПС, сделать их более стабильными и
амортизировать негативное влияние ухудшения финансового положения заемщиков в
условиях нестабильной макроэкономической обстановки.
Рис.15 Стандартное и динамическое резервирование
в российском банковском секторе в 2006-2014 г.г.
Источник: ЦБ РФ, авторские расчеты
Как уже отмечалось ранее, в период
экономического подъема банки формируют динамическую составляющую РВПС на случай
реализации неожиданных потерь в будущем, за счет которой при ухудшении
экономической обстановки и ухудшении качества кредитов формируются стандартные
РВПС.Нами рассмотрен механизм действия инструмента динамического
резервированияи то, как он изменяет процесс формирования РВПС кредитных
организаций. Далее рассмотрим, как его применение влияет на прибыль российского
банковского сектора. Ниже представлена таблица текущей прибыли банков за период
2006-2013 гг. при стандартном и динамическом подходах(Табл. 15).
Таблица 15
Прибыль текущего года банковского сектора РФ,
млрд.руб.
|
Обозначение
|
2006
|
2007
|
2008
|
2009
|
2010
|
2011
|
2012
|
2013
|
2014
|
|
стандартный подход
|
372
|
508
|
409
|
205,1
|
573,4
|
848,2
|
1012
|
994
|
589
|
|
динамический подход
|
225,1
|
198,0
|
183,7
|
887,2
|
573,4
|
848,2
|
1012,0
|
994,0
|
589,0
|
При стандартном подходе текущая прибыль
банковского сектора РФ за 2009 год составляет 205.1 млрд. рублей. В случае
внедрения динамического резервирования, банковский сектор должен был бы
доначислять за счет прибыли только 175.33 из 1028 млрд. руб. Тогда при
динамическом подходе к прибыли 2009 года необходимо прибавить ту часть прироста
РВПС, которая покрывается за счет накопленной динамического резерва - 852.67,
скорректированного на ставку по налогу на прибыль:
.1+852.67*(1-0.2)=887.2 млрд. руб.
Таким образом, мы получили, что накопленный
контрциклический резерв за 2006-2008 г.г., практически на 75% покрывает резкий
рост РВПС в кризисный период, что приводит к увеличению текущей прибыли в 4
раза.
Графическое изображение текущей прибыли при
стандартном и динамическом подходах представлено на рис. 16.
Рис.16.Прибыль (убыток) текущего года банковского
сектора РФ в 2006-2014 г.г., млрд. руб.
Как видим, при динамическом подходе проявляется
контрциклическое влияние инструмента на финансовый результат кредитных
организаций. При стандартном формировании РВПС динамика прибыли банковского
сектора сонаправлена с динамикой ВВП: при увеличении темпов прироста ВВП
прибыль банков возрастает, а при снижении тоже начинает сокращаться. Это еще
раз подтверждает процикличный характер. Факторный анализ роста/снижения прибыли
также доказывает процикличность РВПС: в 2009 году доля чистого доформирования
РВПС (за минусом восстановленного) в структуре факторов снижения прибыли
составила 55,1%, в 2014 году - 42,1%.
При динамическом подходе ситуация меняется на
противоположную. В 2009 году при падении ВВП прибыль банковского сектора не
снижается в результате ухудшения качества кредитного портфеля, а покрывается за
счет сформированного буфера. В период кризиса в экономике банкам при
динамическом подходе не нужно увеличивать расходы, которые и без этого
существенны, и тем самым снижать текущую прибыль. Наоборот, этот подход
позволяет сформировать подушку безопасности, которая снижает объем потерь. В
результате капитал уменьшится в меньшей степени, чем при стандартном подходе в
условиях макроэкономической нестабильности, что обеспечит в свою очередь
достаточность капитала на более высоком уровне.
В то же время существует отрицательная сторона
инструмента динамического резервирования - в период стабильности банки,
формируя резерв под будущие потери по кредитам, снижают показатели своих
финансовых результатов. На мой взгляд, если этим механизмом будут пользоваться
все банки, и он будет четко и оптимально разработан и отлажен, то в
долгосрочной перспективе банки осознают его эффективность и необходимость,
особенно в наше время, когда частота и сила воздействия макрошоков в экономике
растет. Также стоит отметить, что динамическое резервирование дает возможность
экономии при уплате налога на прибыль, поскольку эти резервы вычитаются из
налогооблагаемой прибыли, что является компенсацией для кредитных организаций
при данном подходе (Табл. 16).
Таблица 16
Объемы налоговых выплат банковского сектора.
|
Объем налога, млрд.руб.
|
2006
|
2007
|
2008
|
|
Стандартный подход
|
93
|
127
|
102,25
|
|
Динамический подход
|
56,28
|
49,51
|
45,93
|
|
экономия на налоге
|
36,72
|
77,49
|
56,32
|
Таким образом, на мой взгляд, данный механизм
может быть использован в практической деятельности банков и в
макропруденциальном регулировании, позволяя распределить кредитные риски во
времени и повысить устойчивость банков к экономическим колебаниям.
Динамическое резервирование позволяет
поддерживать на стабильном уровне один из важнейших показателей эффективности
банковского сектора - рентабельность капитала, который является весьма
информативным для инвесторов. Если мы рассчитаем рентабельность капитала в
период кризиса при динамическом подходе, то она существенно увеличится (16%
против 4% по факту в 2009 году). Это еще раз подтверждает, что динамическое
резервирование как контрциклический инструмент позволяет укрепить устойчивость
банковского сектора и оптимизировать кредитные риски.
Рис.16. Рентабельность капитала банковского
сектора РФ в 2006-2014 г.г.,%.
Источник: ЦБ РФ, авторские расчеты
В результате апробирования варианта испанской
модели контрциклического резервирования на данных российского банковского
сектора мы показали, что внедрение данного подхода действительно может сгладить
влияние макроэкономических шоков (падение темпов прироста ВВП, цены на нефть,
ослабление рубля и отток капитала) в экономике. Это, в свою очередь, позволяет
укрепить финансовую устойчивость кредитных организаций и обеспечить им
возможность кредитовать экономику в период кризиса.
.2 Разработка авторской модели контрциклического
резервирования
В ходе проведенного исследования мы доказали,
что в настоящее время механизм резервирования на возможные потери по ссудам
носит процикличный характер. Это негативно отражается на финансовой
устойчивости кредитных организаций в период макроэкономической нестабильности,
что, в свою очередь, еще более усугубляет состояние экономики и увеличивает
период выхода из кризиса. Кроме того, с помощью апробирования испанской модели
контрциклического резервирования на российском банковском секторе, мы пришли к
выводу о том, что данный альтернативный инструмент может способствовать
ослаблению последствий макроэкономических шоков, распределить их во времени в
рамках всего экономического цикла и, тем самым, укрепить стабильность банков в
период кризиса и рецессии.
Как мы уже увидели, испанская модель учитывает
только динамику кредитного портфеля и долю резервов на возможные потери по
ссудам, изменяющиеся во времени. На мой взгляд, этого недостаточно, и
необходимо разработать инструмент, который будет принимать во внимание
макроэкономический фактор, поскольку цель нашей работы - предложить модель,
которая будет носить контрциклический характер по отношению к шокам в экономике
и сглаживать их отрицательное воздействие. В качестве такого
макроэкономического показателя из построенной ранее регрессии был выбран ВВП.
Выбор обусловлен тем, что в процессе эконометрического анализа мы получили, что
РВПС зависит от динамики ВВП как текущего, так предыдущих периодов, и
коэффициенты при данных регрессорах имеют наибольшее значение по сравнению с
остальными макроэкономическими факторами. Кроме того, следует подчеркнуть, что
динамика ВВП выступает отражением цикличности экономики - периодов подъема и
спада, на его изменение оказывают существенное влияние динамика цен на нефть,
валютные курсы, притоки и оттоки капитала.
Перейдем непосредственно к спецификации модели.
Данная модель будет разработана и проанализирована для российского банковского
сектора в целом. В первую очередь, важно определить момент, когда необходимо
начинать формирование динамических резервов и время, когда за счет них будут
покрываться кредитные риски, материализовавшиеся в условиях нестабильности
экономики. Чтобы определить эти моменты времени, было принято решение
использовать в качестве индикатора динамику отношения кредитов банковского сектора
к ВВП, выраженную в процентах, другими словами исследовать кредитный цикл. В
процессе экономического подъема, когда риски в экономике минимальны, доходы
населения растут, развиваются различные сектора экономики и повышается
инвестиционный климат, кредитные организации начинают активную, а некоторые
даже агрессивную кредитную политику, в результате которой резко увеличивается
кредитное предложение. Банки стремятся получить максимально возможную прибыль,
проявляют повышенную лояльность к заемщикам в условиях конкуренции,
недооценивая при этом риски, которые этому сопутствуют, поскольку в период
подъема финансовое положение заемщиков хорошее и ожидаемые кредитные потери
стремятся к нулю. Однако, когда макроэкономическая обстановка ухудшается,
снижаются темпы промышленного производства, инвестиции в реальный сектор, банки
начинают сокращать кредитное предложение в виду ухудшения качества
существующего кредитного портфеля, по которому они доформировывают резервы, а
также ограждать себя от рисков, связанных с выдачей новых кредитов, в которых
особенно нуждается экономика во время кризиса. Таким образом, в период подъема
и пика отношение кредитов к ВВП будет расти, а в период спада и кризиса,
соответственно, снижаться.
Для построения индикатора определения периода
перегрева в экономике и начисления динамических резервов были использованы
статистические данные за период 2002-2014 г.г., которые включают как периоды
подъема российской экономики, так и периоды спада. Чтобы определить период,
когда банки должны формировать контрциклические резервы, был использован фильтр
Hodrick-Prescott, построенный с помощью эконометрического пакета Eviews.
Hodrick-Prescott - это индикатор, позволяющий разложить динамику переменной на
циклическую и трендовую составляющие. Для нашей модели важно выявить амплитуду
и характер колебания циклической составляющей отношения кредитов к ВВП во
времени. На рисунке 17представлено графическое изображение фильтра
Hodrick-Prescott, полученного в Eviews.
Рис.17. Фильтр Hodrick-Prescottдля уровня
кредитов к ВВП банковского сектора РФ 2002-2014г.г.,%
Красная линия, соответствует тренду отношения
кредитов к ВВП, а синяя - это отклонения переменной от тренда - циклические
колебания. Чтобы более детально рассмотреть циклическую составляющую,
представим ее на отдельном графике (Рис.18).На рисунке четко прослеживаются
периоды подъема и спада кредитного цикла. В период 2007-2008 г.г. ситуация в
российской экономике была благоприятная, цены на нефть росли, наблюдался приток
капитала в страну, укреплялся рубль, улучшалось благосостояние населения и
банки увеличивали объемы предоставляемых кредитов с целью максимизации прибыли.
Таким образом, уровень кредитов к ВВП был существенно выше трендовой величины,
соответствующей устойчивому равномерному росту, что сигнализировало о риске
кредитного перегрева экономики. Затем уровень кредитов к ВВП начинает
снижаться, отражая кризисные события, и в течение 2010-2013г.г. находится ниже
трендовой линии, что говорит о недостаточном предоставлении банками кредитных
ресурсов для финансирования российского экономики.
Рис.18. Циклическая составляющая отношения
кредитов к ВВП РФ в 2002-2014г.г.,%
Итак, на первом шаге, с помощью фильтра
Hodrick-Prescott мы выделили циклическую часть показателя кредитов к ВВП.
Следующее, что нам необходимо сделать - определить с его помощью периоды
времени, когда механизм динамического резервирования активизируется и
формируется на покрытие ожидаемых кредитных рисков. Для этого зададим следующие
условия:
Рассчитаем числовые значения гэпа кредитного
цикла, которые соответствуют циклической составляющей фильтра Hodrick-Prescott,
как разность между текущим и устойчивым (трендовым) значениями.
Вычислим среднее стандартное отклонение гэпа за
анализируемый период 2002-2014 г.г. Значения гэпов за данный период
представлены в таблице 14, для которых с помощьюстатистической функции в
Excelвычисляем среднее стандартное отклонение. В результате расчетов мы
получили, что среднее стандартное отклонение равняется σ=0.019996905.
Зададим коэффициент чувствительности. В нашем
случае он будет равен 0,2. Данное значение коэффициента предложено доктором
экономических наук С.Р. Моисеевым в одной из его статей, посвященных анализу
инструментов макропруденциальной политики, включая контрциклическое
резервирование по ссудам [3]. Этот коэффициент дает возможность избегать
ситуации, когда тренд начинает менять форму и фильтр не успевает учесть это
изменение или когда несколько крупных сделок по предоставлению кредитов
вызывают кратковременный всплеск, который по ошибке может восприниматься как
увеличение кредитного предложения.
Тогда, если величина гэпа, то есть отклонение
текущего значения показателя от равновесного, превышает среднее стандартное
отклонение на 20%, это означает, что наступает фаза перегрева и необходимо в
течение этого периода формировать динамические резервы. В остальное время
контрциклические резервы не начисляются банками и используются для покрытия
возникающих кредитных рисков.
Результаты вычислений представлены в приложени
1.
Таким образом, мы идентифицировали промежуток
времени, в течение которого российские банки должны формировать динамические
резервы: вторая половина 2007 года и весь 2008 год, когда отклонение кредитного
цикла от тренда значительно превышало среднее значение за анализируемый период.
Если мы вернемся к модели динамического резервирования, тестируемой в
предыдущей главе, то мы увидим, что согласно испанской схеме банковский сектор
мы начинаем формировать резерв с 2006 года. На мой взгляд, второй вариант
наиболее достоверный, если мы говорим о контрицикличности, поскольку, как мы
уже упоминали ранее, испанская модель учитывает только поведение банковских
показателей (кредиты, РВПС, просроченная задолженность) и никак не принимает во
внимание макроэкономические факторы. Динамика кредитного портфеля без привязки
к состоянию экономики не отражает в полной степени процикличный характер и
делает прогнозы менее точными. В модифицированной модели мы объединяем две
важные составляющие - банковских сектор и состояние экономики в целом, что
позволяет с меньшей погрешностью выявить период формирования динамических
резервов.
Теперь перейдем к описанию того, каким образом
динамические резервы будут формироваться в течение данного периода. Если в
тестируемой испанской модели коэффициенты резервирования были одинаковые для
всего кредитного портфеля российского банковского сектора, то здесь в авторской
модели мы внесли ряд модификаций и усложнили ее. На мой взгляд, применение
одинаковых параметров к совокупным кредитам не совсем корректно и делает
вычисления менее точными. Для того чтобы снизить погрешность в расчетах и
сделать механизм контрциклического резервирования более точным, мы разделим
кредиты на две большие группы: кредиты физическим лицам и кредиты,
предоставленные нефинансовым организациям. Принцип разделения был обусловлен
тем, что каждая из этих групп имеет свои особенности: уровень риска, объемы,
доля просроченной задолженности, финансовое положение заемщиков.Если мы посмотрим
на структуру кредитного портфеля, то мы ясно увидим, что основная доля
приходится на кредиты, предоставленные юридическим лицам (Рис.19).
Другими словами, банки в основной своей части
выдают кредиты организациям и предприятиям для развития бизнеса, поддержания
финансово-хозяйственной деятельности, на инвестиции в новые проекты и т.д.
Стоит при этом отметить, что средний размер кредита существенно выше, чем
потребительский, что несет более высокую скрытую угрозу для банка в случае
неплатежеспособности юридического лица по сравнению с физическим. На рис.19 мы
видим, что уровень кредитного риска определяется, прежде всего, качеством
кредитов, предоставленных нефинансовым организациям, на долю которых приходится
в среднем около 60% всего кредитного предложения.
Рис.19. Доля кредитов нефинансовым организациям
банковского сектора РФ в общем объеме кредитов 2007-2014г.г.,%
Источник: ЦБ РФ
Рассмотрим уровень просроченной задолженности по
данным кредитам. На рис.20доля просроченной задолженности по кредитам
юридическим лицам в общем объеме просроченной задолженности составляла в
среднем за анализируемый период около 70%. Рост доли просроченной задолженности
по кредитам нефинансовым организациям наблюдался со второго квартала 2008 года.
Начиная с 3 квартала 2008 года до конца 2009 года их доля выросла с 48% до 75%
или на 660 млрд.руб. в денежном выражении (почти в 5 раз) с 111 млрд.рублей до
770 мдрд.руб. Однако за этот же период кредиты для данного категории заемщиков
выросли всего на 1279 млрд.руб. с 11127 до 12424 млрд.рублей или на 11, 7%.Что
касается кредитов физическим лицам, то за аналогичный период просроченная
задолженность выросла почти вдвое с 135 до 252 млрд. руб., объем кредитов с
7002 до 7305 млрд. руб или 4%.
Рис. 20. Структура просроченной задолженности
банковского сектора РФ, 2004-2014г.г., %.
Источник: ЦБ РФ
Таким образом, темпы прироста просроченной
задолженности по кредитам в период финансово-экономического кризиса были выше
темпов прироста кредитного портфеля, что обусловило ухудшение качества
кредитного портфеля и увеличило кредитные риски для банков в период кризиса.
Данную ситуацию подтверждает график, описывающий
долю просроченной задолженности в кредитах по каждому типу заемщика (Рис.21).
Доля просроченной задолженности по кредитам нефинансовым организациям выросла с
1.18% до 6% за 4 квартал 2008 и 2009 год. Что касается просроченной
задолженности по кредитам, выданным физическим лицам, то они также
увеличиваются в период кризиса и достигают максимальной отметки в 7,5%. Уровень
просроченной задолженности по кредитам физическим лицам выше, чем по кредитам
нефинансовым организациям. В 2009 году рост просроченной задолженности
физических лиц вызвана рядом причин. Доля просроченной задолженности по
автокредитованию выросла с 4.7% до 9.5%, по ипотечному жилищному кредитованию с
1.4% до 4.6%, по прочим потребительским ссудам с 6.4% до 12.3%. Реальные доходы
населения существенно снижались в условиях повышения общего уровня цен и роста
безработицы с 6% до 8.4%, что негативно отражалось на кредитоспособности
населения. В результате качество портфеля существенно ухудшилось, доля
проблемных кредитов составила 3,1%, безнадежных - 6,5% (в 2008 году - 1.7%,
2.1% соответственно). Что касается, просроченной задолженности юридических лиц,
то она была вызвана задолженностью предприятий торговли -10.6% и строительства
- 7.5%. В период кризиса данные отрасли очень уязвимы, поскольку снижается
спрос на товары и жилье, а также резко увеличиваются расходы.
Рис. 21. Доля просроченной задолженности
банковского сектора РФ в 2004-2014,г.г., %
Источник: ЦБ РФ
На рис.22представлен график отношения РВПС к
объему кредитов по каждому типу заемщика. Мы видим, что примерно до середины
2009 года соответствующие значения для кредитов физических лиц и нефинансовых
организаций приблизительно равны. Однако затем доля РВПС по юридическим лицам
становится выше. Дело в том, что в период кризиса и выходы из него, предприятия
столкнулись с серьезными проблемами: сокращался объем заказов на производство
различных товаров, неполная загрузка производственных мощностей, рост
дебиторской задолженности. Всего 213 из 1417 планированных объектов было
введено в эксплуатацию. В результате увеличилась доля убыточных предприятий в
различных отраслях экономики: в секторе по добыче полезных ископаемых до 40%, в
металлургии - более 50%, в строительстве - 27.6%.
Кроме этого, стоит отметить, что в 2009г.
наблюдался рост реструктурированных крупных ссуд: доля реструктурированны ссуд
с просроченной задолженностью составила 3.7% или 50 млрд.руб., доля ссуд,
реструктурированных по увеличению срока выплаты основного долга
(пролонгированные) - 715 млрд.руб. Эти цифры являются еще одним подтверждением
того, что банки недооценивают кредитные риски при выдаче кредита.В результате в
случае ухудшения ситуации банки реструктурируют ссуды, чтобы избежать
обязательства доначисления РВПС из падающего финансового результата. Это
особенно касается крупных ссуд, предоставляемых юридическим лицам.
Рис.22. Отношение РВПС к кредитам банковского
сектора РФ 2007-2014, %
Источник: ЦБ РФ
Как мы уже поняли, характер, динамика кредитов в
зависимости от типа заемщика отличаются друг от друга и необходимо формировать
соответствующий уровень динамического резерва под каждый из них, чтобы улучшить
качество и эффективность функционирования контрциклического инструмента.
Формирование динамической части РВПС будет происходить по следующей схеме:
,(1)
где
- динамические
резервы в текущий период,
- динамические
резервы, накопленные в предыдущем периоде;
- ожидаемые потери
по кредитам;
- резервы на
возможные потери по ссудам, сформированные на основе стандартного подхода;
(2)
Где
,
-
коэффициенты динамического резервирования по кредитам физическим и юридическим
лицам;
- прирост кредитов
по i-тому типу заемщиков в текущий период;
-величина кредитов
по i-тому типу заемщиков в текущий период;тип заемщика (i=1,2 - предоставленные
физическим и юридическим лицам).
- параметры
начисления. Коэффициент α показывает,
на сколько в среднем увеличивается просроченная задолженность при увеличении
кредитного портфеля банковского сектора по соотвествующему типу заемщиков.
Данный параметр определятся с помощью регрессионного анализа, как и в испанской
модели, по следующей формуле:
, где(2)
- величина
просроченной задолженности в период t по i-тому типу заемщика. Построив
регрессии методом наименьших квадратов, мы получили следующие значения
коэффициента
по физическим и
юридическим лицам (Табл.17, 18):
Таблица 17
Кредиты, выданные физическим лицам
|
Dependent Variable: NPLIND
|
|
|
|
Method: Least Squares
|
|
|
|
Date: 05/16/15 Time: 14:47
|
|
|
|
Sample : 2002Q1 2014Q3
|
|
|
Included observations: 49
|
|
|
Variable
|
Coefficient
|
Std. Error
|
t-Statistic
|
Prob.
|
|
C
|
-29.56749
|
22.67128
|
-1.304182
|
0.2012
|
|
CIND
|
0.006328
|
0.004018
|
15.75263
|
0.0000
|
|
R-squared
|
0.882623
|
Mean dependent var
|
283.3508
|
|
Adjusted R-squared
|
0.879066
|
S.D. dependent var
|
185.8837
|
|
S.E. of regression
|
64.64207
|
Akaike info criterion
|
11.23105
|
|
Sum squared resid
|
137893.7
|
Schwarz criterion
|
11.31993
|
|
Log likelihood
|
-194.5434
|
Hannan-Quinn criter.
|
11.26173
|
|
F-statistic
|
248.1455
|
Durbin-Watson stat
|
0.170580
|
|
Prob(F-statistic)
|
0.000000
|
|
|
|
Таблица 18
Кредиты, выданные юридическим лицам
|
Dependent Variable: NPLCORP
|
|
|
|
Method: Least Squares
|
|
|
|
Date: 05/16/15 Time: 14:48
|
|
|
|
Sample: 2002Q1 2014Q3
|
|
|
Included observations: 49
|
|
|
Variable
|
Coefficient
|
Std. Error
|
t-Statistic
|
Prob.
|
|
C
|
-162.4461
|
67.05326
|
-2.422643
|
0.0207
|
|
CCORP
|
0.005539
|
0.004370
|
12.67800
|
0.0000
|
|
R-squared
|
0.821184
|
Mean dependent var
|
603.5374
|
|
Adjusted R-squared
|
0.816075
|
S.D. dependent var
|
412.4829
|
|
S.E. of regression
|
176.8995
|
Akaike info criterion
|
13.24158
|
|
Sum squared resid
|
1095270.
|
Schwarz criterion
|
13.32865
|
|
Log likelihood
|
-242.9692
|
Hannan-Quinn criter.
|
13.27228
|
|
F-statistic
|
160.7318
|
Durbin-Watson stat
|
0.138549
|
|
Prob(F-statistic)
|
0.000000
Следующий коэффициент β
рассчитывается
как среднее за анализируемый период отношение РВПС к кредитам банковского
сектора по типу заемщиков, соответственно. Для оценки коэффициента β
был
взят период с 2002г. до второй половины 2007 года, когда мы дожны начать
формирование динамического резерва. В нашем случае данный параметр равен .
В результате мы получаем по два коэффициента для каждого типа заемщиков
(Табл.19):
Таблица19
Коэффициенты для модели
|
Тип кредита
|
|
|
|
Кредиты физическим лицам
|
0.0063
|
0.0490
|
|
Кредиты юридическим лицам
|
0.0055
|
0.0514
|
В ходе расчетов мы получили, что коэффицент α
выше
для кредитов физическим лицам, что еще раз подтвердило в среднем за период
уровень просроченной задолженности по ним выше, чем для нефинансовых
организаций. Что касается второго коэффициента, то здесь он выше для
юридических лиц, но разница между ними крайне незначительная, поскольку в
разные промежутки времени уровень РВПС к кредитам физических лиц и опережал и
был ниже уровня для кредитов юридических лиц.
Динамические резервы в нашем исследовании должны
формироваться из расходовкредитных организаций отдельно по каждому из двух
типов кредитов в течение установленного промежутка времени, в котором
наблюдался перегрев кредитного цикла, и затем использоваться в случае
необходимости доначисления РВПС по ухудшающимся кредитам соответствующего типа.
Итак, мы вычислили период перегрева в экономике
при помощи фильтра Hodrick-Prescott, описали механизм формирования
динамического резерва и вычислили необходимые нам коэффициенты для каждого типа
кредитов. Далее перейдем к непосредственным расчетам динамического резерва для
российского банковского сектора и проанализируем, каким образом это могло бы повлиять
на состояние банков в сравнении с действующим статическим подходом. Стоит
отметить, что, как и в случае с апробированием испанской модели
контрциклического резервирования, мы будем проводить ретроспективный анализ на
данных прошлых лет. Нам необходимо проанализировать, как бы повлиял
динамический резерв на состояние банковского сектора, если бы он начал
внедряться вначале 2000-х и использовался в период финансового кризиса в
России.Рассмотрим в начале процесс динамического резервирования по каждому типу
кредитов в отдельности. Мы идентифицировали промежуток времени, в который
должно происходить формирования динамической части - 2008 год. (Табл. 20)
Таблица 20
Динамические резервы по кредитам для юридических
лиц, млрд.руб.
|
Обозначение
|
2007Q3
|
2007Q4
|
2008Q1
|
2008Q2
|
2008Q3
|
2008Q4
|
|
SPt
|
341,57
|
354,20
|
390,35
|
436,29
|
484,40
|
625,42
|
|
Ct
|
7875,00
|
9046,00
|
9926,00
|
11126,52
|
12028,22
|
12509,68
|
|
ΔCt
|
1000,00
|
1171,00
|
880,00
|
1200,52
|
901,70
|
481,46
|
|
b*Ct
|
408,71
|
469,49
|
515,16
|
577,47
|
624,26
|
649,25
|
|
a*ΔCt
|
5,53
|
6,48
|
4,87
|
6,64
|
4,99
|
2,66
|
|
ELt
|
414,24
|
475,96
|
520,03
|
584,11
|
629,25
|
651,92
|
|
ELt-SPt
|
72,67
|
121,76
|
129,68
|
147,81
|
144,85
|
26,50
|
|
DPt
|
72,67
|
194,43
|
324,11
|
471,92
|
616,77
|
643,27
|
За год мы получаем динамический резерв,
сформированный для покрытия кредитных рисков российского банковского сектора
для юридических лицв размере 643, 27 млрд.руб:
,67+121,76+129,68+147,81+144,85+26,5=643,27
(млрд.руб.)
Аналогичным образом рассчитывается динамический
резерв на возможные потери по ссудам физических лиц (Табл. 21):
,71+20,25+11,14+21,29+28,29+2,42=101,10
(млрд.руб.)
Таблица 21
Динамические резервы по кредитам для физических
лиц, млрд.руб.
|
Обозначение
|
2007Q3
|
2007Q4
|
2008Q1
|
2008Q2
|
2008Q3
|
2008Q4
|
|
SPt
|
104,90
|
120,09
|
139,17
|
158,11
|
171,30
|
194,57
|
|
Ct
|
2462,00
|
2818,00
|
3039,00
|
3590,00
|
4018,00
|
4020,00
|
|
ΔCt
|
310,50
|
356,00
|
221,00
|
551,00
|
428,00
|
2,00
|
|
b*Ct
|
120,64
|
138,08
|
148,91
|
175,91
|
196,88
|
196,98
|
|
a*ΔCt
|
1,97
|
2,25
|
1,40
|
3,49
|
2,71
|
0,01
|
|
ELt
|
122,60
|
140,34
|
150,31
|
179,40
|
199,59
|
196,99
|
|
ELt-SPt
|
17,71
|
20,25
|
11,14
|
21,29
|
28,29
|
2,42
|
|
DPt
|
17,71
|
37,95
|
49,09
|
70,38
|
98,67
|
101,10
|
Таким образом, общая сумма динамического резерва
для российского банковского сектора составляет в сумме 744,37млрд. рублей. Если
посмотреть на структуру общего динамического резерва то, получаем, что
приблизительно 80% приходится на покрытие рисков по нефинансовым организациям и
20% - по физическим лицам. Примерно эту же структуру в среднем за анализируемый
период имееют общий РВПС, сформированный стандартным образом. Это означает, что
в целом тенденции и структура по стандартному и динамическому резервированию
сохраняются для обоих типам кредитного портфеля.
Как видно из таблиц 21 и 22наибольший объем
динамических резервов по обоим видам кредитных портфелей должен начисляться
вовтором и третьем квартале 2008 года. Данный факт обусловлен тем, что это был
наиболее благоприятный период развития российской экономики, когда цены на
нефть достигали 140$ за баррель, увеличивался объем экспорта и приток
инвестиций в страну, рубль укреплял свои позиции по отношению к бивалютной
корзине, наращивались темпы производства. Благоприятный финансовый климат
внутри страны способствовал снижению рисков, притоку капитала и активизации
банков на кредитном рынке в целях максимизации прибыли. В целом за 2008 года
кредитный портфель физических лиц вырос на 1202 млрд.руб. (на 43%),
нефинансовых организаций на 3622 млрд.руб. (41%). Вероятность кредитных рисков,
которые могут реализоваться в будущем, оказалась очевидной. В первом квартале
2009 года ситуация в стране ощутимо ухудшилась - экономика вошла в стадию
рецессии. Правительство и Центральный банк были вынуждены разработать и ввести
пакет антикризисных мер, направленных на укрепление банковской системы и
оздоровление экономики: плавающая девальвация, беззалоговые кредиты ЦБ,
снижение ставки рефинансирования, субординированные кредиты Правительства и ряд
других инструментов. Финансовый кризис коснулся различных сторон банковской
деятельности, в том числе и качества кредитного портфеля. Скрытые кредитные
риски, накопленные в период кредитного бума, материализовались, и банкам было
нужно доформировывать РВПС по ухудшающимся и обесценивающимся кредитам за счет
доходов, сокращающихся в период кризиса. Для многих банков это стало серьезным
обременением, что заставило Центральный Банк разрешить не формировать
дополнительный РВПС по ряду кредитов. Данная ситуация еще раз подтверждает
неэффективность стандартного подхода формирования резервов.
Посмотрим далее, как накопленный с помощью нашей
модели динамический резерв мог бы использоваться для покрытия кредитных рисков,
возникающих в условиях макроэкономической нестабильности.В качестве примера
возьмем кредиты, выданные физическим лицам. В результате применения
контрциклического инструмента в 2007-2008г.г., как мы уже получили ранее,был
сформирован динамический резерв под кредиты физическим лицам в размере
101,1млрд.рублей. Суть механизма использования аналогична тестируемой ранее
испанской модели, когда прирост РВПС покрывается за счет накопленной
динамической части до полного ее использования, после чего банки начисляют
резервы стандартным образом (Табл.22.).
В первом квартале 2009 года РВПС вырос с 194.57
до 243.35 млрд.руб. на 48.78 млрд.руб, который мы покрываем из динамического
резерва. В результате, остаток на начало второго квартала 2009 года будет
составлять
,1 - 48,78=52,32млрд. рублей. Аналогичным
образом мы продолжаем покрывать прирост стандартных РВПС, вызванных ухудшением
качества кредитов,за счет накопленной динамической части до тех пор, пока
резерв не будет полностью исчерпан. Данная схема действует и в отношении кредитов,
предоставленных нефинансовым организациям.
В результате в нашем случае динамического
резерва по кредитам физических лиц будет достаточно для практически полного
покрытия РВПС в 2009 году, нефинансовым организациям до конца 3 квартала 2009
года. Начиная с этого времени, РВПС будут начисляться в обычном порядке, как
при стандартном формировании РВПС из расходов банков.
Таблица 22
Использование динамических резервов по кредитам
физических лиц и юридических лиц, млрд. руб.
|
Распределение
|
Физические лица
|
Юридические лица
|
|
2009 Q1
|
2009 Q2
|
2009 Q3
|
2009 Q4
|
2009 Q1
|
2009 Q2
|
2009 Q3
|
2009 Q4
|
|
SPt
|
243,35
|
289,39
|
297,29
|
290,72
|
851,46
|
1017,73
|
1179,54
|
1374,17
|
|
ΔSPt
|
48,78
|
46,04
|
7,91
|
-6,58
|
226,04
|
166,27
|
161,81
|
194,63
|
|
списание за счет динамической
части
|
48,78
|
46,04
|
6,28
|
0
|
226,04
|
166,27
|
161,81
|
89,15
|
|
остаток динамического резерва на
конец периода
|
52,32
|
6,28
|
0,00
|
0
|
417,23
|
250,96
|
89,15
|
0
|
|
начисление из расходов
|
0
|
0
|
1,63
|
0
|
0
|
0
|
0
|
105,48
|
Накопленный динамический резерв мог бы дать
возможность банковскому сектору во время кризиса 2009 году не досоздавать РВПС,
тем самым не усиливать давление на прибыль, уровень достаточности капитала и не
допускать резкого сокращения кредитного предложения в условиях острого дефицита
финансовых ресурсов в экономике.Таким образом, мы пришли к выводу, что при
динамическом резервировании прослеживается контрциклическая составляющая
инструмента, поскольку оно дает возможность не допустить снижения прибыли в еще
большей степени в период кризиса, когда банки испытывают много сложностей, и
альтернативная цена каждой единицы ресурса возрастает. Динамические резервы
способствуют укреплению финансовой стабильности кредитных организаций, что он в
свою очередь были стержнем и крепким фундаментом, способным оказать поддержку
реальному сектору, который наиболее остро нуждается в финансировании в условиях
дефицита ликвидности и ограничения источников фондирования. Важно, что более
высокая прибыль позволяет не допустить снижение показателей достаточности
капитала, что, как правило, является потенциальной угрозой для ряда банков во
время кризиса, когда банку недостаточно капитала для покрытия возрастающих
рисков.
Заключение
На основе результатов, полученных в ходе
исследования, подведем итоги и сформулируем ряд выводов, касающихся
динамического резервирования как инструмента контрциклического регулирования
российского банковского сектора.
Во-первых, мы изучили, что представляет собой
динамическое резервирование, и каким образом его введение и применение
оказывает воздействие на банковский сектор.Динамическое резервирование
позволяет оценивать и учитывать ожидаемые кредитные риски, которые могут
материализоваться в будущем в результате ухудшения качества кредитов и
экономической обстановки, и тем самым обеспечить устойчивость банковского
сектора.
Во-вторых, было проанализировано, каким образом
в настоящее время формируются резервы на возможные потери по ссудам в
российских кредитных организациях, а также выявлен ряд проблем недостаточности
начисленных РВПС, которые негативно сказались в период кризиса. Анализ показал,
что недооценка рисков в период экономического благополучия и чрезмерное
кредитование негативно сказались на банковском секторе в период кризиса, что
заставило банки в больших объемах доформировывать необходимый уровень РВПС и
нести ощутимые потери.Кроме того, банки не заинтересованы начислять РВПС,
прибегая к разным способам(рефинансирование, вынесение за баланс) с целью
занизить уровень требуемого в действительности объема начислений РВПС.
В-третьих, с помощью эконометрического анализа
была доказана процикличная зависимость РВПС российского банковского сектора от
макроэкономических факторов, к которым экономика России наиболее чувствительна.
Банковская система страны является уязвимой по отношению к темпам прироста ВВП,
ценам на нефть, движению капитала, динамике курса иностранной валюты. Это
основные макроэкономические шоки, которые наиболее характерны для российской
экономики. Причем некоторые из них, такие как отток капитала и падение ВВП
оказывают не мгновенное влияние на банки, а спустя некоторые время. Осознание
этого факта полезно для разработки мер по предотвращению кризисных тенденций в
банковском секторе и укреплению финансовой стабильности банковского сектора в
будущем. Также модель показала, что если банковский сектор учитывает риски, которые
могут материализоваться в следующем периоде, то это ослабляет степень
воздействия шоков в экономике на банки и амортизирует потери по кредитному
портфелю. Другими словами, необходимо рассмотреть динамическое резервирование
как альтернативу текущей модели формирования РВПС для укрепления положения
банков во время кризиса и существенного ухудшения кредитного портфеля при
падающих доходах.
В процессе работы для более детального понимания
и анализа контрциклического резервирования были изучены несколько альтернативных
моделей динамического резервирования, разработанных и применяемых в ряде стран.
В ходе сравнительного анализа было выявлено, что каждая из моделей отличается
друг от друга исходными условиями и предпосылками для начисления динамический
резервов, а также их размерами и типами. Сложность в оценке эффективности той
или иной модели заключается в том, что они используются совсем недавно, и
полный экономический цикл еще не прошел, чтобы понять и сделать выводы,
насколько этот механизм позволяет банкам быть более устойчивыми по отношению к
макроэкономическим шокам.
В рамках этого исследования была апробирована
модель динамического резервирования, используемая в Испании, на данных
российского банковского сектора. Данная модель была несколько упрощена, то есть
динамические резервы начислялись одинаково для кредитного портфеля в целом
всего российского банковского сектора, а не по каждому типу кредита в
отдельности. Результаты моделирования показали, что формирование динамического
резерва в период экономического подъема позволяет создать своего рода подушку
безопасности для амортизации кредитных рисков и сглаживания потерь во времени.
Приняв во внимание выводы, полученные в
результате апробирования испанского механизма динамического резервирования,
была разработана модифицированная модель формирования контрциклических
резервов. Еёсуть в первую очередь заключается в определении периода нагревания
экономики и необходимости наращения динамического резерва отдельно для кредитов
физических и юридических лиц на основе динамики отношения кредитов к
ВВП.Применение данного индикатора действительно помогло определить периоды
перегрева в экономике, когда необходимо начинать создание динамического
резерва. В результате мы получили, что созданные во второй половине 2007 и
2008г.г. динамические резервы, также как и в испанской модели, дают возможность
покрыть прирост РВПС за их счет в 2009 году во время острого проявления
кредитных рисков в банковском секторе. Формирование и использование
динамических резервов в отдельности по каждому типу заемщика, а не по
кредитному портфелю в целом, способствует более точному начислению
динамического резерва, снижает уровень погрешности. Кроме того, это позволяет
вести более эффективную политику по управлению каждым видом кредитов, контролю
над их качеством и уровнем риска, а также избегать перекоса при использовании
накопленных динамических резервов.
Однакостоит отметить, по сравнению с испанской
моделью банкам во втором варианте необходимо успеть сформировать динамический
резерв за более короткий срок. В результате этого в полученной модели нагрузка
на банки по формированию динамического резерва возрастает, основное бремя
приходится на 2008 год, который был в большей части наиболее благоприятный для
российской экономики. Это, на мой взгляд, вызвано, прежде всего, использованием
индикатора для определения периодов создания динамических резервов. Испанская
модель зависит только от объемов кредитного предложения и никак не учитывает
динамику макроэкономических факторов. В нашей модели мы объединяем банковский
сектор и экономику в единый показатель, что позволяет более точно определить
периоды введения динамического инструмента.
Таким образом, в ходе исследования мы пришли к
заключению, что в целом динамическое резервирование как инструмент контрциклического
регулирования вполне целесообразени может способствовать укреплению
устойчивости российского банковского сектора.На данный момент в России
этонаправление мало изучено и отсутствует широкий объем исследований, поэтому
изучение зарубежного опыта, оценка текущей политики формирования РВПС в РФ, а
также разработка инструмента динамического резервирования для российского
банковского сектора придает исследованию научную новизну и полезность для
дальнейшего развития этого вопроса.
Практическая значимость заключается в
возможности дальнейшего применения полученных выводов и результатов для
разработки политики регулирования и надзора банковского сектора с целью
снижения уязвимости к макроэкономическим шокам и укрепления банковской системы.
Это имеет большое значение, поскольку банковская система РФ является основой
финансовой системы нашей страны и крайне необходимо обспечить ее стабильность в
период кризисов.
Важно отметить, что необходимо более глубоко
подходить к анализу и разработке данного контрциклического инструмента для
применения его в российских банках. В этом исследовании мы использовали
упрощенный “top-downapproach”, когда на основе агрегированных данных на уровне
всего банковского сектора мы формировали модель и вычисляли средние значения коэффициентов
динамического резервирования для банковского сектора в целом. Нужно понимать,
что при таком подходе использованные данные не отражают действительность с
высокой степенью точности, а лишь дают возможность оценить и выдвинуть
предположения, каким образом может действовать механизм динамического
резервирования, а такжеспрогнозировать степень его влияния на кредитную
политику и финансовую стабильность банковского сектора.
Важно отметить, что коэффициенты, безусловно, не
должны быть одинаковыми для всех кредитных организаций, поскольку нужно
понимать, что банки между собой отличаются друг от друга, имеют свои
особенности, в том числе в отношении кредитной политики и формирования РВПС. В
случае установления единых нормативов формирования динамического резервирования,
для одной группы банков впоследствии динамических резервов будет не хватать,
поскольку у них качество кредитов хуже, чем в среднем по банковскому сектору, и
тогда контрциклический смысл данного инструмента для них теряется. Для других
банков, которые в течение всего времени своего функционирования имеют наоборот
низкий уровень риска, повышенный коэффициент может оказаться избыточным и
проблемным для исполнения, так как им будет просто не нужен такой объем
накопленных динамических резервов.
Поэтому, на мой взгляд, для действительного
повышения эффективности контрциклического резервирования необходимо предпринять
следующие шаги. ЦБ РФ должен разработать сам механизм и порядок расчета
динамического резервирования, а также определять моменты перегрева, опираясь на
вычисление индикаторов и оценки экономической ситуации, когда банкам необходимо
начинать создавать динамические резервы. Однако коэффициенты для их создания не
должны приходить сверху. Кредитные организации должны, следуя установленныму
порядку вычисления, рассчитать на основе своих данных требуемые коэффициенты и
применять их при создании динамического резерва. Такой подход позволит более
точно сформировать необходимый объем динамических резервов для покрытия потерь
по кредитным портфелям в период экономической нестабильности для каждого банка,
что будет способствовать снижению процикличности и банковского сектора в целом.
Похожие работы на - Анализ текущей модели формирования резервов на возможные потери по ссудам российского банковского сектора
|