Разработка путей повышения самостоятельности местных бюджетов на примере бюджета Некоузского муниципального района
Реферат
Ключевые слова: государственное и муниципальное управление, местные
бюджеты, финансовая самостоятельность, органы власти, доходы и расходы бюджета,
бюджетный дефицит, бюджетный профицит
Предмет исследования - социально-экономические и финансовые отношения по
поводу формирования финансовой самостоятельности муниципальных образований.
Объектом исследования является бюджет Некоузского муниципального района.
Целью исследования является разработка путей повышения самостоятельности
местных бюджетов на примере бюджета Некоузского муниципального района.
Результаты исследования: проведен анализ бюджета Некоузского
муниципального района и разработаны рекомендации по повышению самостоятельности
местных бюджетов.
Рекомендации по внедрению: результаты исследования могут быть
использованы в муниципальном управлении Некоузского района.
Содержание
ВВЕДЕНИЕ
.
ТЕОРЕТИЧЕСКИЕ АСПЕКТЫ ФОРМИРОВАНИЯ ФИНАНСОВОЙ САМОСТОЯТЕЛЬНОСТИ МЕСТНЫХ
БЮДЖЕТОВ
.1 Понятие и
состав финансовой системы муниципального образования
.2 Экономическая
сущность самостоятельности местных бюджетов
.3
Методические аспекты оценки самостоятельности местных бюджетов
. АНАЛИЗ
БЮДЖЕТА НЕКОУЗСКОГО МУНИЦИПАЛЬНОГО РАЙОНА И ОЦЕНКА ЕГО ФИНАНСОВОЙ
САМОСТОЯТЕЛЬНОСТИ
.1
Организация бюджетного процесса в Некоузском муниципальном районе
.2 Анализ
доходов и расходов бюджета Некоузского муниципального района
.3 Оценка
финансовой самостоятельности бюджета Некоузского муниципального района
. ПУТИ
ПОВЫШЕНИЯ САМОСТОЯТЕЛЬНОСТИ МЕСТНЫХ БЮДЖЕТОВ НА ПРИМЕРЕ БЮДЖЕТА НЕКОУЗСКОГО
МУНИЦИПАЛЬНОГО РАЙОНА
.1 Повышение
самостоятельности местных бюджетов в рамках процессно-ресурсной концепции
формирования и использования финансового потенциала МО
.2 Повышение
самостоятельности местных бюджетов за счет повышения эффективности бюджетного
процесса
ЗАКЛЮЧЕНИЕ
СПИСОК
ИСПОЛЬЗОВАННЫХ ИСТОЧНИКОВ
Введение
Государственная политика в России в последнее двадцатилетие обусловила
финансовую зависимость муниципальных образований от помощи из вышестоящих
бюджетов, что выражалось в снижении количества местных налогов, сокращении
отчислений от федеральных и региональных налогов и сборов, росте передаваемых
на местный уровень расходных полномочий. В частности реформирование местного
самоуправления, направленное на установление новых основ устойчивого социально-экономического
развития муниципальных образований России, не привело к предполагаемой
децентрализации финансовых ресурсов страны до ее первичного территориального
звена - муниципальных образований. На сегодня бюджеты муниципальных образований
характеризуются высокой степенью дотационности, отсутствием собственной
финансовой базы для исполнения полномочий, низкой эффективностью управления
финансовыми ресурсами и незаинтересованностью органов местного самоуправления в
саморазвитии.
Существующие точечные инструменты воздействия на увеличение финансовой
базы муниципальных образований, как правило, представляют собой различные
методики распределения финансовой помощи местным бюджетам, в то время как
вопросы повышения финансовой самостоятельности территорий требуют оптимизации
распределения доходов между уровнями бюджетной системы, увеличения роли
налоговых и неналоговых в обеспечении расходных обязательств и других
инструментов активизации финансового потенциала муниципальных образований. В
связи с этим особую актуальность представляет комплексное решение задач
повышения финансовой самостоятельности территории через разработку действенных
государственных и муниципальных механизмов, соответствующих экономическим и
правовым реалиям российской действительности.
Исследованиями различных аспектов управления территориальными финансами
занимаются многие российские и зарубежные ученые, в трудах которых заложены
теоретические и методологические основы данной проблемы в области:
теории развития территориальных систем, в том числе муниципальных
образований: Абалкин Л. И., Аганбегян А. Г., Анимица Е. Г., Белкин В. Н.,
Боткин О. И., Бочко В. С., Бухвальд Е. М., Велихов Л. А., Гайнанов Д. А.,
Гранберг А. Г., Загряцков М. Д., Закиров И. Д., Зотов В. Б., Игнатов В. Г., Куклин
А. А., Лаженцев В. Н., Махмутов А. Х., Озеров И. Х., Пасынков А. Ф., Пыткин А.
Н., Татаркин А. И., Шеломенцев А. Г., Широков А. Н. и др.;
сущности финансов и финансовой устойчивости, в том числе муниципальных
образований: Азрилиян А. Н., Александров А. М., Бабич А. М., Балихина Н. В.,
Боголепов М. И., Грязнова А. Г., Дробозина Л. А., Дьяченко В. П., Иваницкий В.
П., Захарчук Е. А., Качанова Е. А., Ковалев А. М., Колесникова Н. А., Краснова
Т. Г., Крейнина М. Н., Лушин С. И., Маршак В. Д., Морозов В. В., Пансков В. Г.,
Пешина Э. В., Пинская М. Р., Поляк Г. Б., Полякова О. А., Пыхова И. А.,
Родионова В. М., Сорокина Е. Д., Татаркин А. И., Татаркин Д. А. и др.;
финансового потенциала муниципальных образований как части общего
потенциала саморазвития: Гайнанов Д. А., Глущенко Л. Р., Колесникова Н. А.,
Коломиец А. М., Мельник А. Д., Новиков А. И., Климова Н. И., Татаркин А. И.,
Конярова Э. К., Сабитова Н. М., Лаженцев В. Н., Мельникова Н. М. и др.
Несмотря на весомость полученных результатов, некоторые моменты требуют
доработки и совершенствования. В работах по развитию территориальных систем не
учитывается необходимость активизации потенциальных возможностей муниципальных
образований для обеспечения устойчивого развития, а также саморазвития, что
является крайне актуальным в связи с негативной федеральной и региональной
политикой в отношении местных финансов. В работах по оценке финансовой
устойчивости и финансовому потенциалу представлены лишь отдельные не имеющие
стратегического характера инструменты воздействия на увеличение доходной базы
муниципальных образований, не позволяющие обеспечить их долгосрочную финансовую
самостоятельность. Недостаточная разработанность методических вопросов, а также
необходимость разработки действенных механизмов повышения финансовой
самостоятельности муниципальных образований как на государственном, так и на
муниципальном уровне, обусловили выбор темы исследования, цели и задач работы.
Целью исследования является разработка путей повышения самостоятельности
местных бюджетов на примере бюджета Некоузского муниципального района.
Задачами исследования являются:
рассмотрение теоретических аспектов формирования финансовой
самостоятельности местных бюджетов;
изучение методики оценки самостоятельности местных бюджетов;
анализ бюджета Некоузского муниципального района и оценка его финансовой
самостоятельности;
разработка путей повышения самостоятельности бюджета Некоузского
муниципального района.
Объектом исследования является бюджет Некоузского муниципального района..
Предмет исследования - социально-экономические и финансовые отношения по
поводу формирования финансовой самостоятельности муниципальных образований.
Теоретической и методологической основой исследования являются научные
труды отечественных и зарубежных ученых в области муниципальных финансов. В
процессе выполнения работы изучена общая и специальная литература,
нормативно-правовые акты федерального, регионального и местного уровня,
материалы научных конференций, международная и отечественная практика
управления финансовыми ресурсами муниципальных образований.
Исследование основано на методологии системного подхода, общенаучных
методах познания (анализ, синтез, сравнение), статистических методах (сбор,
обобщение, систематизация данных, корреляционно-регрессионный, ретроспективный
анализ, группировка и классификация), методах финансово-экономического анализа
(структурный, индексный, факторный анализ и анализ коэффициентов), а также
методах экономико-математического моделирования и экспертных оценок.
Информационная база исследования: нормативно-правовые акты федеральных,
региональных и муниципальных органов власти, справочные материалы Федеральной и
региональной службы государственной статистики, аналитические данные,
опубликованные в научной литературе и периодической печати, материалы
научно-практических конференций и муниципальных органов власти,
Internet-ресурсы.
1.
Теоретические аспекты формирования финансовойсамостоятельности местных бюджетов
.1 Понятие и состав финансовой системы муниципального
образования
Важным инструментом для реализации задач, стоящих перед муниципальными
образованиями, являются финансовые ресурсы. Муниципальные финансы - система
отношений по поводу формирования, распределения и использования финансовых
ресурсов местных органов власти.
Экономической основой местного самоуправления согласно Федеральному
закону ФЗ №-131 от 6 октября 2003 года «Об общих принципах организации местного
самоуправления в Российской Федерации» (далее - ФЗ-131) является находящееся в
муниципальной собственности имущество, средства местных бюджетов, а также
имущественные права муниципальных образований. Исходя из данного закона, можно
сказать, что финансы муниципального образования (далее - МО) являются составной
частью экономической основы местного самоуправления [5].
Местные бюджеты представляют собой один из элементов консолидированного
бюджета государства. В условиях бюджетного федерализма, предполагающего наличие
трех уровней власти, местный бюджет представляет собой форму образования и
расходования денежных средств для обеспечения местного самоуправления.
Анализ эволюции роли местных бюджетов в России показывает, что
исторические особенности развития нашего государства являются основной причиной
того, что регулирование местных финансов традиционно осуществлялось «сверху».
Высокий уровень централизации власти, обуславливал и тот факт, что система
местного самоуправления не столько являлась продуктом развития гражданского
общества, сколько «продолжением» системы государственного управления на местах,
связующим звеном между жителями отдельных территорий и государственной машиной.
Подобная система отношений предопределила и роль местных финансов, в частности
местного бюджета, как вторичную по отношению к государству, стремившемуся
мобилизовать максимальное количество финансовых ресурсов. При этом уровень
децентрализации финансов на протяжении всего исторического периода развития
России, включая дореволюционную и советскую эпохи, колебался в зависимости от
степени демократизации отношений в стране. Так, например, отмена крепостного права
повлекла за собой системную реформу организации местного самоуправления и
придание ей большей самостоятельности, аналогичный процесс характерен также для
первого постреволюционного периода (1917-1921 гг.), а затем оттепели 1951-1965
гг. Усиление административно-командных тенденций, напротив резко ограничивало
самостоятельность муниципальным образований, «сужало» и жестко регламентировало
их финансовые, в том числе и бюджетные возможности [10, c.12].
Переход к рыночным отношениям и демократизация российского общества в
начале 90-х гг. ХХ в. послужили мощным стимулом реформирования системы местного
самоуправления. Основными этапами реформы стали:
принятие в апреле 1990 года Закона «Об общих началах местного
самоуправления и местного хозяйства в СССР» (закреплено понятие -
самоуправление, экономической основой местного самоуправления стало
самофинансирование территорий);
принятие Закона «Об общих принципах организации местного самоуправления в
Российской Федерации» от 28.08.95 г., гарантировавшего обеспечение территориям
минимальных местных бюджетов и минимально необходимых расходов местных бюджетов
на основе нормативов минимальной бюджетной обеспеченности. Доходная часть
минимальных местных бюджетов обеспечивалась доходными источниками,
закрепленными на долговременной основе;
вступление в силу в 1997 г. Федерального Закона «О финансовых основах
местного самоуправления в Российской Федерации» (определены источники
формирования и направления использования финансовых ресурсов местного
самоуправления, основы бюджетного процесса в местных сообществах и
взаимоотношения органов местного самоуправления с финансовыми институтами, а
также гарантии финансовых прав органов местного самоуправления. Дано
определение местного бюджета - «бюджет муниципального образования, формирование,
утверждение и исполнение которого осуществляют органы местного самоуправления»
(ред. от 25.09.1997 г.№ 126-ФЗ);
принятие в 2003 г. Федерального закона «Об общих принципах организации
местного самоуправления», предполагающего полное разделение полномочий между
уровнями власти, обязательное формирование муниципальных образований на двух
территориальных уровнях - в поселениях и муниципальных районах с разграничением
и закреплением за каждым уровнем присущих ему полномочий, повышение эффективности
расходования бюджетных средств.
Параллельно с реформой местного самоуправления происходит в стране и
совершенствование устройства бюджетной системы в целом:
-1993 гг. - Закон «Об основах бюджетного устройства и бюджетного процесса
в РСФСР» (октябрь 1991 года), Конституции РФ (декабрь 1993 г.) выделение трех
качественно новых звеньев в составе бюджетной системы России: федеральные,
региональные и местные бюджеты;
г. - 1998 г. - реформирование системы межбюджетных отношений,
совершенствование принципов гарантирования бюджетной обеспеченности, создание
механизмов перераспределения бюджетных доходов; принятие Бюджетного кодекса;
-2001 г. - реализация Концепции реформирования межбюджетных отношений;
-2005 г. - в рамках программы развития бюджетного федерализма - работа по
разграничению бюджетных полномочий, повышение ответственности субъектов
бюджетного процесса [12, c.10].
В настоящий момент Россия находится на заключительном этапе
реформирования как бюджетного процесса (в обозначенных рамках), так и системы
местного самоуправления и его финансового обеспечения.
Одним из результатов реформы стало сокращение доли доходов местных
бюджетов в консолидированном бюджете Российской Федерации.
Усиление централизации налогов в федеральном бюджете привело к снижению
бюджетных доходов как высокообеспеченных, так и малообеспеченных территорий.
Последним, в порядке перераспределения через вышестоящий бюджет осуществлялось
возмещение выпадающих доходов (часто не полностью). Таким образом, произошла
замена имеющихся, хотя и недостаточных налогов дотационными формами
межбюджетного регулирования.
В соответствии с действующим бюджетным законодательством, за местным
уровнем власти закреплены достаточно большие расходные обязательства, включая
предоставление таких гарантированных Конституцией РФ услуг, как образование и
здравоохранение. Однако, после отмены Налоговым кодексом ряда местных налогов и
сборов, доходы от местных налогов среднестатистического органа местного
самоуправления составили в 2008 г. около 3 % от их расходов.
Основной целью реформирования является повышение эффективности бюджетного
процесса на всех уровнях бюджета, что ставит перед местными органами власти
принципиально новые задачи: так необходим переход к бюджетированию по
результатам, принципам среднесрочного планирования, обеспечение постоянного и
объективного мониторинга бюджетного процесса. При этом методологическая база
указанных механизмов пока находится в стадии формирования. В действующей
системе формирования межбюджетных отношений в условиях реализации реформы
местного самоуправления можно выделить основные их недостатки, которые
представлены на рисунке 1.
Рис. 1. Основные недостатки межбюджетных отношений [17, c. 122]
Совершенствованию межбюджетных отношений будет способствовать принятие
совокупных мер как на федеральном, так и на региональном уровнях в части
обновления механизмов и инструментов межбюджетного регулирования, а также
принятия отдельных законодательных норм. Необходимо предусмотреть в федеральном
законодательстве расширение перечня местных налогов, дополнив его единым
налогом на вмененный доход для отдельных видов деятельности и единым налогом,
взимаемым по упрощенной системе налогообложения, а также изменение
существующего порядка уплаты налога на доходы физических лиц.
Требуется принятие ряда федеральных законодательных норм по уточнению и
определению налогооблагаемой базы по земельным ресурсам и имуществу физических
лиц.
На региональном уровне в целях обеспечения ясности, прозрачности
формирования межбюджетных отношений с органами местного самоуправления
целесообразно ежегодно утверждать средний уровень расходных обязательств
муниципальных районов (городских округов).
Далее рассмотрим состав финансов местного уровня бюджетного управления.
Финансы муниципальных образований включают в себя:
.Финансы местных органов власти
1) муниципальный бюджет;
2) муниципальный кредит;
3) финансы муниципальных унитарных
предприятий.
2.Финансы экономических субъектов:
)финансы предприятий и организаций направляемых на развитие территории;
)финансы населения направляемые на развитие территории.
Формирование и использование местных финансов основывается на принципах
самостоятельности, государственной финансовой поддержки и гласности [2].
Финансовые ресурсы муниципалитета - это, в основном, средства
муниципального бюджета и средства муниципальных предприятий и организаций, они
включают в себя:
)совокупные доходы местного бюджета;
)государственные и муниципальные ценные бумаги, относящиесяк органам МСУ;
)средства, переданные из федерального и регионального бюджета;
)другие финансовые средства, которые находятся в распоряжении органов МСУ
согласно законодательству [25, c.32].
Главное звено и местных финансов, и финансовых ресурсов муниципалитетов -
местный бюджет.
Согласно Бюджетному кодексу Российской Федерации от 31.07.1998 № 145-ФЗ
(далее - БК РФ), бюджет муниципального образования - форма образования и
расходования денежных средств в расчете на финансовый год, предназначенных для
исполнения расходных обязательств соответствующего муниципального образования
[2]. Также Бюджетный кодекс устанавливает, что органами местного самоуправления
(далее - МСУ) не разрешается использовать другие формы образования и
расходования денежных средств, однако в качестве составной части бюджетов городских
и сельских поселений могут быть предусмотрены сметы доходов и расходов
отдельных населенных пунктов, других территорий, не являющихся муниципальными
образованиями. [2]
Средства местных бюджетов - основной источник финансирования для
удовлетворения потребностей населения и становления территориальной
инфраструктуры. Бюджет муниципального образования является рычагом воздействия
местных властей на уровень производства и потребления в данной местности.
Значимость местных бюджетов возрастает из года в год и начинает играть все
более важную роль в реализации экономической и социальной политики. Их величина
и размер стабильности во многом определяют и характеризуют перспективы
социально-экономического развития территорий. Структура доходов местного бюджета
представлена на рисунке 2. Доходами местных бюджетов могут быть только те
доходы, которые предусмотрены Бюджетным кодексом Российской Федерации.
Собственные доходы - финансовые средства бюджета МО, которые получены в
результате деятельности местных органов власти в соответствии с налоговым и
бюджетным законодательством и имущественными полномочиями, а также полученные
вследствие принятых ими законодательных, административных и экономических
решений.
К собственным доходам относят налоговые и неналоговые доходы
муниципальных образований.
Налоговые доходы образуются от местных и отчислений от федеральных и
региональных налогов. Налоговый кодекс Российской Федерации от 31.07.1998 №
146-ФЗ (далее - НК РФ) в ст. 15 устанавливает только два местных налога - это
земельный налог и налог на имущество физических лиц [4]. Отчисления от
федеральных и региональных налогов осуществляется строго по нормативам,
прописанным в БК РФ.
К собственным средствам местного бюджета также отнесены государственная
пошлина за нотариальные действия и штрафы.
Неналоговые доходы местных бюджетов учитываются и формируются в
соответствии со ст. 41-46 БК РФ, также они формируются за счет прибыли
полученной муниципальными унитарными предприятиями, которая остается после
уплаты всех налогов и других обязательных платежей. Размер прибыли
устанавливается нормативно-правовыми актами органов местного самоуправления
[2].
Находящееся в муниципальной собственности имущество и имущественные права
муниципальных образований, также составляют экономическую основу неналоговых
доходов.
Рис. 2. Источники формирования доходов бюджета муниципального образования
[37, c.82]
Закон устанавливает возможность выравнивания финансовой обеспеченности
поселений, муниципальных районов и городских округов путем предоставления
финансовой помощи из регионального фонда финансовой поддержки муниципальных
образований и (или) региональных фондов финансовой поддержки поселений.
Согласно ст.6 БК РФ, финансовая помощь предоставляется в виде межбюджетных
трансферт - средств, предоставляемых одним бюджетом бюджетной системы
Российской Федерации другому бюджету бюджетной системы Российской Федерации[2].
Межбюджетные трансферты предоставляются в трех формах:
1. Дотации - межбюджетные трансферты,
предоставляемые на безвозмездной и безвозвратной основе без установления
направлений и (или) условий их использования.
2. Субвенция - средства, предоставляемые
бюджету другого уровня бюджетной системы РФ или юридическому лицу на
безвозмездной и безвозвратной основах на осуществление определенных целевых
расходов. Субвенция в отличие от дотации должна быть использована строго по
целевому назначению и в установленный срок; в противном случае она подлежит
возврату, предоставившему ее органу.
3. Субсидия - это бюджетные средства,
предоставляемые бюджету другого уровня бюджетной системы Российской Федерации,
физическому или юридическому лицу на условиях долевого финансирования целевых
расходов [39, c. 43].
Общим для дотаций, субвенций и субсидий является их безвозмездный и
безвозвратный характер. Отличительной чертой субвенций и субсидий от дотаций
является их целевой характер. А субвенции и субсидии разграничиваются по
объемам финансирования: за счет субвенции полностью финансируются те или иные
целевые расходы, а субсидии предоставляются на условиях долевого финансирования
целевых расходов.
Муниципальные финансы предполагают возможность заимствовать денежные
средства. Данные денежные средства могут быть получены в виде банковских,
коммерческих кредитов, выпуска облигаций, акций, поступившие в бюджет. В
соответствии с действующим бюджетным законодательством данные средства
рассматриваются как источники финансирования дефицита бюджета.
Отношение этих трех основных источников в структуре местных бюджетов
определяет финансовую самостоятельность муниципалитета, поскольку если
финансовая помощь или заемные средства имеют преимущество в структуре бюджета,
то это говорит о зависимости от бюджетов выше стоящих уровней или кредитных
учреждений, тем самым ограничивается целевое выделение средств на нужды
населения муниципального образования. Следовательно, местные органы власти
должны стремиться к созданию и наращиванию собственных доходов.
Как говорилось выше, бюджет это не только форма образования денежных
средств, но и форма расходования.
Конституция России и Бюджетный кодекс РФ закрепили порядок распределения
расходов между бюджетами разных уровней бюджетной системы страны.
Согласно ст. 6 БК РФ Расходы бюджета - это денежные средства,
направляемые на финансовое обеспечение задач и функций государства и местного
самоуправления.
Все расходы местных бюджетов можно поделить на две большие группы.
Расходы местного бюджета представлены на рисунке 3.
Рис. 3. Расходы местного бюджета [22, c. 103]
К первой группе относятся те расходы муниципального образования, которые
связанные с решением задач местного значения и обслуживанием муниципального
долга. К ним можно отнести:
содержание собственных органов управления;
проведение местных выборов;
реализация муниципального заказа;
исполнение собственных законов;
финансовая поддержка отраслей местного хозяйства;
финансовая помощь бюджетным учреждениям иных уровней власти;
обслуживание долговых обязательств муниципального образования;
специальные целевые программы местного значения;
инвестиции в местную инфраструктуру.
Вторая группа - это группа расходов, связанная с осуществлением отдельных
государственных полномочий, переданных органам местного самоуправления, их
можно сгруппировать по следующим направлениям:
исполнение отдельных федеральных законов (в части социальной защиты);
текущее содержание бюджетных учреждений;
дотации на оказание общезначимых услуг.
Направления использования средств местных бюджетов в целом по России
характеризуются большой долей расходов на социально-культурную сферу. Вторым
ключевым направлением муниципальных расходов является жилищно-коммунальное
хозяйство и благоустройство территории, которое отражает собственные полномочия
органов МСУ по содержанию и развитию коммунальной и территориальной
инфраструктуры. Следует отметить, что структура расходов отдельных видов
местных бюджетов неодинакова и зависит от объема местного хозяйства и
подведомственности его местным органам различного уровня.
Перечисленные расходы должны полностью покрываться собственными
средствами (налоговыми и неналоговыми доходами). В случае если собственных
средств недостаточно, то эти расходы покрываются трансфертами, что говорит о
низкой бюджетной обеспеченности данного территориального образования, если же
после перечисления трансфертов остается большой дефицит, то местные органы
власти вынуждены покрывать расходы с помощью заемных средств [18, c. 98].
Таким образом, самостоятельность местных финансов во многом зависит от
финансовой деятельности органов местного самоуправления, их предприятий и
организаций, а также степени профессионализма местных государственных служащих,
занятых в организации финансовой деятельности.
1.2 Экономическая сущность самостоятельности местных бюджетов
Важной финансовой характеристикой муниципального образования, производной
от конституционного принципа самостоятельного осуществления местного
самоуправления, является его финансовая самостоятельность, раскрывающая
экономические отношения между муниципальным образованием и государством и отражающая
уровень его обособленности и эффективности принятия экономических решений.
Основные положения и правовые основы самостоятельности муниципальных
образований отражены в законодательных актах, закрепленных на международном
уровне и уровне Российской Федерации.
Отдельные положения принципа финансовой самостоятельности муниципальных
образований закреплены в Европейской хартии о местном самоуправлении, которая
устанавливает, что «органы местного самоуправления имеют право на достаточные
собственные финансовые ресурсы, которыми они могут свободно распоряжаться».
Конституция России, федеральный закон №131-ФЗ «Об общих принципах организации
местного самоуправления в Российской Федерации» и Бюджетный кодекс закрепляют
право и обязанность органов местного самоуправления иметь свой бюджет,
обеспечивать его сбалансированность и возможность самостоятельного расходования
бюджетных средств. Но при этом законодательно принцип финансовой
самостоятельности не подкреплен конкретным содержанием и поэтому остается только
тезисом, не обеспечивающим реальной самостоятельности.
Таблица 1 Законодательные акты, действующие на территории РФ о финансовой
самостоятельности местного самоуправления
|
Законодательный акт
|
Содержание
|
|
Конституция РФ
|
Ст. 132 п.1. «Органы местного самоуправления самостоятельно
управляют муниципальной собственностью, формируют, утверждают и исполняют
местный бюджет, устанавливают местные налоги и сборы, осуществляют охрану
общественного порядка, а также решают иные вопросы местного значения»[1].
|
|
Европейская хартия местного самоуправления
|
Ст. 9. «Органы местного самоуправления имеют право на
достаточные собственные финансовые ресурсы, которыми они могут распоряжаться»
[4].
|
|
Федеральный закон от 6.10.2003 г. №131-ФЗ «Об общих
принципах организации местного самоуправления в РФ»
|
Ст. 52 п.3. «Формирование, утверждение, исполнение местного
бюджета и контроль над его исполнением осуществляются органами местного
самоуправления самостоятельно с соблюдением требований, установленных
Бюджетным кодексом Российской Федерации, указанным Федеральным законом, а
также принимаемыми в соответствии с ними законами субъектов Российской
Федерации»; п. 4. Органы местного самоуправления обеспечивают
сбалансированность местных бюджетов и соблюдение установленных федеральными
законами требований к регулированию бюджетных правоотношений, осуществлению
бюджетного процесса, размерам дефицита местных бюджетов, уровню и составу
муниципального долга, исполнению бюджетных и долговых обязательств
муниципальных образований [5].
|
|
Бюджетный кодекс РФ
|
Ст. 31. «Принцип самостоятельности бюджетов - право и
обязанность органов государственной власти и органов местного самоуправления
самостоятельно обеспечивать сбалансированность соответствующих бюджетов и
эффективность использования бюджетных средств» [2].
|
С точки зрения единства бюджетной системы России финансовая
самостоятельность муниципальных образований носит относительный характер и
представляет собой переменную величину, зависящую от условий и параметров
взаимодействия государства и муниципального образования. Самостоятельность
территорий не должна выходить за рамки основ федеральной финансовой политики, а
также установленных совместно общих принципов налогообложения и должна
основываться на принципах разграничения доходных полномочий и ответственности
между федеральными, субфедеральными и муниципальными уровнями власти.
В развитие традиционного понимания финансовой самостоятельности как права
на достаточные собственные финансовые ресурсы, которыми органы местного
самоуправления могут свободно распоряжаться, финансовая самостоятельность,
включающая в себя бюджетную и налоговую самостоятельность, является более
сложным явлением, отражающим социальные, политические и другие взаимосвязи и
хозяйственные отношения между звеньями бюджетной системы РФ. Помимо права иметь
достаточные ресурсы, финансовая самостоятельность включает в себя всю
совокупность финансовых прав и ответственности органов местного самоуправления
в формировании и использовании ресурсов муниципальных образований. Основой
финансовой самостоятельности муниципального образования является его финансовый
потенциал, включающий помимо бюджетного потенциала финансовый потенциал
домохозяйств и хозяйствующих субъектов.
Ни один из перечисленных законодательных актов не дает определения финансовой
самостоятельности и не раскрывает его сущности, однако позволяет установить
законодательные границы для его определения.
Тем не менее, современные ученные предлагают свои формулировки к данному
понятию с точки зрения различных подходов. Так, например, Максимов, А.Н.,
Зевина, О.А., Макаренко, Б.И. предлагают рассматривать финансовую
самостоятельность через бюджетно-финансовый потенциал, характеризующий степень
самостоятельности муниципального образования [15]. К бюджетно-финансовому
потенциалу, авторы относят доходы бюджета, расходы бюджета, поступление налогов
и других платежей в бюджет, долю доходов в валовом региональном продукте (далее
- ВРП), долю расходов в ВРП. Достоинством данного подхода является то что,
данные авторы учитывают все финансовые возможности муниципального образования,
однако не всегда возможности перерастают в ресурсы, и не всегда возможности
используются полностью, поэтому здесь сложно говорить о точном уровне
финансовой самостоятельности территории.
Акимова Т.В. рассматривает финансовую самостоятельность с юридической
точки зрения и дает следующее определение финансовой самостоятельности местного
самоуправления - это «реальная способность органов местного самоуправления
решать вопросы местного значения путем обеспечения муниципальных образований
необходимыми и достаточными источниками собственных доходов в законодательстве»
[25]. Автор прав, когда говорит, что финансовая самостоятельность определяется
достаточностью собственных доходов для решения местных вопросов, однако он не учитывает
ряд других факторов, влияющих на финансовую самостоятельность, таких как
финансовый потенциал территории, зависимость от межбюджетных трансфертов и т.д.
Свое определение дает А.Г. Атаева, определяя финансовую самостоятельность
как «совокупность прав и обязанностей муниципального образования по
формированию и использованию финансовых ресурсов территории, отражающих
относительную финансовую обособленность органов местного самоуправления от
государства, в том числе выражающейся в достаточности собственных средств для
исполнения расходных полномочий, и основанной на активизации и эффективном
использовании финансового потенциала территории» [10]. Данное определение
является наиболее полным и учитывает множество факторов, влияющих на финансовую
самостоятельность, это и то, из чего складываются собственные доходы
-финансовые ресурсы, и достаточность собственных средств для покрытия расходов,
и финансовые возможности муниципального образования. Однако главная цель
местного самоуправления - это удовлетворение социально-экономических
потребностей населения, и в данном определении это не учтено.
С. В. Гиляровская рассматривает финансовую самостоятельность через
принцип самостоятельности бюджетов [12]. С. В. Гиляровская уточняет
экономическое содержание принципа самостоятельности бюджетов как совокупность
финансовых прав и ответственности региональных и местных органов власти,
обеспечивающих относительную (до максимально возможного уровня) бюджетную
самостоятельность в формировании и использовании бюджетных ресурсов своих
территорий. Главное достоинство данного определения - то, что автор уточняет,
что финансовая самостоятельность это совокупность финансовых прав и
ответственности региональных и местных органов власти, а не только
обеспеченность собственными средствами. Недостаток данного подхода состоит в
том что, финансовая самостоятельность рассматривается только как один из
принципов бюджета, что, на наш взгляд, для данного понятия достаточно узко.
А. В. Кизеев говорит о том, что финансовая самостоятельность определяется
наличием собственных доходов в достаточном объеме [29]. По мнению автора,
успешное решение вопросов местного значения, развитие природоресурсного
потенциала, обеспечение стабильности общественно-политической ситуации возможно
лишь при наличии достаточного объема финансовых ресурсов. При этом автор,
считает, что основным критерием финансовой самостоятельности является
финансовый потенциал территории. Достоинство данного подхода - это оценка всех
финансовых возможностей территории, но одних возможностей мало, нужно учитывать
множество других факторов для наиболее точного определения финансовой
самостоятельности.
Отражение данных аспектов понятия «финансовая самостоятельность» в
вышеперечисленных подходах представлено в таблице 2.
Для того, чтобы понять, какими достоинствами и какими недостатками
обладают все вышеперечисленные подходы к пониманию понятия финансовая
самостоятельность, необходимо соотнести их и сформировать таблицу, в которой
будут четко выделены все аспекты понятия финансовой самостоятельности и их
отражение в тех или иных подходах авторов.
Таблица 2 Содержание понятия финансовая самостоятельность в различных
подходах
|
Авторы
|
Учет обособленности финансов МО от финансов других уровней
|
Учет достаточности финансов для решения расходных полномочий
|
Учет финансовых возможностей МО
|
Учет эффективности использования собственных средств
|
|
М.А. Репченко и О.М. Фокина
|
|
|
+
|
|
|
Ю.И. Булатов
|
-
|
+
|
-
|
-
|
|
А.Г. Атаева
|
+
|
+
|
+
|
+
|
|
С.В. Гиляровская
|
|
+
|
+
|
|
|
А.В. Кизеев
|
-
|
+
|
+
|
-
|
В целом можно сказать, что в российской науке пока не сложилось единого,
четкого определения финансовой самостоятельности муниципальных образований.
Поэтому нам необходимо дать свое определение. Характеризуя финансовую
самостоятельность, можно отметить, что это, прежде всего, обеспеченность собственными
средствами и прежде всего этих средств должно хватать для покрытия всех своих
расходов. Главной целью местного самоуправления является удовлетворение
социально-экономических потребностей населения, проживающего на территории
конкретного муниципального образования. То есть чем выше сумма собственных
средств, приходящееся на одного человека, чем выше объем оказанных
государственных услуг за счет собственных источников, тем больше и лучше
удовлетворяются социально-экономические потребности населения местными органами
власти. Также необходимо отметить, что финансовая самостоятельность -это не
просто неизменное состояние объекта, а развитие, расширение финансовых
возможностей территории, а именно увеличение собственных средств за счет
увеличения налоговых поступлений и укрепления финансового потенциала
муниципального образования.
Исходя из вышесказанного, можно дать собственное определение финансовой
самостоятельности. По нашему мнению, финансовая самостоятельность представляет
собой способность муниципального образования покрыть расходные обязательства и
удовлетворить социально-экономические потребности населения за счет собственных
средств, основанная на развитии и расширении финансовых ресурсов при
эффективном использовании налогового и финансового потенциала территории. На
финансовую самостоятельность территории влияет множество факторов, в том числе:
достаточность собственных средств для решения расходных полномочий;
обособленность финансов МО от финансов других уровней;
финансовые возможности МО;
эффективность использования собственных средств;
удовлетворение социально-экономических потребностей населения.
В целом, все факторы могут быть разделены на внешние и внутренние,
влияющие на укрепление финансовой самостоятельности местных бюджетов в
зависимости от возможностей органов местного самоуправления воздействовать на
них.
В качестве внутренних факторов были выделены: состав и структура
финансового потенциала и финансовых ресурсов муниципальных образований;
состояние объектов муниципального хозяйства; наличие значительных финансовых
обязательств; состояние инфраструктуры; сложившаяся структура муниципальной
экономики; компетенция, профессионализм органов местного самоуправления и их
заинтересованность в финансовом саморазвитии территории, затраты местного
бюджета на их содержание; наличие программ развития муниципальных финансов;
численность населения и другие [31, c. 49].
К внешним факторам, влияющим на финансовую самостоятельность
муниципального образования, относятся: бюджетная политика Российской Федерации
и регионов, отражающая общие направления социально-экономической политики
государства; изменения законодательства, регулирующего вопросы местного
самоуправления в России, в том числе муниципальная реформа; налоговое,
бюджетное, гражданское и другое законодательство и изменения в них, прямо или
косвенно затрагивающие интересы муниципальных образований; уровень
социально-экономического развития региона, субрегиона на территории которого
находится муниципальное образование; общая политика региона в части поддержки
муниципальных образований, в частности предоставления финансовой помощи. Таким
образом, финансовая самостоятельность - это совокупность прав и обязанностей
муниципального образования по формированию и использованию финансовых ресурсов
территории, отражающих относительную финансовую обособленность органов местного
самоуправления от государства, в том числе выражающейся в достаточности
собственных средств для исполнения расходных полномочий, и основанной на
активизации и эффективном использовании финансового потенциала территории.
Для того, чтобы определить уровень финансовой самостоятельности
муниципальных образований необходима, определенная методика его оценки. На
данный момент нет единого метода, который бы смог учесть все факторы, влияющие
на этот показатель, в связи с этим разрабатывается множество различных методов
оценки финансовой самостоятельности.
1.3 Методические аспекты оценки самостоятельности местных
бюджетов
Как уже было сказано в предыдущем пункте, актуальность решения научных проблем,
а именно оценки самостоятельности бюджетов, вызваны тем, что в российской науке
до сих пор нет единого подхода к понятию финансовой самостоятельности местных
бюджетов. Аналогичная ситуация и с методологическими аспектами его оценки,
многие экономисты разрабатывают и предлагают свои методы оценки финансовой
обеспеченности бюджетов (табл. 3).
Таблица 3 Методики оценки финансовой самостоятельности
|
Автор
|
Объект оценки
|
Методика
|
|
С.В. Гиляровская [12]
|
Региональные и местные бюджеты
|
Представляет собой две группы показателей: 1.показатели
ликвидности и платежеспособности территории 2.оценка имущественного состояния
территории
|
|
Кизеев А.В.[29]
|
Местные бюджеты
|
Представляет собой оценку финансового потенциала МО
|
|
Катков Н.С. и Севастьянов В.В.[28]
|
Региональные и местные бюджеты
|
Представляет собой оценку финансовой самостоятельности, как
один из аспектов финансовой устойчивости
|
Поэтому в данном пункте интерес представляют все существующие подходы к
оценке финансовой самостоятельности бюджетов, т.е. не только муниципальных
образований, но государства и региона.
Рассмотрим подробнее основные моменты, достоинства и недостатки каждой из
анализируемых методик.
. Методика оценки самостоятельности региональных и местных бюджетов С.В.
Гиляровской [12].
Автор предлагает в качестве основного подхода к оценке независимости
бюджетов принять разработку системы аналитических коэффициентов.
Она считает, что оценить способность территории обеспечить расходные
обязательства власти или органов местного самоуправления соответствующими
поступлениями доходов позволяют показатели ликвидности и платежеспособности
местных бюджетов. В результате расчетов устанавливается адекватность такого
обеспечения [12, c.14].
В первой группе показателей предлагается рассчитать:
. Показатель, характеризующий размер собственных средств соответствующего
территориального бюджета, который зависит как от структуры доходов платежей и
размера, так и от структуры источников его доходов. При прочих равных условиях
увеличение этого показателя рассматривается как положительная тенденция.
Остальные показатели для наглядности можно представить в виде таблице 4.
Таблица 4 Показатели оценки самостоятельности местных бюджетов [12, c. 15]
|
Показатель
|
Формула
|
Значение показателя
|
Характеристика показателя
|
|
Коэффициент покрытия (общий)
|
|
Дсов - сумма всех текущих доходов; Рсов - сумма всех
текущих расходов
|
Показывает, сколько рублей доходов приходится на один рубль
расходов, т.е. насколько доходы покрывают расходы
|
|
Коэффициент платежеспособности (абсолютной ликвидности)
|
|
Дтек - сумма текущих доходов без учета источников
финансирования его дефицита; Рсов - сумма всех текущих расходов
|
Показывает, какая часть расходов может быть погашена
немедленно из текущих поступлений доходов (без учета источников
финансирования дефицита)
|
|
Коэффициент автономности (концентрации собственных средств)
бюджета
|
|
Дсобст - сумма собственных доходов бюджетов; Двсего - сумма
доходов без учета субвенций
|
Характеризует часть собственных доходов бюджета в общей
сумме расходов местного самоуправления
|
|
Коэффициент финансовой зависимости территориального бюджета
|
|
Дсобст - сумма собственных доходов бюджетов; Двсего - сумма
доходов без учета субвенций
|
Это показатель, обратный коэффициенту автономности
региональных (муниципальных) бюджетов, сумма этих показателей должна быть
равной 1 (или 100%), минимальное значение 0,5.
|
|
Коэффициент соотношения собственных и привлеченных средств
|
|
Дпривл - сумма доходов, в виде финансовой помощи
(трансфертов, субсидий)
|
Оценивает устойчивость доходного потенциала. Рост его
значений говорит о снижении зависимости данного территориального бюджета от
вышестоящих бюджетов и иных источников финансирования его дефицита. Его
значения могут быть в промежутке от 0 до 2.
|
Также для оценки самостоятельности бюджетов С.В. Гиляровская предлагает,
следующую группу показателей оценки имущественного состояния муниципального
образования:
стоимость всего имущества, которое находится в распоряжении органов
местного самоуправления - увеличение показателя стоимости всего имущества,
находящегося в распоряжении местных органов власти, показывает рост
имущественного потенциала территории;
коэффициент износа имущества различных отраслей и видов имущества по
административно-территориальным образованиям региона;
коэффициент обновления основных средств, находящихся в распоряжении
муниципальных органов управления - показывает, какую часть основных средств
составляют новые средства от тех, что были в конце или начале отчетного периода
(или какая часть выбыла из-за изношенности или по другим причинам). Данные
методологические подходы к оценке самостоятельности бюджетов основываются на
качественных критериях, что позволяет обеспечить объективную оценку.
Предлагаемый метод позволяет показать оценку самостоятельности бюджетов и
обеспеченность территорий финансовыми ресурсами для решения местных проблем.
Данный метод имеет множество недостатков, во-первых, нет этапов расчета предложенных
показателей, во-вторых, неизвестно, есть ли возможность нахождения
интегрального показателя, в-третьих, существует ли возможность
межмуниципального сравнения. Однако помимо недостатков, можно выявить
достоинство этого метода, которое заключается в объективности оценки
финансового состояния бюджетов за счет качественных показателей [12, c.16].
. Методика оценки финансовой самостоятельности МО Кизеева А.В.
А. В. Кизеев говорит о том, что критерием, позволяющим количественно
оценить финансовую самостоятельность МО, можно считать его финансовый
потенциал, при этом он отмечает необходимость различения финансового потенциала
с инвестиционным.
По мнению автора, финансовый потенциал МО должен определяться как
максимально возможный объем собственных и заемных финансовых ресурсов,
получаемых МО, которые необходимы для устойчивого функционирования и развития
экономики. То есть он говорит о том, что источники финансового потенциала
должны включать только те финансовые ресурсы, которые местные органы власти могут
самостоятельно привлечь и использовать для развития МО, не включая заемные
средства.
Количественно финансовый потенциал МО будет определяться по следующей
формуле 1.1:
(1)
где ФП - финансовый потенциал МО;j - максимально возможная величина базы
налогообложения по i-
му виду налога; Chj - ставка
по i-ому виду налога;- норматив отчисления i-ого вида налога в местный бюджет;
Дпр; - максимально возможная величина неналогового дохода местного
бюджета из j-ого источника [29, c.
10].
Предложенный подход к понятию финансового потенциала позволяет оценить
финансовые возможности в муниципальном образовании.
По мнению автора, косвенно финансовый потенциал МО, интерпретируемый
через наличие собственных финансовых ресурсов, а также уровень его
использования определяет уровень дотационности, а, следовательно, изначальной
качественной характеристикой дотационного МО является или низкое значение
финансовых возможностей или низкий уровень его использования. Низкая величина
финансового потенциала МО может быть связана со следующими обстоятельствами:
неразвитая производственная база региона;
скудные природно-ресурсные возможности региона;
низкий уровень развития науки и внедрения достижений научно-технического
прогресса в хозяйственную деятельность региональных предприятий и т.д.[11]
При этом А.В. Кизеев отмечает, что дотационное МО, выбирая рост
финансового потенциала в качестве основной первостепенной цели, предполагает
уменьшение в будущем их зависимости от финансовой помощи, а также возможности
для достижения практически любой из задач социально-экономического развития
[29, c. 12].
Главное достоинство данного метода - это оценка финансовых возможностей
муниципального образования, которые с учетом внутреннего управленческого
воздействия могут преобразоваться в финансовые ресурсы и послужить средством
для достижения цели развития МО.
Недостатки данного метода - это, прежде всего, односторонность подхода,
т.е. оцениваются только возможности региона, при этом не учитывается реальное
финансовое состояние территории. 3. Подход к финансовой самостоятельности МО
как к одному из аспектов финансовой устойчивости МО Каткова Н.С. и Севастьянова
В.В [28].
Н.С. Катков и В.В. Севастьянов, говорят что, финансовая устойчивость
экономики региона, а также её способность поддерживать собственное стабильное
положение зависит от эффективности функционирования региональной экономической
системы (далее - РЭС), которая является частью системы управления
воспроизводственным процессом. По мнению авторов, финансовая самостоятельность
РЭС зависит от материально-ресурсной базы и конъюнктуры цен. В соответствии со
сформулированными критериями и факторами определения эффективности экономики
они представили следующий методический инструментарий оценки финансовой
устойчивости региона.
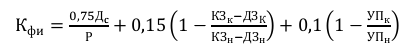
Для расчета финансовой самостоятельности местных бюджетов применяется
интегрированная формула:
(2)
где, Дс - сумма собственных доходов бюджета; Р - сумма расходов бюджета;
КЗ, ДЗ - объем кредиторской и дебиторской задолженности;
УПк - удельный вес убыточных предприятий.
Характеристика финансового положения региона рассматриваются в
зависимости от значения интегрального показателя (табл. 5):
Таблица 5 Значения интегрального показателя [28, c.40]
|
Отличное
|
Депрессивное
|
Предкризисное
|
Кризисное
|
|
Значение интегрального показателя
|
Кф=1
|
1>Кф>0,5
|
0,5>Кф>0,2
|
Кф<0,2
|
Исходя из полученных значений оценки финансовой самостоятельности и
сравнения их со шкалой из табл. 1.3, можно делать вывод о финансовом состоянии
муниципального образования.
Данный метод отлично подходит для сравнительного анализа, позволяет
составить рейтинг по уровню финансовой самостоятельности муниципальных
образований благодаря возможности нахождения интегрированного показателя, но
этот метод не показывает уровень влияния факторов на показатель финансовой
самостоятельности, что не дает возможности предложения конкретных решений в
сложившейся ситуации.
Все предложенные выше методы по оценке финансовой самостоятельности имеют
свои положительные стороны и недостатки (табл. 6).
Таблица 6 Сравнительная характеристика методов
Таким образом, можно сделать вывод о том, что сегодня разрабатывается
множество направлений оценки самостоятельности муниципальных образований и
механизмов ее обеспечения в рамках реализации эффективной государственной
политики укрепления финансовой устойчивости территорий. Выбор той или иной
методики для оценки во многом зависит от субъективных факторов - решения
специалистов управленческого звена. В целом анализ всех существующих подходов
показал, что наиболее приемлемыми являются подходы Кизеева А.В. и Каткова Н.С.
с Севастьяновым В.В., а из них более адаптирован к существующей информационной
базе по финансовой отчетности и позволяет более точно рассчитать финансовую
самостоятельность подход Н.С. Катков и В. В. Севастьянов.
2. Анализ
бюджета Некоузского муниципального района иоценка его финансовой
самостоятельности
.1 Организация бюджетного процесса в Некоузском муниципальном
районе
Бюджет Некоузского муниципального района - форма образования и
расходования денежных средств в расчете на финансовый год, предназначенных для
финансового обеспечения задач и функций местного самоуправления Некоузского
муниципального района.
Бюджет Некоузского муниципального района и свод бюджетов поселений,
входящих в состав муниципального района, составляют консолидированный бюджет
Некоузского муниципального района. Местный бюджет исполняется на принципах
казначейского исполнения в соответствии со ст. 215 Бюджетного кодекса.
Формирование, утверждение бюджета Некоузского муниципального района
осуществляется на основании Положения о бюджетном процессе, утверждаемом
Собранием представителей Некоузского муниципального района с соблюдением
требований, установленных действующим законодательством.
Проект бюджета Некоузского муниципального района разрабатывается
администрацией Некоузского муниципального района на основании прогноза
социально-экономического развития Некоузского муниципального района и вносится
главой Некоузского муниципального района для утверждения Собранием
представителей Некоузского муниципального района в порядке, установленном
Положением о бюджетном процессе в Некоузском муниципальном районе и в срок не
позднее 15 ноября текущего года.
План-график разработки проекта районного бюджета на 2014 год и на
плановый период 2015 и 2016 годов представлен в Приложении 1. Проект бюджета
Некоузского муниципального района выносится на публичные слушания и подлежит
официальному опубликованию в установленном порядке.
Органы местного самоуправления Некоузского муниципального района
обеспечивают сбалансированность местного бюджета Некоузского муниципального
района и соблюдение установленных федеральными законами требований к
регулированию бюджетных правоотношений, осуществлению бюджетного процесса,
размерам дефицита местного бюджета Некоузского муниципального района, уровню и
составу муниципального долга, исполнению бюджетных и долговых обязательств
Некоузского муниципального района.
Бюджет Некоузского муниципального района утверждается решением Собрания
представителей Некоузского муниципального района, является нормативным правовым
актом Некоузского муниципального района и подлежит официальному опубликованию.
В бюджете Некоузского муниципального района раздельно предусматриваются
средства, направляемые на осуществление полномочий органов местного
самоуправления по решению вопросов местного значения, и средства,
предоставленные для обеспечения осуществления органами местного самоуправления
отдельных государственных полномочий, переданных им федеральными законами и
законами Ярославской области.
Доходы Некоузского муниципального района формируются в соответствии с
бюджетным и налоговым законодательством Российской Федерации и образуются за
счет налоговых и неналоговых видов доходов, а также за счет безвозмездных и
безвозвратных перечислений.
К собственным доходам бюджета Некоузского муниципального района
относятся:
) средства самообложения граждан;
) доходы от местных налогов и сборов;
) доходы от региональных налогов и сборов;
) доходы от федеральных налогов и сборов;
) безвозмездные поступления из других бюджетов бюджетной системы
Российской Федерации, включая дотации на выравнивание бюджетной обеспеченности
муниципальных образований (в том числе дотации на обеспечение
сбалансированности бюджета муниципального района), субсидии и иные межбюджетные
трансферты, предоставляемые в соответствии со статьей 62 Федерального закона от
06.10.2003 N 131-ФЗ "Об общих принципах организации местного
самоуправления в Российской Федерации", и другие безвозмездные
поступления;
) доходы от имущества, находящегося в муниципальной собственности;
) часть прибыли муниципальных предприятий, остающаяся после уплаты
налогов и сборов и осуществления иных обязательных платежей, в размерах, устанавливаемых
нормативными правовыми актами Собрания представителей, и часть доходов от
оказания органами местного самоуправления и казенными муниципальными
учреждениями платных услуг, остающаяся после уплаты налогов и сборов;
) штрафы, установление которых в соответствии с федеральным законом
отнесено к компетенции органов местного самоуправления;
) добровольные пожертвования;
) иные поступления в соответствии с федеральными законами, законами
субъектов Российской Федерации и решениями органов местного самоуправления.
Состав собственных доходов местного бюджета может быть изменен
федеральным законом только в случае изменения, установленного статьей 15
Федерального закона от 06.10.2003 N 131-ФЗ "Об общих принципах организации
местного самоуправления в Российской Федерации", перечня вопросов местного
значения и (или) изменения системы налогов и сборов Российской Федерации.
Федеральный закон, предусматривающий изменение состава собственных
доходов местных бюджетов, вступает в силу с начала очередного финансового года,
но не ранее чем через три месяца после его принятия.
В доход местного бюджета зачисляются субвенции, предоставляемые на
осуществление органами местного самоуправления отдельных государственных
полномочий, переданных им федеральными законами и законами Ярославской области,
в соответствии со статьей 63 Федерального закона от 06.10.2003 N 131-ФЗ
"Об общих принципах организации местного самоуправления в Российской
Федерации".
Учет
операций по распределению доходов от налогов и сборов в соответствии с
нормативами отчислений, установленными в соответствии со статьями 57 - 61
Федерального закона от 06.10.2003 N 131-ФЗ "Об общих принципах организации
местного самоуправления в Российской Федерации", осуществляется в порядке,
установленном Бюджетным кодексом Российской Федерации
<#"884400.files/image012.gif">
-8189572
|
54179123
|
11109592
|
|
Субвенции бюджетам муниципальных образований
|
340384006
|
341907016
|
1523010
|
343868016
|
1961000
|
|
Иные межбюджетные трансферты
|
140000
|
0
|
-140000
|
0
|
0
|
|
Всего доходов
|
598811109
|
550525547
|
-48285562
|
575433139
|
24907592
|
Распределение поступлений от погашения задолженности по отмененным
налогам в 2014 году и в плановом периоде 2015 и 2016 годов осуществляется по
следующим нормативам:
) налогу с продаж - в бюджеты муниципального района - 60 %;
) налогу на имущество предприятий - в бюджет муниципального района - 50
%;
) налог на рекламу, мобилизуемый на территориях муниципальных районов
-100 %;
) целевые сборы с граждан и предприятий, учреждений, организаций на
содержание милиции, на благоустройство территорий, на нужды образования и
другие цели, мобилизуемые на территориях муниципальных районов -100 %;
) прочие налоги и сборы, мобилизуемые на территории муниципального района
- 100%.
В 2014 году и в плановом периоде 2015 и 2016 годов в районный бюджет зачисляется
часть прибыли муниципальных унитарных предприятий Некоузского муниципального
района в размере 25 процентов суммы прибыли, остающейся после уплаты ими
налогов и иных обязательных платежей в бюджеты всех уровней бюджетной системы
Российской Федерации.
Как видно из данных таблицы, в 2015 г. ожидается снижение доходов
местного бюджета. Следует отметить, что данное снижение обусловлено уменьшением
ожидаемых безвозмездных поступлений из областного и федерального бюджета.
Принятым бюджетом на 2014-2016 гг. утвержден:
общий объем бюджетных ассигнований на исполнение публичных нормативных
обязательств на 2014 год в сумме 105 600 415 рублей, на 2015 год в сумме 109
588 532 рубля и на 2016 год в сумме 110 345 093 рубля.
объем бюджетных ассигнований дорожного фонда на 2014 год в сумме 34 436
000 руб., на 2015 год в сумме 44 676 000 руб., на 2016 год в сумме 48 643 000
руб.
резервный фонд Администрации Некоузского муниципального района на 2014
год в сумме 650 000 рублей, на 2015 год в сумме 520 000 рублей и на 2016 год в
сумме 520 000 рублей.
Установленные расходы местного бюджета обобщены в таблице 8, рис. 4.
Таблица 8 Расходы районного бюджета по целевым статьям (муниципальным
программам и непрограммным направлениям деятельности) и группам видов расходов
классификации расходов бюджетов Российской Федерации на плановый период 2014 -
2016 годы [7]
|
Наименование расхода
|
2014
|
2015
|
Изменение
|
2016
|
Изменение
|
|
Муниципальная программа "Развитие образования и
молодежная политика в Некоузском районе"
|
295481296
|
269566841
|
-25914455
|
280679172
|
11112331
|
|
Муниципальная программа "Социальная поддержка
населения Некоузского района"
|
137930058
|
141893751
|
3963693
|
140409312
|
-1484439
|
|
Муниципальная программа "Доступная среда в Некоузском
районе"
|
830900
|
-290900
|
490000
|
-50000
|
|
Муниципальная программа "Обеспечение качественными
коммунальными услугами населения Некоузского района"
|
9407920
|
2620000
|
-6787920
|
11562700
|
8942700
|
|
Муниципальная программа "Развитие дорожного хозяйства
и транспорта в Некоузском районе"
|
43147867
|
50786300
|
7638433
|
54753300
|
3967000
|
|
Муниципальная программа "Обеспечение общественного
порядка и противодействие преступности на территории Некоузского района"
|
302000
|
302000
|
0
|
|
-302000
|
|
Муниципальная программа "Защита населения и территории
Некоузского района от чрезвычайных ситуаций, обеспечение пожарной
безопасности и безопасности людей на водных объектах"
|
270460
|
216000
|
-54460
|
216000
|
0
|
|
Муниципальная программа "Развитие культуры Некоузского
района"
|
45500000
|
32228000
|
-13272000
|
32228000
|
0
|
|
Муниципальная программа "Развитие физической культуры
и спорта в Некоузском районе"
|
700000
|
560000
|
-140000
|
560000
|
0
|
|
Муниципальная программа "Экономическое развитие
Некоузского района"
|
45000
|
45000
|
0
|
45000
|
0
|
|
Муниципальная программа "Энергоэффективность в
Некоузском районе"
|
400000
|
300000
|
-100000
|
300000
|
0
|
|
Муниципальная программа "Охрана окружающей среды в
Некоузском районе"
|
300000
|
200000
|
-100000
|
200000
|
0
|
|
Муниципальная программа "Развитие сельского хозяйства
в Некоузском районе"
|
4879000
|
1567000
|
-3312000
|
1567000
|
0
|
|
Муниципальная программа "Создание условий для
эффективного управления муниципальными финансами в Некоузском районе"
|
20075000
|
200000
|
-19875000
|
200000
|
0
|
|
Муниципальная программа "Эффективная власть в
Некоузском районе"
|
7079000
|
5118000
|
-1961000
|
5118000
|
0
|
|
Непрограммные расходы
|
37593465
|
44382655
|
6789190
|
47104655
|
2722000
|
|
Итого
|
603941966
|
550525547
|
-53416419
|
575433139
|
24907592
|
Пропорционально доходам, ожидается сокращение расходов бюджета
Некоузского района в 2015 г. на 53416419 руб. и их увеличение в 2016 г. на
24907592 руб.
Рис. 4. Расходы бюджета Некоузского муниципального района
Ведомственная структура бюджета Некоузского муниципального района на
2014-2016 гг. отражена в таблице 9.
Таблица 9 Ведомственная структура бюджета Некоузского муниципального
района на 2014-2016 гг.[7]
|
Код ГРБС
|
Наименование главного распорядителя бюджетных средств
|
2014
|
2015
|
Изменение
|
2016
|
Изменение
|
|
600
|
Управление финансов администрации Некоузского
муниципального района
|
26461000
|
18711900
|
-7749100
|
19088900
|
377000
|
|
601
|
Администрация Некоузского муниципального района
|
96213602
|
85807955
|
-10405647
|
101062655
|
15254700
|
|
603
|
Управление социальной защиты населения и труда
администрации Некоухского МР
|
134940651
|
140424751
|
5484100
|
140899312
|
474561
|
|
606
|
Муниципальное учреждение Комитет культуры, молодежной
политики, физической культуры и спорта администрации НМР
|
46853660
|
38101092
|
-8752568
|
36112423
|
-1988669
|
|
608
|
Контрольно-счетная палата Некоузского муниципального района
|
1191110
|
915100
|
-276010
|
915100
|
0
|
|
652
|
Отдел образования Некоузского МР
|
285063632
|
266564749
|
-18498883
|
277354749
|
10790000
|
|
Итого
|
|
590723655
|
550525547
|
-40198108
|
575433139
|
24907592
|
Установлено, что в соответствии со статьей 78 и пунктом 2 статьи 781
Бюджетного кодекса Российской Федерации субсидии из районного бюджета
предоставляются главными распорядителями бюджетных средств, а также
получателями бюджетных средств, наделенными Администрацией Некоузского
муниципального района полномочиями по предоставлению субсидий, в пределах
предусмотренных им в районном бюджете бюджетных ассигнований:
Установлен лимит предоставления бюджетных кредитов из бюджета района на
2014 год в сумме 0 рублей, на 2015 год в сумме 0 рублей, на 2016 год в сумме 0
рублей.
Коэффициент выравнивания расчетной бюджетной обеспеченности поселений
Некоузского муниципального района установлен на 2014 - 2016 годы равным 1.0.
Источники внутреннего финансирования дефицита бюджета на 2014-2016 гг.
приведены в таблице 10.
Таблица 10 Источники внутреннего финансирования дефицита бюджета на
2014-2016 гг.[7]
|
Наименование показателей
|
2014
год (руб.)
|
2015
год (руб.)
|
2016 год (руб.)
|
|
Бюджетные кредиты от других бюджетов бюджетной системы
Российской Федерации
|
-98 721
|
-13 157
|
0
|
|
Изменение остатков средств на счетах по учету средств
бюджета
|
5 229 578
|
0
|
0
|
|
Увеличение остатков средств бюджетов
|
598 811 109
|
550525547
|
575433139
|
|
Уменьшение остатков средств бюджетов
|
604 040 687
|
550525547
|
575433139
|
|
Итого источников внутреннего финансирования
|
5 130 857
|
0
|
|
Установлены размеры:
) предельного объема муниципального долга Некоузского района на 2014 год
в сумме 400 000 рублей, на 2015 год в сумме 400 000 рублей и на 2016 год в
сумме 400 000 рублей;
) верхнего предела муниципального внутреннего долга Некоузского района на
1 января 2015 года в сумме 13157 рублей, на 1 января 2016 года в сумме 0 рублей
и на 1 января 2017 года в сумме 0 рублей, в том числе верхнего предела объема
муниципальных гарантий Некоузского муниципального района в сумме 0 рублей, в
сумме 0 рублей и в сумме 0 рублей соответственно;
) предельного объема расходов на обслуживание муниципального долга
Некоузского муниципального района в 2014 году в сумме 0 рублей, в 2015 году в
сумме 0 рублей и в 2016 году в сумме 0 рублей;
) предельного объема заимствований Некоузского муниципального района на
2013 год в сумме 0 рублей, на 2014 год в сумме 0 рублей и на 2015 год в сумме 0
рублей;
) предельного объема предоставляемых муниципальных гарантий Некоузского
района в 2014 году в сумме 0 рублей, в 2015 году в сумме 0 рублей и в 2016 году
в сумме 0 рублей.
Утверждена
Программа <consultantplus://offline/main?base=RLAW086;n=49162;fld=134;dst=105995>
муниципальных внутренних заимствований Некоузского муниципального района на
2014 год и на плановый период 2015 и 2016 годов согласно таблицы 11.
Таблица
11 Предельные размеры на 2014 год и плановый период 2015 и 2016 годов, руб.[7]
|
Предельный размер
|
на 01.01.2015
|
на01.01.2016
|
на01.01.2017
|
|
Остаток муниципального долга на 01.01.2014 года - 111878
рублей
|
|
1.Верхний предел муниципального внутреннего долга
Некоузского муниципального района, в том числе:
|
13157
|
0
|
0
|
|
верхний предел объема муниципальных гарантий Некоузского
муниципального района
|
0
|
0
|
0
|
|
На 2014год
|
На 2015
год
|
На 2016год
|
|
2. Предельный объем муниципального долга Некоузского
муниципального района
|
400 000
|
400 000
|
400 000
|
|
3. Предельный объем расходов на обслуживание муниципального
долга Некоузского муниципального района
|
0
|
0
|
0
|
|
4. Предельный объем заимствований Некоузского
муниципального района
|
0
|
0
|
0
|
|
5. Предельный объем предоставляемых гарантий Некоузского
муниципального района
|
0
|
0
|
0
|
Таблица 12 Муниципальные внутренние заимствования, осуществляемые в 2014
году и в плановом периоде 2015 и 2016 годов [7]
|
Виды заимствований
|
2014год
|
2015год
|
2016год
|
|
1. Бюджетные кредиты от других бюджетов бюджетной системы
Российской Федерации в валюте Российской Федерации:
|
0
|
0
|
0
|
|
Получение Погашение
|
0 98721
|
0 13157
|
0 0
|
|
2. Муниципальные гарантии
|
0
|
0
|
0
|
|
3. Кредиты кредитных организаций
|
0
|
0
|
0
|
|
ИТОГО муниципальные заимствования
|
0
|
0
|
0
|
Таким образом, согласно принятому районному бюджету на 2014 год и на плановый
период 2015 и 2016 годов были установлены следующие основные характеристики
районного бюджета на 2014-2016 гг.: 1) прогнозируемый общий объем доходов
районного бюджета на 2014 г. в сумме 598 811 109 рублей; 2015 год в сумме 550
525 547 рублей и на 2016 год в сумме 575 433 139 рублей; 2) общий объем
расходов районного бюджета на 2014 г. в сумме 603 941 966 рублей; на 2015 год в
сумме 550 525 547 рублей, на 2016 год в сумме 575 433 139 рублей. 3) дефицит
районного бюджета на 2014 г. в сумме 5 130 857 рублей.
2.3 Оценка финансовой самостоятельности бюджета Некоузского
муниципального района
Анализ финансовой самостоятельности бюджета Некоузского муниципального
района проведем по следующим направлениям:
) оценка исполнения бюджета Некоузского муниципального района;
) анализ профицитности (дефицитности) и дотационности бюджета городского
округа Нефтекамск. Оценка исполнения бюджета подразумевает анализ поступления
налогов и других видов доходов по каждому источнику, а также анализ
финансирования расходов в пределах утвержденных сумм.
Первоначальной редакцией Решения Собрания представителей Некоузского
муниципального района от 26.12.2013 № 35 «О районном бюджете на 2014 год и на
плановый период 2015 и 2016 годов» (далее - Решение о районном бюджете) доходы
бюджета на 2014 год были утверждены в сумме 598 811 109 руб.
В ходе корректировок прогнозируемые доходы районного бюджета составили
675 544 322,65 руб., т.е. с увеличением на 80 762 813,65 руб., или на 14,8 %.
В результате внесенных изменений и дополнений налоговые и неналоговые
доходы были уменьшены на 4 029 600,00 руб. или на 7,5% и составили 49 942
400,00 руб.; безвозмездные поступления увеличены на 89 824 719,99 руб. или в
1,1раза и составили 625 601 922,65 руб.
Суммы поступлений доходов бюджета района, отраженные в Отчете об
исполнении консолидированного отчета субъекта РФ по форме 0503317,
соответствуют данным представленного проекта Решения об исполнении бюджета
района за 2014 год.
Сведения об исполнении доходной части районного бюджета в 2014 году по
сравнению с 2013 годом представлены в таблице 6.
За 2014 год доходная часть бюджета района в целом исполнена на 95%, в
бюджет поступило 641 689 774,39 руб.
По сравнению с 2013 годом, доходы района увеличились на 3 749 507,32 руб.
или на 0,6% за счет увеличения безвозмездных поступлений на 7 605 417,17 руб.
или на 1,3% и уменьшения налоговых и неналоговых доходов на сумму 7 187
324,33руб. или на 12,7%.
Таблица 13 Сведения об исполнении доходной части районного бюджета, тыс.
руб. [8]
|
Группы доходов
|
Факт 2013 год
|
2014 год
|
изменение 2014 к 2013 г. г.
|
|
|
план
|
факт
|
откл. от плана
|
% испол
|
отклон.
|
%
|
|
Налоговые и неналоговые доходы
|
56767,4
|
49 942,4
|
49 580,1
|
-362,3
|
99,3
|
- 7187,3
|
87,3
|
|
Безвозмездные поступления
|
582071,2
|
625 601,9
|
589 676,6
|
-35 925,3
|
94,3
|
7 605,4
|
101,3
|
|
Возврат остатков прошлых лет
|
-898,3
|
-
|
2 433,1
|
2433,1
|
-
|
3 331,4
|
-
|
|
ИТОГО ДОХОДОВ
|
637940,3
|
675 544,3
|
641 689,8
|
-33 854,5
|
95,0
|
3749,5
|
100,6
|
Налоговые и неналоговые доходы, по сравнению с 2013 годом, сократились на
7 187 324,33 руб. или на 12,7 % и составили 49 580 113,41 руб.
В 2014 году по группе «Налоговые и неналоговые доходы» поступило 99,3% от
прогнозируемых доходов.
Анализ структуры собственных доходов показал, что, как и в предыдущие
годы, основным налогом, формирующим 62,0% доходов группы «Налоговые и
неналоговые доходы» - является налог на доходы физических лиц. Исполнение
годового плана за 2014 год, в разрезе налогов и неналоговых поступлений, имеет
следующий состав:
по налогу на доходы физических лиц - 30 769 861,67 руб. или 101,5 %,
налоги на товары (работы, услуги), реализуемые на территории Российской
Федерации (акцизы) - 9 866 803,26 руб. или 98,7%
по единому налогу на вмененный доход - 2 898 869,11 руб. или 76,2%, - по
единому сельскохозяйственному налогу - 16 035,15руб. или 100,2%;
по налогу на добычу общераспространенных полезных ископаемых- 120 915,62
руб. или 99,9%
по арендной плате за землю - 2 571 662,35 руб. или 107,2 %,
по доходам от сдачи в аренду имущества - 693 431,30 руб. или 100,5 %,
штрафы, санкции, возмещение ущерба - 1 216 752,36 или 106,7%,
платежи при пользовании природными ресурсами - 560 513,60 руб. или
100,1%,
доходы от продажи земельных участков - 124 274,19 руб. или 91,6%.
По сравнению с аналогичным периодом 2013 года сумма собственных доходов в
2014 году снизилась на 7 187 324,33 руб.(12,7%).
В составе доходов, суммы по которым снизились, по отношению к предыдущему
периоду:
налог на доходы с физических лиц снизился на 14 622 391,40руб. или на
32,2%,в связи с сокращением норматива с 30 до 20 %, неплатежеспособностью
крупных предприятий ООО «Реал-Сорб», ОАО «Мокеиха-Зыбинское» и
сельхозкооперативов.
единый налог на вменный доход уменьшился на 700 444,47 руб. или на 19,46%
в связи с переходом АТП на упрощенную систему налогообложения;
снизилась сумма доходов от реализации имущества, находящегося в
собственности муниципального района на 945 192,04 руб. или 22,4 %
Согласно Отчету о выполнении Прогнозного плана приватизации
муниципального имущества за 2014 год (приложение №1 к решению Собрания
представителей Некоузского муниципального района от 05.03.2015 № 106), от
приватизации имущества в 2014 году в бюджет района поступило 57 000,00 руб.
реализован один земельный участок в д. Гузеево Шестихинского сельского округа
на сумму 114 000рублей.
В Прогнозный план приватизации на 2014 год, утвержденный Решением
Собрания представителей Некоузского муниципального района от 14.11.2013 № 22,
было включено шесть объектов муниципального имущества и четыре земельных
участка. В течение 2014 года не удалось реализовать ни одного планируемого для
приватизации объекта недвижимости хотя ожидаемое поступление денежных средств,
планировалось на сумму 1314 000,00 руб. и 400 000,00 руб. - от приватизации
земельных участков.
Причинами не исполнения Прогнозного плана приватизации являлись:
отсутствие заявок на приобретение; отсутствие покупателей и отказ покупателей в
приобретении имущества.
Безвозмездные поступления в 2014 году составили 92,3 % доходов бюджета
муниципального района или 592 109 660,98 руб. Плановые назначения исполнены на
94,6 %. Доля безвозмездных поступлений в структуре доходов бюджета увеличилась
по сравнению с 2013 годом, в котором она составляла 91,2%.
Анализ представленных данных показывает, в целом, по безвозмездным
поступлениям увеличение в 2014 году по сравнению с 2013 годом на 7 605 417,17
руб. или 1,3% руб., а именно:
дотации бюджетам муниципальных образований уменьшилась на сумму 14 613
000,00 руб., в том числе наибольшие изменения произошли:
по дотации муниципальным районам на выравнивание бюджетной обеспеченности,
уменьшение на 1 801 000,00 руб.;
по дотации бюджетам поселений на поддержку мер по обеспечению
сбалансированности бюджетов, уменьшение на 10 539 000,00 руб.;
по прочим дотациям бюджетам муниципальных районов уменьшение на 2 273
000руб.
субсидии бюджетам муниципальных районов уменьшились на сумму 45 021
877,97 руб.
уменьшилась сумма субсидии на финансирование дорожного хозяйства на 29
514 353,16 руб.; - уменьшилась субсидия на выполнение органами местного
самоуправления муниципальных образований области полномочий по организации
тепло и водоснабжения и водоотведения на 16 232 731руб.- субвенции бюджетам
муниципальных образований увеличились на сумму 71 517 598,21 руб.
значительно увеличилась субвенция на организацию образовательного
процесса в дошкольных общеобразовательных учреждениях - на 48 656 000,00 руб.;
увеличилась субвенция на организацию образовательного процесса в
общеобразовательных учреждениях - на 4 290 000,00руб.;
увеличилась субвенция на оплату жилого помещения и коммунальных услуг отдельным
категориям граждан, оказание мер социальной поддержки которые относятся к
полномочиям Ярославской области - на 2 690 506,00 руб.;
увеличилась сумма субвенции на выплату пособий по уходу за ребенком до
достижения им возраста полутора лет гражданам ,не подлежащих обязательному
социальному страхованию на случай временной нетрудоспособности и в связи с
материнством - на 4 018 616,90руб.;
увеличилась сумма субвенции на выплату пособий при рождении ребенка
гражданам, не подлежащим обязательному социальному страхованию на случай
временной нетрудоспособности и в связи с материнством - на 541 172,66руб.
увеличилась сумма субвенции на содержание муниципальных казенных
учреждений социального обслуживания населения, выполнение муниципальных заданий
муниципальными бюджетными учреждениями социального обслуживания населения и
иные цели, на 11 465 460,00 руб.,93 руб.
иные межбюджетные трансферты уменьшились на 4 277 303,07 руб.
Далее проведем анализ исполнения расходной части бюджета.
Первоначальной редакцией Решения Собрания представителей Некоузского
муниципального района от 26.12.2013 № 35 «О районном бюджете на 2014 год и на
плановый период 2015 и 2016 годов» (далее - Решение о районном бюджете) расходы
бюджета на 2014 год были утверждены в сумме 603 941 966,00 руб. В течение 2014
года в расходную часть бюджета неоднократно вносились изменения, что было
обусловлено дополнительным поступлением налоговых и неналоговых доходов и
увеличением объёма безвозмездных поступлений в доход бюджета района в течение
финансового года.
В окончательной редакции Решения о бюджете на 2014 год расходы утверждены
в сумме 682 328 017,37 руб. и превышают первоначально планируемые на 78 386
051,37 руб. или на 13,0 %.
В 2014 году общая сумма фактических расходов бюджета района составила 642
107 164,60 руб., в 2013 году - 639 687 940,65 руб. Рост бюджетных расходов
составил - 0,3 %.
Расходная часть бюджета исполнена на 94,1% от бюджетных ассигнований,
утверждённых Решением о бюджете (642 107 164,60 руб.).
Исполнение расходов по разделам классификации расходов характеризуется
следующими показателями (см. табл. 14):
Таблица 14 Исполнение расходов по разделам классификации расходов, руб. [8]
|
Наименование разделов
|
Решение о бюджете от 25.12.2014 № 98
|
Исполнение
|
Доля в общей сумме расходов, %
|
% исп.
|
|
Общегосударственные вопросы
|
42 088 113,96
|
40 979 172,26
|
6,38
|
97,37
|
|
Национальная оборона
|
765 200,00
|
765 200,00
|
0,11
|
100,00
|
315 620,61
|
315 620,61
|
0,05
|
100,00
|
|
Национальная экономика
|
46 775 613
|
44 647 849,60
|
6,95
|
95,45
|
|
Жилищно-коммунальное хозяйство
|
69 715 757,84
|
35 889 731,41
|
5,59
|
51,48
|
|
Охрана окружающей среды
|
300 000,00
|
300 000,00
|
0,05
|
100,00
|
|
Образование
|
294 651 835
|
294 435 831,15
|
45,86
|
99,93
|
|
Культура и кинематография
|
46 317 008,81
|
46 229 971,01
|
7,20
|
99,81
|
|
Социальная политика
|
158 926 868,15
|
156 269 808,56
|
24,34
|
98,33
|
|
Физическая культура и спорт
|
837 000
|
837 000
|
0,13
|
100,00
|
|
Средства массовой информации
|
1 700 000,00
|
1 501 980,00
|
0,23
|
88,35
|
|
Межбюджетные трансферты
|
19 935 000,00
|
19 935 000,00
|
3,11
|
100,00
|
|
Итого расходов
|
682 328 017,37
|
642 107 164,60
|
100,00
|
94,11
|
Анализ исполнения расходов показал, что средства районного бюджета в
сумме 497 337 901,25 руб. или 77,45% всех расходов направлены на финансирование
образования, культуры, социальной политики, физкультуры и спорта, тем самым
обеспечена социальная направленность бюджета муниципального образования.
Полностью исполнены бюджетные назначения по таким разделам классификации
расходов:
«Национальная оборона»;
«Национальная безопасность и правоохранительная деятельность»;
«Образование»;
«Физическая культура и спорт»;
«Межбюджетные трансферты».
В целом объем неисполненных назначений составил 40 220 852,77 руб. или
5,89% годового объема расходов бюджета.
Наиболее низкое исполнение бюджетных назначений сложилось по следующим
разделам:
«Жилищно-коммунальное хозяйство» - 51,48%; причинами данного низкого
выполнения плановых показателей является :
не начат второй этап долевого строительства многоквартирного малоэтажного
жилого дома для переселения граждан из аварийного жилого фонда;
оплата производится по факту на основании актов выполненных работ. Более
конкретные причины пояснения того, почему не начато строительство, не
представлены. Анализ использования средств главными распорядителями средств
районного бюджета показал, что более половины всех бюджетных ассигнований (595
934 694,82 руб. или 87,34%) были предусмотрены трем главным распорядителям
бюджетных средств: Администрации Некоузского муниципального района, Управлению
социальной защиты населения и труда Администрации Некоузского муниципального
района и Отделу образования.
За 2014 год из 6 главных распорядителей бюджетных средств полностью
исполнены бюджетные назначения одним:
Контрольно-счётной палатой (100%);
Управлением финансов (99,98%, не исполнено 4 728,86 руб.);
Комитетом культуры (99,83%, не исполнено 99 553,63 руб.).
Отделом образования (99,83%,не исполнено 525 699,37руб.)
Управление социальной защиты (98,66%,не исполнено 1 902 886,74руб.)
Не в полном объеме исполнены годовые бюджетные назначения: Администрацией
(с учетом расходов по МКУ «Комплексный центр НМР») - на 37 687 984,16 руб. или
75,49% от общего объёма неисполненных назначений. Основными причинами не
полного исполнения бюджетных назначений являются: финансирование не в полном
объеме; отсутствие потребности; не начат второй этап долевого строительства
многоквартирного малоэтажного жилого дома для переселения граждан из аварийного
жилого фонда; Согласно отчёту об использовании межбюджетных трансфертов остатки
целевых средств (с учетом сельских поселений) на 01.01.2015 года составляют 4
407 601,80 руб.
Остатки межбюджетных трансфертов образовались по средствам, полученным из
областного бюджета.
Остаток межбюджетных трансфертов сложился из следующих неиспользованных
субсидий: - субсидия на обеспечение мероприятий по переселению граждан из
аварийного жилищного фонда за счет средств областного бюджета в сумме 3 950
367,16руб.;
субсидия на обеспечение мероприятий по переселению граждан из аварийного
жилищного фонда с учетом необходимости развития малоэтажного жилищного
строительства за счет средств, поступивших от государственной корпорации-Фонда
содействия реформированию жилищно-коммунального хозяйства в сумме 128
441,76руб.;
субсидия на обеспечение мероприятий по переселению граждан из аварийного
жилищного фонда с учетом необходимости развития малоэтажного жилищного
строительства на приобретение жилых помещений, площадь которых больше площади
занимаемых помещений за счет средств областного бюджета в сумме 115 597,59 руб.
Причиной возникновения данных остатков является:
не начат второй этап долевого строительства многоквартирного малоэтажного
жилого дома для переселения граждан из аварийного жилого фонда;
оплата производится по факту на основании актов выполненных работ.
субвенция на обеспечение профилактики, правонарушений в
несовершеннолетних и защиты их прав в сумме 187 616,73 руб. причиной
возникновения данного остатка является проведение конкурсных процедур;
субвенция на реализацию отдельных полномочий в сфере законодательства об
административных правонарушениях в сумме 25 578,56 руб., причиной возникновения
данного остатка является проведение конкурсных процедур.
Кредиторская задолженность по бюджетной деятельности, на 01.01.2015
составила 1 167 501,03 руб., на 01.01.2014 составила - 3 792 442,64 руб., т.е.
снизилась на 69,2%.
Основная сумма задолженности 1 167 501,03 руб. - задолженность по
принятым обязательствам, из них 1 167 501,03руб. - задолженность по расчётам с
поставщиками и подрядчиками.
Просроченной (нереальной к взысканию) кредиторской задолженности по
состоянию на 01.01.2015 не имеется.
Дебиторская задолженность, по состоянию на 01.01.2015 года составила 1
200 576,85 руб.
Просроченной (нереальной к взысканию) дебиторской задолженности бюджета района
по состоянию на 01.01.2015 не имеется .
В соответствии с проектом Решения «Об исполнении бюджета района за 2014
год» бюджетные ассигнования на реализацию муниципальных и ведомственных целевых
программ составили 531 266 899,65руб.
В общих расходах бюджета доля расходов на программную деятельность
возросла с 77,2% в 2013 году до 82,7 % в 2014 году, что соответствует Основным
направлениям бюджетной и налоговой политики на 2014 год, которыми
предусматривалось совершенствование программно-целевых методов деятельности
органов муниципальной власти и переход к программному бюджету.
Решением о районном бюджете на 2014 год предусматривалась реализация 24
муниципальных целевых программ и семи ведомственных целевых программ с плановым
объемом финансирования в сумме 536 943 126,74 руб.
Из 24 муниципальных целевых программ полностью исполнено - 14.
Общая сумма исполнения составила 98,94% от планируемой суммы.
Недовыполнение составило - 5 676 227,09 руб. или 1,06%.
Основными причинами не полного освоения денежных средств, в рамках
программ, являются:
финансирование не в полном объеме;
отсутствие потребности;
отсутствие получателей.
Исполнение ведомственных целевых программ составило 99,39% от планируемой
суммы. В бюджете Некоузского муниципального района на 2014 год предусмотрено
средств на финансирование непредвиденных расходов из резервного фонда
Администрации НМР в размере 490 000 руб., и из резервного фонда Правительства
области 100 000руб.
Средства фонда израсходованы в сумме 558 565 руб.:
на оказание адресной помощи, по заявлениям граждан, в связи с пожарами в
размере 5 000 руб.;
в связи с тяжелым материальным положением в размере 131 500 руб.;
на премирование в связи с юбилейными датами- 26 284,40 руб.;
на проведение районных мероприятий в размере - 122 649,60 руб.;
на выплаты почетным гражданам района - 134 331 руб.;
на оказание адресной помощи на погребение - 32 550,00 руб.;
на приобретение новогодних подарков детям - 6 250,00руб.
на оказание адресной помощи, по заявлениям граждан, в связи с пожарами в
размере 100 000 руб.;
Согласно отчету расходы из Резервного фонда произведены и составляют 0,20
% от общего объема исполненных расходов бюджета, что не превышает предельного
размера, установленного ст.81 Бюджетного кодекса РФ (не более 3% общего объема
расходов бюджета района). Порядок расходования средств резервного фонда
Администрации Некоузского МР утвержден Постановлением Главы НМР от 30.11.2005 №
560. Средства резервного фонда использовались в 2014 году не только на
финансирование непредвиденных расходов - расходов на проведение
аварийно-восстановительных работ по ликвидации последствий стихийных бедствий и
других чрезвычайных ситуаций, но и на финансирование расходов, часть из которых
могла быть предусмотрена бюджетополучателями в рамках бюджетного планирования .
Решением Собрания представителей Некоузского МР от 26.12.2013 года № 35
«О районном бюджете на 2014 и на плановый период 2015 и 2016 годов» установлен
предельный размер дефицита районного бюджета в сумме 5 130 857,00 руб. В
процессе исполнения бюджета решениями Собрания представителей Некоузского
муниципального района о внесении изменений в бюджет объем дефицита был увеличен
в 1,32 раза. Уточненный общий объем планового дефицита бюджета района на 2014
год (в последней редакции) составил 6 783 694,72 руб.
Согласно представленному отчету об исполнении бюджета района за 2014 год,
бюджет в 2014 году исполнен в общем объеме с дефицитом 417 390,21 руб., что
составляет 6,15% от планируемого решением о бюджете дефиците.
Уровень дефицита бюджета к общему объему доходов районного бюджета без
учета безвозмездных поступлений за 2014 год составляет 0,8%, что не превышает
предельный уровень, установленный Бюджетным Кодексом РФ в размере 10%.
По состоянию на начало 2014 года муниципальный долг Некоузского
муниципального образования составлял 111 878,00 руб., по состоянию на
01.01.2015 года составляет - 13 157,00 руб. или 0,002% от общей суммы доходов.
Погашено долга в 2014 года на общую сумму 98 721,00 руб.
Сроки погашения долговых обязательств:
до 31.12.2015 - 13 157,00 руб.
Муниципальный долг состоит из задолженности по централизованному кредиту,
выданному сельхоз товаропроизводителям в 1992-1994 г. г.
Задолженность сельскохозяйственных предприятий перед Управлением финансов
по состоянию на 01.01.2015 г. составила - 1 005 179,00 руб.
Для анализа профицитности (дефицитности) бюджета Некоузского
муниципального образования сопоставим его доходную и расходную части (таблица
15).
Таблица 15 Динамика профицитности (дефицитности) бюджета Некоузского
муниципального образования, руб. [8]
|
Показатель
|
2014 (факт)
|
2015 (план)
|
Изменение
|
2016 (план)
|
Изменение
|
|
Доходы бюджета
|
641689774
|
550525547
|
-48285562
|
575433139
|
24907592
|
|
Расходы бюджета
|
642107164
|
550525547
|
-53416419
|
575433139
|
24907592
|
|
Профицит (дефицит) бюджета
|
41730
|
0
|
41730
|
0
|
0
|
Анализ таблицы 8 позволяет сделать вывод о том, что за анализируемый
период бюджет переходит от дефицитной к профицитной форме формирования.
Важнейшей характеристикой бюджетной независимости и самостоятельности
муниципальных бюджетов является его дотационность. На сегодняшний день
дотационность бюджетов большинства муниципальных образований является проблемой
бюджетной системы России.
Оценим степень дотационности бюджета Некоузского муниципального
образования за 2014-2016 гг. (таблица 16, рисунок 5,6).
Таблица 16 Динамика дотационности бюджета Некоузского муниципального
образования, руб. [8]
|
Показатель
|
2014 (факт)
|
2015 (план)
|
Изменение
|
2016 (план)
|
Изменение
|
|
Безвозмездные поступления
|
53972000
|
57105000
|
3133000
|
61958000
|
53972000
|
|
Всего доходов
|
544839109
|
493420547
|
-51418562
|
513475139
|
544839109
|
|
Уровень дотационности
|
0,10
|
0,12
|
0,02
|
0,12
|
0,00
|
Рис. 5. Собственных доходов и безвозмездных поступлений
Рис.6. Уровень дотационности бюджета Некоузского муниципального
образования
Оценка степени дотационности бюджета Некоузского муниципального
образования за 2014-2016 гг. позволяет сделать вывод о том, что за
анализируемый период происходит рост уровня дотационности бюджета.
Таким образом, в данной главе была изучена бюджетная финансовая
самостоятельность Некоузского муниципального образования по следующим
направлениям:
анализ доходов и расходов бюджета Некоузского муниципального образования;
анализ финансовой самостоятельности бюджета Некоузского муниципального
образования.
Анализ динамики доходов бюджета позволил сделать следующие выводы:
согласно принятому районному бюджету на 2014 год и на плановый период 2015 и
2016 годов были установлены следующие основные характеристики районного бюджета
на 2014-2016 гг.: 1) прогнозируемый общий объем доходов районного бюджета на
2014 г. в сумме 598 811 109 рублей; 2015 год в сумме 550 525 547 рублей и на
2016 год в сумме 575 433 139 рублей; 2) общий объем расходов районного бюджета
на 2014 г. в сумме 603 941 966 рублей; на 2015 год в сумме 550 525 547 рублей,
на 2016 год в сумме 575 433 139 рублей. 3) дефицит районного бюджета на 2014 г.
в сумме 5 130 857 рублей.
В структуре доходов бюджета Некоузского муниципального образования
значительно преобладают безвозмездные поступления от других уровней бюджета
Российской Федерации, а также налоги на прибыль и доходы. Анализ финансовой
самостоятельности бюджета Некоузского муниципального образования позволил
сделать следующие выводы:
) за анализируемый период бюджет переходит от дефицитной к профицитной
форме формирования;
) происходит рост уровня дотационности бюджета, снижается финансовая
самостоятельность бюджета.
3. Пути
повышения самостоятельности местных бюджетов на прмере бюджета Некоузского
муниципального района
.1 Повышение самостоятельности местных бюджетов в рамках
процессно-ресурсной концепции формирования и использования финансового
потенциала МО
В целях повышения самостоятельности местных бюджетов, может быть
предложена процессно-ресурсная концепция формирования и использования
финансового потенциала, представляющая собой последовательное преобразование
«финансовый потенциал - финансовые ресурсы - результат (устойчивое
социально-экономическое развитие и финансовая самостоятельность)», позволяющая
определить эффективность использования финансового потенциала с точки зрения
достижения финансовой самостоятельности муниципального образования. В рамках
концепции предложен комплекс показателей оценки финансовой самостоятельности и
финансового потенциала муниципального образования.
В рамках процессно-ресурсной концепции формирования и использования
финансового потенциала может быть использована двухзональная схема кругооборота
материальных финансовых потоков муниципального образования между тремя
основными агентами: домохозяйствами, хозяйствующими субъектами и государством
(рис. 7).
Рис. 7. Двухзональная схема кругооборота материальных финансовых потоков
МО [26, c.117]
В данной схеме выделены две зоны формирования доходов.
Зона I - зона саморазвития - область формирования доходов за счет
собственных источников. Установлено, что в данной зоне повышение доходов
муниципального образования возможно за счет активизации его внутренних
потенциальных источников - финансового потенциала.
Зона II - зона межбюджетных отношений. Почти 90% налоговых доходов,
собранных в зоне I, направляются государству, а уже затем перераспределяются и
возвращаются обратно в виде межбюджетных трансфертов: дотаций, субсидий,
субвенций. Финансовая помощь государства в процессе формирования доходов
местного бюджета сегодня играет определяющую роль, так как более 60% доходов
местных бюджетов составляют межбюджетные трансферты.
Ключевым механизмом повышения финансовой самостоятельности муниципального
образования в зоне саморазвития является активизация его внутреннего
финансового потенциала. Финансовый потенциал муниципального образования
являются частью общего потенциала саморазвития и представляет собой совокупные
финансовые возможности, которые с учетом внутреннего управленческого
воздействия преобразуются в финансовые ресурсы и служат для достижения цели
развития муниципального образования. Структурными составляющими финансового
потенциала являются бюджетный потенциал, потенциал хозяйствующих субъектов и
домохозяйств, то есть основных экономических агентов муниципального
образования.
Процессно-ресурсная концепция формирования и использования финансового
потенциала представляет собой последовательное преобразование «потенциал» -
«ресурсы» - «результат» в отношении финансовой сферы муниципального образования
(рис. 8).
Используемый финансовый потенциал в совокупности с внешней финансовой
помощью представляет собой финансовые ресурсы муниципального образования,
включающие доходы местного бюджета (как налоговые и неналоговые доходы, так и
переданные из вышестоящих бюджетов) и валовый муниципальный продукт (как
финансовые ресурсы, которые образуются у хозяйствующих единиц (предприятий,
организаций, населения) в результате использования существующих финансовых
возможностей. Сформированные финансовые ресурсы муниципального образования
используются для решения вопросов непосредственного обеспечения
жизнедеятельности населения в соответствии с полномочиями органов местного
самоуправления. Результат функционирования и развития муниципального
образования - повышение благосостояния проживающего на его территории
населения, выражающееся в уровне социально-экономического развития территории.
Финансовым результатом развития муниципального образования является повышение
финансовой самостоятельности территории.
Рис. 8. Процессно-ресурсная концепция формирования и использования
финансового потенциала МО [30, c.111]
Эффективность функционирования муниципальной системы в рамках концепции
определяется как соответствие результатов исходному потенциалу, а эффективность
развития через обеспечение расширенного воспроизводства и использования
полученных результатов для формирования нового финансового потенциала
территории.
В рамках данной концепции выделяются следующие основные направления
повышения финансовой самостоятельности муниципального образования: перевод
невовлеченного в процесс развития финансового потенциала в используемый;
увеличение доли налоговых и неналоговых доходов в структуре финансовых ресурсов
МО; обеспечение прироста финансового потенциала через оптимизацию расходной
политики муниципального образования.
В качестве методических основ реализации данной концепции могут быть
использованы:
а) показатели оценки структурных составляющих финансового потенциала
территории,
б) аналитические коэффициенты оценки финансовой самостоятельности
муниципального образования,
в) матрица оценки эффективности использования финансового потенциала.
А. На основе двухзональной схемы формирования финансовых потоком
муниципального образования может быть использован комплекс показателей оценки
финансового потенциала территории (рис. 9).
Рис. 9. Показатели, оценивающие структурные составляющие финансового
потенциала муниципального образования [32, c.223]
Б. На сегодня отсутствует единая методика и общий показатель оценки
финансовой самостоятельности муниципального образования, в связи с этим в
работе предложена система аналитических коэффициентов, характеризующих
различные аспекты финансовой самостоятельности муниципального образования:
бюджетной автономии, обеспеченности, результативности и ликвидности местного
бюджета (табл. 17).
Таблица 17 [35, c.64]
|
Наименование показателя
|
Формула расчета показателя
|
Расшифровка
|
|
Показатели бюджетной автономии (К1)
|
|
1. Коэффициент бюджетной автономии
|
(2)доля налоговых и неналоговых
доходов в местных бюджетах
|
|
|
2. Коэффициент финансовой независимости
|
(3)отношение собственных налоговых
и неналоговых доходов к финансовой помощи МО
|
|
|
Показатели бюджетной обеспеченности (К2)
|
|
3. Коэффициент бюджетной самообеспеченности
|
(4)сумма налоговых и неналоговых
доходов местных бюджетов, приходящихся на 1 человека
|
|
|
Наименование показателя
|
Формула расчета показателя
|
Расшифровка
|
|
4. Бюджетная обеспеченность, рассчитываемая для
распределения дотаций на ее выравнивание бюджетной обеспеченности
|
(5)во сколько раз больше или
меньше объем доходов бюджета МО, приведенный к сопоставимому виду, среднего
по всем МО одного типа объема доходов на душу населения
|
|
|
Показатели бюджетной результативности (К3)
|
|
5. Коэффициент покрытия на счет налоговых и неналоговых
доходов
|
(6)степень покрытия расходов
местных бюджетов собственными налоговыми и неналоговыми доходами
|
|
|
6. Коэффициент финансовой стабильности
|
(7)дисконтированный рост налоговых
и неналоговых доходов МО
|
|
|
Показатели ликвидности (К4)
|
|
7. Сбалансированность местного бюджета
|
(8)величина дефицита местного
бюджета
|
|
8. Показатель соответствия величины дефицита бюджета
БК (≤10% и 15%)
(9)
|
отношение величины дефицита бюджета к собственным доходам
местных бюджетов без учета финансовой помощи
|
|
|
|
9. Показатель соответствия величины муниципального долга
БК (≤1)
|
(10)отношение величины
муниципального долга к собственным доходам без учета финансовой помощи. П
|
|
|
10. Показатель соответствия расходов на обслуживание
муниципального долга БК
|
(11)доля расходов местного бюджета
на обслуживание муниципального долга. По БК не должен превышать 0,15.
|
|
|
где СД - сумма собственных доходов бюджета МО, тыс. руб.; Д
- сумма доходов бюджета МО, тыс. руб.; НД - сумма налоговых доходов бюджета
МО, тыс. руб.; НеНД - сумма неналоговых доходов бюджета МО, тыс. руб.; Дот -
сумма дотаций на выравнивание бюджетной обеспеченности МО, тыс. руб.; Субс -
сумма субсидий МО из регионального фонда софинансирования, тыс. руб.; Субв -
субвенции из регионального фонда компенсаций;Р - сумма расходов бюджета МО,
тыс. руб.; Ч - численность населения МО, чел.; НП - налоговый потенциал МО i;
КРП - поправочный коэффициент расходных потребностей i-го МО; ПД - суммарный
по субъекту РФ прогноз поступлений налоговых доходов в бюджеты всех МО одного
типа; ФП - финансовая помощь (межбюджетные трансферты) из бюджетов
вышестоящих бюджетов, тыс. руб.; МД - величина муниципального долга, тыс.
руб.; Деф - дефицит местного бюджета, тыс. руб.
|
Рассчитаем показатели финансовой самостоятельности согласно предложенной
методике по данным бюджета Некоузского муниципального района за 2014-2016 гг.
Рассчитанные показатели обобщим в таблице 18.
Таблица 18 Оценка финансовой самостоятельности бюджета Некоузского
муниципального района по разработанной методике
|
Наименование показателя
|
2014
|
2015
|
Изменение
|
2016
|
Изменение
|
|
Показатели бюджетной автономии (К1)
|
|
1. Коэффициент бюджетной автономии
|
0,09013
|
0,10373
|
0,01360
|
0,10767
|
0,00394
|
|
2. Коэффициент финансовой независимости
|
0,09906
|
0,11573
|
0,01667
|
0,12066
|
0,00493
|
|
Показатели бюджетной обеспеченности (К2)
|
|
3. Коэффициент бюджетной самообеспеченности
|
3566,74597
|
3773,79064
|
207,04467
|
4094,50172
|
320,71108
|
|
4. Бюджетная обеспеченность, рассчитываемая для
распределения дотаций на ее выравнивание бюджетной обеспеченности
|
Х
|
Х
|
Х
|
Х
|
Х
|
|
Показатели бюджетной результативности (К3)
|
|
5. Коэффициент покрытия на счет налоговых и неналоговых
доходов
|
0,08937
|
0,10373
|
0,01436
|
0,10767
|
0,00394
|
|
6. Коэффициент финансовой стабильности
|
Х
|
Х
|
Х
|
Х
|
Х
|
|
Показатели ликвидности (К4)
|
|
7. Сбалансированность местного бюджета
|
-5130857
|
0
|
5130857
|
0
|
0
|
|
8. Показатель соответствия величины дефицита бюджета БК (≤10%
и 15%)
|
-0,09507
|
0
|
0,09507
|
0
|
0
|
|
9. Показатель соответствия величины муниципального долга
БК (≤1)
|
0,00207
|
0,00023
|
-0,00184
|
0
|
-0,00023
|
|
10. Показатель соответствия расходов на обслуживание
муниципального долга БК
|
0,00016
|
0,00002
|
-0,00014
|
0
|
-0,00002
|
Расчет финансового потенциала в работе проводился по трем направлениям:
а) по структурным составляющим и в целом в денежном выражении для оценки объема
финансового потока, образуемого на территории; б) по структурным составляющим и
в целом в денежном выражении на душу населения для межмуниципального сравнения;
в) в нормированном виде для кластеризации муниципальных районов и городских
округов.
В. для оценки соотношения финансовых возможностей муниципальных
образований с эффективностью их использования, в которой сопоставляются
нормированные значения интегрального показателя финансовой самостоятельности и
финансового потенциала территории может быть использована матрица эффективности
использования финансового потенциала территории (рис. 10). Расчет интегральных
индикаторов финансовой самостоятельности и финансового потенциала определялся
путем вычисления средневзвешенного арифметического значения групповых показателей.
Для определения однородных в выборе групп территорий при разработке алгоритма
обработки совокупности оценочных показателей был применен кластерный анализ с
помощью программного продукта Statistica 6.1. На основе рассчитанных
показателей установлены ранговые пороговые значения для территорий и выделены 5
кластеров муниципальных образований по величине интегрального показателя
финансовой самостоятельности и интегрального показателя финансового потенциала:
высокое, выше среднего, среднее, ниже среднего, низкое значение.
Рис. 10. Матрица эффективности использования финансового потенциала МО
[35, c.65]
На основе сопоставления выделяются 4 зоны эффективности.
Зона А - депрессивные территории, обладающие низким финансовым
потенциалом и низкой эффективностью его использования в части уровня финансовой
самостоятельности территории. Для данных муниципальных образований необходимо
сочетание механизмов как государственной поддержки в виде оптимизации
региональной налоговой политики, так и муниципальные механизмы активизации
финансового потенциала территории.
Зона Б - зона самовосстановления или неэффективного управления. При
высоком уровне финансового потенциала территории муниципальные образования
характеризуются низким уровнем финансовой самостоятельности, что отрицательно
характеризует финансовую политику органов местного самоуправления. В данных
муниципальных образованиях необходимо ограничить политику финансовой помощи
государства для стимулирования более эффективного управления собственными
ресурсами. Мероприятия, в первую очередь, должны осуществляться органами
местного самоуправления и иметь не краткосрочный, а долгосрочный
(стратегический) характер.
Зона В - благополучные территории с высоким финансовым потенциалом и
высоким уровнем финансовой самостоятельности территории. Данные территории
характеризуются эффективным управлением финансовыми ресурсами и в них
необходимо обеспечить их дальнейшее устойчивое развитие.
Зона Г - зона поддержки или эффективного управления: муниципальные
образования характеризуются низким финансовым потенциалом, однако эффективность
его использования высока. В них необходимо усилить участие государства в
активизации и увеличении их финансового потенциала, как в части финансовой
помощи, так и в части предложения им дополнительных доходных источников,
например установление дополнительных нормативов отчислений от федеральных и
региональных налогов и сборов. Главным условием перераспределения доходных
поступлений должно являться наличие возможности органов местного самоуправления
влиять на рост налогооблагаемой базы. Результаты распределения сельских
поселений, входящих в состав Некоузского муниципального района по данным зонам
представлены в табл. 19. Из таблицы видно, что более 75 % муниципальных районов
находятся в зоне кризиса. К относительно благополучным территориям (с учетом
отнесения средних значений к этой зоне) относится 4 сельских поселения
Некоузского муниципального района, из которых только одно средней степенью
финансового потенциала.
Таблица 19 Эффективность использования финансового потенциала сельских
поселений Некоузского муниципального района по данным 2014 г.
|
Уровень финансовой самостоятельности
|
|
Уровень финансового потенциала
|
|
Крайне низкий
|
Низкий
|
Средний
|
Высокий
|
Макс. высокий
|
Всего
|
|
Макс. высокий
|
|
|
|
|
|
0
|
|
Высокий
|
|
|
|
|
|
0
|
|
Средний
|
|
Некоузское
|
|
|
|
1
|
|
Низкий
|
|
Веретейское, Волжское
|
|
|
|
2
|
|
Крайне низкий
|
|
Октябрьское
|
|
|
|
1
|
|
Всего
|
0
|
4
|
0
|
0
|
0
|
4
|
|
|
|
Зона В - благополучные территории
|
|
|
|
Зона Г - зона поддержки или эффективного управления
|
|
|
|
Зона Б - зона самовосстановления или неэффективного
управления
|
|
|
|
Зона А - зона кризиса
Механизм оптимизации межбюджетных отношений в системе «регион -
муниципальное образование» должен базироваться на триаде «функции - полномочия
- ресурсы». Другими словами, каждый уровень управления должен обеспечивать
реализацию своих функций, а для этого он должен быть наделен определенными
полномочиями и иметь достаточные ресурсы.
Анализ динамики изменения структур бюджета Некоузского муниципального
района показал явную тенденцию субфедеральной централизации финансовых
ресурсов. Имеется по крайней мере двукратный потенциал роста доли налоговых
доходов в местных бюджетах, однако необходимо учитывать и интересы региона с
точки зрения минимизации ущерба для субъекта Российской Федерации.
Основой задачей оптимизации межбюджетных отношений в целях повышения
финансовой самостоятельности муниципальных образований является формирование
модели
«ДМБ↑ = НД ↑ + НеНД ↑ + МТ↓»
с учетом взаимного согласования налоговых интересов всех уровней власти.
Одним из инструментов оптимизации межбюджетных отношений является
пересмотр распределения налоговых доходов между регионом и муниципальными
образованиями в целях максимизации финансовой самостоятельности муниципальных
образований за счет увеличения доли налоговых доходов в местном бюджете при
минимальном ущербе для регионального бюджета от перераспределения. Пересмотр
налогов может выражаться в виде установления фиксированных или дополнительных
нормативов отчислений вплоть до полной передачи налогов на местный уровень при
определенных ограничениях.
С этой целью может быть предложена оптимизационная модель
перераспределения налоговых доходов, которая включает в себя следующие целевые
функции:
) обеспечение максимального прироста налоговых доходов каждого местного
бюджета:
;(3)
)
минимизация потерь налоговых доходов для регионального бюджета:
;(4)
)
максимизация доли налоговых доходов муниципальных образований в
консолидированном бюджете региона:
;(5)
при
условии неизменной величины консолидированного бюджета;
,
где
- доля i-го налога, зачисляемая в местный бюджет; - доля i-го налога, дополнительно зачисляемая в местный
бюджет; , -
законодательно установленная ставка налога; -
величина налогооблагаемой базы; , - вид налога, j -
муниципальное образование; n - количество налогов, поступающих в местный бюджет; m -
количество налогов, поступающих в региональный бюджет; L - количество
муниципальных образований, - для
налогов, по которым устанавливаются фиксированные нормативы отчислений; - для налогов, по которым устанавливаются
дифференцированные нормативы отчислений.
В
качестве ограничивающих критериев выделяются количественно и качественно
определяемые критерии: неравномерность размещения налоговой базы; возможность
влияния органов местного самоуправления на налоговую базу; значимость в
региональном бюджете; значимость в местном бюджете; влияние налогов на
благополучие населения и интересы хозяйствующих субъектов.
Существует
компромиссный вариант решения данной задачи, который позволяет избежать
большего ущерба или региона или муниципального образования из-за предпочтения
одному из них. Решением задачи в первом приближении было условие в виде барьера
значимости налога для передачи его в местный бюджет в 2% от общих доходов
региона [37, c.82].
Таким
образом:
)
полная передача на местный уровень налогов, взимаемых с применением специальных
налоговых режимов: единый налог на вмененный доход (ЕНВД), налога, взимаемого
по упрощенной схеме налогообложения (УСН), единого сельскохозяйственного налога
(ЕСХН). Учитывая возможность органов местного самоуправления влиять на их
налогооблагаемую базу и незначительность их доли в республиканском бюджете (до
1,5% от общих доходов региона), с точки зрения повышения финансовой
самостоятельности необходимо, чтобы значительная часть налогов, взимаемых с
малого бизнеса, оставалась в местных бюджетах. Так, передача 90% УСН на местный
уровень (при сохранении 10%-го зачисления во внебюджетные фонды) позволит
увеличить налоговые и неналоговые доходы муниципальных образований- на 8,9%,
общие доходы местных бюджетов на 2,9%, при ущербе республиканскому бюджету в
2,3% от налоговых доходов;
)
передача части региональных имущественных налогов на местный уровень. С точки
зрения обеспечения усиления связи муниципальной экономики с местным бюджетом
возможно закрепление на долгосрочной основе за муниципальными образованиями
налога на имущество организаций и транспортного налога. При значимости налога
на имущество в республиканском бюджете в 7,1% от общих доходов и принятом в
рассматриваемой модели ограничении, возможно закрепление дополнительных
фиксированных нормативов отчислений от налога на имущество организаций в 20%,
что позволит обеспечить рост совокупных доходов местных бюджетов на 2,7%, а
налоговых доходов на 8,4%. При этом ущерб для регионального бюджета составит
1,4% снижения общих доходов и 2,2% налоговых доходов бюджета.
Для
транспортного налога существует два варианта распределения между региональными
и местными органами власти: а) пропорционально километражу их дорог; б) полная
передача налога на местный уровень. При условии полной передачи налога на
местный уровень доходы местных бюджетов республики увеличатся на 3,2 %,
налоговые доходы на 10,3% при ущербе для налоговых доходов региона в 2,7%
(общих доходов в 1,8%);
)
увеличение полномочий органов местного самоуправления в части контроля и оценки
объектов налогообложения и налоговых ставок по местным налогам: налогу на
имущество физических лиц и земельному налогу, в частности совершенствование
методики кадастровой оценки земельных участков, проведение работ по закрепление
бесхозных земель в собственность и другие мероприятия;
)
совершенствование методики установления дополнительных дифференцированных
нормативов отчислений от НДФЛ взамен дотаций, в частности учет эффективности
использования финансового потенциала местного самоуправления.
Общая
эффективность предложенного перераспределения налоговых доходов позволит:
увеличить совокупные доходы местных бюджетов на 8,5%; увеличить налоговые
доходы местных бюджетов на 27,4%; при потерях в региональном бюджете в 7,2%
налоговых доходов и 4,7% общих доходов.
При
этом изменится модель формирования доходов местных бюджетов «НД : НеНД : МТ» от
современной «0,31 : 0,10 : 0,59» к более оптимальной «0,37 : 0,09 : 0,54» без
существенного ущерба для местного бюджета. Оптимизация перераспределения
позволит повысить заинтересованность органов местного самоуправления в
активизации финансового потенциала муниципального образования и более
эффективном использовании финансовых ресурсов.
3.2 Повышение самостоятельности местных бюджетов за счет
повышения эффективности бюджетного процесса
Достижение «эффективности» бюджетного процесса объявлено одной из главных
целей проводимых в России реформ. Так, в Концепции реформирования межбюджетных
отношений в 1999-2001 гг., принятой Постановлением Правительства Российской
Федерации 30.07.1998 г. основной целью реформирования было определено
«повышение эффективности использования и управления финансовыми ресурсами
бюджетной системы Российской Федерации». В «Программе развития бюджетного
федерализма в Российской Федерации на период до 2011 г.» эффективность
бюджетной системы, наряду со сбалансированностью и устойчивостью также
объявляется одной из главных целей совершенствования системы межбюджетных
отношений.
Понятие «эффективности» бюджета раскрывается и в Бюджетном кодексе в ст.
34 «Принцип эффективности и экономности использования бюджетных средств», где
подчеркивается, что при составлении и исполнении бюджетов уполномоченные органы
и получатели бюджетных средств должны исходить из необходимости достижения
заданных результатов с использованием наименьшего объема средств или достижения
наилучшего результата с использованием определенного бюджетом объема средств.
Анализ различных источников позволил нам сформулировать следующее
определение эффективности бюджета. Исходя из того, что в наиболее общем виде
эффективность представляет собой оценочный показатель результативности
деятельности, представляющий собой сопоставление результатов этой деятельности,
эффективность бюджета есть уровень оптимизации консолидации и распределения
финансовых ресурсов и степень достижения конкретных общественно значимых
социальных и экономических целей в соответствии с приоритетами государственной
политики.
Подобный подход существенно расширяет господствующую точку зрения об
эффективности бюджета, как «степени его исполнения», либо «экономичности» и
«результативности расходов».
В современных условиях определение эффективности бюджета должно стать
составной частью общей процедуры управления финансовым состоянием государства,
а это превращает определение эффективности бюджета в постоянную работу
финансового аппарата.
Анализ существующих точек зрения на оценку эффективности бюджета показал,
что они либо дублируют подходы, принятые в классическом бюджетном анализе, либо
отличаются абстрактностью и неопределенностью как критериального, так и
методического подхода. Из всего спектра исследовательских работ в этом
направлении можно выделить предложения по формированию рейтинговых показателей
муниципальных образований (С.Н. Яшина, Н.И. Яшин), а также работы Е.В.
Шипиловой сформулировавшей систему показателей эффективности с учетом как
экономических, так и социальных задач.
Создание системы показателей эффективности бюджета предполагает четкую
дифференциацию понятий социальной эффективности (результативности) и
экономической эффективности. Под эффективностью следует понимать
результативность или социальную эффективность, то есть достижение определенного
социального результата в расчете на единицу затрат. Экономическая эффективность
представляет собой объем выпуска на единицу затрат.
Подобный подход предполагает разграничение понятий прямых и конечных
результатов деятельности субъектов бюджетного процесса. Под прямым результатом
мы понимаем объем предоставляемых местными органами власти товаров и услуг -
«выпуск». Конечными (социальными) результатами в этих случаях будут поддержание
(достижение) определенных параметров социального развития (качества жизни).
Достижение конечных результатов при таком подходе есть цель государственной
(муниципальной) политики, а производство бюджетными организациями работ,
товаров и услуг - ее инструмент. Разделение результатов на прямые и конечные
придает новый смысл показателям социальной эффективности (результативности) и
экономической эффективности, позволяет их измерять. Так, для измерения
социальной эффективности бюджетных расходов достаточно сравнить намеченные и
реальные конечные результаты, а для измерения экономической эффективности -
сравнить запланированный объем услуг с реально предоставленным.
Анализ международного опыта показывает, что многие государства мира в
целях повышения эффективности бюджета широко применяют такие методы как БОР
(бюджетирование ориентированное на результаты) и MTEF (среднесрочное
планирование). В мире накоплен уже более чем полувековой опыт использования
подобного подхода к бюджетному процессу, тогда как в России до сих пор
доминирует затратный метод формирования бюджета, несмотря на декларирование
результативности бюджета как главной его цели.
Таблица 20 Отличие бюджетирования, ориентированного на результаты (БОР),
от затратного метода бюджетирования [39, c.44]
|
Планирование и утверждение бюджета
|
Затратный метод
|
БОР
|
|
Задача планирования
|
Распределение общего объема расходов между бюджетополучателями
|
Увязка объема и структуры расходов бюджета с приоритетами
государственной (муниципальной) политики и ее социально значимыми ожидаемыми
и фактическими результатами
|
|
Основные подходы к планированию
|
Планирование в разрезе ведомств и их смет
|
Программно-целевой подход (внутриведомственные программы,
показатели результатов)
|
|
Отправной пункт планирования
|
Расходные потребности
|
Приоритеты, результаты программ
|
|
Структура расходов бюджета
|
Приоритет экономической и ведомственной классификации
|
Приоритет программной (усовершенствованной функциональной)
классификации
|
|
Формат проекта закона о бюджете
|
Не предусматривает информации о запланированных результатах
|
Постановка целей, результатов, измеримых показателей
результатов
|
|
Детализация расходов
|
Очень подробная
|
Агрегированные расходы
|
|
Законодательные органы обсуждают и утверждают
|
Детальную структуру расходов
|
Цели, результаты, показатели результатов; агрегированную
структуру расходов
|
|
Ответственность субъектов бюджетного процесса
|
За целевое использование средств
|
За достижение плановых результатов с минимальными затратами
|
|
Самостоятельность субъектов бюджетного процесса
|
Ограничена
|
Свобода распоряжения ресурсами (в рамках программ; отчасти
между программами и фин. гг.)
|
|
Уровни принятия решений
|
Высокая степень централизации
|
Делегирование на уровни эффективного исполнения
|
|
Система контроля
|
Доминирует внешний контроль за деятельностью
|
Доминирует внутренний самоконтроль
|
|
Фокус контроля
|
«Целевой» (по видам расходов) использование бюджетных
средств в соответствии с утвержденным планом
|
Достижение запланированных результатов, правильность их
измерения
|
|
Главные объекты внешнего контроля
|
Дробные статьи затрат
|
Результаты и общий объем расходов; качество системы
внутреннего контроля
|
|
Отчет об исполнении бюджета
|
Фактические расходы относительно утвержденных
|
Акцент на достижение результатов, причины отклонений,
необходимость корректировки программ
|
|
Другая отчетность
|
|
Отчеты по мониторингу и оценке программ
|
Весьма удручающим представляется сложившаяся в последние годы ситуация,
когда принципы БОР внедряются преимущественно на верхнем уровне бюджетной
системы (отчасти на региональном), практически не затронув местный бюджет, где
по прежнему сохраняется сметный подход. Таким образом, воспроизводится
классический российский подход «сверху» к общественным, социальным и
экономическим реформам. Изучение нормативно-правовой базы, регулирующей как
бюджетный процесс в стране в целом, так и деятельность местных органов власти,
подтверждает полное отсутствие норм, закрепляющих принципы ориентации бюджета
на результат. Такая ситуация может превратить декларируемые бюджетные новации в
очередную «кампанию», не приведя к сколько-нибудь позитивным результатам.
Повышение эффективности местного бюджета возможно только путем внедрения
принципов ориентации на результат и среднесрочного планирования, для чего
необходимо:
а) адаптировать механизм планирования, реализации, контроля и оценки
местного бюджета в рамках БОР;
б) разработать базовую систему критериев социальной и экономической эффективности,
основанную на закрепленных за органами местной власти бюджетных полномочий и
поддающуюся качественной и количественной оценке. Данная система может
корректироваться с учетом территориальных и социально-экономических
особенностей конкретного муниципального образования.
Вопросы совершенствования бюджетного планирования и повышения
эффективности местного бюджета в целом должны рассматриваться в едином
комплексе с вопросами совершенствования системы муниципального самоуправления,
в этой связи требуют своего решения сохраняющиеся проблемы чрезмерной
зарегламентированности бюджетной системы (в первую очередь на местном уровне),
ее нацеленности на содержание сложившейся сети бюджетных учреждений, отсутствие
стимулов к эффективному оказанию услуг.
Анализ внедряемых элементов программно-целевого планирования показал, что
утверждаемые программы носят, как правило, декларативный характер, не
определяют механизмов достижения целей, не формулируют четких критериев на
основании которых может быть дана оценка эффективности реализации элементов
Программы социально-экономического развития.
Так, в соответствии с такой Программой Некоузского муниципального района
на 2014-2016 гг., стратегическими целями местных органов власти определены
повышение уровня жизни населения, увеличение реальных доходов населения,
решение экономических и социальных проблем. При этом участие собственно бюджета
муниципального образования в реализации Программы предполагается на уровне 11 %
(рис. 12).
Рис.
12. Распределение расходов на реализацию Программы социально-экономического
развития Некоузского муниципального района на 2014-2016 гг.
Анализ
существующей структуры расходов бюджета показал, что в 2014 г. резко
сократились расходы на статьи раздела «национальная экономика», в рамках
которого предусмотрены ведомственной классификацией расходы по статье
«мероприятия в области занятости», но средства не выделены. Снижены и расходы
на жилищно-коммунальное хозяйство, здравоохранение, начиная с 2014 г. практически
не выделяются средства на экологические программы (табл. 21).
Таблица 21 Расходы бюджета Некоузского муниципального района в 2014 г.,
тыс. руб.
|
КОД
|
Наименование
|
Всего
|
Район
|
Дотация
|
Обл.
|
|
|
|
|
|
|
|
0100
|
Общегосударственные вопросы
|
39361,993
|
38441,81
|
|
920,183
|
|
0200
|
Национальная оборона
|
776
|
|
|
776
|
|
0300
|
Национальная безопасность и правоохранительная деятельность
|
1404,932
|
270,46
|
|
1134,472
|
|
0400
|
Национальная экономика
|
47211,867
|
26 083,767
|
|
21128,10
|
|
0500
|
Жилищно-коммунальное хозяйство
|
9 407,92
|
3215,92
|
|
6 192
|
|
0600
|
Охрана окружающей среды
|
1300
|
300
|
|
1000
|
|
0700
|
Образование
|
284392,32
|
76705
|
|
|
|
0800
|
Культура и кинематография
|
45620
|
42000
|
|
3620
|
|
1000
|
Социальная политика
|
152831,934
|
3506,9
|
|
|
|
1100
|
Физическая культура и спорт
|
700
|
700
|
|
|
|
1200
|
Средства массовой информации
|
1000
|
1000
|
|
|
|
1400
|
Межбюджетные трансферты
|
19935
|
200
|
|
19735
|
|
В С Е Г О доходов
|
598811,11
|
53972,0
|
133321,0
|
41151,81
|
|
ВСЕГО расходов
|
603942,0
|
192423,857
|
41151,81
|
|
дефицит
|
|
5 130 857
|
|
В 2014 г. основной объем расходов бюджета направлен на содержание двух
ключевых отраслей - здравоохранения и образования, прочие расходы, включая и
такую «проблематичную» статью, как жилищно-коммунальный комплекс и носят
остаточный характер. Практически не выделены в системе расходов бюджета
муниципального образования средства на реализацию большинства целевых программ,
прописанных в Программе социально-экономического развития.
В такой ситуации сложно прогнозировать не только эффективность бюджета,
но и рассматривать местный бюджет, как инструмент экономической политики на
местном уровне.
Подобный подход к программно-целевому бюджетированию отнюдь не является
частной проблемой отдельного муниципального образования. Анализ различных
государственных, ведомственных и региональных программ показывает, что, как
правило, ни цели, ни их конечные результаты не формулируются в виде
количественно измеримых показателей. В законодательных и подзаконных актах не
дается ответа на вопрос, как будет производиться оценка социальной и
экономической эффективности местного бюджета.
Рис. 13. Структура расходов бюджета Некоузского муниципального района в
2014 г.
По нашему мнению, в процессе формирования бюджета муниципального
образования на основе программно-целевых методов бюджетирования необходим принципиально
иной подход. Так, каждая из целей (задач) Программы должна быть сформулирована
в виде количественно измеримых показателей, необходимо конкретизировать и
механизм оценки социально-экономической эффективности (рис. 14).
Рис. 14. Взаимосвязь обязательных элементов при разработке Программы
социально-экономического развития муниципального образования
Приведем в качестве примера, систему целей муниципального образования по
снижению уровня безработицы (табл. 22).
Как видно из приведенной таблицы, одним из элементов оценки
социально-экономической эффективности могут стать опросы населения независимыми
социологическими компаниями. Подобный подход широко распространен в странах,
перешедших на программно-целевое бюджетирование, и практически не используется
в России.
На основании проведенного исследования сформулирован вывод о том, что
основными инструментами совершенствования бюджетного процесса на местном уровне
должны стать:
законодательное закрепление принципов среднесрочного планирования и
бюджетирования, ориентированного на результат, для бюджетов всех уровней;
признание того факта, что максимальная концентрация финансовых ресурсов
на верхнем этаже власти является лишь вынужденным этапом в развитии бюджетного
федерализма. Стабилизация в финансовой сфере и изменение подходов к бюджету,
как документу, призванному обеспечить эффективные консолидацию и распределение
ресурсов должны в итоге привести к большей децентрализации бюджетной системы и
реальной бюджетной самостоятельности, в том числе и местных органов власти;
Таблица 22 Система целей муниципального образования и критерии оценки
эффективности их реализации
|
Стратегическая цель
|
Механизм достижения
|
Источники финансирования
|
Сроки и этапы
|
Механизм оценки социально-экономической эффективности
|
|
Снижение уровня безработицы
|
1. Поддержка малого предпринимательства Создание системы
поддержки по принципу "единого окна". Реконструкция вещевого рынка
со строительством торгового центра. Реконструкция Туапсинского торгового
центра по ул. Г.Петровой,1 Создание многофункционального комплекса фонда
поддержки малого бизнеса
|
Средства государственного краевого фонда поддержки малого
предпринимательства Средства муниципального фонда поддержки малого
предприним.
|
К концу 2014 г. июнь 2015 г. декабрь 2015 г.
|
Оценка количественного показателя Наличие жалоб на
существование административных барьеров, независимая общественная
экспертиза, Результаты социологических опросов -«-
|
|
2. Реализация программ переобучения
|
|
|
Оценка количественного показателя по сравнению с базовым
периодом
|
- обеспечение действенной системы контроля за бюджетами всех уровней, что
предполагает создание адекватной системы контрольно-ревизионных органов;
обеспечение истинной «прозрачности» бюджета, начиная именно с бюджетов
муниципальных образований. Эта работа должна включать не только публикацию
законов о бюджете (современное понимание прозрачности), но и стимулирование
интереса граждан к подобной информации (обучающие программы, начиная со школы,
целевые гранды на изучение финансов органов власти, проведение конкурсов на
лучшее знание финансовой системы региона или территории), организацию публичных
лекций и диспутов о состоянии и качестве исполнения бюджетов.
Также может быть использована модель оценки степени достижения финансовой
самостоятельности муниципального образования в результате реализации
мероприятий программ социально-экономического развития, отличительной
особенностью которой является учет причинно-следственных связей и статистических
зависимостей для количественной оценки бюджетной эффективности реализации
программных мероприятий. Модель позволяет принимать решения по выбору наиболее
эффективных программ с точки зрения укрепления финансовой самостоятельности и
оптимизации распределения бюджетных средств муниципального образования.
Если государственные мероприятия направлены на оптимизацию распределений
налоговых доходов между регионом и муниципальным образованием, то муниципальные
мероприятия должны обеспечить активизацию финансового потенциала муниципальных
образований, в частности его структурных составляющих: бюджетного потенциала,
потенциала хозяйствующих субъектов и населения. В частности в работе были
предложены следующие финансово-экономические инструменты повышения финансовой
самостоятельности муниципального уровня: разработка стратегических документов
по повышению финансовой самостоятельности территорий; изменение ставок и
предоставление льгот по местным налогам и сборам; использование бюджетирования,
ориентированного на результат; оптимизация затратной части местного бюджета;
усиление контроля за собираемостью налогов; эффективность использования
инструментов муниципального займа; финансовое оздоровление предприятий
муниципальной сферы; развитие малого предпринимательства; целевые трансферты
населению и др.
На сегодня основными документами, в которых устанавливаются приоритетные
направления деятельности муниципального образования и мероприятия для
достижения целевых индикаторов развития муниципального образования, являются стратегии
и программы социально-экономического развития муниципального образования.
Подобные программы и стратегии должны обеспечивать достижение экономической,
социальной и бюджетной эффективности, при этом бюджетная эффективность должна
выражаться не только в росте доходов местных бюджетов, но и в повышении
финансовой самостоятельности территории. Из 39 программ
социально-экономического развития муниципальных образований только в 8 есть
раздел, так или иначе связанный с бюджетной эффективностью, в 12 программах нет
ни одного показателя, характеризующего бюджетную эффективность.
Предлагается включить обязательный раздел «Бюджетная эффективность» в
программы социально-экономического развития муниципальных образований, в
котором будут отражены следующие индикаторы бюджетной эффективности: бюджетная
автономия (доля налоговых и неналоговых доходов в доходах местных бюджетов);
бюджетная самообеспеченность (среднедушевые налоговые и неналоговые доходы);
дополнительные налоговые доходы от реализации мероприятий программ.
При этом в работе устанавливается, что бюджетная эффективность реализации
программ должна выражаться в двух аспектах:
достижение плановых значений финансовой самостоятельности:
, ,(6)
где
Z0 -
плановый показатель финансовой самостоятельности до реализации программы; Z0 ф- показатель финансовой самостоятельности
в результате реализации программы; НД - налоговые доходы от реализации
программы.
1) дисконтированном приросте бюджетной обеспеченности:
,(7)
где
r - коэффициент дисконтирования; Т - период реализации
программы.
При
разработке комплексных программ социально-экономического развития муниципальных
образований необходим учет влияния программных мероприятий на повышение
финансового потенциала и финансовой самостоятельности территорий. Установлено,
что причинно-следственная связь может быть представлена как функциональная
зависимость показателей от причинных факторов, в которой реализация цели (m-1)-го
уровня осуществляется только при достижении m-го уровня.
, i=1, n ,
(8)
где -
показатель (следствие) предыдущего уровня;  -
условия изменения;  -
влияющий фактор; n - число факторов на (m-1) уровне.
Достижение
стратегической цели обеспечивается реализацией целей низкого уровня дерева
«мероприятия → факторы → доходы местного бюджета → финансовая
самостоятельность муниципального образования». В качестве целевых индикаторов
повышения финансовой самостоятельности выступают два показателя: бюджетной автономии
и бюджетной самообеспеченности. В качестве ключевых факторов успеха выступают
налоговые и неналоговые доходы местных бюджетов, весовые коэффициенты для
которых определяются исходя из доли соответствующего налога и неналогового
дохода в совокупных доходах местных бюджетов.
Что
касается факторов, влияющих на повышение финансовой самостоятельности
территории, то каждое муниципальное образование определяет эти факторы
самостоятельно, с точки зрения приоритетов развития территории, решения
социальных задач, типа муниципального образования и т. д., но можно дать общие
характеристики для всех муниципальных образований России. Так, в работе
установлено, что при формировании современных налоговых и неналоговых доходов
местных бюджетов (без учета предлагаемых изменений в распределении налоговых
доходов) наибольшую роль играют: доходы населения, прибыль малых и средних
предприятий, обеспеченность жильем и кадастровая стоимость земли, а также
соответствующие составляющие данных факторов (рис. 15).
Рис.
15. Факторы формирования местных бюджетов России на 2014 г.
Исходя из этого, предполагается, что мероприятия стратегических планов
развития территорий должны быть направлены, прежде всего, на следующее: 1)
создание рабочих мест и снижение безработицы; 2) повышение (по крайней мере, в
рамках муниципальных предприятий и учреждений) уровня заработной платы
работников; 3) создание условий для развития малого и среднего
предпринимательства (в части установления налоговых льгот, улучшения
инфраструктуры, муниципальных программ поддержки, привлечения сторонних
инвестиций); 4) решение жилищных проблем населения и повышение обеспеченности
жильем, в том числе через субсидирование на жилищное строительство; 5)
улучшение инфраструктурной составляющей земельных участков и обеспечение
эффективного их использования.
Тогда дерево целей будет детализировано следующим образом:
Таблица 23 Дерево целей
0-й уровень (показатели финансовой самостоятельности)
1-й уровень (доходы местных бюджетов)
…
2-й уровень (факторы формирования доходов)
…
…
|
|
|
|
3-й уровень (мероприятия)
|
( (20)
|
|
где - изменение коэффициента бюджетной обеспеченности МО; -
изменение коэффициента бюджетной автономии МО; α - коэффициент относительной важности
подцели; ± - желаемое направление в изменении показателя, количественно
характеризующего цель.
|
При выборе мероприятий по аспектам деятельности муниципального
образования показатель эффективности определяется по двум формулам:
(9)
где
Рj - расходы местного бюджета на соответствующее j-е
мероприятие программы.
Таким
образом, можно оценить степень влияния проектов программ
социально-экономического развития на стратегические цели территории, сравнивать
их уровень эффективности и принимать решения по их реализации.
Таким
образом, предлагаемые в работе теоретико-методологические положения и
методические рекомендации развивают теоретические основы формирования механизма
повышения финансовой самостоятельности и позволяют на практике повысить
финансовую самодостаточность территорий и обеспечить их устойчивое развитие.
Заключение
Важным инструментом для реализации задач, стоящих перед муниципальными
образованиями, являются финансовые ресурсы. Муниципальные финансы - система
отношений по поводу формирования, распределения и использования финансовых
ресурсов местных органов власти.
Экономической основой местного самоуправления согласно Федеральному
закону ФЗ №-131 от 6 октября 2003 года «Об общих принципах организации местного
самоуправления в Российской Федерации» является находящееся в муниципальной
собственности имущество, средства местных бюджетов, а также имущественные права
муниципальных образований. Исходя из данного закона, можно сказать, что финансы
муниципального образования (далее - МО) являются составной частью экономической
основы местного самоуправления.
Важной финансовой характеристикой муниципального образования, производной
от конституционного принципа самостоятельного осуществления местного
самоуправления, является его финансовая самостоятельность, раскрывающая
экономические отношения между муниципальным образованием и государством и
отражающая уровень его обособленности и эффективности принятия экономических
решений.
Основные положения и правовые основы самостоятельности муниципальных
образований отражены в законодательных актах, закрепленных на международном
уровне и уровне Российской Федерации.
Отдельные положения принципа финансовой самостоятельности муниципальных
образований закреплены в Европейской хартии о местном самоуправлении, которая
устанавливает, что «органы местного самоуправления имеют право на достаточные
собственные финансовые ресурсы, которыми они могут свободно распоряжаться».
Конституция России, федеральный закон №131-ФЗ «Об общих принципах организации
местного самоуправления в Российской Федерации» и Бюджетный кодекс закрепляют
право и обязанность органов местного самоуправления иметь свой бюджет,
обеспечивать его сбалансированность и возможность самостоятельного расходования
бюджетных средств. Но при этом законодательно принцип финансовой
самостоятельности не подкреплен конкретным содержанием и поэтому остается
только тезисом, не обеспечивающим реальной самостоятельности.
На финансовую самостоятельность территории влияет множество факторов, в
том числе:
достаточность собственных средств для решения расходных полномочий;
обособленность финансов МО от финансов других уровней;
финансовые возможности МО;
эффективность использования собственных средств;
удовлетворение социально-экономических потребностей населения.
В целом, все факторы могут быть разделены на внешние и внутренние,
влияющие на укрепление финансовой самостоятельности местных бюджетов в
зависимости от возможностей органов местного самоуправления воздействовать на
них.
В качестве внутренних факторов были выделены: состав и структура
финансового потенциала и финансовых ресурсов муниципальных образований;
состояние объектов муниципального хозяйства; наличие значительных финансовых
обязательств; состояние инфраструктуры; сложившаяся структура муниципальной
экономики; компетенция, профессионализм органов местного самоуправления и их
заинтересованность в финансовом саморазвитии территории, затраты местного
бюджета на их содержание; наличие программ развития муниципальных финансов;
численность населения и другие.
К внешним факторам, влияющим на финансовую самостоятельность
муниципального образования, относятся: бюджетная политика Российской Федерации
и регионов, отражающая общие направления социально-экономической политики
государства; изменения законодательства, регулирующего вопросы местного
самоуправления в России, в том числе муниципальная реформа; налоговое,
бюджетное, гражданское и другое законодательство и изменения в них, прямо или
косвенно затрагивающие интересы муниципальных образований; уровень
социально-экономического развития региона, субрегиона на территории которого
находится муниципальное образование; общая политика региона в части поддержки
муниципальных образований, в частности предоставления финансовой помощи.
Сегодня разрабатывается множество направлений оценки самостоятельности
муниципальных образований и механизмов ее обеспечения в рамках реализации
эффективной государственной политики укрепления финансовой устойчивости
территорий. Выбор той или иной методики для оценки во многом зависит от
субъективных факторов - решения специалистов управленческого звена. В целом
анализ всех существующих подходов показал, что наиболее приемлемыми являются
подходы Кизеева А.В. и Каткова Н.С. с Севастьяновым В.В., а из них более
адаптирован к существующей информационной базе по финансовой отчетности и
позволяет более точно рассчитать финансовую самостоятельность подход Н.С.
Катков и В. В. Севастьянов.
В работе была изучена бюджетная финансовая самостоятельность Некоузского
муниципального образования по следующим направлениям:
анализ доходов и расходов бюджета Некоузского муниципального образования;
анализ финансовой самостоятельности бюджета Некоузского муниципального
образования.
Анализ динамики доходов бюджета позволил сделать следующие выводы:
согласно принятому районному бюджету на 2014 год и на плановый период 2015 и
2016 годов были установлены следующие основные характеристики районного бюджета
на 2014-2016 гг.: 1) прогнозируемый общий объем доходов районного бюджета на
2014 г. в сумме 598 811 109 рублей; 2015 год в сумме 550 525 547 рублей и на
2016 год в сумме 575 433 139 рублей; 2) общий объем расходов районного бюджета
на 2014 г. в сумме 603 941 966 рублей; на 2015 год в сумме 550 525 547 рублей,
на 2016 год в сумме 575 433 139 рублей. 3) дефицит районного бюджета на 2014 г.
в сумме 5 130 857 рублей.
В структуре доходов бюджета Некоузского муниципального образования
значительно преобладают безвозмездные поступления от других уровней бюджета
Российской Федерации, а также налоги на прибыль и доходы.
Анализ финансовой самостоятельности бюджета Некоузского муниципального
образования позволил сделать следующие выводы:
) за анализируемый период бюджет переходит от дефицитной к профицитной
форме формирования;
) происходит рост уровня дотационности бюджета, снижается финансовая
самостоятельность бюджета.
В целях повышения самостоятельности местных бюджетов, может быть
предложена процессно-ресурсная концепция формирования и использования
финансового потенциала, представляющая собой последовательное преобразование
«финансовый потенциал - финансовые ресурсы - результат (устойчивое
социально-экономическое развитие и финансовая самостоятельность)», позволяющая
определить эффективность использования финансового потенциала с точки зрения
достижения финансовой самостоятельности муниципального образования. В рамках
концепции предложен комплекс показателей оценки финансовой самостоятельности и
финансового потенциала муниципального образования.
Ключевым механизмом повышения финансовой самостоятельности муниципального
образования в зоне саморазвития является активизация его внутреннего
финансового потенциала. Финансовый потенциал муниципального образования
являются частью общего потенциала саморазвития и представляет собой совокупные
финансовые возможности, которые с учетом внутреннего управленческого
воздействия преобразуются в финансовые ресурсы и служат для достижения цели
развития муниципального образования. Структурными составляющими финансового
потенциала являются бюджетный потенциал, потенциал хозяйствующих субъектов и
домохозяйств, то есть основных экономических агентов муниципального
образования.
В целях повышения самостоятельности местных бюджетов, может быть
предложен механизм оптимизации межбюджетных отношений, включающий оптимизационную
модель распределения налоговых доходов в системе «регион - муниципальное
образование», отличительной особенностью которой является учет роли налогов в
региональном и местных бюджетах, неравномерности размещения налоговой базы,
возможности влияния органов местного самоуправления на ее повышение, влияния
налогов на благополучие населения и интересы хозяйствующих субъектов.
На основании проведенного исследования сформулирован вывод о том, что
основными инструментами совершенствования бюджетного процесса на местном уровне
должны стать:
законодательное закрепление принципов среднесрочного планирования и
бюджетирования, ориентированного на результат, для бюджетов всех уровней;
признание того факта, что максимальная концентрация финансовых ресурсов
на верхнем этаже власти является лишь вынужденным этапом в развитии бюджетного
федерализма.
Стабилизация в финансовой сфере и изменение подходов к бюджету, как
документу, призванному обеспечить эффективные консолидацию и распределение
ресурсов должны в итоге привести к большей децентрализации бюджетной системы и
реальной бюджетной самостоятельности, в том числе и местных органов власти;
обеспечение действенной системы контроля за бюджетами всех уровней, что
предполагает создание адекватной системы контрольно-ревизионных органов;
обеспечение истинной «прозрачности» бюджета, начиная именно с бюджетов
муниципальных образований. Эта работа должна включать не только публикацию
законов о бюджете (современное понимание прозрачности), но и стимулирование
интереса граждан к подобной информации (обучающие программы, начиная со школы,
целевые гранды на изучение финансов органов власти, проведение конкурсов на
лучшее знание финансовой системы региона или территории), организацию публичных
лекций и диспутов о состоянии и качестве исполнения бюджетов.
Также может быть использована модель оценки степени достижения финансовой
самостоятельности муниципального образования в результате реализации
мероприятий программ социально-экономического развития, отличительной
особенностью которой является учет причинно-следственных связей и
статистических зависимостей для количественной оценки бюджетной эффективности
реализации программных мероприятий. Модель позволяет принимать решения по
выбору наиболее эффективных программ с точки зрения укрепления финансовой
самостоятельности и оптимизации распределения бюджетных средств муниципального
образования.
Список
использованной литературы
Нормативно-правовые
материалы
. Конституция
РФ. принята всенародным голосованием 12.12.1993.
. Бюджетный
кодекс РФ от 31 июля 1998 г. N 145-ФЗ (ред. от 8 марта 2015 г. N 25-ФЗ)
. Гражданский
кодекс РФ. Часть первая от 30 ноября 1994 г. N 51-ФЗ. Часть вторая от 26 января
1996 г. N 14-ФЗ (ред. от 23 мая 2015 г. N 133-ФЗ)
. Налоговый
кодекс РФ. Часть первая от 31 июля 1998 г. N 146-ФЗ. Часть вторая от 5 августа
2000 г. N 117-ФЗ (ред. от 2 мая 2015 г. N 113-ФЗ)
. Федеральный
закон от 6 октября 2003 г. N 131-ФЗ "Об общих принципах организации
местного самоуправления в Российской Федерации"
. Федеральный
закон от 25 сентября 1997 г. N 126-ФЗ "О финансовых основах местного
самоуправления в Российской Федерации" (ред. от 28 декабря 2004 г. N
183-ФЗ)
7. Решение Собрания
представителей Некоузского МР № 35 от 26.12.2013
<http://www.nekouz.ru/docs/anmr/finansy/2013/resh_sp_35_13_12_26.zip>
"О районном бюджете на 2014 год и на плановый период 2015 и 2016
годов".
. Решение Собрания
представителей Некоузского МР № 118 от 23.04.2015г.
<http://www.nekouz.ru/docs/anmr/finansy/2015/sobranie_predstavitelej.otchet_ob_ispolnenii_byudzheta_za_2014god_doc.doc>
"Об отчёте «Об исполнении бюджета района за 2014 год». Об отчете "Об
использовании бюджетных ассигнований резервного фонда администрации за 2014
год"
. Акимова Т.В.
Инновационные методы повышения финансовой самостоятельности местных бюджетов //
В сборнике: Перспективы и закономерности модернизации современного общества:
новый взгляд (экономические, социальные, философские, политические, правовые
общенаучные аспекты) <http://elibrary.ru/item.asp?id=22026289> Материалы
международной научно-практической конференции . 2014. С. 32-34.
. Александров, И.М.
Бюджетная система Российской Федерации: учебник / И.М. Александров. - 2-е изд.
- М.: Издательско-торговая корпорация "Дашков и К°", 2007. - 486с.
. Атаева А.Г. Механизм
формирования финансовой самостоятельно-сти муниципальных образований [Текст]:
автореф. на соискание уч.ст. кандидата экон. наук/ А.Г. Атаева// Екатеренбург,
2015. - 26 с.
. Булатов Ю. И.
Правовое обеспечение принципа финансовой само-стоятельности местного
самоуправления в Российской Федерации [Текст]: автореф. на соискание уч. ст.
кандидата экон. наук/ Ю. И. Булатов// Челябинск, 2014. - 22 с.
. Гиляровская С.В.
Бюджетная самостоятельность как фактор повышения финансовой устойчивости
территорий[Текст]: автореф. на соискание уч. ст. кандидата экон. наук/
Гиляровская С.В.// Москва, 2014. - 19 с
. Государственные и
муниципальные финансы: Учебник. / Под общ. ред. И.Д. Мацкуляка. - Изд.2-е, доп.
и перераб. - М.: Изд-во РАГС, 2010. - 640с.
. Васильева Н.В.
Доходы местных бюджетов как залог финансовой самостоятельности местного
самоуправления // Известия Иркутской государственной экономической академии
<http://elibrary.ru/contents.asp?issueid=1369830>. 2015. Т. 25. № 1
<http://elibrary.ru/contents.asp?issueid=1369830&selid=22980293>. С.
117-125.
. Власенкова Е.А.
Направления увеличения доходной базы региональных и местных бюджетов //
Региональная экономика: теория и практика
<http://elibrary.ru/contents.asp?issueid=1121906>. 2013. № 16
<http://elibrary.ru/contents.asp?issueid=1121906&selid=19054872>. С.
45-49.
. Катков Н.С.,
Севастьянов В.В. Оценка финансовой устойчивости ре-гиона на примере Республики
Марий Эл// Вопросы современной науки и практики. - 2015. - №1. - С. 39-46.
. Кизеев А. В.
Финансовый потенциал как критерий оценки финансовой самостоятельности
региона//Экономические исследования. - 2015. - №3 - С.4 -61
. Козинец И.Г.
Финансовая самостоятельность местных бюджетов: проблемы обеспечения // Молодий
вчений <http://elibrary.ru/contents.asp?issueid=1382011>. 2014. № 6-2
(09) <http://elibrary.ru/contents.asp?issueid=1382011&selid=23238006>.
С. 111-114.
. Коротаева Е.А.
Проблемы экономической самостоятельности местных бюджетов // Вестник
Удмуртского университета
<http://elibrary.ru/contents.asp?issueid=1261630>. 2014. № 2-1 <http://elibrary.ru/contents.asp?issueid=1261630&selid=21455828>.
С. 48-52.
. Курникова И.В.
Укрепление финансовой самостоятельности местных бюджетов // Многоуровневое
общественное воспроизводство: вопросы теории и практики
<http://elibrary.ru/contents.asp?issueid=1303233>. 2014. № 6 (22)
<http://elibrary.ru/contents.asp?issueid=1303233&selid=22023242>. С.
223-229.
. Литовченко, В.П.,
Соловьев, В.И. Финансы и кредит / В.П. Литовченко, В.И. Соловьев. - М.: ВШУ,
2010. - 197с.
. Максимов, А.Н.,
Зевина, О.А., Макаренко, Б.И. Местное самоуправление в России: состояние,
проблемы, пути совершенствования / А.Н. Максимов, О.А. Зевина, Б.И. Макаренко.
- М.: Экон-Информ, 2009. - 524с.
. Миляков, Н.В.
Финансы: учебник / Н.В. Миляков. - 3-е изд. - М.: ИНФРА-М, 2010. - 543с.
. Муравьева Н.Н.,
Салимова С.А. Перспективы повышения роли налогов для обеспечения финансовой
самостоятельности местных бюджетов (на примере г.Волжского Волгоградской обл.)
// Финансы и кредит <http://elibrary.ru/contents.asp?issueid=1236129>.
2014. № 1 (577)
<http://elibrary.ru/contents.asp?issueid=1236129&selid=21057154>. С.
38-44.
. Огарин, В.В. Система
муниципального управления: учебник для вузов. / В.В. Огарин. - СПб.: Лидер,
2010. - 493с.
. Позднякова Е.В.
Самостоятельность местных бюджетов в Российской Федерации: теоретико-правовая
характеристика // В сборнике: Актуальные проблемы и перспективы развития
парламентаризма: российский и зарубежный опыт
<http://elibrary.ru/item.asp?id=23442360> Сборник научных статей.
ЮГО-ЗАПАДНЫЙ ГОСУДАРСТВЕННЫЙ УНИВЕРСИТЕТ, Ред. кол.: В.В. Коровин. Курск, 2015.
С. 50-53.
. Репченко, Н. А.
Оценка инвестиционной привлекательности региона с учетом инновационного и
бюджетно-финансового потенциала региона/ Н. А. Репченко, О. М. Фокина//
Инновации. - 2014. - N 7. - С. 64-67.
. Сазонов С.П., Мамаев
А.В.Децентрализация государственных функций - основной путь совершенствования
межбюджетных отношений // Фундаментальные исследования
<http://elibrary.ru/contents.asp?issueid=1201226>. 2013. № 10-9
<http://elibrary.ru/contents.asp?issueid=1201226&selid=20683040>. С.
2015-2019.
. Система
муниципального управления/под ред. В.Б. Зотова. - 5-е изд., испр. и доп. -
Ростов н/Д: Феникс, 2013. - 717 с.
. Система
муниципального управления: Учебник для вузов. / Под редакцией В.Б. Зотова. -
СПб.: Лидер, 2009. - 493с.
. Судакова Г.Ю.
Правовые основы реализации принципа самостоятельности местных бюджетов // В
сборнике: Формирование правовой, межэтнической, религиозной и профессиональной
культуры современного специалиста <http://elibrary.ru/item.asp?id=21777427>
материалы II Международной научно-практической конференции. отв. редактор Е.В.
Прысь. Рязань, 2013. С. 82-88.
. Финансовый ландшафт
территории/ Уфимский гос. авиационный техн. Ун-т, ин-т соц.-экон. Исследований
УНЦ РАН, Ин-т экономики Уро РАН [ред. кол.: Татаркин А.И.(рук) и др.]. -
Москва: Экономика, 2012. - 396 с.
. Финансы / под ред.
В.В. Ковалева. - 2-е изд., перераб. и доп. - М.: ТК Велби, Изд-во Проспект,
2009. - 610с.
. Финансы / под
ред.Г.Б. Поляка. - 3-е изд., перераб. и доп. - М.: ЮНИТИ-ДАНА, 2009. - 703с.
. Финансы, денежное
обращение и кредит: Учебник / Под ред. М.В. Романовского, О.В. Врублевской. -
М.: Юрайт-Издат, 2010. - 543с.
. Чугунов В.И.,
Сарайкина В.Н. Проблемы повышения финансовой самостоятельности местных бюджетов
в условиях экономической нестабильности // Теоретические и прикладные аспекты
современной науки <http://elibrary.ru/contents.asp?issueid=1375377>.
2015. № 8-7
<http://elibrary.ru/contents.asp?issueid=1375377&selid=23092188>. С.
147-152.
. Ярцева И.Ю. Оценка
изменений законодательства по укреплению финансовой самостоятельности местных
бюджетов // Финансы <http://elibrary.ru/contents.asp?issueid=1147184>.
2013. № 10
<http://elibrary.ru/contents.asp?issueid=1147184&selid=20383218>. С.
43-48.
Похожие работы на - Разработка путей повышения самостоятельности местных бюджетов на примере бюджета Некоузского муниципального района
|