Привлекательность организации
Введение
инвестиция финансовый экономический
Одним из фундаментальных понятий рыночной экономики является
понятие инвестиции - затраты на производство и накопление средств производства
и увеличение материальных запасов. Инвестиции - это наиболее важный и дефицитный
ресурс российской экономики, использование которого позволяет совершенствовать
производство, улучшать продукцию, увеличивать количество рабочих мест и т.д.
Для предпринимателя важно выяснить, как лучше распорядиться имеющимися
инвестиционными ресурсами, уметь рассчитать их эффективность, выбрать лучшие
варианты вложений. Вместе с тем, исторически сложилось так, что в российской
хозяйственной практике наблюдается недооценка вопросов финансового управления
как в текущей работе, так и при разработке долгосрочных инвестиционных
проектов. В рыночных условиях решение об инвестировании предприятие принимает
самостоятельно и ему нужен инструмент для оценки эффективности этих вложений. В
мировой практике разработана методика оценки эффективности инвестиционных
проектов (методика ЮНИДО), которая взята на вооружение отечественными
специалистами.
Либеральные реформы в России начала 1990-х гг. породили
иллюзию, что устойчивое экономическое развитие страны возможно без масштабных
капиталовложений. Крайним выразителем такой точки зрения являлся бывший
экономический советник президента РФ А. Илларионов, полагавший, что инвестиции
России вообще не нужны, поскольку их некуда вкладывать. В значительной степени
эта позиция обуславливалась достаточно стабильной и высокой (до 30% ВВП) нормой
накопления в советскую эпоху и часто нерациональным расходованием
инвестиционных ресурсов. В результате к началу 2000-х гг. норма накопления
сократилась до 15% ВВП. К 2011 г. она немного подросла, оставаясь на уровне
18%, в то время как в развитых странах эта норма колеблется от 25 до 30%.
В краткосрочном плане динамика ВВП действительно более тесно
связана с некапиталоемкими факторами развития. На макроуровне это - снижение
инфляции, профицит государственного бюджета, реформирование институциональной
среды и др. На микроуровне низкие темпы инвестиций связаны с так называемой
«защитной» реструктуризацией предприятий и компаний, нацеленной на элементарное
снижение издержек, сокращение излишней рабочей силы, энергопотребления,
закрытие части неэффективных производств.
Однако в плане среднесрочного и долгосрочного роста роль
инвестиций резко возрастает. Это вызвано необходимостью решения проблем,
связанных с глубокими структурными и воспроизводственными диспропорциями,
оставшимися от планового хозяйства: повышенной энергоемкостью производства,
неэффективным размещением предприятий, неудовлетворительным использованием
земельных ресурсов, высокой долей неконкурентоспобной продукции,
гипертрофированным развитием отраслей тяжелой промышленности). На корпоративном
уровне необходимость крупных инвестиций связана с переходом от защитной
реструктуризации к стратегической, включающей переход к новым продуктам,
рынкам, управленческим технологиям, к новым структурам собственности, финансов
и корпоративного управления.
Спецификой российской модели является то, что формирование
корпоративного сектора началось с сырьевых, наиболее рентабельных, но в то же
время наиболее капиталоемких отраслей, создавая дефицит инвестиций в других
секторах экономики. В настоящее время отрасли ТЭК, металлургии и во многом
химии почти завершили формирование собственного корпоративного сектора. Пищевая
промышленность и телекоммуникации в значительной своей части встроились в
цепочки иностранных ТНК. Сельское хозяйство является объектом экспансии
отечественных компаний, поэтому здесь наблюдается достаточно интенсивный рост
инвестиций. На очереди легкая промышленность, машиностроение и сфера услуг.
Проблема управления инвестициями и их оценки получила широкое
развитие в работах таких специалистов, как: Богатин Ю.В., Швандар В.А., Бочаров
В.В., Волков И.М., Грачева М.В., Иванова Н.Н., Осадчая Н.А., И.В., Косов В.И.,
Шеремет В.В., Павлюченко В.М., Шапиро В.Д. и многих других.
Актуальность решения поставленных в дипломном исследовании проблем
экономической оценки инвестиционного проекта возрастает в современных условиях
функционирования региональных и народнохозяйственных комплексов,
характеризующихся ростом неопределенности разнонаправленных воздействий
факторов внешней среды, в которых предприятия и учреждения нуждаются в
действенной системе мер, обеспечивающих повышение эффективности инвестиционной
деятельности посредством экономических, нормативно-правовых, финансовых,
организационных, социальных и иных воздействий со стороны федеральных,
региональных и муниципальных органов власти.
Таким образом, актуальность проблемы разработки
инвестиционных проектов и их оценки и недостаточная ее исследованность
определили выбор данной темы, а также структуру работы. Целью дипломной работы
является организация разработки инвестиционного проекта на предприятии и
оценка.
Для достижения поставленной цели необходимо решить следующие
задачи:
. Рассмотреть теоретические основы инвестиций,
инвестиционного финансирования и проектирования на предприятиях, в т.ч.
определить роль инвестиций в экономике, рассмотреть сущность инвестиционных
потребностей предприятия, а также источники их финансирования, определить
показатели и рассмотреть существующие подходы к оценке эффективности
инвестиций.
. Провести анализ и исследовать особенности деятельности
производственного предприятия, в т.ч. провести анализ основных
технико-экономических и финансовых показателей деятельности организации,
рассмотреть факторы влияния внешней среды на деятельность компании, и выделить
наиболее значимые проблемы в деятельности компании и выявить варианты их
возможного решения; привести экономическую характеристику инвестиционного
проекта компании и оценку его эффективности.
. Провести оценку влияния риска и инфляции на показатели
инвестиционного проекта предприятия.
Предметом исследования являются теоретические и методические
вопросы технико-экономического обоснования и разработки инвестиционных проектов
на предприятиях, а также организационно-экономические отношения, возникающие в
процессе активизации инвестиционной деятельности на предприятиях. Объектом
исследования выступает производственно-коммерческое предприятия ООО «Юпитер».
Методологическая и теоретическая база исследования:
современные достижения в области теории экономики и менеджмента инвестиций;
методы экономического и инвестиционного анализа и синтеза.
Структурно работа состоит из трех глав, введения, заключения,
списка использованной литературы и приложений.
1.
Теоретические аспекты инвестиционного проектирования
.1
Понятие инвестиций и их классификация
Объективно необходимым звеном воспроизводственного процесса
является замена изношенных основных средств новыми, которая осуществляется с
помощью механизма аккумулирования амортизационных отчислений и их использования
на приобретение нового оборудования и модернизацию действующих основных фондов.
Вместе с тем существенное расширение производства может быть обеспечено только
за счет новых вложений средств, направляемых как на создание новых
производственных мощностей, так и на совершенствование, качественное обновление
техники и технологии. Именно вложения, используемые для развития и расширения
производства с целью извлечения дохода в будущем, составляют экономический
смысл инвестиций.
Термин «инвестиция» происходит от латинского слова investire - «облачать». В рамках
централизованной плановой экономики он не использовался, а речь всегда шла о
капитальных вложениях, т.е. о затратах, направляемых на воспроизводство
основных фондов, их увеличение и совершенствование. Под инвестициями подразумевалось
долгосрочное вложение капитала в различные отрасли экономики, иными словами,
инвестиции отождествлялись с капитальными вложениями [28, с. 10]. С началом
осуществления в нашей стране рыночных преобразований точка зрения на содержание
категории «инвестиции» изменилась, что нашло свое отражение в законодательстве.
Под инвестициями понимается совокупность затрат,
реализуемых в форме целенаправленного вложения капитала на определенный срок в
различные отрасли и сферы экономики, в объекты предпринимательской и других
видов деятельности для получения прибыли (дохода) и достижения как
индивидуальных целей инвесторов, так и положительного социального эффекта.
Можно выделить следующие признаки инвестиций, являющиеся
наиболее существенными [3, с. 14]:
потенциальная способность инвестиций приносить доход;
процесс инвестирования, как правило, связан с преобразованием
части накопленного капитала е альтернативные виды активов экономического
субъекта (предприятия);
в процессе осуществления инвестиций используются
разнообразные инвестиционные ресурсы, которые характеризуются спросом,
предложением и ценой;
целенаправленный характер вложения капитала в какие-либо
материальные и нематериальные объекты (инструменты);
наличие срока вложения (этот срок всегда индивидуален и
определять его заранее неправомерно);
вложения осуществляются лицами, называемыми инвесторами,
которые преследуют свои индивидуальные цели, не всегда связанные с извлечением
непосредственной экономической выгоды;
наличие риска вложения капитала, означающее, что достижение
целей инвестирования носит вероятностный характер.
Инвестиционная деятельность присуща любому коммерческому
предприятию [17, с. 8]. Инвестиционными целями предприятия могут быть:
получение стабильного высокого дохода; защита капитала от инфляции;
долгосрочное размещение средств под высокий процент; комбинация указанных целей
и др. Инвестиции обеспечивают динамичное развитие фирмы и позволяют решать
такие задачи, как:
расширение собственной предпринимательской деятельности за
счет накопления финансовых и материальных ресурсов;
приобретение новых предприятий;
диверсификация деятельности вследствие освоения новых
областей бизнеса.
В различных источниках приводятся разные классификации
инвестиций. Наиболее полно классификация инвестиций представлена авторами
учебника «Инвестиции» Г.П. Подшиваленко, Н.И. Лахметкиной, М.В. Макаровой. В
соответствии с положениями данной книги классификация инвестиций может быть
следующей [37, с. 22]:
. В зависимости от объектов вложения капитала выделяют реальные
и финансовые инвестиции. Под реальными инвестициями понимают вложение капитала
в создание активов, связанных с осуществлением операционной деятельности и
решением социально-экономических проблем хозяйствующего субъекта. Предприятие -
инвестор, осуществляя реальные инвестиции, увеличивает свой производственный
потенциал - основные производственные фонды и необходимые для их
функционирования оборотные средства. С реальными инвестициями в практике
экономического анализа связаны понятия «валовые инвестиции» и «чистые
инвестиции». Финансовые инвестиции - это вложение капитала в различные
финансовые инструменты, прежде всего в ценные бумаги, а также в активы других
предприятий. При их осуществлении инвестор увеличивает свой финансовый капитал,
получая дивиденды и другие доходы. Финансовые инвестиции имеют либо
спекулятивный характер, либо ориентированы на долгосрочные вложения.
Спекулятивные финансовые инвестиции имеют целью получение инвестором дохода в
конкретном периоде времени. Долгосрочные финансовые инвестиции в основном
преследуют стратегические цели инвестора и связаны с участием в управлении
предприятием, в которое вкладывается капитал.
. По приобретаемому инвестором праву собственности инвестиции
подразделяются на прямые и косвенные. Прямые инвестиции - это форма вложения,
которая дает инвестору непосредственное право собственности на ценные бумаги
или имущество. Косвенные инвестиции представляют собой вложения в портфель
(набор) ценных бумаг или имущественных ценностей. В этом случае инвестор будет
владеть не требованием к активам той или иной компании, а долей в портфеле.
. По периоду инвестирования различают долгосрочные,
среднесрочные и краткосрочные инвестиции. Долгосрочные инвестиции - это
вложения капитала на период от трех и более лет, среднесрочные инвестиции -
вложения от одного до трех лет, краткосрочные инвестиции - вложения на период
до одного года.
. По региональному признаку выделяют инвестиции внутренние и
внешние (зарубежные) инвестиции. Внутренние инвестиции осуществляются в объекты
инвестирования, находящиеся внутри страны; внешние инвестиции - в объекты
инвестирования, находящиеся за ее пределами. Сюда же относится приобретение
различных финансовых инструментов: акций зарубежных компаний или облигаций
других государств.
. По формам собственности используемого инвестором капитала
инвестиции подразделяют на частные, государственные, иностранные и совместные.
Частные инвестиции представляют собой вложения капитала физическими и
юридическими лицами негосударственной формы собственности. К государственным
инвестициям относят вложения капитала, осуществляемые центральными и местными
органами власти и управления за счет бюджетов, внебюджетных фондов и заемных
средств, а также вложения, осуществляемые государственными предприятиями за
счет собственных и заемных средств. Иностранные инвестиции - вложения капитала
нерезидентами (как юридическими, так и физическими лицами) в объекты и
финансовые инструменты другого государства. Совместные инвестиции
осуществляются совместно субъектами страны и иностранных государств.
Таким образом, под инвестициями понимается целенаправленное
вложение на определенный срок капитала во всех его формах в различные объекты
для достижения индивидуальных целей инвесторов. С помощью инвестиций
предприятие реализует свои возможности при прогнозировании долгосрочных
тенденций экономического развития и адаптации к ним. Определение главных целей
инвестиционной политики весьма субъективно и зависит от преследуемых на данном
этапе стратегических финансовых целей. Инвестиции классифицируются по различным
признакам. Для каждого вида и типа инвестиций характерны свои уровни риска.
.2
Инвестиционные потребности проекта и источники их финансирования
Одна из основополагающих задач управления проектами -
организация его финансирования, что подразумевает обеспечение проекта
инвестиционными ресурсами, в состав которых входят не только денежные средства,
но и выражаемые в денежном эквиваленте прочие инвестиции, в том числе основные
и оборотные средства, имущественные права и нематериальные активы, кредиты,
займы и залоги, права землепользования и пр.
Финансирование проектов - один из видов инвестиционной
деятельности, которая всегда является рисковой, особенно в нынешних
социально-экономических условиях России. Неблагополучный инвестиционный климат,
законодательная база, не отвечающая требованиям мировой практики управления
проектами, - объективные причины, мешающие эффективной реализации проектов [6,
с. 25]. В российском законодательстве, например, существует термин «проектное
финансирование» [3, с. 32], но нет понятия «проект» в его общемировом значении.
Финансирование проекта должно осуществляться при соблюдении
таких условий [40, с. 26]:
динамика инвестиций обеспечивает реализацию проекта в
соответствии с временными и финансовыми ограничениями;
снижение затрат финансовых средств и рисков проекта
обеспечивается за счет соответствующей структуры и источников финансирования и
определенных организационных мер, в том числе налоговых льгот, гарантий,
разнообразных форм участия.
При анализе источников финансирования инвестиций выделяют
внутренние и внешние источники инвестирования. К внутренним источникам
инвестирования, как правило, относят национальные источники, в т.ч. собственные
средства предприятий, ресурсы финансового рынка, сбережения населения,
бюджетные инвестиционные ассигнования; к внешним источникам - иностранные
инвестиции, кредиты и займы.
Эта классификация отражает структуру внутренних и внешних
источников с позиций их формирования и использования на уровне национальной
экономики в целом. Но ее нельзя использовать для анализа процессов
инвестирования на микроэкономическом уровне.
С позиций предприятия (фирмы) бюджетные инвестиции, средства
кредитных организаций, страховых компаний, негосударственных пенсионных и
инвестиционных фондов и других институциональных инвесторов являются не
внутренними, а внешними источниками. К внешним для предприятия источникам
относятся и сбережения населения, которые могут быть привлечены на цели
инвестирования путем продажи акций, размещения облигаций, других ценных бумаг,
а также при посредстве банков в виде банковских кредитов.
При классификации источников инвестирования необходимо также
учитывать специфику различных организационно-правовых форм, например, частных,
коллективных, совместных предприятий. Так, для предприятий, находящихся в
частной или коллективной собственности, внутренними источниками могут выступать
личные накопления собственников предприятий. Для предприятий, находящихся в
совместной с зарубежными фирмами собственности, инвестиции иностранных
совладельцев также следует рассматривать как внутренний для данного предприятия
источник. В приложении А приведена матрица источников и организационных форм
финансирования проектов, предложенная авторами монографии «Управление
проектами» Мазур И.И. и Шапиро В.Д. [35, с. 270].
Таким образом, следует различать внутренние и внешние
источники финансирования инвестиций на макроэкономическом и микроэкономическом
уровнях. На макроэкономическом уровне к внутренним источникам финансирования
инвестиций можно отнести: государственное бюджетное финансирование, сбережения
населения, накопления предприятий, коммерческих банков, инвестиционных фондов и
компаний, негосударственных пенсионных фондов, страховых фирм и т.д. К внешним
- иностранные инвестиции, кредиты и займы. На микроэкономическом уровне
внутренними источниками инвестирования являются: прибыль, амортизация,
инвестиции собственников предприятия; внешними - государственное
финансирование, инвестиционные кредиты, средства, привлекаемые путем размещения
собственных ценных бумаг.
При анализе структуры источников формирования инвестиций на
микроэкономическом уровне (предприятия, фирмы, корпорации) все источники
финансирования инвестиций делят на три основные группы:
) собственные финансовые ресурсы,
) заемные средства,
) привлеченные средства.
При этом собственные средства предприятия выступают как
внутренние, а привлеченные и заемные средства - как внешние источники
финансирования инвестиций.
Ключевую роль в структуре собственных источников
финансирования инвестиционной деятельности предприятий играет прибыль. Прибыль
- главная форма чистого дохода предприятия. Она является обобщающим показателем
результатов коммерческой деятельности предприятий и находит отражение в отчете
о прибылях и убытках. После уплаты налогов и других платежей из прибыли в
бюджет у предприятий остается чистая прибыль. Часть ее предприятие вправе
направить на капитальные вложения производственного и социального характера, а
также природоохранные мероприятия. Эта часть прибыли может использоваться на
инвестиции в составе фонда накопления или другого фонда аналогичного
назначения, создаваемого на предприятиях. Порядок формирования и использования
средств этих фондов регулируется учредительными и другими внутренними
документами предприятия. Нераспределенная часть прибыли также может быть
направлена для капитализации, так как по своему экономическому содержанию она
является одной из форм резерва собственных средств предприятия, используемых
для развития [41, с. 352].
Как правило, часть прибыли, направляемая на инвестиционные
цели, аккумулируется в фонде накопления или других фондах аналогичного
назначения, создаваемых на предприятии.
Следующим по значению собственным источником финансирования
инвестиций являются амортизационные отчисления. Эти отчисления образуются на
предприятиях в результате переноса стоимости основных производственных фондов
на стоимость готовой продукции. Функционируя длительное время, основные
производственные фонды постепенно изнашиваются и переносят свою стоимость на
готовую продукцию частями. Поскольку основные производственные фонды не требуют
возмещения в натуральной форме после каждого воспроизводственного цикла,
предприятия осуществляют затраты на их восстановление по истечении нормативного
срока службы. Величина амортизационного фонда зависит от объема основных фондов
предприятия и используемых методов начисления. В хозяйственной практике
применяют метод равномерной (прямолинейной) и ускоренной амортизации.
Кроме прибыли и амортизационных отчислений источниками
финансирования инвестиций выступают: реинвестируемая путем продажи часть
основных фондов, иммобилизуемая в инвестиции часть излишних оборотных активов,
страховые возмещения убытков, вызванных потерей имущества, другие целевые
поступления.
Методы кредитования инвестиционных проектов - это способы
финансирования инвестиций, отражающие использование неспецифических источников
финансирования в увязке с хозяйственной ситуации фирмы, планами ее текущей
деятельности и развития. Наиболее распространенными методами финансирования
инвестиционных проектов являются следующие [31, с. 284]:
) получение кредитной линии по целевому кредиту с
обеспечением его доказательствами своей платежеспособности, имущественным
залогом, либо поручительством третьего лица,
) целевой кредит при предоставлении заимодателю в качестве
его главного аргумента в пользу своей кредитоспособности подробно разработанных
инновационного проекта и бизнес - плана по его реализации,
) размещение целевого (под специально рекламируемый
инвестиционный проект и его бизнес - план, с которым желающие могут
ознакомиться) выпуска акций, облигаций и иных ценных бумаг (в т.ч. опционов на
право последующей покупки акций, облигаций и т.п. по твердой, ранее
финансированной цене),
) учреждение под инвестиционный проект целевого («проектного»)
предприятия с привлечением сторонних пайщиков, акционеров. При этом типичным
является то, что инициатор проекта делает взнос в уставной фонд целевого
предприятия, покупает пакет его акций в счет передаваемого ноу-хау, которое
оценивается по согласованию с прочими учредителями, ведущими акционерами в
сумме, позволяющей при наличии значительного числа дополнительно привлекаемых
мелких (на небольшие суммы) сторонних пайщиков (акционеров) контролировать
предприятие и проект де факто, уточения мелких долей (в том числе при
недопущении концентрации на стороне управления этими долями, акциями, голосами
- опеки над ними), иметь контрольный пакет предприятия в процентах не от общего
уставного фонда или акционерного капитала, а от кворума, реально собирающегося
на заседаниях органа управления предприятием,
) обращение за инвестиционным кредитом для реализации
стартового проекта, составляющего лишь первый этап (этапы) основного, более
крупного проекта, и самофинансирование последующих его этапов из собственной
доли прибылей по стартовому проекту (либо использование любых других методов
финансирования на базе указанной доли и приобретенного за ее счет имущества).
Получение долгосрочной банковской ссуды имеет ряд преимуществ
перед выпуском облигаций, к ним, в частности, можно отнести [30, с. 165]:
более гибкую схему финансирования, так как условия
предоставления кредита при получении банковской ссуды могут динамично
изменяться в соответствии с потребностями заемщика;
возможность выигрыша на разнице процентных ставок;
отсутствие затрат, связанных с регистрацией и размещением
ценных бумаг.
Кредитный метод инвестирования предполагает наличие
взаимосвязи между фактической окупаемостью вложений и возвратом кредита в
сроки, определенные договором. Кредит позволяет сразу начать осуществление
инвестиционного проекта, т.к., по существу, означает перенос оплаты основной
суммы долга на определенный срок. Источником возврата инвестиционных кредитов и
уплаты процентов по ним должна выступать дополнительная прибыль от кредитуемого
мероприятия.
Привлечение капитала через рынок ценных бумаг играет важную
роль в рыночной экономике. Средства, полученные в результате эмиссии и
размещения ценных бумаг, являются одним из основных источников финансирования
инвестиций. Ценные бумаги, обращающиеся на финансовом рынке, по экономическому
содержанию подразделяются на два основных вида [7, с. 145]:
долевые, представляющие собой непосредственную долю их
владельца (держателя) в реальной собственности и делающие его совладельцем
последней (обычные и привилегированные акции акционерных обществ);
долговые, которые характеризуются обычно твердо фиксированной
процентной ставкой и обязательством эмитента выплатить сумму долга в
определенный срок (классическим примером долговых ценных бумаг являются облигации).
В соответствии с критерием такого разделения финансовые
средства, полученные в результате эмиссии ценных бумаг, выступают как
привлеченные (по долевым ценным бумагам) и заемные (по долговым
обязательствам).
Средства от эмиссии акций являются одним из наиболее широко
используемых для финансирования инвестиций источников, который активно
применяется акционерными обществами для привлечения акционерного капитала.
Увеличение собственного капитала через выпуск акций возможно при преобразовании
фирмы, испытывающей потребность в финансовых ресурсах, в акционерное общество
или при выпуске уже функционирующим акционерным обществом новых акций, которые
могут размещаться как среди прежних, так и среди новых акционеров. В последнем
случае прежним акционерам предоставляются, как правило, преимущественные права
на приобретение новых акций в той пропорции, которая соответствует их доле в
уже существующем акционерном капитале, прежде чем новые акции будут предложены
сторонним инвесторам. Такая практика позволяет акционерам поддерживать свою
долю в капитале на определенном уровне, сохраняя контроль над деятельностью
акционерного общества. При недостаточности средств для покупки дополнительных
акций у прежних акционеров акции размещаются среди новых владельцев, что объективно
уменьшает долю акций, сосредоточенных в руках у имеющихся акционеров, и
соответственно степень их участия в капитале акционерного общества [31, с.
286].
Следует отметить, что расширение собственного капитала может
происходить и другим способом - путем капитализации части нераспределенной
прибыли. При этом способе увеличения собственного капитала руководство
акционерного общества с согласия собрания акционеров принимает решение не
выплачивать определенную долю нераспределенной прибыли держателям обычных акций
в виде дивидендов, а инвестировать ее в различные виды деятельности. Оставляя
прибыль в распоряжении акционерного общества, акционеры - собственники акций
фактически инвестируют ее в ожидании будущего роста рыночной стоимости акций и
получения возросшего дохода по ним.
Удержание прибыли является более простым и дешевым способом
пополнения акционерного капитала, поскольку в отличие от эмиссии акций оно не
связано с издержками на их размещение и сбыт. Вместе с тем следует учитывать,
что практика реинвестирования прибыли, затрудняя увеличение текущих дивидендов,
может оказать неблагоприятное воздействие на курс акций, поскольку
непрерывность дивидендных выплат (желательно с возрастанием их динамики)
выступает как важнейший фактор поддержания курса акций. Известно, что рост
рыночной стоимости акций определяется повышением дохода по ним, поэтому выплата
более высоких дивидендов увеличивает доходы акционеров и облегчает наращивание
капитала с помощью продажи дополнительных акций [18, с. 334].
При удержании прибыли средства должны быть инвестированы так,
чтобы принести высокую норму дохода и компенсировать издержки уплаты
дивидендов. Аналогично при продаже новых акций средства, полученные от их
реализации, должны быть инвестированы таким образом, чтобы обеспечить доход,
достаточный для поддержания того же дивиденда на акцию и того же курса акций,
которые существовали при прежнем объеме акционерного капитала.
В целом следует учитывать, что акционирование как метод
инвестирования эффективно лишь для конкурентоспособных предприятий. Эмиссия и
размещение акций связаны с существенными затратами. Кроме того, существует
опасность обесценения предшествующих выпусков акций, утраты контрольного пакета
акций, поглощения акционерного общества другой фирмой.
Одним из источников финансирования инвестиционной
деятельности может быть эмиссия облигаций, направленная на привлечение временно
свободных денежных средств населения и коммерческих структур. Срок
облигационного займа, как правило, должен быть не менее продолжительным, чем
средний срок осуществления инвестиционного проекта, с тем чтобы погашение
обязательств по облигационному долгу происходило после получения отдачи от
вложенных средств.
Привлекательность облигаций для потенциальных инвесторов во
многом определяется условиями их размещения. Условия облигационного займа
включают: сумму и срок займа, число выпущенных облигаций, уровень процентной
ставки, условия процентных выплат, дату, формы и порядок погашения, оговорки по
вопросам конверсии облигаций, защиты интересов кредиторов и др. Предлагаемые
условия должны быть достаточно выгодными для инвесторов и обеспечивать
ликвидность облигаций, в ряде случаев - возможность возврата средств по ним до
истечения определенного при эмиссии облигаций срока путем купли-продажи на фондовых
биржах или через инвестиционные институты внебиржевого рынка.
Одним из эффективных методов инвестирования на предприятиях
является приобретение основных средств в лизинг. Сущность лизинга состоит в
следующем. Если предприятие не имеет свободных средств на покупку оборудования,
оно может обратиться в лизинговую компанию. В соответствии с заключенным
договором лизинговая компания полностью оплачивает производителю (или
владельцу) оборудования его стоимость и сдает в аренду предприятию-покупателю с
правом выкупа (при финансовом лизинге) в конце аренды. Таким образом,
предприятие получает долгосрочную ссуду от лизинговой фирмы, которая постепенно
погашается в результате отнесения платежей по лизингу на себестоимость
продукции. Лизинг позволяет предприятию получить оборудование, начать его
эксплуатацию, не отвлекая средства от оборота. В рыночной экономике
использование лизинга составляет 25-30% от общей суммы заемных средств
предприятий [14, с. 247]. Принятие решения в отношении лизинга базируется на соотношении
величины лизингового платежа с платой за использование долгосрочного кредита,
возможностью получения которого располагает предприятие.
Франчайзинг как способ мобилизации капитала характеризуется
возможностью быстрого поступления денежных средств при незначительном риске.
Франчайзинг представляет собой передачу или продажу фирмой, широко известной на
рынке, лицензии на ведение бизнеса под своим товарным знаком другой фирме за
определенное вознаграждение.
Общая сумма инвестиций, привлекаемых посредством
франчайзинга, существенно превышает размеры капиталовложений, мобилизуемых
традиционными способами. Источником ресурсов при франчайзинге является капитал
франчайзодержателей. Для инвесторов (франчайзодержателей) преимущества
франчайзинга состоят в предоставлении им возможности стать самостоятельными
предпринимателями, организовать ведение бизнеса под признанным товарным знаком,
использовать апробированные формы предпринимательства [18, с. 363]. Обычно
франчайзодержатели формируют свой капитал за счет собственных ресурсов, а также
банковских кредитов и средств, получаемых от залога имущества.
Государственное финансирование осуществляется чаще всего в
рамках государственных программ поддержки предпринимательства на федеральном и
региональном уровнях. Выделяют четыре основных вида государственного
финансирования инвестиций: дотации и гранты, долевое участие, прямое (целевое)
кредитование, предоставление гарантий по кредитам.
При финансировании путем предоставления грантов и дотаций
денежные средства обычно выделяются под конкретный проект на безвозмездной
основе. Долевое участие государства предполагает, что оно через свои структуры
выступает в качестве долевого вкладчика, остальная часть необходимых
инвестиционных вложений осуществляется коммерческими структурами. Прямые
(целевые) кредиты предоставляются, как правило, конкретному предприятию (или
под определенный инвестиционный проект) на льготной основе. Вместе с тем
государство устанавливает величину процентных ставок, срок и порядок возврата
кредита. При предоставлении гарантий по кредитам предприятие получает кредит от
коммерческой структуры, а правительство через определенные институты выступает
гарантом возврата данного кредита, выплачивая сумму кредита в случае
невыполнения своих обязательств предприятием [3, с. 65].
Все предоставляемые в распоряжение инвестиционного проекта
средства обладают стоимостью, т.е. за использование всех финансовых ресурсов
надо платить вне зависимости от источника их получения. Плата за использование
финансовых ресурсов производится лицу, предоставившему эти средства - инвестору
в виде дивидендов для собственника предприятия (акционера), процентных
отчислений для кредитора, который предоставил денежные ресурсы на определенное
время [28, с. 225]. В последнем случае предусматривается возврат суммы
инвестированных средств.
Учет и анализ платы за пользование финансовыми ресурсами
является одним из основных при оценке экономической эффективности инвестиций
[32, с. 83]. Необходимо отметить две принципиально важные особенности платы за
собственные финансовые ресурсы предприятия, накопленные предприятием в процессе
своей деятельности, и привлеченные финансовые ресурсы, которые вложены в
предприятие в виде финансовых инструментов собственности (акций). На первый
взгляд может оказаться, что, если предприятие уже располагает некоторыми
финансовыми ресурсами, то никому не надо платить за эти ресурсы. Это
неправильная точка зрения. Дело в том, что, имея финансовые ресурсы,
предприятие всегда располагает возможностью инвестировать их, например, в
какие-либо финансовые инструменты, и тем самым заработать на этом. Поэтому,
минимальная стоимость этих ресурсов есть «заработок» предприятия от
альтернативного способа вложения имеющихся в его распоряжении финансовых
ресурсов.
Теперь рассмотрим плату собственникам предприятия. Эта плата
не ограничивается дивидендами. Дело в том, что прибыль предприятия, оставшаяся
в распоряжении собственников (после уплаты вознаграждения кредитному инвестору)
распределяется на две части: первая часть выплачивается в виде дивидендов, а
вторая часть реинвестируется в предприятие. И первое, и второе принадлежит, на
самом деле, собственникам предприятия.
Поэтому при исчислении стоимости собственного капитала
необходимо руководствоваться следующими соображениями: вся денежная прибыль
предприятия (чистый денежный поток), оставшаяся после уплаты кредитору
причитающихся ему сумм, есть плата совокупному собственнику за предоставленные
инвестиции, а не ограничиваться только дивидендными выплатами акционерам.
Финансовый механизм мобилизации состоит в том, что часть оборотных активов
предприятия изымается из основной деятельности (т.к. эта деятельность может
быть замедлена в виду капитального строительства) и пускается на финансирование
капитального строительства [33, с. 127].
Основное отличие между собственными и заемными финансовыми
ресурсами заключается в том, что процентные платежи вычитаются до налогов, т.е.
включаются в валовые издержки, в то время как дивиденды выплачиваются из
прибыли. Это обстоятельство служит источником дополнительной выгоды для
предприятия, суть которой объясняется с помощью следующего простого примера.
Кредитное финансирование более выгодно для предприятия, чем
финансирование с помощью собственных финансовых средств. В то же время,
кредитное финансирование для предприятия является более рискованным, так как
проценты за кредит и основную часть долга ему нужно возвращать в любых
условиях, вне зависимости от успеха деятельности предприятия. Ясно, что для
инвестора такая форма вложения денег является менее рискованной, поскольку он в
соответствии с законодательством, в крайнем случае, может получить свои деньги
через суд. Предприятие, стремясь уменьшить свой риск, выпускает финансовые
инструменты собственности (акции). Но как привлечь инвестора вкладывать деньги в
эти инструменты, если долговые обязательства для него менее рискованные?
Единственный путь - привлекать инвестора, обещая ему, а затем и обеспечивая,
более высокую плату за привлечение принадлежащих ему финансовых ресурсов.
Приведенные рассуждения можно представить с помощью следующих матриц,
отражающих соображения риска и прибыльности для двух сторон инвестиционного
процесса.
|
Финансовые
средства
|
|
Собственные
|
Заемные
|
|
Инвестор
|
более прибыльно
|
менее прибыльно
|
|
Предприятие
|
менее прибыльно
|
более прибыльно
|
Матрица прибыльности
|
Финансовые
средства
|
|
Собственные
|
Заемные
|
|
Инвестор
|
более
рискованно
|
менее
рискованно
|
|
Предприятие
|
менее
рискованно
|
более
рискованно
|
Матрица риска
Если сопоставить обе матрицы, то можно получить «золотое
правило» инвестирования: чем больше риск инвестирования, тем выше прибыльность.
Как правило, структура источников финансирования инвестиций
изменяется в зависимости от фазы делового цикла: доля внутренних источников
снижается в периоды оживления и подъема, когда повышается инвестиционная
активность, и растет в периоды экономического спада, что связано с сокращением
масштабов инвестирования, сокращением предложения денег, удорожанием кредита.
.3
Показатели эффективности инвестиционных проектов
Эффективность инвестиционного проекта - категория, отражающая
соответствие проекта, порождающего данный инвестиционный проект, целям и
интересам его участников. Осуществление эффективных проектов увеличивает
поступающий в распоряжение общества внутренний валовой продукт (ВВП), который
затем делится между участвующими в проекте субъектами (фирмами (акционерами и
работниками), банками, бюджетами разных уровней и пр.). Поступлениями и
затратами этих субъектов определяются различные виды эффективности
инвестиционного проекта.
Рекомендуется оценивать следующие виды эффективности [29, с.
76]:
. Эффективность проекта в целом оценивается с целью
определения потенциальной привлекательности проекта для возможных участников и
поисков источников финансирования. Она включает в себя:
общественную (социально - экономическую) эффективность
проекта;
коммерческую эффективность проекта.
Показатели общественной эффективности учитывают социально -
экономические последствия осуществления инвестиционного проекта для общества в
целом, в том числе как непосредственные результаты и затраты проекта, так и
«внешние»: затраты и результаты в смежных секторах экономики, экологические,
социальные и иные внеэкономические эффекты. «Внешние» эффекты рекомендуется
учитывать в количественной форме при наличии соответствующих нормативных и
методических материалов. В отдельных случаях, когда эти эффекты весьма
существенны, при отсутствии указанных документов допускается использование
оценок независимых квалифицированных экспертов. Если «внешние» эффекты не
допускают количественного учета, следует провести качественную оценку их
влияния. Эти положения относятся также к расчетам региональной эффективности.
Показатели коммерческой эффективности проекта учитывают
финансовые последствия его осуществления для участника, реализующего инвестиционного
проекта, в предположении, что он производит все необходимые для реализации
проекта затраты и пользуется всеми его результатами.
Показатели эффективности проекта в целом характеризуют с
экономической точки зрения технические, технологические и организационные
проектные решения.
. Эффективность участия в проекте определяется с целью
проверки реализуемости инвестиционного проекта и заинтересованности в нем всех
его участников. Эффективность участия в проекте включает [29, с. 81]:
эффективность участия предприятий в проекте (эффективность
инвестиционного проекта для предприятий - участников);
эффективность инвестирования в акции предприятия
(эффективность для акционеров акционерных предприятий - участников
инвестиционного проекта);
эффективность участия в проекте структур более высокого
уровня по отношению к предприятиям - участникам инвестиционного проекта, в том
числе: региональную и народнохозяйственную эффективность - для отдельных
регионов и народного хозяйства РФ; отраслевую эффективность - для отдельных
отраслей народного хозяйства, финансово-промышленных групп, объединений
предприятий и холдинговых структур; бюджетную эффективность инвестиционного
проекта (эффективность участия государства в проекте с точки зрения расходов и
доходов бюджетов всех уровней).
Международная практика оценки эффективности инвестиций
существенно базируется на концепции временной стоимости денег и основана на
следующих принципах [26, с. 172]:
. Оценка эффективности использования инвестируемого капитала
производится путем сопоставления денежного потока (cash flow), который
формируется в процессе реализации инвестиционного проекта и исходной
инвестиции. Проект признается эффективным, если обеспечивается возврат исходной
суммы инвестиций и требуемая доходность для инвесторов, предоставивших капитал.
. Инвестируемый капитал равно как и денежный поток приводится
к настоящему времени или к определенному расчетному году (который как правило
предшествует началу реализации проекта).
. Процесс дисконтирования капитальных вложений и денежных
потоков производится по различным ставкам дисконта, которые определяются в
зависимости от особенностей инвестиционных проектов. При определении ставки
дисконта учитываются структура инвестиций и стоимость отдельных составляющих
капитала.
Суть всех методов оценки базируется на следующей простой
схеме: исходные инвестиции при реализации какого-либо проекта генерируют
денежный поток CF1, CF2,…, CFn. Инвестиции
признаются эффективными, если этот поток достаточен для возврата исходной суммы
капитальных вложений и обеспечения требуемой отдачи на вложенный капитал.
Наиболее распространены следующие показатели эффективности
капитальных вложений:
чистый доход (ЧД) и простая норма прибыли, return on investments (ROI);
чистый дисконтированный доход (ЧДД) или чистая приведенная
(или текущая) стоимость, net present value (NPV));
индекс доходности или индекс прибыльности, profitability
(PI);
срок окупаемости или срок возврата единовременных затрат
(РВ);
внутренняя норма дохода или внутренняя норма прибыли,
рентабельности, intemal rate of retum (IRR).
Оценка предстоящих затрат и результатов при определении
эффективности инвестиционного проекта осуществляется в пределах расчетного
периода (горизонт расчета, который измеряется количеством шагов расчета). Шагом
расчета при определении показателей эффективности в пределах расчетного периода
могут быть месяц, квартал или год.
Затраты, осуществляемые участниками, подразделяются на
первоначальные, текущие и ликвидационные, которые осуществляются соответственно
на стадиях строительной, функционирования и ликвидационной.
На стадии технико-экономического обоснования (ТЭО)
инвестиционного проекта обязательным является расчет экономической
эффективности в прогнозных и расчетных ценах. Прогнозная цена Цt
продукции или ресурса в конце t-го шага расчета определяется по формуле [33, с.
164]:
Цt = Цб J (t, tн) (1)
где Цб - базисная цена продукции или ресурса;(t, tн)
- коэффициент (индекс) изменения цен продукции или ресурсов соответствующей
группы в конце t-го шага по отношению к начальному моменту расчета tн
(в котором известны цены).
Расчетные цены используются для вычисления интегральных
показателей эффективности, если текущие значения затрат и результатов
выражаются в прогнозных ценах. Это необходимо, чтобы обеспечить сравнимость
результатов, полученных при разных уровнях инфляции. Расчетные цены получаются
путем введения дефилирующего множителя, соответствующего индексу общей инфляции
При разработке и сравнительной оценке нескольких вариантов
инвестиционного проекта необходимо учитывать влияние изменения объемов продаж
на рыночную цену продукции и цены потребляемых ресурсов.
При оценке эффективности инвестиционного проекта соизмерение
разновременных показателей осуществляется путем приведения (дисконтирования) их
к ценности в начальном периоде. Для приведения разновременных затрат,
результатов и эффектов используется норма дисконта (Е), равная приемлемой для
инвестора норме дохода на капитал.
Технически приведение к базисному моменту времени затрат,
результатов и эффектов, имеющих место на t-м шаге расчета реализации проекта,
удобно производить путем их умножения на коэффициент дисконтирования
a t,
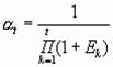
определяемый для постоянной нормы дисконта Е, как [30, с. 213]:
(2)
где t - номер шага расчета, t = 0,1,2,… Т, (Т - горизонт
расчета).
Если же норма дисконта меняется во времени и на t-м шаге
расчета равна Еt, то коэффициент дисконтирования равен [30, с. 214]:
и
при t > 0 (3)
Для расчетов эффективности необходимо подготовить информацию
о внешней среде. Показатели внешней среды характеризуют макроэкономические
параметры функционирования проекта, а именно: оптовые цены на оборудование,
запчасти, материалы; банковские процентные ставки; общую динамику инфляции на
финансовом рынке; темпы инфляции по отдельным элементам доходов и затрат
проекта; учетную ставку Центрального банка РФ; периоды начисления процентов по
кредитам; курсы обмена валют.
Рассмотрим основные показатели, используемые при оценке
эффективности инвестиционных проектов.
Чистый доход: если принять, что притоки - достигнутые
результаты реализации проекта (R), а оттоки - затраты (З), то разность этих
величин будет составлять экономический эффект или чистый доход. Таким образом,
в изначальном виде экономический эффект может быть выражен следующей формулой
[8, с. 25]:
(4)
Здесь t указывает на принадлежность потоков денежных средств
к конкретному t-му шагу расчета.
Простая норма прибыли - показатель, аналогичный показателю
рентабельности капитала, однако ее основное отличие состоит в том, что простая
норма прибыли рассчитывается как отношение годовой чистой прибыли (Рr) к общему объему
инвестиционных затрат (I):
ROI = Pr / I (5)
В данном случае сумма чистой прибыли может не
корректироваться на величину процентных выплат.
Экономически смысл простой нормы прибыли заключается в оценке
того, какая часть инвестиционных затрат возмещается (возвращается) в виде
прибыли в течение одного интервала планирования. При сравнении расчетной
величины простой нормы прибыли с минимальным или средним уровнем доходности
инвестор может сделать предварительные выводы о целесообразности данной инвестиции,
а также о том, следует ли продолжать проведение анализа инвестиционного
проекта. Кроме того, на этом этапе возможна и примерная оценка срока
окупаемости данного проекта.
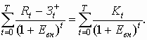
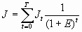
Чистый дисконтированный доход (ЧДД) определяется как сумма
текущих эффектов за весь расчетный период, приведенная к начальному шагу, или
как превышение интегральных результатов над интегральными затратами.
Если в течение расчетного периода не происходит инфляционного
изменения цен или расчет производится в базовых ценах, то величина ЧДД для
постоянной нормы дисконта вычисляется по формуле [8, с. 25]:
(6)
где Rt - результаты, достигаемые на t-ом шаге расчета;
Зt - затраты, осуществляемые на том же шаге;
Т - горизонт расчета (равный номеру шага расчета, на котором
производится ликвидация объекта).
Если ЧДД инвестиционного проекта положителен, проект является
эффективным (при данной норме дисконта) и может рассматриваться вопрос о его
принятии. Чем больше ЧДД, тем эффективнее проект.
На практике часто пользуются модифицированной формулой для
определения ЧДД. Для этого из состава Зt исключают капитальные
вложения и обозначают через [8, с. 25]:
(7)
где Кt - капиталовложения на t- м шаге;
J - сумма дисконтированных капиталовложений
Тогда ЧДД выражает разницу между суммой приведенных эффектов
и приведенной к тому же моменту времени величиной капитальных вложений:
(8)
где
- затраты на t-м шаге при условии, что в них не
входят капиталовложения.
Индекс доходности (ИД) представляет собой отношение суммы
приведенных эффектов к величине капиталовложений [8, с. 26]:
(9)
Индекс доходности тесно связан с ЧДД. Он строится из тех же
элементов, и его значение связано со значением ЧДД: если ЧДД положителен, то ИД
> 1 и наоборот. Если ИД >1, проект эффективен, если ИД < 1 -
неэффективен.
Внутренняя норма доходности (ВНД) представляет собой ту норму
дисконта (Евн), при которой величина приведенных эффектов равна
приведенным капиталовложениям, т.е. ЧДД = 0. Иными словами Евн (ВНД)
является решением уравнения [8, с. 26]:
(10)
Экономическую природу этого показателя можно пояснить с
помощью графика зависимости ЧДД от изменения нормы дохода (рисунок 4). На
графике показано, что с ростом требований к эффективности инвестиций (через Е)
величина ЧДД уменьшается, достигая нулевого значения при пересечении с осью
абсцисс в точке А. Внутренняя норма дохода характеризует нижний гарантированный
уровень доходности инвестиций, генерируемый конкретным проектом, при условии
полного покрытия всех расходов по проекту за счет доходов.
Зависимость ЧДД от изменений нормы дохода
Если расчет ЧДД инвестиционного проекта дает ответ на вопрос,
является он эффективным или нет при некоторой заданной норме дисконта (Е), то ВНД
проекта определяется в процессе расчета и затем сравнивается с требуемой
инвестором нормой дохода на вкладываемый капитал. В случае, когда ВНД равна или
больше требуемой инвестором нормы дохода на капитал, инвестиции в данный
инвестиционный проект оправданы, и может рассматриваться вопрос о его принятии.
Если сравнение альтернативных инвестиционных проектов по ЧДД и ВНД приводят к
противоположным результатам, предпочтение следует отдавать ЧДД.
Срок окупаемости - минимальный временной интервал (от начала осуществления
проекта), за пределами которого интегральный эффект становится и в дальнейшем
остается неотрицательным. Иными словами, это - период (измеряемый в месяцах,
кварталах, годах), начиная с которого первоначальные вложения и другие затраты,
связанные с инвестиционным проектом, покрываются суммарными результатами его
осуществления. Более наглядно это видно из графика жизненного цикла инвестиций.
Жизненный цикл инвестиций: I этап - инвестирование
производственных затрат; II этап - возврат вложенного капитала; III этап -
получение доходов
Срок окупаемости рекомендуется определять с использованием
дисконтирования.
Наряду с перечисленными критериями в ряде случаев возможно
использование и ряда других: интегральной эффективности затрат, точки
безубыточности, простой нормы прибыли, капиталоотдачи и т.д. Для применения
каждого из них необходимо ясное представление о том, какой вопрос экономической
оценки проекта решается с его использованием и как осуществляется выбор решения.
Ни один из перечисленных критериев сам по себе не является
достаточным для принятия проекта. Решение об инвестировании средств в проект
должно приниматься с учетом значений всех перечисленных критериев и интересов
всех участников инвестиционного проекта. Важную роль в этом решении должна
играть также структура и распределение во времени капитала, привлекаемого для
осуществления проекта, а также другие факторы, некоторые из которых поддаются
только содержательному (а не формальному) учету.
Таким образом, проблема оценки экономической эффективности
инвестиционного проекта заключается в определении уровня его доходности в
абсолютном и относительном выражении (т.е. в расчете на единицу инвестиционных
затрат, капитала), что обычно характеризуется как норма дохода. При оценке
эффективности инвестиционного проекта соизмерение разновременных показателей
осуществляется путем дисконтирования их к ценности в начальном периоде. Для
приведения разновременных затрат, результатов и эффектов используется норма
дисконта, равная приемлемой для инвестора норме дохода на капитал. Оценку
эффективности инвестиций проводят по системе взаимосвязанных показателей:
чистый дисконтированный доход, индекс доходности, срок окупаемости инвестиций,
внутренняя норма дохода.
2.
Оценка эффективности инвестиционного проекта ООО «Юпитер»
.1
Анализ деятельности предприятия, выявление проблем и оценка перспектив его
развития
Стратегическим курсом стран с рыночной экономикой остается
создание эффективной и социально ориентированной экономики. Особенно это
касается отраслей жизнеобеспечения, среди которых выделяется строительный
комплекс. Развитие строительства является важным атрибутом рыночной экономики,
свидетельствующим об экономическом рост и социальном благополучии в стране
[45].
В настоящее время строительная отрасль России в целом
переживает непростой период. Волнующих проблем в отрасли немало. Одна из них,
которая существенно влияет на экономику строительства - отсталость,
изношенность технической основы строительной базы. Рост в отрасли идет только
за счет увеличения жилья, в то время как строительство объектов нежилого
назначения характеризуется падением. Сегодня нет средств у большинства
российских заводов и фабрик, что бы строить как в советское время. Одна из
характеристик отрасли в начале 2000-х гг. замедление роста инвестиций.
Отсутствие инвестиций исключает рост производства и развития. В то же время
основными целями инвестирования являются замена изношенной техники и
оборудования, увеличение производственных мощностей, автоматизация и
механизация существующих производственных технологий, охрана окружающей среды,
снижение себестоимости продукции, экономия энергоресурсов.
Общество с ограниченной ответственностью «Юпитер» создано
решением учредителей в 2003 г. на основании Федерального закона «Об обществах с
ограниченной ответственностью» и действующего гражданского законодательства
Российской Федерации.
Стоимость уставного капитала фирмы на 31.12.2011 г. составила
1820 тыс. руб. Также предприятием сформирован добавочный капитал в сумме 1870
тыс. руб.
ООО «Юпитер» выполняет строительно-монтажные работы по
договорам подряда на капитальное строительство с заказчиками, застройщиками по
договорной цене.
На настоящий момент собственная база компании составляет
около 1500 кв. м (цех, склад, гараж, административный модуль). ООО «Юпитер»
имеет землеройные механизмы, грузоподъемные механизмы, механизмы для
приготовления раствора, сварочный пост, компрессор, транспорт, механизированные
инструменты и оборудование, нормативную документацию.
Основными заказчиками работ ООО «Юпитер» выступают:
различные предприятия и организации Приморского края;
население края.
Общество в порядке, предусмотренном действующим
законодательством, осуществляет следующие виды деятельности:
ремонт, строительство, реставрация, реконструкция,
проектирование зданий, сооружений, жилых и нежилых помещений, оборудования и
другого имущества;
монтажные и пусконаладочные работы;
строительство, проектирование, приобретение в собственность,
продажа, передача в безвозмездное пользование или аренду и эксплуатация зданий,
сооружений, оборудования и другого имущества, относящегося к основным фондам;
снабженческо-сбытовая деятельность;
торгово-закупочная, коммерческая, посредническая,
консультационная деятельность;
прочие виды деятельности.
Оценка технико-экономических показателей ООО «Юпитер» в
2009-2011 гг.
|
Наименование
показателя
|
2009
|
2010
|
2011
|
Темп прироста,
% 2011 к
|
|
|
|
|
2009
|
2010
|
|
Выручка от
реализации, тыс. руб.
|
31095
|
32348
|
32741
|
5,3
|
1,2
|
|
Себестоимость
продукции, работ, услуг, тыс. руб.
|
27363
|
28539
|
29180
|
6,6
|
2,2
|
|
Прибыль от
продаж, тыс. руб.
|
3732
|
3809
|
3561
|
-4,6
|
-6,5
|
|
Затраты на 1
руб. реализованной продукции, руб. (себ/ выруч)
|
0,880
|
0,882
|
0,891
|
1,3
|
1,0
|
|
Среднесписочная
численность работающих, чел.
|
88
|
89
|
89
|
1,1
|
0,0
|
|
Среднегодовая
выработка 1 работающего, тыс. руб./чел. (выр / среднесп числ)
|
353,4
|
363,5
|
367,9
|
4,1
|
1,2
|
|
Фонд оплаты
труда, тыс. руб.
|
9316
|
9488
|
9737
|
4,5
|
2,6
|
|
Среднемесячная
оплата труда, руб. (ФОТ/ среднеспис числ)
|
8822,0
|
8883,9
|
9117,0
|
3,3
|
2,6
|
|
Среднегодовая
стоимость ОПФ, тыс. руб.
|
3734
|
3921
|
4111
|
10,1
|
4,8
|
|
Фондоотдача,
руб./руб. (Выручка /Сред ОПФ)
|
8,3
|
8,2
|
8,0
|
-4,4
|
-3,5
|
|
Рентабельность
производственной деятельности, %
|
13,6
|
13,3
|
12,2
|
-10,5
|
-8,6
|
|
Рентабельность
продаж, %
|
12,0
|
11,8
|
10,9
|
-9,4
|
-7,6
|
Объем реализации продукции, работ, услуг является конечным
результатом работы предприятия. Произведенные работы и услуги ООО «Юпитер»
должны отвечать общественным потребностям и одновременно удовлетворять
требованиям конкретных потребителей. Выручка-нетто от реализации продукции, работ,
услуг возросла за анализируемый период на 1,2% и составила в 2011 г. 327416
тыс. руб. В 2010-2011 гг. предприятием было больше работ и оказано больше
услуг. В связи с этим с 2009 г. выросла себестоимость работ и услуг компании.
Кроме того, растут цены на сырье и материалы, что также оказывает отрицательное
влияние на показатели себестоимости работ. За 2009-2011 гг. себестоимость
производства работ и услуг ООО «Юпитер» возросла на 2,2%. Опережающие темпы
роста затрат по сравнению с темпами роста выручки от производства работ и
оказания услуг свидетельствуют о недостаточно эффективном управлении затратами
на предприятии. В связи со значительным ростом затрат затраты на один рубль
работ, услуг возросли с 88 коп. на каждый рубль произведенных работ в 2009 г.
до 89,1 коп. в 2011 г., что является отрицательной характеристикой основной
деятельности ООО «Юпитер».
За анализируемый период времени среднегодовая выработка на
одного работающего на ООО «Юпитер» значительно возросла: в 2011 г. она
составила 367,9 тыс. руб./чел. по сравнению с 353,4 руб./чел. в 2009 г. - на
1,2%, что было связано с ростом объемов реализации и увеличением персонала
компании, а также более качественным его использованием.
Отрицательными факторами в основной деятельности ООО «Юпитер»
является снижение показателей фондоотдачи и рентабельности. Так, за счет
снижения прибыли и роста стоимости основных фондов фондоотдача снизилась на
3,5% в 2011 г. по сравнению с началом анализируемого периода.
Как свидетельствуют данные, показатели рентабельности на
предприятии за анализируемый период также снизились, что было связано со
снижением объема прибыли от продаж: показатель рентабельности основной
деятельности составил в 2011 г. 12,2%, рентабельность продаж - 10,9%. В тоже
время такие показатели рентабельности нормальны для строительной отрасли, т.к.
обороты компании большие.
Как было установлено выше отрицательное влияние на многие
показатели деятельности ООО «Юпитер» оказал рост затрат, поэтому их анализ
становится актуальным. Анализ состава и динамики показателей себестоимости
работ и услуг приведен в таблице.
Состав и динамика затрат ООО «Юпитер» в 2009-2011 гг.
|
Элемент затрат
|
Состав затрат,
тыс. руб.
|
Динамика 2011 к
2009
|
|
2009
|
2010
|
2011
|
абс. прирост
|
темп прироста,
%
|
|
Материальные
затраты
|
13454
|
14265
|
14614
|
1160
|
8,6
|
|
Затраты на
оплату труда
|
9316
|
9488
|
9737
|
421
|
4,5
|
|
Отчисления на
социальные нужды
|
3167
|
3226
|
3311
|
143
|
4,5
|
|
Амортизация
|
505
|
622
|
595
|
90
|
17,8
|
|
Прочие затраты
|
921
|
938
|
923
|
2
|
0,2
|
|
Итого
себестоимость
|
27363
|
28539
|
29180
|
1816
|
6,6
|
Анализ данных таблицы 2 позволяет сделать следующие выводы о
составе затрат ООО «Юпитер» в 2009-2011 гг. За анализируемый период стоимость
затрат предприятия возросла на 1816 тыс. руб. (+6,6%), в т.ч. увеличилась
стоимость материальных затрата на 1160 тыс. руб. (+8,6%), что было связано с
увеличение объемов работ, а также затрат на оплату труда - на 421 тыс. руб. (на
4,5%).
В абсолютном выражении сумма отчислений социальных взносов
возросла в 2011 г. по сравнению с 2009 г. на 143 тыс. руб. за счет роста
расходов на оплату труда на предприятии. Возросла сумма амортизации - на 90
тыс. руб. (+17,8%) за счет ввода в действие новых основных фондов.
В структуре затрат ООО «Юпитер» наибольший удельный вес
занимают материальные затраты - около 51% на протяжении 2009-2011 гг., затем
идут затраты на оплату труда с отчислениями - около 45% всех затрат
предприятия. Т.е. производство материало- и трудоемкое. Удельный вес
амортизационных отчислений в составе затрат предприятия занимает около 2,2% в
2010 г., в 2011 г. его уровень снизился до 2%. Прочие затраты формируют
себестоимость продукции, работ и услуг ООО «Юпитер» на 3,3% в 2010 г., их доля
снизилась до 3,2% в 2011 г.
В процессе экономического анализа установлено, что в компании
снизилась эффективность использования основных средств, поэтому необходим
детальный анализ показателей эффективности использования основного капитала.
Для обобщающей характеристики эффективности использования основных средств
служат показатели фондоотдачи, фондоемкости и фондорентабельности (таблица 3)
[34, с. 165]. Как видно из данных таблицы 3, фондоотдача основных
производственных фондов снизилась с 8,33 в 2009 г. до 7,96 руб. в 2011 г., что
свидетельствует о недостаточно эффективном их использовании. О снижении
эффективности использовании основных фондов свидетельствует и рост показателя
фондоемкости, и снижение показателя фондорентабельности.
Характеристика состояния основных фондов ООО «Юпитер» в
2009-2011 гг.
|
Показатели
|
2009
|
2010
|
2011
|
Отклонение от
2009 (+,-)
|
|
|
|
|
2010
|
2011
|
|
Выручка от
продаж, тыс. руб.
|
31095
|
32348
|
32741
|
1253
|
|
Прибыль до
налогообложения, тыс. руб.
|
2776
|
3080
|
2781
|
305
|
6
|
|
Среднегодовая
стоимость основных производственных фондов, тыс. руб.
|
3734
|
3921
|
4111
|
187
|
377
|
|
Фондоотдача,
руб./руб.
|
8,33
|
8,25
|
7,96
|
-0,08
|
-0,36
|
|
Фондоемкость,
руб./руб.
|
0,12
|
0,12
|
0,13
|
0,00
|
0,01
|
|
Фондорентабельность,
%
|
74,3
|
78,6
|
67,7
|
4,2
|
-6,7
|
Далее проведем анализ движения и технического состояния
основных фондов. Анализ движения и технического состояния основных фондов
проводится на основании следующих коэффициентов: коэффициент обновления
основных фондов; коэффициент выбытия; коэффициент прироста; коэффициент износа
[34, с. 167]. Анализ движения и технического состояния основных фондов
рассматриваемого предприятия представлен в таблице.
Характеристика движения и технического состояния основных
фондов ООО «Юпитер» в 2009-2011 г.
|
Показатели
|
2009
|
2010
|
2011
|
|
Первоначальная
стоимость основных фондов, тыс. руб.
|
5704
|
6385
|
7163
|
|
Амортизация
основных фондов, тыс. руб.
|
2473
|
3095
|
3690
|
|
Остаточная
стоимость основных фондов на начало года, тыс. руб.
|
3597
|
3871
|
3971
|
|
Остаточная
стоимость основных фондов на конец года, тыс. руб.
|
3871
|
3971
|
4251
|
|
Поступления
основных фондов, тыс. руб.
|
640
|
681
|
778
|
|
Выбытие
основных фондов, тыс. руб.
|
597
|
726
|
701
|
|
Коэффициент
обновления, %
|
16,5
|
17,1
|
18,3
|
|
Коэффициент
выбытия, %
|
16,6
|
18,8
|
17,7
|
|
Коэффициент
прироста, %
|
-0,1
|
-1,6
|
0,6
|
|
Коэффициент
(процент) износа, %
|
43,4
|
48,5
|
51,5
|
Из проведенного анализа можно сделать вывод, что на
предприятии ООО «Юпитер» наблюдается значительный износ основных средств. Техническое
состояние основных фондов является недостаточным для обеспечения основной
деятельности. Выбытие основных фондов опережает их обновление в 2009-2010 гг.,
в 2011 г. поступления основных фондов опередило их выбытие, в связи с чем
коэффициент их прироста составил 0,6%.
В структуре основных фондов ООО «Юпитер» не происходит
существенных изменений: наибольшую долю в общей стоимости основных средств
организации составляют транспортные средства и подъемные механизмы;
значительная часть приходится на машины и оборудование.
Таким образом, на предприятии наблюдается значительный износ
основных средств. Выбытие основных фондов опережает их обновление. Показатели
фондоотдачи, фондоемкости и фондорентабельности свидетельствуют о некотором
снижении эффективности использовании основных фондов ООО «Юпитер».
Оценку деловой активности ООО «Юпитер» необходимо дополнить
анализом оборачиваемости оборотного капитала. Под оборачиваемостью средств
понимается продолжительность прохождения средствами отдельных стадий производства
и обращения. Рост оборачиваемости свидетельствует о более эффективном
использовании оборотных средств [23, с. 187]. Анализ оборачиваемости оборотных
средств ООО «Юпитер» рассмотрим на основе данных, приведенных в таблице.
Оборачиваемость оборотных средств ООО «Юпитер» в 2009-2011
гг.
|
Показатель
|
2009
|
2010
|
2011
|
Изменения к
2009
|
|
|
|
|
2010
|
2011
|
|
Выручка, тыс.
руб.
|
31095
|
32348
|
32741
|
1253
|
1646
|
|
Количество дней
анализируемого периода, дн.
|
360
|
360
|
360
|
0
|
0
|
|
Средний остаток
оборотных средств, тыс. руб.
|
5627
|
6893
|
6666
|
1266
|
1039
|
|
Продолжительность
одного оборота, дн.
|
65,1
|
76,7
|
73,3
|
11,6
|
8,1
|
|
Коэффициент
оборачиваемости средств, обороты
|
5,53
|
4,69
|
4,91
|
-0,83
|
-0,61
|
|
Коэффициент
загрузки средств в обороте, коп.
|
0,18
|
0,21
|
0,20
|
0,03
|
0,02
|
Из данных таблицы 5 видно, что в компании наблюдается
значительное снижение оборачиваемости оборотных средств в 2011 г. по сравнению
с 2009 г. и рост значения коэффициента загрузки оборотных средств в обороте,
что свидетельствует о недостаточно эффективном использования оборотных средств.
Изменение скорости оборота оборотных средств в 2011 г. произошло в результате
взаимодействия двух факторов: увеличения объема выручки и увеличения остатка
оборотных средств. Как показывают данные баланса компании наибольший удельный
вес в структуре оборотных средств ООО «Юпитер» составляет дебиторская
задолженность. Отрицательным фактором является невысокая доля денежных средств,
которые являются наиболее ликвидной частью оборотных активов.
В ходе анализа основных технико-экономических показателей ООО
«Юпитер» было выявлено снижение показателей рентабельности. Поэтому произведем
расчет показателей рентабельности в таблице 6. Как видно из таблицы 6
наблюдается отрицательная динамика всех показателей рентабельности, что связно
со снижением показателей прибыли от продажи чистой прибыли, и свидетельствует о
снижении степени доходности предприятия в целом, снижении эффективности
использования финансовых ресурсов.
Показатели рентабельности ООО «Юпитер» в 2009-2011 гг.
|
Показатель
|
2009
|
2010
|
2011
|
Отклонения от
2009
|
|
|
|
|
2010
|
2011
|
|
Чистая прибыль,
тыс. руб.
|
2220
|
2464
|
2225
|
244
|
5
|
|
Себестоимость
продукции, тыс. руб.
|
27363
|
28539
|
29180
|
1175
|
1816
|
|
Выручка от
реализации, тыс. руб.
|
31095
|
32348
|
32741
|
1253
|
1646
|
|
Капитал
предприятия, тыс. руб. всего, в т.ч.:
|
10163
|
11661
|
11699
|
1498
|
1536
|
|
собственный
капитал, тыс. руб.
|
4821
|
5487
|
6226
|
666
|
1405
|
|
заемный
капитал, тыс. руб.
|
5342
|
6174
|
5473
|
832
|
131
|
|
Рентабельность
производственной деятельности (по прибыли от продаж), %
|
13,6
|
13,3
|
12,2
|
-0,3
|
-1,4
|
|
Рентабельность
продаж (по прибыли от продаж), %
|
12,0
|
11,8
|
10,9
|
-0,2
|
-1,1
|
|
Рентабельность
капитала (по чистой прибыли), %
|
21,8
|
21,1
|
19,0
|
-0,7
|
-2,8
|
|
Рентабельность
собственного капитала (по чистой прибыли), %
|
46,1
|
44,9
|
35,7
|
-1,2
|
-10,3
|
|
Рентабельность
заемного капитала, %
|
41,6
|
39,9
|
40,7
|
-1,7
|
-0,9
|
Одним из показателей, характеризующих финансовое состояние
предприятия, является его платежеспособность, т.е. возможность наличными
денежными ресурсами своевременно погасить свои платежные обязательства [15, с.
165]. Оценка платежеспособности ООО «Юпитер» осуществляется на основе расчета
финансовых коэффициентов (таблица 7). Согласно проведенным расчетам по оценке
финансового состояния ООО «Юпитер» в 2009-2011 гг. и полученным значениям
показателей можно принять следующее решение: о признании структуры баланса
удовлетворительной, а ООО «Юпитер» - платежеспособным. В целом в 2008-2009 г.
коэффициенты ликвидности находятся в пределах своих нормативов (от 0,2 - для
коэффициента абсолютной ликвидности до 2,0 - для коэффициента текущей
ликвидности). В 2011 г. платежеспособность общества возросла.
Коэффициенты, характеризующие платежеспособность ООО «Юпитер»
в 2009-2011 гг.
|
Наименование
показателя
|
2009
|
2010
|
2011
|
Изменение (+,-)
2011 к 2009
|
|
Коэффициент
абсолютной ликвидности
|
0,17
|
0,19
|
0,19
|
0,17
|
|
Коэффициент
критической ликвидности
|
1,13
|
1,53
|
1,54
|
1,13
|
|
Коэффициент
текущей ликвидности
|
2,01
|
2,45
|
2,49
|
2,01
|
|
Собственные
оборотные средства, тыс. руб.
|
285
|
719
|
1193
|
285
|
|
Коэффициент
обеспеченности собственными средствами
|
0,051
|
0,104
|
0,179
|
0,051
|
|
Доля оборотных
средств в активах
|
0,554
|
0,591
|
0,570
|
0,554
|
Финансовая устойчивость является интегральным, обобщающим
показателем, отражающим состояние и результаты деятельности предприятия [15, с.
183]. Расчет коэффициентов, характеризующих финансовую устойчивость компании
ООО «Юпитер» приведен в таблице 8. На основании расчетных данных можно сделать
следующие выводы о финансовой устойчивости предприятия. Коэффициент автономии
(независимости) свидетельствует о том, что на конец 2011 г. у предприятия около
53% собственных средств в балансе (против почти 47% в 2009 г.), т.е.
предприятия становится все менее зависимым от внешних кредиторов. Т.к. у
предприятия велика на балансе сумма долгосрочных займов, коэффициент финансовой
устойчивости составляет свыше 72-77% в 2009-2011 гг.
Анализ показателей финансовой устойчивости ООО «Юпитер» в
2009-2011 гг.
|
Показатель
|
2009
|
2010
|
2011
|
Изменение 2011
к 2009
|
|
|
|
|
+,-
|
Прирост, %
|
|
Коэффициент
независимости
|
0,474
|
0,471
|
0,532
|
0,058
|
12,2
|
|
Коэффициент
финансовой устойчивости
|
0,724
|
0,759
|
0,772
|
0,047
|
6,5
|
|
Коэффициент
соотношения собственных и заемных средств
|
0,902
|
0,889
|
1,138
|
0,235
|
26,1
|
|
Коэффициент
обеспеченности собственными оборотными средствами и долгосрочными пассивами
|
0,502
|
0,592
|
0,599
|
0,097
|
19,3
|
|
Коэффициент
обеспеченности запасов собственными оборотными средствами и долгосрочными
пассивами
|
1,153
|
1,571
|
1,564
|
0,411
|
35,7
|
|
Коэффициент
маневренности собственного капитала
|
0,586
|
0,743
|
0,641
|
0,055
|
9,5
|
|
Коэффициент
структуры привлеченного капитала
|
0,344
|
0,286
|
0,230
|
-0,115
|
-33,3
|
Заемный капитал превышает стоимость собственного в 2009 г.,
однако на конец 2011 г. стоимость собственного капитала компании превышает
стоимость заемного почти в 1,4 раза. Собственный оборотный капитал с учетом
стоимости долгосрочных займов ООО «Юпитер» характеризуется высокой степенью
маневренности в 2009-2011 гг. Оборотные средства, а также запасы и затраты,
обеспечены собственными средствами предприятия и долгосрочными пассивами.
В целом можно сделать вывод о том, что в 2011 г. финансовое
состояние предприятия значительно улучшилось по сравнению с 2009 г., о чем
свидетельствует положительная динамика практически всех финансовых
коэффициентов. Кроме того, основные показатели финансовой устойчивости
(коэффициент независимости и финансовой устойчивости) находятся в пределах
своих нормативов, и их значения свидетельствую о нормальной степени зависимости
компании от внешних кредиторов и инвесторов.
Таким образом, в результате проведенного анализа основной
деятельности, финансовых результатов и финансового состояния ООО «Юпитер» были
выявлены следующие проблемы.
Во-первых, за период 2009-2011 гг. общая стоимость основных
средств предприятия возросла за счет обновления основных фондов, но их выбытие
опережает обновление, что привело к тому, что на конец 2011 г. почти на 52%
основных средств компании изношено, т.е. техническое состояние основных фондов
недостаточно для обеспечения полноценной основной деятельности компании
(особенно это касается оборудования, машин и механизмов для строительства и
производства работ). Т.е. для ООО «Юпитер» необходимо обновление основных
фондов и рост инвестиций в основной капитал; необходимо более эффективное
использование основного капитала на предприятии.
Во-вторых, наибольший удельный вес в структуре оборотных
средств ООО «Юпитер» в 2009-2011 гг. составляла дебиторская задолженность.
Отрицательным фактором является низкая доля денежных средств, которые являются
наиболее ликвидной частью оборотных активов.
На деятельность компании, отрицательное влияние оказывают
внешние факторы. Среди факторов, которые могут негативно сказаться на сбыте
работ и услуг, можно выделить снижение общей покупательной способности
населения г. Владивосток и всего Дальнего Востока в целом, а также постоянное
усиление конкуренции в отрасли. Т.к. вкусы потребителей быстро меняются, требуется
постоянное изучение потребностей рынка. Нарушение поставок материалов и сырья
приводит к сбоям в основной деятельности ООО «Юпитер», нарушению снабжения
рынка, неполучению прибыли, неудовлетворенности постоянных клиентов и т.д. Все
это, в конечном счете, ставит в лучшее положение конкурентов компании, которых
очень много на рынке г. Владивосток. Слабые стороны ООО «Юпитер» проявляются, в
первую очередь, из-за подорожания сырья, материалов, необходимости приобретения
нового оборудования, транспортных средств, и следовательно из-за дополнительных
затрат, постепенно сокращается производственная мощность. Большую угрозу
представляет нехватка квалифицированного персонала.
Т.е. имеющиеся и возникшие проблемы препятствуют нормальному
функционированию ООО «Юпитер» в условиях жесткой конкуренции. Поэтому для
компании необходимо обновление основных фондов, противостояние конкуренции,
дальнейшее восстановление его финансовой устойчивости и повышение
платежеспособности. С этой целью можно рекомендовать для общества обновление
парка машин и оборудования и вложение инвестиций в развитие новых видов
деятельности, что является основным направлением повышения
конкурентоспособности ООО «Юпитер».
.2
Экономическая характеристика инвестиционного проекта
Современный город диктует новые тенденции в сфере
строительства и архитектуры, стали более востребованы здания с неповторимыми
очертаниями и обликом, технически сложные в исполнении, выполненные с
использованием многообразной палитры новейших материалов и инновационных технологий
[42]. В настоящее время развитие получает рынок вентилируемых фасадов, что
особенно актуально для Владивостока (город у моря).
Навесные вентилируемые фасады на сегодняшний день являются
одним из самых лучших решений на рынке фасадных материалов. При использовании
технологии вентилируемых фасадов зимой стена не остывает благодаря
теплоизоляции, а летом тепловая защита при помощи вентиляции предохраняет стены
от термической нагрузки и обеспечивает комфорт внутри помещения. Навесные
вентилируемые фасады можно устанавливать в любое время года. Монтаж конструкции
очень прост, производится сухим методом и не зависит от погодных условий.
Использование навесных фасадных систем позволяет, с одной стороны, придать
зданию эстетически привлекательный вид, реализовать различные оригинальные
архитектурные и дизайнерские решения, а с другой улучшить его теплотехнические
характеристики и защитить от вредных атмосферных воздействий [10, с. 5].
Целью инвестиционного проекта ООО «Юпитер» является
организация нового производства на территории Приморского края.
Алюминиевые панели - инновационный вид панелей для
вентилируемых фасадов. Появился композит в России сравнительно недавно, тогда
как Европа уже много десятилетий использует этот материал для облицовки
фасадов, а именно с 1980-х гг. ХХ в. Именно тогда на рынке впервые появился
материал, носящий название «алюкобонд». Представлял он в то время, как
собственно и сейчас, два тонких, но очень прочных алюминиевых листа, между
которыми находилась прослойка из минерального или ПВХ наполнителя [42].
Алюминиевые панели показали отличные эксплуатационные
качества - они легко монтируются, достаточно прочные и долговечные. Собственно
этих характеристик было вполне достаточно для того, чтобы сделать алюминиевые
композитные панели всемирноизвестными.
Алюминиевые панели удобны по ряду причин. Во-первых, это
простое решение для дизайнеров и декораторов. Т.к. материал по большому счету
предназначен для облицовки фасадов, то выглядеть он должен соответственно. ООО
«Юпитер» планирует выпуск алюминиевых панелей любых цветов и оттенков, что
позволит украшать ими здания в любом стиле и на любой вкус. Во-вторых,
алюминиевые панели очень легки и прочны. Это свойство особо ценится
монтажниками ООО «Юпитер», т.к. позволяет установить фасад здания в более
короткие сроки, сохранив при этом высокое качество работы. Алюминиевым листам
при помощи специальных инструментов очень просто придать нужную форму, их легко
разрезать, сформировать и сделать их монтаж так, как этого будет требовать
проект здания. К тому же алюминиевые композитные панели достаточно легкие, что
естественно большой плюс при работе на высоте. В-третьих, композит - это
отличная защита здания от неблагоприятных погодных условий. Листы алюминия
переносят любые температурные перепады, не позволяют дождевой влаге попадать на
стены здания, а также защищает строение от дорожной пыли. Анализ преимуществ
фасадных панелей ООО «Юпитер» приведен в таблице.
Анализ преимуществ фасадных панелей ООО «Юпитер»
|
Особенность
продукции по сравнению с аналогами
|
Преимущества
|
Выгода для
покупателя
|
|
Высокое
качество; прочность и легкость; экологичность производства и самих панелей;
выдерживание высоких и низких температур; возможность переработки; облечение
монтажа
|
Доступные цены,
местное производство;
|
Сочетание цены
и качества, сохранение тепла в доме и защита от влаги; разработка
дизайн-проекта фасада
|
Применение сертифицированных конструктивных элементов и
материалов, постоянный контроль качества при монтаже фасада, понимание
ответственности перед своими заказчиками, позволит ООО «Юпитер» существенно
увеличивать срок гарантийного обслуживания фасадов.
Исходя из преимуществ фасадных и систем, и проблем,
возникающих все чаща и чаще на рынке вентилируемых фасадов Приморского края
(из-за недобросовестности подрядчиков, некачественных китайских материалов и
т.п.), ООО «Юпитер» принимает решение о производстве фасадных панелей на
территории Приморского края.
Планируемый ассортимент продукции следующий: керамогранитные
панели; фиброцементные панелеи; алюминиевые композитные панели; алюминиевый
лист.
Таким образом, продукция, планируемая к производству ООО
«Юпитер» представляет собой результат соединения архитектурных идей и
инновационных технических решений, на основе детальной технической проработки
проекта, оптимизации материалов и затрат на его исполнение, разработки
специальных систем и решений для удовлетворения архитектурных,
эксплуатационных, а также экстремальных требований (высотность, сейсмичность,
огнестойкость, взрывобезопасность, пулестойкость и прочее).
Потенциальные клиенты ООО «Юпитер» - это строительные
компании города и края, а также частные лица.
Проведем оценку конкурентоспособности панелей ООО «Юпитер» по
трех бальной системе.
Показатели конкурентоспособности панелей ООО «Юпитер»
|
Показатель
конкурентоспособности (L)
|
Характеристика
|
Балл
|
Весовой
коэффициент
|
|
1. Место
объекта на рынке
|
Новый тип
производства панелей на Дальнем Востоке
|
3
|
0,13
|
|
2. Вероятность
морального старения объекта
|
Панели будут
пользоваться повышенным спросом в течение периода, достаточного, чтобы
окупить капиталовложения на организацию их производства, и в постпрогнозный
период
|
2
|
0,13
|
|
3.
Характеристика рынка для объекта
|
Рынок фасадных
панелей будет охватывать весь Дальневосточный регион
|
2
|
0,13
|
|
4. Вероятность
расширения рынка
|
За период
эффективного использования патента число потребителей объекта будет
расширяться в значительных пределах
|
3
|
0,13
|
|
5. Цена панелей
по сравнению с ценой, сходных объектов
|
Цена ниже цен
всех сходных объектов имеющих примерно тоже качество и технические характеристики
за счет развития местного производства (отсутствие транспортной составляющей
в цене)
|
3
|
0,08
|
|
6. Степень
патентной защиты
|
Объект может
быть легко имитирован, секреты производства отсутствуют
|
1
|
0,08
|
|
7. Ожидаемая
острота конкуренции
|
Может появиться
ограниченное число конкурентов с аналогичным видом производства, уже
работающие на рынке компании - посредники в продаже вентилируемых фасадов
|
2
|
0,04
|
|
8. Наличие
каналов распределения
|
Имеется опыт
продажи аналогичных объектов или объект является дополнением к тем, которые
уже успешно продаются
|
3
|
|
9. Влияние на
существующий объем продаж
|
Не имеет
особого влияния на объем производства и продаж продающихся объектов, т.к.
емкость рынка велика
|
2
|
0,04
|
|
10.
Устойчивость к колебаниям объема продаж
|
Объект подвержен
колебаниям, но они не выходят за пределы средних колебаний экономики
|
2
|
0,04
|
|
11. Потребность
в оборудовании
|
Потребуется
приобретение нового оборудования, также будут задействованы имеющиеся
производственные мощности
|
2
|
0,04
|
|
12. Потребность
в новом персонале или в переобучении имеющегося
|
Потребуется
незначительное пополнение персонала, обучение имеющегося персонала компании
|
2
|
0,04
|
|
13. Наличие
сырья и материалов
|
Имеются
источники российского сырья и материалов лучшего качества по относительно
невысоким ценам
|
3
|
0,04
|
Прямых конкурентов для ООО «Юпитер» на данном рынке нет (т.к.
все строительные компании поставляют готовую продукцию из Китая, а собственного
производства панелей на территории Приморского края ни у кого нет).
Весовой показатель по первой группе составляет [9, с. 29]:
′ = L1 + L2 + L3 + L4 = 0,13 + 0,13 + 0,13 + 0,13 =
0,52
Сумма баллов по первой группе (1…4) соответствует Р1= 10.
Весовой показатель по второй группе составляет:
′′ = L5 + L6 = 0,08 + 0,08 = 0,16
Сумма баллов по второй группе (5…6) соответствует Р2 = 4.
Весовой показатель по третьей группе составляет:
L′′′ = L7 + L8 + L9 + L10 + L11 + L12 + L13
= 0,04 + 0,04 + 0,04 + 0,04 + 0,04 + 0,04 +0,04 = 0,32
Сумма баллов по третьей группе (7…13) соответствует Р3 = 16.
Сумма всех весовых коэффициентов, равна - 1. Ввиду выгодного
месторасположения предприятия и известности компании «Юпитер» на строительном
рынке проведение крупной рекламной кампании не планируется, но на
первоначальном этапе возможно проведение небольших рекламных мероприятий
направленных на информирование потенциальных клиентов о предложении на рынке
новых видов экологически чистой упаковки. Основное требование к этим
мероприятиям - целевое направление рекламы при минимуме затрат. Затраты на
рекламу приведены в таблице.
Затраты на рекламу ООО «Юпитер» в первый год реализации
проекта (руб.)
|
Наименование
статей
|
Ежемесячные
затраты
|
|
Изготовление
вывесок и листовок
|
19000
|
|
Публикация
информационных материалов
|
6000
|
|
P.O.S. материалы
|
5000
|
|
ИТОГО
|
30000
|
Затраты на рекламу составляют 30000 руб. в месяц в первый год
организации и развития производства (т.е. 360000 руб. в год), а в последующие
годы затраты на рекламу будут сокращаться за счет повышения уровня известности
компании и новых видов продукции в среднем на 5% в год (т.е. 342000 руб. в 2014
г., 324900 руб. - в 2015 г., 308655 руб. - в 2016 г.).
Таким образом, маркетинговый анализ рынка вентилируемых
фасадов показал, что развитие нового вида деятельности (производство фасадных
панелей) и расширение ассортимента продукции выгодно ООО «Юпитер».
Приоритетные направления инвестиционной деятельности общества
- это приобретение эффективного специализированного технологического
оборудования «SCHECHTL» и патента на производство фасадных панелей. Стоимость
технологического оборудования (с учетом доставки, установки, монтажа и наладки)
составляет 10266 тыс. руб.
Производственная программа ООО «Юпитер» приведена в таблице
12. Планируется, что минимальные объемы реализации в месяц в первый год работы
составят:
Производственная программа ООО «Юпитер» на 2013-2016 гг.
|
Производственная
программа
|
Количество
выпускаемой продукции в месяц, м3
|
Цена за ед.
изм., руб./ м3
|
|
2013-2014
|
2015-2016
|
2013-2014
|
2015-2016
|
|
Керамогранитные
панели
|
1080
|
1134
|
8450
|
9042
|
|
Фиброцементные
панели
|
1440
|
1512
|
7872
|
8423
|
|
Алюминиевые
композитные панели
|
1560
|
1638
|
5140
|
5500
|
|
Алюминиевый
лист
|
2400
|
2520
|
4679
|
5007
|
Таким образом, производственной программой предусмотрен
минимальный объем производства фасадных панелей ООО «Юпитер». ООО «Юпитер»
планирует увеличить выпуск продукции с 2015 г., а также планируется
7-процентный рост цен на продукцию в 1 квартале 2015 г.
Для внедрения новых производств и расширения объемов
производства и ассортимента продукции предприятию потребуется дополнительный
квалифицированный персонал (таблица 13). В целях устранения проблемы текучести
кадров в 2014 г. предусматривается повышение заработной платы сотрудников на
5%. В 2016 г. предусматривается еще рост заработной платы основного персонала
предприятия на 5%.
Дополнительная потребность ООО «Юпитер» в сотрудниках (руб.)
|
Должность
|
2013
|
Фонд оплаты
труда в 2013-2016 с учетом социальных взносов, руб.
|
|
кол-во чел.
|
Оплата труда в
месяц на чел.
|
в 2013
|
в 2014
|
в 2015
|
2016
|
|
Производственный
рабочий
|
3
|
18750
|
904500
|
949725
|
949725
|
997211
|
|
Кладовщик
|
1
|
17100
|
274968
|
288716
|
288716
|
303152
|
|
Водитель
|
1
|
25800
|
414864
|
435607
|
435607
|
457388
|
|
Слесарь -
наладчик
|
1
|
16500
|
265320
|
278586
|
278586
|
292515
|
|
Итого основной
персонал
|
6
|
-
|
1859652
|
1952635
|
1952635
|
2050266
|
|
Менеджер по
продажам
|
3
|
26000
|
1254240
|
1316952
|
1316952
|
1382800
|
|
Всего персонал
|
9
|
|
3113892
|
3269587
|
3269587
|
3433066
|
|
Переменная
составляющая заработной платы коммерческого и управленческого персонала
|
|
3% к выручке от
реализации
|
1596329
|
1596329
|
1793476
|
1793476
|
|
Всего затраты
на труд
|
|
|
4710221
|
4865916
|
5063062
|
5226542
|
В последующие годы предусмотрен рост объемов реализации
панелей за счет роста рынка и нового строительства. По прогнозам отдела
маркетинга и сбыта ожидается рост цен и объемов продаж в 1 квартале 2015 г. -
7%. Т.к. переменные затраты напрямую зависят от объемов продаж, то рост продаж
вызовет соответствующее изменение переменных расходов [19, с. 152]. Увеличение
постоянных затрат предприятия (в т.ч. коммерческих и управленческих расходов)
ожидается за счет роста затрат на оплату труда коммерческого персонала, роста
расходов на рекламу, транспортных и иных расходов, связанных со сбытом
продукции. Кроме того, в 2014 г. и 2016 г. планируется рост заработной платы
всех сотрудников предприятия, что приведет к изменению постоянных и переменных
расходов. Удельный вес постоянных затрат снизится с 2015 г. за счет уменьшения
процентных платежей по кредиту. Прогнозные объемы продаж предприятия, ожидаемые
в результате реализации проекта, рассчитанные исходя из средних цен реализации
и предполагаемой производственной программы, представлены в таблице 14. Таким
образом, инвестиционным проектом предусмотрено, что объем реализации продукции
в 2013-2014 гг. составит свыше 39 млн. руб., в 2015-2016 гг. он возрастет как
за счет роста цен, так и за счет увеличения количестве выполненных работ и
оказанных услуг - до 44,6 млн. руб.
Прогнозные объемы продаж ООО «Юпитер» в 2013-2016 гг. (руб.)
|
Наименование
продукции
|
2013
|
2014
|
2015
|
2016
|
|
Керамогранитные
панели
|
9126000
|
9126000
|
10253061
|
10253061
|
|
Фиброцементные
панели
|
11335680
|
11335680
|
12735636
|
12735636
|
|
Алюминиевые
композитные панели
|
8018400
|
8018400
|
9008672
|
9008672
|
|
Алюминиевый
лист
|
11229600
|
11229600
|
12616456
|
12616456
|
|
Итого
|
39709680
|
39709680
|
44613825
|
44613825
|
Осуществление намеченных программ потребует значительных
финансовых вложений, привлечения инвестиций. Потребность в инвестициях и
источники финансирования представлены в таблице 15. Потребность в капитальных
инвестициях на осуществление данного проекта составляет 10266000 руб.
Потребность в оборотном капитале за весь период реализации проекта составит
6303824 руб.
Потребность в инвестициях и источниках финансирования ООО
«Юпитер» в 2013-2016 гг. (руб.)
|
Инвестиции /
Источники финансирования
|
2013
|
2014
|
2015
|
2016
|
Всего
|
|
Потребность в
инвестициях всего, в т.ч.:
|
14608166
|
0
|
1961658
|
0
|
16569824
|
|
основной
капитал
|
10266000
|
0
|
0
|
0
|
10266000
|
|
оборотный
капитал
|
4342166
|
0
|
1961658
|
0
|
6303824
|
|
Источники
финансирования всего, в т.ч.:
|
14608166
|
0
|
1961658
|
0
|
16569824
|
|
долгосрочный
банковский кредит
|
5500000
|
0
|
0
|
0
|
5500000
|
|
краткосрочный
кредит
|
1108166
|
0
|
0
|
0
|
1108166
|
|
собственный
капитал в т.ч.
|
8000000
|
0
|
1961658
|
0
|
9961658
|
Т.к. собственных средств предприятии не достаточно для
финансирования инвестиционного проекта, учредители планирует часть стоимости
приобретенного оборудования и часть потребности в оборотном капитале
финансировать за счет краткосрочного банковского кредита и собственных средств
учредителей, часть стоимости основного капитала предприятие планирует
профинансировать за счет долгосрочного банковского кредита и за счет
собственных средств учредителей.
ООО «Юпитер» по договоренности с банком может взять
долгосрочный кредит в сумме 5500000 руб. на приобретение основных фондов и
краткосрочный кредит в сумме 1108166 руб. на приобретение оборотных фондов.
Поэтому недостаток денежных средств учредители будут восполнять за счет
собственного накопленного капитала в сумме 8000000 руб. (суммы нераспределенной
прибыли на балансе предприятия достаточно для произведения данных инвестиций).
Долгосрочный банковский кредит выдается сроком на 3 года под 20% годовых.
Краткосрочный банковский кредит выдается сроком на 1 год, процентная ставка по
нему составит 18% годовых. Выплата процентов производится ежеквартально. График
погашения кредитов и выплаты процентов по ним приведены в таблицах 16-17. Данные
таблицы 16 показывают, что объем процентных платежей составит в первом квартале
2013 г. составит 324867 руб., во втором квартале объем процентных платежей
снизится за счет сокращения общей долговой задолженности по долгосрочному
кредиту на 458333 руб. и краткосрочному кредиту в размере 277042 руб.
График погашения кредитов ООО «Юпитер» и выплаты процентов по
ним в 2013 гг. (руб.)
|
Условия
погашения кредитов
|
2013
|
|
1 кв.
|
2 кв.
|
3 кв.
|
4 кв.
|
|
Основной долг
долгосрочный кредит
|
5500000
|
5041667
|
4583333
|
4125000
|
|
Основной долг
краткосрочный кредит
|
1108166
|
831125
|
554083
|
277042
|
|
Выплата
основного долга по долгосрочному кредиту
|
458333
|
458333
|
458333
|
458333
|
|
Выплата
основного долга по краткосрочному кредиту
|
277042
|
277042
|
277042
|
277042
|
|
Всего выплата
долгов по кредиту
|
735375
|
735375
|
735375
|
735375
|
|
Проценты по
долгосрочному кредиту
|
275000
|
252083
|
229167
|
206250
|
|
Проценты по
краткосрочному кредиту
|
49867
|
37401
|
24934
|
12467
|
|
Всего проценты
по кредитам
|
324867
|
289484
|
254100
|
218717
|
|
Итого
|
1060242
|
1024859
|
989475
|
954092
|
Сумма процентов к уплате составит 289484 руб. В третьем
квартале общая ссудная задолженность сократится еще на 735375 руб., сумма
процентов составит 254100 руб. В четвертом квартале также будет погашена часть
долгосрочной задолженности и остаток краткосрочного кредита. В результате сумма
задолженности по процентам составит в четвертом квартале 2013 г. 218717 руб.
График погашения кредитов ООО «Юпитер» и выплаты процентов по
ним в 2014-2015 гг. (руб.)
|
Условия
погашения кредитов
|
2014
|
2015
|
Всего за проект
|
|
1 п/г
|
2 п/г
|
|
|
|
Основной долг
долгосрочный кредит
|
3666667
|
2750000
|
1833333
|
-
|
|
Основной долг
краткосрочный кредит
|
0
|
0
|
0
|
-
|
|
Выплата
основного долга по долгосрочному кредиту
|
916667
|
916667
|
1833333
|
5500000
|
|
Выплата
основного долга по краткосрочному кредиту
|
0
|
0
|
0
|
1108166
|
|
Всего выплата
долгов по кредиту
|
916667
|
916667
|
1833333
|
6608166
|
|
Проценты по
долгосрочному кредиту
|
366667
|
275000
|
366667
|
1970833
|
|
Проценты по
краткосрочному кредиту
|
0
|
0
|
0
|
124669
|
|
Всего проценты
по кредитам
|
366667
|
275000
|
366667
|
2095502
|
|
Итого
|
1283333
|
1191667
|
2200000
|
8703668
|
В 2014 г. предприятие погасит 1833333 руб. долгосрочной
ссудной задолженности, при этом уплатив за год 641667 руб. процентных платежей.
В 2015 г. будет погашен остаток ссудной задолженности по долгосрочному кредиту,
а сумма уплаченных за год процентов составит 366667 руб.
Коммерческие и прочие расходы приведены в таблице.
Бюджет коммерческих и прочих расходов ООО «Юпитер» в
2013-2016 гг. (руб.)
|
Статья расходов
|
2013
|
2014
|
2015
|
2016
|
|
Реклама
|
360000
|
342000
|
324900
|
308655
|
|
Заработная
плата коммерческого персонала с социальными взносами
|
1254240
|
1316952
|
1382800
|
|
Переменная
составляющая заработной платы коммерческого персонала с отчислениями (в
процентах от объема продаж)
|
1596329
|
1596329
|
1793476
|
1793476
|
|
Итого
коммерческих расходов, в т.ч.:
|
3210569
|
3255281
|
3435328
|
3484930
|
|
постоянных
|
1614240
|
1658952
|
1641852
|
1691455
|
|
переменных
|
1596329
|
1596329
|
1793476
|
1793476
|
|
Канцелярские
расходы
|
84000
|
85680
|
87394
|
89141
|
|
Прочие
постоянные расходы
|
557625
|
555945
|
554231
|
552484
|
|
Итого прочих
расходов
|
641625
|
641625
|
641625
|
641625
|
Таким образом, переменная составляющая заработной платы
коммерческого персонала с отчислениями страховых взносов отнесены к переменным
расходам. Остальные статьи расходов отнесены к постоянным расходам ООО
«Юпитер». Объем полученной чистой прибыли по годам реализации проекта рассчитан
в таблицах 19-20. Таким образом, в 2013 г. предприятие получит чистую прибыль в
размере 10836252 руб., в 2014 г. объем полученной чистой прибыли увеличится до
11082498 руб. за счет опережающих темпов роста выручки от реализации по
сравнению с темпами роста затрат, а также за счет сокращения коммерческих
расходов. Объем прибыли от реализации составит в 2015 г. 16947328 руб., а
чистой прибыли - 13324131 руб. В 2016 г. объемы прибыли от продаж и чистой прибыли
увеличатся за счет действия вышеописанных факторов. За четыре года реализации
проекта объем полученной чистой прибыли превысит 48,7 млн. руб.
Прогнозные объемы продаж и чистой прибыли ООО «Юпитер» в
2013-2014 гг. (руб.)
|
Показатель
|
2013
|
2014
|
|
1 кв.
|
2 кв.
|
3 кв.
|
4 кв.
|
1 п/г
|
2 п/г
|
|
Продажи
|
9133226
|
9927420
|
12707098
|
7941936
|
19060646
|
20649034
|
|
Переменные
затраты
|
4923754
|
5311479
|
6668518
|
4342166
|
10281725
|
11057176
|
|
Постоянные
затраты
|
1209646
|
1174263
|
1138879
|
1103496
|
2158580
|
2066914
|
|
Прибыль от
реализации
|
2999826
|
3441678
|
4899700
|
2496274
|
6620341
|
7524945
|
|
Налог на
имущество
|
73041
|
73041
|
73041
|
73041
|
146082
|
146082
|
|
Налогооблагаемая
прибыль
|
2926785
|
3368637
|
4826660
|
2423233
|
6474260
|
7378863
|
|
Налог на
прибыль
|
585357
|
673727
|
965332
|
484647
|
1294852
|
1475773
|
|
Чистая прибыль
|
2341428
|
2694910
|
3861328
|
1938587
|
5179408
|
5903090
|
Прогнозные объемы продаж и чистой прибыли ООО «Юпитер» в
2015-2016 гг. (руб.)
|
Показатель
|
2015
|
2016
|
Всего за проект
|
|
Продажи, руб.
|
44613825
|
44613825
|
168647011
|
|
Переменные
затраты
|
23733104
|
23830736
|
90148658
|
|
Постоянные
затраты (включая коммерческие расходы)
|
3933394
|
3616330
|
16401501
|
|
Прибыль от
реализации
|
16947328
|
17166760
|
62096852
|
|
Налог на
имущество
|
292163
|
292163
|
1168653
|
|
Налогооблагаемая
прибыль
|
16655164
|
16874597
|
60928199
|
|
Налог на
прибыль
|
3331033
|
3374919
|
12185640
|
|
Чистая прибыль
|
13324131
|
13499677
|
48742559
|
Таким образом, получение предприятием чистой прибыли в
результате реализации проекта вызывает необходимость экономической оценки
эффективности инвестиций.
2.3
Расчет показателей эффективности инвестиционного проекта ООО «Юпитер»
Расчет экономической эффективности инвестиционного проекта
ООО «Юпитер» произведем по следующим этапам:
. Во-первых, произведем оценка общественной эффективности
проекта.
. Во-вторых, произведем расчет коммерческой эффективности
проекта.
.В-третьих, произведем оценку финансовой состоятельности
инвестиционного проекта. При расчете показателей общественной эффективности
инвестиционного проекта ООО «Юпитер»:
в денежных потоках отражается стоимостная оценка последствий
осуществления данного проекта в других отраслях народного хозяйства, в
социальной сфере (таблица 21) [32, с. 65]. В результате реализации проекта ООО
«Юпитер» установлено, что за счет более низкого уровня цен на продукцию
общества, косвенная экономия организаций и населения края при приобретении
панелей у ООО «Юпитер» составит в 2013-2014 гг. свыше 2,4 млн. руб. и свыше 4,0
млн. руб. в 2015-2016 гг. Это произойдет по причине опережающих темпов роста
цен на привозные панели по сравнению с темпами роста цен на панели, выпускаемые
ООО «Юпитер»;
Оценка экономии организациями и населением края
|
Наименование
изделий
|
Объем продаж в
год, м3
|
Цена ООО
«Юпитер», руб. /м3
|
Среднерыночные
цены действующих конкурентов, руб. / м3
|
Экономия
организаций и населения за счет приобретения материалов по более низким
ценам, рублей
|
|
2013-2014
|
2015-2016
|
2013-2014
|
2015-2016
|
2013-2014
|
2015-2016
|
2013
|
2014
|
2015
|
2016
|
|
Керамогранитные
панели
|
1080
|
1134
|
8450
|
9042
|
9040
|
9944
|
-637200
|
-637200
|
-1023435
|
-1023435
|
|
Фиброцементные
панели
|
1440
|
1512
|
7872
|
8423
|
8400
|
9240
|
-760320
|
-760320
|
-1235244
|
-1235244
|
|
Алюминиевые
композитные панели
|
1560
|
1638
|
5140
|
5500
|
5300
|
5830
|
-249600
|
-249600
|
-540868
|
-540868
|
|
Алюминиевый
лист
|
2400
|
2520
|
4679
|
5007
|
5000
|
5500
|
-770400
|
-770400
|
-1243544
|
-1243544
|
|
Итого
|
6480
|
6804
|
|
|
|
|
-2417502
|
-2417520
|
-4043091
|
-4043091
|
в составе оборотного капитала учитываются только запасы
(материалы, незавершенная готовая продукция) и резервы денежных средств;
исключаются из притоков и оттоков денег по операционной и
финансовой деятельности их составляющие, связанные с получением кредитов,
выплатой процентов по ним и их погашением, предоставленными субсидиями,
дотациями, налоговыми и другими трансфертными платежами, при которых финансовые
ресурсы передаются от одного участника проекта (включая государство) другому.
Оценка показателей общественной эффективности проекта ООО
«Юпитер» приведена в таблице Г.2 (приложение Г). Выручка от реализации
рассчитана в табл. 14 на основании прогнозных объемов продаж и цен на продукцию
общества. Выручка от реализации выбывающего имущества включает в себя продажу
основных средств по окончании инвестиционного проекта за минусом амортизации в
размере 5133000 руб. (сумма амортизации за 4 года составит 5133000 руб., а
первоначальная стоимость основных фондов с учетом установки и монтажа составила
по проекту 10266000 руб.). По окончании проекта предприятие может реализовать
не менее 20% стоимости оборотных фондов, что составит 1260765 руб. Итого общая
сумма выручки от реализации выбывающего имущества составит 6393765 руб. Материальные
затраты на реализацию проекта (затраты на закуп сырья и материалов, расходы по
доставке сырья, материалов, продукции, прочие постоянные расходы, приведенные в
таблице Г.1 (приложение Г), расходы на рекламу, рассчитанные на основании
данных таблицы 11, и канцелярию, приведенные в таблице 18) составят в 2013 г.
18875562 руб.:
МЗ1 = 15883872 + 1906065 + 641625 + 360000 + 84000
= 18875562 руб.
Аналогично определяются материальные затраты в последующих
периодах.
Затраты на оплату труда с отчислениями включают в себя
заработную плату основного персонала (определены по данным таблицы 13).
Денежные поток от операционной деятельности это разница
денежных притоков и денежных оттоков.
Денежный поток от инвестиционной деятельности имеет
отрицательное значение в 2012 г. (до начала реализации проекта), т.к.
производится закуп и установка оборудования и приобретение необходимого сырья.
Индекс инфляции принят в размере 7% (индекс инфляции составил
в 2011 г. 6,7% по данным Министерства экономического развития РФ) [43]. Срок
окупаемости проекта на основе показателей его общественной эффективности с
учетом инфляции составит 1,84 года или 22,1 мес.:
Ток = (1 + 14608166) / (14608166 + 2720245) = 1,84 года
Оценка эффективности инвестиций проводится с применением
дисконтированных денежных потоков [20, с. 178]. Ставка дисконта для определения
современного значения денежных потоков принята в размере 10% - средний уровень
банковского процента по срочным вкладам, предложенный Сбербанком России на
рынке депозитов Приморского края (Сбербанк выбран как самый надежный финансовый
институт и гарант на финансово-валютном рынке РФ). Дисконтированный срок
окупаемости проекта на основе показателей его общественной эффективности с
учетом инфляции составит 1,93 года или 23,1 мес.:
ДТок = (1 + 14608166) / (14608166 + 1144934) = 1,93 года
Внутренняя норма общественной эффективности проекта
рассчитывается методом подбора нормы дисконта, когда положительное значение
накопленного дисконтированного денежного потока сменяется на отрицательное
значение (таблица 23). Таким образом, внутренняя норма общественной
эффективности проекта составит:
ВНОЭ = 103 + 137857 / (137857 + 12013736) * (104 - 103) =
103,01%
Индекс доходности дисконтированных инвестиций рассчитывается
как [20, с. 281]:
ИДДК = 1 + 48199204 / 10266000 = 5,7
Индекс доходности дисконтированных затрат рассчитывается как
[20, с. 280]:
Денежные оттоки = 23585783 + 23725157 + 26103975 + 26252957 =
99667872 руб.
ИДДЗ = 1 + 48199204 / 99667872 = 1,48
Данные для расчета внутренней нормы общественной эффективности
проекта ООО «Юпитер» (руб.)
|
Показатель
|
2012
|
2013
|
2014
|
2015
|
2016
|
|
Денежный поток
проекта накопленным итогом в дефлированных ценах
|
-14608166
|
2720245
|
19918415
|
39162605
|
66076366
|
|
Множитель
дисконтирования по ставке 103%
|
1
|
0,493
|
0,243
|
0,120
|
0,059
|
|
Дисконтированный
денежный поток по ставке 103%
|
-14608166
|
1340022
|
4833511
|
4681483
|
3891007
|
|
То же
накопленным итогом
|
-14608166
|
-13268144
|
-8434633
|
-3753150
|
137857
|
|
Множитель
дисконтирования по ставке 104%
|
1
|
0,490
|
0,240
|
0,118
|
0,058
|
|
Дисконтированный
денежный поток по ставке 104%
|
-14608166
|
656874
|
1161455
|
551433
|
224668
|
|
То же
накопленным итогом
|
-14608166
|
-13951293
|
-12789838
|
-12238404
|
-12013736
|
Для проведения оценки коммерческой эффективности
инвестиционного проекта ООО «Юпитер» необходимо составить прогнозный отчет о
прибылях и убытках компании на 2013-2016 гг. (таблица 24) [39, с. 189].
Отчет о прибылях и убытках ООО «Юпитер» в 2013-2016 гг.
(руб.)
|
Показатель
|
2013
|
2014
|
2015
|
2016
|
|
1. Выручка от
продаж и внереализационные доходы
|
39709680
|
39709680
|
44613825
|
44613825
|
|
2.
Внереализационные доходы
|
0
|
0
|
0
|
0
|
|
3. Доходы от
операций с ценными бумагами
|
0
|
0
|
0
|
0
|
|
4. Полученные
дивиденды
|
0
|
0
|
0
|
0
|
|
5. Полученные
проценты по договорам займа или кредита
|
0
|
0
|
0
|
0
|
|
6. Другие
доходы
|
0
|
0
|
0
|
0
|
|
7.
Произведенные издержки всего, в т.ч.:
|
26164365
|
25856557
|
27958661
|
27739229
|
|
амортизационные
отчисления
|
1283250
|
1283250
|
1283250
|
1283250
|
|
из них
направляемые на инвестиции
|
0
|
0
|
0
|
0
|
|
налоги
|
292163
|
292163
|
292163
|
292163
|
|
уплаченные
проценты по займам
|
1087169
|
641667
|
366667
|
0
|
|
8. Убытки
прошлых периодов, относимые на данный период
|
0
|
0
|
0
|
0
|
|
9.
Налогооблагаемая прибыль
|
13545315
|
16655164
|
16874597
|
|
10. Налог на
прибыль
|
2709063
|
2770625
|
3331033
|
3374919
|
|
11. Налог на
полученные дивиденды
|
0
|
0
|
0
|
0
|
|
12. Налог на
полученные проценты по государственным и муниципальным ценным бумагам
|
0
|
0
|
0
|
0
|
|
13. Чистая
прибыль
|
10836252
|
11082498
|
13324131
|
13499677
|
|
14. То же
накопленным итогом
|
10836252
|
21918750
|
35242882
|
48742559
|
|
15. Расходы и
отчисления из чистой прибыли
|
0
|
0
|
0
|
0
|
|
16.
Операционные расходы, не учитываемые при налогообложении
|
0
|
0
|
0
|
0
|
|
17. Отчисления
в финансовые резервы
|
0
|
0
|
0
|
0
|
|
18. Отчисления
в резервный капитал
|
0
|
0
|
0
|
0
|
|
19. Инвестиции,
осуществляемые из прибыли
|
0
|
0
|
0
|
0
|
|
20. Дивиденды,
выплачиваемые акционерам
|
0
|
0
|
0
|
0
|
|
21.
Нераспределенная прибыль
|
10836252
|
11082498
|
13324131
|
13499677
|
|
22. То же
накопленным итогом
|
10836252
|
21918750
|
35242882
|
48742559
|
На основании показателей отчета произведем расчет показателей
коммерческой эффективности проекта ООО «Юпитер». Показатели коммерческой
эффективности проекта показали, что его ЧДД составит 26526345 руб.
Расчет показателей для оценки внутренней нормы доходности
проекта (руб.)
|
Показатель
|
2012
|
2013
|
2014
|
2015
|
2016
|
|
Сальдо двух
потоков
|
-14608166
|
10836252
|
11082498
|
11362473
|
19893442
|
|
Множитель
дисконтирования по ставке 71%
|
1
|
0,585
|
0,342
|
0,200
|
0,117
|
|
Дисконтированный
денежный поток по ставке 71%
|
-14608166
|
6336990
|
3790054
|
2272399
|
2326620
|
|
То же
накопленным итогом
|
-14608166
|
-8271177
|
-4481122
|
-2208723
|
117897
|
|
Множитель
дисконтирования по ставке 72%
|
1
|
0,581
|
0,338
|
0,197
|
0,114
|
|
Дисконтированный
денежный поток по ставке 72%
|
-14608166
|
6300147
|
3746112
|
2232994
|
2272983
|
|
То же
накопленным итогом
|
-14608166
|
-8308020
|
-4561907
|
-2328914
|
-55931
|
Таким образом, внутренняя норма общественной эффективности
проекта составит:
ВНД = 71 + 117897 / (117897 + 55931) * (72 - 71) = 71,68%
Данные для расчета индекса дисконтированных затрат (руб.)
|
Показатель
|
2012
|
2013
|
2014
|
2015
|
2016
|
|
Притоки
денежных средств
|
0
|
39709680
|
39709680
|
44613825
|
51007590
|
|
Дисконтированные
притоки денежных средств
|
0
|
36099709
|
32817917
|
33519027
|
34838871
|
|
Сумма
дисконтированных денежных притоков
|
137275524
|
|
Оттоки денежных
средств
|
-14608166
|
-28873428
|
-28627182
|
-33251352
|
-31114148
|
|
Дисконтированные
оттоки денежных средств
|
-14608166
|
-26248571
|
-23658828
|
-24982233
|
-21251382
|
|
Абсолютная
величина суммы дисконтированных денежных оттоков
|
110749180
|
Из данных вытекает, что индекс доходности дисконтированных
затрат равен 1,24:
ИДДЗ = 137275524 / 110749180 = 1,24
Индекс превышает 1, как и должно быть при ЧДД > 0.
Инвестиционный проект предполагает наличие не только
собственных источников финансирования, но также и привлечение кредитов [16, с.
185]. Поэтому далее проведем анализ финансовой реализуемости проекта ООО
«Юпитер».
Таким образом, необходимым критерием принятия инвестиционного
решения на данном этапе оценки проекта является положительное сальдо
накопленных реальных денег (сальдо трех потоков) в любом временном интервале,
где данный участник осуществляет затраты или получает доходы. В рассматриваемом
проекте это условие соблюдается. Кроме того, ни в одном временном интервале не
возникает потребность в дополнительных средствах. Предварительный анализ
структуры потока реальных денег показывает, что проект в целом является
экономически привлекательным, поскольку обеспечивает получение доходов,
превышающих инвестиции в проект.
Произведем расчет показателей эффективности данного проекта:
общая сумма произведенных инвестиций за 4 года составит:
И = 10266000 + 4342166 + 1961658 = 16569824 руб.
чистый приведенный доход составит:
ЧДД = (8343639 + 8704475 + 9597331 + 14463966) - 16569824 =
24539587 руб.
индекс прибыльности проекта составит:
ИП = (8343639 + 8704475 + 9597331 + 14463966) / 16569824 =
2,48
дисконтированный срок окупаемости проекта рассчитывается на
основании данных о наколенных дисконтированных денежных потоках (таблица 27).
По данным табл. 27 видно, что число полных лет окупаемости
проекта по ставке дисконта 10% составляет 1 год (отрицательные значения
накопленного денежного потока). Дисконтированный срок окупаемости составит:
ДСК = 1 + 8226186 / (8343639 + 8704475) = 1,48 года или 18
мес.
Расчет накопленного дисконтированного денежного потока (руб.)
|
Показатель
|
2012
|
2013
|
2014
|
2015
|
2016
|
|
Инвестиции
|
-16569824
|
|
|
|
|
|
Денежный поток
по трем видам деятельности
|
|
9178003
|
10532415
|
12774048
|
21176692
|
|
Множитель
дисконтирования
|
1
|
0,909
|
0,826
|
0,751
|
0,683
|
|
Дисконтированный
денежный поток
|
-16569824
|
8343639
|
8704475
|
9567331
|
14463966
|
|
То же
нарастающим итогом
|
-16569824
|
-8226186
|
478289
|
10075621
|
24539587
|
Произведем расчет внутренней нормы рентабельности проекта на
основании данных таблицы 28. Внутренняя норма прибыльности по проекту
определяется методом подбора ставки дисконта (согласно которой значение чистой
современной стоимости денежных потоков приравнивается к нулю; на основании
данных инвестиций и денежных потоков) [Марголин, с. 252]. Уточненное значение IRR будет равно:
IRR = 58 + 94729 / (94729 - (-140112)) * (59 - 58) =
58,4%
Данные для расчета показателя внутренней нормы рентабельности
инвестиционного проекта ООО «Юпитер» (руб.)
|
Годы
|
Денежный поток
|
Расчет 1
|
Расчет 2
|
|
|
58
|
PV
|
59
|
PV
|
|
2012
(инвестиции)
|
-16569824
|
1
|
-16569824
|
1
|
-16569824
|
|
2013
|
9178003
|
0,633
|
5808862
|
0,629
|
5772329
|
|
2014
|
10532415
|
0,401
|
4219041
|
0,396
|
4166139
|
|
2015
|
12774048
|
0,254
|
3238600
|
0,249
|
3177878
|
|
2016
|
21176692
|
0,160
|
3398050
|
0,156
|
3313368
|
|
Итого
|
|
|
94729
|
|
-140112
|
Таким образом, на основании проведенного анализа можно
сделать следующие выводы об эффективности (неэффективности) осуществления
проекта по каждому из показателей. Проект признается целесообразным т.к.:
чистое современное значение при ставке дисконта 10% превысило 24,5 млн. руб.;
дисконтированный срок окупаемости составляет всего 18 мес., что меньше 4 лет -
предусмотренного предприятием срока окупаемости; индекс прибыльности при ставке
дисконта 10% превышает 2,4. Согласно рассчитанного уточненного значения
внутренняя норма прибыльности составила 58,4%. Следовательно, проект
высокорентабелен.
Основные факторы, которые могут оказать отрицательное влияние
на реализуемость инвестиционного проекта ООО «Юпитер» являются риск и инфляция.
Поэтому целью третьей главы дипломной работы является анализ влияния факторов
инфляции и риска на показатели инвестиционного проекта.
3.
Оценка рисков инвестиционного проекта
.1
Общая характеристика рисков инвестиционного проекта ООО «Юпитер»
Процессы принятия решений в управлении проектами происходят,
как правило, в условиях наличия той или иной меры неопределенности,
определяемой следующими факторами [38, с. 155]:
неполным знанием всех параметров, обстоятельств, ситуации для
выбора оптимального решения, а также невозможностью адекватного и точного учета
всей даже доступной информации и наличием вероятностных характеристик поведения
среды;
наличием фактора случайности, т.е. реализации факторов,
которые невозможно предусмотреть и спрогнозировать даже в вероятностной
реализации;
наличием субъективных факторов противодействия, когда
принятие решений идет в ситуации игры партнеров с противоположными или
несовпадающими интересами.
Таким образом, реализация проекта идет в условиях неопределенности
и рисков и эти две категории взаимосвязаны.
Проектные риски предприятия характеризуются большим
многообразием и по видам риска классифицируются следующим образом [12, с. 217]:
. Риск снижения финансовой устойчивости (или риск нарушения
равновесия финансового развития) предприятия. Этот риск генерируется
несовершенством структуры инвестируемого капитала (чрезмерной долей
используемых заемных средств), порождающим несбалансированность положительного
и отрицательного денежных потоков предприятия по реализуемым проектам. В
составе проектных рисков по степени опасности (генерирования угрозы банкротства
предприятия) этот вид риска играет ведущую роль.
. Риск неплатежеспособности (или риск несбалансированной
ликвидности) предприятия. Этот риск может быть вызван снижением уровня
ликвидности оборотных активов, порождающим разбалансированность положительного
и отрицательного денежных потоков по инвестиционному проекту во времени. По
своим финансовым последствиям этот вид риска также относится к числу наиболее
опасных.
. Риск проектирования. Возникает из-за несовершенства
подготовки бизнес-плана и проектных работ по объекту инвестирования, связанного
с недостатком информации о внешней инвестиционной среде, неправильной оценкой
параметров внутреннего инвестиционного потенциала, использованием устаревшей
техники и технологии, оказывающим влияние на показатели его предстоящей
доходности.
. Строительный риск. Обусловлен выбором недостаточно
квалифицированных подрядчиков, использованием устаревших строительных
технологий и материалов, а также другими причинами, вызывающими существенное
превышение предусмотренных сроков строительно-монтажных работ по
инвестиционному проекту.
. Риск финансирования проекта. Этот вид риска связан с
недостаточным общим объемом инвестиционных ресурсов, необходимых для реализации
проекта; несвоевременным поступлением инвестиционных ресурсов из отдельных
источников, и т.д.
. Инфляционный риск. В условиях инфляционной экономики
он выделяется в самостоятельный вид проектных рисков. Этот вид риска
характеризуется возможностью обесценения реальной стоимости капитала, а также
ожидаемых доходов от осуществления инвестиционного проекта в условиях инфляции.
Этот вид риска в современных условиях носит постоянный характер и сопровождает
практически все финансовые операции по реализации инвестиционного проекта
предприятия.
. Процентный риск. Он состоит в непредвиденном росте
процентной ставки на финансовом рынке, приводящей к снижению уровня чистой
прибыли по проекту. Причиной возникновения данного вида финансового риска
является изменение конъюнктуры инвестиционного рынка под воздействием
государственного регулирования, рост или снижение предложения свободных
денежных ресурсов и другие факторы.
. Налоговый риск. Этот вид проектного риска имеет ряд
проявлений: вероятность введения новых видов налогов и сборов на осуществление
отдельных аспектов инвестиционной деятельности; возможность увеличения уровня
ставок действующих налогов и сборов; изменение сроков и условий осуществления
отдельных налоговых платежей; вероятность отмены действующих налоговых льгот в
сфере реального инвестирования предприятия. Являясь для предприятия
непредсказуемым, он оказывает существенное воздействие на результаты реализации
проекта.
. Структурный операционный риск. Этот вид риска
генерируется неэффективным финансированием текущих затрат на стадии
эксплуатации проекта, обуславливающим высокий удельный вес постоянных издержек
в общей их сумме.
. Криминогенный риск. В сфере инвестиционной
деятельности предприятий он проявляется в форме объявления его партнерами
фиктивного банкротства; подделки документов, обеспечивающих незаконное
присвоение сторонними лицами денежных и других активов, связанных с реализацией
проекта; хищения отдельных видов активов собственным персоналом и другие.
. Прочие виды рисков. Группа прочих проектных рисков
довольно обширна, но по вероятности возникновения или уровню финансовых потерь
она не столь значима для предприятий, как рассмотренные выше. К ним относятся
риски стихийных бедствий и другие аналогичные «форс-мажорные риски», которые
могут привести не только к потере предусматриваемого дохода, но и части активов
предприятия (основных средств; запасов товарно-материальных ценностей); риск
несвоевременного осуществления расчетно-кассовых операций при финансировании
проекта (связанный с неудачным выбором обслуживающего коммерческого банка) и
другие.
В целях оценки устойчивости и эффективности проекта в
условиях неопределенности и риска применяются четыре возможных метода (каждый
следующий в списке метод является более точным, хотя и более трудоемким,
поэтому применение каждого из них делает ненужным применение предыдущих) [12,
с. 314]:
1) укрупненную оценку устойчивости,
2) расчет уровней безубыточности,
3) метод вариации параметров,
4) оценку ожидаемого эффекта проекта с учетом количественных
характеристик неопределенности.
Анализ и оценка уровня риска инвестиционного проекта ООО
«Юпитер» будет проводиться методом укрупненной оценки устойчивости, на базе
расчета уровней безубыточности, методом вариации параметров. Поэтому рассмотрим
сущность этих методов подробнее.
При использовании метода укрупненной оценки устойчивости
проекта в целях обеспечения устойчивости проекта рекомендуется:
- использовать умеренно пессимистические прогнозы
технико-экономических параметров проекта, цен, ставок налога, обменных курсов
валют иных параметров экономического окружения проекта, объема производства и
цен на продукцию, сроков выполнения и стоимости отдельных видов работ и пр.;
- предусматривать резервы средств на непредвиденные
инвестиционные и операционные расходы, обусловленные возможными ошибками
проектной организации, пересмотром решений в ходе строительства,
непредвиденными задержками платежей за поставленную продукцию и пр.;
- увеличивать норму дисконта на величину поправки на риск.
Размер премии за риск устанавливается экспертно. Таким
образом, норма дисконта с учетом риска будет представлять собой [12, с. 316]:
Ер = Е + ПР.
Степень устойчивости проекта по отношению к возможным
изменениям условий реализации может быть охарактеризована показателями границ
безубыточности и предельных значений таких параметров проекта, как объемы
производства, цены производимой продукции и пр. Уровнем безубыточности УБm на шаге m называется отношение
«безубыточного» объема продаж (производства) к проектному на этом шаге. Под
«безубыточным» понимается объем продаж, при котором чистая прибыль становится
равной нулю. Расчет уровня безубыточности производится по формуле [12, с. 316]:
(11)
где Sm - объем выручки на m-м шаге;
Сm - полные текущие издержки
производства продукции на m-м шаге;
СVm - условно-переменная часть полных текущих
издержек производства на m-м шаге;
DCm - доходы от внереализационной деятельности за
вычетом расходов по этой деятельности.
Обычно проект считается устойчивым, если в расчетах по
проекту в целом уровень безубыточности не превышает 0,6-0,7 после освоения
проектных мощностей. Близость уровня безубыточности к 1 (100%), как правило,
свидетельствует о недостаточной устойчивости проекта к колебаниям спроса на
продукцию на данном шаге.
Метод вариации параметров (или анализ чувствительности)
заключается в исследовании изменений интегральных показателей эффективности
проекта в зависимости от изменения отдельных параметров, таких, как:
инвестиционные затраты; объем производства; издержки производства; процент за
кредит; индексы цен или индексы инфляции; задержки платежей; длительность
расчетного периода и пр.
Таким образом, неопределенность и риск искажают результаты
анализа эффективности инвестиций, поэтому учет и анализ рисков, особенно в
российских условиях, необходим при реализации инвестиционных проектов. Под
инвестиционным риском подразумевается вероятность неблагоприятного исхода.
Различные инвестиционные проекты имеют свою степень риска. Рискованность
инвестиционного проекта определяется как отклонение фактического потока
денежных средств от ожидаемого потока: чем больше отклонение, тем проект
считается более рискованным.
.2
Анализ рисков инвестиционного проекта и их влияние на показатели финансовой
реализуемости проекта ООО «Юпитер»
Как было отметено в предыдущем параграфе, в инвестиционной
деятельности ООО «Юпитер» вероятны воздействия большого числа рисков.
Вероятность наступления рисков можно оценить, руководствуясь следующей системой
оценок: 0 - риск рассматривается как несущественный; 25 - риск, скорее всего,
не реализуется; 50 - о наступлении события ничего определенного сказать нельзя;
75 - риск, скорее всего, проявится; 100 - риск наверняка реализуется. При
оценке риска участвовали три эксперта: генеральный директор предприятия,
коммерческий директор и финансовый директор.
При анализе рисков рассматриваемого проекта были использованы
три приоритета. Они определяют значения весов следующим образом: первый и
последний приоритеты определяют соответственно максимальное и минимальное
значение весов; второй приоритет является средним арифметическим между ними.
Для получения значений веса каждого простого риска было принято отношение
весов, соответствующих первому и третьему приоритетам, равное 10 и вес простого
риска в третьем приоритете был принят равным 0,01. При использовании средней
арифметической вес одного простого риска в первом приоритете составит 0,1 [24,
с. 173]. Вес простого риска во втором приоритете составит 0,055 ((0,01+0,1)/2).
Вероятность наступления риска рассчитывается по формуле [24,
с. 173]:
Pi = Vi * Wi (12)
где Vi - средняя вероятность наступления риска;
Wi - вес риска.
Анализ рисков инвестиционного проекта ООО «Юпитер» приведен в
таблице 29. Из приведенных данных следует, что вероятность риска для
подготовительно-монтажной стадии составляет 10,71%, которая складывается из
риска изменения (ухудшения) отношений с местными властями, возникновения
непредвиденных затрат, недостатками проектно-изыскательских работ,
несвоевременными поставками комплектующих.
Вероятность наступления рисков инвестиционного проекта ООО
«Юпитер» (в баллах)
|
Виды риска
|
Оценка
вероятности наступления
|
Средняя
вероятность наступления риска
|
Удельный вес
риска, доля
|
Общая
вероятность риска, %
|
|
эксперт 1
|
эксперт 2
|
эксперт 3
|
|
|
|
|
Отношение
местных властей
|
25
|
25
|
25
|
25
|
0,055
|
1,38
|
|
Непредвиденные
затраты
|
50
|
75
|
75
|
66,7
|
0,1
|
6,67
|
|
Недостатки
проектно-изыскательских работ
|
25
|
50
|
25
|
33,3
|
0,055
|
1,83
|
|
Несвоевременная
поставка комплектующих
|
0
|
25
|
0
|
8,3
|
0,1
|
0,83
|
|
Итого
подготовительно-монтажная стадия
|
10,71
|
|
Неустойчивость
спроса
|
75
|
75
|
50
|
66,7
|
0,055
|
3,67
|
|
Снижение цен
конкурентами
|
25
|
50
|
25
|
33,3
|
0,01
|
0,33
|
|
Рост объемов
продаж у конкурентов
|
25
|
25
|
50
|
33,3
|
0,33
|
|
Рост налогов
|
50
|
75
|
75
|
66,7
|
0,01
|
0,67
|
|
Рост цен
материалы
|
100
|
100
|
100
|
100,0
|
0,1
|
10,00
|
|
Недостаток
оборотных средств
|
25
|
50
|
50
|
41,7
|
0,055
|
2,29
|
|
Нестабильность
качества сырья и материалов
|
0
|
0
|
25
|
8,3
|
0,01
|
0,08
|
|
Недостаточная
надежность технологии
|
25
|
25
|
25
|
25,0
|
0,055
|
1,38
|
|
Итого стадия
функционирования
|
18,75
|
Особую опасность в ней представляют непредвиденные затраты
(6,67%), из-за которых может снизиться общая рентабельность проекта. Из
результатов расчета рисков на стадии функционирования следует, что средняя
вероятность составляет примерно 18,75%, причем доминирующими причинами этого
является рост цен на материалы (10%), неустойчивость спроса (3,67%), недостаток
оборотных средств (2,29%). Таким образом, суммарный риск реализации проекта
составляет почти 29,5%. Данный уровень риска следует рассматривать как средний,
поэтому проект можно принимать.
Распространенной методикой анализа рисков инвестиционного
проекта является идентификации отдельных видов внутреннего и внешнего
проектного риска, которая осуществляется по следующим трем стадиям [25, с.
265]:
. На первой стадии определяются присущие инвестиционному
проекту внешние или систематические виды рисков.
. На второй стадии определяется перечень внутренних или
несистематических (специфических) проектных рисков, присущих инвестиционному
проекту.
. На третьей стадии формируется предполагаемый общий портфель
рисков, связанных с осуществлением инвестиционного проекта (включающий
возможные систематические и несистематические проектные риски).
Внутренние и внешние риски реализации инвестиционного проекта
ООО «Юпитер»
|
Риски, Si
|
Отрицательное
влияние на прибыль
|
|
Внутренние
|
|
S1 - Недостаток оборотных средств
|
Снижение
прибыли из-за пополнения оборотных средств
|
|
S2 - Недостаточный уровень зарплаты
|
Текучесть
кадров
|
|
S3 - Квалификация кадров
|
Аварийность в работе,
брак
|
|
Внешние
|
|
S4 - Непредвиденные затраты, в том числе
из-за инфляции
|
Увеличение
объема заемных средств
|
|
S5 - Платежеспособность потребителей и
неустойчивость спроса
|
Падение прибыли
|
|
S6 - Рост налогов
|
Уменьшение
чистой прибыли
|
|
S7 - Рост тарифов естественных монополий
|
Рост
себестоимости продукции и снижение прибыли
|
|
S8 - Отношение местных властей
|
Дополнительные
затраты на выполнение их требований
|
|
S9 - Несвоевременная поставка материалов
|
Снижение
ритмичности, нарушение графиков выполнения заказов
|
|
S10 - Зависимость от поставщиков,
отсутствие альтернатив
|
Аритмичность в
работе, нарушение договорных обязательств, снижение прибыли из-за роста цен
|
В данной классификации рисков необходимо распределить их по
группам приоритетов:
первая группа приоритетов - наиболее важные риски,
оказывающие существенное влияние на деятельность кампании, - S1, S4, S5, S6, S7;
вторая группа приоритетов - S8, S9;
третья группа приоритетов - S2, S3, S10.
Таким образом, число простых рисков составляет 10, т.е. n = 10; число групп
приоритетов - 3, т.е. k = 3. Сделано предположение о том, что первый приоритет в 4
раза весомее третьего приоритета, т.е. f = 4. Соответственно,
удельный вес каждого простого риска в первой группе приоритетов составит 0,144,
во второй - 0,072, в третьей - 0,036.
Вероятность наступления рисков инвестиционного проекта ООО
«Юпитер» (в баллах)
|
Риски
|
Эксперты
|
Средняя
вероятность, Pi
|
Удельные веса, Wi
|
Балл, Wi * Pi
|
|
первый
|
второй
|
третий
|
|
|
|
|
Sl
|
70
|
65
|
70
|
68
|
0,072
|
2,64
|
|
S2
|
40
|
35
|
35
|
37
|
0,036
|
1,02
|
|
S3
|
70
|
70
|
75
|
72
|
0,144
|
6,72
|
|
S4
|
15
|
15
|
15
|
15
|
0,144
|
9,84
|
|
S5
|
90
|
95
|
90
|
92
|
0,144
|
13,2
|
|
S6
|
25
|
30
|
30
|
28
|
0,144
|
10,32
|
|
S7
|
85
|
80
|
80
|
82
|
0,144
|
11,76
|
|
S8
|
30
|
35
|
35
|
33
|
0,036
|
1,02
|
|
S9
|
50
|
45
|
45
|
47
|
0,072
|
2,4
|
|
S10
|
30
|
25
|
30
|
28
|
0,036
|
0,54
|
Таким образом, общая оценка риска проекта 59,5 балла, что
свидетельствует о средней степени рискованности рассматриваемого проекта. Такое
положение нормально для экономики России.
В результате сравнения двух методик оценки риска
(распределения приоритетов и весов риска внутри каждой группы и в целом по всем
рискам) были сделаны одинаковые выводы о степени рискованности проекта,
несмотря на то, что общая оценка рискованности по вариантам значительно
отличается. За счет того, что во втором случае используются группы приоритетов
по степени влияния на общую деятельность предприятия, степень оценки риска
здесь выше. Однако, и по первому и по второму варианту оценки риска
инвестиционный проект ООО «Юпитер» попадает в группу средней степени риска.
Кроме того, анализ сценариев показал, что при значительном росте затрат и
снижении объемов работ проект остается рентабельным, поэтому подлежит
реализации.
В связи с проведенным выше анализом принимаются следующие
поправки к ставке дисконта за риск инвестирования в данное предприятие:
недостаток оборотных средств - 1,5%; недостаточный уровень зарплаты -
1%; квалификация кадров - 2%; непредвиденные затраты - 2%;
платежеспособность потребителей и неустойчивость спроса - 3%; рост налогов -
2,5%; рост тарифов естественных монополий - 2,5%; отношение местных
властей - 1%; несвоевременная поставка материалов - 1,5%; зависимость от
поставщиков, отсутствие альтернатив - 1%. Таким образом, ставка за риск
составляет 18%.
Еще одним фактором, который окажет отрицательное влияние на
показатели инвестиционного проекта, является инфляция. По данным Министерства
экономического развития РФ уровень инфляции составил в 2009 г. - 9%, в 2010 г.
- 8,7%, в 2011 г. - 6,7%. Несмотря на то, что показатели инфляции снижаются в
целом по России, данной тенденции нельзя отметить на территории Приморского
края. Так, например, за последние 3 месяца цены на ГСМ повысились в Приморье на
18,5%. Аналогично выросли цены на продукты питания, строительные материалы.
Поэтому с целью определения влияния инфляции на показатели финансовой
реализуемости проекта принимается уровень инфляции, равный 7%.
Таким образом, с учетом влияния риска ставка дисконта
повышается до 28% (10 + 18), а с учетом фактора инфляции - до 35% (10 + 18 +7).
Теперь рассмотрим влияние уровня риска и инфляции на
показатели инвестиционного проекта ООО «Юпитер». Дисконтированный денежный
поток примет новое значение при ставке дисконта 35% (таблица 32). Произведем
расчет показателей эффективности данного проекта:
чистый приведенный доход составит:
ЧДД = (6798521 + 5779103 + 5191911 + 6375629) - 16569824 =
7575339 руб.
Показатели денежного потока для определения показателей
финансовой реализуемости проекта ООО «Юпитер» по ставке дисконта 35% (руб.)
|
Показатель
|
2012
|
2013
|
2014
|
2016
|
2016
|
|
Инвестиции
|
-16569824
|
|
|
|
|
|
Сальдо трех
потоков
|
0
|
9178003
|
10532415
|
12774048
|
21176692
|
|
Дисконтирующий
множитель
|
1
|
0,741
|
0,549
|
0,406
|
0,301
|
|
Дисконтированный
денежный поток
|
|
6798521
|
5779103
|
5191911
|
6375629
|
|
Накопленный
дисконтированный денежный поток
|
-16569824
|
-9771304
|
-3992201
|
1199710
|
7575339
|
индекс прибыльности проекта составит:
ИП = (6798521 + 5779103 + 5191911 + 6375629) / 16569824 =
1,46
по данным таблицы 32 видно, что число полных лет окупаемости
проекта по ставке дисконта 35% составляет 2 года (отрицательные значения
накопленного денежного потока), тогда дисконтированный срок окупаемости
составит:
ДСК = 2 + 3992201 / (5779103 + 5191911) = 2,36 года или 28
мес.
Таким образом, на основании проведенного анализа можно
сделать следующие выводы об эффективности (неэффективности) осуществления
проекта по каждому из показателей. Проект признается целесообразным т.к.:
чистое современное значение при ставке дисконта 35% превысило 7,5 млн. руб.;
дисконтированный срок окупаемости возрос, но составляет всего 28 мес., что
меньше 4 лет - предусмотренного предприятием срока окупаемости; индекс
прибыльности при ставке дисконта 35% превышает 1,4 Следовательно, проект
высокорентабелен. Показатели риска и инфляции оказали отрицательное влияние
суммарный денежный поток проекта и показатели финансовой его реализуемости,
однако, все показатели свидетельствуют об эффективности проекта.
.3
Анализ чувствительности инвестиционного проекта
С целью анализа чувствительности инвестиционного проекта
произведем расчет показателей безубыточности бизнес-проекта ООО «Юпитер».
Расчет точки безубыточности для нового производства ООО
«Юпитер» в 2013-2016 гг. (руб.)
|
Показатели
|
2013
|
2014
|
2015
|
2016
|
|
Средняя цена
единицы продукции, руб.
|
6128,0
|
6128,0
|
6557,0
|
6557,0
|
|
Объем продаж
продукции в год, м3
|
6480
|
6480
|
6804
|
6804
|
|
Выручка от
реализации
|
39709680
|
39709680
|
44613825
|
44613825
|
|
Переменные
затраты
|
21245918
|
21338900
|
23733104
|
23830736
|
|
Переменные
затраты на единицу продукции, руб.
|
3278,7
|
3293,0
|
3488,1
|
3502,5
|
|
Постоянные
затраты
|
4626284
|
4225494
|
3933394
|
3616330
|
|
Валовая маржа
|
18463762
|
18370780
|
20880721
|
20783090
|
|
Коэффициент
валовой маржи
|
0,46
|
0,46
|
0,47
|
0,47
|
|
Порог
рентабельности в стоимостном выражении
|
9949665
|
9133690
|
8404103
|
7762960
|
|
Точка
безубыточности в натуральном выражении, м3
|
1624
|
1490
|
1282
|
1184
|
|
Прибыль от
реализации
|
13837479
|
14145286
|
16947328
|
17166760
|
|
Запас
финансовой прочности
|
29760015
|
30575990
|
36209722
|
36850865
|
|
Запас
финансовой прочности, %
|
74,9
|
77,0
|
81,2
|
82,6
|
|
Сила
воздействия операционного рычага
|
1,3
|
1,3
|
1,2
|
1,2
|
На основании данных таблицы 33 можно сделать следующие выводы
о безубыточности новых видов продукции ООО «Юпитер». Предприятия покрывает все
произведенные затраты при следующих объемах производства и продаж панелей:
9949665 руб. - в 2013 г., 9133690 руб. - в 2014 г., 8404103 руб. - в 2015 г.,
7762960 руб. - в 2016 г. Т.е. планируемые объемы продаж высокорентабельны.
Запас финансовой прочности составит на начало реализации инвестиционного
проекта 74,9%, к концу 2016 г. он возрастет почти до 83%.
График точки безубыточности для первого года реализации
инвестиционного проекта ООО «Юпитер» приведен на рисунке 6. Как видно из
графика безубыточности годовой объем производства продукции составляет 6480 м3,
в то время как точка безубыточности составляет всего 1624 м3.
Также значительное влияние может оказать рост себестоимости
на 10%, который вызовет увеличение точки безубыточности на 24%. Однако, опять
же при влиянии данного фактора прибыль общества снижется незначительно.
Таким образом, проект организации нового производства ООО
«Юпитер» следует принять, т.к. все основные финансово-экономические показатели
хозяйственной деятельности предприятия свидетельствуют о повышении
эффективности деятельности предприятия в целом. В результате организации нового
производства увеличивается стоимость основного капитала компании; в пассиве
баланса возрастает сумма и доля долгосрочных обязательств и собственных
средств, что обеспечивает ООО «Юпитер» финансовую устойчивость; увеличиваются
объемы продаж, что приведет к росту прибыли от основной деятельности и чистой
прибыли; у компании появляются возможности установления устойчивых связей с постоянными
клиентами и партнерами, а также с российским и зарубежными поставщиками.
Показатели инфляции и риска оказали отрицательное влияние на показатели
прибыльности проекта, однако, при ставке дисконта, равной 35%, чистое
современное значение превышает 7,5 млн. руб., а дисконтированный срок
окупаемости составляет всего 28 мес., индекс прибыльности превышает 1,4, что
свидетельствует о том, что проект высокорентабелен. Показатели рыночной
конъюнктуры влияют на показатели прибыльности инвестиционного проекта общества,
однако их влияние приведет к незначительному сокращению прибыли ООО «Юпитер»,
т.к. запас финансовой прочности инвестиционного проекта очень высок. Поэтому
необходимость реализации предложенного в дипломной работе проекта не вызывает
сомнения.
Заключение
Таким образом, объективно необходимым звеном
воспроизводственного процесса являются инвестиции - целенаправленное вложение
на определенный срок капитала во всех его формах в различные объекты для
достижения индивидуальных целей инвесторов. С помощью инвестиций предприятие
реализует свои возможности при прогнозировании долгосрочных тенденций
экономического развития и адаптации к ним. Определение главных целей
инвестиционной политики весьма субъективно и зависит от преследуемых на данном
этапе стратегических финансовых целей.
В ходе теоретического исследования в дипломной работе
установлено, что важнейшими собственными источниками финансирования инвестиций
в любом коммерческом предприятии, формирующими поток самофинансирования,
являются чистая прибыль и амортизационные отчисления. К заемным финансовым
средствам относятся: банковский кредит; ссуды юридических лиц под долговые
обязательства; размещение облигаций; лизинг. К привлеченным относят средства,
предоставленные на постоянной основе, по которым может осуществляться выплата
владельцам этих средств дохода (в виде дивиденда, процента) и которые могут
практически не возвращаться владельцам (средства от эмиссии акций,
дополнительные взносы в уставный капитал, а также целевое государственное
финансирование на безвозмездной или долевой основе). Учет и анализ платы за
пользование финансовыми ресурсами является одним из основных при оценке
экономической эффективности инвестиций. Кредитное финансирование более выгодно
для предприятия, чем финансирование с помощью собственных финансовых средств. В
то же время, кредитное финансирование для предприятия является более
рискованным, так как проценты за кредит и основную часть долга ему нужно
возвращать в любых условиях, вне зависимости от успеха деятельности
предприятия. Для инвестора такая форма вложения денег является менее
рискованной.
Теоретические исследования процессов оценки эффективности
инвестиций показали, что эффективность инвестиционного проекта - категория,
отражающая соответствие проекта, порождающего данный инвестиционный проект,
целям и интересам его участников. Эффективность проекта в целом оценивается с
целью определения потенциальной привлекательности проекта для возможных
участников и поисков источников финансирования. Она включает в себя
общественную и коммерческую эффективность проекта. Эффективность участия в
проекте определяется с целью проверки реализуемости инвестиционного проекта и
заинтересованности в нем всех его участников. Международная практика оценки
эффективности инвестиций существенно базируется на концепции временной
стоимости денег и основана на следующих принципах: оценка эффективности
использования инвестируемого капитала производится путем сопоставления
денежного потока; инвестируемый капитал и денежный поток приводится к
настоящему времени; процесс дисконтирования капитальных вложений и денежных
потоков производится по различным ставкам дисконта.
Объектом исследования в дипломной работе выступила
строительная фирма ООО «Юпитер». Анализ основных технико-экономических
показателей предприятия позволил сделать вывод о том, что у компании есть ряд
проблем. Во-первых, выбытие основных фондов в компании опережает их обновление,
почти на 52% основные средства компании изношены, т.е. техническое состояние
основных фондов недостаточно для обеспечения полноценной основной деятельности
компании. Во-вторых, наибольший удельный вес в структуре оборотных средств ООО
«Юпитер» в 2009-2011 гг. составляла дебиторская задолженность. Отрицательным
фактором является низкая доля денежных средств, которые являются наиболее
ликвидной частью оборотных активов. В-третьих, анализ внешней среды предприятия
показал, что в условиях конкуренции обществу необходимо развитие и предложение
рынку новых товаров и услуг. Поэтому первостепенной задачей ООО «Юпитер»
является предложение потребителю новых видов продукции или услуг. В связи с
этим компания выбирает реализацию инвестиционного проекта по производству
конструкций для вентилируемых фасадов зданий и сооружений.
Рынок вентилируемых фасадов получает широкое развитие, что
очень актуально для морского города такого, каким является Владивосток. При
использовании технологии вентилируемых фасадов зимой стена не остывает
благодаря теплоизоляции, а летом тепловая защита при помощи вентиляции предохраняет
стены от термической нагрузки и обеспечивает комфорт внутри помещения.
Оцененные в работе показатели инвестиционного проекта ООО «Юпитер» показали
высокую степень его доходности: внутренняя норма общественной эффективности
проекта превысит 100%, коммерческой эффективности - около 72%. Анализ
финансовой реализуемости проекта общества показал, что чистое современное
значение при ставке дисконта 10% превысило 24,5 млн. руб., дисконтированный
срок окупаемости составляет всего 18 мес., что меньше 4 лет - предусмотренного
предприятием срока окупаемости, индекс прибыльности превышает 2,4, внутренняя
норма прибыльности проекта превышает 58%.
Основные факторы, которые могут оказать отрицательное влияние
на реализуемость инвестиционного проекта ООО «Юпитер» являются риск и инфляция.
При поправках на факторы риска, увеличивающей ставку дисконта на 18 процентных
пункта, и инфляцию, увеличившую ставку дисконта еще на 7%, она составила 35%.
При данном уровне доходности NPV проекта превысило 7,5 млн. руб., дисконтированный
срок окупаемости возрос, но составляет всего 28 мес., индекс прибыльности
превышает 1,4. Следовательно, показатели риска оказали отрицательное влияние
суммарный денежный поток проекта и показатели его финансовой реализуемости, но
проект остается высокоэффективным. Показатели рыночной конъюнктуры влияют на
показатели прибыльности инвестиционного проекта общества, однако их влияние
приведет к незначительному сокращению прибыли ООО «Юпитер», т.к. запас
финансовой прочности инвестиционного проекта очень высок. Поэтому необходимость
реализации предложенного в дипломной работе проекта не вызывает сомнения.
Список
использованных источников
1
Абрютина, М.С. Анализ финансово-экономической деятельности предприятия:
учебно-практическое пособие / М.С. Абрютина, А.В. Грачев. - М.: Дело и сервис,
2007. - 486 с.
2
Балабанов, И.Т. Риск-менеджмент: учебник / И.Т. Балабанов. - М.: Финансы
и статистика, 2009. - 462 с.
Богатин,
Ю.В. Инвестиционный анализ: учебное пособие / Ю.В. Богатин, В.А. Швандар. - М.:
ЮНИТИ-ДАНА, 2008. - 462 с.
Богатин,
Ю.В. Оценка эффективности бизнеса и инвестиций: учебное пособие / Ю.В. Богатин,
В.А. Швандар. - М.: ИНФРА-М, 2009. - 431 с.
Бороненкова,
С.А. Финансовый анализ предприятия: учебное пособие / С.А. Бороненкова, Л.И.
Маслова, С.Я. Крылов. - Екатеринбург: Изд-во Урал. гос. экон. ун-та, 2009. -
239 с.
Бочаров,
В.В. Инвестиционный менеджмент: учебник / В.В. Бочаров. - СПб: Питер, 2008. -
365 с.
Бузова,
И.А. Коммерческая оценка инвестиций / И.А. Бузова, Г.А. Маховникова, В.В.
Терехова. - СПб.: Питер, 2007. - 268 с.
Ван
Хорн, Дж.К. Основы управления финансами: Пер. в англ. / под ред. Я.В. Соколова.
- М.: Финансы и статистика, 2009. - 800 с.
Васильчук,
Е.С. Бизнес-планирование и оценка рисков предпринимательской деятельности:
учебное пособие / Е.С. Васильчук, Н.А. Рухманова. - Иваново: Изд-во ИГУ, 2009.
- 279 с.
Виленский,
П.Л. Оценка эффективности инвестиционных проектов. Теория и практика: учебное
пособие / П.Л. Виленский, В.Н. Лившиц, С.А. Смоляк. - М.: Академия, 2009. - 888
с.
Виханский,
О.С. Стратегическое управление: учебник / О.С. Виханский. - М.: Изд-во МГУ,
2009. - 238 с.
Владимирова,
Л.П. Прогнозирование и планирование в условиях рынка: учебное пособие / Под
ред. Л.П. Владимировой. - М.: ИТК Дашков и К, 2008. - 238 с.
Волков,
О.И. Экономика предприятия (фирмы): учебник / под ред. О.И. Волкова, О.В.
Девяткина. - М.: ИНФРА-М, 2010. - 601 с.
Грабовый,
П.Г. Риски в современном бизнесе: учебное пособие / П.Г. Грабовый, С.И.
Петрова. - М.: АЛАНС, 2009. - 285 с.
Золотогоров,
В.П. Инвестиционное проектирование: учебное пособие / В.П. Золотогоров. - М.:
Академия, 2009. - 368 с.
Иванова,
Н.Н. Экономическая оценка инвестиций: учебное пособие / Н.Н. Иванова, Н.А.
Осадчая. - Ростов н/Д: Феникс, 2009. - 452 с.
Идрисов,
А.Б. Стратегическое планирование и анализ эффективности инвестиций: учебник /
А.Б. Идрисов, С.В. Картышев, А.В. Постников. - М.: Информационно-издательский
дом «Филинъ», 2005. - 272 с.
Киселева,
Н.В. Инвестиционная деятельность: учебник / Н.В. Киселева, Т.В. Боровикова и
др. - М.: КНОРУС, 2010. - 432 с.
Киселева,
Н.В. Инвестиционная деятельность: учебное пособие / Н.В. Киселева, Г.В.
Захарова, Г.П. Подшиваленко и др. - М.: КНОРУС, 2010. - 148 с.
Клейнер,
Г.Б. Предприятие в нестабильной экономической среде: риски, стратегии,
безопасность / Г.Б. Клейнер. - М.: Экономика, 2008. - 367 с.
Ковалев,
В.В. Инвестиции: учебник / под ред. В.В. Ковалева и др. - М.: ООО «ТК Велиби»,
2008. - 753 с.
Косов,
В.В. Методические рекомендации по оценке инвестиционных проектов / под ред. В.В.
Косова, В.Н. Лившица и др. - М.: ОАО «НПО Экономика», 2010. - 123 с.
Крейнина,
М.Н. Финансовый менеджмент: учебное пособие / М.Н. Крейнина. - М.: Дело и
сервис, 2008. - 365 с.
Любушин,
Н.П. Анализ финансово-хозяйственной деятельности: учебное пособие / Под ред.
Н.П. Любушина. - М.: ЮНИТИ-ДАНА, 2008. - 436 с.
Мазур,
И.И. Управление проектами: учебное пособие / И.И. Мазур, В.Д, Шапиро, Н.Г.
Ольдерогге. - М.: Экономика, 2008. - 960 с.
Марголин,
А.М. Экономическая оценка инвестиций: учебник / А.М. Марголин, А.Я. Быстряков.
- М.: ЭКМОС, 2008. - 365 с.
Подшиваленко,
Г.П. Инвестиции: учебное пособие / Г.П. Подшиваленко, Н.И. Лахметкина, М.В.
Макарова и др. - М. КНОРУС, 2009. - 435.
Райзберг,
Б.А. Предпринимательство и риск: учебное пособие / Б.А. Райзберг. - М.:
ИНФРА-М, 2007. - 314 с.
Ример,
М.И. Экономическая оценка инвестиций: учебник / ИМ.И. Ример, А.Д. Касатов, Н.Н.
Матиенко. - СПб.: Питер, 2008. - 480 с.
Савчук,
В.П. Бюджет капитала и финансовое обоснование инвестиционного проекта: учебное
пособие / В.П. Савчук. - М.: Омега плюс, 2008. - 283 с.
Шестаков,
А.В. Предпринимательская деятельность: учебник / А.В. Шестаков. - М: Дашков и
Ко, 2006. - 438 с.