Оценка страхового риска
1. Тестовые
задания
1. Один из обязательных признаков риска, принимаемого на
страхование - это:
а) возможность измерить и оценить риск;
б) высокая вероятность наступления риска;
в) социальное значение риска;
г) значительная величина ущерба от риска.
Ответ: а)
. Обстоятельства в условиях договора страхования,
признаваемые существенными для определения страхового риска - это:
а) сведения, сообщенные страхователем при осмотре имущества;
б) обстоятельства, учтенные при расчете тарифа;
в) обстоятельства, оговоренные страховщиком в стандартной
форме договора страхования;
г) обстоятельства, по поводу которых страховщик давал
письменный запрос в государственные органы.
Ответ: в)
. Исключаются из числа рисков, принимаемых на страхование,
следующие события:
а) достоверные;
б) связанные с катастрофическим ущербом;
в) вероятность наступления которых мала;
г) независимые случайные.
Ответ: а)
. Основанием для признания неблагоприятного события страховым
случаем является:
а) заявление страхователя;
б) соответствие происшедшего события условиям, изложенным в
договоре страхования;
в) нанесение застрахованному имуществу ущерба;
г) заявление выгодоприобретателя.
Ответ: б)
. Признаки экономической категории страхования:
а) неизбежность наступления разрушительного события;
б) раскладка ущерба на неограниченное число лиц;
в) перераспределение ущерба в пространстве, во времени, в
рамках определенного круга лиц;
г) использование страхового фонда выходит за рамки
совокупности плательщиков взносов.
Ответ: в)
2. Задача
Петрова С.И. заключила договор страхования
на случай смерти на срок 10 лет. Страховая сумма по договору составила 25 000
рублей. Норма доходности - 3,1% годовых. Рассчитать нетто-ставку на случай
смерти по данному договору и размер страхового платежа.
Решение:
Предположим, что Петровой С.И. 30 лет.
) Определяем количество умирающих за каждый год жизни
женщины:
d31 = l30 - i31
= 95466 - 95375 = 91,d32 = l31 - i32 = 95375 -
95277 = 98,d33 = l32 - i33 = 95277 - 95172 =
105,d34 = l33 - i34 = 95172 - 95059 = 113,d35
= l34 - i35 = 95059 - 94937 = 122,d36 = l35
- i36 = 94937 - 94806 = 131,d37 = l36 - i37
= 94806 - 94665 = 141,d38 = l37 - i38 = 94665
- 94513 = 152,d39 = l38 - i39 = 94513 - 94349
= 164,d40 = l39 - i40 = 94349 - 94172 = 177.
страховой риск договор событие
2) Определяем дисконтируемый множитель за каждый год,
прожитый женщиной:
Дисконтируемый множитель рассчитывается:

,

- 1-й год,

- 2-й год,

- 3-й год,

- 4-й год,

- 5-й год,

- 6-й год,

- 7-й год,

- 8-год,

- 9-год,

- 10-й год.
|
Возраст (x)
|
Число женщин,
доживающих до определенного возраста из 100000 родившихся (l) x
|
Количество
умирающих за каждый год di
|
Дисконтируемый
множитель за каждый год, прожитый женщиной, vi
|
di* vi
|
|
30
|
95466
|
|
|
|
|
31
|
95375
|
91
|
0,970
|
88,27
|
|
32
|
95277
|
98
|
0,941
|
92,22
|
|
33
|
95172
|
105
|
0,913
|
|
34
|
95059
|
113
|
0,885
|
100,01
|
|
35
|
94937
|
122
|
0,859
|
104,80
|
|
36
|
94806
|
131
|
0,833
|
109,13
|
|
37
|
94665
|
141
|
0,808
|
113,93
|
|
38
|
94513
|
152
|
0,783
|
119,02
|
|
39
|
94349
|
164
|
0,760
|
124,64
|
|
40
|
94172
|
177
|
0,737
|
130,45
|
|
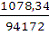
Итого:
|
|
|
|
1078,34
|
) Нетто-ставка на случай смерти определяется по другой
формуле:
nAx = 
,
где dx - количество умирающих при переходе от возраста х к возрасту х+1
год; vn - дисконтируемый множитель;
1х - количество лиц, доживших до возраста х лет.
Определяем нетто-ставку на случай смерти. Подставляем полученные
данные в формулу:
A40 = 
= 0,012
4) Определяем страховой платеж, который единовременно уплатит
женщина при заключении договора:
Страховой платеж составит:

= 3 руб.