Основные финансовые показатели в системе бизнес–планирования
Федеральное агентство по культуре и
кинематографии
Министерство культуры Российской
Федерации
Казанский государственный университет
культуры и искусств
Кафедра экономики и управления СКС
Контрольная работа по дисциплине: “Финансовый менеджмент”
на тему “Основные финансовые
показатели в системе бизнес-планирования”
Выполнил: студент 3
курса факультета ЭМиТ
группы № 61145
Шигапов М.М.
Проверил: преподаватель по финансовому менеджменту
Галяутдинова Г.З.
Казань 2014 год
Содержание
Введение
. План денежных потоков (кэш - фло)
. Дисконтирование
3. Чистая приведенная стоимость (чистый приведенный доход)
4. Период окупаемости - PBP
5. Индекс прибыльности - PI
. Внутренняя норма рентабельности -
IRR
Заключение
Список литературы
Введение
Актуальность темы « Основные финансовые показатели в системе бизнес -
планирования » очевидна в нынешних условиях российской действительности.
Связано это, прежде всего с переходом от командной модели экономики, при
которой планирование осуществлялось централизованно, к рыночным отношениям.
Современный рынок предъявляет серьезные требования к предприятию. Сложность и
высокая подвижность происходящих на нем процессов создают новые предпосылки для
более серьезного применения планирования. Основными факторами возрастающей роли
планирования в современных условиях являются:
- увеличение размеров фирмы и усложнение форм ее деятельности;
высокая нестабильность внешних условий и факторов;
новый стиль руководства персоналом;
усиление центробежных сил в экономической организации;
Возможности планирования в экономической организации предприятия
ограничены рядом объективных и субъективных причин. Наиболее важными из них
являются:
неопределенность внешней (рыночной) среды;
возможность слияния или поглощения другой фирмой;
возможность монопольного установления цены реализации продукции;
контрактные отношения;
Каждый менеджер, независимо от своих функциональных интересов, должен
быть знаком с механикой и смыслом составления, выполнения и контроля финансовых
планов, по крайней мере настолько, насколько это касается его деятельности.
Решив заняться бизнесом, предприниматель должен тщательно спланировать
его организацию. Речь идет о бизнес-планах, с которыми во всем мире принято
начинать любое коммерческой предприятие. В условиях рынка подобные планы
необходимы всем: банкирам и потребителям-инвесторам, сотрудникам фирм, желающим
оценить свои перспективы и задачи, и, прежде всего, самому предпринимателю,
который должен тщательно проанализировать свои идеи, проверить их
реалистичность. Собственно говоря, без бизнес-плана, вообще нельзя браться за
коммерческую деятельность, т.к. возможность неудачи будет слишком велика.
В рыночной экономике предприниматели не могут добиться стабильного
успеха, если не будут четко и эффективно планировать свою деятельность,
постоянно собирать и аккумулировать информацию, как о состоянии целевых рынков,
положения на них конкурентов, так и о собственных перспективах и возможностях.
. План денежных потоков (кэш - фло)
Основной расчетной исходной таблицей в бизнес-плане
является план денежных потоков (Cash-flow). Чистый Cash-flow (Движение
денежных средств) по предприятию за отчетный период рассчитывается как
арифметическая сумма Cash-flow от всех видов деятельности. Он будет
равняться приросту денежных средств и их эквивалентов за отмеченный период.
Основой расчета общего Cash - flow является Операционный
Cash-flow, который характеризует величину чистых денежных потоков, которые
образовываются в результате операционной деятельности, т. е. часть выручки от
реализации, которая остается в распоряжении предприятия в определенном периоде
после осуществления всех денежных расходов операционного характера. Наличие
операционного Cash-flow характеризует способность предприятия:
а) финансировать инвестиции за счет внутренних
финансовых источников;
б) погашать финансовую задолженность;
в) платить дивиденды.
Операционный Cash-flow и общую сумму денежных
поступлений в рамках инвестиционной деятельности можно рассматривать как
внутренний источник финансирования.
Классический способ расчета операционного Cash-flow
заключается в том, что к чистой прибыли предприятия (после налогообложения) за
определенный период прибавляются амортизационные отчисления, начисленные в этом
самом периоде, и прирост обеспечения. Если от «классического» (брутто)
Cash-flow отнять сумму начисленных дивидендов, то одержимо нетто
Cash-flow.
Дискуссионным является вопрос отнесения в состав
операционного Cash-flow процентов За пользование займами. Хотя за
логикой, уплата процентов должна бы принадлежать к денежным расходам в рамках
финансовой деятельности, в соответствии с П(С)ИБО и международными стандартами
составления финансовой отчетности эта позиция относится к операционного
Cash-flow.
На практике распространение приобрело два основной
метода расчета Cash-flow от операционной деятельности, который учитывает
упомянутые изменения в составе оборотных активов и текущих обязательств и
предусматривает отнесение процентов за пользование займами в состав
операционных расходов:
. Прямой метод, при использовании которого чистый
денежный поток (Cash-flow) от операционной деятельности рассчитывается
как разница между входными и выходными денежными потоками, которые имеют
непосредственное отношение к операционной деятельности предприятия. К входным
денежным потокам принадлежат: денежные поступления от продажи товаров в
отчетном периоде; погашение дебиторской задолженности; другие денежные
поступления от операционной деятельности (от реализации оборотных активов,
операционной аренды активов и тому подобное). К выходным денежным потокам
принадлежат денежные расходы на покрытие расходов, которые включаются в
себестоимость продукции, административных расходов, расходов на сбыт, Других
расходов в рамках операционной деятельности, а также налоги на прибыль и
проценты за пользование займами.
. Косвенный метод. Выходной величиной при
использовании этого метода являются финансовые результаты от операционной
деятельности. Осуществляется обратный к прямому методу расчет: операционные
прибыли (убытки) корректируются на статье доходов (уменьшаются) и расходов
(увеличиваются), которые не влияют на объем денежных средств (амортизация,
обеспечение следующих расходов и платежей), а также на сумму изменений в
оборотных активах и текущих обязательств, которые связаны с движением средств в
рамках операционной деятельности и уплатой процентов за пользование займами.
Показатели Cash-flow
Показатель Cash-flow характеризуется большей
объективностью по сравнению с чистой прибылью или показателями рентабельности,
рассчитанными с использованием прибыли, ведь при расчетах Cash-flow есть меньше
возможностей для манипуляций, в частности связанных с учетной политикой
предприятия и формированием скрытых резервов. Так, чистая прибыль с увеличением
уровня амортизационных отчислений и обеспечения следующих расходов уменьшается,
в то же время Cash-flow остается неизменным. Показатель Cash-flow можно
рассматривать с трех позиций:
) как индикатор ликвидности и платежеспособности
предприятия;
) как показатель результативности
финансово-хозяйственной деятельности (индикатор теперешней и будущей доходности
предприятия);
) как индикатор состоятельности к финансированию за
счет внутренних источников.
К основным показателям Cash-flow, которые
рассчитывают на практике, принадлежат такие:
. Показатель длительности погашения задолженности.
Определяется путем деления заимообразного капитала нетто (уменьшенного на сумму
денежных средств, их эквивалентов, текущих финансовых инвестиций и чистой
реализационной стоимости текущей дебиторской и задолженности) на Cash-flow (операционный).
Под заимообразным капиталом понимают все обязательства предприятия:
краткосрочные, долгосрочные, обеспечение следующих расходов и платежей и тому
подобное. Служит индикатором состоятельности предприятия за счет собственных
ресурсов выполнять свои обязательства. Показывает, сколько лет (или периодов)
предприятию нужно (за данного уровня операционного Cash-flow), Чтобы
рассчитаться со своими долгами за счет результатов операционной деятельности.
Если длительность погашения задолженности составляет 1 - 3 года, то это
нормальная ситуация с точки зрения перспектив выполнения предприятием своих
обязательств; 4 - 5 лет - удовлетворительная; более 5 - неудовлетворительная
ситуация.
. Показатель обратно пропорционален к длительности
погашения задолженности. Отношение Cash-flow к задолженности (нетто)
показывает способность предприятия рассчитаться со своими долгами за счет
денежных поступлений от операционной деятельности.
. Показатель самофинансирования инвестиций
рассчитывается путем путем деления операционного Cash - flow на величину
чистых инвестиций (сумма прироста нематериальных активов, основных средств и
долгосрочных финансовых инвестиций). Показывает частицу инвестиций,
профинансированную за счет внутренних источников. Чем высший этот показатель,
тем меньшее предприятие прибегало к привлечению внешних финансовых ресурсов при
финансировании инвестиций.
. Чистая маржа, показатель отношения Cash - flow
(операционного) к обороту от реализации продукции. Характеризует величину Cash
- flow, которая приходится на единицу оборота от реализации.
Показывает, сколько процентов выручки от реализации остается на предприятии
после осуществления всех платежей в рамках операционной деятельности.
. Показатель отношения Cash-flow к собственному
капиталу. Показывает чистый денежный поток на единицу собственного капитала.
Недостатком показателей, рассчитанных на базе
Cash-flow, есть то, что их можно только частично использовать при сравнении
эффективности деятельности различных предприятий. Это обусловлено действием
фактора амортизации. У тех предприятий, которые интенсивно начисляют износ и
запускают в действие новое, дорогое оборудование, при других равных
обстоятельствах, уровень Cash-flow будет высшим, чем у тех
предприятий, которые используют меньшее оборудование или берут его в аренду
(лизинг), однако работают с одинаковой эффективностью.
денежный поток дисконтированный окупаемость
2. Дисконтирование
Для корректного расчета будущих поступлений и показателей бизнес-плана
применяется дисконтирование. Дисконтирование является универсальной методикой
приведения будущих денежных потоков к настоящему моменту, основанной на
понятиях сложных процентов. Формула дисконтированной текущей стоимости денежных
потоков выглядит следующим образом:
где - денежные потоки i-го периода - ставка
дисконтирования - число периодов
Численное значение денежного потока характеризует
величину притока денег, если оно больше нуля, или оттока денег, если оно меньше
нуля. Положительный денежный поток формируют денежные средства, поступившие в
экономический субъект по итогам за соответствующий период, например,
поступления от продажи товаров, выполнения работ, оказания услуг. Отрицательный
денежный поток формируют денежные средства, затрачиваемые экономическим субъектом
в соответствующий период, например, инвестиции, возврат кредита, затраты на
сырьё, энергию, материалы и другие.
Дисконтирование является важнейшим механизмом,
позволяющим представлять финансовое положение организации достоверно. Это одна
из самых сложных технических проблем, с которыми сталкивается российский
бухгалтер при подготовке отчетности по МСФО. В российском учете аналогичные
требования не предъявляются, в то время как в западных системах дисконтирование
является неотъемлемой частью учета.
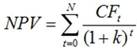
3. Чистая приведенная стоимость (чистый приведенный доход) -
NPV
Чистая приведенная стоимость (чистый приведенный доход) - NPV рассчитывается
с использованием прогнозируемых денежных потоков, связанных с планируемыми
инвестициями, по следующей формуле:
где
k - ставка дисконтирования, в качество которой
используется стоимость капитала, привлекаемого для финансирования проекта;
N - инвестиционный горизонт.
Этот показатель отражает чистый эффект от вложенных на
несколько лет финансовых средств, выраженный в «сегодняшних» денежных единицах.
При расчете чистой приведенной стоимости инвестиции в стоимость денег
включается доход будущего периода, что позволяет принимать во внимание такие
категории, как стоимость капитала, процентные ставки и стоимость инвестиционных
возможностей. Данная метрика особенно полезна при анализе долгосрочных
проектов. Однако оценка инвестиций по методу чистой приведенной стоимости не
дает возможности сопоставлять абсолютные уровни инвестиций, так как анализ
осуществляется в категориях движения денежной наличности, а не в категориях
прибылей и убытков, принятых в бухгалтерских системах. Кроме того, чистая
приведенная стоимость весьма чувствительна к проценту дисконта, а этот
показатель порой бывает трудно определить.
Метод NPV, в отличие от получившего более широкое
распространение метода оценки инвестиций на основе срока окупаемости, оперирует
временной стоимостью денег, выражая будущие поступления наличности в масштабе
их сегодняшней стоимости. Иными словами, рассматриваемая методика основывается
на том, что деньги обладают стоимостью, так что располагать долларом сегодня
более выгодно, нежели иметь его через год. Для того, кто получает на свои
денежные средства 10-процентный доход, «сегодняшний» доллар через год
превратится в 1,1 доллара. Или, если взглянуть на ту же ситуацию под другим
углом, «текущая», приведенная стоимость денежной суммы в 1,1 долл., которую мы
получим через год, составляет ровно один доллар. Вряд ли кто-нибудь решится на
инвестицию, зная, что ее чистая приведенная стоимость имеет отрицательное
значение. Закономерность проста: чем выше NPV, тем (при прочих равных условиях)
привлекательнее капиталовложение.
При расчете чистой приведенной стоимости применяется
такой показатель, как ставка дисконта, равная некоторой минимальной желаемой
норме прибыли. В качестве ставки дисконта можно использовать средневзвешенную
стоимость капитала вашей компании, включающего задолженность и активы. Если
стоимость капитала в вашей компании составляет 10%, вы вряд ли пожелаете
инвестировать такой капитал при ожидаемой прибыли в 8%. К сожалению, расчет
стоимости капитала может быть сопряжен с трудностями и не всегда дает
бесспорные результаты.
4. Период окупаемости - PBP
Период окупаемости - это время, которое требуется для
того, чтобы сумма поступлений от реализации проекта возместила сумму расходов
на его внедрение Период окупаемости обычно измеряется в годах или месяцах.
Пример: Для реализации проекта необходимы начальные
инвестиции в размере 250 млн у.е. Менеджеры планируют получать от реализации
проекта ежегодные поступления в размере 90 млн у.е. Срок окупаемости этого
проекта может быть рассчитан таким образом:

где(Initial investment) - сумма инвестиций
(расходов)(Annual cash inflow) - ежегодные поступления
Общее правило принятия проектов по критерию PBP: из
альтернативных проектов принимается проект, который имеет меньший период
окупаемости.
Оценка периода окупаемости является разновидностью
расчета точки безубыточности, так как по истечении срока окупаемости проект
начинает приносить выгоды.
К достоинствам этого метода следует отнести в первую
очередь простоту расчетов. В силу этого качества, отсекая наиболее сомнительные
и рискованные проекты, в которых основные денежные потоки приходятся на конец
периода, метод иногда используется как простой метод оценки риска
инвестирования. Такой метод возможно будет выгоден для оценки проектов,
касающихся тех продуктов, спрос на которые нестабилен. Кроме того, он удобен
для небольших фирм с маленьким денежных оборотом, а также для быстрого
оценивания проектов в условиях нехватки ресурсов.
Однако у данного метода есть и очень серьезные
недостатки. Во-первых, выбор нормативного срока окупаемости может быть
субъективен. Во-вторых, метод не учитывает доходность проекта за пределами
срока окупаемости и, значит, не может применяться при сравнении вариантов с
одинаковыми периодами окупаемости, но различными сроками жизни. Кроме того,
метод не годиться для оценки проектов, связанных с принципиально новыми
продуктами. Точность расчетов по такому методу в большей степени зависит от
частоты разбиения срока жизни проекта на интервалы планирования. Риск также
оценивается весьма грубо.
Основной недостаток показателя срока окупаемости как
меры эффективности заключается в том, что он не учитывает весь период
функционирования инвестиций и, следовательно, на него не влияет вся та отдача,
которая лежит за его пределами. И, следовательно, такая мера, как срок окупаемости,
должна служить не критерием выбора, а использоваться лишь в виде ограничения
при принятии решения. Соответственно, если срок окупаемости проекта больше, чем
принятое ограничение, то он исключается из списка возможных инвестиционных
проектов.
5. Индекс прибыльности - PI
Индекс прибыльности (Profitability Index, PI)
рассчитывается по следующей формуле:
где- чистый денежный поток для i-го периода,-
начальные инвестиции- ставка дисконтирования (стоимость капитала, привлеченного
для инвестиционного проекта).
При значениях PI > 1 считается, что данное вложение
капитала является эффективным.
Индекс прибыльности (profitability index, PI)
показывает относительную прибыльность проекта, или дисконтированную стоимость
денежных поступлений от проекта в расчете на единицу вложений. Он
рассчитывается путем деления чистых приведенных поступлений от проекта на
стоимость первоначальных вложений.
Достоинства метода: простая интерпретация,
относительность показателя, что позволяет ранжировать проекты при ограниченных
инвестиционных ресурсах.
Недостатки метода: неоднозначность при дисконтировании
отдельно денежных притоков и оттоков.
6. Внутренняя норма рентабельности -
IRR
Внутренняя норма рентабельности - IRR (Internal Rate
of Return, IRR) определяет максимальную стоимость привлекаемого капитала, при
которой инвестиционный проект остается выгодным. В другой формулировке, это
средний доход на вложенный капитал, обеспечиваемый данным инвестиционным проектом,
т.е. эффективность вложений капитала в данный проект равна эффективности
инвестирования под IRR процентов в какой-либо финансовый инструмент с
равномерным доходом.рассчитывается как значение ставки дисконтирования, при
которой NPV=0. Как правило, значения IRR находят либо графическими методами
(построив график зависимости NPV от ставки дисконтирования), либо с помощью
специализированных программ. IRR не всегда может быть корректно получен из
уравнения NPV=0, при определенных значениях денежных потоков это уравнение
может не иметь решений или иметь несколько решений. В таких ситуациях IRR
проекта считается неопределенным. Для того, чтобы исключить эти сложности,
иногда используется модифицированная внутренняя норма рентабельности, хотя этот
показатель распространен значительно меньше, чем IRR.
Внутренняя норма рентабельности рассчитывается по
формуле:
(Net Cash Flow) - Чистый денежный поток - сумма
инвестиционных вложений в проект- ставка дисконтирования- период анализируемого
проекта - шаг расчета (месяц, квартал, год), i=1, 2, ...,n
Заключение
Итак, процесс составления бизнес-плана достаточно
сложный и требует усилий различных подразделений фирмы или привлечения
сторонней проектной организации Финансовые показатели составляют лишь
небольшую, хотя и очень с существенную, его часть Все они связаны двумя
формами: отчетом о прибылях и убытках и отчет о движении денежных средств,
состоящие по прогнозным данным Степень детализации нужных при этом данных
(например, номенклатура статей издержек производства и обращения) определяется
сложностью проекта, степени конфиденциальности, кругом лиц, для которых
составляется бизнес-план, и тому подобное.
Объем, степень детализации и структура бизнес-плана
определяются назначением и спецификой хозяйственного объекта, его размерами,
сферой деятельности. Однако в любом его варианте должны присутствовать мы
ответы на наиболее общие вопросы: кто, что, когда, каким образом, за счет каких
средств и насколько эффективно осуществлять свой бизнес?
Бизнес-план разрабатывается на год или на более
длительный период зависимости от масштаба целевого проекта Чем короче
планируемый период, тем более детальным должно быть проработки основных
аспектов деятельности. В том случае, если проект рассчитан на несколько лет,
основные показатели и ориентиры для первого года подаются в разбивке по
месяцам, для последующих лет обычно ограничиваются годовыми данными.
Форм, жестко регламентирующих бизнес-план и его
структуру, естественно, не существует. Они зависят от назначения бизнес-плана,
особенностей предприятия, выпускаемой продукции, и ряда других факторов.
Список литературы
1. Л.В. Пашковская. Основы
финансового менеджмента. - М.: ГИУСТ БГУ, 2012. - 196 с.
. Б.М. Широков. Малый бизнес.
Финансовая среда предпринимательства. - М.: Финансы и статистика, 2011. - 496
с.
. М.И. Ткачук, О.А. Пузанкевич.
Финансовый менеджмент. Ответы на экзаменационные вопросы. - М.: ТетраСистемс,
2012. - 112 с.
. П.Н. Брусов, Т.В. Филатова.
Финансовый менеджмент. Математические основы. Краткосрочная финансовая
политика. - М.: КноРус, 2012. - 304 с.
. Питер Этрилл, Эдди Маклейни.
Финансовый менеджмент и управленческий учет для руководителей и бизнесменов. -
М.: Альпина Паблишер, 2012. - 648 с.
. Роберт С.Хиггинс, Маргарита
Раймерс. Финансовый менеджмент. Управление капиталом и инвестициями. - М.:
Вильямс, 2013. - 464 с.
. А.В. Тюрина. Терминологический
словарь финансового менеджера (русско-английский). - М.: КноРус, 2010. - 184 с.
. В.Ф. Балащенко, Т.Е. Бондарь.
Финансовый менеджмент. - М.: ТетраСистемс, 2010. - 272 с.
. С.М. Пястолов. Анализ
финансово-хозяйственной деятельности. - М.: Академия, 2010. - 336 с.
. И.А. Лисовская. Финансовый
менеджмент. - М.: Рид Групп, 2011. - 352 с.
. М.А. Лимитовский, Е.Н. Лобанова,
В.П. Паламарчук, В.Б. Минасян. Корпоративный финансовый менеджмент. - М.:
Юрайт-Издат, 2012. - 992 с.
. Финансовый менеджмент. - М.:
КноРус, 2013. - 656 с.
. П.Н. Брусов, Т.В. Филатова.
Финансовый менеджмент. Математические основы. Краткосрочная финансовая
политика. - М.: КноРус, 2012. - 304 с.
. В.В. Ковалев. Финансовый
менеджмент. Теория и практика. - М.: Проспект, 2012. - 1104 с.
. Г.И. Просветов. Финансовый
менеджмент. Задачи и решения. - М.: Альфа-Пресс, 2013. - 340 с.
. О.А. Братухина. Финансовый
менеджмент. - М.: КноРус, 2011. - 240 с.
. Е.А. Кандрашина. Финансовый
менеджмент. - М.: Дашков и Ко, 2012. - 220 с.
. Т.П. Варламова, М.А. Варламова.
Финансовый менеджмент. - М.: Дашков и Ко, 2012. - 304 с.
. Л.А. Мочалова, А.В. Касьянова, Э.И.
Рау. Финансовый менеджмент. - М.: КноРус, 2012. - 384 с.