Парадокс Дитона-Паксон

  • Вид работы:
    Контрольная работа
  • Предмет:
    Эктеория
  • Язык:
    Русский
    ,
    Формат файла:
    MS Word
    213,08 Кб
  • Опубликовано:
    2016-09-21
Вы можете узнать стоимость помощи в написании студенческой работы.
Помощь в написании работы, которую точно примут!

Парадокс Дитона-Паксон

Введение


Тема парадокса Дитона-Паксон актуальна для изучения в современном обществе. Исследования, связанные с особенностями потребления домохозяйств важны для проведения грамотной социально-экономической политики государства и адресной поддержки социально-незащищённых домохозяйств Размеры различных социальных пособий, дотаций, материальной помощи, пособий по безработице, пенсии и так далее рассчитываются, исходя из учета многих факторов, в том числе с учетом возможной экономии на масштабе, которая непосредственно связана с наличием парадокса. Для корректного регулирования объёма и структуры адресной поддержки населения необходимо владеть более полной информацией о домохозяйствах, для чего важно проводить подобные исследования.

Чтобы добиться проведения экономически эффективной и оправданной для бюджета государственной политики проводится множество исследований домохозяйств, в том числе регулярные социальные опросы репрезентативной выборки населения. Исследования, основанные на парадоксе Дитона-Паксон призваны, как правило, обеспечить более корректный расчёт уровня бедности в стране, при котором также необходимо учитывать возможную экономию на масштабе, в связи с чем обеспечить домохозяйствам более качественную поддержку со стороны государства.

Данное исследование базируется на ежегодных лонгитюдных обследованиях Российского мониторинга экономического положения и здоровья населения НИУ ВШЭ (далее РМЭЗ). За годы обследований РМЭЗ довели размер выборки до более, чем 3700 домохозяйств (за 2012 год), что безусловно является преимуществом при проведении исследования, базирующегося на этих данных.

Цель данного исследования - рассчитать силу парадокса Дитона-Паксон в России, изучить его изменение во времени, а также сравнить силу влияния парадокса в городе и селе. Результаты помогут дифференцировать политику, проводимую для крупных городов от политики, проводимой для более мелких сёл, посёлков городского типа и т. д.

Подобных исследования в России проводилось немного. Парадокс Дитона-Паксон в России - тема далеко не самая исследованная, одни из немногих, кто начал движение в эту сторону стали Абанокова, Локшин, Денисова и Овчарова. Однако их работы в основном связаны с определением уровня бедности (Абанокова, и др., 2014), (Ovcharova, et al., 1998) склонности к укрупнению (Абанокова, и др., 2013) и распределения дохода (Denisova, 2012). Никто из них не сравнивал силу парадокса для различных домохозяйств по географическому признаку. Тот факт, что структура домохозяйств в городах и сёлах, а также их повседневная жизнь сильно различаются, делает такое обследования необходимым для более полной информации о разницы жизни в городах и сёлах. Как правило, в сёлах работа индивидов больше связана с натуральным трудом, чем в городе, что, естественно, сказывается на расходах домохозяйств. К тому же, при прочих равных, доходы в менее крупных населённых пунктах ниже по сравнению с более крупными. Также, в сёлах, зачастую, большее число детей в семьях, по сравнению с аналогичными семьями в городах.

Задачами данного исследования являются:

1)      изучение различий в описательных статистиках показателей, характеризующих домохозяйства в различных типах поселения;

)        оценка моделей, связанных с более подробным изучением парадокса Дитона-Паксон в России;

)        выявление проблем в полученных моделях и их устранение для получения более эффективных и точных оценок;

)        описание и интерпретация полученных результатов;

)        изучение сравнительной динамики в проявлениях эффекта Дитона-Паксон для различных типов населённых пунктов в течение периода с 1994 по 2012 г.

Объектом исследования являются российские домохозяйства. Репрезентативную выборку, как было сказано выше, предоставляет РМЭЗ. Их домохозяйства довольно дифференцированы по географическому признаку, что позволяет использовать эту выборку для решения задач в рамках данного исследования. В качестве единицы наблюдения берётся домохозяйство за  год наблюдения. Предметом исследования является сравнение силы влияния парадокса Дитона-Паксон на долю расходов на частные товары (Private goods), в частности, на еду дома и вне дома.

В результате исследования предполагается выявить наличие парадокса Дитона-Паксон в России на протяжении всего времени исследования (1994-2012 гг.) для общей выборки домохозяйств. Также, предполагается, что между городом и селом проявятся значимые различия по силе влияния парадокса. Описываемый эффект в сельских домохозяйствах предполагается более влиятельным, чем в городских.

Исследование организовано следующим образом: в Разделе 2 проводится обзор литературы, использовавшейся для проведения исследования, а также описывается теоретическое обоснование возникшего парадокса. Далее в Разделе 3 описывается принцип выбора и построения модели для анализа выборки, методы исправления ошибок модели, а также описываются переменные, использующиеся в процессе анализа. В этом же разделе формулируются гипотезы, поставленные в соответствии с теоретическими основаниями. В Разделе 4 представлены полученные результаты, а также производится сравнение результатов с поставленными в начале исследования гипотезами. В Разделе 5 выводы и заключения, исходя из полученных результатов.

1.  Обзор литературы


Рассматриваемый парадокс был описан в статье Дитона и Паксон (Deaton, et al., 1998). Они анализировали опросы домохозяйств в различных странах, исследуя зависимость доли расходов на еду и численности домохозяйства. Изначально их гипотеза состояла в том, что при укрупнении домохозяйств общественные блага становятся относительно дешевле, так как более крупное домохозяйство получает различные скидки на них. При этом частные становятся относительно дороже, так как их реальная стоимость не меняется. Следовательно, более крупные домохозяйства должны больше тратить на еду и одежду, чем на отдых и развлечение, то есть доля расходов на еду должна вырасти. Однако последующий параметрический анализ показал отрицательную зависимость доли расходов на еду от логарифма численности домохозяйства, что противоречило первоначальным гипотезам. Авторы попытались объяснить наличие этого эффекта и привели 8 возможных объяснений. Во-первых, большие домохозяйства могут получать выгоду при покупке продуктов из-за более низких цен. Об этом позже писал (Nelson, 1988). Также, они писали про большой эффект замещения общественных товаров частными, возникающий при объединении домохозяйств. В-третьих, возможно наличие ошибок измерения при сборе информации о домохозяйствах с помощью опросов. Позже, это подтвердили Ахмед и соавторы (Ahmed, et al., 2006). Они показали наличие значительных ошибок измерения при работе с данными, собранными по опросам домохозяйств. Вместо этого они предложили использовать данные, собранные по дневникам, которые домохозяйства вели на протяжении определённого периода, что значительно уменьшило смещение оценок модели. Однако данный вид сбора данных требует значительно больше времени для исследования, чем обычный опрос домохозяйств.

В качестве последнего объяснения данного факта авторы упомянули экономию на масштабе крупных домохозяйств в особенности при приготовлении еды дома. Однако этих объяснений оказалось недостаточно, поэтому исследования продолжились, а описанный в статье эффект впоследствии назвали парадоксом Дитона-Паксон.

Их исследования были проведены с зависимой переменной для доли расходов на еду, одежду, товары длительного пользования, алкоголь и табак в общей доле расходов. Исследования продолжились и на других данных в других странах.

Помимо параметрического анализа Дитон и Паксон провели непараметрический анализ с помощью кривых Энгеля. (Engel, 1895). Также они критиковали предположение Энгеля о нулевой эластичности замещения частных благ общественными, и справедливость этой критики была доказана в их работе при последующем параметрическом анализе.

Позже подобное исследование провели Гард и соавторы (Gardes, et al., 2000). Они исследовали некоторые из объяснений на польских данных за 1987-1990 гг., составив панель по домохозяйствам за эти 3 года. Позже, для тех же данных они использовали псевдопанель по когортам, построенным по составу семьи, и получили более значимых оценок (Gardes, et al., 2005). Однако использование принципа разделения членов домохозяйств на когорты по неменяющимся признакам, таким как пол и год рождения, было предложено Дитоном значительно раньше (Deaton, 1985), чтобы оценить индивидуальный эффект каждой когорты для повторяющихся пространственных наблюдений (repeated cross-sections). Единицей наблюдения в его исследовании была 1 когорта, а не одно домохозяйство. Причины повышения эффективности оценок при использовании псевдопанелей описал Вербик (Verbeek, 2008). Однако ранее, были предложены альтернативные пути оценивания коэффициентов в таких моделях (McKenzie, 2004).

Классиками-исследователями данного парадокса в России стали исследований Абанокова и Локшин (Абанокова и др., 2013, 2014). В своих статьях на данных РМЭЗ-ВШЭ они продемонстрировали степень экономии на масштабе больших домохозяйств и склонность к их укрупнению в период экономического кризиса.

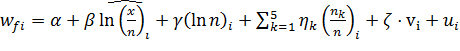
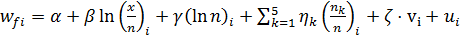
Исходная модель, использованная Дитоном, представляла из себя параметрическую регрессию с разделением членов домохозяйств на различные группы по количеству детей, их возрасту и количеству взрослых в семье.

 

В этой модели  это доля расходов на еду в общих расходах (изначально рассматривались расходы на еду, но авторы также рассмотрели другие частные блага, например, расходы на одежду, алкоголь и табак),  это доля общих расходов на человека,  это логарифм численности домохозяйства,  это набор переменных, описывающих структуру домохозяйства. По сути, это доля членов домохозяйств, состоящих в определённой из K групп. Принадлежность каждого индивида к определённой группе определяется его полом и возрастом. При этом разделение происходит так, чтобы каждый член семьи попал только в 1 группу. Однако такие группы не являются постоянными во времени.

Коэффициент , описывающий зависимость между логарифмом численности -го домохозяйства и долей расходов на еду в общих расходах отражает сложившийся парадокс. На различных данных, в том числе на опросах домохозяйств в развивающихся странах, данный коэффициент сохранялся отрицательным и при том значимым, что и говорит о наличии парадокса: с ростом численности домохозяйства в среднем расходы на человека падают. Причем в бедных странах эффект проявлялся заметнее, чем в развитых.

Элемент  отражает набор контрольных переменных для модели. Авторы включали туда процент работающих членов домохозяйств как фактор, напрямую влияющий на потребление еды. Для бедных стран были также включены сельскохозяйственные факторы, связанные с состоянием фермы домохозяйства (при наличии), число членов домохозяйств, работающих на ней, дамми на тип населённого пункта (город или село) и другие факторы.

2.      Методология

 

.1 Описание переменных


Деление домохозяйств на группы и добавление контрольных переменных производилось в соответствии с делением, предложенным Абаноковой и Локшиным (Абанокова, и др., 2014). В качестве групп, контролирующих структуру домохозяйства, выберем доли детей до 7 лет, детей от 7 до 18 лет, взрослых от 18 и до пенсионного возраста (с делением по полу) и взрослых пенсионеров (для женщин - старше 55 лет, для мужчин - старше 60 лет). Сумма долей групп для каждого домохозяйства равна 1, поэтому, во избежание «ловушки дамми» в модели одна группа должна быть выбрана в качестве базовой. Мы за базовую группу обозначим долю детей в возрасте от 7 до 18 лет. Такое деление на группы позволяет контролировать динамику структуры домохозяйств, что позволяет сделать дополнительные выводы о выборке обследования.

В качестве дополнительных характеристик домохозяйства используется доля работающих индивидов в домохозяйстве, полученная из индивидуальных опросников по индивидам, а также переменная, определяющая статус населённого пункта проживания домохозяйства. Всего РМЭЗ определяет 4 типа населённых пункта:

·        Областной центр;

·        Город;

·        Посёлок городского типа (ПГТ) - промежуточный тип населённого пункта между селом и городом;

·        Село.

Для большей информативности и показательности деление по типу населённого пункта оставим так, как есть изначально в РМЭЗ. За базовую переменную обозначим «село». В более крупных городах и областных центрах ожидается ослабление исследуемого эффекта.

Переменная расходов на человека инструментируется доходами на человека. Это подход Дитона и Паксон, описанный в (Deaton, et al., 1998). Считается, что расходы подвержены ошибкам измерений, потому что их определение сопряжено с рядом трудностей, к тому же в РМЭЗ явно не задаётся вопрос о величине общих расходов, что вызывает дополнительные сложности. В общем случае расходы считаются по формуле потребления, исходя из макроэкономических тождеств, как доходы домохозяйства за вычетом сбережений. Абанокова и Локшин утверждают, что доход также может быть подвержен ошибкам измерения, однако его нахождения существенно проще. К тому же предполагается, что их ошибки измерения не коррелируют. Тесты на эндогенность переменной расходов показывают наличие эндогенности во всех моделях, к тому же расходы и доходы показывают высокую значимую корреляцию в среднем около 0.8.

Для сравнения разницы силы парадокса Дитона-Паксон по различным типам населённых пунктов во времени будем оценивать исходную модель в динамике за 1994-2012 гг. Выбранные ключевые года - 1994, 2000, 2004, 2008, 2012. За единицу наблюдения мы берём домохозяйство в каждый из исследуемых годов. Построенную модель будем оценивать 5 раз (за каждый год отдельно). За каждый год будем оценивать модель по общей выборке, а также по подвыборкам домохозяйств, разделённых по типу поселения. Полученные результаты можно будет сравнить в динамике, а также сравнить средние эффекты влияния парадокса за рассматриваемый период.

Мы не приводили данные по расходам и доходам к одному периоду, а рассматривали модели с номинальными величинами. При этом, понимая, что в этом случае в модели возможно появление эндогенности, был проведён RESET-тест Рамсея на наличие пропущенных переменных в модели (Ramsey, 1969). Нулевая гипотеза теста формулируется, как: «в модели отсутствуют пропущенные переменные». Для оцениваемых моделей данная гипотеза не отвергается на 5% уровне значимости. Такой результат показывает отсутствие пропущенной переменной дефлятора в модели и позволяет не переходить к реальным величинам дохода и расхода.

Описательная статистика используемых переменных приведена в Таб. 1.:

Таблица 1.Описательная статистика переменных, используемых в модели

Переменные

1994 г.

2000 г.

2004 г.

2008 г.

2012 г.


Среднее значение

Среднее значение

Среднее значение

Среднее значение

Среднее значение


(Стандартное отклонение)

(Стандартное отклонение)

(Стандартное отклонение)

(Стандартное отклонение)

(Стандартное отклонение)

Доля расходов на продукты питания в общих расходах домохозяйства

0.499 (0.281)

0.495 (0.259)

0.434 (0.228)

0.356 (0.192)

0.331 (0.185)

Логарифм численности домохозяйства

0.923 (0.526)

0.869 (0.539)

0.850 (0.540)

0.834 (0.547)

0.851 (0.552)

Доля домохозяйств, проживающих в сёлах

0.244 (0.429)

0.267 (0.442)

0.250 (0.433)

0.253 (0.435)

Доля домохозяйств, проживающих в областных центрах

0.433 (0.496)

0.415 (0.493)

0.413 (0.492)

0.428 (0.495)

0.485 (0.500)

Доля домохозяйств, проживающих в городах

0.285 (0.451)

0.277 (0.448)

0.280 (0.449)

0.270 (0.444)

0.215 (0.411)

Доля домохозяйств, проживающих в посёлках городского типа

0.0515 (0.221)

0.0560 (0.230)

0.0594 (0.236)

0.0560 (0.230)

0.0602 (0.238)

Логарифм подушевых денежных доходов домохозяйства

11.84 (0.813)

6.845 (0.773)

7.786 (0.918)

8.857 (0.667)

8.859 (0.733)

Логарифм подушевых денежных расходов домохозяйства

11.680 (0.880)

6.730 (0.836)

7.897 (0.741)

9.382 (0.630)

9.37 (0.632)

Доля детей до 7 лет

0.063 (0.131)

0.039 (0.103)

0.039 (0.103)

0.04 (0.105)

0.049 (0.115)

Доля детей в возрасте 7-18 лет

0.128 (0.191)

0.127 (0.188)

0.105 (0.174)

0.082 (0.157)

0.081 (0.153)

Доля мужчин в возрасте 18-59 лет

0.249 (0.230)

0.228 (0.230)

0.246 (0.247)

0.247 (0.248)

0.246 (0.251)

Доля женщин в возрасте 18-55 лет

0.244 (0.227)

0.260 (0.249)

0.263 (0.256)

0.265 (0.268)

0.257 (0.262)

Доля мужчин пенсионного возраста

0.079 (0.193)

0.097 (0.214)

0.085 (0.204)

0.084 (0.204)

0.088 (0.205)

Доля женщин пенсионного возраста

0.237 (0.335)

0.249 (0.345)

0.261 (0.352)

0.28 (0.358)

0.278 (0.353)

Доля занятых в домохозяйстве

0.368 (0.324)

0.342 (0.324)

0.374 (0.339)

0.403 (0.349)

Количество наблюдений

3050

2605

2878

3215

3707

Источник: данные РМЭЗ-ВШЭ

Изменения с течением времени заметны по некоторым переменным. Например, доля женщин в трудоспособном возрасте выросла с 24% до 25.7%. Рост продолжался на протяжении всего обследуемого периода. Аналогично, на 2.8 процентных пунктов сократилась и доля женщин пенсионного возраста. По этой когорте наблюдался рост вплоть до 2008 года, затем её доля в общей численности домохозяйства упала на 0.2 процентных пункта. Доля детей до 7 лет показывала снижение до 2008 года на 3 процентных пункта, однако потом немного выросла до 4.9%. При этом доля когорты детей-подростков от 7 до 18 лет показывала довольно значительное падение в течение всего периода с 12.8% до 8.1%. Это может свидетельствовать о падении рождаемости в связи с кризисом 2008 года и тяжелой экономической ситуацией в последующие годы.

Доля мужчин трудоспособного возраста упала на 0.3 процентных пунктов. В течение всего времени обследования динамика этой группы была довольно нестабильной, доля такой когорты упала в 2000 году и далее показывала практически неменяющиеся значения 24.6%. В свою очередь доля пенсионеров мужчин выросла на 0.9 процентных пунктов, хотя основной период роста был в 1994-2000 гг., а потом началось падение, продолжавшееся вплоть до 2012 года, в котором среднее значение этой когорты стало равно 8.8%.

За исследуемые 18 лет подушевые расходы домохозяйств упали на 19.78%, доходы сильнее - на 25.17%. Самое большое падение было отмечено в период с 1994 по 2000 гг. - тогда логарифмы доходов и расходов упали почти в два раза. Однако описывать динамику номинальных доходов и расходов нет смысла, поскольку за рассматриваемые 18 лет реальная стоимость рубля сильно изменилась. Также снизилась и средняя численность семей - на 7.6%. Возможно, домохозяйства имели тенденцию к уменьшению численности из-за кризисов 1998 и 2008-х годов и плохого финансового положения.

Что касается зависимой переменной, то на протяжении всего периода исследования она показывала спад, так что к 2012 году средняя доля расходов на еду в общих расходах составила лишь 33.1% против 49.9% в 1994 году. Так как размеры домохозяйства снижались, можно предположить, что реальный доход всё же показывал рост, что побуждало индивидов больше тратить на другие частные или общественные товары и услуги. Также возможно, что снижение размеров домохозяйств проявилось в уменьшении детей, что также привело к снижению расходов на еду.

Что касается местонахождения домохозяйств, то за указанные годы наблюдался рост урбанизации населения. Причём отток домохозяйств из сёл составил лишь 1.64%, в то время как отток из городов в пользу областных центров составил 24.56%. При этом такой сильный отток наблюдался лишь в период 2008-2012 гг., до этого времени доля домохозяйств, зарегистрированных в городах, в целом практически не менялась. То же можно сказать и про областные центры, хотя этот показатель показывал нестабильную динамику за рассматриваемый период; всё же этот показатель вырос на 12% за весь период.

Первоначальный графический анализ позволяет увидеть некоторые зависимости ещё до построения модели. На Рис. 1-5 показаны графики зависимости доли расходов на еду от численности домохозяйства за 1994-2012 гг. Графики типа «ящик с усами» («box with whiskers» plot) хорошо отражает распределение домохозяйств, сгруппированное по их численности. В ящике содержатся значения от первой до третьей квантили, в середине ящика находится медиана выборки. В «усах» содержатся статистически значимые значения выборки. Точками на графике изображаются выбросы, которые выходят за рамки значимой выборки.

Рис. 1 Зависимость доли расходов на еду от численности домохозяйства. 1994 год.

Рис. 2. Зависимость доли расходов на еду от численности домохозяйства. 2004 год.

Рис. 3 Зависимость доли расходов на еду от численности домохозяйства. 2000 год.

Рис. 4 Зависимость доли расходов на еду от численности домохозяйства. 2008 год.

Рис. 5. Зависимость доли расходов на еду от численности домохозяйства. 2012 год.

Видно, что сила эффекта в 1994 году, в принципе, не сильно заметна. Во всех четырёх типах населённых пунктов парадокс показывается слабо, средняя доля расходов снижается до менее, чем 0.5 при достижении достаточно большого домохозяйства, в некоторых типах регионов вообще возвращается на исходный уровень. При увеличении домохозяйства, средняя доля расходов на еду меняется довольно непредсказуемо, например, в городских и сельских домохозяйствах подскакивает, в то время, как в семьях, находящихся в ПГТ и областных центрах падает. Это связано с резким снижением количества больших домохозяйств вплоть до одного домохозяйства во всех областных центрах и городах (это семья с 10 членами, проживающими в ней). В данном исследовании мы не очищаем выборку от таких выбросов, поскольку их влияние не велико из-за небольшого разрыва. Однако следует учитывать, в частности для 1994 года, что оценки эффекта могут быть завышенными, по сравнению с истинными. Ожидаются значимые оценки для жителей областных центров, но из-за крайних выбросов, не стоит присматриваться к ним всерьёз. В целом для остальных групп ожидаются незначимые оценки

Однако для 2004 года, эффект становится более влиятелен, чем раньше. Это видно даже несмотря на выбросы при большой численности домохозяйств, связанных, очевидно, с недостаточным количеством наблюдений. Для этого года ожидаются значимые оценки для сельских домохозяйств и городских. Кстати для них средние значения практически не отличаются друг от друга с ростом численности домохозяйств. Для домохозяйств из областных центров эффект заметен не сильно, а вот для жителей ПГТ доля расходов падает значительно сильнее, чем для первых.

В 2012 году по всем переменным наблюдаются довольно значительные выбросы из основной выборки. Особенно это заметно на общем графике и графикам по городам и областным центрам. Причём выбросы идут вверх, что говорит о появлении большого числа домохозяйств с долей расходов на еду заметно выше, чем в среднем по выборке. Причиной этого может быть сильное снижение реальных доходов населения, что привело к снижению расходов на другие блага (товары роскоши с высокой эластичностью по доходу) и, соответственно, увеличило долю расходов на еду дома и вне дома, при том, что расходы на еду в абсолютном выражении остались постоянны. Также, при снижении дохода, возможен рост спроса на инфериорные блага (товары с отрицательной эластичностью по доходу), в числе которых не мало продуктов питания, что ещё сильнее увеличивает зависимую переменную. С ростом размера домохозяйств разброс в значениях снижается, хотя отдельные выбросы всё ещё остаются, однако они не так заметны. Это говорит о том, что большим домохозяйствам удалось избежать такого заметного снижения дохода, у них практически нет выбросов, к тому же они обладают намного меньшим разбросом относительно медианы.

2.2 Обоснование выбора модели


Модель, исследуемая в данной работе основывается на исходном варианте Дитона (Deaton, et al., 1998), но без использования панелей и псевдопанелей, а только исходя из повторяющихся пространственных наблюдений.

Итоговая модель 1 оценивания выглядит следующим образом:

 

где  - доля расходов на еду в общих расходах домохозяйства;  - логарифм подушевых расходов домохозяйства,  - логарифм численности домохозяйства,  - это набор дамми переменных, отражающих место нахождения домохозяйства (1 - областной центр, 2 - город, 3 - ПГТ),  это набор когорт (всего их 6, но, во избежание «ловушки дамми», 1 берём за базовую), описанных ранее, а переменная  это набор контрольных переменных модели. В данной модели в качестве контрольной используется доля работающих индивидов в домохозяйстве. Такая модель была оценена на подвыборках по ключевым годам: 1994, 2000, 2004, 2008 и 2012 гг. Всего по данной модели было получено 5 оценок коэффициентов (по 1 на каждый год).

Также, была оценена Модель 2, которая выглядит следующим образом:

 

Эта модель отличается отсутствием дамми переменных статуса местонахождения домашних хозяйств. Вместо этого такая модель была оценена для подвыборок Село, Областной центр, ПГТ и Город по ключевым годам (1994, 2000, 2004, 2008 и 2012 гг.), то есть всего по данной модели мы получили 20 оценок коэффициентов. Выбор такого метода оценивания помогает непосредственно сравнить коэффициент парадокса Дитона-Паксон  различных типов населённых пунктов домохозяйств, в отличии от модели, оценённой для всей выборки.

Оценивание модели проводится по двухшаговому методу наименьших квадратов (Two-stage least squares - 2SLS). Метод инструментирования был описан в (Durbin, 1954), а позже (Sargan, 1958). Выбор такого метода оценивания принимается исходя из наличия значимой эндогенной переменной логарифма подушевых расходов домохозяйства. Выше уже был описан метод инструментирования расходов доходами и было показано, что использование такого инструмента вполне обосновано и высоко значимо статистически (см. стр. 10). Двухшаговый МНК на первом шаге оценивает модель, где в качестве зависимой переменной используется эндогенная переменная (в данном случае логарифм подушевых расходов), а в качестве независимых - все экзогенные переменные в модели, а также инструменты (в данном случае логарифм подушевых доходов). Далее по оценкам модели предсказываются значения эндогенной переменной, которые впоследствии используются на втором шаге.На втором шаге строится исходная модель, только вместо реальных значений эндогенной переменной берётся переменная предсказанных значений. Далее проводится тест на эндогенность, который показывает, стоило ли включать в модель инструментированную переменную. Проверка в данной модели проводится с помощью теста Вулдриджа (Wooldridge, 1995) для моделей с матрицей стандартных ошибок, устойчивой к гетероскедастичности с нулевой гипотезой о том, что все переменные в модели экзогенные. В данном случае инструменты показали высокую значимость, мы отвергли нулевую гипотезу, так как для большинства моделей выполнялось . К тому же, имелась изначальная теоретическая предпосылка для использования инструментов, что является довольно сильным аргументом за их использование.

Вспомогательная модель, построенная на первом шаге 2SLS выглядит следующим образом:

 

где  это инструментальная переменная - логарифм подушевых расходов, а  это набор остальных экзогенных переменных моделей. Затем, строится вторая модель, которая выглядит, как:

 

где вместо исходной переменной логарифма подушевых доходов, используются предсказанные значения подушевых расходов

Выше на графиках была видна неоднородность распределения переменной доли расходов на еду. Как правило, при увеличении численности домохозяйства, распределение доли расходов оказывается смещено к середине. Такое распределение приводит к гетероскедастичности, что в свою очередь приводит к смещённым оценкам матрицы диспресии случайной ошибки в модели. Следовательно, посчитанные стандартные ошибки для коэффициентов также являются смещёнными. Значение z-статистики, по которой в данной модели проверяется значимость коэффициента оказывается не верной, более того, в крайних случаях, сама z-статистика имеет распределение отличное от нормального стандартного. Чтобы приблизить оценки дисперсии случайной величины к истинным значениям, воспользуемся специальной ковариационной матрицей ошибок, устойчивой к гетероскедастичности. Подобная матрица была впервые описана в (White, 1980) и получила название в честь автора.

Было проведено также тестирование на мультиколлинеарность, однако в используемой модели VIF не считается из-за наличия инструментальных переменных, поэтому исследование проводилось по корреляционной матрице всех переменных модели. Однако нельзя было сказать о явном наличии мультиколлинеарности в модели. Корреляция факторов показала среднюю корреляцию всех переменных когорт с логарифмом численности населения, что в общем то вполне ожидаемо. Причем как правило коррелируют когорты, описывающие детей. Это тоже понятно, ведь, как правило, с ростом численности домохозяйства, растёт число именно детей, реже взрослых. Хотя, если говорить непосредственно об укрупнении, тогда сложно сказать, численность какой именно когорты растёт при объединении домохозяйств в одно.

2.3 Гипотезы


Походу составления модели и выбора переменных, были выдвинуты несколько гипотез связанных с ожидаемыми результатами оценивания модели. Гипотезы для Моделей 1 и 2:

)        Гипотеза 1. Парадокс Дитона-Паксон существует и проявляется во всех временных промежутках.

Это одна из основных гипотез, которая позволяет уже проводить дальнейшее сравнение и анализ сельских и городских домохозяйств. Не менее важен тот факт, что коэффициент должен быть отрицательным, только в этом случае исследуемый парадокс будет выполняться именно в форме, предложенной авторами. К тому же, даже простой графический анализ даёт понять, что зависимость между исследуемыми переменными именно отрицательная. Значимый положительный коэффициент должен насторожить при анализе результатов, так как это, вероятно, ошибка модели.

Данная гипотеза проверяется с помощью стандартной z-статистики, рассчитанной для каждого коэффициента в модели. Формально, гипотеза формулируется следующим образом: коэффициент  будет статистически отличим от нуля и, к тому же, отрицателен для моделей всех временных промежутков.

)        Гипотеза 2. Подушевой доход домохозяйства будет положительно влиять на долю расходов на еду в общих расходах

Эффект воздействия подушевых расходов домохозяйства отражает влияние эффектов дохода и замещения. Объяснение его положительного влияния привели Абанокова и Локшин, ссылаясь на Дитона: «Дитон и Паксон предположили, что при объединении в домохозяйство и сохранении благосостояния членов домохозяйств на первоначальном уровне цена общественных благ в новом домохозяйстве снижается, в то время как цена частных благ не изменяется. Это приводит к положительному эффекту дохода и отрицательному эффекту замещения в спросе на частные блага» (Абанокова, и др., 2014 стр. 5). Так как еда - это нормальный товар с низкой эластичностью по цене, то, теоретически, для неё эффект дохода будет преобладать над эффектом замещения, что должно повысить долю расходов на еду при объединении в одно домохозяйство, что и говорит о положительном коэффициенте , который показывает влияние подушевых расходов на долю расходов домохозяйства на еду.

С другой стороны, в некоторых случаях в зависимости от домохозяйства, увеличении его размера может не изменить расходы на еду. Домохозяйство может увеличить расходы на общественные блага, стоимость которых, как уже говорилась, снижается при объединении. Эти индивидуальные эффекты, возможно, станут одними из причин отрицательного коэффициента . Также, одна из возможных причин отрицательного коэффициента в полученной модели, это тот факт, что при укрупнении домохозяйства, ему становится доступно больше общественных благ и больше возможностей. Так что, возможно, такие домохозяйства будут меньше тратить на товары первой необходимости и больше тратить на развлечение и досуг.

Данная гипотеза также проверяется с помощью z-статистики значимости коэффициента в модели. Формально гипотеза записывается следующим образом: коэффициент  будет статистически значим и при том положителен. Гипотеза не будет отвергаться при значении .

3)      Гипотеза 3. Доля работающих индивидов в домохозяйстве, возрастая, будет увеличивать долю расходов на еду в общих расходах этого домохозяйства

Как описывали Дитон и Паксон, с ростом числа работающей доли членов домохозяйства, расходы на еду домохозяйства должны расти. Это связано с несколькими факторами. Во-первых, работающие индивиды чаще питаются вне дома, чем дома, а это, как правило дороже. Следовательно, они вынуждены увеличивать долю расходов на еду в ущерб другим благам. Во-вторых, как правило, в сельской местности работа индивидов нередко связана с сельскохозяйственными работами. Такие работы требуют большей выносливости, а рабочие тратят больше сил и энергии, поэтому они вынуждены питаться чаще, опять же, увеличивая долю расходов на еду.

Данная гипотеза, формально также проверяется с помощью z-статистики значимости коэффициента. Её формальная запись выглядит следующим образом: коэффициент  будет статистически отличим от нуля и при этом положительным.

Исходя из типа модели, все вышеперечисленные гипотезы связаны со значимостью коэффициентов. Как было сказано выше, все они проверяется стандартной z-статистикой, которая рассчитывается автоматически для каждого коэффициента в модели при оценивании методом двухшагового МНК. Z-статистика имеет нормальное распределение и при проверке гипотез сравнивается с критическим значением нормального стандартного распределения, которое равно, как известно, 1.96 для уровня значимости 5%. Однако это не относится к последней гипотезе, которая проверяется исходя из оценки Модели 2, так как именно по этой модели производится сравнение исследуемого эффекта по местонахождению домохозяйства.

)        Гипотеза 4. В модели 2, оценённой для разделённых по типам поселения выборок домохозяйств, влияние эффекта Дитона-Паксон будет различаться. Предполагается, что эффект сильнее будет заметен в сельских домохозяйствах, чем в городах и областных центрах

Целью данной работы является сравнение силы парадокса для городского и сельского населения, поэтому данная гипотеза важна, так как её выполнение обеспечит продвижение исследований в этой области. Выполнение этой гипотезы проверяется субъективно, так как нет возможности сравнить два коэффициента из разных моделей с разным количеством наблюдений. Также, истинность этой гипотезы подтвердит необходимость в разграничении крупных городов и областных центров от сёл и ПГТ при проведении социальной, экономической, а также налоговой политики.

Более формальная запись данной гипотезы выглядит как: коэффициенты  будут отличаться друг от друг.

 

.4 Полученные результаты


Полученные результаты показали значимую отрицательную зависимость логарифма численности домохозяйства и доли расходов на еду в общих расходах на протяжении всего временного промежутка ислледования, что подтверждает наличие парадокса Дитона-Паксон в России. Различия между городом и селом также присутствуют (см. Таблица 2).

Была оценена как общая модель для всей выборки с добавлением дамми-переменной для местоположения домохозяйств, так и модель только для конкретных домохозяйств, разделённых по местоположению. Во втором случае мы получили больше информации о наличии эффекта Дитона-Паксон в сёлах и городах, что и являлось целью данного исследования. Среднее значение коэффициента  для сёл составило . При этом практически во все годы эффект Д-П в сёлах был сильнее, чем в городах и областных центрах: в среднем оценённый коэффициент  в сёлах был выше на 0.065 в абсолютных значениях по сравнению с областными центрами, на  по сравнению с городами. Сельские домохозяйства продемонстрировали огромное увеличение исследуемого эффекта по сравнению с городскими и домохозяйствами областных центров. Прирост составил  и  соответственно. В среднем эффект Дитона-Паксон в сёлах выше, чем средний по выборке на  (на ). Результаты домохозяйств, находящихся в посёлках городского типа не похожи на сельские. Их разница средних составляет  - в селе больше на . Среднее значение коэффициента  в ПГТ составило . Разница с областными центрами и городами намного меньше, чем у сельских домохозяйств - всего  и  соответственно ( и ). Эффект Д-П в ПГТ оказался даже слабее, чем в среднем по выборке на  ().

Далее проверим выполнение гипотез, поставленных ранее перед анализом модели.

домохозяйство расход исследование доход

Таблица 2. Результаты оценки разделённой Модели 2 и общей модели 1 за ключевые годы.

Год

Тип населенного пункта

Логарифм подушевых расходов

Логарифм численности домохозяйства

Доля работающих



Коэфф

Ст. откл.

Коэфф

Коэфф

Ст. откл.

1994 г.

Областные центры

-0.154***

0.011

-0.062***

0.018

-0.01

0.024


Города

-0.145***

0.011

-0.006

0.022

-0.002

0.029


ПГТ

-0.135***

0.024

0.05

0.054

-0.164***

0.062


Сёла

-0.092***

0.014

-0.059*

0.035

0.017

0.045


Общая

-0.135***

0.007

-0.040***

0.013

-0.01

0.017

2000 г.

Областные центры

-0.168***

0.011

-0.023

0.018

-0.04

0.025


Города

-0.088***

0.013

-0.032

0.027

-0.023

0.035


ПГТ

-0.128***

0.023

-0.049

0.054

-0.027

0.072


Сёла

-0.131***

0.014

-0.149***

0.028

-0.014

0.044


Общая

-0.129***

0.007

0.013

-0.028

0.018

2004 г.

Областные центры

-0.171***

0.009

-0.02

0.014

-0.009

0.02


Города

-0.142***

0.011

-0.070***

0.019

-0.041

0.026


ПГТ

-0.117***

0.024

-0.014

0.038

0.026

0.064


Сёла

-0.140***

0.01

-0.133***

0.019

0.017

0.032


Общая

-0.150***

0.006

-0.060***

0.01

-0.013

0.014

2008 г.

Областные центры

-0.143***

0.009

-0.066***

0.011

-0.043***

0.016


Города

-0.095***

0.011

-0.085***

0.014

-0.099***

0.019


ПГТ

-0.099***

0.022

-0.077***

0.026

-0.078*

0.047


Сёла

-0.160***

0.012

-0.091***

0.017

0.004

0.027


Общая

-0.134***

-0.077***

0.007

-0.046***

0.011

2012 г.

Областные центры

-0.146***

0.007

-0.058***

0.009

-0.046***

0.013


Города

-0.124***

0.012

-0.041***

0.013

-0.056***

0.018


ПГТ

-0.093***

0.017

-0.151***

0.029

-0.069

0.046


Сёла

-0.135***

0.011

-0.078***

0.015

-0.026

0.022


Общая

-0.134***

0.005

-0.065***

0.007

-0.044***

0.01

Источник: рассчёты автора

Звёздочками указана значимость коэффициентов в соответствии с: *** p<0.01, ** p<0.05, * p<0.1

Рисунок 6. Значение коэффициента  для общей и разделённых моделей.

Источник: расчёты автора

Гипотеза 1 подтвердилась частично. Как видно из результатов (Таблица 2) в начальных промежутках исследования (1994 г.) коэффициенты моделей для городских, сельских домохозяйств и находящихся в ПГТ незначимы, что говорит об отсутствии парадокса Дитона-Паксон в вышеперечисленных регионах в указанном году. Аналогичный факт наблюдается и в 2000 г., где исследуемый эффект присутствует только для сельских домохозяйств. При этом, начиная с 2008 года, все коэффициенты становятся значимыми. Здесь возможно несколько версий, объясняющих данный факт:

)        Во-первых, для ранних годов исследования в выборке присутствует не очень большое число наблюдений по некоторым типам местожительства, например по ПГТ в указанный период в базе присутствует лишь информация о 157 домохозяйствах, интересных нам для анализа. Возможно из-за недостатка количества наблюдений результаты получились незначимыми, а выборка непрезентативной.

Для проверки этого факта был проведён тест Харке-Бера (Jarque-Bera test) на нормальность остатков (Jarque, et al., 1980). Тест проверяет нормальность остатков, сверяя асимметрию и эксцесс их распределения с аналогичными параметрами у нормального распределения. В случае 1994 года модели для ПГТ и города оказались с ненормальными остатками, что говорит о неправильном подсчете стандартных ошибок и, скорее всего, неверному выводу из z-статистики.

2)      Во-вторых, возможно, до кризиса 2008 г. домохозяйства не пользовались экономией на масштабе, так как цена общественных благ была непостижимо дорогой, либо реальный доход домохозяйств был слишком низкий, что по факту, даже объединение не помогало им уменьшить долу расходов на еду.

Однако в целом по общей модели проверяемый коэффициент оказался значимый с предсказанным знаком.

Гипотеза 2 подтвердилась частично. Коэффициент при подушевых расходах действительно оказался значимый, однако его знак оказался отрицательным. То есть рост подушевых расходов на 1% уменьшает долю расходов на еду в среднем на 10-12 процентных пунктов. Видимо, при укрупнении домохозяйства их бюджет увеличивается сильнее, чем увеличивается доля расходов на еду, что побуждает их больше тратить на общественные товары.

Можно видеть, что, несмотря на значимость этого фактора, его разброс год от года довольно большой. Изначально, больше всего этот коэффициент был у домохозяйств из областных центров с 2004 году. Тогда, однопроцентное увеличение подушевых доходов уменьшало в среднем долю расходов на еду на 17 п. п.

Гипотеза 3 не подтвердилась. В большинстве моделей (включая общую Модель 1) коэффициент , характеризующий влияние доли работников в домохозяйстве на долю расходов на еду, оказался не значимым. При этом, в тех моделях, где он оказался значимым, он принимал отрицательное значение. То есть увеличение доли работников в домохозяйстве увеличивало доход сильнее, чем увеличивались издержки от поездок на работу и дополнительной еды вне дома. К тому же, в сёлах, этот коэффициент не был значим никогда на протяжении обследования, что опровергает тот факт, что в сёлах условия работы заставляют людей тратить больше энергии по сравнению с жителями города. В среднем для областных центров и городов при увеличении доли рабочего населения домохозяйства на 1 п.п., доля расходов на еду падает на 0.04-0.05 п.п. К примеру, в семье с расходами на еду 50% от общих расходов, состоящей из трех человек из которых один работает, рост числа работающих на 1 человека (16.67 п.п.) уменьшит долю расходов на еду на 0.83 п.п. до 54.27%. В целом рост не сильно заметен, хотя увеличение работников на 2 и более дает более существенные результаты

Гипотеза 4 подтвердилась. Описание оценивания коэффициента при логарифме количества членов домохозяйств для сёл, городов и других местонахождениях домохозяйств представлено выше с подробным сравнением. Как и ожидалось, в сёлах эффект сильно выше, чем в городах. Возможно, это связано с малой доступностью других общественных благ, так что жители сёл не имеют возможности тратить больше на другие блага.

Выводы


Полученные результаты позволяют утверждать, говоря о парадоксе Дитона-Паксон, следует разделять местонахождение домохозяйств, для которых производится оценка парадокса. В ходе исследования было выяснено, что в селе влияние эффекта существенно выше, чем в городе практически на всём промежутке обследования. Данные результаты также говорят о том, что доля расходов на питание в общем бюджете в селе самая низкая. В среднем, в городах и областных центрах доля расходов семей на питание выше на 10 и 15 процентных пунктов соответственно. Возможно это связано с тем, что сельские жители, как правило, имеют свои хозяйства, на которых выращивают часть продуктов. Из-за этого, они меньше тратят на покупки продуктов. К тому же, не редко на таких хозяйствах работают сами члены семей, что позволяет им меньше питаться вне дома и, соответственно экономить на еде ещё больше.

Полученные результаты позволяют по-другому взглянуть на проведение адресной и социально-экономической поддержки городского и сельского населения. К тому же, тенденция к стимулированию домохозяйств к укрупнению может существенно повысить их благосостояние, особенно для сёл. Благодаря влиянию парадокса Дитона-Паксон, эти домохозяйства с укрупнением при прочих равных будут меньше тратить на еду, относительно общих расходов и больше тратить на общественные товары и услуги (Public goods), например, на развлечение и досуг. Государству следует учитывать эти различия.

Для более подробного выявления временных различий влияния парадокса в будущих исследованиях необходимо объединить данные выборки по годам в единую панель, либо псевдопанель. В последнем случае необходимо будет ввести специальные группы - когорты, которые разделяют домохозяйство по факторам, не меняющимся со временем. В этом случае станет возможным анализ индивидуальных эффектов для каждой когорты, а не для одного домохозяйства. Возможно, его учёт изменит полученные оценки исследуемой модели. Также, возможно проанализировать долю расходов на другие товары и услуги, например, на табак, алкоголь, одежду и досуг. В изначальном исследовании Дитона такой анализ был проведён.

Авторы более ранних исследований изучали экономию домохозяйств на масштабе, многие и в динамике, но мало кто сравнивал различия между городом и селом. В большинстве исследований основное внимание уделялось экономии домохозяйств на масштабе при их укрупнении, а также на увеличению их благосостояния.

Данное исследование показало, что различия во влиянии эффекта Дитона-Паксон необходимо учитывать при анализе структуры расходов на потребление домохозяйств из различных регионов. Также оно поможет государству более качественно и эффективно проводить социальную политику. В дальнейшем планируется расширить временной диапазон исследования, акцентировать внимание на кризисных годах, а также объединить выборку в панель и проследить наличие индивидуальных эффектов домохозяйств.

Список литературы

Abdulai A. (2003) Economies of Scale and the Demand for Food in Switzerland: Parametric and Non-parametric Analysis [Journal]. - [s.l.] : Journal of Agricultural Economics, 2003. - 54 : Vol. 2. - pp. 247-267.M., Brzozowski M. and Crossley F. T. Measurement Errors in Recall Food Consumption Data [Journal]. - London : The Institute for Fiscal Studies, 2006. - 21 : Vol. 6.A. and Paxson C. Economies of Scale, Household Size, and the Demand for Food [Journal]. - Chicago : Journal of Political Economy, 1998. - 5 : Vol. 106. - pp. 897-930.A. Panel Data from Time Series of Cross Sections [Journal]. - [s.l.] : Journal of Econometrics, 1985. - 30. - pp. 109-126.I. Income Distribution and Poverty in Russia. - [s.l.] : OECD Social, Employment and Migration Working Papers, 2012. - Vol. 132.J. Errors in Variables [Журнал]. - [б.м.] : Review of the International Statistical Institute, 1954 г.. - 1/3 : Т. 22. - стр. 23-32.E. Die Lebenkosten Belgischer Arbeiter-Familien Fruher und Jetzt [Журнал]. - [б.м.] : International Statistical Institute Bulletin, 1895 г.. - 9. - стр. 1-74.F. [et al.] Panel and Pseudo-Panel Estimation of Cross-Sectional and Time Series Elasticities of Food Consumption: The Case of American and Polish Data [Journal]. - [s.l.] : Journal of Business & Economic Statistics, 2005. - 23 : Vol. 2. - pp. 242-253.F. and Starzec C. Economies of scale and food consumption : a reappraisal of the Deaton-Paxson paradox [Online] // RePec. - January 2000. - November 2015. - http://www.researchgate.net/publication/5070720.J. и Klim B. Measurement Error in Recall Surveys and the Relationship between Household [Журнал]. - [б.м.] : American Journal of Agricultural Economics, 2007 г.. - 89 : Т. 2. - стр. 473-489.C. M. and Bera A.K. Efficient tests for normality, homoscedasticity and serial independence of regression residuals [Journal]. - Canberra ACT 2600 : Australian National University, 1980. - 3 : Vol. 6. - pp. 255-259.P., Milanovic B. and Paternostro S. Poverty and Economic Transition: How Do Changes in Economies of Scale Affect Poverty Rates of Different Households? [Journal]. - [s.l.] : The World Bank Policy Research Working Paper, 1998.D. J. Asymptotic Theory for Heterogeneous Dynamic Pseudo-Panels [Journal]. - [s.l.] : Journal of Econometrics, 2004. - 120. - pp. 235-262.J.A. Household Economies of Scale in Consumption: Theory and Evidence [Journal]. - [s.l.] : Econometrica, 1988. - 56 : Vol. 6. - pp. 1301-1314.L., Turuntsev E. and Korchagina I. Indicators of Poverty in Transitional Russia [Journal]. - [s.l.] : Education and Research Consortium Russian Economic Research Program, 1998. - 98 : Vol. 4.J. B. Tests for Specification Errors in Classical Linear Least-Squares Regression Analysis [Журнал] // Journal of the Royal Statistical Society. Series B (Methodological). - [б.м.] : Wiley, 1969 г.. - 2 : Т. 31. - стр. 350-371.J. D. The estimation of economic relationships using instrumental variables [Журнал]. - [б.м.] : Econometrica, 1958 г.. - 26. - стр. 393-415.M. Pseudo-Panels and Repeated Cross-Sections [Book Section] // The Econometrics of Panel Data / ed. Matyas L. and Sevestre P.. - Berlin : Springer-Verlag Berlin Heidelberg, 2008.H. A Heteroscedasticity consistent covariance matrix esti-mator and a direct test for heteroscedasticity [Journal] // Econometrica. - 1980. - pp. 817-838.J. M. Score diagnostics for linear models estimated by two stage least squares [Журнал] // Advances in Econometrics and Quantitative Economics: Essays in Honor of Professor C. R. Rao / ред. Maddala G. S., Phillips P. C. B. и Srinivasan T. N.. - [б.м.] : Oxford: Blackwell, 1995 г.. - стр. 66-87.

Абанокова К. Р. и Локшин М. М. Влияние эффекта масштаба в потреблении домохозяйств на бедность в России [Журнал]. - Москва : Экономический журнал ВШЭ, 2014 г.. - Т. 4. - стр. 620-644.

Абанокова К. Р. и Локшин М. М. Укрупнение размера как механизм адаптации домохозяйств к кризису [Журнал]. - Москва : Экономический журнал ВШЭ, 2013 г.. - Т. 1. - стр. 80-101.

Похожие работы на - Парадокс Дитона-Паксон

 

Не нашли материал для своей работы?
Поможем написать уникальную работу
Без плагиата!
Без нейросетей!