Загальна характеристика продукції (послуг)
Макіївський
економіко-гуманітарний інститут
Економічний
факультет
Кафедра
економіки підприємства
КУРСОВА
РОБОТА
з
дисципліни «Економіка підприємства»
на
тему: Загальна характеристика продукції (послуг)
Студента ІІ курсу, групи ЕП-21А,
напряму підготовки 6.030504
Економіка підприємства
Євстіфорової А.О.
Наук. керівник: доц. Герасименко
І.М.
м.
Макіївка-2014 рік
Зміст
Вступ
1. Вироблена продукція як
конкретний продукт праці
2. Класифікація продукції
за економічним призначенням
. Натуральні та вартісні
показники обсягу продукції (послуг)
. Номенклатура та
асортимент продукції (послуг)
Висновки
Література
Вступ
У наш час людина цілком і повністю
залежить від продукції (послуг). Ми не уявляємо свого існування без
модернізованого суспільства. Тому, необхідно визначитися з тим, чим є
продукція.
У процесі виробництва людина
взаємодіє з певними засобами виробництва і створює конкретні матеріальні блага.
Отже, останні є продуктами праці, тобто споживною вартістю, речовиною природи,
пристосована людиною за допомогою знарядь праці до своїх потреб. Результат
праці здебільшого матеріалізується у вигляді конкретного продукту (продукції,
виробу).
Продукція, що виготовляється,
протягом певного часу перебуває на різних стадіях технологічного процесу і з огляду
на це називається незавершеним виробництвом, напівфабрикатом чи готовим для
споживання продуктом (виробом).
В промисловому виробництві
результатом (продуктом) праці є продукція, на підприємствах транспорту -
відповідний обсяг виконаної роботи (перевезених вантажів або пасажирів на ту чи
ту відстань), а в установах зв'язку та банках - надані юридичним і фізичним
особам послуги. Іноді продукт праці є водночас і виробленою продукцією, і
виконаною роботою, і наданою послугою (наприклад, полагоджені годинник,
телевізор, холодильник, взуття тощо).
Загальновідомо, що більшість
продуктів праці є придатною для різних сфер і способів використання в народному
господарстві.
Розглянемо детальніше сутність і
значення продукції та послуг.
1 Вироблена продукція як конкретний
продукт праці
Продукція -
це прямий і корисний результат процесу виробництва, що задовольняє вимогам
встановлених стандартів і технічних умов [5].
Оскільки кожен вид продукції
звичайно проходить ряд фаз обробки, що відображають ступені його пристосування
до потреб людини, виділяють три види продукції:
· сировина
(сирий матеріал) - це продукт праці, узятий у природи, до якого прикладена
праця лише по його здобичі в добувній промисловості, до вирощування і збору - в
сільському, лісовому господарствах;
· напівфабрикати і
незавершене виробництво - це частково оброблені сирі
матеріали.
· готова продукція
- виріб, який може використовуватися у виробничому і особистому споживанні.
Продукт праці, що існує в готовій
для споживання формі, може стати сировиною для виробництва іншого продукту
(наприклад, виноград - для виготовлення виноградного соку, вина). Чи стане
конкретна споживна вартість засобом виробництва або кінцевим предметом
споживання, цілком залежить від її функції та місця в процесі праці. Предмети
праці, що підлягають обробці в процесі виробництва і змінюють свою форму,
перетворюються на продукти праці, котрі розподіляються на засоби виробництва та
предмети споживання; стосовно суспільного виробництва в цілому вони називаються
продукцією відповідно І та II підрозділів, а у промисловості - продукцією груп
«А» і «Б». Засоби виробництва, у свою чергу, поділяються на засоби праці та
предмети праці, а предмети споживання - на продовольчі і непродовольчі товари.
Такий поділ продукції класифікує її за ознакою економічного призначення.
Зрештою для загальної характеристики продукції (роботи, послуг) практичне
значення має застосування системи вимірників її (їхнього) обсягу. На рисунку 1
зображено загальну характеристику продукції (роботи, послуг) [1, с. 336].
Рис. 1 Загальна характеристика
продукції (роботи, послуг)
продукція послуги номенклатура асортимент
Вимірники обсягу продукції. За умов
товарного виробництва та ринкової економіки виготовлена продукція, виконана
робота або надана послуга є товаром, котрий має не лише споживну вартість, а й
вартість (мінову вартість). Для постійного й повного задоволення потреб ринку
планування та облік товарів, що їх виготовляють на продаж, здійснюється в
натуральних (фізичних) і вартісних (грошових) вимірниках. Важливо зважити на
те, що міру задоволення потреб ринку можна охарактеризувати, виходячи
насамперед із показників обсягу товарів певної номенклатури та асортименту в
натуральному вигляді. Номенклатура продукції - це перелік найменувань виробів,
завдання з випуску яких передбачено планом виробництва продукції. Асортимент -
це сукупність різновидів продукції кожного найменування, що різняться за
відповідними техніко-економічними показниками (за типорозмірами, потужністю,
продуктивністю, дизайном тощо). Номенклатура і товарний асортимент включають
стару продукцію, попит на яку зберігається, а також нову продукцію, дослідні
зразки принципово нових виробів.
Вимірниками обсягу продукції в
натуральному виразі є конкретні фізичні одиниці - штуки, тонни, метри тощо. У
практиці планування та обліку обсягу продукції іноді використовують
умовно-натуральні (наприклад, умовні банки консервів, умовні листи шиферу,
штуки цегли) і подвійні натуральні показники (наприклад, виробництво сталевих
труб може вимірюватися тоннами та метрами, тканин - погонними і квадратними
метрами).
Обсяг продукції у вартісному виразі
на більшості підприємств різних галузей виробничої сфери визначається
показниками товарної, валової, чистої продукції. Товарна продукція є практично
скрізь застосовуваним вартісним показником, що дає змогу підсумовувати
виготовлення різних видів продукції і завдяки цьому визначати загальний обсяг
виробництва на тому чи тому підприємстві, а також обчислювати низку
макроекономічних та узагальнюючих похідних показників розвитку народного
господарства. Це, власне, загальна вартість усіх видів готової продукції,
напівфабрикатів, робіт і послуг виробничого характеру, призначених на продаж
або для реалізації різним споживачам.
Показник валової продукції, окрім
елементів, які входять до складу товарної продукції, включає також зміну
залишків незавершеного виробництва протягом розрахункового періоду, вартість
сировини й матеріалів замовника та і деякі інші елементи залежно від галузевих
особливостей виробничої діяльності підприємства. Причому динаміка залишків
незавершеного виробництва враховується лише на тих підприємствах
машинобудування та металообробки, де тривалість виробничого циклу для
переважної більшості видів продукції перевищує два місяці. Слід також знати, що
обсяг товарної і валової продукції виробничого об'єднання, у складі якого
підприємства або інші виробничі ланки перебувають на самостійному балансі,
визначається підсумовуванням відповідних показників цих підприємств (ланок)
[5].
З метою більш повної характеристики
динаміки виробництва продукції та показників його ефективності (передовсім
продуктивності праці) за складання виробничої програми підприємства роблять
також розрахунки чистої продукції. За вихідну базу для її обчислення беруть обсяг
товарної продукції, з вартості якої виключають матеріальні витрати й суму
амортизаційних відрахувань, тобто вартість так званої уречевленої праці,
елімінуючи вплив останньої на величину загальної вартості продукції, що її
виробляє підприємство. За економічним змістом показник чистої продукції
відбиває наново створену на підприємстві вартість і завдяки цьому характеризує
результати використання саме власного трудового потенціалу. Відтак показник
чистої продукції доцільно застосовувати для об'єктивної оцінки рівня
ефективності виробничо-господарської діяльності підприємства.
Проте міру задоволення ринкового
попиту на ту чи ту продукцію відбиває не обсяг її виробництва в натуральному й
вартісному виразі, а обсяг фактично реалізованих (проданих) виробів. З огляду
на цю важливу обставину варто визначити й контролювати також планові
(очікувані) та фактичні обсяги реалізованої продукції. Плановий (очікуваний)
показник реалізованої продукції визначають виходячи з передбаченого виробничою
програмою підприємства на відповідний рік обсягу товарної продукції, з
урахуванням зміни залишків, нереалізованих на початок і кінець розрахункового
періоду, а фактичний - після оплати споживачем (замовником) вартості продукції
та надходження відповідних грошових сум на банківський рахунок постачальника.
Основу вивчення продукції складає
виробнича-комерційна діяльність підприємства, спрямована на виявлення і
задоволення потреб в його продуктах (послугах) за допомогою обміну з метою
одержання прибутку, а саме маркетинг.
Маркетинг як різновид діяльності, що
є властивим для ринкової економіки, виконує такі функції [1]:
• вивчення ринку, його
структуризація (сегментування), аналіз і прогнозування попиту;
• вибір сегментів ринку,
прийнятних для підприємства;
• визначення номенклатури і
асортименту продукції для ринку;
• розробка стратегії виходу
на ринок і реакції на дії конкурентів;
• реклама, збут і його
стимулювання;
• політика ціноутворення.
Об'єктом маркетингу є комплекс, що
складається з Лементів "потреби - товар - ціна - реклама - збут".
Центральне місце в цій системі займає товар - все що продається з метою
задоволення певних потреб (продукція, послуги, ресурси, ідеї тощо).
У широкому розумінні маркетинг не
просто різновид діяльності, а ринкова концепція управління виробництвом, за
якої принципова ідея - задоволення потреб через ринок лежить в основі роботи
всіх підрозділів підприємства (проектно-конструкторських, технолого-виробничих,
фінансово-комерційних). Це означає, що маркетинг інтегрує в усі фази
підприємницької діяльності й підпорядковує їх інтересам підприємства на
ринку[4].
Маркетинг ставить виробництво
продукції у повну залежність від попиту на неї і можливостей її продажу. В
умовах науково-технічного прогресу і конкурентної боротьби для виживання і
успішної роботи кожне підприємство повинно мати розвинуту систему маркетингу і
відповідну стратегію і тактику вирішення маркетингових завдань.
Маркетинг підприємства ґрунтується
на таких принципах:
• орієнтація усіх сфер діяльності
підприємства на задоволення потреб покупців з метою продажу продукції і
одержання прибутку;
• цілеспрямований і активний
вплив на попит, його розвиток;
• гнучке реагування
виробництва на зміну потреб і попиту покупців, оперативне пристосування до цих
змін;
• використання ціноутворення як
механізму реагування і впливу на кон’юнктуру ринку;
• вибір ефективних форм і
методів доставки, реклами та продажу продукції;
• підтримування творчої
атмосфери серед працівників, причетних до маркетингової діяльності, заохочення
їхньої активності (ініціативи) щодо прийняття маркетингових рішень.
У своєму розвитку маркетинг зазнав
помітної еволюції, етапи якої можна охарактеризувати через зміну його
концепцій. Концепція маркетингу - це загальний підхід підприємства до
досягнення своєї мети на ринку. Відомі п’ять концепцій маркетингу: виробнича,
продуктова, комерційна, індивідуального маркетингу, соціального маркетингу.
Виробнича концепція передбачає
спрямування головних зусиль підприємства на вдосконалення виробництва й
мобілізацію внутрішніх резервів із метою розширення обсягу виготовлення
продукції та зниження її собівартості. Вона є типовою за умов незадоволеного
попиту, що відповідає передусім низькому рівню розвитку ринкових відносин.
Застосовується також тоді, коли собівартість продукції висока і є резерви її
зниження.
Продуктова концепція
характеризується тим, що основну увагу вона приділяє поліпшенню споживчих
параметрів виробів, їхніх конструктивних, експлуатаційних показників,
підвищенню якості, а завдяки цьому забезпеченню належного збуту продукції. Ця
концепція відповідає потребам конкурентної боротьби, коли є можливість
підвищувати конкурентоспроможність виробів через їхнє вдосконалення за умов
достатньо стабільного попиту.
Комерційна концепція полягає в тім,
що для забезпечення належного збуту активізується передовсім робота комерційних
служб: працівників реклами, агентів зі збуту, продавців тощо. Різні форми
психологічного впливу на покупця є найбільш ефективними тоді, коли він погано
обізнаний з пропонованою продукцією та її споживчими якостями.
Концепція індивідуального маркетингу
орієнтує підприємство на виявлення індивідуальних потреб покупців і спрямовує
зусилля на те, щоб задовольнити ці потреби ліпше, ніж конкуренти.
Концепція соціального маркетингу не
обмежується виявленням і задоволенням індивідуальних потреб як умови ефективної
діяльності підприємства, а бере до уваги суспільні потреби та інтереси
передусім перспективного характеру: охорону навколишнього середовища, природних
ресурсів, здоров’я людей, національної безпеки тощо.
Зрозуміло, що підприємство, яке
мусить постійно адаптуватися до мінливого зовнішнього середовища, не реалізує
тільки якусь одну концепцію. Концепції маркетингу поєднуються й
використовуються комплексно залежно від конкретних умов.
Класифікація продукції за
економічним призначенням
Державний класифікатор продукції та
послуг (ДКПП) є складовою частиною Державної системи класифікації і кодування
техніко-економічної та соціальної інформації. Класифікатор розроблено
відповідно до постанови Кабінету Міністрів України від 04.05.93 р. N 326
"Про Концепцію побудови національної статистики України та Державну
програму переходу на міжнародну систему обліку і статистики" [8].
Використання ДКПП забезпечує умови
для вирішення таких завдань:
виконання комплексу облікових
функцій щодо продукції та послуг в рамках робіт з державної статистики;
складання міжгалузевого балансу
виробництва і розподілу продукції та послуг відповідно до системи національних
рахунків;
проведення зіставлення національних
статистичних даних з даними Статистичної Комісії Європейського Союзу
(Євростату) та ООН;
подання інформації про вітчизняну
продукцію та послуги на ринки інших країн через відповідні кодові позначення;
організація та забезпечення
функціонування системи оподаткування суб'єктів господарювання;
створення інформаційних систем для
забезпечення зовнішньоекономічних зв'язків та торговельної діяльності з виходом
на міжнародні електронні системи пересилання даних;
використання кодів продукції та
послуг ДКПП з системою перехідних ключів як засіб спілкування під час роботи з
міжнародними банками даних в інформаційно-обчислювальних мережах.
Об'єктом класифікації в ДКПП є
продукція та послуги, створені внаслідок усіх видів економічної діяльності.
ДКПП гармонізований з Державним
класифікатором України ДК 009-96 "Класифікація видів економічної
діяльності" (КВЕД).
Об'єктам класифікації КВЕД на
ієрархічних рівнях "секція - клас", як правило, відповідає
класифікаційна позиція або група позицій ДКПП. Але ДКПП має більш глибоку
деталізацію класифікаційних угруповань продукції та послуг. Це викликано
гармонізацією ДКПП з Європейською класифікацією продукції та послуг за видами
діяльності (СРА), яка, у свою чергу, пов'язана з Гармонізованою системою опису
та кодування товарів (HS) та Комбінованою номенклатурою Європейського
співтовариства (CN).
З метою збирання, обліку та
оброблення статистичної інформації про продукцію промислового виробництва, а
також вирішення завдань макро- і мікроекономічного рівня ДКПП містить
номенклатуру типів продукції (розділи 13-36), гармонізовану з Переліком
промислової продукції (PRODCOM), який віддзеркалює об'єкти обстеження
промислового виробництва в межах Європейського співтовариства.
Усе це забезпечує гармонізацію ДКПП
з європейськими класифікаціями і створює умови для переходу України на
міжнародну систему обліку та статистики.
Продукція та послуги галузей
економіки - сільського господарства, рибного господарства, добувної
промисловості, обробної промисловості, будівництва, торгівлі, транспорту,
державного управління тощо - груповані в блоки (17 секцій та 16 підсекцій), які
позначаються великими літерами латинського алфавіту. Ці літери не
використовуються безпосередньо для ідентифікації продукції та послуг, а введені
лише для зручності користувача. Нижче наведена Класифікація видів економічної
діяльності (таблиця 1) [8].
Таблиця 1
Класифікація видів економічної
діяльності [8]
|
Секція
|
Підсекція
|
Назва
|
Розділ
|
|
1
|
2
|
3
|
4
|
|
A
|
|
Продукція сільського господарства, мисливства
та лісового господарства
|
01, 02
|
|
B
|
|
Продукція рибного господарства
|
05
|
|
С
|
|
Продукція добувної промисловості
|
|
|
CA
|
Матеріали енергетичні
|
10-12
|
|
CB
|
Матеріали неенергетичні
|
13-14
|
|
D
|
|
Продукція обробної промисловості
|
|
|
DA
|
Продукція харчової промисловості та
перероблення сільськогосподарських продуктів
|
15-16
|
|
DB
|
Вироби текстильної та швейної промисловості
|
17-18
|
|
DC
|
Шкіра, вироби шкіряні дорожні та шкіряне
взуття
|
19
|
|
DD
|
Деревина та вироби з деревини
|
20
|
|
DE
|
Продукція целюлозно-паперової промисловості,
продукція друкована
|
21-22
|
|
DF
|
Кокс, продукти нафтоперероблення та паливо
ядерне
|
23
|
|
DG
|
Продукція хімічна
|
24
|
|
DH
|
Вироби гумові та пластмасові
|
25
|
|
DI
|
Вироби мінеральні неметалеві інші
|
26
|
|
DJ
|
Метали основні та металеві вироби, виготовлені
заводським способом
|
27-28
|
Машини та устаткування
|
29
|
|
DL
|
Устаткування електричне та електронне
|
30-33
|
|
1
D
|
2
|
3
|
4
|
|
DM
|
Устаткування транспортне
|
34-35
|
|
DN
|
Продукція промислова інша
|
36-37
|
|
E
|
|
Електрична енергія, газ, пара і гаряча вода
|
40-41
|
|
F
|
|
Будівельно-монтажні роботи та будівельна
продукція
|
45
|
|
G
|
|
Послуги з оптової та роздрібної торгівлі;
послуги з ремонту автомобілів, мотоциклів, особистих і побутових товарів
|
50-52
|
|
H
|
|
Послуги готелів та ресторанів
|
55
|
|
I
|
|
Послуги транспорту, складського господарства і
зв'язку
|
60-64
|
|
J
|
|
Послуги з фінансового посередництва
|
65-67
|
|
K
|
|
Послуги з нерухомістю, здавання під найм та
послуги юридичним особам
|
70-74
|
|
L
|
|
Послуги у сфері державного управління і
оборони; послуги обов'язкового соціального страхування
|
75
|
|
M
|
|
Послуги у сфері освіти
|
80
|
|
N
|
|
Послуги у сфері охорони здоров'я та з надання
соціальної допомоги
|
85
|
|
O
|
|
Послуги комунальні, громадські та
індивідуальні
|
90-93
|
|
P
|
|
Послуги домашньої прислуги
|
95
|
|
Q
|
|
Послуги екстериторіальних організацій та
органів
|
99
|
За формою викладу ДКПП складається з
блоку ідентифікації та блоку назви класифікаційних угруповань.
Блок ідентифікації має ієрархічну
систему класифікації та послідовну систему кодування із застосуванням цифрового
коду.
Загальна структура цифрових кодів
для утворення класифікаційних угруповань у ДКПП відповідає такій схемі:
ХХ - розділ;
ХХ.Х - група;
ХХ.ХХ - клас;
ХХ.ХХ.Х - категорія;
ХХ.ХХ.ХХ - підкатегорія;
ХХ.ХХ.ХХ.ХХХ - тип.
Наприклад
.10.11.100,
де 10 - розділ "Вугілля
кам'яне, вугілля буре та торф";
.1 - група "Вугілля
кам'яне";
.10 - клас "Вугілля
кам'яне";
.10.1 - категорія "Вугілля
кам'яне";
.10.11 - підкатегорія "Вугілля
кам'яне неагломероване";
Літерні позначення та цифрові коди
ДКПП, що охоплюють класифікаційні угруповання "секція -
підкатегорія", повністю відповідають позначенням та кодам Європейської
класифікації продукції та послуг за видами діяльності (СРА).
Кодування продукції та послуг на
нижчому класифікаційному рівні - тип - здійснюється за фасетною схемою, в якій
самі фасети також структуризовані. Це забезпечує більшу стійкість структури
ДКПП у процесі його ведення за рахунок того, що основні оперативні зміни об'єктів
класифікації відбуваються на цьому рівні.
Цифрові коди на рівні сьомого,
восьмого та дев'ятого розрядів призначені для деталізації типів продукції та
послуг з урахуванням особливостей економічної діяльності в Україні. Цифрові
коди продукції для розділів 13-36 на рівні восьми розрядів відповідають кодам
продукції за PRODCOM.
Гармонізація ДКПП за кодами з СРА та
PRODCOM дає змогу використовувати національні статистичні дані для зіставлення
із статистичними даними Євростату без перехідних ключів і забезпечує можливість
входження через систему перехідних ключів до зовнішньоторговельних номенклатур
(HS/CN) та центральної класифікації товарів (СРС).
Введення в дію ДКПП припиняє
чинність "Общесоюзного классификатора промышленной и сельскохозяйственной
продукции" (ОКПК, ОКП-А) в Україні.
Таблиці відповідності кодів ДКПП
кодам ОКП та кодів ОКП кодам ДКПП (на рівні підкатегорії) подані відповідно в
довідкових додатках А та Б.
Зміни до ДКПП внаслідок змін у КВЕД,
європейських класифікаціях СРА та PRODCOM, а також за пропозиціями міністерств,
відомств і т. ін., погоджені в установленому порядку, вносить організація, що
здійснює ведення ДКПП.
Визначення та скорочення
. У ДКПП використовуються такі
основні терміни та їхні визначення:
Продукція - результат діяльності чи
процесів. Примітка. Продукція може містити послуги, обладнання, перероблювані
матеріали, програмне забезпечення чи їхні комбінації (ДСТУ 3230-95).
Виріб - одиниця промислової
продукції, кількість якої обчислюють у штуках (екземплярах) (ДСТУ 3278-95).
Послуга - наслідок безпосередньої
взаємодії між постачальником та споживачем і внутрішньої діяльності
постачальника для задоволення потреб споживача.
Примітка 1. Постачання чи
використання матеріальних видів продукції може бути частиною надання послуги.
Примітка 2. Послуга може бути
пов'язана з виробництвом та постачанням матеріальної продукції (ДСТУ 3230-95).
Споживач - отримувач продукції, яка
надається постачальником.
Примітка 1. У контрактній ситуації
споживач може називатися покупцем.
Примітка 2. Споживачем може бути,
наприклад, кінцевий споживач, користувач, пільговий споживач чи покупець.
Примітка 3. Споживач може бути
зовнішнім чи внутрішнім (ДСТУ 3230-95).
. Для запису окремих назв об'єктів
класифікаційних угруповань у ДКПП прийняті такі скорочення:
відкидається попередня назва об'єкта
чи її частина, якщо вони далі повторюються, а замість них ставиться
"тире";
попередня назва об'єкта чи її
частина, що відкидаються, відокремлюються похилою рискою.
. У класифікаційних угрупованнях
25.24.90.10, 25.24.90.39, 25.24.90.70, 27.51.11.50, 27.51.12.50, 27.51.13.50,
27.52.10.50, 27.53.10.50, 27.54.10.50 прийняті скорочені позначення кодів HS/CN
- 84#, 85# та 90#, які означають суму таких кодових позицій HS/CN...
. Скорочення "н.в.і.у."
означає "не введені в інші угруповання", "поз." -
класифікаційна позиція.
Натуральні та вартісні показники
обсягу продукції (послуг)
Виробнича програма у вартісному
виразі розробляється підприємством по товарній продукції в порівнювальних
цінах. Для планування інших показників (прибутку, собівартості) товарна
продукція визначається в діючих цінах підприємства. Отже, в основу планування
виробничої програми покладена система показників обсягу виробництва, яка
включає натуральні і вартісні показники [3].
Натуральними показниками виробничої
програми є обсяг продукції в натуральних одиницях за номенклатурою й
асортиментом.
Номенклатура виробів підприємства
може бути централізованою і децентралізованою.
Централізована номенклатура
формується шляхом укладання державних контрактів і державних замовлень.
Децентралізована номенклатура
формується підприємством самостійно на основі вивчення ринкового попиту на свою
продукцію та встановлення прямих контактів зі споживачами шляхом укладання
договорів поставок.
Натуральні показники, зазвичай,
представляються у фізичних одиницях виміру (метри, штуки, тони і т. д.).
Значення натуральних показників виробничої програми в умовах ринку зростає,
оскільки саме вони дають можливість оцінити ступінь задоволення потреб
споживачів у певних товарах з урахуванням якісної характеристики товарів.
На основі виробничої програми в
натуральному виразі визначають вартісні показники: товарну, валову продукцію у
порівнюваних цінах, товарну і реалізовану продукцію у діючих цінах
підприємства.
Отже, обсяг виробництва продукції в
натуральних вимірниках встановлюють на основі обсягу поставок [2]:

(1)
де ОВ - обсяг виробництва продукції
в натуральних одиницях;
ОП - обсяг поставок у натуральних
одиницях;
Зп - запаси продукції на складі на
початок планового року у натуральних одиницях;
Зк - запаси продукції на складі на
кінець планового року у натуральних одиницях.
Вартісними показниками виробничої
програми є обсяги товарної, валової, реалізованої, чистої, умовно-чистої
продукції, нормативної вартості обробітку, валового і внутрішньозаводського
обороту, обсяг незавершеного виробництва.
Найважливішим показником виробничої
програми є товарна продукція. Вона включає до свого складу всю виготовлену в
плановому або попередньому періодах продукцію, що відповідає стандартам,
технічним умовам, прийнята у ВТК, упакована і підготовлена до реалізації [2]:


(2)
де ТП - товарна продукція; ГП -
готова продукція;
Н - напівфабрикати, які
поставляються на сторону;
Пп.х - послуги промислового
характеру;
Тн.с - товари народного споживання;
Рк.б - роботи з капітального
будівництва, які виконуються власниками;
Пд.г- продукція допоміжних
господарств, призначена для реалізації "на сторону";
Рс.к.- середні та капітальні
ремонти, що виконуються власними силами.
Товарна продукція оцінюється в
діючих оптових цінах, по собівартості, в натуральних показниках, у трудових
показниках (для внутрізаводського планування).
Наступним показником виробничої
програми є валова продукція, що включає до свого складу всю продукцію у
вартісному виразі, незалежно від ступеня її готовності [2]:


(3)
де ВП - валова продукція;
НЗВп - вартість залишків
незавершеного виробництва на початок планового періоду;
НЗВк - вартість залишків
незавершеного виробництва на кінець планового періоду;
Іп - вартість інструменту для
власних потреб на початок планового періоду;
Ік - вартість інструменту для
власних потреб на кінець планового періоду.
Це найбільш загальний показник, який
відображає всю роботу підприємства.
Валову продукцію можна також
обчислити за такою формулою [2]:

(4)
де ВО - валовий оборот підприємства;
ВЗО - внутрішньозаводський оборот
підприємства.
Валовий оборот підприємства - це
обсяг валової продукції незалежно від того, де вона буде використана: чи в
межах підприємства, чи поза ним.
Внутрішньозаводський оборот - це та
кількість продукції підприємства, яка використовується всередині його для подальшої
переробки.
Вимірюється валова продукція в
діючих оптових цінах, за собівартістю та в нормо-годинах. За показником валової
продукції визначається потреба в матеріальних, трудових і фінансових ресурсах,
необхідних для виконання виробничої програми.
Валові показники мають істотний
недолік, що спотворює об'єктивну оцінку роботи підприємства: у них враховуються
витрати минулої праці (матеріальні витрати й амортизація), що призводить до
повторного розрахунку.
Важливе значення для аналізу
виробничої програми має показник незавершеного виробництва у вартісному виразі
[2]:

(5)
де НЗВ - величина незавершеного
виробництва;
Кв - кількість виробів;
С - собівартість одного виробу;
Тц - тривалість циклу виготовлення
одного виробу;
Д - кількість робочих днів у
розрахунковому періоді.
Коефіцієнт наростання витрат при
виготовлені виробу розраховується [2]:


(6)
де М - сума матеріальних витрат на
виробництво одного виробу;
С - собівартість одиниці виробу без
матеріальних витрат;
Со - одноразові витрати на початку
циклу виготовлення продукції;
Сі - поточні витрати на виготовлення
продукції.
Незавершене виробництво - це
продукція, яка перебуває на різних проміжних стадіях виробничого циклу. Вона
включає надходження матеріалів зі складу в цех та їх перебування у виробничому
процесі до моменту здачі виробів на склад готової продукції.
До незавершеного виробництва
належать предмети праці, які знаходяться в процесі транспортування, а також
напівфабрикати на цехових складах. Розміри незавершеного виробництва залежать
від обсягів виробництва продукції, тривалості виробничого циклу тощо.
Обсяг реалізованої продукції включає
вартість усіх готових виробів, що були поставлені покупцям і оплачені ними, та
вартість інших виконаних робіт, котрі входять в товарну продукцію [2]


(7)
де РП - реалізована продукція;
Злп - залишки нереалізованої
продукції на початок планового періоду;
Злк - залишки нереалізованої
продукції на кінець планового періоду;
ВЗлп - залишки продукції
відвантаженої, за яку термін оплати не настав на початок планового року;
ЗЗлк - залишки продукції на
відповідальному зберіганні у покупців на кінець планового року.
Вартість робіт непромислового
характеру до обсягу реалізації не входить. Обсяг реалізованої продукції вимірюється
в діючих оптових цінах підприємства, а при розрахунку прибутку від реалізації -
також за собівартістю. Цей показник враховує результати реалізаційної
діяльності. Тому він мас особливе значення в умовах ринку і є основним при
визначенні показників фінансового плану (прибутку, потреби в оборотних
засобах).
Обсяг реалізованої продукції з
урахуванням виконання плану поставок розраховують, як вартість реалізованої
продукції за вирахуванням вартості недопоставленої продукції.
Обсяг чистої продукції підприємства
обчислюють за формулою [2]:


(8)
де ЧП - чиста продукція
підприємства;
Мв - матеріальні витрати на
виробництво продукції;
А - сума амортизаційних відрахувань
за відповідний період.
Отже, чиста продукція - це вартість,
створена на підприємстві, або додана вартість.
Чиста продукція може бути обчислена
як сума основної та додаткової заробітної плати підприємства з відрахуваннями
на соціальні заходи і прибутку.
Ще одним показником, близьким за
своїм значенням до чистої продукції, є умовно чиста продукція:

(9)
де А - сума амортизаційних
відрахувань за відповідний період.
Отже, на відміну від чистої
продукції, умовно чиста продукція включає амортизаційні відрахування.
Інколи застосовуються при розробці
виробничої програми наступні показники:
нормативна вартість обробки;
нормативна заробітна платня;
нормативна чиста продукція.
Найбільший інтерес серед цих
додаткових показників представляє нормативна вартість обробітку, яка
одержується як добуток показника нормативної вартості обробітку одного виробу
і-го виду і кількості виготовлених виробів і-го виду.
Аналіз виробничої програми
проводиться за динамікою обсягу випуску продукції, за номенклатурою й асортиментом,
ритмічністю роботи підприємства, якістю продукції, резервах росту виробництва.
Найбільш важливими та узагальнюючими
показниками серед виїдена ведених є показники обсягу випуску та реалізації
продукції. За динамікою обсягу випуску продукції аналіз здійснюється так [2]:

(10)
де ОВф - фактичний обсяг випуску
продукції;
ОВп - плановий обсяг випуску
продукції.
Аналогічно аналізується обсяг
реалізованої продукції[2]:

(11)
де ОРф - фактичний обсяг реалізації
продукції;
ОРп - плановий обсяг реалізації
продукції.
Взагалі, за вищенаведеними
показниками аналіз проводиться зіставленням їх фактичних і планових величин.
Номенклатура та асортимент продукції
(послуг)
Рівень різноманітності продукції, що
виготовляється окремими підприємствами, визначається з допомогою показників її
номенклатури та асортименту.
Товарна номенклатура - це
систематизований перелік усіх асортиментних груп товарів і товарних одиниць, що
пропонуються виробником для реалізації [7]. Основними показниками номенклатури
продукції окремого підприємства є широта,насиченість, глибина та гармонічність
(сумісність).
Показник широти дає кількісну оцінку
різноманітності продукції фірми. Він свідчить, скільки окремих (за призначенням
або іншими властивостями) видів продукції виготовляє підприємство. Насиченість
номенклатури дає змогу визначити загальну кількість товарів, з якої вона
складається. Кількість пропонувань кожного з окремих видів продукції
характеризує глибину номенклатури продукції підприємства.
Рівень подібності товарів різних
асортиментних груп за призначенням, технологією виготовлення, організацією
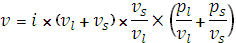
обороту оцінюється з допомогою показника гармонічності. У межах номенклатури,
сформованої на засадах гармонічності, збільшується сукупний обсяг реалізації,
який визначається за такою формулою [7]:

, (12)
де v - збільшення сумарної
реалізації сумісних товарів різних асортиментних груп;, vs - обсяги реалізації
товарів з різних асортиментних груп, що розглядаються;, ps - частка обсягу
реалізації, отримана відповідно кожною асортиментною групою з коштів,
заощаджених на купівлю продукції даної номенклатури;
і - рівень взаємного обміну
покупцями між товарами різних асортиментних груп (відсоток покупців, які
купують обидва товари).
Рівень гармонічності номенклатури
(наприклад щодо товарів А і В) визначає також величина перехресної еластичності
попиту на ці товари - kе.п [7]:

, (13)
де kеп - коефіцієнт перехресної еластичності;
Ка0 - базовий рівень попиту на товар
А;
∆Kа - зміна попиту на товар А;
Рв0 - базовий рівень ціни на товар
В;
∆Рв - зміна ціни на товар В.
Так, якщо ціни на хлібопекарські
комплекси нової модифікації, які протягом двох років виготовляє підприємство,
зросли на 100%, а обсяги реалізації крупорушок збільшились на 50%, то
коефіцієнт перехресної еластичності дорівнює 0,5, а самі товари можна вважати
взаємозалежними.
Основні показники номенклатури дають
кількісну оцінку можливостей підприємства адаптуватися до змінних та
неконтрольованих чинників ринку. Глибшу та якіснішу оцінку товарного
пропонування можна отримати за допомогою вивчення асортименту продукції
підприємства, тобто набору (підбору) однойменної продукції (послуг),
конкретизованого за назвами, видами, ґатунками, розмірами, артикулами. Таку
групу товарів тісно пов’язано схожістю функціонально-корисних властивостей,
особливостей виготовлення, обороту і споживання в межах однакового діапазону
цін.
Між товарною номенклатурою і
асортиментом має місце зв’язок цілого і часткового. Зміст цього зв’язку і
співвідношення на прикладі фрагмента номенклатури продукції харчової
промисловості зображено на рис. 2 [7].
Для кількісного оцінювання товарного
асортименту використовується система показників, розглянута вище.
Найчастіше показники ширини і
глибини товарного асортименту беруть до уваги, коли приймають рішення про
збільшення випуску окремих найменувань чи марок продукції, або коли оцінюють
насиченість асортименту в цілому. Такі рішення залежать від обставин, що
склалися, а також від загальної стратегії маркетингу, оскільки широкий
асортимент уможливлює диверсифікацію пропонування.
Рис. 2 Фрагмент структури
асортименту харчової продукції
- зведена номенклатура (М1 - сировина
для шкіряної промисловості; М2 - харчова продукція; М3 - медична продукція; М4
- технічна продукція); 2 - номенклатура харчової промисловості (М2.1 - м’ясо;
М2.2 - м’ясні напівфабрикати; М2.3 - ковбасні вироби; М2.4 - консерви; М2.5 -
харчовий жир; М2.6 - субпродукти); 3 - груповий асортимент ковбасних виробів
(М2.3.1 - ковбаси твердокопчені; М2.3.2 - ковбаси варено-копчені; М2.3.3 -
ковбаси варені; М2.3.4 - сосиски і сардельки; М2.3.5 - копченості; М2.3.6 -
інші ковбасні вироби); 4 - детальний асортимент ковбасних виробів.
Різноманітність продукції дає змогу
орієнтуватися на різні вимоги споживачів і стимулювати здійснення ними
закупівель в одному місці, але це потребує додаткових ресурсів і залучення
значних коштів. Належний асортимент створює умови для задоволення потреб
покупців різних сегментів.
Також для інтенсивнішого
використання торгових приміщень, проведення ефективної цінової політики. Усе це
сприяє посиленню конкурентоспроможності товару та забезпеченню додаткового
зиску. Проте прагнення до створення якнайповнішого асортименту в оптовій та
роздрібній торгівлі збільшує витрати на створення і підтримування необхідних
товарних запасів, породжує конкуренцію в межах окремих асортиментних груп
товарів через їхню надмірну схожість.
Здолати ці труднощі можна тільки
добре обміркувавши оптимальний склад товарів різних асортиментних груп за їхнім
кінцевим призначенням, каналами розподілу, сумісністю тощо.
· власні науково -
дослідні і дослідно - конструкторські розро-блення;
· зміни в товарному
асортименті конкурентів;
· необхідність
збільшення збуту;
· наявність вільних
виробничих потужностей;
· необхідність
використання побічних продуктів виробництва.
Для оцінки та управління товарним
асортиментом використовуються також показники структури, основного та
додаткового, обмеженого та впорядкованого асортименту. Під структурою
асортименту розуміють склад однотипних видів виробів.
Основний асортимент - це його
головна складова, яка дає фірмі переважну частку прибутку. Додатковий
асортимент доповнює основний у формі нетрадиційних послуг, які надаються
підприємством. Як правило, у додатковому асортименті реалізуються тільки ті
товари та послуги, що гарантують обов’язковий прибуток.
Найчастіше це досягається тоді, коли
споживач не очікує наявності таких товарів у продажу (приємний сюрприз,
несподіванка). Розширення асортименту передбачає виробництво додаткових видів
продукції, товарів та груп товарів.
Ефективність такої диверсифікації ще
більше посилюється поглибленням асортименту, коли розширення можливостей збуту
здійснюється за рахунок створення індивідуальних, особливих товарів, здатних
задовольнити унікальні бажання споживачів. Найчастіше такі дії передбачають
пропонування покупцям певних видів або типів продукції в різних модифікаціях.
Обмеження асортименту здійснюється
за скрутних виробничих та фінансових можливостей, що стали наслідком коливань
попиту і спадів кон’юнктури. У цьому разі вдаються до скорочення асортименту і
концентрації зусиль на виробництві найконкурентоспроможніших товарів.
Кожен продуцент повинен систематично
ревізувати асортимент і за необхідності впорядковувати його. Спеціальні знижки
для споживачів полегшують розпродаж нерентабельних частин асортименту.
Головним індикатором ефективності
різних складових асортименту вважають показники збуту. Вони можуть указати на
ті продукти, котрі належить виключити з виробничої програми. З цією метою
застосовують спеціальний аналіз, варіантом якого є так званий АВС-аналіз [7].
Згідно з ним продукція підрозділяється на три класи за одним із трьох таких
критеріїв: збут, прибуток, відшкодування витрат.
До категорії «А» відносять частину
асортименту, з якою пов’язується великий (до 50%) внесок у загальний збут; до
категорії «В» - продукцію із внеском у загальний обсяг продажу не меншим за 25
%, а до категорії «С» - від 25% і менше. Графічним відображенням розподілу
продукції за АВС-аналізом є діаграма Парето, яка уможливлює чітке визначення
пріоритетів інвестиційної та інноваційної діяльності в межах асортименту
продукції підприємства.
Приклад побудови діаграми Парето (на
основі даних табл. 2) подано на рисунку 3.
Таблиця 2
Обсяги реалізації товарів
|
Продукт
|
Частка окремих виробів у загальному обсязі
реалізації підприємства, %
|
Частка собівартості окремих виробів у
загальних витратах підприємства, %
|
|
А
|
60
|
20
|
|
В
|
30
|
30
|
|
С
|
10
|
50
|
|
Разом
|
100
|
100
|
Така діаграма поєднує на одному
координатному полі:
· товарну структуру
обсягу реалізації продукції підприємства (у порядку зменшення частки окремих
товарів);
· структуру витрат
підприємства, що відображає нагромадження їхнього загального обсягу за рахунок
окремих товарів у складі асортименту продукції підприємства.
Рис. 3 Діаграма Парето [7]
Аналіз діаграми забезпечує чітке
структурування збуту, а також попередні висновки щодо можливості виключення з
виробничої програми окремих продуктів. Однак остаточне рішення щодо коригування
виробничого асортименту треба ухвалювати на підставі частки кожної продуктової
складової в покритті постійних та змінних витрат. Збут - це найпростіший і
найнадійніший індикатор економічного стану підприємства. До того ж його легко
визначити й використати в конкурентній боротьбі.
Висновки
Таким чином можна зробити висновок,
що продукція - це прямий і корисний результат процесу виробництва, що
задовольняє вимогам встановлених стандартів і технічних умов.
За умов товарного виробництва та
ринкової економіки виготовлена продукція, виконана робота або надана послуга є
товаром, котрий має не лише споживну вартість, а й вартість (мінову вартість).
Для постійного й повного задоволення потреб ринку планування та облік товарів,
що їх виготовляють на продаж, здійснюється в натуральних (фізичних) і вартісних
(грошових) вимірниках.
Важливо зважити на те, що міру
задоволення потреб ринку можна охарактеризувати, виходячи насамперед із
показників обсягу товарів певної номенклатури та асортименту в натуральному
вигляді. Номенклатура і товарний асортимент включають стару продукцію, попит на
яку зберігається, а також нову продукцію, дослідні зразки принципово нових
виробів.
У наш час існує Державний
класифікатор продукції та послуг (ДКПП)Є, який є складовою частиною Державної системи
класифікації і кодування техніко-економічної та соціальної інформації.
Класифікатор розроблено відповідно до постанови Кабінету Міністрів України від
04.05.93 р. № 326 "Про Концепцію побудови національної статистики України
та Державну програму переходу на міжнародну систему обліку і статистики".
Виробнича програма у вартісному
виразі розробляється підприємством по товарній продукції в порівнювальних
цінах. Для планування інших показників (прибутку, собівартості) товарна
продукція визначається в діючих цінах підприємства. Натуральними показниками
виробничої програми є обсяг продукції в натуральних одиницях за номенклатурою й
асортиментом.
Література
. Економіка
підприємства : підручник / за заг. ред. С.Ф. Покропивного. - Вид. 2-ге,
перероб. та доп. - К.: КНЕУ, 2001. - 528 с.
. Економіка
підприємства : підручник. / за ред. Іванілова О.С. - Харківський державний
технічний університет будівництва і архітектури. - Харків, 2011. - 704 с.
. Моргулець
О.Б. Менеджмент у сфері послуг : навчальний посібник / О.Б. Моргулець. - К.:
Центр учбової літератури, 2012. - 384 с.
. Маркетинг:
підручник / В. Руделіус, О. М. Азарян, Н. О. Бабенко - К.: Навчально-методичний
центр «Консорціум з удосконалення менеджмент-освіти в Україні». 2008.- 648.с.
. Семернікова
І. О. Економіка підприємства : навчальний посібник / І.О. Семернікова, Н.В.
Мєшкова-Кравченко. - Херсон : ОЛДІ-плюс, 2003. - 312 с.
. Бойко
В.В. Экономика предприятия : учебное пособие / В.В. Бойко. - Днепропетровск :
ДГУ, 2007. - 234 с.
7. Кардаш
В.Я. Товарна інноваційна політика : навчальний
посібник / В.Я. Кардаш, І.А. Павленко, О.К. Шафалюк. - К.: КНЕУ, 1999. - 124 с.
8. Класифікація продукції та послуг
[Електронний ресурс]. - Режим доступу :
<http://gilservice.vstudia.com/dkpp.html>