Детерминирование, моделирование и преобразование факторных систем
Курсовая работа
Название дисциплины: Анализ
хозяйственной деятельности
Тема: Детерминирование моделирование
и преобразование факторных систем
Введение
Проблематика. Ни для кого не секрет, что анализ хозяйственной
деятельности отдельного предприятия сосредоточен на исследовании явлений и
процессов, возникающих в процессе его практической хозяйственной деятельности,
которая, как правило, обуславливается какими-то специфическими отраслевыми
особенностями, определяется особенностями коллектива и характерными условиями
экономической производственной деятельности. Экономический анализ дает
возможность обнаружить имеющиеся взаимосвязи экономических явлений и процессов,
показать причины и закономерности их изменений, а также добыть всю информацию,
необходимую для управления экономической деятельностью предприятия. Одним из
важнейших видов финансового анализа является - факторный анализ, представляющий
собой исследование влияния отдельных факторов на результирующий показатель с
помощью детерминированных или стохастических приемов исследования. В данной
работе будет более подробно рассмотрен детерминированный факторный анализ.
Тема курсового исследования: «Детерминирование моделирование и
преобразование факторных систем. Способы измерения факторов в детерминированном
анализе».
Актуальность. Составляющими факторного анализа, как раздела анализа
хозяйственной деятельности предприятия, являются оценка и прогнозирование
влияния факторов на изменение результативного показателя. При этом, чем
подробнее исследуется функциональная обусловленность результирующего показателя
от различных факторов-аргументов, тем более объективными будут и результаты
проводимого исследования, тем точнее будет полученная оценка качества работы
исследуемых предприятий. Безусловно, без основательного и всестороннего
исследования факторов невозможно прийти к обоснованному заключению о
результатах деятельности предприятия, вскрыть потенциальные резервы
производства, аргументировать планы и управленческие решения. Таким образом,
решение задачи повышения эффективности функционирования предприятий не возможно
без грамотного экономического анализа их деятельности. Этим обуславливается
актуальность рассматриваемой проблемы.
Объектом исследования является методика факторного анализа предприятий,
как одного из важнейших методов экономического анализа предприятий. Предмет
исследования составляет детерминированный факторный анализ.
Цель исследования заключается в рассмотрении факторного анализа,
основанном на построении многофакторной модели с последующим анализом и
выявлением влияния каждого отдельного фактора на конечный результат. Для
достижения обозначенной цели исследования, необходимо решить следующие задачи:
1) Рассмотреть понятие, принципы и задачи факторного анализа.
2) Привести классификацию факторов и их систематизацию в
экономическом анализе производственного предприятия.
) Изучить детерминированное моделирование и преобразование
факторных систем.
) Рассмотреть измерение факторов при использовании различных
способов факторного анализа.
) Исследовать и охарактеризовать различные способы измерения
факторов в детерминированном анализе: индексный метод, способ цепной
подстановки, способ относительных разниц, способ абсолютных единиц, способ
пропорционального деления и долевого участия, способ логарифмирования.
) Провести детерминированный факторный анализ на примере
конкретного предприятия.
) Сделать выводы.
Структура исследования. Курсовая работа состоит из двух глав с
приложениями. Первая глава посвящена исследованию теоретических аспектов проведения
детерминированного факторного анализа предприятий. Во второй главе будет
представлен пример проведения детерминированного факторного анализа на
действующем производственном предприятии.
1. Основы
методики факторного анализа
.1 Факторный анализ, его виды и этапы
Анализ литературы по теории экономического анализа показал, что именно
причинно-следственные связи экономических явлений и процессов являются
предметом анализа хозяйственной деятельности предприятий. Для того чтобы
провести точный расчет изменений основных результатов экономической
деятельности предприятия через конкретные факторы, а также обосновать
какое-либо управленческое решение, - все это возможно лишь выявив
причинно-следственные связи различных сторон экономической деятельности предприятия.
Всего этого позволяет достичь применение системного подхода в анализе
хозяйственной деятельности с использованием факторных моделей. Данный метод
экономического анализа дает возможность не только выявлять
причинно-следственные связи, но также и представить им количественную
характеристику, т.е. достаточно точно измерять влияние отдельных факторов на
результаты хозяйственной деятельности для качественной оценки предприятия и
обоснованности сделанных выводов.
Факторный анализ представляет собой особую методику комплексного и
системного исследования и измерения влияния факторов на величину результативных
показателей. В процессе факторного анализа идет построение многофакторной
зависимости с последующим анализом и выявлением влияния каждого отдельного фактора
на конечный результат. Одним из важнейших понятий в анализе хозяйственной
деятельности предприятия является понятие фактора (от лат. factor - делающий,
производящий). В рамках экономического анализа под фактором понимают условия,
нужные для осуществления конкретного хозяйственного процесса, а также движущую
силу этого процесса, обуславливающую одну из характерных черт и характер
данного процесса. При этом существует множество различных факторов, оказывающих
влияние на результаты хозяйственной деятельности, которые при этом находятся во
взаимной связи, зависимости и обусловленности.
Стохастический факторный анализ - есть метод исследования факторов,
взаимозависимость которых с результирующим показателем является
нефункциональной и недетерминированной, а корреляционной или вероятностной. При
такой стохастической взаимосвязи какое-либо изменение аргумента приводит к
одновременно различным значениям изменения функции. Здесь многое зависит от
комбинации прочих факторов, определяющих рассматриваемый результирующий
показатель.
Детерминированный факторный анализ или анализ зависимостей между
показателями посредством жестко детерминированных факторных моделей является
самым распространенным методом анализа в хозяйственной практике. Главным
результатом данного вида анализа хозяйственной деятельности предприятия
является разложение прироста результирующего показателя, определенного
совокупным воздействием или изменением факторных признаков, на сумму частных
приростов результирующего показателя, любой из которых обусловлен изменением
лишь одного конкретного фактора.
Факторный анализ можно также классифицировать на одноступенчатый и
многоступенчатый. Одноступенчатый факторный анализ применяется для исследования
факторов только одного уровня подчинения, не проводя их детализацию на
составные элементы. Скажем, у=а*b. Если же проводится многоступенчатый
факторный анализ, то осуществляется детализация факторов а и b на составные
части для исследования их поведения. При многоступенчатом анализе может
исследоваться влияние факторов различных уровней соподчиненности при сколь
угодных уровнях детализации факторов.
Различают также прямой и обратный факторный анализ. Прямой факторный
анализ предполагает проведение исследования способом логической дедукции - от
общего к частному. При обратном факторном анализе исследование
причинно-следственных связей осуществляется индуктивным способом - от частных,
отдельных факторов к общим.
Следует различать также ретроспективный и перспективный факторный анализ.
При этом первый исследует причины прироста результативных показателей за
прошлые периоды, а второй изучает поведение факторов и результативных
показателей в будущем.
Наконец, факторный анализ может быть статическим и динамическим.
Статический факторный анализ используется при исследовании влияния факторов на
результирующие показатели на соответствующую дату, а динамический факторный
анализ представляет собой методику изучения причинно-следственных связей в
динамике.
Если рассматривать общий случай факторного анализа, то он осуществляется
в несколько этапов. После постановки цели анализа, т.е. то для чего он
производится, осуществляется отбор необходимых факторов, определяющих
исследуемые результативные показатели. Данный отбор факторов осуществляется на
основе теоретических и практических знаний в конкретной отрасли. В данном
случае как правило отталкиваются от принципа: чем больший комплекс факторов
исследуется, тем более точными и объективными получатся результаты анализа.
Однако необходимо при этом понимать, что если эта система факторов
рассматривается как механическая сумма, при этом не учитывается их
взаимодействие, не выделяются основные определяющие факторы, то выводы
наверняка будут ошибочными.
Далее проведение факторного анализа предполагает классифицировать и
систематизировать факторы с целью обеспечения комплексного и системного подхода
к исследованию их влияния на результаты хозяйственной деятельности. При этом в
экономическом анализе взаимосвязанное исследование влияния факторов на величину
результативных показателей достигается с помощью их систематизации, что
является одним из основных методологических вопросов данной области
экономических знаний. Следующим этапом идет определение формы зависимости между
факторами и результирующим показателем. Данная стадия факторного анализа
является важнейшим методологическим вопросом, целью которой является
установление характера взаимосвязей, который может быть прямой или обратный,
функциональный или стохастический, прямолинейный или криволинейный. В данном
случае применяется теоретический и практический опыт, а также методы сравнения
параллельных и динамичных рядов, аналитических группировок исходной информации,
графический метод и целый ряд других способов.
После определения характера взаимозависимости факторов осуществляется
моделирование взаимосвязей между результирующим показателем и факторами. Этап
моделирования экономических показателей в факторном анализе также является
весьма серьезной проблемой для аналитика, поскольку для ее решения он должен
обладать достаточным объемом специальных знаний и навыков. Сущность построения
модели заключается в создании конкретной математической зависимости между
факторами. Вслед за построением многофакторной модели переходят непосредственно
к главному методологическому аспекту в анализе хозяйственной деятельности
предприятия - к расчету влияния факторов и оценке роли каждого из них в
изменении величины результативного показателя. Для этого может быть применено
множество различных способов, о которых пойдет речь в дальнейшем.
Следует отметить, что в процессе моделирования функциональных факторных
систем необходимо придерживаться целого ряда требований. Во-первых, факторы,
входящие в модель, должны реально существовать и иметь конкретное физическое
значение. Во-вторых, факторы, входящие в систему факторного анализа, должны
иметь причинно-следственную связь с изучаемым показателем. А помимо этого, сама
факторная модель должна обеспечивать измерение воздействия конкретного фактора
на результирующий показатель.
Заключительным этапом проведения факторного анализа является
непосредственная работа с конкретной факторной моделью, т.е. ее практическое
применение для управления экономическими явлениями и процессами на предприятии,
а именно для подсчета резервов прироста результирующего показателя,
планирования и прогнозирования его величины в изменяющихся условиях.
.2 Понятие факторов, их классификация и систематизация
факторный анализ экономический производственный
Ключевым понятием в экономическом анализе в целом и в факторном анализе в
частности является понятие фактора, которое в переводе с латинского языка
означает «делающий» или «производящий». В анализе хозяйственной деятельности
под фактором понимаются определенные условия, которые необходимы для
осуществления конкретного хозяйственного процесса, его причину и движущую силу,
определяющую его характер. Всякий хозяйственный процесс формируется под
влиянием разнообразных факторов. При этом на результаты экономической
деятельности предприятия может влиять большое количество различных факторов,
которые при этом часто взаимозависимы, взаимосвязаны и взаимообусловлены. Для
эффективного управления предприятием необходимо знать все эти факторы, а также
уметь правильно воздействовать на них и управлять ими.
Весь спектр факторов, влияющих на результаты хозяйственной деятельности
можно классифицировать по целому ряду признаков. Так например моржно выделить
такие группы факторов:
- производственно-экономические (показатели использования производственных
ресурсов предприятия),
- социально-экономические (жилищные условия, уровень
квалификации и образования работников и прочее),
- природно-климатические (продолжительность светового дня,
среднемесячная температура воздуха и другие).
При проведении анализа хозяйственной деятельности, конечно, наиболее
важными являются производственно-экономические факторы. Приведем более
подробную классификацию производственно-экономических факторов:
По значимости выделяют основные и второстепенные факторы. Например,
состояние основных средств (основной фактор) и оформление территории
предприятия (второстепенный фактор).
По зависимости от трудового вклада коллектива выделяют независящие и
зависящие. Например, регулярность поставок (независящий фактор) и соблюдение
трудовой дисциплины (зависящий фактор).
По степени действия выделяют общие и специфические факторы. Например,
уровень технической оснащенности (общий фактор) и условия хранения товаров
(специфический фактор).
По времени действия факторы классифицируют на постоянные и временные.
Например, численность производственных рабочих (постоянный фактор) и периоды
массовых отпусков работников (временный фактор).
По характеру действия различаются экстернальные и интернальные факторы. В
частности, к экстернальным можно отнести - загрязнение окружающей среды на
территории предприятия, а к интернальным - традиции компании.
По свойствам отражаемых явлений выделяют количественные и качественные.
Например, объемы поставок продукции (количественный фактор) и удовлетворенность
потребителей (качественный фактор).
По возможности измерения существуют факторы поддающиеся измерению и
неподдающиеся измерению. Например, фонд заработной платы работников (поддается
измерению), а вот мотивацию работников измерить не представляется возможным.
Анализ литературы показал, что помимо этих видов факторов достаточно
большое внимание отводится факторам интенсивного и экстенсивного развития. Это
важное разделение факторов, и точное понимание подобной классификации нужно для
более полного приведения в действие интенсивных факторов роста, и вообще для
определения уровня интенсификации производства.
Сама идея интенсивного и экстенсивного роста принадлежала К. Марксу, в
проводимых им исследования процесса расширенного производства. В своих работах
Маркс утверждал, что производство будет расширяться "интенсивно, если
применяются более эффективные средства производства" либо же
"экстенсивно, если расширяется только поле производства".
Следовательно, главными факторами экстенсивного развития являются добавочные
затраты человеческого и овеществленного труда (без их качественного
совершенствования): увеличение капитальных вложений (на расширение объема
вовлекаемых в хозяйственный оборот основных фондов неизменного технического
уровня), увеличение численности работающих (без изменения их квалификации и
общеобразовательного уровня), увеличение объемов потребляемого сырья. Данный
способ развития производства является простейшим путем его расширения.
Если же говорить о факторах интенсивного развития производства, то они
подразумевают качественное совершенствование факторов и технологий. Интенсивные
факторы делятся на две большие подгруппы. К первой подгруппе (факторы первого
рода) относятся факторы, связанные с мобилизацией имеющихся резервов и,
обыкновенно, не требуют существенных капитальных вложений. Во вторую группу
входят факторы (факторы второго рода), связанные с преобразованием производства
предприятия посредством внедрения достижений научно-технического прогресса и
новейших управленческих и финансовых технологий. Собственно эта группа факторов
является сердцевиной интенсификации деятельности хозяйствующих субъектов и
повышения ее эффективности.
Использование системного подхода в экономическом анализе предполагает
необходимость взаимосвязанного исследования факторов с учетом их внутренних и
внешних связей, взаимодействия и соподчиненности. Именно для этого и необходима
систематизация факторов, которая в общем представляет собой размещение
исследуемых явлений или объектов в определенном порядке с обнаружением их
взаимосвязи и подчиненности. Формирование детерминированных факторных систем
как раз является одним из способов систематизации факторов. Построение
факторной системы - есть представление исследуемого явления в форме
алгебраической суммы, частного или произведения нескольких факторов,
определяющих его величину и находящихся с ним в функциональной зависимости.
Развитие детерминированной факторной системы обеспечивается, обычно,
посредством дальнейшей детализации сложных факторов. Элементные факторы при
этом не расчленяются на сомножители, поскольку они являются однородными по
своему содержанию. Поэтому развитие системы предполагает то, что сложные
факторы в дальнейшем детализируются на менее общие, последние еще на менее
общие, и так подходя по своему аналитическому содержанию к самым элементным.
Тем не менее необходимо понимать, что развитие факторных систем до нужной
степени связано с некоторыми методологическими трудностями и главным образом с
трудностью определения факторов общего характера, которые можно было бы
представить в виде произведения, частного или алгебраической суммы нескольких факторов.
Вследствие этого обычно детерминированные системы охватывают наиболее общие
факторы. При этом исследование более конкретных факторов в экономическом
анализе имеет существенно большее значение, чем общих.
Можно сделать вывод, что систематизация факторов дает возможность
аналитику более глубоко исследовать взаимосвязь факторов при образовании
величины изучаемого показателя, что имеет весьма немалое значение на остальных
этапах проведения факторного анализа, тем более на этапе моделирования исследуемых
показателей.
.3 Детерминированное моделирование и преобразование факторных систем
Ключевым этапом и подцелью факторного анализа является моделирование
взаимосвязей между определяющими факторами и результативными показателями.
Которое в целом представляет собой один из центральных методов научного
познания, посредством которого создается модель объекта исследования. Другими
словами формируется некий условный образ объекта исследования. Суть
моделирования заключается в том, что взаимосвязь исследуемого показателя с
факторными аргументами передается в форме конкретного математического
уравнения. Как уже было упомянуто в факторном анализе модели могут быть
детерминированными или стохастическими (вероятностными). Посредством
детерминированных факторных моделей исследуется функциональная связь между
результирующей функцией и аргументами.
В детерминированном анализе выделяют следующие типы наиболее часто
встречающихся факторных моделей.
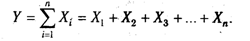
. Аддитивные модели или модели сложения:
Данные модели применяются в тех случаях, когда результирующая функция
представляет собой алгебраическую сумму нескольких факторных показателей.
Например, себестоимость может быть определена сумма амортизации, материалов и
зарплаты с начислениями.
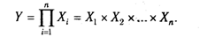
. Мультипликативные модели или модели умножения:
Данные модели используются тогда, когда результирующая функция
представляет собой произведение нескольких факторов. Например, выпуск продукции
можно увязать с оборотным капиталом как произведение оборачиваемости капитала
оборачиваемость оборотного капитала на среднюю величину оборотного капитала.
Моделирование мультипликативных факторных систем в экономическом анализе
осуществляется путем последовательного расчленения факторов исходной системы на
факторы-сомножители. Эти модели отражают процесс детализации исходной факторной
системы мультипликативного вида и расширения ее за счет расчленения на сомножители
комплексных факторов. Степень детализации и расширения модели зависит от цели
исследования, а также от возможностей детализации и формализации показателей в
пределах установленных правил. Аналогичным образом осуществляется моделирование
аддитивных факторных систем за счет расчленения одного или нескольких факторных
показателей на составные элементы.
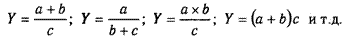
. Кратные модели или модели деления:
Данные модели используются в тех случаях, когда результативный показатель
получают делением одного факторного показателя на величину другого. Примером
может служит упомянутая уже функция производительности труда. К классу кратных
моделей применяют следующие способы их преобразования: удлинения, формального
разложения, расширения и сокращения. Метод удлинения предусматривает удлинение
числителя исходной модели путем замены одного или нескольких факторов на сумму
однородных показателей. Метод формального разложения факторной системы
предполагает удлинение знаменателя исходной факторной модели путем замены
одного или нескольких факторов на сумму или произведение однородных
показателей. Метод расширения широко используется в анализе и предусматривает
расширение исходной факторной модели за счет умножения числителя и знаменателя
дроби на один или несколько новых показателей. Способ сокращения представляет
собой создание новой факторной модели путем деления числителя и знаменателя
дроби на один и тот же показатель.
. Смешанные модели или комбинированные модели:

При этом следует отметить, что на практике для преобразования одной и той
же модели может быть последовательно использовано несколько методов.
Следовательно, можно сделать вывод, что результирующие показатели можно
разложить на составные части разными способами и рассматривать в виде различных
типов детерминированных моделей. Конечно, сам процесс моделирования факторных
систем является довольно сложной и ответственной работой в экономическом
анализе. И чем реальнее и точнее полученные модели будут отражать взаимосвязь
между изучаемыми показателями, тем более точными и объективными будут конечные
результаты анализа. При этом выбор конкретного метода моделирования будет
зависеть от поставленной цели, объекта исследования, и конечно от
профессиональных знаний и навыков исследователя.
.4 Методы измерения влияния факторов в факторном анализе
Способ цепной подстановки. Данный способ применяется для определения
влияния факторов во всех видах детерминированных факторных моделей: аддитивных,
мультипликативных, кратных и смешанных. Способ цепной подстановки дает
возможность расчитать влияние отдельных факторов на изменение величины
результативного показателя путем постепенной замены базисной величины каждого
факторного показателя в объеме результативного показателя на фактическую в
отчетном периоде. Для этого определяют ряд условных величин результативного
показателя, которые учитывают изменение одного, затем двух, трех и т.д.
факторов, допуская, что остальные не меняются. Сравнение величины
результативного показателя до и после изменения уровня того или другого фактора
позволяет элиминироваться от влияния всех факторов, кроме одного, и определить
воздействие последнего на прирост результативного показателя.
Следует отметить, что применяя способ цепной подстановки, рекомендуется
соблюдать определенную последовательности расчетов: в первую очередь нужно учитывать
изменение количественных, а затем качественных показателей. Если же имеется
несколько количественных и несколько качественных показателей, то сначала
следует изменить величину факторов первого уровня подчинения, а потом более
низкого. Итак, применение способа цепной подстановки требует знания взаимосвязи
факторов, их соподчиненности, умения правильно их классифицировать и
систематизировать.
Индексный метод. Данный способ измерения влияния факторов основан на
относительных показателях динамики, пространственных сравнений, выполнения
плана, выражающих отношение фактического уровня анализируемого показателя в
отчетном периоде к его плановому уровню. Использование агрегатных индексов
позволяет обнаружить влияние различных факторов на изменение уровня результативных
показателей в мультипликативных и кратных моделях. Индексы, выражающие
соотношение непосредственно соизмеряемых величин, называются индивидуальными, а
характеризующие соотношения сложных явлений - групповыми, или тотальными.
Принципы построения индексов: изменение одного фактора при неизменном значении
всех остальных, при этом если обобщающий экономический показатель представляет
собой произведение количественного (объемного) и качественного
показателей-факторов, то при определении влияния количественного фактора
качественный показатель фиксируется на базисном уровне, а при определении
влияния качественного фактора количественный показатель фиксируется на уровне
отчетного периода.
Данный принцип разложения абсолютного прироста (отклонения) обобщающего
показателя по факторам пригоден для случая, когда число факторов равно двум
(один из них количественный, другой - качественный), а анализируемый показатель
представлен как их произведение. Теория индексов не дает общего метода
разложения абсолютных отклонений обобщающего показателя по факторам при числе
факторов более двух. Для решения этой задачи используется метод цепных
подстановок.
Способ абсолютных разниц. Данный метод измерения влияния факторов также
представляет собой одну из модификаций элиминирования. Аналогично способу
цепной подстановки, он используется для определения воздействия факторов на
прирост результативного показателя в детерминированном анализе, но только в
мультипликативных и мультипликативно-аддитивных моделях: Y = (а - b)с и У = a(b
- с). Невзирая на то, что его применение ограничено, тем не менее благодаря
своей простоте он получил широкое применение в анализе хозяйственной
деятельности предприятия. Наиболее эффективно данный способ используется в
ситуации, если отправные данные уже содержат абсолютные отклонения по факторным
показателям. Применяя данный метод, величина влияния факторов определяется как
произведение абсолютного прироста исследуемого фактора на плановый показатель
факторов, которые находятся справа от него, и на фактическую величину факторов,
расположенных слева от него в модели.
Способ абсолютных разниц дает те же результаты, что и способ цепной
подстановки. В данном случае нужно также следить за тем, чтобы алгебраическая
сумма прироста результативного показателя за счет отдельных факторов была равна
общему его приросту.
Способ относительных разниц. Данный способ, аналогично только что
рассмотренному, используется для измерения влияния факторов на прирост
результативного показателя только в мультипликативных и аддитивно-мультипликативных
моделях типа V = (а - b)с. При этом сей способ существенно проще цепных
подстановок, что при определенных условиях делает его весьма эффективным. Здесь
речь идет в первую очередь о тех случаях, когда исходные данные содержат уже определенные
ранее относительные приросты факторных показателей в процентах или
коэффициентах. Данный способ измерения влияния факторов удобно применять в тех
случаях, когда необходимо рассчитать влияние большого комплекса факторов
(например, свыше 10). В отличие от предыдущих способов значительно сокращается
количество вычислений. Отдельным вариантом способа относительных разниц
является прием процентных разностей.
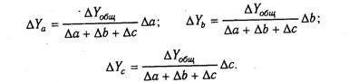
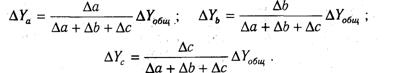
Способ
пропорционального деления. В некоторых ситуациях для расчета величины влияния
факторов на прирост результативного показателя может быть применен способ
пропорционального деления. Здесь речь идет о тех ситуациях, когда мы имеем дело
с аддитивными моделями типа V =
Xi и кратно-аддитивного типа:
При
этом если мы имеем одноуровневую модель типа V= а + b +
с. расчет проводится следующим образом:
При
решения такого типа задач можно использовать также способ долевого участия.
Сначала определяется доля каждого фактора в общей сумме их приростов, которая
затем умножается на общий прирост результативного показателя:
Интегральный
метод. Данный метод используется для измерения влияния факторов в
мультипликативных, кратных и смешанных моделях кратно-аддитивного вида:
Данный способ измерения влияния факторов основан на применении моделей,
которые, в отличие от предыдущих моделей, учитывают погрешность, возникающую
при разложении функции в ограниченные ряды. Величины погрешности распределяют
поровну между факторами. Применение данного способа позволяет получать более
точные результаты расчета влияния факторов по сравнению со способами цепной
подстановки, абсолютных и относительных разниц и избежать неоднозначной оценки
влияния факторов. Это объясняется тем, что в данном случае результаты не
зависят от местоположения факторов в модели, а дополнительный прирост
результативного показателя, который образовался от взаимодействия факторов,
раскладывается между ними поровну. При этом порой кажется, что для
распределения дополнительного прироста достаточно взять его половину или часть,
соответствующую количеству факторов. Однако это сделать чаще всего непросто,
поскольку факторы могут действовать в разных направлениях. Поэтому в
интегральном методе применяются специальные формулы.
Способ логарифмирования. Данный способ используется для измерения влияния
факторов в мультипликативных моделях. При этом результат расчета, как и при
интегрировании, не зависит от месторасположения факторов в модели и по
сравнению с интегральным методом обеспечивается еще более высокая точность
расчетов. Если при интегрировании дополнительный прирост от взаимодействия
факторов распределяется поровну между ними, то с помощью логарифмирования
результат совместного действия факторов распределяется пропорционально доли
изолированного влияния каждого фактора на уровень результативного показателя. В
этом его преимущество, а недостаток - в ограниченности сферы применения. От
интегрального метода данный способ отличен тем, что при логарифмировании
применяются не абсолютные приросты показателей, а индексы их прироста.
Результаты исследования основных методов факторного анализа представим в
виде таблицы:
Таблица
1
|
Прием
|
Модели
|
|
Мультипликативные
|
Аддитивные
|
Кратные
|
Мешанные
|
|
Цепной подстановки
|
+
|
+
|
+
|
+
|
|
Индексный метод
|
+
|
-
|
+
|
-
|
|
Абсолютных разниц
|
+
|
-
|
-
|
Y=a(b-c)
|
|
Относительных разниц
|
+
|
-
|
-
|
Y=(a-b)c
|
|
Пропорционального деления
|
-
|
+
|
-
|
Y = a
/ ∑Xi
|
|
Интегральный метод
|
+
|
-
|
+
|
Y = a
/ ∑Xi
|
|
Способ логарифмирования
|
+
|
-
|
-
|
-
|
Итак, исследовав основные методы факторного анализа и область их
применения, можно сделать вывод, что понимание сущности данных методов, сферы
их применения, правил расчетов - есть необходимое условие квалифицированного
проведения анализа хозяйственной деятельности предприятия.
2.
Детерминированный факторный анализ в ООО «Брасет»
.1 Горизонтальный, вертикальный и трендовый анализ показателей в ООО
«Брасет» за ряд отчетных периодов
Итак, прежде чем непосредственно проводить факторный анализ показателей
предприятия, нам необходимо:
- Во-первых, исследовать изменения каждого показателя за текущий и
предшествующий период, т.е. провести горизонтальный анализ;
- Во-вторых, изучить структуру соответствующих показателей и их
изменений, т.е. провести вертикальный анализ;
- В-третьих, проанализировать динамику изменения показателей за
ряд отчетных периодов, т.е. провести трендовый анализ.
Для начала проведем анализ структуры и динамики финансовых результатов
предприятия за период 2013-2014 года (Приложение А). Представленные в таблице
(Приложение А) данные свидетельствуют о том, что выручка от продажи продукции у
ООО «Брасет» возросла в 2014 году по сравнению с 2013 годом на 28808 тыс. рублей,
или на 19%. Себестоимость проданной продукции также увеличилась и темп ее
прироста составил 20%, что привело к увеличению ее удельного веса в объеме
продаж, хотя и незначительному - 0,6%. Соответственно на эту же величину
сократилась доля валовой прибыли в выручке от продаж, но на 1 рубль продаж за
период 2013-2014 гг. было получено примерно 33 копейки.
Теперь проанализируем структуру и динамику финансовых показателей ООО
«Брасет» за следующий период (Приложение Б). Представленные в таблице
(Приложение Б) данные за 2014-2015 годы показывают, что выручка от продаж
возросла, но не настолько значительно, как это было в 2014 году по сравнению с
2013 годом. Себестоимость и ее удельный вес в структуре выручки от продаж
сократился с 67% до 63% в 2015 году по сравнению с 2014 годом. Прирост валовой
прибыли составил 13%, что ниже уровня 2014 года на 1,3%. Можно отметить
позитивный момент в 2015 году было получено почти 37 копеек против 33 копеек в
2014 году, т.е величина валовой прибыли увеличилась в 1,1 раза.
Тенденция к увеличению коммерческих и управленческих расходов
прослеживается и в 2015 году. Это увеличение наблюдается как в абсолютных
значениях, так и в их доле в выручке от продаж, что нельзя не оценить как
негативную тенденцию. Таким образом, данный вид расходов требует повышенного
внимания со стороны руководства. Рост коммерческих и управленческих расходов
составляет 28% и 11% соответственно. В 2015 году ситуация изменилась в сторону
снижения процентов к уплате и прочих расходов - 52% и 25% соответственно.
Снижается также и их удельный вес в структуре выручки от продаж, что является
положительным моментов в деятельности организации. Прочие доходы в 2015 году
поменяли вектор своего развития на положительный - 18% темп прироста, против
темпа снижения в 2014 году - 21%. Совсем незначительно, но увеличился удельный
вес прочих доходов выручке. Прибыль до налогообложения снижается в 2015 году на
4% быстрее, чем в 2014 году, что в основном произошло за счет увеличения
расходов. Остается стабильной и другое явление - снижение чистой прибыли. Это
происходит потому, что доля налоговых платежей занимает значительную долю в
прибыли до налогообложения.
Теперь проанализируем структуру и динамику финансовых показателей
предприятиыя за период 2013-2015 года. Для этого рассмотрим сводную таблицу
финансовых результатов (Приложение В). В результате структурно-динамического
анализа за период 2013-2015 года можно кратко обозначить основные тенденции, а
именно:
возросла выручки от продаж на 19%;
возросла себестоимость на 13%, но принимая во внимание данные предыдущих
таблиц видно, что изменение происходило волнообразно в абсолютном выражении -
своего максимума себестоимость достигла в 2014 году;
значительно выросли коммерческие и управленческие расходы;
снизились как прочие расходы (в обобщенном виде), так и прочие доходы;
уменьшились налоговые платежи в суммовом выражении, но возрасла их доля в
прибыли до налогообложения;
снизились все виды прибыли.
Итак, величина чистой прибыли складывается из последовательного сложения
доходов и вычитания расходов, т.е. это факторная модель аддитивного вида. При
этом основными факторами, влияющими на прибыль предприятия, являются, прежде
всего, выручка от продажи продукции, товаров (работ, услуг), т.е. доход от
основной деятельности и расходы (себестоимость и прочие). Что касается выручки,
то на ее объем влияют такие показатели, как количество реализованной продукции
(товаров) и цена продажи. Во всех представленных выше таблицах рассматривается
такой показатель, как скорректированная выручка. Исследовав данный показатель в
динамике, приходим к выводу, что на прирост выручки от продаж оказывает
значительное влияние ценовой фактор.
.2 Исследование влияния факторов на результирующий показатель
Теперь переходим непосредственно к исследованию влияния факторов на
результат. Методика расчета влияния факторов на прибыль от обычной деятельности
включает следующие шаги:
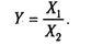
. Расчет влияния фактора «Выручка от продаж».
Определение влияния этого фактора нужно разложить на две части. Поскольку
выручка организации - это произведение количества и цены реализуемой продукции,
то сначала рассчитаем влияние на прибыль от продаж цены, по которой продавалась
продукция или товары, а затем рассчитаем влияние на прибыль изменения
физической массы проданной продукции. При проведении факторного анализа
необходимо учитывать влияние инфляции, которая составила 12,7%. Следовательно,
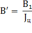
выручка от продажи в отчетном периоде в сопоставимых ценах будет равна:
(В’ - выручка от продажи в сопоставимых ценах;
В1 - выручка от продажи продукции в отчетном периоде;
Jc -
индекс цен).
Расчет прироста выручки за счет изменения объема производства:
∆
(Во - выручка от продажи в базисном периоде).
Расчет прироста выручки за счет изменения цен:
∆
.1.Расчет влияния фактора «количество проданной продукции»
∆
(Rпр о -рентабельность продаж базисного
периода).
.2.Расчет влияния фактора «цена»
. Расчет влияния фактора «себестоимость проданной продукции»
∆
. Расчет влияния фактора «коммерческие расходы»
∆
. Расчет влияния фактора «управленческие расходы»
∆
(УС,УКР,УУР - доля себестоимости, коммерческих и управленческих расходов
в выручке).
Следует отметить, что прочие показатели - факторы от других видов
деятельности не оказывают столь значительного влияния на прибыль, как факторы
производственной сферы. Тем не менее их влияние на сумму прибыли тоже можно
определить. В данном случае применяется метод балансовой увязки, факторная
модель чистой прибыли отчетного периода аддитивного вида.
Влияние фактора определяется по колонке отклонение в абсолютных величинах
в соответствующих таблицах. Все показатели делятся на факторы прямого и
обратного влияния по отношению к прибыли. На какую величину увеличивается
(уменьшается) показатель-фактор «прямого действия», на такую же сумму
увеличивается (уменьшается) прибыль. Факторы «обратного действия» (расходы)
влияют на сумму прибыли противоположным образом. Таким образом можно обобщить
влияние факторов, воздействующих на прибыль от продажи и, следовательно, на
прибыль отчетного периода.
Рассмотрим следующую сводную таблицу влияния факторов на чистую прибыль
отчетного периода (2014 года по сравнению c 2013 годом):
Таблица 2
|
Показатели-факторы
|
Сумма, (тыс. рублей)
|
|
Количество проданной
продукции
|
1713,78
|
|
Цена
|
951,17
|
|
Себестоимость
|
-1088,79
|
|
Коммерческие расходы
|
-5463,36
|
|
Управленческие расходы
|
-2284,80
|
|
Проценты к уплате
|
-100,00
|
|
Прочие доходы
|
-362,00
|
|
Прочие расходы
|
-422,00
|
|
Налог на прибыль
|
906,00
|
|
Прочее
|
-8,00
|
|
Совокупное влияние
|
-6158,00
|
Из данных Таблицы 2 видно, что анализ факторных влияний свидетельствует о
положительном воздействии на чистую прибыль в 2013 году по сравнению с 2014
годом количественного показателя - объема продаж на 1713 тыс. рублей, т.е. в
результате увеличения в 2014 году выручки в сопоставимых ценах. Влияние цены,
по сравнению с количеством проданной продукции было немного меньше, но все
равно значительным. Это говорит о том, что увеличение цены в среднем на 6%
привело к увеличению суммы прибыли на 951 тыс. рублей. Снижение прибыли
осуществлялось за счет повышения затрат организации. Рост прочих расходов и
снижение прочих доходов вызвал снижение чистой прибыли на 522 тыс. рублей и 362
тыс. рублей соответственно. Снижение суммы налога на прибыль привело к росту
суммы прибыли на 906 тыс. рублей.
Рассмотрим теперь сводную таблицу влияния факторов на чистую прибыль
отчетного периода (2015 года по сравнению c 2014 годом):
Таблица 3
|
Показатели-факторы
|
Сумма, тыс. рублей
|
|
Количество проданной
продукции
|
-436,61
|
474,41
|
|
Себестоимость
|
7 587,91
|
|
Коммерческие расходы
|
-10 810,58
|
|
Управленческие расходы
|
-1 287,13
|
|
Проценты к уплате
|
140,00
|
|
Прочие доходы
|
233,00
|
|
Прочие расходы
|
1106,00
|
|
Налог на прибыль
|
990,00
|
|
Прочее
|
1,00
|
|
Совокупное влияние
|
-2002,00
|
Из данных Таблицы 3 видно, что отрицательное влияние на чистую прибыль
оказало снижение объема продаж в натуральном выражении - 437 тыс. рублей. Это
произошло в результате снижения объема полученной выручки в сопоставимых ценах.
Рост коммерческих на 3% и управленческих расходов на 1% повлиял на снижение су
финансового результата на 10811 тыс. рублей и 1287 тыс. рублей соответственно.
Действие других факторов можно оценить, как положительное, но это воздействие
не смогло перекрыть негативного влияния.
И наконец, рассмотрим сводную таблицу влияния факторов на чистую прибыль
отчетного периода (2015 года по сравнению c 2013 годом):
Таблица 4
|
Показатели-факторы
|
Сумма, тыс. рублей
|
|
Количество проданной
продукции
|
842,09
|
|
Цена
|
1 902,60
|
|
Себестоимость
|
6 493,95
|
|
Коммерческие расходы
|
-16 299,87
|
|
Управленческие расходы
|
-3 582,77
|
|
Проценты к уплате
|
40,00
|
|
Прочие доходы
|
-129,00
|
|
Прочие расходы
|
684,00
|
|
Налог на прибыль
|
1896,00
|
|
Прочее
|
-7,00
|
|
Совокупное влияние
|
-8160,00
|
Из Таблицы 4 видно, что в 2015 году по сравнению с 2013 годом возможности
роста прибыли не были реализованы в результате повышения коммерческих и
управленческих расходов (прибыли недополучено на 16300 тыс. рублей и 3583 тыс.
рублей соответственно) и снижения прочих доходов, отрицательное воздействие
которых составило 129 тыс. рублей. Отрицательное и несущественное влияние
оказали также прочие - операции на 1 тыс. рублей. Рост остальных факторов не
привел к желаемому росту прибыли.
Произведенные расчеты показывают, что далее необходимо обратить внимание
на затраты организации и провести их исследование (Приложение Г). Анализируя
данные таблицы расходов предприятия по элементам (Приложение Г), можно сделать
вывод, что удельный вес материальных затрат составил не менее 50%, своего
максимума они достигли в 2014 году - 54%. Второе место по удельному весу
занимают прочие затраты, на третьем месте заработная плата с отчислениями.
Амортизация занимает самый незначительный вес из года в год. Каждый элемент
затрат последовательно увеличивается в абсолютном выражении, за исключением
материальных - они в 2015 году претерпели небольшое снижение. В 2014 году
быстрее всех остальных элементов увеличивалась заработная плата - темп роста
137%, а в 2015 году такую тенденцию проявила статья «амортизация» - 158%. Если
рассматривать данные за период, то те же статьи показали хорошие темы роста.
Учитывая характер производства, как материалоемкий, рост материальных затрат в
относительных величинах занимал редкие позиции.
Анализ показал, что, что основную долю затрат предприятия за 2013 и 2014
года составляли материальные затраты, в 2015 году произошел небольшое снижение
их доли - 51%. Эти данные говорят о материалоемком характере производства.
Следовательно, важнейшим направлением снижения затрат на производство будет
поиск резервов по сокращению этих расходов. Как известно, главным источником
экономии материалов является их рациональное использование. На втором месте по
удельному весу находятся прочие затраты - 25-27%. Рост прочих затрат вызван
изменением их структуры: увеличением доли процентов за кредиты банка и рост
тарифов за РКО, большой суммой налогов, включаемых в себестоимость. Затраты на
оплату труда составляли в 2013 году 15%, а с 2014 года их доля увеличилась до
17%, что говорит о увеличении оплаты труда на предприятии. Следом за ними идет
соответственно отчисления на социальные нужды - 4%.Самую незначительную долю в
структуре затрат занимает амортизация - всего лишь 1%, это говорит об
изношенности основных фондов. Таким образом, хотя затраты предприятия
существенно выросли за период 2013-2015 гг., их доля в структуре затрат
практически не менялась.
Теперь переходим от динамики затрат к исследованию динамики прибыли от
продаж, себестоимости, коммерческих и управленческих затрат. Моделью, по
которой будет произведена оценка влияния факторов на финансовый результат -
прибыль от продаж, основывается на показателях ресурсоемкости. Поначалу данная
методика перекликается с первой в расчете выручки отчетного года в сопоставимых
ценах, расчете прироста выручки за счет изменения объема производства и цен.
Затем необходимо сделать расчет показателей ресурсоемкости предыдущего и
отчетного периода в разрезе элементов затрат:
(Зэл-ты - затраты организации по элементам).
Расчет прироста прибыли от изменения ресурсоемкости (в разрезе
перечисленных элементов):
(
- изменение ресурсоемкости по
элементам затрат отчетный период минус базисный).
Представим исходные данные и результаты анализа представлены в виде
таблиц:
Таблица 5
Исходные данные для анализа на основе ресурсоемкости
|
Показатель
|
Годы
|
Абсолютные изменения
|
|
2013
|
2014
|
2015
|
2014 к 2013 гг.
|
2015 к 2014 гг.
|
2015 к 2013 гг.
|
|
Материалоемкость
|
0,48
|
0,51
|
0,04
|
-0,01
|
0,02
|
|
Зарплатоемкость
|
0,18
|
0,20
|
0,20
|
0,02
|
0,01
|
0,03
|
|
Амортизациоемкость
|
0,01
|
0,01
|
0,01
|
0,00
|
0,00
|
0,00
|
|
Ресурсоемкость по прочим
затратам
|
0,25
|
0,24
|
0,27
|
-0,01
|
0,03
|
0,02
|
Таблица 6
Влияние факторов на показатель - прибыль от продаж за период 2013-2015
гг.
|
Изменение прибыли под
влиянием
|
2014 и 2013
|
2015 и 2014
|
2015 и 2013
|
|
объема продаж*
|
1713,78
|
-436,61
|
842,09
|
|
цены*
|
951,17
|
474,41
|
1902,60
|
|
материалоемкости
|
-6655,65
|
2373,41
|
-4313,82
|
|
зарплатоемкости
|
-3791,38
|
-915,15
|
-4724,52
|
|
амортизациоемкости
|
25,50
|
-549,47
|
-523,85
|
|
ресурсоемкости по прочим
затратам
|
1584,58
|
-5418,61
|
-3826,50
|
|
Совокупное влияние
|
-6172,00
|
-4472,00
|
-10644,00
|
Как известно из курса теории, позитивная тенденция в любом производстве -
это снижение затрат, в частотности сокращение ресурсоемкости. В представленных
исходных данных для анализа прослеживается динамика увеличения всех элементов
затрат, за исключением ресурсоемкости по прочим затратам. За период 2013-2015
гг. она увеличилась, а если сравнивать 2015 с 2014 годом произошло ее
уменьшение.
Прибыль была получена в размере 26 тыс. рублей и 1585 тыс. рублей в
результате снижения ресурсоемкости в части амортизации и прочих затрат
соответственно за период 2013-2014 года. В 2015 году по сравнению с 2014 годом
положительное влияние на прибыль от продаж оказала материалоемкость в сумме
2373 тыс. рублей и в рост цен. За период ни один из показателей ресурсоемкости
не оказал благотворного влияния на прибыль от продаж.
Выводы. Если обобщить полученные в процессе детерминированного факторного
анализа результаты и выводы, то можно сделать заключение о негативной тенденции
снижения всех видов прибыли за период 2013-2015 годов. Существенный рост, как в
абсолютных, так и в относительных величинах за рассматриваемый период показали
коммерческие расходы. Не уступают им по темпам прироста и управленческие
расходы. Себестоимость проданной продукции оказывала и позитивной и негативное
действие на финансовый результат. Если оценивать влияние совокупных затрат, то
необходимо обратить внимание на материальные затраты, т.е. не допустить их
необоснованного роста. Кроме этого для получения достаточной величины прибыли
целесообразно постоянно обращать внимание на прочие затраты, которые также
занимают существенную долю в структуре элементов затрат. Вместе с тем
заслуживает внимание такие статьи как заработная плата и амортизация, т.к.
внедрение нового оборудования повлекло снижение численности рабочих и как
следствие снижение затрат на оплату труда. А влияние на прибыль в большей
степени зарплатоемкости, чем амортизацииемкости объясняется ростом
среднегодовой заработной платы. Рост затрат в ООО «Брасет» более быстрыми
темпами, чем выручки, объясняет сокращение величины прибыли от продаж.
Превышение прочих расходов над прочими доходами сыграли негативную роль на
величину прибыли до налогообложения. Величина налога на прибыль снижалась из
года в год в абсолютном выражении, но занимала существенную долю в прибыли до
налогообложения, что и повлияло на чистую прибыль.
Заключение
Итак, проведенное исследование показало, что именно причинно-следственные
связи экономических явлений и процессов являются предметом особого внимания в
анализе хозяйственной деятельности предприятий. Для того чтобы провести точный
расчет изменений основных результатов экономической деятельности предприятия
через конкретные факторы, а также обосновать какое-либо управленческое решение,
необходимо выявить все причинно-следственные связи различных сторон и процессов
в хозяйственной деятельности предприятия. Все это позволяет достичь применение
системного подхода в анализе хозяйственной деятельности с использованием
факторных моделей. Данный метод экономического анализа дает возможность не
только выявлять причинно-следственные связи, но также и дать им количественную
характеристику, т.е. достаточно точно измерять влияние отдельных факторов на
результаты хозяйственной деятельности для качественной оценки предприятия и
обоснованности принятых управленческих решений.
Факторный анализ представляет собой особую методику комплексного и
системного исследования и измерения влияния факторов на величину результативных
показателей. В процессе факторного анализа идет построение многофакторной
зависимости с последующим анализом и выявлением влияния каждого отдельного
фактора на конечный результат. Детерминированный факторный анализ или анализ
зависимостей между показателями посредством жестко детерминированных факторных
моделей является самым распространенным методом анализа в хозяйственной
практике. Главным результатом данного вида анализа хозяйственной деятельности
предприятия является разложение прироста результирующего показателя,
определенного совокупным воздействием или изменением факторных признаков, на
сумму частных приростов результирующего показателя, любой из которых обусловлен
изменением лишь одного конкретного фактора.
Процесс проведения факторного анализа включает несколько этапов. После
постановки цели анализа, т.е. то для чего он производится, осуществляется отбор
необходимых факторов, определяющих исследуемые результативные показатели. Далее
проведение факторного анализа предполагает классифицировать и систематизировать
факторы с целью обеспечения комплексного и системного подхода к исследованию их
влияния на результаты хозяйственной деятельности. При этом в экономическом
анализе взаимосвязанное исследование влияния факторов на величину
результативных показателей достигается с помощью их систематизации. Следующим
этапом идет определение формы зависимости между факторами и результирующим
показателем, для установления характера взаимосвязей, который может быть прямой
или обратный, функциональный или стохастический, прямолинейный или
криволинейный. После этого осуществляется моделирование взаимосвязей между
результирующим показателем и факторами, т.е. создание конкретной математической
зависимости между факторами. Вслед за построением многофакторной модели
переходят к расчету влияния факторов и оценке роли каждого из них в изменении
величины результативного показателя. В работе были рассмотрены различные
способы измерения влияния факторов. Заключительным этапом проведения факторного
анализа является непосредственная работа с конкретной факторной моделью, т.е.
ее практическое применение для управления экономическими явлениями и процессами
на предприятии, а именно для подсчета резервов прироста результирующего
показателя, планирования и прогнозирования его величины в изменяющихся
условиях.
В ходе проведенного исследования было рассмотрено понятие, принципы и
задачи факторного анализа, приведена классификация и систематизация факторов,
исследовано детерминированное моделирование факторных систем. Также были
изучены вопросы измерения факторов, исследованы различные способы данного
измерения в детерминированном анализе. Во второй главе был проведен
детерминированный факторный анализ на примере конкретного предприятия - ООО
«Брасет». Учитывая перечень выполненных задач, можно констатировать, что цель
исследования является достигнутой.
Глоссарий
1 Вертикальный анализ анализ, применяемый для изучения структуры
экономических явлений и процессов путем расчета удельного веса частей в общем
целом, соотношения частей целого между собой, а также влияния факторов на
уровень результативных показателей путем сравнения их величины до и после
изменения соответствующего фактора
Горизонтальный анализ анализ, используемый для определения
абсолютных и относительных отклонений фактического уровня исследуемых
показателей от базового
Группировка информации деление массы изучаемой совокупности
объектов на качественно однородные группы по соответствующим признакам
Детерминированный факторный анализ методика исследования влияния
факторов, связь которых с результативным показателем носит функциональный
характер, т.е. результативный показатель может быть представлен в виде
произведения, частного или алгебраической суммы факторов
Динамический анализ методика исследования причинно-следственных
связей в динамике
Интегральный метод метод измерения влияния факторов в
детерминированном факторном анализе, основывающийся на суммировании приращения
функции, определенной как частная производная, умноженная на приращение
аргумента на бесконечно малых промежутках
Логарифмический метод метод измерения влияния факторов в
детерминированном факторном анализе, основанный на логарифмически
пропорциональном распределении остатка по двум искомым факторам
9 Результативный
показатель показатель, рассматриваемый как
результат воздействия одной или нескольких причин и выступающий в качестве
объекта исследования
Способ абсолютных разниц способ расчета влияния факторов на
прирост результативного показателя в детерминированном анализе, но только в
мультипликативных и смешанных моделях типа Y = (а - b) с и Y = а (b - с)
Способ относительных разниц способ, применяемый для измерения
влияния факторов на прирост результативного показателя только в
мультипликативных и комбинированных моделях типа Y = (а - b) с
12 Способ цепной
подстановки способ, заключающийся в получении ряда
промежуточных значений обобщающего показателя путем последовательной замены
базисных значений факторов на фактические
Трендовый анализ анализ, применяемый при изучении относительных
темпов роста и прироста показателей за ряд лет к уровню базисного года, т.е.
при исследовании рядов динамики
Факторные показатели показатели, которые определяют поведение
результативного показателя и выступают в качестве причин изменения его величины
Факторный анализ выявление величин влияния факторов на прирост и
уровень результативных показателей
Факторы активно действующие силы, вызывающие
положительные (отрицательные) изменения в состоянии объекта и в показателях,
его отражающих
Элиминирование устранение, исключение воздействия на величину
результативного показателя всех факторов, кроме одного
Список
использованных источников
1 Анализ
финансово-хозяйственной деятельности: учебник / И. Н. Чуев, Л. Н. Чуева. - М.:
Дашков и К°, 2010.
Бердникова
Т. Б. Анализ и диагностика финансово-хозяйственной деятельности предприятия /
Т. Б. Бердникова. - М.: Инфра-М, 2010.
Ковалев
В.В., Волкова О.Н.. Анализ хозяйственной деятельности предприятия. Учебник. -
M.: OOO «ТК Велби», 2002.
Крейнина
М.Н. Финансовое состояние предприятия. М.: ДИС, 2003.
Лысенко
Д. В. Комплексный экономический анализ хозяйственной деятельности / Д. В.
Лысенко. - М.: Инфра-М, 2010.
Савицкая
Г. В. Анализ хозяйственной деятельности: учебное пособие / Г. В. Савицкая. -
М.: Инфра-М, 2011.
Справочник
по функционально-стоимостному анализу / Под ред. М.Г. Карпунина, Б.И.
Майданчика. М.: Финансы и статистика, 1998.
Турманидзе
Т. У. Анализ и диагностика финансово-хозяйственной деятельности: учебник / Т.
У. Турманидзе. - М.: Экономика, 2011.
Финансовая
и бухгалтерская отчетность ООО «Брасет».
Чечевицына
Л. Н. Анализ финансово-хозяйственной деятельности: учебник / Л. Н. Чечевицына.
- М.: Феникс, 2010.
Шеремет
А.Д., Баканов М.И. Теория анализа хозяйственной деятельности: Учеб. М.: Финансы
и статистика, 1997.
Экономический
анализ / В.Г. Артеменко, Н.В. Анисимова. - М.: Кнорус, 2011. - 288 с.
Экономический
анализ хозяйственной деятельности: учебное пособие / Г. П. Герасименко. - М.:
Кнорус, 2010.