Assessment of the situation on the regional housing market in Russia

  • Вид работы:
    Курсовая работа (т)
  • Предмет:
    Эктеория
  • Язык:
    Английский
    ,
    Формат файла:
    MS Word
    816,44 Кб
  • Опубликовано:
    2016-09-23
Вы можете узнать стоимость помощи в написании студенческой работы.
Помощь в написании работы, которую точно примут!

Assessment of the situation on the regional housing market in Russia

Introduction

The majority of Russian citizens have some real estate in their propertyoneway or another - either for living or for investment purposes. Formany people their real estate is the most valuable asset they have, that is why housing defines and reflects quality of life and plays a significant role in the formation of public wealth.And at the same time the increase of personal income usually boost housing consumption, prices and construction activity (Aoki, Proudman, and Vlieghe 2004), which enhances GDP, additional job creation and finally redistribution of wealth. real estate is a separate class of investment assets that attracts more and more attention in the global investment community and in particular in Russia. There are several reasons for that. First of all, real estate is believed as a good inflation-hedging instrument due to the fact that in average the value of real estate in many countries increases at least as fast as inflation rate or even faster. Furthermore it is usually considered as an asset that has negative correlation with “bad times”: this feature relates to the belief of the investors that real estate is a “safe haven” during the crisis, because it is able to store the value even when financial markets crash. Finally real estate outperformed in comparison with other asset classes such as fixed-income, index, etc. in long run. (Ilmanen, 2012)is also relevant regarding housing market in Russia(see figure1).Compared to real return of broad Russian equity index MICEX, the real return of housing was much smoother and experienced less considerable drawdown during numerous crises that occurred at that time. Besides real return remained positive for a really long period of time - at least 11 years, which means that housing prices outperformed inflation and allowed not only saving but multiplying capital of real estate owners.

. 1. Real return of residential housing vs. real return of financial market 1998-2015

real estate market is highly opaque because of incredible amount of factors that influence the price, which are studied in hedonic models such as (Goodman 1978), (Malpezzi and others, 2003), etc. This aspect complicates research in this field, especially macroeconomic and regulatory aspects are currently underinvestigated. In particular, little had been done for understanding real estate market in Russia despite the fact that questions connected to pricing of such assets are urgent for Russian investors as well as for any other investors in the world. past years housing prices in Russia were quite volatile (see figure 2). Before the recent global economic crisis they rocketed due to not only general upward trend in the Russian economy with all its consequences in the form of rising personal income, easing of credit conditions, etc. but also due to mortgage loan market expansion. Mortgage mass market appeared in Russia in 2005 and the financial product became popular very soon: in 2006 there was a considerable real estate demand increase which pushed pricesup in average by 48%. However during the crisis of 2008-2009 prices had plummeted down up to 42% (in Kirov region) and since then they are recovering but with much slower paces compared to pre-crisis period.

Fig.2. Real return of RE compared to real growth of construction costs, wages and interest rates

the importance of these fluctuations’ consequences for the Russian economy this topic was not really popular among researchers. As one could have noticed before crisis of 2008-2009 real housing prices appreciated much faster than for example such supply-side factor as growth of production costs or traditional demand-side price driver - real disposable income (named wage on the graph). And after the crisis culmination prices plummeted also faster than all those indicators. The questions about was the housing market in equilibrium at that time and what was the mechanism of price adjustment to the shocks that occurred during that period are still unanswered. Howeverthey become increasingly important because of current economic instability in Russia which provokes the similar type of shocks that have already happened several years ago. That is why the further research of housing pricing mechanism in Russia is an urgent issue. majority of research papers are devoted to real estate indexes design, real estate value estimation and real estate portfolio management. Some studies are aimed at finding prices or return determinants, e.g. papers written by Ball (1973), (Hirata et al. 2012), (Krainer and Wilcox 2013). Whatsoever there is no convincing theory behind them, which means that value drivers that had been found significant are appropriate for each particular region in certain time period and cannot be considered as fundamental factors. This leads to the conclusion that simple rearrangement of variables in the equations is not the most efficient tool not only for understanding the market but especially for forecasting purposes. Therefore in order to investigate housing price dynamics more comprehensive approach that would consider equilibrium formed under demand and supply influence is needed. That is why the purpose of this study is stated as follows: to develop anequilibrium model of residential real estate markets in Russian regions. To achieve this goal several steps should be implemented.

Firstly, a review of the recent studies that describe operation mechanism of real estate market including participants, their goal and behavior on that market; exogenous factors that can influence equilibrium on local housing market; channels through which the regulation of the market is implemented. Secondly, based on the result of previous research the relevant assumptions about economic agents that participate inprice formation process on the housing market in Russia should be made and theoretical model of the housing prices should be developed. After that hypotheses of the research need to be formulated and the relevant data should be collected in order to test whether theoretical model developed beforehand fits the empirical data and to test stated hypotheses. After the model parameters assessment, the conclusions about model preciseness will be made and limitations will be discussed.

The results of the study are expected to be useful for the whole understanding of housing pricing mechanism in Russia including how different economic agents participate in price formation making their day-to-day decisions, how housing prices would change if some sort of market shock occurred or how the regulator can influence prices through different channels. Therefore the results of the study can be implemented by almost all types of economic agents: from citizens concerned with the question is it worth buying additional real estate unit to Russian regulatory forces such as the Central Bank of Russian Federation or the Ministry of Finance and investors who have long-term investment horizon, such as pension funds, developers or other investors.

Basic issues about housing prices formation process

Historically real estate in Russia performed as an alternative way of savings instead of financial assets such as stocks, bonds, deposits, etc.Prices of residential housing for extended periods rose at least with inflation paces or in some periods even much faster, and during crises real estate value dropped significantly less than the value of most financial assets.Therefore real estate can be considered as non-traditional store of value however it is not that any real estate object can be deemed as an investment asset. order to define what we are going to consider as an asset on real estate market let’s turn to legislation. According to the Civil Code of Russian Federation (article 130, Civil Code of RF) «The immoveable property includes plots of land, subsoil and all that is firmly connected to the ground, that is objects that cannot be moved without disproportionate damage to their usability, such as buildings and construction objects in progress, aircrafts and sea vessels, inland navigation and space objects». Within the framework of this research only those pieces of real estate that can be inhabited will be studied, that is why among all of the real estate objects only buildings will be taken into account. estate is divided into two groups: commercial and residential property. Some high-class business center is an example of commercial real estate; its main distinguishing feature is generation of a rent for owner. Houses and apartments in order to live are the residential property. Even if a private owner of real estate decides to rent it, the house, flat or land plot does not become commercial property. Due to the fact that commercial property generates cash flows its pricing is dependent from dynamics of these flows that in turn are majorly influenced by the variety of factors individual for each piece of property such as, for example, purpose of using (e.g. warehouse, office center, etc.). So it could be concluded that commercial property even more heterogeneous than residential property, pricing of different types of objects differs and therefore it is hard to determine fundamental factors. Therefore, within the framework of this research only pricing of residential houses will be studied.

Besides real estate market like equity market can be divided into primary and secondary segments. Primary real estate market implies selling the object to its first owners. Usually these objects are buildings in progress or new buildings, which can be bought straightly from the developer. In opposite, real estate objects that already had at least one owner are traded on the secondary market. Despite the fact that both - primary and secondary real estate markets - are highly heterogeneous within themselves, primary market can be considered as even more heterogeneous than secondary. Developers can offer apartments without finishing, with primary finish or with full decoration depending on needs and wishes of buyers. Each type has its own average price that is why within this research secondary real estate prices will be studied.in real estate market is highly opaque.There are several reasons for that. Information asymmetry is higher on this market in comparison with other traditional financial assets (stocks, bonds, currency, etc.) markets. The reason why this happens is that for external investor it is time consuming and costly to carry out a comprehensive assessment of real estate objects, poor information can be obtained from open sources. Moreover there is nosuch financial institute in Russia as Real Estate Investment Trusts that operate in the USA, which means that real estate is not traded on exchange, there is only low-liquid private market.

These issues motivated the classical and widely known research conducted by Karl Case and Robert Shiller «The efficiency of the market for Single-Family Homes», where week-form efficiency of the residential housing market was tested. Authors found an empirical evidence of prices inertia on American real estate market, which means that prices theoretically can be predicted based on the previous history. (Case and Shiller 1988)This result found implications in furtherdynamic models of housing market of different countries such as (Poterba, Weil and Shiller, 1991) and in particular in dynamic models of general equilibrium such as (M. Iacoviello 2010)(M. Iacoviello and Neri 2008), etc.conservative way of housing prices drivers’ determination is reduced-form models estimation which usually implies analysis of panel (Tsatsaronis and Zhu 2004) or time series data (Rosen and Topel 1986) in order to find statistical correlation between housing prices and other different variables or to find predictability of prices in the past. to the fact that residential housing is highly heterogeneous not only between the regions but also within them, there are few markets studied on wide, at least cross-regional, sample. Also it should be noted that the irregularity of the following sort exists: simple reduced-form models were proposed for both developed and developing regions and no coherent result was obtained. There are almost no similar factors that drive the prices in these two types of markets and furthermore one could have noticed that correlations between so-called fundamental factors such as GDP growth, unemployment rate, ageing, etc. are unstable in the time (see appendix 1).instance the research conducted by (Krainer, Wilcox 2013) proved that the Hawaii regional housing market was boosted by the Japanese who massively moved there and made heavy contribution in the GRP of the region. Other research of American regions such as(Calomiris, Longhofer, and Miles 2013)or (Hwang and Quigley 2006) showed the opposite - in average GRP growth appeared to be irrelevant for housing market, presumably due to the fact that mortgage conditions were more powerful driver at the period under study. the question “is GDP a fundamental factor of housing prices?” is not the only controversial issue. The causal relationship of GDP and housing price also can be questioned: for example right before the recent crisis of 2008-2009 Edward Leamer wrote his famous paper alleging that residential housing market defines medium term business cycles and supported that hypotheses with persuasive empirical results. (Leamer 2007) However this paper caused a wave of counter-research such as for example the paper of (Ghent and Owyang 2010) that stated the opposite causation. And this is the only one of many cases of inconsistencies that exist in the research field, which one more time emphasize the importance of reliance on economic theory first and on the empirical evidence further.form analysis is more widespread compared to structural modeling and the majority of early or even current research papers are based on results obtained with help of this method.However this type of models usually relies on unrealistic assumptions about data features and economic agents behavior, furthermore it is widely known that correlations does not imply causation. It could be noted that determinants of housing prices which have already been found by researchers vary from country to country and from period to period.number and the structure of indicators that were proved to be price or return predictors are also different in listed studies, which mean that there is still no unanimity between economists on what factors should be considered as fundamentals, because there is thin theoretical background behind these reduced-form models. Moreover these models can capture the influence of observable variables, some unobserved parameters can only be substituted with help of proxy indicators that can be inaccurate or cannot be traced at all (for instance, such behavioral parameter as risk-aversion). drawbacks can be mostly eliminated with help of structural modeling which puts the economic model first and econometrics after, so this type of models allows relying on causation a priory. Besides they allow assessment of unobserved parameters comparing theoretical, economic model with observed empirical data. Moreover with help of such tools of estimation the researcher can answer different types of questions such as “what happens in the case of some shocks?” or “what happens if there is s systematic shift, for example if regulator decided to increase key rate or profit tax rate?”. Ability to estimate that type of influence makes results of the model estimation more interesting, viable and useful for practical, including regulatory, purposes. In order to investigate what had been done in this research field let’s study the literature devoted toestimation of housing market structural models. The most relevant papers are presented in the table 1 below.pioneer of structural equilibrium studies on housing market was the paper of James Poterba published in 1984 where the dynamic interconnection of inflation expectations, housing prices and housing stock was described within the intertemporal model of individual wealth accumulation. This research allowed drawing several conclusions. First of all, it showed that households solving the optimization problem given the inflation expectations make more significant contribution in housing price formation than suppliers. Secondly, residential real estate prices are the core drivers of construction investment activity. Finally, the model allowed the simulations of tax-subsidies effect on the market. the importance of this study for the formation of new trend in real estate research it was heavily criticized for a number of reasons. In particular the author ignored cost structure of construction - this problem was fulfilled in other papers such as for example (DiPasquale and Weaton, 1997), where the land cost was outlined as a matter of special importance. Despite the fact that theoretical framework described in that paper as a whole was proved to be consistent, cost structure empirically was insignificant for price formation process, probably because of non-suitable proxy for land costs (the researchers used price of farm land). This problem was solved on the New Zealand data in the study of(Grimes and Aitken 2010), who used an actual residential construction land cost. For other markets the issue is still underinvestigated due to unavailability of proper data. the irrelevance of supply which was stated by Poterba had been challenged by a number of studies such as(Caldera and Johansson 2013)and (Glaeser, Gyourko, and Saiz 2008). Construction constrains were proved to explain instantaneous stickiness of the housing prices in dynamic models. Due to the fact that the amount of vacant land which is suitable for residential construction is highly restricted especially in metropolitan areas, it takes time and considerable amount of resources to pass through all the governmental procedures to obtain a building permit and start construction works.

Table 1. Literature review on empirical estimation of housing market structural models

Article attributes

Sample

Variables and Method

Results

Housing market spillovers : evidence from an estimated DSGE model  (M. M. Iacoviello and Neri 2008)USA 1695-2006 quarterly dataDSGE model. The goal: to study core drivers of housing prices in the USA; to study the effect of housing market on external economic environment: prices are mostly driven by the availability of land and the difference in technological progress between housing and non-housing sectors; monetary factors explain only 20% of housing price variation;

Wage rigidity increases the sensitivity of output to shifts in aggregate demand; collateral effect increases the elasticity of consumption to wealth. So spillovers of the housing market matter more and more




Supply constraints and housing market dynamics (A. Paciorek, 2013)

USA 1975-2008 yearly data

Dynamic structural model

The goal: to investigate the mechanism of interconnection between housing supply and housing prices Results: bureaucratic processes diminish developer’ reaction on demand shocks and create additional expenses for them; geographic limitations restrict opportunity for quick response for demand shocks which leads to housing prices volatility

Housing Bubbles and Busts: The Role of Supply Elasticity  (Ihlanfeldt and Mayock 2014)63 counties of Florida, 1990-2010 yearly dataHousing supply Stock-adjustment model The goal: to find a solid way of supply elasticity calculation; to find key determinants of housing supply elasticity in Florida counties

Results: the most solid approach is repeated-sales method; elasticity depends on the amount of undeveloped land, planning expenditures and average housing value. Key determinants vary depending on the period under observation - boom or burst on the housing market.




The model of housing in the presence of adjustment costs: a structural interpretation of habit persistence (M.Flavin; S. Nakagawa 2001)USA 1975-1975 yearly dataStructural modeling, GMM estimatedThe goal: to investigate whether consumers’ habit persistency and the presence of adjustment cost play a significant role in housing price formation process

Results: little evidence of habit persistence influencing consumers’ choice were found; estimated substitutability between housing and perishable goods is very low




Consumption, house prices and collateral constraints: a structural econometric analysis  (M. Iacoviello 2005)USA 1986-2002 quarterly dataStructural modeling, GMM estimatedThe goal: to study the effect created by housing prices shocks on consumption throughout borrowing capacity tightly related to real estate value

Results: home equity gains can be transferred into higher borrowing and higher consumption (the parameter of elasticity was estimated)




A dynamic model of housing demand: estimation and policy implications (Bajari et al. 2013)USA 1975-2009 yearly dataReduced-form estimation: Multinomial Logit and panel regression; Structural modeling: non-parametric estimationThe goal: to specify, estimate and simulate structural model of housing demand (considering the effect of the following variables: adjustment costs, credit constraints, uncertainty about evolution of income and housing prices)

Results: during price or income shocks households reduce the consumption of non-durable goods and their wealth as well in attempt to keep their houses and avoid adjustment costs associated with buying or selling of real estate




Modeling structural change in the UK housing market: a comparison of alternative house price models (N.Pain, P.Westaway, 1997)

UK 1968-1990 quarterly data

VAR modeling, Dynamic structural modeling,

The goal:to develop a new approach to the modeling of housing prices in the UK, considering consumer expenditures as a main determinant of real estate demand  Results:created model appeared to be more consistent in comparison with conservative models such as NIDEM or HM Treasury Model

The dynamic relationship between housing prices and the macroeconomy: evidence from OECD countries (Kishor and Marfatia 2016)15 OECD countries 1975-2013 quarterly dataError-correction model, Dynamic OLS estimatedThe goal:to find fundamental macroeconomic determinants of housing prices by decomposition of prices movements into permanent and transitory components

Results:income and interest rate are the forces that provoke long-run changes in the housing prices in OECD , other factors influence was classified as transitory




Tax subsidies to owner-occupied housing: an asset-market approach (Poterba 1984)USA 1974-1982 quarterly dataReduced-form nonlinear rational expectations modelThe goal:to study inflation’s effect on the tax subsidy to the owner occupation as a factor of housing prices volatility

Results:tax subsidies alongside with rising inflation rate reduce the real mortgage expenses and boost housing prices; the core driver of supply was the real price of houses




Market thickness and the impact of unemployment on housing market outcomes (Gan and Zhang 2013)Texas (28-38 cities), 1990, 2000 and 2010Structural model, non-parametric estimationThe goal:to identify the channel through which unemployment affects the housing market considering the thickness of this market

Results:unemployment generates thinner marketwhich leads to the poorer matching quality, and as a consequence housing prices decrease more than if there were no thickness effect




House prices since the 1940s: cointegration, demography and asymmetries (S.Holly, N.Jones, 1997)

UK, 1939-1994

Error-correction model, OLS-estimated

The goal:to develop a broader vision of UK housing market, to observe it for the long period of time during different business-cycles and different inflation conditions and to develop a long-run model for it Results:the core determinant of housing prices in the long-run is real income, the influence of other factors such as the change in demographic pattern or the rise of building societies was more serious when housing prices deviated too much from equilibrium level implied by real income

Housing Supply, Land Costs and Price Adjustment  (Grimes and Aitken 2010)New Zealand (regional-level data), 1991-2004 quarterly data Error-correction model, MLE estimatorsThe goal: to explore the mechanism connecting housing supply elasticity, land costs and housing prices response to various shocks, e.g. demand shock or bubble

Results: The higher relative cost of construction land unit, the more inelastic supply is and therefore the more volatile housing prices (demand shocks deviate prices for a long time from their equilibrium values)




idea of residential land rarity inspired a new branch within the residential real estate research field - spatial equilibrium models that currently focused on the equilibrium urban growth model developed by(Capozza and Halsley, 1989). As a result the importance of the interaction of the supply and demand in the housing price determination was proved in previous research so both of the market sides should be studied on the Russian market as well. core problem in structural equation modeling is to construct an appropriate functional form of the equations. This means not only the compliance of the model to common sense and economic theory, but also that the model needs to be “estimateable”. For instance, ordinary data procession technics such as General Method of Moments (GMM) or Maximum Likelihood estimation can be applied only to the closed-form equations sets where the number of endogenous variables corresponds to the number of equations so the system can be solved with the only one set of parameters’ values. Anyway even if the model could be properly estimated it still can appear inconsistent when tested on the empirical data.

Each author or the set of authors suggested different variations of the model that would describe the housing market. After the publication of Poterba’s results many research papers were mainly devoted to demand function estimation. Most of them modeled the behavior of the representative household that at each point of time decides whether to stay in the current accommodation or move to the bigger one, continuously maximizing its’ expected lifetime utility on the condition of constrained personal income. The majority of housing equilibrium research such as (Beaulieu, 1993) which was one of the first who connected durable and non-durable consumption under one utility function and after that(M. Iacoviello 2004), (Grimes and Aitken 2010) and others started using the utility function based on consumption CAPM model developed by(Mankiw and Shapiro, 1984). And this approach was proved to be empirically relevant for many regional US markets. an extension of housing demand model(M. M. Iacoviello and Neri 2008) suggested differentiate households by their ability to safe into patient (those whosave money until they decide to expand their living space, and therefore those who lend their savings through financial assets) and impatient (those who increase current consumption and therefore are forced to borrow money when they decide to buy a new square meters of real estate). These types have different constraint functions but the same anticipations about the future states of the world, so the model is more complex than traditional one but still solvable. set of authors (Flavin and Nakagawa 2001) supplemented to the theory of (M. M. Iacoviello and Neri 2008)with the presence of adjustment costs and habit persistence when household makes a decision to move.The model proposed by the authors suggests that these costs decrease the elasticity of demand for housing which makes the process of price adjustment more difficult and prices themselves more volatile. Despite the fact that the model was constructed with accordance to the strict economic logic the empirical evidence of the importance of adjustment costs was not found which supports the statement that even theoretically solid model can be wrong.things considered, most attempts to significantly complicate the initial equilibrium model on the national or regional housing market were not persuasive enough for considering such theoretical functional forms of supply and demand equations as valid. Some of them just failed empirical testing, others were proved to be significant but only for a certain territories (for instance some states of the USA or New Zealand) and certain periods of time. That is why within the framework of this research classical set of assumption about economic agents’ behavior would be implemented. Which means that all the households as well as construction firms would be considered as identical, therefore they would have the same anticipations about future and the same utility function and total costs function. is also worth noticing that research conducted under structural equilibrium approach is a standard for developed countries mainly for USA housing market (see table 1). Despite all the advantages of structural estimation modeling before reduced-form models there are few (if there is some) papers devoted to studying housing market of developing countries. Especially rare this type of research is for Russian market because of the number of factors such as for example unavailability of durable data, because the earliest data which could be obtained from official sources starts from 1996. That means that the researcher now can observe all-transactions housing price index only for 19 years, whereas the analogous indicator for USA market is available since 1975, i.e. 40 years. Besides, mortgage market statistics in Russia is available only since 2005, whereas the majority of indicators describing the situation on mortgage market of the United States cover the whole observation period of housing prices. , there is such a data source as United States Census Bureau which allows getting comprehensive information on representative households’ behavior for vast period of time, so the ready-to-use panel dataset is available for the researchers. This dataset allows analysis of housing market on the base of repeated sales basis, Russian statistical services bureau do not use such a methodology - only average level of deal prices is calculated.is no centrally accumulated dataset of indicators describing Russian consumers’ behavior, all the information need to be collected by hands from different sources of information such as official sites of Russian Federal and Regional Statistics Services, Central Bank of Russian Federation and sites of different Ministries. Therefore, only fragmentary representation of such behavior in particular regarding housing market can be observed. Anyway all those difficulties could be overcome by applying sufficient effort and resources.sum up, Russian housing pricing mechanism is underinvestigated, fundamental factors that influence prices were not defined in the previous research papers. That is why this study will be devoted to formalization of housing price formation process through the finding the appropriate functional form of regional housing supply and demand. This means not only finding indicators that make their contribution in consumers’ demand or in construction activity, but also finding the channels through which they participate in the residential real estate pricing process. the research question of the study can be formulated in the following way: what are the fundamental driving forces of housing prices in Russia? Achievement of the research goal and finding the answer to the stated question will make it possible not only to conclude about factors that influence prices but also to judge whether prices where in equilibrium during the whole period in study. Equilibrium models can also be useful for making projections about prospective of the housing prices in Russian regions and for regulation purposes as well.

model of housing prices

function’s assume that there are N (= workforce*employment level) identical individuals (all those who earn income and can spend it on consumption and saving) with homogenous utility function and expectation about future states of the world. Each of them earns a certain amount of money in any form - salary, rent or profit. The representative individual in each period divides the income between current consumption of goods and services including for example such durable goods as household appliances, cars, etc. and savings in the form of either housing consumption or financial assets. So the budget constraint of the representative household can be written as following:

(1)

Yit is a total income at t-th period (average monthly value for each year); CGSt is a value of fixed set of goods and services at the t-th; FAit is an amount of individual’s spending at the t-th period of time on financial assets such as stocks, bonds, deposits, etc.; Ht is a quantity of housing consumed at the time t; HPt is a housing prices at the time t.to the fact that accumulation of capital assets is associated with some of rate of return and at the same time real assets such as house or flat depreciate with time, the intertemporal constraint for individual wealth can be formulated as follows:

(2)

Wt is accumulated by t-th period amount of individual wealth;  is a real after-tax rate of return on financial assets (FAt);  is a cost of borrowing money for buying real estate - mortgage rate; d is a rate of housing depreciation (for simplicity let’s assume that it constant across all the periods);  - growth rate of real housing prices between (t+1)-th and t-th periods. is assumed to be exogenous in this model framework, because the existence of competitive financial market is suggested. individual gets utility from current consumption of durable and non-durable goods as well as from consumption of housing services. Under housing services the convenience of possession instead of renting real estate will be meant, so this variable is unobservable. Therefore it was assumed that the value of housing services is proportionate to housing stock per person with some coefficient - k. The utility function which is identical for all the individuals is derived from Consumption CAPM model and it is convex function with constant relative risk-aversion, which can be presented in the following way:

(3)

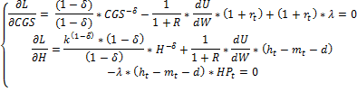
rational individual maximizes his utility with respect to current consumption and housing consumption - the variables that he can choose and vary every period. Solving the maximization problem taking into account intertemporal wealth constraint one could obtain the following equality, which reflects the optimal ratio of housing consumption with respect to current consumption:

(4)


Calculus appendix.

(5)

(6)


(7)



By dividing first-order conditions to each other and by expressing the variable of interest  with help of other variables, individual demand function will be obtained.order to make this demand function aggregate, let’s sum it up over N consumers and solve it with respect to h, which means finding inverse demand function

(8) (9)

linearization, let’s rewrite the equation in the logarithmic form considering the fact that all values under logarithm are not negative in accordance with their economic sense

(10)

should be noted that within the model all the consumers as well as developers for simplicity will be price-takers - none of them as a single agent cannot significantly influence the average price of real estate formed on the market. For future research in this field it can be suggested observing other industrial structures other than perfect competition, because construction and development is an industry with high barriers. That is why regional market most likely takes form of oligopoly with a few big players that can interact with each other in many different ways.for real estate in each particular region is presented majorly by the population of this region. Due to the fact that interregional mobility in Russia is not high (see picture 1 below) - from 1.33% to 2.8% of total population during the period from 2001 to 2013, and 1.63% in average - within the framework of this study interregional demand for real estate will not be considered. Therefore demand in the region is created by inhabitants of the region and cross-regional demand component is omitted out of the model.

due to the fact that competitive construction and development market was assumed, it can also be suggested that cross-regional housing supply is negligible. Competitive market structure implies zero economic profit and low industry entrance barriers, so if there is an excessive profit in some region firms from other regions instantaneously can use this situation for additional financial gains until there is no such gain. Therefore profitseventually become equal among regions again and that is why cross-regional supply can be omitted out of the model as well.

Supply function

homogenous construction and developing firms form the regional housing supply. Each of them decides to built additional housing up to the point where their replacement costs that can be determined as full cost of construction of a new house per one square meter are equal to the expected market price at the period of sale - let it be period t+1. Let’s assume that all the construction costs can be divided into capital expenditures including cost of materials, machinery, construction and installation activities; labor expenditures which can be approximated by average salary and cost of borrowing betweenperiods t and t+1.can be suggested that labor and capital can be considered as substitutes to some extent in the process of real estate building - for example, the company can rent special equipment such as elevators, concrete mixers, etc. to meet their construction deadlines or it can just employ more workers, however both types of these expenditures should be incurred in order to build a house. Therefore the total cost function can be constructed as some sort of Cobb-Douglas function with constant return to scale:

(11)

 is a region-specific proportion coefficient which reflects the extent of total cost inflation if capital and labor prices go up;  is average capital expenditures in i-th region at t-th period;  is average labor expenditures in i-th region at t-th period; α and (1-α) are total cost elasticities of capital costs and labor costs respectively;  is a financial cost for t-th period which is equal among all the regions because there exist the unified national financial capital market. companies in each region (denoted by index i) form their expectation about the future period t+1 based on the all information available to them at the period t - where  is an information set of t-th period. Current housing prices and cost of funding will be considered as exogenous for companies, because of competitive market structure. Expectations of construction firms are based on the current market situation, but also they can consider region-specific factors such as general growth of GRP, mortgage subsidy program, etc. and time-specific effect related to nation-wide economic cycles. So expected prices will be defined in the following way:

(12)

 is a regional-specific growth factor calculated as a function of Gross Regional Product (GRP) growth rate;  is time-specific growth factor;  and  are associated coefficients. GRP is considered as an exogenous variable within this model - despite the fact that construction and development companies participate in GRP formation, their influence is negligible within the whole regional economy. to the fact that secondary real estate market is observed in this study, the main indicator of supply is real estate stock which is available at a certain moment in time, which can be calculated as follows:

(13)

- real estate stock, available by the end of period t;     SoDt - size of dwelling for period t;UHt - value of uninhabitable real estate for period t. change of housing supply in t-th period can be defined as a difference between size of dwelling and the disposal of uninhabitable housing in the i-th region at t-th period. Therefore the growth rate of housing supply at t can be calculated as:

,

(14)



Where  is a rate of housing supply growth between period t and t+1 in i-th region;  is a size of dwelling that had been started at t-th period and was offered for sale at t+1 at i-th region;  is a size of uninhabitable residential real estate which was removed from housing market;  is a housing stock available at the market at t-1 period.supply can be determined as a function of expected real estate prices relative to full replacement cost of construction according to Q-theory formulated by J. Tobin. In the context of real estate market this theory implies that construction firms make their investment decision to build a house based on benefit-cost analysis: they build additional housing is expected prices are higher than current total costs. Therefore housing supply equation will be determined as follows:

(15)

taking a logarithm of both right-hand and left-hand sides for linearization and by substitution of  and  with correspondinglogarithmic expressions, the following log-linear supply function:

 ,

(16)

 is price elasticity of supply parameter;  is a coefficient which reflects the influence of region-specific factor;  is a coefficient which reflects the influence of time-specific factor; is an overall error term.appendix:’s create a logarithmic form of expected housing prices and total costs equations:

(17)

(18)

form of housing supply equation is:  . By substitution of two former expressions into supply function, the following log-linear form of housing supply will be obtained:

(19)

final form of housing supply equation can be obtained by grouping items on the basis of their compliance - mathematical and economic.

formulation

theoretical framework that was formulated above is based on the plain idea of equilibrium between supply and demand(see figure 3), which are formed in turn under the influence of outlined characteristics of the whole Russian economy, regional specific features and personal characteristics of individual households.

Fig. 3. Graphic representation of the theoretical modelinfluence of the national economy as a whole is represented by borrowing and lending terms: loan rate for construction and developing companies which is suggested equal to the rate of return at which households invest their funds and mortgage rate for households. Despite the fact that mortgage rate varies over the regions it is based on the Russian key rate which defines the cost of the money in the economy and on observed and expected inflation rate. That is why mortgage rate can be considered more as a factor reflecting the situation in the whole economy rather than in the separate regions. coefficient  included into the demand function reflects the relative expensiveness of investing in the housing (which presented by cost of borrowing (mt) and depreciation rate that assumed to be constant over time and regions) instead of placing saved funds in financial instruments that brings some rate of return - rt. So the higher costs of buying of an additional real estate the lower demand should be which eventually would depress housing prices. : The higher relative costs of buying real estatecompared to an alternative rate of return the lower housing prices arethe influence of business cycle and the overall trend in the economy is accounted in the supply function through time-specific effect. The presence of this effect implies a positive trend in housing construction, which could include technology improvement over time which allows building real estate faster and/or cheaper, the increase of labor productivity or the fact that over time population becomes richer due to for instance trade unions activities and increase of minimal wages. All these factors can facilitate the increase of constructors’ profit margins and push prices higher relative to the cost of construction dynamics. So the positive influence of time factor which is included into the expected price formation process goes without saying. regional-specific factors of demand there are working force of the region, employment level and housing stock of the region. Due to the fact that housing stock is naturally higher for regions with higher population, it was scaled by employed population of the region (those who create efficient demand). So real estate stock per capita is included in the demand function. The law of demand connects the price of real estate and the amount of the occupied housing: the higher the price is, the lower the amount of housing is purchased. regional-specific growth factor calculated as (1+ GRP growth rate) in the supply function as a part of anticipations of construction companies about future prices. The dynamic of production which accurately reflects the situation in the economy appeared to be highly significant in the majority research papers such as (Grimes and Aitken, 2004), (Kishor and Marfatia, 2016), (Berger et al, 2015) and some others. So the assumption about fact that economic agents base their expectations on the past was validated. However these models were tested on quarterly data so it could be concluded that this result was proved only for short-term periods. Besides the significance was shown mainly for developed countries and on country-wide data, the importance of cross-regional differences has not been yet tested for developing countries. Therefore the following hypothesis can be suggested. : Gross Regional Product plays significant role in the formation of price expectations on housing market in Russian regionstotal cost function of construction companies is based on the distribution of expenses between human and capital resources. So theoretically this function should be individual for each company. Howeverdue to the existence of the assumption about competitive industrial structure all the companies are price-takers on the labor market and market of construction materials, machinery, financial resources, etc. And considering regional economy level this assumption seems to be reasonable because if there was higher than average salary in the construction industry there would be an inflow of workers on that market and wages would converge to the average level. Therefore the average regional value of such variable as labor cost and capital cost were used. Anyway themore expensive resources to the company relative to the anticipated housing prices are the less incentive to build additional living spaces constructors and developers have.: The inflation of total cost which is not supported with corresponding increase of housing prices holds back construction activityof unavailability of information about cost structure of each builder in each region such cost equation coefficients as the elasticity of substitution (alpha) and proportion coefficient (gamma) are unobservable and therefore impossible for separate estimation. They are assumed as constant and would be incorporated into estimated empirical parameters of the linear supply function.individual features that participate in the demand formation there is a share of current consumption of perishable and non-housing durable goods in the households disposable income (not only wage, but rent, profit from entrepreneurship or any other type of income). Housing consumption and consumption of goods and services are connected through the income constraint which means that the household have to distribute its income between these positions -if it spends more on current consumption it has less to invest in housing. At the same time the law of demand implies inverse relationship between the amount of housing purchased and the price of housing. Therefore the lower demand for real estate is the higher the prices are. That is why theoretical model formulated beforehand suggests that housing prices and consumption of goods and services are connected directly to each other. the fact that all the unobservable variables in the demand equation such as the risk-aversion and coefficient of housing services are theoretically individual to each household there is no ability to measure them separately for every individual and therefore test hypotheses about their influence. That is why these coefficients considered as constant in the equation and therefore will be incorporated into the estimated parameters of the empirical model.order to test whether developed theoretical model describes the real situation on the regional housing market in Russia the appropriate data should be collected from reliable sources of information. The process of data collection and discussion of data features are presented in the following sections.

Data collection and processing methodology

order to determine a type of relationship between the set of independent variables and housing prices and obtain marginal effects, the empirical model need to be estimated. Due to the fact that housing prices varied a lot during the period after the collapse of the Soviet Union to our days as well as the majority of predictors, time variance also should be considered. Therefore panel data analysis should be implemented.housing prices in Russian regions are modeled with help of yearly data which covers the period between 1996 and 2012, so data need no seasonal correction.Due to the fact that mortgage became mass financial product only in 2005-2006 in Russia, statistics on mortgage conditions (i.e. mortgage interest rates) is available only for the period from 2006 to 2012.is also worth mentioning that during the period in study there were a different number of regions in Russia - some of the regions were included into the others: some, vice versa, were separated. Those regions that stopped their independent existence between 1996 and 2012 were included as separate object of observation if all the variables were available for at least 5 years. Otherwise the values of each variable for the region were from the beginning added to the values of the region which turned out to be its absorber. Those regions that were separated during the period in study were included whatever the time they appeared (anyway the minimal length of time series for such regions was 5 years). As a result 85 regions were observed during 17 years, so the total number of observation is 1445. demand side and supply side indicators can be collected from official free sources such as Federal and Regional Statistics Services and The Central Bank of Russian Federation.Regional-level data is availableonly in “Russian regions Handbook” which is published by Russian Federal Statistic Service on a yearly basis.

The Bank of Russia provides analysts with regional-level information on mortgage rates, but regional differences of loan rates are unobservable.Cross-regional difference of borrowing rates is negligible for a couple of reasons. First of all, large constructors and developers are borrowing money not only in one particular region - they can optimize their choice and find cheaper funds, which makes space arbitrage impossible. Besides, if somewhere loan rates were higher in comparison with other regions, banks would have been started allocating more resources and issuing more loans there. At the same time banking can be considered as competitive industry - they “sell” undifferentiated product (money), so in order to “sell” more they compete on price (loan rate), and as a result interest rates become more or less equal to each other. (Wagner 2008)

2.of information about factors studied in the research

Factors

Source of information

Housing prices, residential real estate stock, total population, Gross Regional Product (GRP), Consumer Price Index (CPI), size of dwelling, uninhabitable housing, disposable income per person, total workforce, unemployment level, inflation rate, construction cost index, average salary, non-housing consumption prices, current consumption share in personal income, housing consumptions share in personal income, financial assets consumption share in personal income

Publications of Russian Federal and Regional Statistics Services

Average mortgage rate, interest rates

Official cite of The Central Bank of Russian Federation

the indicators have numerical values; however they are measured with help of different units. The Table 3 reflects each variable name in the research and their units of measurement.

3.names and units of measurement

Indicator

Variable name

Units of measurement

Dependant variables

Housing prices

Real_HPI

Rub

Stock of real estate available by the end of the year

HS

thousand square meters

Demand-side indicators

Total population of the region

Total_pop

mln. citizens

Regional consumer price index

CPI

%

Average monthly disposable income

Real_disp_income

The share of current consumption of perishable and durable goods in disposable income

CGS

%

The share of housing consumption in disposable income

HC

%

The share of financial assets consumption in disposable income

FA

%

Average mortgage rate

Mortgage_rate

%

Unemployment

Unemployment

%

Supply-side indicators

Size of dwelling

Size_of_dwelling

thousand square meters

Uninhabitable residential real estate

UnH

thousand square meters

Average salary

Wage

Rub

Construction Cost Index

CCI

Index units

Average rate at which companies borrow money in Russia

Loan_rate

%

Gross regional product

GRP

mln.rub

should be mention that the trickiest issue for real estate researchers is measurement of real estate prices. Generally there are two methods of coping with that task: housing price index construction and prices of registered deals. Using indexes allows more or less frequent and precise estimation, however there are several problems connected with their implementation. First of all, smoothing problem that appears because of illiquidity - estimated prices of real estate objects are usually used for index calculation instead of deal prices, but revaluation of these object occurs not as often as the frequency of calculating the index. This leads to lower volatility and seasonality in time series of prices because revaluation of dwelling is usually made in the last quarter of the year. One more drawback of house price indexes is time-lag of calculation. As a rule, information that appraiser has about the object is insufficient, so the specialist has to spend quite lot of time for doing precise estimation.

On the other hand deal prices formation is really opaque, prices depend on a plenty of indicators such as center location, neighbors, specific features of the object itself, etc. (Krainer and Wilcox 2013)(Yunus and Swanson 2013) It is hard to find two identical objects that totally match according to all the parameters, so each piece of real estate is unique, that is why it is hard for external investor to evaluate it precisely. However average price of real estate of each Russian region is calculated by Federal State Statistics Service, which is considered as an official and reliable source of information, whereas there is no housing price index in Russia that would be calculated on permanent basis by some well-known agencies. Therefore within this research the choice was made in favor of deal prices. methodology of average real estate price calculation presented by Russian Federal Statistics Service implies collection of primary information from companies and/or sole entrepreneurs, whose operations include buying and selling real estate objects in particular territories - cities, suburbs, regions, etc. All the information is collected on the regular basis; all the figures are calculated as of the 25th day of the last reporting quarter month (or the next working day after it). On the secondary market the average price per square meter of apartment is calculated as a weighted average based on actual transaction prices per square meter of total area and on the total amount of square meters of all apartments that were sold during the period. So, the formula used for calculation is the following:

(19)


Where  - average price per square meter for the period t; - actual deal price per square meter of i-th object of real estate;   - total area footage of i-th object of real estate;         - total number of real estate objects sold tor t period.

Data description

graph of real housing prices of all Russian regions during the period in study is presented onthe figure4. First of all, similar dynamic of real prices in each region can be observed - there was a slight positive overall trend between 1996 and 2012, however there were obvious boom and burst of prices after 2005. The boom had been caused by mortgage loan market expansion - mortgage mass market appeared in Russia in 2005 and the financial product became popular very soon: in 2006 there was a considerable real estate demand increase which pushed prices in average up by 48%.

. 4. Real housing prices of all Russian regions in 1996-2012

phenomenon can also be an evidence of the fact that Russians consider real estate as real asset, which can help to ensure the safety of capital. After the period of hyperinflation the majority ofRussian people lost their savings and cut their consumption, however the moment mortgage market appeared they made the great demand for such expensive and illiquid asset as real estate. So it can be suggested that they hoped to save the capital from another possible round of inflation. However after the period of boom there was a period of burst - because of financial crisis in 2008-2009 real wages of Russians dropped quite dramatically, so demand for real estate and prices plummeted as well. high volatility of prices within each region, the difference between regions was quite high: the highest line on the graph reflects housing prices in Moscow region and it is quite obvious that prices there were almost 50% higher before mortgage boom in 2006 and 100% higher after it. It is also worth mentioning that the period in study is long enough and it covers at least two economic cycles. The sample includes two crises (in 1998 and in 2008), two period of recovery after them and one period of growth between them. All the period can be characterized with different economic conjuncture, different risk aversion parameters, etc. which affect both demand and supply on real estate market.the fact that the sample is not homogenous there is no need to get rid of outliers, because as it was mentioned before the general population is studied.Unobservable individual characteristics can be taken into account in the model in both cases: if there is no reason to believe that they are correlated with independent variables and if there can be assumed such correlation, but appropriate method of endogeniety correction is used for coefficients assessment. statistics of all the variables are presented in the Table 4 below.There isempirical evidence that real housing prices in Russia were highly dispersed during the period in study - the standard deviation of the indicator is about 56% of overall mean value.Anyway it also should be mentioned that during the period under observation the demand for housing (measured in square meters per person) also fluctuated significantly - for instance in Moscow area it had rocketed up to 47% before crisis.

Table. 4.statistics of the variables

price indexes of different region did not vary a lot, because neighbor regions usually have tight economic connection and according to purchasing power parity prices in different regions were more or less the same if only regional government didn’t take some restricting actions. But there was a high intertemporal variance, because during recessions - in 1998-2000 and in 2008-2009 there were inflation shocks in Russia. Because of hyperinflation in some periods financial industry in Russia could not work properly that is why loan rateduring 1996-2012 varied from 8.4% to 147%.may wonder why the real amount of financial assets consumption can be negative whereas the amount of current and housing consumption is non-negative. This phenomenon goes from Russian Statistical service methodology of financial asset value calculation. This indicator accounts accumulated change of financial assets on year-to-year basis. During several crises that occurred during the period of observation there were inflation shocks when consumer prices could rose up to 200% a year so the real value of the assets decreased because of inflation. Besides during crises financial assets may experience significant drawdown which also diminishes their value. As a result negative values can be observed. At the same time the methodology of housing consumption calculation does not imply accounting for depreciation or appreciation and therefore it can be at least zero.’s also worth noticing that at the same time construction cost index which is calculated as a year-on-year change of materials, machinery, details and design costs as well as other non-salary costs of construction demonstrated very unstable dynamics during the whole period under observation though it was similar for all the regions (see figure5). This graph shows that time-series data of CCI is non-stationery, which makes impossible inclusion of time-series variation into the model because of unit root. Therefore the first difference of this indicator should be included into the final model in order to get rid of this problem.

Fig. 5. Construction cost index dynamics

of the relative wage to capital costs (CCI) also deserves attention. The graph of this indicator demonstrates that inflation of labor cost for construction companies during past 16 years was much more severe compared to changes in cost of materials. And it is quite straightforward because the technology usually becomes cheaper with time - new technologies of construction are developed, new cheaper materials are used, and mechanization of construction becomes more widespread. At the same time labor union pressure, development of workers’ rights protection laws, overall increase of life quality and employees compensation after the collapse of the Soviet Unionlead to such a rapid growth of labor cost/material cost ratio.should be mentioned that the calculated ratio reflects only dynamic of the labor cost/material cost indicator but not the actual value because labor cost is approximated with real salary whereas material costs were calculated as index. These regional time-series are also non-stationary; therefore first differences (which have no unit roots) will be used for model estimation. The rest of the variables are more or less stationary in time so the level of variables will be used for estimation of theoretical model parameters

Fig. 6. Labor cost/material cost ratio dynamics

order to identify the connection existence between endogenous and exogenous variables the correlation coefficients were studied. The majority of independent variables have strong linear impact on housing prices. The signs of correlation coefficients are mostlyin line with expected signs which comply with economic theory.

Table. 5.coefficients.



As it was assumed stricter loan conditions negatively affect housing prices, whereasthe amount current consumption is positively correlated to housing prices. It also can be noticed that the state of the regional economy reflected through real GRP comparatively strictly linked to consumption variables and to the mortgage conditions and at the same time it is rather highly correlated with the housing prices. Despite the fact that there is no multicollinearity in the strict sense it could be assumed that one of these variables could be insignificant because some of them can drag influence one from another. the components of the supply equation a positive linear correlation between the size of dwelling and loan ratesseems to be quite unexpected. Anyway the coefficient itself is quite small and probably correlations can vary from region to region therefore the final conclusions could be made only after the whole model assessment.the multicolinearity is tested the empirical model can be estimated. The estimation of the model parameters is implemented with help of the package of statistical analysis Stata 12th Version. The empirical analysis of the theoretical model on the Russian regional-level data will allow testing the significance of the whole suggested framework of the interaction between supply and demand on the housing market. And if the model is proved to be valid for forecasting equilibrium states of the market, the analysis of model residuals will allow drawing some conclusions about the possibility of non-equilibrium states. Theseresults in turn may give a basis for further research devoted to Russian real estate market efficiency, estimation of housing demand and supply elasticity, modeling of the price adjustment mechanisms, etc.

estimates

model was estimated with help of maximum likelihood method which allows to obtain consistent, asymptotically normal and efficient (there is no alternative estimator which allows achieving lower asymptotic variance) estimates if the sample is big enough and Gauss-Markov conditions are fulfilled.

6. results of estimation of the initial structural model.

Dataset was already checked for multicolinearity, however heteroscedasticity was detected with help of Breusch-Pagan test. The influence of heteroskedasticity can be taken into account when assessing the significance of a particular variable by implementing robust estimation. Anyway none of the variables changed its significance level noticeably, so the influence of heteroscedasticity can be considered as negligible. model as a whole is significant which means that the joint test of all the coefficients being equal to zero allowed reject the null hypothesis and therefore the specification of the model describes the reality quite well. This statement can also be supported with the high R-squared of the each equation included into the model and the overall goodness-of-fit (see table 7 below)

.7.of-fit of the initial model.

Endogenous variables

R^2

Ln_HP

39.89%

Ln_deltaH

11.97%

Overall

40.32%


However the results that were obtained after model estimation appeared to be quite unexpected. First of all due to the fact that such variable as construction cost index and wages were taken as a first differences in order to eliminate unit root in the initial data inclusion of trend variable (FEyear) was a bad idea, because it became insignificant at any level. influence of regional-specific growth factor which was approximated with help of GRP growth rate appeared to be insignificant as well. The reason of such result may lie in the fact that there is no significant cross-regional variation of GRP growth rate and all the regions during the period under observation were developing along with the national economy. And the influence of the national business cycle had already been accounted into other variables in particular in the credit market conditions (loan rate and mortgage rate) reflected in the variable ln_HC =  . So, both time trend and regional-specific growth rate were removed from the initial model which allowed increasingthe goodness-of fit of the supply equation and the whole structural model as well. most unexpected result is the positive influence of the housing price on the households’ demand which follows from the positive coefficient of the ln_HSP (housing stock per person) variable. This result contradicts the basic law of demand and common sense that higher prices restrict some households’ real estate consumption. The problem can be caused by the wrong model specification, data features (which means that that phenomenon really existed in Russian housing market during the period in study) or endogeniety problem which could become a reason of biasedinconsistent estimates and the wrong sign in the demand function. to the results of Wald testwhich allowed testing the joint hypothesis of non equality to zero for all the coefficients the model as a whole is significant. Therefore the first reason of the incompliance of empirical results to economic theory can be rejected.the same time the existence of the positive connection between the price of the housing and the amount of housing consumption can be explained as a phenomenon of Veblen good. That means housing can be considered as a positional good for Russians, however this violates the main assumption of the model about rational households’ behavior. And besides that effect usually implies the high income of the consumers however the average real income in Russia grew with much more moderate paces compared to the growth of housing prices. And finally there is no statistical evidence of such phenomenon according to the linear correlation coefficient which is negative (see Table 5) Therefore the second reason of wrong sigh in demand function with high likelihood can be also rejected.the existence of the endogeniety problem can be assumed. This problem can be caused by wrong measurement of the indicator, simultaneity problem, self-selection bias or omitted variables in the model. Due to the fact that the same indicator was proved to be a relevant and suitable in many other research papers such as (Kenny,1999), (Cheshire and Sheppard, 1998), (Fingleton,2008), etc. because the results that were obtained complied totally with economic theory. So housing stock per person can be believed as a reliable measurement of the amount of housing available on the secondary market for a particular household. problem means that the amount of housing changes immediately along with housing prices fluctuations which seem to be absolutely unrealistic assumption. In average the building process of apartment house in Russia lasts more than one year and the assumption used in the model implies that the housing becomes available on the secondary marketat the period which follows its commissioning. selection is a problem which is connected to the sampling process, however due to the fact that all the regions participate in the model estimation there actually no such a process because general population is studied. Therefore this cause can be rejected as well which in turn leads to the conclusion that the most possible reason of housing quantity endigeniety is the presence of omitted variable. For instance the availability of the land lots that are suitable for residential construction is an important factor of housing prices and construction itself, it can be assumed that it vary from region to region, but this indicator cannot be directly measuredtherefore cannot be included into the model. this means that there is a correlation between the housing stock per person and individual error term in the model. In order to eliminate the effect sucha bias this variable should be instrumented with help of other variables that cannot be connected to the error term. Instrument variables have to be valid and relevant, which means that they should be exogenous and provide high descriptive capacity (e.g. influence significantly on endogenous variables) subject to other Gauss-Markov’s conditions.


Fig. 7. FE estimates of intermediate model

it was assumed both regional level and national-level indicators of business cycle appeared to be significant factors of construction activity in Russian regions despite the fact that the absolute values of both coefficients are relatively small.Furthermore this result also supports the statement that residential real estate construction is a pro-cyclical variable. It is also worth noticing that the model better describes intertemporal variation compared to cross-regional probably because the regional-specific effect did not varied a lot across regions but its variation precisely describes dynamics of construction in time and at the same time an overall trend is also supposed to reflect the influence of time effect. order to check the model for possible endogeniety consistent fixed-effect estimators should be compared to random-effect estimators. If there is no statistically significant difference between those two sets of estimators then the model predicted values of housing stock per person can be used for the estimation of the structural model. results of random effect model estimation are presented on the figure 8 below, this model as a fixed-effect model was checked for heteroskedasticity and as a result robust estimation was implied. Even without testing both sets of estimators for statistical compliance one could notice that the coefficients are almost the same which means that the intermediate model does not cause further endogeniety and the predicted values of endogenous variable (housing stock per person) can be used for estimation of the structural model of Russian regional housing market.

Fig. 8. RE estimates of the intermediate model

new variable which was extracted out of the reduced-form model was inserted into the whole model under the name lnHSP_hat and as it was assumed earlier this step helped to improve the initial model significantly. The results of the new model assessment are presented in the table 8 below.

Table 8. results of the final model estimation

of the predicted variable allowed to some extent eliminate the influence of endogeniety and the sign of the coefficient before the amount of housing in the demand equation become negative as it is required by economic theory. So at that point the model can be considered as a suitable for further interpretation and discussion of the results.goes without saying that the model stayed significant an all levels and what is more the total quality of the final model improved compared to initial model for both separate equations and the overallmodel (see table 9 below).

.9.of-fit of the final model.

Endogenous variables

R^2

Ln_HP

46.02%

Ln_deltaH

12.31%

Overall

46.57%


Therefore it could be concluded that the suggested theoretical framework is basically relevant however housing stock per person which was taken as an indicator of quantity in the demand function appeared endogenous presumably because of omitted variable. For further research of Russian regional housing markets one should use another variable for measurement for quantity of housing, include the indicators connected to residential building land availability and quality of construction measurements in the model or include an additional equation in the model which would describe the connection of the demanded quantity of housing with other variables that participate in the equilibration on the housing market.

of the model estimation

final model almost totally fulfilled the expectations about all the exogenous variables influence on endogenous ones (housing prices and net amount of residential real estate construction). Besides, due to the fact that the model as a whole is also significant according to rejected joint hypothesis about all coefficients being equal to zeros it could also be concluded that the suggested paths of influence of each of the demand-side and supply-side indicators are correctly determined as well. model estimation approach implies that the signs of the regressions coefficients are dictated mostly by the economic theory and less by the researcher’s assumptions. It should be noted that all the estimated coefficients correspond to the economic theory and most of the explored variables appeared to be highly significant. All the components of theoretical demand function - consumption and housing related are equally significant for price determination. However supply function is mostly driven by housing prices rather than cost inflation, because both components of total cost function - labor expenses and cost of capital goods - are significant only at 5% and 10% levels respectively.phenomenon can be explained in the following way. Construction companies in reality are not perfectly competitive and therefore they can have some market power to persist marginality of their business at a stable level. Within the framework of the research companies have to reduce construction activity and inflate prices back to the level which would keep their operational margin stable when their total expenses increase.

The mechanism of the interaction between housing prices and conditions on the labor market was described in the paper of (Bover, Muellbauer, and Murphy 1989). Authors found similar evidence of negative connection between wage level and housing construction but the positive influence of labor cost inflation on housing prices on the UK housing market. The wage in their model was incorporated in both demand and in the supply functions through its inverse relationship with unemployment level. in order to answer the question about the power of influence of demand-side and supply-side indicators on equilibrium housing price both direct and indirect effects should be studied. Their values are presented in the table 10 below.

Table 10., indirect and total effects of exogenous variables on endogenous ones

Direct effect of each variable reflects the influence of a particular exogenous variable on corresponding endogenous variable in the equation which contains both of them. This effect is actually equal to the estimated coefficient in structural themodel. Indirect effect on the other hand reflects the path of influence of exogenous variables from one equation on the endogenous variable from another one. Total effects are the effects that incorporate both direct and indirect ones and allow researcher to observe the influence of all the exogenous factors on all the endogenous ones.effect appears when the endogenous variable from one of the equation is used for modeling the other endogenous variable. In the estimated model housing prices that were determined within inverse demand equation participated in the determination of net size of dwelling. Therefore the exogenous variables from the demand function such as housing stock per person, aggregate current consumption and the relative costs of buying real estate coefficient indirectly affect net size of dwelling.of the most influential housing demand factors in Russian regions is the amount of housing available on secondary marketper one household: when this amount rises by 1 % real estate prices drop by 0.59%. If the direct demand equationwould be constructed instead of reverse demand function the causal relation could be inverted: when housing prices go up by 1% the demand for residential real estate contracts by 1.69%. fact reflects the simple idea of the law of demand and the value of the coefficient indicates that demand for housing is price elastic. This result supports estimation conducted by (Mayo, 1981) on state-level data for the USA sample and partly results of the city-level research conducted by (Hanushek and Quigley, 1980) who proved that housing demand is more elastic for relatively expensive objects of residential real estate. is not a surprise that such result was obtained for Russian sample because for most people housing is a very valuable asset, often - the most valuable asset they have. So even moderate housing price inflation which is not supported with corresponding increase of personal income can prevent people from buying additional real estate and make them chose other saving or consumption opportunities.conclusion can be supported with the positive sign of the estimated coefficient of current consumption (as it was mentioned before that it includes not only perishable goods but some durable goods except housing as well). Anyway, taking into account the fact that Consumption CAPM framework was used for utility function determination and unobservable parameter delta (risk-aversion parameter) was incorporated there it seems impossible to define the exact marginal rate of substitution of additional living space with amount of current consumption. now only the existence of significant positive relationship between housing prices and amount of current consumption can be ascertained. However assessment of the model on individual-level panel data would presumably allow estimation of the unobserved risk-aversion parameter and drawing more precise conclusions about the elasticity of current construction by housing prices. housing prices raise households make their choice in favor of more current consumption - for example, the individual may choose buying a new car over saving further in order to buy a new flat. This can be explained with high uncertainty about the future - there is a possibility that prices will go down - or inthe general case that expected return on housing can be considerably less compared to mortgage expenses, depreciation, adjustment costs, etc.costs of buying an additional living space relative housing return are reflected in the housing coefficient (ln_HC = ). As it was assumed when these expenses grew and were not backed with proportionate housing prices inflation households contracted their consumption of housing at that period, as a result the volume demanded on real estate market dropped and prices moderated further. Therefore it can be concluded that hypothesis H1 about negative significant influence of relative cost of buying housing on priceswas confirmed on Russian sample. However the influence of this indicator is much less compared to current consumption and housing stock per person: when relative costs go up by 1% housing prices will be diminished only by 0.17%. direct influence of time-specific and region-specific effects on housing prices appeared insignificant due to the fact that other variables that were included into the equation took over a quite big share of explained variance of prices. However because of endogeniety of housing stock variable time trend and GRP growth were used as instruments for endogenous variable and were proved to be valid and relevant. So their influence on housing prices was accounted for indirectly, therefore the hypothesis H2 could not be accepted unconditionally. It should be said that housing stock is mainly prone to cyclical adjustments and overall economic trends whereas it affects housing prices only through this variable.the same time the most influential driver of net residential real estate construction is housing prices themselves. The increase of prices by 1% will encourage constructors to build 0.65% more living spaces. The positive link between these indicators reflects the idea of the law of supply. The value of the coefficient indicates the fact that construction is not price elastic and it is worth mentioning that there are evidences that supply is inelastic in some other mainly developing regions. results were obtained in papers of (Green, Malpezzi and Mayo, 2005) who studied housing supply elasticity in large cities of different States of the USA. Authors found the evidence that in industrial states of the country elasticity of construction is significantly less compared to agricultural, technological and political centers of the country.

(Caldera and Johansson, 2013) tested cross-country sample for presence of sustainable differences between groups of countries that were combined according to a certain principle (geographical, economic development level, etc.). They found that in countries with many available residential construction land lots and weaker construction regulation price elasticity of housing supply is relatively lower. presumable reasons of some kind of insensitivity of construction activity to housing price dynamics are historical (the period under observation is long enough and captures several Soviet Union years, Perestroika years and further recovery of the market). estate built in the Soviet Union was practically unified - within one region and between different regions there were almost no differences in construction style, so people had no choice but to live in standard apartments. It is also should be mentioned that many people that days lived in the halls of residence which were provided by government. the toughest part of the transitional period in Russian economy privately-owned companies started building up regions with constructions, which were distinguishable from Soviet style of housing construction in order to cover the free market share and fulfill appeared demand for better housing practically regardless price situation.that time the quality of construction became higher, buildings taller and placed with higher density in the most demanded parts of the regions due to the fact that market became competitive. And those people who could afford buying a new apartment created demand on primary market of real estate whereas those who could not afford a primary real estate could buy a flat on secondary market, which as a result pushed prices up. in turn encouraged more construction however by the time when price instead of market share became the matter regional market were already saturated to some extent and finding unsatisfied demand became the bigger problem. So after the period of construction boom prices also could be overshadowed by other factors such as for instance availability of suitable residential construction land lots, rising regulatory requirements and etc.other factors that were proved to be important drivers of housing construction are construction costs. Within the framework of the developed theoretical model they were assumed to be consisted of labor costs which were approximated with average wage level and capital costs which included expenses for materials, machinery, design, etc. Both of these type of costs affect negatively construction activity which complies with common sense and economic theory. So the hypothesis H3 can be confirmed.value of the coefficients shows that more influential factor is capital cost inflation because when it goes up by 1% the prices will drop by 0.35% whereas the increase of workers’ wage by 1% will diminish housing prices by only 0.085%. Despite the fact that wage is more statistically significant and rose more quickly compared to capital costs it should be noted that these costs account for more than 80% of the total cost of construction. Therefore even moderate inflation of their value can lead to considerable contraction of their operational marginality or to increase of the prices on primary real estate market and corresponding decrease of demand. should be noticed that as in the case of risk-aversion parameter that was included intodemand function the parameter alpha which reflects the marginal rate of substitution of capital costs by labor in total costs function is also unobservable. Due to the lack of company-level data on construction companies of each region about the structure of their expenditures this parameter was not estimated separately of the final coefficients of the structural model. This can be attributed to the shortcomings of the model.variables that affect housing construction activity indirectly (through their influence on housing prices) the most influential factor is housing stock per person. This variable has significant negative influence on construction activity when the indicator rises by 1% net size of dwelling fall by 0.38%. Therefore it could be concluded that when housing market is insufficiently saturated with living spaces construction companies build up more actively in order to gain market share and cover potential demand. And vise-a-versa when most areas suitable for residential construction had been already built up companies moderate their activity or move it to other regions where market is relatively free. influence of current consumption on the net size of dwelling is positive and significant: when current consumption grows by 1% construction activity increases by 0.15%. As was observed earlier current consumption and housing prices are directly related - when housing prices inflate households postpone housing consumption and chose other consumption opportunities. So far it could be concluded that the higher level of current consumption means higher housing prices,and current situation on the market in its turn promotes formation of positive expectation by construction companies and by this stimulates construction activity as well.of buying residential real estate relative housing returns negatively influence net construction. The indirect effect of this indicator is the most moderate among all of the demand-side variables: when this ratio increases by 1% the net size of dwelling drops by only 0.11%. And this result seems to be pretty straightforward because this variable reflects relative cost of buying for households not for construction companies. Due to the fact that indicator negatively influences housing prices it acts in opposite way compared to current consumption and facilitates the formation of negative expectations about future prices and depresses housing construction activity. things considered it could be concluded that all the demand-side and supply-side factors that were included in to the theoretical model of Russian regional housing markets some way participated in equilibrium formation process. Besides due to the fact that the estimated structural model as a whole appeared to be significant all the paths of influence of all indicators can be believed as reliable and therefore used not only for further research but also for studying the regulatory effects on the market. except discussion of direct and indirect effects of different micro and macro indicators on housing demand and supply one of the most interesting implication of this research is that the model predicts equilibrium states of the system, because all the coefficients were extracted out of interaction between prices estimated within demand function and amount of construction dependent on these prices. The analysis of residuals of each equation of the model will allow concluding about was the equilibrium on housing market in Russian regions persistent at each moment of time in past sixteen years. to the fact that the sample covers a really long period which includes at least two whole business cycles, two severe financial crises and a period of boom on housing market it is a question of special interest about the rationality of economic agents that moved prices that high or that low regarding their fundamentally justified level. It should be mentioned that by fundamental factors hereonly those factor included into the model were meant. the analysis of supply equation residuals were calculated as a difference between empirical values of net size of dwelling and those estimated within the model. The figure 9 below represents supply equation residuals.

Fig.9. Residuals of supply equation.

could noticed that even though residuals are highly dispersed for different regions which one more time supports the idea that regions are highly heterogeneous in their economic development they majorly do not have any trend in time and seem to be quite stable. There are almost no significant deviations from average value for each region and all the values lie in the close neighborhood of zero. This result tells that the model quite precisely described variation of net construction variable and data fits theoretical models pretty well. So it could be concluded that supply for most regions was driven by fundamental factors even during periods of economic instability and even the period of construction boom was consistent with rational assumptions theory. equation residuals were calculated the same way as supply equation residuals as a difference between empirical market data and forecasted within the model data. The graph of their dynamics over time is presented below.

Fig.10. Residuals of supply equation

graph is much more interesting because residuals are volatile not only over different regions but also they are highly volatile in time. Taking into account deviations from zero there are obvious peaks and bottoms that reflect booms and bursts on housing market in Russia. first peak reflects the default of Russia in 1998 when there was hyperinflation and prices rocketed up very quickly but normalized within a year after that and even fall too much by the early 00’s. The drop in real income of citizens and weak demand contributed to the drawdown of prices. Considering the start of construction boom which created the situation of oversupply on the housing market prices fall unexpectedly low and some sort of anti-bubble existed. along with economic recovery in the country the housing market recovered too.The following years were a period of rapid growth in many industries including construction itself and related to it. Real income of households increased and their savings and particularly investment in housing increased as well. So housing market reached its equilibrium in mid-00’s but it persisted not long because the inflation of housing prices continued up to the crisis of 2008-2009. to the model and those fundamentals on which it is based there was a real estate bubble that time, because rapid growth of housing prices was not supported with the corresponding rise of real disposable income, drop of relative cost of buying additional housing or shortage of housing supply. Therefore it can be suggested that bubble was caused by irrational behavior of households that experienced some kind of money illusion. The link between money illusion and housing prices was established in the paper of (Shafir, Diamond and Tversky, 1997).market could not persist for a long time and eventually in 2008 it burst and prices experienced serious drawdown compared to their peak values. The bubble had been over by 2010 in most regions. Several of them, presumably regions with lowest level of income per person even experienced an anti-bubble again. After 2010 prices stayed at their equilibrium level according to the developed model of supply and demand on regional housing market. sum up, during the period in observation Russian regional real estate experienced several bubbles and even anti-bubbles which implies that price dynamics during that time could not be explained with those factors that were included in the model. The source of these bubbles is presumably the irrational behavior of households. and discussion

regional housing market

All things considered quite satisfying results were obtained - the model of equilibrium on Russian regional housing market was constructed based on economically justified assumptions and was proved overall significant. Therefore it could be concluded that the aim of the study stated in the very beginning was reached. Besides, not only overall model appeared to be relevant but each equation and both demand-side factors and supply-side factors used for modeling equilibrium states are significant as well.was proved on empirical data covering a long period of time that housing prices are heavily dependent on the amount of living spaces available at the market, other alternatives of consumption or savings and historical performance of residential real estate as an asset class relative to the cost of buying it such as mortgage expenses, depreciation and alternative rate of return on financial assets.the initial indicator of housing demand - housing stock per person - was an endogenous variable presumably connected to the availability of spare residential land lots. It was instrumented with indicators of regional and national business cycle, whereas these variables were excluded out of the initial model estimation because the insignificant direct impact on housing prices. Anyway it was proved that they participate in housing price determination through their connection to housing construction activity.result one more time supports the idea presented by(Leamer, 2007) that housing market is highly connected with overall economic situation. Therefore it should be noted that in order to avoid the problem of endogeniety the additional indicators of residential land market need to be included into the modeling or a different than housing stock per person indicator should be used. activity in each region in its turn mainly orients on expected housing prices that were assumed to be based on observed current prices. A little bit less influential both by statistical significance and the absolute value of the regression coefficient are cost components: labor-related and capital-related. But at the same time the power of capital goods inflation influence is much higher compared to wage inflation. It can be explained by the fact that expenses of the construction companies on materials, machinery, design, etc. amount up to 80% in overall construction costs and even moderate inflation of these costs can have significant impact on marginality of the business. This result particularly supports the estimates conducted by (Gyorko and Saiz, 2006) who studied the influence of cost composition on housing supply. comparison of fundamentally justified equilibrium housing prices forecasted within the model and observed prices that existed on the market allowed drawing a conclusion that housing prices periodically sharply deviated from the equilibrium state. Peaks of these deviations match not only with crisis events such as 1998 or 2008 years when pricesdropped significantly but also considerable upward deviation can be observed between 2005 and 2007 when there was a period of rapid economic growth in Russia.to the fact that these leap of housing prices was not implied by economic fundamentals it could be suggested that it was caused by households’ irrationality and overly optimistic expectations that lead to the housing bubble and the ensuing burst. The similar situation could be observed on the US housing market during the pre-crisis period and according to the conclusions of Robert Shiller presented in his book “Irrational exuberance” (2000) one of the main reasons of that was irrational behavior of American households. a separate important implication the relevance of the used method of data processing can be outlined. Structural model estimation allowed not only concluding about the factors that drive housing prices but also determining the path through which households’ and companies’ decisions influence equilibrium states on the using market of Russian regions. This paper fills the gap in the research field not only because it was implemented using structural estimation approach instead of reduced-form approach but also due to the fact that developing Russian market was studied whereas this method of analysis is usually used for studying developed markets (mainly the USA). are a few limitations of this research that need to be discussed. First of all, one of the core assumptions used for demand function modeling was that individuals maximize their utility function which was based on consumption CAPM model. This model can be challenged by certain number of economists that criticize the whole concept of this model or its particular assumptions. , the strong assumption about homogeneity of all the households was made. Within the framework of this model all the households are rational and have same wealth and utility function which in reality can be not that way. As in papers for instance (Iacoviello and Neri, 2008) the individuals can be divided into patient and impatient and their interaction on loan market might define interest rates in the model and participate in housing equilibrium determination process. among limitation the assumption of competitive structure on residential real estate construction market should be mentioned. It is implied in the model that construction companies have the same total cost function and they are price-takers on both housing and resources markets. This condition was used for simplification of the calculations, but in reality the industry structure can be different in each region. The construction companies also may compete not only within one region but also on cross-regional market and this kind of interaction was also omitted.it should be noticed that the lack of individual-level and company-level data did not allowed the estimation of such unobservable variables as risk-aversion parameter (denoted in the model as delta) and marginal rate of substitution of capital by labor (denoted in the model as alpha). These parameters in the estimated model were incorporated into assessed coefficients of corresponding variables.following suggestions for further research in the field can be outlined. First of all a straightforward approach of endogeniety elimination can be suggested - simply to include some variables that were considered as omitted in this research. Among them could be the amount of spare land appropriate for residential construction, an average price of square meter of this land, probably other qualitative characteristics of constriction in particular connected to air quality, neighborhood, etc. Also the influence of strictness of construction regulation and some measures of bureaucratic difficulties can be taken into account. , as was mentioned earlier instead of competitive structure of construction industry other forms of competition can be modeled and more realistic and comprehensive picture of housing price driver can be obtained. to the fact that according of the model estimators there were a serious deviations of housing prices from equilibrium the whole separate research can be devotedto understanding this phenomenon. Besides, one also could try to measure theconvergence speed towards equilibrium with help of error correction model.

list of references

Aoki, Kosuke, James Proudman, and Gertjan Vlieghe. 2004. “House Prices, Consumption, and Monetary Policy: A Financial Accelerator Approach.” Journal of Financial Intermediation 13 (4): 414-35. , Patrick, Phoebe Chan, Dirk Krueger, and Daniel Miller. 2013. “A dynamic model of housing demand: estimation and policy implicatios” International Economic Review 54 (2): 409-442., Michael. 1973. “Recent Empirical Work on the Determinants of Relative House Prices.” Urban Studies 10 (2): 213-33.J. J. et al. Optimal Durable and Nondurable Consumption with Transactions Costs. - Board of Governors of the Federal Reserve System (US), 1993. - №. 93-12., Olympia, John Muellbauer, and Anthony Murphy. 1989. “Housing, Wages and UK Labour Markets.” Oxford Bulletin of Economics and Statistics 51 (2): 97-136.

Caldera, Aida, and Åsa Johansson. 2013. “The Price Responsiveness of Housing Supply in OECD Countries.” Journal of Housing Economics 22 (3): 231-49.

Calomiris, Charles W., Stanley D. Longhofer, and William R. Miles. 2013. “The Foreclosure-House Price Nexus: A Panel VAR Model for U.S. States, 1981-2009: The Foreclosure-House Price Nexus.” Real Estate Economics 41 (4).D., Helsley R., The fundamentals of land prices and urban growth, Journal of Urban Economics, Volume 26, Issue 3, 1989, Pages 295-306. , Karl E., and Robert J. Shiller. 1988. The Efficiency of the Market for Single-Family Homes. National Bureau of Economic Research Cambridge, Mass., USA., Pietro, Nathalie Girouard, Christophe André, and Robert Price. 2004. “Housing Markets, Wealth and the Business Cycle.” OECD Economics Department Working Papers 394.

Cheshire P., Sheppard S. Estimating the demand for housing, land, and neighbourhood characteristics //Oxford Bulletin of Economics and Statistics. - 1998. - Т. 60. - №. 3. - С. 357-382.B. A., Heathcote C. R., O'Neill T. J. Estimating cohort health expectancies from cross‐sectional surveys of disability //Statistics in Medicine. - 2001. - Т. 20. - №. 7. - С. 1097-1111.DiPasquale, William C. Wheaton, Housing Market Dynamics and the Future of Housing Prices, Journal of Urban Economics, Volume 35, Issue 1, 1994, Pages 1-27, Marjorie. 2001. “Owner-Occupied Housing in the Presence of Adjustment Costs: Implications for Asset Pricing and Nondurable Consumption.” Manuscript, UCSD.B. Housing supply, housing demand, and affordability //Urban Studies. - 2008. - Т. 45. - №. 8. - С. 1545-1563., Andreas, and Basit Zafar. 2014. “The Sensitivity of Housing Demand to Financing Conditions: Evidence from a Survey.” FRB of New York Staff Report, no. 702, Li, and Qinghua Zhang. 2013. “Market Thickness and the Impact of Unemployment on Housing Market Outcomes.” National Bureau of Economic Research., Andra C., and Michael T. Owyang. 2010. “Is Housing the Business Cycle? Evidence from US Cities.” Journal of Urban Economics 67 (3): 336-51., Edward L., Joseph Gyourko, and Albert Saiz. 2008. “Housing Supply and Housing Bubbles.” Journal of Urban Economics 64 (2): 198-217., Allen C. 1978. “Hedonic Prices, Price Indices and Housing Markets.” Journal of Urban Economics 5 (4): 471-84.R. K., Malpezzi S., Mayo S. K. Metropolitan-specific estimates of the price elasticity of supply of housing, and their sources //The American Economic Review. - 2005. - Т. 95. - №. 2. - С. 334-339., Arthur, and Andrew Aitken. 2010. “Housing Supply, Land Costs and Price Adjustment.” Real Estate Economics 38 (2): 325-353.J., Saiz A. Construction costs and the supply of housing structure* //Journal of regional Science. - 2006. - Т. 46. - №. 4. - С. 661-680.E. A., Quigley J. M. What is the price elasticity of housing demand? //The Review of Economics and Statistics. - 1980. - С. 449-454., Hideaki, M. Ayhan Kose, Christopher Otrok, and Marco E. Terrones. 2012. “Global House Price Fluctuations: Synchronization and Determinants.” National Bureau of Economic Research.S., Jones N. House prices since the 1940s: cointegration, demography and asymmetries //Economic Modelling. - 1997. - Т. 14. - №. 4. - С. 549-565., Min, and John M. Quigley. 2006. “Economic Fundamentals in Local Housing Markets: Evidence from US Metropolitan Regions.” Journal of Regional Science 46 (3): 425-453., Matteo. 2004. “Consumption, House Prices, and Collateral Constraints: A Structural Econometric Analysis.” Journal of Housing Economics 13 (4)., Matteo. 2005. “House Prices, Borrowing Constraints, and Monetary Policy in the Business Cycle.” American Economic Review, 739-764., Matteo. 2010. Housing in DSGE Models: Findings and New Directions. Springer, Matteo M., and Stefano Neri. 2008. “Housing Market Spillovers: Evidence from an Estimated DSGE Model.” National Bank of Belgium Working Paper, no. 145., Deniz, and Prakash Loungani. 2012. “Global Housing Cycles.”, Keith, and Tom Mayock. 2014. “Housing Bubbles and Busts: The Role of Supply Elasticity.” Land Economics 90 (1): 79-99.A. Expected returns on major asset classes. - 2012.G. Modelling the demand and supply sides of the housing market: evidence from Ireland //Economic Modelling. - 1999. - Т. 16. - №. 3. - С. 389-409., N. Kundan, and Hardik A. Marfatia. 2016. “The Dynamic Relationship Between Housing Prices and the Macroeconomy: Evidence from OECD Countries.” The Journal of Real Estate Finance and Economics, January., John, and James A. Wilcox. 2013. “Evidence and Implications of Regime Shifts: Time-Varying Effects of the United States and Japanese Economies on House Prices in Hawaii: Regime Shifts in Real Estate Markets.” Real Estate Economics 41 (3)., Edward E. 2007. “Housing Is the Business Cycle.” National Bureau of Economic Research., Stephen, and others. 2003. “Hedonic Pricing Models: A Selective and Applied Review.” Section in Housing Economics and Public Policy: Essays in Honor of Duncan Maclennan.N. G., Shapiro M. D. Risk and return: Consumption versus market beta. - 1984.S. K. Theory and estimation in the economics of housing demand //Journal of Urban Economics. - 1981. - Т. 10. - №. 1. - С. 95-116.A., Supply constraints and housing market dynamics, Journal of Urban Economics, Volume 77, September 2013, Pages 11-26N., Westaway P. Modelling structural change in the UK housing market: a comparison of alternative house price models //Economic Modelling. - 1997. - Т. 14. - №. 4. - С. 587-610., James M. 1984. “Tax Subsidies to Owner-Occupied Housing: An Asset-Market Approach.” The Quarterly Journal of Economics 99 (4): 729.J. M., Weil D. N., Shiller R. House price dynamics: the role of tax policy and demography //Brookings Papers on Economic Activity. - 1991. - Т. 1991. - №. 2. - С. 143-203., Sherwin, and Robert H. Topel. 1986. A Time-Series Model of Housing Investment in the US. National Bureau of Economic Research Cambridge, Mass., USA.E., Diamond P., Tversky A. Money illusion //The Quarterly Journal of Economics. - 1997. - С. 341-374.R. J. Irrational exuberance //Princeton UP. - 2000., Kostas, and Haibin Zhu. 2004. “What Drives Housing Price Dynamics: Cross-Country Evidence.” BIS Quarterly Review, March., Mr Jerome, Ms Ursula Vogel, and Ms Enrica Detragiache. 2012. Macroprudential Policies and Housing Prices A New Database and Empirical Evidence for Central, Eastern, and Southeastern Europe. 12-303. International Monetary Fund. , Wolf. 2008. “The Homogenization of the Financial System and Financial Crises.” Journal of Financial Intermediation 17 (3), Nafeesa, and Peggy E. Swanson. 2013. “A Closer Look at the U.S. Housing Market: Modeling Relationships among Regions: A Closer Look at the U.S. Housing Market.” Real Estate Economics 41 (3)

Appendix

of research papers based on reduced-form models

Article attributes

Sample

Variables

Results

(Hirata et al. 2012)

“Global House Price Fluctuations: Synchronization and Determinants”

IMF Working paperSample: 18 advanced OECD (Organization for Economic Cooperation and) countries;period: quarterly series from January 1971 to March 2011Housing prices determinants: GDP, equity prices, credit, short- and long-term interest rates

Method: Factor Augmented Vector Autoregression (FAVAR)Authors found the evidence of strong linear relationship between housing prices and credit conditions, but no evidence of intertemporal interaction between housing prices and business cycle, equity market movements and interest rates.




(Igan and Loungani 2012)

“Global Housing Cycles” Working paper Sample: 22 advanced countries;period: different for each country (quarterly data)Housing prices determinants: lagged affordability; Income per capita growth rate; working-age population growth rate; equity market growth rate; credit growth rate; short-term interest rate; long-term interest rate

Method: Pooled OLS regressionHousing affordability negatively affects real estate return for more than eighty percent of observed regions. Besides change in personal disposable income was proved as a significant factor of pushing prices up. There is also a positive relation between house price changes and population growth.




(Vandenbussche, Vogel, and Detragiache 2012)

“Macroprudential Policies and Housing Prices-A New Database and Empirical Evidence for Central, Eastern, and South-Eastern Europe”

IMF Working paperSample: 16 CESEE countries (including Russia);period: different for each country but generally beginning from 2000 (quarterly data).Housing prices determinants: GDP per capita, Domestic real interest rate; Foreign real effective interest rate; Working population data; Macroprudential policy measures (for Russia only liquidity measures such as reserve requirements rate on fc and lc deposits and reserve requirements base): Fixed-effect OLS regressionRussia has an almost flat curve of macroprudential policy indicator constructed by authors, so this factor was not proved to be important, however for majority of other countries the changes of macropolicy led to shocks on housing markets.

It was proved that after shock prices are tend to converge towards equilibrium rather fast. Moreover there was determined an intertemporal dependency structure of housing prices. Estimates for lagged changes in per capita GDP and interest rates, changes in working-age population are not significant




(Calomiris, Longhofer, and Miles 2013)

“The foreclosure-house price nexus: a panel VAR model for U.S. states, 1981-2009” Real Estate Economics. - 2013. - Т. 41. - №. 4. - С. 709-746.Sample: all the states of the USA

Time period: 1989-2009 (quarterly data)Housing prices determinants: growth of home prices, foreclosure rate; growth rates of employment, single-family permits, existing home sales,

Method: Panel Vector Autoregression (PVAR)Foreclosure and housing prices are highly correlated with each other. This dependence results from the fact that housing is collateral for the mortgage and housing price shocks disturb credit market and these conditions in turn affect prices. Foreclosures negatively impact home prices. But the negative impact of prices on foreclosures is larger. The variance decompositions show that prices explain 16% of the variation in, while foreclosures explain only 5% of the variation in prices.




(Krainer and Wilcox 2013)

“Evidence and Implications of Regime Shifts: Time‐Varying Effects of the United States and Japanese Economies on House Prices in Hawaii” Real Estate Economics. - 2013. - Т. 41. - №. 3. - С. 449-480.Sample: Real House Price Indexes in Hawaii, in the USA and in Japan

Time period: 1976-2008 (annual data)Housing prices determinants: demand factors such as relative housing prices (US/ Hawaii and Japan/Hawaii), Stock prices, Net Worth, GDP, Net Worth*High income share

Method: Constant-coefficient model VS Time-Varying coefficient modelThe time-varying coefficient model appeared to be significantly better than constant-coefficient model, so the regime shift existed. Relative house prices, Net Worth, GDP and Net Worth*High income share appeared to be significant for housing price index determination.




(Fuster and Zafar 2014)

“The Sensitivity of Housing Demand to Financing Conditions: Evidence from a Survey” FRB of New York Staff Report. - 2014. - №. 702.Sample: 1211 household heads in the USA

Time period: 2014 (monthly data)Housing prices determinants: change of down payment, non-housing wealth shock and change of mortgage rate

Method: OLS (panel regression)of mortgage conditions (such as decrease of down payment) and external increase of income positively influence constructed by authors indicator “willingness to pay” (WTP). This effect is higher for households with income lower than the median in the sample. However the influence of particularly mortgage rate is moderate.






Похожие работы на - Assessment of the situation on the regional housing market in Russia

 

Не нашли материал для своей работы?
Поможем написать уникальную работу
Без плагиата!
Без нейросетей!