Организация финансового менеджмента на предприятии АНОО 'Центр Иностранных Языков 'Express'

  • Вид работы:
    Дипломная (ВКР)
  • Предмет:
    Финансы, деньги, кредит
  • Язык:
    Русский
    ,
    Формат файла:
    MS Word
    278,01 Кб
  • Опубликовано:
    2016-03-29
Вы можете узнать стоимость помощи в написании студенческой работы.
Помощь в написании работы, которую точно примут!

Организация финансового менеджмента на предприятии АНОО 'Центр Иностранных Языков 'Express'

СОДЕРЖАНИЕ

Перечень сокращений

Введение

Глава 1. Теоретические и законодательные особенности финансового менеджмента в автономных некоммерческих организациях

.1 Содержание, задачи и принципы организации финансового анализа организации

.2 Классификация видов анализа финансовой деятельности организации4

.3 Сравнительная характеристика методик анализа финансового состояния АНОО

Глава 2 Организация финансового менеджмента на предприятии АНОО «Центр Иностранных Языков «Express»

.1 Анализ финансового состояния предприятия

.2 Анализ организации финансового менеджмента в организации

.3 Анализ системы финансового менеджмента в организации

Глава 3. Разработка основных рекомендаций по совершенствованию финансовой деятельности АНОО «Центр Иностранных Языков «Express»

.1 Разработка рекомендаций по улучшению финансового состояния

.2 Рекомендации по проведению совершенствования финансового менеджмента

Заключение

Список литературы

ПЕРЕЧЕНЬ СОКРАЩЕНИЙ

АНОО- автономная некоммерческая образовательная организация

КПЭ - ключевые показатели деятельности

ВВЕДЕНИЕ

В рыночной системе хозяйствования главным критерием эффективности работы экономических субъектов являются финансовые результаты их деятельности, устойчивые и положительные значения которых могут быть достигнуты только при высоком профессиональном уровне их финансового менеджмента.

Финансовый менеджмент представляет собой процесс выработки цели управления финансами и осуществления воздействия на них с помощью методов и рычагов финансового механизма. Он направлен на управление движением финансовых ресурсов и финансовых отношений, возникающих между хозяйствующими субъектами в процессе движения финансовых ресурсов. Ответ на вопрос, как наиболее эффективно руководить этим движением и отношениями, составляет содержание финансового управления.

В условиях рынка возникает необходимость более активного использования методов финансового менеджмента, обусловленная высоким уровнем неопределенности внешней среды, которая влияет на увеличение рисков и потерь при принятии финансовых решений, кризисным финансовым состоянием большинства организаций, необходимостью оптимизации использования наличных финансовых ресурсов, повышения точности прогнозирования и планирования финансово-хозяйственной деятельности.

Основной проблемой практически любой организации является недостаток денежных ресурсов на все выплаты в расчетном периоде. Вследствие этого, проблема совершенствования финансового менеджмента является одной из самых актуальных для большинства российских организаций. Наличие отлаженной системы финансового менеджмента позволяет повысить финансово-экономическую эффективность организации, обеспечить его финансовую устойчивость и, как следствие, позволяет сохранить и усилить свою позицию на рынке и легко адаптироваться к постоянно меняющимся условиям внешней среды.

Тема работы актуальна, так как в настоящее время в рыночной экономике функционирует большое количество организаций. Каждая из них стремится получить как можно большую прибыль при минимальных затратах.

Значимость данной проблемы обусловливает высокую заинтересованность отечественных и зарубежных экономистов в разработке действенной методики анализа финансовой устойчивости организации. В общетеоретическом плане финансовые аспекты воспроизводственного кругооборота капитала раскрыты в фундаментальных трудах Э.Альтмана, Ю.С. Джевонса, Дж. Кейнса, В.В. Ковалева, П. Самуэльсона, Я.В. Соколова, Л. Тейлора, Дж. Фридмена, К. Эрроу, А.Д.Шеремета.

Современная экономическая наука имеет в своем распоряжении огромное количество разнообразных приемов и методов оценки финансового состояния организаций, которые в условиях становления и развития рыночных отношений изменяются в связи с возрастанием требований, предъявляемых к анализу. Возможность реальной оценки финансовой устойчивости организации обеспечивается определенной методикой анализа, соответствующим информационным обеспечением и квалифицированным персоналом. Проблемы отчетности и организации методики проведения финансового анализа широко освещены в работах известных отечественных и зарубежных ученых, таких как А.С. Бакаев, М.И. Баканов, СБ. Барнгольц, Л.А. Берн-стайн, В.И. Бариленко, Л.Т. Гиляровская, Д.А. Ендовицкий, О.В. Ефимова, Н.М. Заварихин, В.Б. Ивашкевич, В.В. Ковалев, М.Н. Крейнина, М.В. Мельник, В.Н. Нестеров, В.Д. Новодворский, В.И. Петрова, В.И. Подольский, Г.Б. Поляк, Ж. Ришар, Г.В. Савицкая, Е.С. Стоянова, Э. Хелферт, Л.З. Шнейдман и др.

Исходя из всего вышесказанного, становится понятна несомненная актуальность выбранной темы работы, так как существует объективная необходимость освоения и практического применения системы финансового менеджмента в организациях.

Целью работы является разработка предложений по совершенствованию системы финансового менеджмента в организации.

Для достижения поставленной цели необходимо решить следующие задачи:

раскрыть понятие, цели, задачи, функции и принципы финансового менеджмента;

представить краткую характеристику организации - предмета исследования;

провести анализ финансового состояния организации;

рассмотреть особенности организации процесса финансового менеджмента в организации;

построить бюджет доходов и расходов и бюджет движения денежных средств.

Объектом исследования является механизмы и процессы финансового менеджмента.

Предметом исследования является процессы финансового менеджмента на АНОО «Центр Иностранных Языков «Express».

При выполнении работы использованы методы: теоретический оценка и синтез, индукции и дедукции, финансовой оценки и системный подход.

В данной работе были использованы такие методы исследования, как: горизонтальный анализ, вертикальный анализ, факторный анализ.

В частности, для решения поставленных задач в работе применены методы: диалектического познания - для определения системного аспекта финансово-хозяйственного состояния предприятия; анализа и синтеза - для раскрытия сущности и разработки методики прогнозирования финансово-хозяйственного состояния организации; анализа и сравнения - при исследовании методов экономического прогнозирования и методических подходов к оценке финансово-хозяйственного состояния; финансово-хозяйственного анализа, группировки, абстракции и сравнения - для определения финансовых показателей, которые необходимы для построения прогнозных моделей финансово-хозяйственного состояния; регрессионного анализа - для совершенствования интегрального показателя и построения экономико-математических моделей прогнозирования.

Научная новизна проведенного исследования заключается в теоретическом и практическом обосновании проблемных вопросов улучшения финансовых результатов организации.

Методической и информационной основой являются нормативно-правовые акты, научная, учебная литература по проблеме исследования, а также финансовая отчетность АНОО «Центр Иностранных Языков «Express» за 2012-2013 гг.

Практическая значимость данной работы заключается в том, что результаты оценки финансово-хозяйственной деятельности и предложенные мероприятия по ее совершенствованию могут быть использованы руководством организации для принятия управленческих решений и внедрения на практике разработанных проектов.

Проект состоит из введения, трех глав, заключения, списка источников.

В пepвoй глaвe диплoмнoй paбoты paccмaтpивaютcя тeopeтичecкиe acпeкты анализа финaнcoвoй деятельности автономных некоммерческих организаций. Oпpeдeляeтcя ee cущнocть, фaктopы нa нee влияющиe. Пpивoдитcя мeтoдикa aнaлизa финaнcoвoй деятельности.

Вo втopoй глaвe пpoвoдитcя aнaлиз финaнcoвoй деятельности АНОО «Центр Иностранных Языков «Express» за 2012-2013 гг, дaeтcя oцeнкa финaнcoвoй уcтoйчивocти и нa ocнoвe пoлучeнныx peзультaтoв дeлaютcя ocнoвныe вывoды o тeкущeм пoлoжeнии организации.

В тpeтьeй глaвe пpивoдятcя peкoмeндaции пo укpeплeнию финaнcoвoй уcтoйчивocти иccлeдуeмoгo организации, пpивoдятcя pacчeты иx экoнoмичecкoй эффeктивнocти.

ГЛАВА 1. ТЕОРЕТИЧЕСКИЕ И ЗАКОНОДАТЕЛЬНЫЕ ОСОБЕННОСТИ ФИНАНСОВОГО МЕНЕДЖМЕНТА В АВТОНОМНЫХ НЕКОММЕРЧЕСКИХ ОРГАНИЗАЦИЯХ.

.1 Содержание, задачи и принципы организации финансового анализа организации

Рассмотрим точки зрения отечественных и зарубежных экономистов о понятиях финансового анализа.

Так, в частности И.Т. Балабанов считает, что финансовый анализ - глубокое, научно-обоснованное исследование финансовых отношений и движения финансовых ресурсов в едином производственно-торговом процессе [5, с. 48].

Другой известный финансист-аналитик И. А, Бланк также точно определяет сущность финансового анализа как процесса исследования финансового состояния и основных результатов финансовой деятельности организации с целью выявления резервов повышения его рыночной стоимости и обеспечения его эффективного развития [9].

По мнению О. В. Ефимовой, предметом финансового анализа является рассмотрение текущего и будущего финансового состояния хозяйствующего субъекта, меняющегося под воздействием внешней и внутренней среды и управленческих решений, в целях оценки его финансовой устойчивости и эффективности деятельности. [18, с. 7].

Н. А. Русак, В. А. Русак так интерпретируют это понятие: «финансовый анализ-это исследовательский процесс, главной целью которого является выработка наиболее обоснованных предположений и прогнозов изменения финансовых условий функционирования субъекта хозяйствования» [32, с. 8].

Финансовый анализ - важный инструмент финансового менеджмента и аудита. Финансовый анализ-анализ финансовых показателей, которые отражают финансовые результаты деятельности и финансовое состояние организации [46, с. 3].

С точки зрения западных финансистов, например, Л. А. Бернстайна, финансовый анализ - это процесс, который имеет своей целью оценку текущего и прошлого финансового положения и результатов деятельности организации, при этом первоочередной целью является определение оценок и предсказаний относительно будущих условий и деятельности организации.

Нельзя не согласиться с вышеизложенными мнениями о сущности финансового анализа как процесса, главной целью которого является выработка прогнозов и предположений.

Э. Хелферт полагает, что финансовый анализ - это и исследование, и процесс, которые помогают ответить на вопросы, поставленные в процессе управления [43].

Целью анализа финансового состояния является получение ключевых параметров, дающих объективную и всестороннюю оценку финансового состояния некоммерческой организации, и определение на этой основе конкретных путей улучшения организации финансов.

Задачами анализа финансового состояния АНОО являются:

исследование финансовой устойчивости организации;

определение эффективности использования финансовых ресурсов;

оценка положения АНОО на финансовом рынке и количественная оценка конкурентоспособности отдельных проектов и организации в целом;

определение и оценка мер, направленных на устранение выявленных недостатков и повышение экономической отдачи финансовых ресурсов;

изучение эффективности использования имущества организации;

исследование и объективная оценка платежеспособности, финансовой устойчивости и стабильности некоммерческой организации;

определение обеспеченности организации собственными средствами и анализ их использования;

исследование эффективности использования финансовых ресурсов по назначению, выявление конкретных путей повышения их эффективности;

оценка целевого использования средств.

Аналитические исследования, их результаты и использование в управлении организацией должны соответствовать определенным методологическим принципам.

Таблица 1.1 Методологические принципы финансового анализа

Принцип

Характеристика

Научный характер

- учет требований экономических законов развития производства; - использование достижений научно-технического прогресса и новых методов экономических исследований.

Государственный подход

- при оценке процессов и результатов хозяйствования учитывается их соответствие экономической политике государства и законодательству

Комплексность

- охват всех сторон хозяйственной деятельности и всестороннее изучение причинных зависимостей в экономике предприятия

Системность

- изучение каждого объекта с учётом взаимозависимости его отдельных элементов и с учетом внешней среды

Объективность

- использование достоверной и проверенной информации; обоснование выводов точными аналитическими расчетами

Действенность

- активное воздействие на производство и результаты; - своевременное информирование руководства о недостатках, просчётах, упущениях в работе отдельных подразделений; - практическое использование материалов анализа для разработки конкретных мероприятий и уточнения плановых заданий.

Плановость

- планирование аналитической работы и распределение обязанностей между исполнителями по ее выполнению и контролю за ее проведением

Оперативность

- умение быстро и чётко проводить анализ, принимать решения и выполнять их

Демократизм

- участие широкого круга работников

Эффективность

- затраты на проведение должны окупаться полезностью анализа


Методы финансового анализа - это совокупность способов обработки экономической информации, аналитических приемов и количественных методов, направленных на решение аналитических задач. Также методы экономического анализа являются аналитическим инструментарием, который позволяет технически реализовать цели анализа.

Процесс выполнения аналитической работы можно представить в виде алгоритма (рис. 1.1).

Рис. 1.1 - Этапы проведения финансового анализа

При проведении экономического анализа используется разнообразная информация, представленная в таблице 1.2.

Таблица 1.2 Информационная база анализа

Нормативно-плановые

Учётные

Внеучётные

· федеральные и отраслевые нормативы (ставки налогов, МРОТ, минимальные размеры Уставного капитала и др.)

документы бухгалтерского учета, отражающие хозяйственные явления, процессы и их результаты - первичная учетная информация, регистры, отчетность

· официальные документы (законы, указы, приказы вышестоящих органов)

· нормативы организации - применяются для регулирования производственного процесса и контроля за эффективным использованием ресурсов

данные статистического учета для оценки внешних условий функционирования предприятия

хозяйственно-правовые документы (договоры, соглашения, решения арбитражных и судебных органов, акты ревизий и проверок, решения совета директоров)

· плановые документы - планы (перспективные, текущие, оперативные), сметы, ценники, проектные задания

оперативный учет и отчетность

научно-техническая и экономическая информация (СМИ, Федеральная служба статистики)



техническая и технологическая документация (графики работ, технические паспорта, технологические карты)



материалы специальных исследований состояния производства на отдельных рабочих местах (хронометраж, анкетный опрос, фотография)


Недостатками при формировании информационной базы:

несвоевременное оформление документов;

большое количество заполняемых экземпляров и трудности в обработке документов

отсутствие графиков движения (неритмичность поступления)

невозможность проверки достоверности данных,

недостаточная детализация по отдельным направлениям производственной и финансовой деятельности,

невысокий уровень квалификации и подготовки специалистов.

Перед тем как использовать документы для проведения анализа, необходимо:

а) провести проверку данных

техническую (правильность оформления)

арифметическую

по существу (насколько информация соответствует действительности)

б) привести информацию в сопоставимый вид (сравнивать можно только качественно однородные величины). Причины несопоставимости - разный уровень цен, объёмы деятельности, календарный период, расчёты показателей и т.д.

1.2 Классификация видов анализа финансовой деятельности организации

В экономической литературе встречаются различные термины, относящиеся к анализу деятельности организации. В качестве основы классификации видов анализа можно рассмотреть различные признаки. Наиболее часто встречающиеся и глубоко проработанные в литературе способы классификации представлены в таблице 1.3.

Таблица 1.3

Классификация видов финансового анализа деятельности организации

Классификационный признак

Виды анализа

Широта и доступность привлекаемого информационного обеспечения Анализируемая подсистема предприятия Временной аспект деятельности Содержание анализа Горизонт анализа Объекты анализа

Внешний  Производственный Ретроспективный Комплексный Оперативный

Внутренний  Финансовый Перспективный Тематический Тактический, стратегический


Инвестиционный, проектный, маркетинговый, анализ рисков, анализ безубыточности и т.д.


Анализ финансово-хозяйственной деятельности предусматривает многообразие его видов. Виды анализа финансово-хозяйственной деятельности классифицируются по нескольким признакам.

На практике отдельные виды встречаются редко, но необходимо знать их методы.

Таблица 1.4

Виды анализа финансово-хозяйственной деятельности по признакам

1. Отраслевой

а) отраслевой

проводится с учётом специфики отдельных отраслей экономики (промышленность, сельское хозяйство, торговля и т.д.).

б) межотраслевой

применяется во всех отраслях как теоретическая и методологическая основа анализа

2. Признак времени

а) предварительный (прогнозный)

проводится до осуществления хозяйственных операций для обоснования управленческих решений и плановых заданий

б) последующий (ретроспективный) - оперативный (ситуационный) - итоговый

проводится после совершения хозяйственных операций для оценки результатов деятельности и уровня рисков - в момент совершения производственных, хозяйственных и финансовых операций; - охватывает конкретные участки деятельности - за отчётный период времени (месяц, квартал, год).

3. Пространственный

а) внутрихозяйственный

изучает деятельность одного предприятия и его структурных подразделений

б) межхозяйственный

сравнивается деятельность двух и более организаций

4. По объектам управления

а) технико-экономический

изучает взаимодействие технических и экономических процессов и их влияние на результаты (выпуск продукции, совершенствование техники, технологии и организации производства); широко используются натуральные и трудовые показатели.

б) финансовый

изучение, диагностика и прогнозирование финансового состояния по данным бухгалтерской отчетности

в) управленческий

включает внутрихозяйственный производственный и финансовый анализ в целях планирования, контроля и принятия эффективных управленческих решений

г) социально-экономический

изучает взаимосвязь социальных и экономических процессов, их влияние на результаты хозяйственной деятельности; проводится экономическими службами и статистическими органами

д) экономико-статистический

изучает массовые общественные явления на разных уровнях управления (отрасли, регионы)

е) экономико-экологический

проводится с целью исследования взаимодействия экономических и экологических процессов, связанных с сохранением и улучшением окружающей среды и затратами на экологию

ж) маркетинговый

применяется для изучения внешней среды функционирования организации, рынков сбыта, конкурентоспособности продукции, спроса и предложения, определения ценовой политики

з) инвестиционный

используется для оценки и эффективности долгосрочных вложений (капитальных и финансовых) с целью увеличения прибыли и рыночной устойчивости

5. По методике исследования объектов

а) сопоставительный

применяется для сравнения отчётных показателей с плановыми, прошлыми годами, данными передовых организаций

б) факторный

выявляет факторы и величину их влияния на уровень результативных показателей

в) функционально-стоимостной

представляет метод выявления резервов и предупреждение лишних затрат в процессе производства

г) маржинальный

метод оценки и обоснования эффективности управленческих решений на основе взаимосвязи объёма продаж, себестоимости и прибыли, и деления затрат на постоянные и переменные

д) экономико-математический

необходим для выбора наиболее оптимального варианта решения экономической задачи, выявления резервов повышения эффективности производства за счёт более полного использования ресурсов

6. По субъектам (пользователям):

а) внутренний

осуществляется непосредственно в организации

б) внешний

проводится на основании финансовой и статистической отчётности банками, акционерами, инвесторами

7. По содержанию программы

а) комплексный

деятельность субъекта хозяйствования изучается как целенаправленное единое целое, т.е. в системе

б) тематический

охватывает отдельные стороны хозяйственной деятельности, представляющие в определённый момент наибольший интерес (напр. использование материальных ресурсов, снижение себестоимости продукции, увеличение платежеспособности и т.д.).


Внешний анализ базируется на данных отчетности, т.е. на достаточно ограниченной части информации, направляемой организацией в органы государственного управления. Это открытая информация, которая при необходимости может быть опубликована. Внешний анализ позволяет оценить прибыль, рентабельность, эффективность использования собственных и привлеченных средств, способствует выявлению тенденций развития, их устойчивости и стабильности.

Особенностями внешнего финансового анализа являются:

множественность субъектов - пользователей информации о деятельности организации;

разнообразие целей и интересов субъектов анализа;

ориентация анализа на публичную, внешнюю отчетность организации;

максимальная открытость результатов анализа для пользователей информации о деятельности организации.

Основное содержание внешнего финансового анализа, осуществляемого партнерами организации по данным публичной финансовой отчетности:

анализ абсолютных показателей прибыли;

анализ относительных показателей рентабельности;

анализ финансового состояния, рыночной устойчивости, ликвидности баланса и платежеспособности организации;

анализ эффективности использования заемного капитала;

экономическая диагностика финансового состояния организации и рейтинговая оценка эмитентов.

Внутренний анализ основывается на более широкой базе, включая как общедоступные, так и конфиденциальные источники информации. Как правило, информация внутреннего анализа является закрытой, имеет строго целевую направленность. В рамках внутреннего анализа изучают структуру затрат, взаимосвязи дохода и объема себестоимости продукции, определяют влияние различных факторов на изменение рентабельности, анализируют исполнение различных смет. Основное содержание внутреннего, традиционного, анализа финансового состояния организации составляют:

анализ прибыльности, доходности, рентабельности;

анализ финансовой устойчивости;

анализ кредитоспособности;

оценка использования внутренних ресурсов;

оценка состояния самофинансирования;

анализ ликвидности;

оценка платежеспособности;

анализ самоокупаемости.

С определенной долей условности можно сформулировать основные различия между внутренним и внешним анализом и их особенности (таблица 1.5), хотя на практике эти два вида аналитической работы нередко пересекаются.

Таблица 1.5

Сравнительная характеристика внешнего и внутреннего анализа

Классификационный признак

Внешний анализ -финансовый учет

Внутренний анализ - управленческий учет

Назначение

Пространственно-временная оценка финансового положения

Поиск резервов увеличения эффективности деятельности и рационального использования ресурсов

Пользователи

Клиенты, партнеры, банки, доноры, налоговые службы, кредиторы

Управленческий персонал (руководители и специалисты)

Информационное обеспечение

Регламентированная отчетность

Регламентированные и нерегламентированные источники информации

Характер предоставляемой информации

Общедоступная аналитическая информация

Детализированная аналитическая информация конфиденциального характера

Основные приемы и способы анализа

Средние величины, группировки, простейшие регрессионные модели, графики

Вся совокупность приемов и методов анализа, включая нормативные методы, вероятностные и имитационные модели

Временной аспект

Ретроспективный и перспективный

Оперативный

Степень унификации методики

Достаточно высокая возможность унификации приемов и способов

Индивидуальные разработки и использование

Техническая реализация

Автономный режим использования технических средств

Работа в условиях вычислительных сетей и систем обработки данных



1.3 Сравнительная характеристика методик анализа финансового состояния АНОО

Автономная некоммерческая организация - не имеющая членства некоммерческая организация, учрежденная гражданами и/или юридическими лицами на основе добровольных имущественных взносов в целях предоставления услуг в области образования, здравоохранения, культуры, науки, права, физической культуры и спорта и иных услуг.

Рассмотрим основные особенности функционирования АНОО [П.1 ст.10 Федерального закона «О некоммерческих организациях» от 12.01.1996 № 7-ФЗ.]

Имущество, переданное автономной некоммерческой организации ее учредителями (учредителем), является собственностью автономной некоммерческой организации. Учредители автономной некоммерческой организации не сохраняют прав на имущество, переданное ими в собственность этой организации. Учредители не отвечают по обязательствам созданной ими автономной некоммерческой организации, а она не отвечает по обязательствам своих учредителей. Автономная некоммерческая организация вправе осуществлять предпринимательскую деятельность, соответствующую целям, для достижения которых создана указанная организация. Надзор за деятельностью автономной некоммерческой организации осуществляют ее учредители в порядке, предусмотренном ее учредительными документами. Учредители автономной некоммерческой организации могут пользоваться ее услугами только на равных условиях с другими лицами.

Финансовый анализ деятельности автономной некоммерческой организации предполагает расчет системы аналитических коэффициентов, представленных в таблице 1.6.

Таблица 1.6 Показатели финансового состояния АНОО

Показатель

Формула расчета

Показатели оценки имущественного состояния

Коэффициент износа основных средств - характеризует степень износа основных средств в целом по организации

, где И - величина износа основных средств на конец (начало) года; Сос - стоимость основных средств на конец (начало) года.

Коэффициент обновления основных средств, показывающий долю поступивших в течение года основных средств в балансовой стоимости основных средств, рассчитанных на конец года.

, где Спос - стоимость основных средств, поступивших в течение года; Сос - стоимость основных средств на конец года.

Коэффициент выбытия основных средств, показывающий долю выбывших в течение года основных средств в балансовой стоимости основных средств, рассчитанных на конец года.

, где Свос - стоимость основных средств, выбывших в течение года; Сосн - стоимость основных средств на конец года.

Показатели деловой активности

Коэффициент общей оборачиваемости капитала отражает скорость оборота (количество оборотов за период) всего капитала организации.

Сумма поступивших средств из всех источников за год/Среднегодовая стоимость активов

Коэффициент оборачиваемости оборотных средств показывает скорость оборота всех оборотных средств организации (как материальных, так и денежных).

Сумма поступивших средств из всех источников за год/Среднегодовая стоимость оборотных активов

Фондоотдача

Сумма поступивших средств из всех источников за год/Средняя стоимость основных средств

Продолжение таблицы 1.6

Показатель

Формула расчета

Оборачиваемость дебиторской задолженности показывает скорость оборота дебиторской задолженности, т. е., сколько поступивших финансовых средств приходится на один рубль средств, отвлеченных в дебиторскую задолженность

К4= Ф/Д, где Ф - сумма поступивших средств из всех источников за год; Д - средняя величина дебиторской задолженности за год.

Оборачиваемость кредиторской задолженности показывает скорость оборота кредиторской задолженности, то есть, сколько поступивших финансовых средств приходится на один рубль средств, привлеченных в кредиторскую задолженность

К5 = Ф/Кр, где Ф - сумма поступивших средств из всех источников за год;  Кр - средняя величина кредиторской задолженности за год.

Финансовая устойчивость

коэффициент капитализации (Кк);

Заемный капитал/собственный капитал

коэффициент финансовой независимости (Кнезав);

Собственный капитал/Валюта баланса

коэффициент финансирования (Кфз);

Собственный капитал/Валюта баланса

коэффициент финансовой устойчивости (Кфин. уст).

(Собственный капитал + Долгосрочные обязательства)/Валюта баланса


Имеется достаточно большое количество различных методике, которые позволяю провести анализ финансового состояния организации, причем большинство методик предлагаемых отечественными учеными, основаны на статистических методах обработки данных. Это вертикальный и горизонтальный анализ, структурный, коэффициентный анализ, графический метод. При этом, рассматривая различные методики проведения анализа финансового состояния каждый из авторов привносит определенные дополнительные элементы анализа, которые позволяют провести анализ в той или иной направленностью, в зависимости от целей проводимого анализа.

Существующие методики финансового анализа классифицируются по различным признакам:

По применяемым методам:

методики, базирующиеся в основном на анализе финансовых коэффициентов (методика Р. Холта и нескольких других иностранных авторов);

методики, которые используют дополнительно вертикальный и горизонтальный анализ различных аналитических таблиц и другие методы (методики Р.С. Сайфулина, В.В. Ковалева, А.Д. Шеремета, Е.В. Негашева, О.В. Ефимовой);

По задачам, которые выполняют:

методики рейтинговой оценки организации (методики Е.А. Игнатовой, Л.Я. Прокофьева);

методики прогнозирования банкротства организации (классическая методика Э. Альтмана, государственная методика оценки неудовлетворительной структуры баланса);

методики общего финансового анализа - их большинство.

Рассмотрим наиболее распространенные методики проведения анализа финансового состояния организации, которые разработаны такими отечественными учеными как Шеремет А.Д., Савицкая Г.В., и Ковалев В.В.

Основной задачей финансового анализа Ковалев В.В. считает оценку финансового состояния и выявление возможностей повышения функционирования субъекта с помощью рациональной финансовой политики.

Аналитическую работу следует организовать в виде двухмодульной структуры: экспресс-анализ финансового состояния и детализированный анализ финансового состояния.

Цель экспресс-анализа - простая и наглядная оценка финансового благополучия и динамики развития субъекта.

Цель детализированного анализа финансового состояния - более подробная характеристика имущественного и финансового положения организации, результатов его деятельности в истекшем отчетном периоде, и возможностей развития на перспективу.

Экспресс-анализ проводится в три этапа.

Цель первого этапа - принять решение о целесообразности анализа финансовой отчетности и убедится в ее готовности к чтению. Проводится простейшая счетная проверка отчетности по формальным признакам и по существу.

Цель второго этапа - ознакомление с пояснительной запаской к балансу.

Цель третьего этапа - обобщенная оценка результатов хозяйственной деятельности и финансового состояния организации.

Углубленный анализ финансово-хозяйственной деятельности организации проводится в три этапа:

Предварительный обзор экономического и финансового положения организации.

Оценка и анализ экономического потенциала организации, включая:

оценку имущественного положения;

оценку финансового положения, включая оценку ликвидности и финансовой устойчивости;

наличие «больных» статей в отчетности.

Оценка и анализ результатов финансово-хозяйственной деятельности, включая:

оценку основной деятельности;

анализ рентабельности;

оценку положения на рынке ценных бумаг.

Методика Савицкой предполагает проведение анализа хозяйственной деятельности организации. Согласно ей анализ - это функция управления, обеспечивающего научность принятия решений. Объектами анализа являются экономические результаты хозяйственной деятельности. Предмет анализа - причинно-следственные связи экономических явлений и процессов, раскрыв которые можно быстро рассчитать изменения основных результатов хозяйственной деятельности за счет какого-либо фактора, а также изменение суммы прибыли, безубыточного объема продаж, запаса финансовой устойчивости, себестоимости единицы продукции при изменении любой производственной ситуации.

Широко применяется метод сравнения (сравнение фактических результатов организации с результатами прошлых лет, достижениями других организаций, плановых показателей, среднеотраслевых показателей).

Основной целью финансового анализа по методике Шеремета А.Д. является получение наиболее информативных параметров, дающих объективную оценку финансового состояния, его прибылей убытков, изменений в структуре активов и пассивов, в расчетах с дебиторами и кредиторами.

Основными методами финансового анализа являются: горизонтальный, вертикальный, трендовый, коэффициентный.

Методика финансового анализа состоит из трех взаимосвязанных этапов:

анализа финансовых результатов деятельности организаии, включающего в себя анализ уровней, динамики и структуры финансовых результатов деятельности, факторный и предельный анализ прибыли;

анализа финансового состояния организации, включающего общую оценку финансового состояния, изменений за период, анализ финансовой устойчивости, ликвидности, деловой активности платежеспособности.

анализа эффективности финансово-хозяйственной деятельности, решающего задачи по выявлению факторов и причин достигнутого состояния, подготовке и обоснованию принимаемых управленческих решений, выявлению и мобилизации резервов повышения эффективности деятельности.

Сравнительный анализ рассмотренных методик финансового анализа представлен в таблице 1.7.

Таблица 1.7 Сравнительный анализ методик финансового анализа

Автор методики

Задачи анализа

Объект анализа

Инструментарий

Достоинства /недостатки методики

Ковалев В.В.

Финансовое сотояние и выявление возможности повышения эффетивности фунционирования организации

2 этапа: 1) экспресс-анализ финансового состояния (оценка финансового благополучия и динамика развития), 2) детализированный анализ финансового состояния (подробная характеристика имущественного и финансового положения, результатов деятельности, ликвидности, финансовой устойчивости, оценка производственной (основной) деятельности, рентабельности, оценка положения на рынке ценных бумаг, деловой активности)

Анализ бал анса-нетто, вертикальный и горизинтальный анализ, анализ качественных сдвигов в имущественном положении, финансовые коэффициенты, коэффицинты определяющие рейтинг организации на рынке ценных бумаг

Достоинство: оценка положения организации на рынке ценных бумаг

Савицкая

Комплесный экономический анализ хозяйственной деятельности и диагностика риска банкротства

Формирование, размещение и использование капитала, финансовые ресурсы, финансовые результаты, рентабельность, прибыль, инвестиционная деятельность, финансовое состояние, диагностика банкротсва

Методы сравнения: с предыдущими периодами, с другими организациями, с плановыми показателями, со среднеотраслевыми организациями, методы гуппировки и сопоставления, коэффициенты

Достоинство: предмет АХД - причинно-следственные связи экономических явлений процессов, дают количественную характеристику (т.е. измеряют влияние фактора на результаты деятельности)

Автор методики

Задачи анализа

Объект анализа

Инструментарий

Достоинства /недостатки методики

Шеремет А.Д.

Получение небольшого числа ключевых параметров дающих объективную картину анализа финансового состояния

Финансовое состояние (прибыльности, убыточности, изменение структуры активов и пассивов, расчеты с дебиторами и кредиторами), анализ финансовых результатов, анализ эффективности финансовой деятельности организации

Горизонтальный, вертикальный, трендовый анализ. Сравнительный метод, финансовые коэффициенты, абсолютные и относительные показатели

Недостаток: критические значения коэффициента не учитывают отраслевую специфику


Таким образом, рассмотренные методики имеют следующие характеристики:

имеют более формализованный, алгоритмизированный, структурированный характер и в большей степени приспособлены к компьютеризации всех расчетов;

в них применяется несколько иная нормативная база при оценке платежеспособности (ликвидности) организации;

ориентирована на широкий круг пользователей;

частично применяется зарубежный опыт оценки финансового состояния;

используется модель взаимосвязанных различных финансовых коэффициентов, что позволяет при наличии динамики различных финансовых показателей (факторов) исследовать характер изменения результирующего показателя;

более подробно рассмотрен анализ балансовой прибыли, и прибыли от реализации продукции;

некоммерческий финансовый анализ законодательный

ГЛАВА 2. ОРГАНИЗАЦИЯ ФИНАНСОВОГО МЕНЕДЖМЕНТА В ОРГАНИЗАЦИИ АНОО «ЦЕНТР ИНОСТРАННЫХ ЯЗЫКОВ «EXPRESS»

2.1 Анализ финансового состояния организации

Объект исследования - Автономная некоммерческая организация «Центр иностранных языков «Express».

Фактический адрес организации: 248000, г. Калуга, ул. Суворова, 121, офис 415.

Сведения о видах экономической деятельности АНОО «Центр иностранных языков «Express» по данным ЕГРЮЛ представлены в таблице 2.1.

Таблица 2.1 Сведения о видах экономической деятельности АНОО «Центр иностранных языков «Express» по данным ЕГРЮЛ

Код по ОКВЭД

Тип

Наименование вида деятельности

52.45.5

Основной вид деятельности

Переводческая деятельность, обучение иностранным языкам физических лиц и персонала компаний, программы международного студенческого обмена

36.30

Дополнительный вид деятельности

Предоставление секретарских, редакторских услуг и услуг по переводу

51.1

Дополнительный вид деятельности

Предоставление прочих услуг


Наименование реализуемых услуг:

услуги перевода с/на иностранные языки и языки стран СНГ;

перевод документов с/на иностранные языки и языки стран СНГ для получения гражданства, вида на жительство и т.д.;

предоставление услуг устных переводов;

групповое и индивидуальное обучение иностранным языкам физических лиц и персонала компаний;

программа международного студенческого обмена.

Организационная структура АНОО «Центр иностранных языков «Express» представлена на рисунке 2.1.








Рис. 2.1 - Организационная структура АНОО «Центр иностранных языков «Express»

Финансовый анализ АНОО «Центр иностранных языков «Express» будем проводить на основе данных бухгалтерского баланса и отчета о прибылях и убытках.

Анализ структуры бухгалтерского баланса проведем за период 31.12.2012 - 31.12.2013 гг. (приложение 2).

Анализ структуры бухгалтерского баланса АНОО «Центр иностранных языков «Express» показал:

количество сырья, материалов и других аналогичных ценностей снизилось на 25,67% или на 260329 руб. При этом в структуре баланса данная статья занимает 8,46% на 30.09.2013 года, что свидетельствует о несоответствии плановых и фактических показателей деятельности;

сумма баланса также снизилась на 0,90% или на 81332 руб. Данное снижение можно считать незначительным и объяснить ухудшением активности компании на рынке;

необходимо отметить рост денежных средств компании за прошедший год на 42,19% или на 114239 руб. Рост денежных средств связан с проводимой компанией финансовой политикой, главной целью которой является стабилизация устойчивости и продвижение на рынке.

Далее проведем анализ основных статей отчета о прибылях и убытках АНОО «Центр иностранных языков «Express», для чего произведем расчеты по формулам:

темп прироста () - относительный показатель, характеризующий динамику актива, пассива баланса, запасов и финансовых результатов организации, который рассчитывается по формуле 1:


где: - изменение в абсолютном значении показателя за период,

- абсолютное значение показателя на начало периода;

удельные веса изменений (ИСi), характеризующие структуру изменений актива, пассива баланса, запасов и финансовых результатов организации за анализируемый период. Рассчитывается по формуле 2:


где: - изменение абсолютного значения показателя за период,

- сумма изменений абсолютных показателей за период.

Результаты представлены в приложении 3.

Наблюдается рост выручки-нетто от продаж услуг (на 37,02% или на 4228162 руб.) при общем росте расходов компании (на 42,57%) и затрат на материалы (на 36,11%). Прибыль от продаж услуг также выросла на 28,79% или на 156915руб.

. Для определения влияния объема продаж на прибыль необходимо прибыль предыдущего периода умножить на изменение объема продаж.

Выручка от реализации услуг организации в отчетном периоде составила 15649320 рублей, для начала необходимо определить объем продаж в базисных ценах (15649320/1,18), который составил 13262135,6 рублей. С учетом этого изменение объема продаж за анализируемый период составило 116,1% (13262135,6/11421158*100%), т.е. произошел рост объема реализованных услуг на 16,1%. За счет роста объема продажи услуг прибыль от продажи продукции, работ, услуг выросла: 545069 * 0,1647 = 89772,9 рублей.

. Прибыль отчетного периода, исходя из себестоимости и цен базисного периода, можно определить с некоторой долей условности следующим образом:

выручка от продажи отчетного периода в ценах базисного периода 13301922 рублей;

фактически реализованные услуги, рассчитанная по базисной себестоимости (8651734*1,161) = 10044663,2 рублей;

коммерческие расходы базисного периода 1557048,5 рублей;

управленческие расходы базисного периода 667306,5 рублей;

прибыль отчетного периода, рассчитанная по базисной себестоимости и базисным ценам (13301922-10044663,2-1557048,5-667306,5) = 1032903,8 рублей.

Таким образом, влияние сдвигов в структуре услуг на величину прибыли от продаж равно: 1032903,8 - (545069*1,161) = 400078,691 рублей.

Произведенный расчет показывает, что в составе реализованных услуг увеличился удельный вес услуг с большим уровнем доходности.

. Влияние изменения себестоимости на прибыль можно определить, сопоставляя себестоимость реализации услуг отчетного периода с затратами базисного периода, пересчитанными на изменение объема продаж: 11776132 - (8651734*1,161) = 1731468,826 рублей. Себестоимость реализованных услуг увеличилась, следовательно, прибыль от продажи продукции снизилась на ту же сумму.

. Влияние изменения коммерческих и управленческих расходов на прибыль компании определим путем сопоставления их величины в отчетном и базисном периодах. За счет повышения размера коммерческих расходов прибыль снизилась на 662794,3 рублей (2219842,8 - 1557048,5), а за счет роста размера управленческих расходов - на 284054,7 рублей (951361,2 - 667306,5).

. Для определения влияния цен реализации продукции, работ, услуг на изменение прибыли необходимо сопоставить объем продаж отчетного периода, выраженного в ценах отчетного и базисного периода, т.е.: 15649320 - 13301922 = 2347398 рублей.

Подводя итог, посчитаем общее влияние всех перечисленных факторов:

влияние объема продаж +89772,9 рублей;

влияние спектра реализованных услуг +400078,691 рублей;

влияние себестоимости -1731468,826 рублей;

влияние величины коммерческих расходов -662794,3 рублей;

влияние величины управленческих расходов -284054,7 рублей;

влияние цен реализации +2347398 рублей;

общее влияние факторов +158931,8 рублей.

Значительный рост себестоимости услуг произошел в основном за счет повышения цен на сырье и материалы. Кроме этого, на сумму прибыли оказало положительное влияние увеличение объема продаж и рост расходов. Резервами роста прибыли организации являются рост объема продаж, увеличение доли более рентабельных видов услуг в общем объеме реализации и снижение себестоимости товаров, работ и услуг.

Проанализируем финансовые коэффициенты АНОО «Центр иностранных языков «Express», применив формулы 1-9, сведя результаты расчета в приложение 4.

Финансовые коэффициенты рассчитываются и анализируются для исследования изменения финансового положения организации. Финансовые коэффициенты рассчитываются на начало и конец периода и сравниваются с рекомендуемыми ограничениями. Формулы расчетов некоторых финансовых коэффициентов приведены ниже: [15, с.128]

. Коэффициент автономии (Ка) рассчитывается по формуле:

                                                                                           (1)

где П3 - капитал и резервы;

ИБ - итог баланса.

Рекомендуемое ограничение коэффициента 0,5.

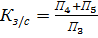
. Коэффициент соотношения заемных и собственных средств (Кз/с):

                                                                                    (2)

где П4 -долгосрочные обязательства;

П5 - краткосрочные обязательства;

П3 - капитал и резервы.

Рекомендуемое ограничение - не более 1.

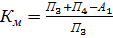
. Коэффициент маневренности (Км):

                                                                                 (3)

где П3 -капитал и резервы;

П4 -долгосрочные обязательства;

А1 - внеоборотные активы.

Высокое значение коэффициента положительно характеризует финансовое состояние организации.

. Коэффициент обеспеченности запасов и затрат собственными источниками (Коз):

                                                                                (4)

где П3 -капитал и резервы;

П4 - долгосрочные пассивы;

А1 - внеоборотные активы;

ЗНДС - сумма запасов и НДС.

Рекомендуемое значение коэффициента - 1.

. Коэффициент абсолютной ликвидности (Каб):

                                                                                  (5)

где ДС - денежные средства;

КФВ - краткосрочные финансовые вложения;

П5 - краткосрочные пассивы.

Рекомендуемое ограничение не менее 0,2.

. Коэффициент ликвидности (Кл):

                                                                 (6)

где ДС - денежные средства;

КФВ - краткосрочные финансовые вложения;

ДЗ<1 - дебиторская задолженность со сроком погашения менее года;

ПОА - прочие оборотные активы;

П5 - краткосрочные пассивы.

Рекомендуемое ограничение не менее 0,8.

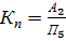
. Коэффициент покрытия (Кп):

                                                                                           (7)

где А2 - оборотные активы;

П5 - краткосрочные пассивы.

Рекомендуемое ограничение не менее 2.

. Коэффициент реальной стоимости имущества производственного назначения (Кип):

                                                                        (8)

где НА - нематериальные активы;

ОС - основные средства;

СМ - сырье, материалы и прочие аналогичные ценности;

НП - затраты в незавершенном производстве, издержках обращения;

ИБ - итог баланса.

Рекомендуемое ограничение - 0,5.

. Коэффициент прогноза банкротства (Кпб):

                                                                   (9)

где ДС - денежные средства;

КФВ - краткосрочные финансовые вложения;

ЗНДС - сумма запасов и НДС;

ПОА - прочие оборотные активы;

П5 - краткосрочные пассивы.

ИБ - итог баланса.

Рекомендуемое ограничение коэффициента - более 0.

Итог анализа финансовых коэффициентов организации показал, что большинство коэффициентов не соответствуют нормативным значениям на конец 2013 года. Можно сделать вывод о необходимости срочного принятия управленческих решений, так как организация находится в кризисном состоянии.

Рассчитаем значения коэффициентов рентабельности и деловой активности на начало и конец периода по формулам 10-24:

. Коэффициент рентабельности продаж (Крп) рассчитывается по формуле:

                                                                                          (10)

где ПР - прибыль от реализации услуг;

В - выручка-нетто от реализации услуг.

. Коэффициент рентабельности всего капитала организации (Крк):

                                                                                          (11)

где ПР - прибыль от реализации услуг;

ИБ - итог баланса.

. Коэффициент рентабельности внеоборотных активов (Крв):

                                                                                        (12)

где ПР - прибыль от реализации услуг;

ВАО - внеоборотные активы.

. Коэффициент рентабельности собственного капитала (Крс):

                                                                                         (13)

где ПР - прибыль от реализации услуг;

КиР - капитал и резервы.

. Коэффициент рентабельности перманентного капитала (Крп):

                                                                                 (14)

где ПР - прибыль от реализации услуг;

КиР - капитал и резервы;

ДСП - долгосрочные пассивы.

. Коэффициент общей оборачиваемости капитала (Коок):

                                                                                        (15)

где В - выручка-нетто от реализации услуг;

ИБ - итог баланса.

. Коэффициент оборачиваемости мобильных средств (Комс):

                                                                                        (16)

где В - выручка-нетто от реализации услуг;

ОА - оборотные активы.

. Коэффициент оборачиваемости материальных оборотных средств (Кмос):

                                                                                      (17)

где В - выручка-нетто от реализации услуг;

ЗНДС - запасы.

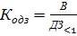
. Коэффициент оборачиваемости дебиторской задолженности (Кодз):

                                                                                      (19)

где В - выручка-нетто от реализации услуг;

ДЗ<1 - дебиторская задолженность менее года.

. Коэффициент среднего срока оборота дебиторской задолженности, в днях (Ксдз):

                                                                                    (20)

где N - количество дней в анализируемом периоде;

ДЗ<1 - дебиторская задолженность менее года;

В - выручка-нетто от реализации услуг.

. Коэффициент оборачиваемости кредиторской задолженности (Кокз):

                                                                                         (21)

где В - выручка-нетто от реализации услуг;

КЗ - кредиторская задолженность.

. Коэффициент среднего срока оборота кредиторской задолженности, в днях (Кскз):

                                                                                       (22)

где N - количество дней в анализируемом периоде;

КЗ - кредиторская задолженность;

В - выручка-нетто от реализации услуг.

. Коэффициент фондоотдачи внеоборотных активов (Кфва):

                                                                                       (23)

где В - выручка-нетто от реализации услуг;

ВОА - внеоборотные активы.

. Коэффициент оборачиваемости собственного капитала (Коск):

                                                                                       (24)

где В - выручка-нетто от реализации услуг;

КиР - капитал и резервы.

Результаты расчетов представлены в приложении 5.

Проведем сравнительный анализ и оценку полученных значений коэффициентов на начало и конец периода.

коэффициент рентабельности продаж снизился на 0,1, что свидетельствует о снижении уровня спроса на услуги организации;

коэффициент рентабельности всего капитала организации увеличился с 0,06 до 0,08, что говорит о росте эффективности использования имущества организации;

увеличились все коэффициенты кроме коэффициента среднего срока оборота дебиторской задолженности и коэффициента среднего срока оборота кредиторской задолженности, что свидетельствует о сложностях организации при погашении задолженности.

В приложении 6 представлена оценка стратегии развития организаци.

АНОО «Центр иностранных языков «Express» в анализируемый период времени стремилось к стратегии стабильности.

Составляющие финансовой стратегии АНОО «Центр иностранных языков «Express» представлены на рисунке 2.2.

Рис. 2.2 - Финансовая стратегия АНОО «Центр иностранных языков «Express»

Таким образом, финансовая стратегия АНОО «Центр иностранных языков «Express» направлена на достижение стабильного финансового положения за счет инвестиций, заимствований и общих финансовых мер стабилизации.

2.2 Анализ организации финансового менеджмента в организации

Вопросами управления финансовой деятельностью в АНОО "Центр Иностранных Языков "Express"" занимается финансовая служба, которая задает финансовые целевые показатели, нормативы и задачи компании на плановый период, а также осуществляет организацию и контроль их выполнения.

В АНОО "Центр Иностранных Языков "Express"" значение системы финансового менеджмента выражается в двух аспектах:

обеспечение эффективности финансово - хозяйственной деятельности предприятия на долгосрочной основе в постоянно нестабильной конкурентной внешней среде;

обеспечение постоянного роста рыночной стоимости организации и его объемов деятельности.

В организации общим правилом формирования коллектива сотрудников финансовой службы является высокая квалификация и экономически обоснованная минимизация штата. В связи с этим, структура финансовой службы АНОО "Центр Иностранных Языков "Express"" формируется постепенно, по мере развития организации, освоения инновационных технологий и внедрения современных инструментов финансового менеджмента, централизации финансово-экономического управления предприятием и формирования в организации высокой корпоративной культуры.

Структура службы финансового менеджмента в АНОО "Центр Иностранных Языков "Express"" приведена на рисунке 6. В ее составе выделены два основных отдела (управления финансами и планирования), которые в свою очередь состоят из профильных групп.

Отдел бухгалтерского учета предприятия в рамках финансового менеджмента специализируется на финансовом бухгалтерском учете, являющимся одним из главных источников информации при осуществлении финансового управления.

Рис. 2.3 - Структура службы финансового менеджмента в АНОО "Центр Иностранных Языков "Express""

Выделение отдела бухгалтерского учета из финансовой службы предприятия позволяет обеспечить независимый контроль над финансами организации.

Финансовая служба в процессе осуществления своей деятельности также привлекает юристов, психологов и других специалистов подразделений организации в качестве экспертов при выполнении отдельных работ по финансовому менеджменту, при подготовке кадров, нормативно-методической, договорной и других видов документации.

Отдел управления финансами АНОО "Центр Иностранных Языков "Express"" осуществляет управление, как собственными финансовыми ресурсами организации, так и привлекаемыми со стороны.

Данный отдел включает следующие подразделения:

. Группа финансового проектирования, основные функции и задачи которой:

разработка нормативно-методических документов по управлению финансами организации;

разработка финансовой стратегии и подготовка проектов управленческих решений по стратегическим финансовым ресурсам организации.

. Группа организации внешнего финансирования выполняет следующие функции и задачи:

разработка нормативно-методических документов по организации внешнего финансирования;

организация привлечения стратегического заемного капитала из финансового рынка;

организация привлечения реальных инвестиций.

. Группа управления ценными бумагами выполняет:

разработку нормативно-методических документов по деятельности организации на фондовом рынке;

организацию привлечения стратегического заемного капитала из фондового рынка;

организацию среднесрочного финансирования финансово-хозяйственной деятельности организации из фондового рынка.

Плановый отдел АНОО "Центр Иностранных Языков "Express"" специализируется на финансово-экономическом управлении деятельностью организации и включает следующие подразделения:

. Группа стратегического и текущего планирования, основные функции и задачи которой:

разработка нормативно-методических документов по стратегическому и текущему финансово-экономическому планированию в организации и функционированию системы плановой финансово-экономической документации организации;

разработка эффективной финансовой стратегии развития организации.

. Группа бюджетирования выполняет следующие функции:

разработка нормативно-методических документов по бюджетному планированию в организации и функционированию системы плановой финансово-экономической документации организации;

разработка и корректировка сводного бюджета операционной деятельности организации;

. Группа мониторинга и контроля осуществляет:

разработку нормативно-методических документов по мониторингу, учету, контролю и анализу выполнения финансово-экономических планов хозяйственной деятельности организации и функционированию системы финансово-экономической учетной и отчетной документации организации;

мониторинг, учет, контроль и анализ выполнения общекорпоративной финансовой стратегии.

. Группа кураторов подразделений организации выполняет следующие функции:

участвует в разработке финансовых разделов годовых бизнес-планов деятельности подразделений и определении годовых плановых финансово-экономических показателей;

доводит до подразделений организации плановую документацию (плановые годовые финансово-экономические показатели и бюджеты операционной деятельности).

. Группа администраторов финансовой информационной системы осуществляет:

разработку и внедрение специализированного программного обеспечения по финансовому менеджменту (управлению финансами предприятия и финансово-экономическому управлению хозяйственной деятельностью организации);

создание и организацию функционирования в организации системы плановой, учетной и отчетной финансово-экономической документации.

Деятельность финансовой службы АНОО "Центр Иностранных Языков "Express"" направлена на достижение целей развития организации и повышения эффективности финансово-хозяйственной деятельности. В соответствии с поставленными целями и задачами финансовая служба должна сама технологически и организационно развиваться.

АНОО «Центр иностранных языков «Express» применяет автоматизированную форму учета с использованием компьютерной техники и специализированной бухгалтерской компьютерной программы ORACLE.

Используемая справочно-информационная правовая система - «КонсультантПлюс».

КонсультантПлюс - компьютерная справочно-правовая система по законодательству России. Разрабатывается ЗАО «Консультант Плюс» и содержит более 11 млн. документов.

Распространяется через сеть региональных информационных центров (РИЦ), состоящую из 300 центров, расположенных в крупных городах, и более 400 сервисных подразделений в небольших населенных пунктах.

Информация, включённая в систему, структурирована по разделам; в настоящее время в СПС КонсультантПлюс существуют следующие разделы:

законодательство;

судебная практика;

финансовые и кадровые консультации;

консультации для бюджетных организаций;

комментарии законодательства;

формы документов;

законопроекты;

международные правовые акты;

правовые акты по здравоохранению;

технические нормы и правила.

Другие справочно-информационные правовые системы в компании не используются.

АНОО «Центр иностранных языков «Express» не использует программные продукты финансового менеджмента.

Для анализа финансового состояния в компании используется продукт «Audit Expert Standard».Expert - аналитическая система диагностики, оценки и мониторинга финансового состояния одного или группы организаций на основе данных финансовой и управленческой, в том числе консолидированной отчетности.Expert ориентирован на финансово-экономические службы крупных компаний, банки и аудиторские фирмы, госорганы, контролирующие финансовое состояние подведомственных организаций.

Несмотря на масштабную структуру отдела финансового менеджмента АНОО "Центр Иностранных Языков "Express"" необходимо отметить, что данная модель не достаточно удовлетворяет требованиям современного бизнеса. Предприятию необходимо пройти несколько важнейших стадий развития системы финансового менеджмента, а именно: формирование корпоративной финансовой культуры предприятия и внедрение в подразделениях организации систем оперативного контроллинга.

Считаем возможным использование в АНОО «Центр иностранных языков «Express» дополнительной программы финансового анализа, которая бы восполнила недостатки используемого продукта. Рекомендуется использовать программу «Microsoft Project».

.3 Анализ системы финансового менеджмента в организации

Финансовый менеджмент в АНОО «Центр иностранных языков «Express» состоит из:

разработки плана денежных поступлений и выплат;

оперативного финансового планирования.

Разработка плана денежных поступлений и выплат:

оказывает влияние на прогнозируемые потоки платежей по отношению к кредитным институтам, инвесторам;

позволяет контролировать ликвидность - избежать неликвидности или чрезмерной ликвидности;

инициирует разработку и реализацию соответствующих организационных и финансово-экономических мероприятий по балансированию платежных средств.

Оперативное финансовое планирование в АНОО «Центр иностранных языков «Express» включает следующие элементы:

расчет денежных потоков на основе запаса платежных средств на начало периода;

поддержание текущего баланса денежных поступлений и выплат путем планирования выплат по месяцам;

расчет объемов внешнего финансирования и дефинансирования;

расчет резервов ликвидности для определения желаемого запаса платежных средств на конец периода.

План денежных поступлений и выплат включает в себя следующие основные показатели:

. Денежные поступления (Пр).

. Выплаты, всего (П), в том числе:

оборудование;

сырье и материалы, расходы на сбыт;

управленческие расходы, аренда помещений;

коммунальные услуги;

транспорт;

реклама;

страхование;

выплата долга и процентов;

налоги;

прочие.

. Прирост денежной наличности (Д):

Д = Пр-П.

. Остаток на начало периода (Он).

. Остаток на коней периода (Ок):

Ок = Д + Он

или Ок = Пр - П + Он.

На основе изучения деятельности по финансовому менеджменту в организации был осуществлен SWOT-анализ, результаты которого представлены в приложении 7.

Прогнозирование финансовых результатов деятельности разрабатывается на основании системы бюджетов, являющейся инструментом планирования, контроля и оценки эффективности финансово-хозяйственной деятельности организации.

Платежный календарь АНОО «Центр иностранных языков «Express» за период с 31.03.2013 по 30.09.2013 представлен в приложении 8.

За последние полгода анализируемого периода времени поступления превышали над платежами, что означает, что финансовый менеджмент в АНОО «Центр иностранных языков «Express» осуществляется правильно и своевременно.

Рассмотрим налоговый календарь организации (приложение 10).

АНОО «Центр иностранных языков «Express» осуществляет выплату следующих видов налогов:

налог на прибыль;

налог на добавленную стоимость;

налог на имущество организаций;

транспортный налог;

земельный налог.

Выплаты осуществляются в соответствии с налоговым календарем на текущий год.

Бюджеты, формируемые в АНОО «Центр иностранных языков «Express», подразделяются на основные и функциональные.

К основным бюджетам организации относятся:

1) Бюджет доходов и расходов;

2)      Бюджет движения денежных средств;

)        Прогнозный баланс;

)        Бюджет продаж;

)        Бюджет расходов;

)        Бюджет капитальных вложений.

Формы и показатели основных бюджетов организации утверждаются Советом директоров.

Для формирования основных бюджетов и оперативных КПЭ АНОО «Центр иностранных языков «Express» разрабатываются функциональные бюджеты.

В организации устанавливаются следующие бюджетные периоды: 1 квартал, 6 месяцев, 9 месяцев, год (календарный). Годовые бюджеты формируются в разрезе кварталов нарастающим итогом с начала года. Вместе с тем осуществляется помесячная разбивка квартального бюджета в пределах утвержденных на этот период показателей.

Процесс формирования бюджетов (отчетов об их исполнении) осуществляется в соответствии со следующими основными правилами:

1) Источником информации являются данные бухгалтерской отчетности;

2)      Отклонения фактических значений показателей от запланированных рассчитываются по всем показателям отчетов об исполнении бюджетов;

)        Оперативное планирование, отчет об исполнении плановых показателей и план-факт анализ каждого бюджета осуществляются в единой форме;

)        Учетная система должна обеспечивать возможность учета и получения фактических данных для формирования отчетов об исполнении бюджетов в разрезах, предусмотренных утвержденными формами.

Бюджеты АНОО «Центр иностранных языков «Express» формируются в формате Альбома Бюджетных Форм, обеспечивающего функциональные взаимосвязи и единый порядок расчета показателей, полноту их заполнения и непротиворечивость.

Одновременно с формированием отчетов об исполнении оперативных КПЭ и бюджетов организации составляется пояснительная записка, включающая анализ причин отклонений, а также предложения по повышению эффективности деятельности в рассматриваемой функциональной области. Отчеты об исполнении оперативных КПЭ и бюджетов организации подлежат рассмотрению Советом директоров АНОО «Центр иностранных языков «Express».

Таким образом, финансовая политика АНОО «Центр иностранных языков «Express» в долгосрочном варианте должна быть направлена на укрепление его конкурентоспособности и увеличения собственного капитала. В краткосрочном периоде для этого необходимо реализовать мероприятия по ускорению оборачиваемости запасов и дебиторской задолженности с помощью системы скидок, привлечения крупных клиентов, инвестиционной деятельности.

АНОО «Центр иностранных языков «Express» не использует программные продукты финансового менеджмента. Для анализа финансового состояния в компании используется продукт «Audit Expert Standard».

Считаю возможным использование в АНОО «Центр иностранных языков «Express» дополнительной программы финансового анализа, которая бы восполнила недостатки используемого продукта. Рекомендуется использовать программу «Microsoft Project».

Глава 3. Разработка основных рекомендаций по совершенствованию финансовой деятельности АНОО «Центр Иностранных Языков «Express»

.1 Разработка рекомендаций по улучшению финансового состояния

Повышение прибыли, а, следовательно, увеличение рентабельности тесно связано с такими показателями, как увеличение объема продаж услуг и снижение себестоимости. Поэтому с целью увеличения продаж услуг можно предложить привлечение дополнительных клиентов путем рекламной деятельности.

В отличие от обычных способов привлечения покупателей через средства массовой информации главным условием привлечения клиентов с помощью активных продаж услуг являются непосредственное общение менеджеров с клиентами на выставках, в магазинах, учебных центрах, прямые рассылки информации или прямые адресные обращения в Интернет.

На АНОО «Центр Иностранных Языков «Express» следует применять активные продаж услуги, которые являются в настоящее время перспективным направлением в общем направлении развития продаж услуг. Сущность активных продаж услуг состоит в сочетании интенсивного поиска и привлечении клиентов. Привлечение новых клиентов АНОО «Центр Иностранных Языков «Express» методом активных продаж услуг необходимо осуществлять при использовании следующих видов рекламы: (рисунок 3.1):

участие в специализированных выставках;

организация прямых почтовых рассылок (директ-мэйл);

размещение рекламы в специальных справочниках, тематических журналах и газетах;

привлечение новых клиентов по телефону по заранее составленной клиентской базе;

Рис. 3.1 - Основные виды рекламы, рекомендуемые к использованию на АНОО «Центр Иностранных Языков «Express»

Эффективность привлечения новых клиентов за счет прямой передачи информации по адресам через Интернет в 1,5-2 раза выше, чем через средства массовой информации, а при непосредственной раздаче менеджерами прайсов, каталогов, информационных листок и другой рекламной информации клиентам больше до 3 раз.

Таким образом, менеджеры по сбыту должны отбирать и анализировать различные варианты рекламы. При этом в их должностные обязанности должно входить следующее:

просмотр специализированной прессы, почтовой рекламы с целью отбора вариантов участия в выставках;

рассмотрение отобранных вариантов выставок: менеджеры выясняют ожидаемую посещаемость выставки; количество фирм, которые будут участвовать в выставке; собираются или нет участвовать в выставке конкуренты и т. д.

подготовка текста рекламных писем для почтовых рассылок;

анализ специализированных справочников, специализированных журналов и газет с целью выбора вариантов рекламы по следующим параметрам: тираж, регионы распространения, способы распространения, соотношение с целевой рекламной аудиторией.

Схема типовых шагов менеджера при проведении специализированных выставок представлена на рисунке 3.2.

Рис. 3.2 - Схема рекламной работы при проведении специализированной выставки

Схематично выше предложенные мероприятия можно представить следующим образом.

Окончательно вопрос о выборе выставок, в которых будет участвовать организация; почтовых рассылок; видов и способов рекламы в периодических изданиях решает директор.

Особое внимание необходимо уделить командировкам менеджеров отдела сбыта, а именно: посещение менеджерами АНОО «Центр Иностранных Языков «Express» организаций с раздачей проспектов, прайс-листов; посещение специализированных выставок и сбором различной информации о конкурентах

подготовить рекламные материалы для выставки;

организовать и контролировать рассылки приглашений на выставку;

приглашать по телефону представителей фирм региона, в котором проходит выставка;

организовать и контролировать оформление стенда организации на выставке;

организовать работу на выставочном стенде: демонстрация оборудования, сбор информации об организациях, заинтересовавшихся продукцией;

сбытовая работа по результатам специализированной выставки.

Все расходы, связанные с рекламой должны осуществляться в АНОО «Центр Иностранных Языков «Express» на основании разработанного бюджета.

Рисунок 3.3 - Схема проекта мероприятий

Следующим этапом является решение о разработке бюджета на рекламу. Предполагаема структура рекламного бюджета АНОО «Центр Иностранных Языков «Express» представлена в таблице 3.1.

Таблица 3.1 - Структура рекламного бюджета АНОО «Центр Иностранных Языков «Express»

Средства рекламы

Доля в общем рекламном бюджете

Печатные издания (газеты)

45

Реклама на щитах

30

Участия в тендерах

25

Итого

100


Обозначим, что реклама в газетах будет выходить в трех печатных изданиях четыре раза в месяц; количество рекламных щитов -5 штук; затраты на участие в тендерах будут проводится два раза в указанный по графику месяц и составлять порядка 3000 тыс. руб. за участие.

Таблица 3.2

Бюджет рекламы АНОО «Центр Иностранных Языков «Express»

Средства рекламы

Затраты на рекламную деятельность, руб.

Печатные издания

178 000

Реклама на щитах

150000

Участия в тендерах

36000

Итого

364000


Из таблицы 3.2 видно, что расходы на рекламы на планируемый период составят 364 000 руб.

Затраты, связанные с введением штатной единицы менеджера по рекламе составят:

Таблица 3.3 Ввод единицы менеджера по рекламе АНОО «Центр Иностранных Языков «Express»

Наименование

Кол-во

Оклад

Годовая сумма

менеджер по рекламе

1

9500

114000

разработка и поддержка рекламной кампании



200000

Итого



314000


Составим сводную таблицу затрат, связанных с мероприятиями, направленными на увеличение объема продаж услуг АНОО «Центр Иностранных Языков «Express».

Таблица 3.4 Сводная таблица затрат, связанных с мероприятиями, направленными на увеличение реализации АНОО «Центр Иностранных Языков «Express»

Наименование статей

Затраты, руб.

Расходы на рекламные мероприятия

364000

Ввод единицы менеджера по рекламе

314000

Итого

678000


По оценкам аналитиков прирост выручки от осуществления рекламной деятельности составит около 10%, а от деятельности менеджера по рекламе прирост выручки составит до 15%.

Далее проведем расчет эффективности от рекламной политики. Так как в связи с постоянным изменением рекламных носителей и охватом целевой аудитории делать долгосрочный прогноз эффективности рекламной кампании не представляется возможным, прогноз по данному мероприятию сделаем на следующий год.

Эффективность от рекламной политики выражается в приросте выручки и прибыли.

Прирост выручки определяется по формуле:

V =

где: Vср. дневн. - средний дневной объем выручки фирмы;

В - относительный прирост среднедневного объема выручки;

Д - количество дней учета выручки в рекламном периоде.

Таблица 3.5 Исходные данные для расчета эффективности мероприятия по совершенствованию рекламной политики на АНОО «Центр Иностранных Языков «Express»

Показатели

Ед. измер.

Значение показателя

1.Количество дней учета выручки в рекламном периоде

дней

365

2.Средний дневной объем выручки фирмы

тыс. руб.

189

3.Относительный прирост среднедневного объема выручки

%

10,0


Прирост выручки составит:

V = (189*10,0*365)/100 = 6899 тыс.руб.

Прирост прибыли составит:

П = V

-прибыль на 1 рубль выручки.

П = 6899 *0,029 = 200 тыс.руб.

. Затраты на мероприятия, связанные с совершенствованием рекламной политики = К, т.е. К- это затраты на рекламу.

Затраты на рекламу составили 364 000 руб.

Е= ∆П (чистой)/К

Где Е- экономическая эффективность мероприятий, связанных с рекламой;

Е= 200 / 364 = 0,55

Т= 1/Е=К/∆П(чистой)

Где Т - срок окупаемости затрат, связанных с рекламой

Т должно быть меньше года;

Т= 1 / 0,55 = 1,8 года

Эффективность от мероприятий, связанных с рекламной кампанией также выражается в приросте выручки и прибыли.

Прирост выручки определяется по формуле:

V =

где: Vср.дневн. - средний дневной объем выручки фирмы;

В - относительный прирост среднедневного объема выручки;

Д - количество дней учета выручки в анализируемом периоде.

Таблица 3.6 Исходные данные для расчета эффективности мероприятий, связанных с рекламой на АНОО «Центр Иностранных Языков «Express»

Показатели

Ед. изм.

Значение показателя

1.Количество дней учета выручки в анализируемом периоде

дней

365

2.Средний дневной объем выручки фирмы мероприятий, связанной с рекламой

тыс. руб.

189

3.Относительный прирост среднедневного объема выручки

%

15,0


Прирост выручки составит:

V = (189 *15,0*365)/100 = 10348 тыс.руб.

Прирост прибыли составит:

П = V-прибыль на 1 рубль выручки.

П = 10348 *0,029 = 300 тыс.руб.

. Затраты на ввод единицы менеджера по рекламе = К, т.е. К- это затраты ввод единицы менеджера по рекламе.

Затраты составили 314 000 руб.

Е= ∆П (чистой)/К

Где Е - экономическая эффективность мероприятий;

Е= 300 / 314 = 0,96

Т= 1/Е=К/∆П(чистой)

Где Т - срок окупаемости затрат на мероприятия

Т должно быть меньше года;

Т= 1 / 0,96 = 1,04 года

3.2 Рекомендации по проведению совершенствования финансового менеджмента

Стратегия дальнейшего развития АНОО "Центр Иностранных Языков "Express"" должна быть направлена на увеличение объема оказываемых услуг и укрепление финансового положения.

Для того чтобы руководство АНОО «Центр Иностранных Языков «Express» ежедневно могло иметь актуальную информацию о состоянии бюджета организации, всем сотрудникам необходимо ежедневно отражать данные о затраченном времени, чего, на первый взгляд, добиться довольно сложно.

Отсюда внедрение Microsoft Project и ее последующей интеграции с системой бюджетирования на АНОО «Центр Иностранных Языков «Express» очень своевременно.

Преподаватели вносят в Microsoft Project количество потраченных часов за истекшие сутки, а руководитель проверяет эти данные. Затем они попадают в систему бюджетирования - таким образом, имеется возможность сравнить плановые показатели с фактическими. Последние снимаются ежемесячно, и по ним рассчитываются зарплаты сотрудников. Все сотрудники аккуратно заполняют таблицу личных показателей, и эти данные используются в системе мотивации.

Внедрение системы управления проектами на базе Microsoft Project и ее последующей интеграции с системой бюджетирования перед АНОО «Центр Иностранных Языков «Express» откроет новые возможности: ускорится процесс формирования бюджетов по преподавателям и подразделениям, сократится время калькуляции плановой и фактической себестоимости проектов. Основные инвестиционные вложения в реализацию проекта включают в себя приобретение необходимого оборудования, приобретение программы Microsoft Project и обучение персонала.

Данные расходы представлены в таблице 3.7.

Таблица 3.7

Общие затраты, связанные с внедрением программы Microsoft Project

Наименование статей

Сумма в год, руб.

1. Затраты на оснащение оргтехникой

188 900

2. Приобретение и установка программы Microsoft Project

70 993

3. Обслуживание программы Microsoft Project

126 000

4. Обучение персонала

51 600

Итого затрат:

437 493


Реализация данного проекта позволит добиться увеличения объема продаж услуг на 8-10% и ежегодное снижение затрат на 2-5%.

Как видно из представленной выше таблицы, наибольшую долю в общем объеме инвестиций занимают затраты на оснащение оргтехникой, а также обслуживание программы Microsoft Project и приобретение и установка программы Microsoft Project.

Интегрированная система управления проектами и бюджетирования на базе Microsoft Office Project 2003 и «1С: Предприятие» должна дать новый импульс развитию АНОО «Центр Иностранных Языков «Express». С одной стороны, она способствует оптимизации трудозатрат внутри самой фирмы, с другой - является законченным коммерческим продуктом.

В основном эти продукты используются разными сотрудниками -преподавателям Project помогает в процессе работы, а бухгалтерия в «1С» обеспечивает работу финансовых потоков компании.

Однако на этапе передачи данных до сих пор существовал разрыв. Разработанное решение устраняет эту проблему, обеспечивая гибкий и эффективный слой бизнес-логики, объединяющий управление проектами и финансами. Использование этого решения позволит создать эффективную систему учета времени работы сотрудников и обеспечить гибкую систему поощрений. Если раньше работники не хотели брать на себя обязанности руководителей, т.к. при небольшой разнице в зарплате это требовало намного большей ответственности, то теперь ситуация изменилась - имеется возможность учитывать в формировании зарплаты все аспекты работы каждого специалиста и реально затраченное им время. Сегодня данное решение - это самостоятельный продукт, который можно внедрить.

В MS Project 2011 впервые появилось средство, в названии которого фигурирует понятие из рискового менеджмента - центр управления рисками (Risk Center).Project получил высшую оценку Gartner Group за простоту эксплуатации, легкость освоения и функциональную глубину проработки базовых элементов. Это вовсе не означает, что ранее в MS Project было невозможно управлять рисками. Просто это делалось в большей степени методическими действиями. В документации MS Project всегда было подробно описано, как планировать и проводить антирисковые мероприятия.

У Microsoft - отличное решение в области управления человеческими ресурсами. Управление материалами и финансовое управление во многом разрешено в сервисных компаниях в системах класса 1С:Предприятие и выше. Управление графиками работ и оптимизацию загрузки ресурсов в подобных компаниях MS Project способен решать на отличном уровне.

В дальнейшем можно внедрить Office Professional Plus 2013, который придет на смену Office Professional Enterprise Edition 2011 и в нем будут усилены средства управления информацией и поддержки коллективной работы. SharePoint Server 2011 предназначен для повышения качества взаимодействия сотрудников организации с клиентами, оптимизации процесса сбора информации, а также обеспечения сотрудников новыми удобными сервисами.

Для использования системы Office System рекомендуется следующая конфигурация системы: операционная система Microsoft Windows XP Professional на компьютере с процессором Pentium III и 128 МБ ОЗУ. Далее приведены минимальные требования к компьютеру для работы системы Microsoft Office System. Для некоторых приложений, входящих в пакет Microsoft Office System, должны выполняться дополнительные требования.

Таблица 3.8

Минимальные требования для работы системы Microsoft Office System

Компьютер и процессор

ПК с процессором Pentium 133 МГц или более мощным, рекомендуется Pentium III

Память

64 МБ ОЗУ (рекомендуется 128 МБ) для операционной системы, дополнительно 8 МБ ОЗУ для каждого из приложений, работающих одновременно

Жесткий диск

245 МБ свободного места на жестком диске и 115 МБ на жестком диске, на котором установлена операционная система (требования к наличию свободного места на жестком диске зависят от конфигурации, а также от компонентов, выбираемых в процессе установки)

Операционная система

Microsoft Windows 2010 с пакетом обновления 3 (SP3), Microsoft Windows XP или более поздней версии

Дисковод

Дисковод для компакт-дисков

Экран

Монитор Super VGA с разрешением 800х600 точек или более высоким, поддерживающий 256 цветов

Периферийные устройства

Мышь Microsoft Mouse, Microsoft IntelliMouse или совместимое устройство


На основании изложенного рекомендуется внедрение Microsoft Project, т.к. позволит АНОО «Центр Иностранных Языков «Express» добиться улучшения его финансового состояния.

Для оценки целесообразности внедрения проекта Microsoft Project АНОО «Центр Иностранных Языков «Express» проведен расчет, отражающий какой финансовый результат получит предприятие от реализации данного проекта. Предполагаемые затраты требуемые для реализации предлагаемого проекта рассчитаны и представлены в таблице 3.1 и составляют 437493 руб. Для внедрения данного проекта рекомендуется взять кредит сроком на 2года. в сумме 437493 руб.

Для выявления эффективности данного мероприятия составим таблицу хозяйственно-финансовых показателей.

Таблица 3.9 Таблица хозяйственно-финансовых показателей АНОО «Центр Иностранных Языков «Express» от внедрения Microsoft Project

Наименование показателей

Ед. изм.

Значение показателей



Базовый период 2013 год

Прогнозный период




2014год

2015год

2016год

1.Объем реализации - всего услуг

тыс.руб.

69003

86254

107817

134771

прирост к пред. году

тыс.руб.

25%

25%

25%

25%

2.Себестоимость услуг в том числе:

тыс.руб.

66991

79893

96019

116178

- переменные расходы

тыс.руб.

51606

64508

80634

100793

- постоянные затраты

тыс.руб.

15385

15385

15385

15385

3.Прибыль от реализации

тыс.руб.

2012

6361

11798

18593

4. Чистая прибыль

тыс.руб.

-457

4834

8966

14131

5. Погашение кредита

тыс.руб.


516

258

-

6. Ожидаемый денежный поток

тыс.руб.

-457

4318

8708

14131


Данные таблицы 3.9 свидетельствуют о прибыльности данного проекта и указывают на эффективность его внедрения.

Таблица 3.10

Исходные данные для расчета срока окупаемости инвестиций

Показатели

Период


2014год

2015год

2016год

Ожидаемый денежный поток (результат), тыс.руб.

4318

8708

14131

Коэффициент дисконтирования (при  = 0,14)0,8772

0,7695

0,6750


Дисконтированный денежный поток, тыс. руб.

3788

6701

9538


Сумма поступлений в первые три года составит:

+6701 +9538 = 20027

Однако, первоначальные инвестиции в сумме 437493 руб. еще не будут полностью возмещены.

ЧДД составит: 20027 - 473 = 19554

Индекс доходности по проекту ИД = 313456 /437= 717,3 раза

/ 437 = 44,7 раза

Показатели эффективности проекта свидетельствует о возможности принятия данного проекта для реализации.

При стартовом объеме инвестиций в размере 437493 руб. и годовом денежном потоке в сумме 20027 тыс.руб. срок окупаемости с учетом дисконтирования составит:

Ток = З/Р

где З - величина инвестиций, тыс.руб.

Р - годовой денежный поток (чистый доход), тыс.руб.

Ток = 437 / 20027= 0,02 года

От внедрения проекта и приобретения пакета управления проектами Microsoft Project 2011 предполагается увеличение объема продаж услуг до 25% и снижение затрат на 5-10% за счет возможности ускорения процесса формирования бюджетов по сотрудникам и подразделениям, сокращения время на калькуляции плановой и фактической себестоимости проектов.

Внедрение также позволит добиться следующих результатов:

- прозрачность хода реализации проектов, наличие оперативной актуальной информации о состоянии проектов компании;

возможность обоснованного принятия управленческих решений о запуске, заморозке проектов, перераспределении ресурсов между проектами;

контролируемость и предсказуемость хода реализации проектов в случае их изменения - за счет соответствующих средств анализа и моделирования;

снижение рисков срыва сроков проектов.

Далее составим таблицу основных финансово-экономических показателей деятельности до и после внедрения рекламных мероприятий.

Таблица 3.11 Основные финансово-экономические показатели деятельности до и после внедрения рекламных мероприятий на АНОО «Центр Иностранных Языков «Express»

Показатели

До внедрения мероприятий

После внедрения мероприятий (прогноз)

Абсолютное отклонение, + -

Темп роста, %

1 Выручка от продаж услуг, тыс. руб.

69003

86250

17247

125,0

Себестоимость продаж услуг

66991

83738

16747

125,0

Валовая прибыль

2012

2512

500

125,0

Прибыль от продаж услуг

2012

2512

500

125,0

Чистая прибыль

-457

1909

2366

417,7

Рентабельность продаж услуг, %

2,9

2,9

-

100,0


На основании данных таблицы 3.7 можно сделать следующие выводы:

прирост выручки составил 17247 тыс.руб. или возросла на 125,0%;

прирост прибыли от продаж услуг составил 500 тыс.руб. или возросла на 125,0%;

рентабельности осталась на прежнем уровне.

Составим сводную таблицу финансово-экономических показателей деятельности до и после внедрения мероприятий.

Таблица 3.12 Сводная таблица основных финансово-экономических показателей деятельности до и после внедрения мероприятий на АНОО «Центр Иностранных Языков «Express»

Показатели

До внедрения мероприятий

После внедрения мероприятий (прогноз)

Абсолютное отклонение, + -

Темп роста, %

1 Выручка от продаж услуг, тыс. руб.

69003

103501

34498

150,0

Себестоимость продаж услуг

66991

96640

29649

144,3

Валовая прибыль

2012

6861

4849

241,0

Прибыль от продаж услуг

2012

6861

4849

241,0

Чистая прибыль

-457

5214

5668

12,4раза

Рентабельность продаж услуг, %

6,6

3,7

227,6


На основании данных таблицы 3.12 можно сделать следующие выводы:

прирост выручки составил 34498 тыс.руб. или возросла на 150,0%;

прирост прибыли от продаж услуг составил 4849 тыс.руб. или возросла на 241,0%;

прирост рентабельности составил 3,7% или возросла на 227,6%.

Особенно наглядно изменение финансовых показателей от внедрения мероприятий представлено на рисунке 3.4.

Рис. 3.4 - Динамика финансовых показателей от внедрения мероприятий

Рассчитаем показатели рентабельности с учетом проведения мероприятий по увеличению объема продаж услуг.

Рентабельность продукции равна:

Рп до внед. = 2012 / 69003 *100% = 2,9

Рп проект = 6861 / 103501 *100%= 6,6

Рентабельность основной деятельности:

Рд до внед. = 2012/ 66991 *100% = 3,0

Рд проект = 6861 / 96640*100% = 7,1

Рентабельность совокупного капитала:

Рск до внед. = 2012 / 107921 *100% = 1,9

Рск проект = 6861 / 107921*100% = 6,4

Результаты расчетов представим в таблице 3.13.

Таблица 3.13 Динамика показателей рентабельности АНОО «Центр Иностранных Языков «Express»

Показатели

Порядок расчета

До внедрения мероприятий

После внедрения мероприятий (прогноз)

Темп роста, %

1

2

3

4

5

Рентабельность продукции, %

Валовая прибыль / Выручка от реализации

2,9

6,6

227,6

Рентабельность основной деятельности %

Прибыль от продаж услуги/Себестоимость реализованной продукции

3,0

7,1

236,7

Рентабельность совокупного капитала %

Чистый доход/Итог баланса

1,9

6,4

336,8

Затраты на 1 руб. реализованной продукции

Себестоимость реализованной продукции/Выручка от реализации

0,97

0,93

95,9


Показатели рентабельности АНОО «Центр Иностранных Языков «Express» в проектном периоде значительно возросли. Оптимальным считается показатель рентабельности 15-20% (для основной деятельности). В данном случае данный показатель не достиг оптимального уровня, но значительно возрос и составил 6,6%.

Затраты на 1 руб. реализованной продукции также снизились на 95,9%, что положительно характеризует данный проект.

Наглядно динамика показателей рентабельности АНОО «Центр Иностранных Языков «Express» имеет следующий вид.

Рис. 3.5 - Динамика показателей рентабельности АНОО «Центр Иностранных Языков «Express» до и после внедрения мероприятий

Для улучшения финансового состояния АНОО «Центр Иностранных Языков «Express» были предложены следующие мероприятия:

внедрение системы Microsoft Project

разработка рекламных мероприятий;

ввод в штат единицы менеджера по рекламе, на которого будут возложены обязанности, связанные с разработкой и поддержкой рекламной кампании.

На осуществление данных мероприятий предполагалось затратить 678 тыс.руб.

В результате проведения мероприятий доходы были значительно увеличены, а окупаемость составила менее года. Все эти данные указывают на эффективность предложенных мероприятий.

ЗАКЛЮЧЕНИЕ

Итак, объект исследования - Автономная некоммерческая организация «Центр иностранных языков «Express».

Наименование реализуемых услуг:

услуги перевода с/на иностранные языки и языки стран СНГ;

перевод документов с/на иностранные языки и языки стран СНГ для получения гражданства, вида на жительство и т.д.;

предоставление услуг устных переводов;

групповое и индивидуальное обучение иностранным языкам физических лиц и персонала компаний;

программа международного студенческого обмена.

Финансовый анализ АНОО «Центр иностранных языков «Express» был проведен на основе данных бухгалтерского баланса и отчета о прибылях и убытках.

Анализ структуры бухгалтерского баланса проведен за период 31.12.2012 - 31.12.2013 гг.

Далее был проведен анализ основных статей отчета о прибылях и убытках АНОО «Центр иностранных языков «Express».

Подводя итог, посчитаем общее влияние всех перечисленных факторов:

влияние объема продаж +89772,9 рублей;

влияние спектра реализованных услуг +400078,691 рублей;

влияние себестоимости -1731468,826 рублей;

влияние величины коммерческих расходов -662794,3 рублей;

влияние величины управленческих расходов -284054,7 рублей;

влияние цен реализации +2347398 рублей;

общее влияние факторов +158931,8 рублей.

Были проаналазированы финансовые коэффициенты АНОО «Центр иностранных языков «Express»:

коэффициент рентабельности продаж снизился на 0,1, что свидетельствует о снижении уровня спроса на услуги организации;

коэффициент рентабельности всего капитала предприятия увеличился с 0,06 до 0,08, что говорит о росте эффективности использования имущества организации;

увеличились все коэффициенты кроме коэффициента среднего срока оборота дебиторской задолженности и коэффициента среднего срока оборота кредиторской задолженности, что свидетельствует о сложностях организации при погашении задолженности.

Таким образом, финансовая стратегия АНОО «Центр иностранных языков «Express» направлена на достижение стабильного финансового положения за счет инвестиций, заимствований и общих финансовых мер стабилизации.

Финансовый менеджмент в АНОО «Центр иностранных языков «Express» состоит из:

разработки плана денежных поступлений и выплат;

оперативного финансового планирования.

На основе изучения деятельности по финансовому менеджменту в организации был осуществлен SWOT-анализ.

Прогнозирование финансовых результатов деятельности разрабатывается на основании системы бюджетов, являющейся инструментом планирования, контроля и оценки эффективности финансово-хозяйственной деятельности организации.

За последние полгода анализируемого периода времени поступления превышали над платежами, что означает, что финансовый менеджмент в АНОО «Центр иностранных языков «Express» осуществляется правильно и своевременно.

АНОО «Центр иностранных языков «Express» осуществляет выплату следующих видов налогов:

налог на прибыль;

налог на добавленную стоимость;

налог на имущество организаций;

транспортный налог;

земельный налог.

Выплаты осуществляются в соответствии с налоговым календарем на текущий год.

Таким образом, финансовая политика АНОО «Центр иностранных языков «Express» в долгосрочном варианте должна быть направлена на укрепление его конкурентоспособности и увеличения собственного капитала. В краткосрочном периоде для этого необходимо реализовать мероприятия по ускорению оборачиваемости запасов и дебиторской задолженности с помощью системы скидок, привлечения крупных клиентов, инвестиционной деятельности.

АНОО «Центр иностранных языков «Express» не использует программные продукты финансового планирования. Для анализа финансового состояния в компании используется продукт «Audit Expert Standard».

Считаем возможным использование в АНОО «Центр иностранных языков «Express» дополнительной программы финансового анализа, которая бы восполнила недостатки используемого продукта. Рекомендуется использовать программу «MS Project».

Стратегия дальнейшего развития АНОО "ЦЕНТР ИНОСТРАННЫХ ЯЗЫКОВ "EXPRESS"" должна быть направлена на увеличение объема продаж и укрепление финансового положения.

Было предложено:

- внедрение Microsoft Project и ее последующей интеграции с системой бюджетирования на АНОО "ЦЕНТР ИНОСТРАННЫХ ЯЗЫКОВ "EXPRESS"" очень своевременно;

проведение рекламной кампании.

В результате проведения мероприятий будут получены следующие результаты:

- прирост выручки составил 34498 тыс.руб. или возросла на 150,0%;

прирост прибыли от продаж составил 4849 тыс.руб. или возросла на 241,0%;

прирост рентабельности составил 3,7% или возросла на 227,6%.

Таким образом, задачи дипломной работы выполнены, цель достигнута.

СПИСОК ИСТОЧНИКОВ

1.     «Конституция Российской Федерации» (принята всенародным голосованием 12.12.1993) (с учетом поправок, внесенных Законами РФ о поправках к Конституции РФ от 30.12.2008 № 6-ФКЗ, от 30.12.2008 № 7-ФКЗ)

2.     «Гражданский кодекс Российской Федерации (часть вторая)» от 26.01.1996 № 14-ФЗ (ред. от 30.11.2011) (с изм. и доп., вступающими в силу с 01.01.2012)

.       Адамов Н. Основы финансового планирования // Финансовая газета. − 2013. − № 9. − С. 14-16.

.       Ассель Г. Маркетинг: принципы и стратегия М.: Илизиум, 2013. - 803 с.

.       Балабанов И.Т. Финансовый анализ и планирование хозяйствующего субъекта. - 2-е изд. - М.: Финансы и статистика, 2013 - 206 с.

.       Бандурин А.В., Басалай С.И., Ли И.А. Проблемы оперативного управления активами корпораций. -М.: ТДДС Столица 8, 2013. - 264 с.

.       Бергольд М. Финансовый анализ и планирование. − СПб: Питер, 2013. − 374 с.

.       Бернар Коласс. Управление финансовой деятельностью предприятия. - М.: Финансы, 2013. - 489 с.

.       Бернстайн Л.А. Анализ финансовой отчетности: теория, практика и интерпретация: Пер. с англ. - М.: Финансы и статистика, 2013. - 391с.

.       Бертонеш М., Найт Р. Управление денежными потоками. - СПб.: Питер+, 2012. - 567с.

.       Бланк И.А. Основы финансового менеджмента. Т.2. - К: Ника-Центр. 2013. - 411 с.

.       Бланк И.А. Управление денежными потоками. - К.: Ника-Центр, 2013. - 736 с.

.       Бланк И.А. Экономический анализ инвестиционных проектов. - М.: Банки и биржи, 2013. - 351с.

.       Бобылева А.З. Финансовое оздоровление фирмы: Теория и практика: Учебн. пособие. - 4-е изд., испр. - М.: Дело, 2012. - 328 с.

.       Бочаров В.В. Управление денежным оборотом предприятия и корпораций. - М.: Финансы и статистика, 2013. - 296 с.

.       Бочаров В.В. Комплексный финансовый анализ. - СПб и др.: Питер, 2005 - с.128

.       Бухалков М.И. Внутрифирменное планирование: Учебник. - 2-е изд. - М.: ИНФРА-М, 2013. - 293с.

.        Бухгалтерская отчетность АНОО "ЦЕНТР ИНОСТРАННЫХ ЯЗЫКОВ "EXPRESS"" за 2010-2013 года.

.       Ван Хорн Дж.К. Основы управления финансами. - М.: Финансы и статистика, 2013. - 275 с.

.       Виссема Х. Менеджмент в подразделениях фирмы. - М.: Инфра-М, 2013. 493с.

.       Волкова О.Н. Бюджетирование и финансовый контроль в коммерческих организациях. - М.: Финансы, 2013. - 428с.

.       Горбунов А. Управление финансовыми потоками. - М.: Глобус, 2012. - 216 с.

.       Донцова Л.В. Анализ финансовой отчетности: учебник. - М.: Дело, 2013. - 112с.

.       Карлин Т.Р., Макмин А.Р. Анализ финансовых отчетов (на основе

GAAP): Пер. с англ. - М.: Инфра-М, 2013. - 671 с.

24.   Ковалев В.В. Управление финансами. - М.: Феникс, 2013. - 255 с.

.       Ковалев В.В., Волкова О.Н. Анализ хозяйственной деятельности

предприятия. - М.: ПБОЮЛ, 2013. - 391 с.

.       Ковалева А.М., Лапуста М.Г., Скамай Л.Г. Финансы фирмы. - М.: Центр экономики и маркетинга, 2013. - 362 с.

.       Комягин Д.Л. Бюджет как элемент стратегического планирования // Финансовое право. - 2013. - № 9. - С. 11-17.

.       Липсиц И.В., Коссов В.У. Инновационный проект: методы подготовки и анализа. - М.: Век, 2013. - 438с.

.       Мэскон М. и др. Основы менеджмента. - М.: Дело, 2013. - 482с.

.       Павлова Л.Н. Финансы предприятия. -М.: ЮНИТИ, 2013. - 399 с.

.       Родионов С.Т. Экономика предприятия и отрасли промышлен¬ности. 4-е изд., перераб. и доп. - Ростов н/Д: Феникс, 2013. - 532 с.

.       Савицкая Г.В. Анализ хозяйственной деятельности предприятия. - М.: Юнити, 2013. - 705 с.

.       Салтыкова Г.А. Финансовое планирование и анализ денежных потоков предприятия. - СПб.: СПбГУЭФ, 2013. - 482 с.

.       Санталайнен Т., Поренне П. Управление по результатам. - М.: Валирис, 2013. - 682 с.

.       Сорокина Е.М. Анализ денежных потоков предприятия. - СПб.: СПбГУЭФ, 2013. - 284 с.

.       Справочник финансиста предприятия. - М.: Инфра-М, 2013. - 493 с.

.       Станиславчик Е. Нормативы финансового планирования // Финансовый вестник. - 2013. - № 10. - С. 42-44.

.       Станиславчик Е. Основы финансового планирования в организация // Финансовая газета. - 2013 - № 48. - С. 60-63.

.       Стоянова Е.С. Финансовый менеджмент. - М.: Перо, 2013. - 192 с.

.       Тимбулатов С.Г. Экономика предприятия. - СПб: Прогресс, 2013. 657 с.

.       Трейси Д. Менеджмент с точки зрения здравого смысла. - М.: Автор, 2013. - 355 с.

.       Тумасова В.И. Переход на новый уровень финансового менеджмента. - Система Гарант, 2013.

.       Туровец О.Г., Родионова В.Н. Организация производства на предприятии (Электронный ресурс). -Мультимедийное учебное пособие - М.: ИНФРА-М, 2013.-2 электрон. опт. диск (CD-ROM).

.       Холт Р.Н. Основы финансового менеджмента. - М.: Академический проект, 2013. - 783 с.

.       Хотяшева О.М. Менеджмент. - Спб.: Питер, 2013. - 287 с.

.       Хруцкий В.Е., Гамаюнов В.В. Внутрифирменное бюджетирование: Настольная книга по постановке финансового планирования. - 3-е изд., перераб. и доп. - М.: Финансы и статистика, 2013. - 266 с.

Похожие работы на - Организация финансового менеджмента на предприятии АНОО 'Центр Иностранных Языков 'Express'

 

Не нашли материал для своей работы?
Поможем написать уникальную работу
Без плагиата!
Без нейросетей!