Сооружение наземного участка линейной части магистрального газопровода диаметром 1220 мм в условиях пересеченной местности
КУРСОВОЙ
ПРОЕКТ
Сооружение и
ремонт газонефтепроводов и газонефтехранилищ
Тема:
Сооружение наземного участка линейной части магистрального газопровода
диаметром 1220 мм в условиях пересеченной местности
Аннотация
В данной работе рассмотрены вопросы комплексной механизации строительства
участка нефтепровода. Выполнены механические расчеты по строительству
газопровода в условиях пересеченной местности, произведен выбор и обоснование
используемых строительных, транспортных машин и оборудования, расчеты их
производительности. Разработаны организация и технологические схемы проведения
работ.
Страниц 42, таблиц 12, рисунков 18
строительство механизация газопровод нефтепровод
Содержание
Аннотация
Введение
1. Исходные данные
2. Механические расчеты газопровода
2.1 Расчет толщины стенки газопровода
2.2 Проверка трубопровода на прочность
2.3 Проверка газопровода на деформацию
2.4 Проверка трубопровода на устойчивость в земляной насыпи
2.5 Расчет балочного перехода без компенсации продольных
деформаций
3. Определение объема земляных работ
3.1 Срезка растительного слоя
3.2 Объем грунта для слоя подсыпки
3.3 Объем грунта по созданию насыпи
4. Выбор комплекса землеройно-транспортных машин
4.1 Выбор бульдозеров
4.2 Выбор погрузчика для песка
4.3 Подбор автосамосвалов для доставки песка
5. Технология производства земляных работ
5.1 Срезка растительного слоя
5.2 Устройство слоя подсыпки трубопровода
5.3 Создание насыпи, планировка и рекультивация земель
6. Сварочно-монтажные работы
6.1 Доставка труб
6.2 Сборка труб в нитку
6.3 Зачистка кромок под сварку
6.4 Подогрев и термическая обработка стыков труб
6.5 Сборка стыков труб под сварку
6.6 Стыковое соединение труб
6.7 Укладка трубопровода
7. Обзор выбранного оборудования
8. Очистка полости и гидравлическое испытание трубопровода
9. Охрана труда
Заключение
Список используемой литературы
Введение
Трубопровод - сооружение, состоящее из плотно соединенных между собой
труб, деталей трубопроводов, запорно-регулирующей арматуры,
контрольно-измерительных приборов, средств автоматики, опор и подвесок,
крепежных деталей, прокладок, материалов и деталей тепловой и
противокоррозионной изоляции и предназначенное для транспортировки жидкостей,
твердых продуктов (нефтепродуктов) или газов.
Современные экономические условия выявили ряд проблем отрасли
строительства предприятий нефтяной и газовой промышленности: ускорение темпов,
ликвидация сезонности и повышение качества трубопроводного строительства.
Линейное строительство, к которому относится и строительство
трубопроводов, обладает одной важной особенностью - разнообразием и
изменчивостью характера местности вдоль трассы трубопроводов, требующих
применения различных технологических схем и технологий строительства. В данном
курсовом проекте будет рассмотрено строительство линейной части магистрального
газопровода в условиях пересеченной местности.
Таким образом, основными задачами курсового проектирования становятся:
разработка технологической схемы строительства газопровода через овраг и выбор
оптимального решения по организации перехода, обоснование используемых
строительных, транспортных машин и оборудования, а также организация проведения
работ.
1. Исходные
данные
1. Газопровод,
;
. Давление 7 МПа;
. Плотность перекачиваемого газа
;
. Протяженность трубопровода 25 км;
. Трубопровод III категории;
. Грунт - песок гравелистый:
ü угол внутреннего трения грунта,
;
ü сцепление грунта,
;
ü удельный вес грунта
;
7. Время строительства - лето;
. Работы выполняются посменно, смена 8 часов.
2.
Механические расчеты газопровода
2.1 Расчет
толщины стенки газопровода
В зависимости от наружного диаметра газопровода
выбираем марку стали и ее параметры:
· ОАО "Выксунский металлургический завод". ТУ
1381-012-05757848-2005;
· Марка стали выбирается изготовителем;
· Временное сопротивление разрыву
;
· Предел текучести
;
· Коэффициент надежности по материалу
.
Расчетное сопротивление металла найдем по формуле
где
нормативное сопротивление материала численно равное
;
коэффициент условий работы;
коэффициент надежности по материалу;
коэффициент надежности по назначению.
Расчетная толщина стенки трубопровода рассчитывается по формуле
где
коэффициент нагрузки по давлению;
нормативное давление в трубопроводе, МПа;
наружный диаметр трубопровода, мм.
Для расчета наземных трубопроводов в условиях пересеченной местности
можно принять
.
Определяем продольное осевое сжимающее напряжение:
где
коэффициент надежности по температуре;
коэффициент линейного расширения стали,
;
модуль Юнга,
;
коэффициент поперечной деформации (коэффициент Пуассона).
Так как значение
отрицательно, рассчитываем значение
и находим новое значение толщины
стенки.
Коэффициент, учитывающий двухосное напряженное состояние труб находим по
формуле
Толщина стенки с учетом
:
Округляем значение
до ближайшего большего, следовательно, толщина стенки
трубопровода принимается равной 18 мм. Тогда внутренний диаметр трубопровода
равен
2.2 Проверка
трубопровода на прочность
Проверка трубопровода на прочность проводится из условия:
где
коэффициент, учитывающий двухосное напряженное состояние
металла труб.
· Если
, то
;
· При
, коэффициент
находим по формуле
где
кольцевые напряжения в стене трубы от расчетного внутреннего
давления,
рассчитывается по формуле
1.
условие выполняется;
2.
условие выполняется.
Так как оба условия выполняются, следовательно, данная толщина стенки
обеспечивает прочность трубопровода.
2.3 Проверка
газопровода на деформацию
Проверка трубопровода на деформацию проводится из условия:
где
коэффициент, учитывающий двухосное напряженное состояние
металла труб;
нормативное сопротивление материала,
;
кольцевые напряжения в стенках трубопровода от нормативного
внутреннего давления, МПа;
максимальные продольные напряжения в трубопроводе от
нормативных нагрузок и воздействий, рассчитываемые по формуле
где
минимальный радиус изгиба трубопровода,
.
· Если
, то
;
· При
, коэффициент
находим по формуле
где
находится по формуле
1.
условие выполняется;
2.
условие выполняется;
3.
условие выполняется;
4.
условие выполняется;
5.
условие выполняется.
Трубопровод устойчив к деформациям, так как все условия выполняются.
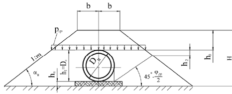
2.4 Проверка
трубопровода на устойчивость в земляной насыпи
Рисунок 1. Расчетная схема проверки на общую устойчивость трубопровода в
насыпи:
где
угол откоса насыпи, учитывая, что по СНиП 2.05.06-85* откос
должен быть не менее 1:1,25,
, для сыпучих грунтов
;
высота слоя засыпки над верхней образующей трубопровода,
;
расстояние от подошвы насыпи до верхней образующей
трубопровода, численно равное внешнему диаметру трубопровода, м;
высота слоя подсыпки,
;
половина ширины насыпи поверху, м;
давление грунта в насыпи на уровне верхней образующей
трубопровода, Па.
угол внутреннего трения грунта, градус.
Грунт - песок гравелистый: угол внутреннего трения грунта,
; сцепление грунта,
; удельный вес грунта
.
Проверка трубопровода на устойчивость в земляной насыпи проводится из
условия:
где
эквивалентное продольное осевое усилие сжатия в
прямолинейном или упругоизогнутом трубопроводе, возникающее от действия двух
расчетных нагрузок и воздействий: внутреннего давления и положительного
перепада температур;
продольное критическое усилие, при котором наступает потеря
продольной устойчивости трубопровода.
Эквивалентное продольное осевое усилие сжатия определяется по формуле
где
площадь сечения трубопровода, м2.
Продольное критическое усилие:
где
сопротивление грунта продольным перемещениям отрезка
трубопровода единичной длины, Па;
сопротивление горизонтальным перемещениям трубы;
осевой момент инерции, м4.
Половина ширины насыпи поверху:
где
половина ширины насыпи на уровне верхней образующей
трубопровода, определяется по формуле
Давление грунта в насыпи на уровне верхней образующей трубопровода
определяется по формуле
где
коэффициент надежности по нагрузке от веса грунта.
Сопротивление грунта продольным перемещениям находим по формуле
Размер
подсчитывается по формуле
Сопротивление горизонтальным перемещениям трубы:
где
предельное сопротивление грунта насыпи поперечному
перемещению трубопровода;
сила трения трубы о грунт при горизонтальном поперечном
перемещении трубопровода.
Предельное сопротивление грунта насыпи поперечному перемещению
трубопровода определяется по формуле
Для несвязных грунтов, таких как песок, с
, значение
должно быть уменьшено на величину
, которое определяется по формуле
Сила трения трубы о грунт при горизонтальном поперечном перемещении
трубопровода:
где
собственный вес трубопровода,
.
где
нагрузка от собственного веса металла трубы,
;
нагрузка от собственного веса изоляции,
;
нагрузка от собственного веса перекачиваемого продукта,
.
Нагрузка от собственного веса металла трубы:
где
удельный вес металла,
.
Нагрузка от собственного веса изоляции:
В качестве изоляции выбираем двухслойное оберточное покрытие ПВХ.
где
коэффициент, учитывающий величину нахлеста, при двухслойной
изоляции (обертке),
;
толщина изоляционного покрытия, м;
плотность изоляционного покрытия,
.
Нагрузка от собственного веса перекачиваемого продукта:
где
плотность перекачиваемого продукта,
.
Тогда
Площадь поперечного сечения трубопровода найдем по формуле
Осевой момент инерции:
Рассчитываем продольное критическое усилие по формуле
Эквивалентное продольное осевое усилие сжатия рассчитаем по формуле
Проверка трубопровода на устойчивость в земляной насыпи:
условие выполняется.
Трубопровод в земляной насыпи устойчив, так как условие устойчивости
выполняется.
2.5 Расчет
балочного перехода без компенсации продольных деформаций
Рисунок 2. Однопролетный балочный переход без компенсации продольных
деформаций:
а - конструкция перехода;
б - расчетная схема;
1 - трубопровод;
2 - овраг;
3 -опорная плита.
Максимальная длина перекрываемого пролета определяется по формуле
где
осевой момент инерции сечения трубопровода, м3;
расчетное сопротивление трубной стали, Па;
расчетные продольные напряжения от действия внутреннего давления,
Па.
Выбираем длину пролета 50 метров.
Осевой момент инерции сечения трубопровода определяется формулой
Расчетные продольные напряжения от действия внутреннего давления:
Расчетное сопротивление трубной стали найдем по формуле
где
коэффициент надежности по материалу.
Соответствующая стрела прогиба, вызванная расчетной нагрузкой
определяется по формуле
Продольное усилие, действующее в трубопроводе
Критическая (Эйлерова) сила
где
свободная длина рассматриваемого перехода; при одном пролете
.
Коэффициент
определяется по формуле
Фактическая стрела прогиба
Изгибающий момент в наиболее напряженном опорном сечении от действия
расчетной нагрузки
Изгибающий момент от действия продольной силы
Суммарный изгибающий момент рассчитываем по формуле
При отрицательном значении усилия
момент
представляет
по величине сумму
, при положительном значении - разность этих моментов.
Продольные напряжения
При
величину изгибающего момента следует брать по абсолютной
величине.
Проверка прочности трубопровода в продольном направлении проводится из
условия:
где
коэффициент, учитывающий двухосное напряженное состояние
трубопровода.
· Если
, то
;
· При
, коэффициент
находим по формуле
В соответствии со СНиП 2.05.06-85* допускается в выражении
вместо коэффициента
принимать коэффициент
.
1.
- условие выполняется;
2.
- условие выполняется;
3.
- условие выполняется;
4.
- условие выполняется;
Так как все условия прочности трубопровода в продольном направлении выполняются,
следовательно, целесообразно соорудить балочный переход без компенсации
продольных деформаций через овраг длиной 50 м.
3.
Определение объема земляных работ
3.1 Срезка
растительного слоя
Размеры площадки для строительства одной нитки нефтепровода (рисунок 3)
определяются как ширина полосы отвода для одиночного нефтепровода диаметром
.
По СН 452-73 "Нормы отвода земель для магистральных
трубопроводов" принимается ширина срезаемого слоя земли 42 м.
По СП 34-112-97 "Строительство магистральных и промысловых
трубопроводов. Комплексная технология и организация" принимается глубина
срезаемого слоя земли 15 см.
Рисунок 3. Предварительная планировка строительной площадки.
Расчет объемов работ по срезке растительного слоя находим по формуле
где
ширина срезаемого слоя, м;
длина строительной площадки (трубопровода), м;
глубина срезаемого слоя, м.
3.2 Объем
грунта для слоя подсыпки
Объем грунта для слоя подсыпки определим по формуле:
где
ширина слоя подсыпки, м;
длина слоя подсыпки (трубопровода), м;
высота слоя подсыпки, м.
3.3 Объем
грунта по созданию насыпи
Рисунок 4. Определение объемов грунта по созданию насыпи.
Объем грунта, необходимого для засыпки наземного трубопровода найдем по
формуле
где
полный объем насыпи, равный объему четырехугольной призмы,
;
объем слоя подсыпки,
;
объем трубопровода, равный объему цилиндра,
.
Найдем полный объем насыпи, равный объему четырехугольной призмы по
формуле
где
длина строительной площадки (трубопровода), м;
площадь основания трапеции, находится по формуле
где
верхнее основание трапеции,
;
высота
трапеции, м;
нижнее основание трапеции, м.
Для того чтобы найти нижнее основание трапеции рассмотрим треугольник
В данном треугольнике сторону
найдем ее по формуле
тогда длина нижнего основания
равна
.
Объем трубопровода найдем по формуле
где
радиус трубопровода, м.
Объем грунта, необходимого для засыпки наземного трубопровода:
4. Выбор
комплекса землеройно-транспортных машин
4.1 Выбор
бульдозеров
Для выполнения работ, связанных со снятием растительного слоя,
планировкой, засыпкой и рекультивацией земель выбирается бульдозер марки
ДЗ-109Б ОАО "Челябинский тракторный завод".
Рисунок 5. Общий вид бульдозера марки ДЗ-109Б.
Технические характеристики бульдозера марки ДЗ-109Б:
· Тип базового трактора Т-130МГ-1;
· Мощность двигателя 118 кВт;
· Скорость движения:
ü При прямом ходе 3,2 - 10,5 км/ч;
ü При обратном ходе 4,4 - 6,1 км/ч;
· Размеры отвала:
ü Ширина 4120 мм;
ü Высота 1140 мм.
Продолжительность рабочего цикла бульдозера найдем по формуле
где
длина пути соответственно при резании и перемещении породы,
м;
скорость бульдозера при резании,
;
скорость бульдозера при перемещении породы,
;
скорость бульдозера при обратном ходе,
;
время на переключение передачи,
около 5 с;
время опускания отвала,
;
время поворота бульдозера,
.
Часовая техническая производительность бульдозера при выемке и
перемещении породы определяется по формуле
где
коэффициент изменения производительности бульдозера,
учитывающий уклон и расстояние перемещения породы,
;
продолжительность рабочего цикла бульдозера, с;
коэффициент разрыхления породы, для песка
;
объем породы, перемещаемый бульдозером за один цикл, м3.
Объем породы, перемещаемый бульдозером за один цикл (объем призмы
волочения), можно определить с достаточной точностью как объем треугольной
призмы
где
высота отвала, м;
ширина отвала, м;
ширина призмы волочения, определяемая формулой
угол откоса породы в призме волочения.
Сменную производительность бульдозера найдем по формуле
где
продолжительность рабочей смены,
;
коэффициент использования бульдозера во времени,
.
Определение числа смен:
Выбираем пять бульдозеров марки ДЗ-109Б, которые выполнят работу за 14
смен.
.2 Выбор
погрузчика для песка
Для добычи песка в песчаном карьере используются два фронтальных
погрузчика Амкодор 342Р.

Таблица 1. Технические характеристики фронтального погрузчика Амкодор
342Р.
|
Грузоподъемность, кг
|
3200
|
|
Двигатель
|
Д-260.1
|
|
Эксплуатационная мощность, кВт (л.с.)
|
109 (148)
|
|
Шины
|
66-43.00
|
|
Ширина, мм
|
3620
|
|
Высота, мм
|
3450
|
|
Транспортная скорость, км/ч
|
0...36,0
|
|
Номинальная вместимость ковша, м3
|
4,2
|
|
Ширина ковша, мм
|
2700
|
|
Высота разгрузки, мм
|
3400
|
|
Вылет, мм
|
1365
|
|
Длина, мм
|
8200
|
|
Эксплуатационная масса, кг
|
12300
|
Объем песка в плотном теле в ковше рассчитывается по формуле
где
принятый объем ковша погрузчика, м3;
коэффициент наполнения ковша,
;
коэффициент разрыхления породы, для песка
.
Масса песка в ковше погрузчика рассчитывается по формуле
где
плотность песка при естественном залегании,
.
Часовая техническая производительность погрузчика рассчитывается по формуле
где
продолжительность одного цикла погрузки, с.
Сменную производительность погрузчика найдем по формуле
где
продолжительность рабочей смены,
;
коэффициент использования погрузчика во времени,
.
4.3 Подбор
автосамосвалов для доставки песка
Для дальности транспортирования 7 км (расстояние от трассы трубопровода
до карьера добычи песка) выбираем автосамосвал КамАЗ-55111 грузоподъемностью 13 тонн.
Рисунок 7. Общий вид автосамосвала КамАЗ-55111.
Таблица 2. Технические характеристики автосамосвала КамАЗ-55111.
|
Снаряженная масса а/м, кг
|
9250
|
|
Грузоподъемность а/м, кг
|
13000
|
|
Полная масса, кг
|
22400
|
|
Объем платформы, куб. м
|
6,6
|
|
Угол подъема платформы, град
|
60
|
|
Направление разгрузки
|
назад
|
|
Максимальная скорость, не менее, км/ч
|
90
|
|
Угол преодол. подъема, не менее, %
|
25
|
Определяем число ковшей погрузчика, необходимых для загрузки самосвала по
формуле
где
паспортная грузоподъемность автосамосвала, т;
масса песка в ковше погрузчика, т.
Объем песка в плотном теле, загружаемый в кузов самосвала рассчитываем по
формуле
где
объем песка в плотном теле в ковше, м3.
Продолжительность погрузки на автосамосвал рассчитываем по формуле
где
продолжительность одного цикла погрузки, мин;
коэффициент, учитывающий отличие теоретической длительности
цикла от фактической,
.
Время движения автосамосвала в обоих направлениях между конечными
пунктами найдем по формуле
где
время движения автосамосвала с грузом, мин;
время движения порожнего автосамосвала, мин;
скорость движения автосамосвала с грузом, км/ч;
скорость движения порожнего автосамосвала, км/ч.
Определение времени рейса автосамосвала рассчитываем по формуле
где
время разгрузки автосамосвала на приемном пункте,
;
время маневров при загрузке и разгрузке,
.
Техническая производительность автосамосвала КамАЗ-55111, рассчитывается
по формуле
где
продолжительность рабочей смены,
;
коэффициент использования грузоподъемности:
где
масса перемещаемого груза, т.
Сменная эксплуатационная производительность автосамосвала КамАЗ-55111,
рассчитываем по формуле
где
коэффициент использования автосамосвала во времени,
.
Сменная эксплуатационная объёмная производительность автосамосвала
КамАЗ-55111, м3 определяется по формуле
Число рабочих смен одного автосамосвала КамАЗ-55111 рассчитывается по
формуле
где
объем песка, необходимый для укладки трубопровода, равный
Таким образом, выбираем двенадцать автосамосвалов марки КамАЗ-55111,
которые выполнят работу за 136 смен, то есть за 17 рабочих дней.
5. Технология
производства земляных работ
5.1 Срезка
растительного слоя
Процесс срезки растительного слоя производится пятью бульдозерами типа
ДЗ-109Б (Рисунок 8) на базе трактора Т-130МГ-1, с гидравлическим приводом
неповоротного отвала. Набор грунта осуществляется прямоугольным способом на
глубину зарезания 150 мм. Схема движения бульдозера - полоса рядом с полосой.
Рисунок 8. Схема срезания плодородного слоя почвы бульдозерами типа
ДЗ-109Б.
5.2
Устройство слоя подсыпки трубопровода
Устройство слоя подсыпки трубопровода производится бригадой землекопов на
высоту 0,3 м. Песок доставляется из карьера самосвалами КамАЗ-55111.
5.3 Создание
насыпи, планировка и рекультивация земель
Создание насыпи будет осуществляться фронтальными погрузчиками типа
Амкодор 342Р в количестве двух штук, а также с помощью бригады рабочих, для
уточнения размеров насыпи. Песок доставляется из карьера самосвалами
КамАЗ-55111.
По завершению планировки производится рекультивация почвенного покрова на
прежнее место бульдозерами ДЗ-109Б.
6.
Сварочно-монтажные работы
6.1 Доставка
труб
Доставка труб длиной 12 м и массой 6408 кг на расстояние 10 км (трубы
мм) осуществляется автопоездом
трубоплетевозным ПВ-95, в составе автомобиля-тягача на базе Урал 55571 и
прицепа-роспуска 90730А. Автопоезд укомплектован резиновым покрытием оснований
коников и стоек для возможности перевозки труб с изоляцией.
Число одновременно перевозимых труб
мм и длиной 12 м - 2 шт.
Рисунок 9. Внешний вид трубоплетевоза ПВ-95.
Таблица 3. Основные характеристики трубоплетевоза ПВ-95.
|
Грузоподъемность автопоезда, т
|
21
|
|
Длина перевозимого груза, м
|
12-36
|
|
Погрузочная высота, мм
|
1760
|
|
Собственная масса, кг
|
14955
|
|
Ширина автопоезда, м
|
2,5
|
|
Максимальная скорость, км/ч
|
70
|
6.2 Сборка
труб в нитку
Сборка труб в нитку производится на бровке траншеи с предварительной
разгрузкой с помощью автокрана с трубоплетевоза. Разгрузка труб осуществляется
с помощью траверс.
Для выполнения разгрузки труб весом 6,408 т каждая выбираем кран марки
КС-55730-06 на базе шасси МАЗ-6303А3 (Рисунок 10). Траверсы выбираем марки ТРВ
321 ПМ (Рисунок 11).
Рисунок 10. Общий вид крана КС-55730-06.
Таблица 4. Технические характеристики КС-55730-06.
|
Грузоподъемность максимальная, т
|
32
|
|
Грузовой момент, т·м
|
102,4
|
|
Высота подъема на основной стреле максимальная, м
|
22
|
|
Вылет основной стрелы, м
|
2,8...20
|
|
Длина стрелы, м
|
9,6...21,6
|
|
Базовое шасси
|
МАЗ-6303А3
|
|
Колесная формула
|
6x4
|
|
Двигатель
|
ЯМЗ-6562.10
|
|
Мощность двигателя, кВт
|
184
|
|
Скорость передвижения, км/ч
|
60
|
|
Габаритные размеры в транспортном положении, мм:
|
|
|
длина
|
11500
|
|
ширина
|
2500
|
|
высота
|
4000
|
Рисунок 11. Общий вид траверс ТРВ 321 ПМ.
Таблица 5. Технические характеристики траверс ТРВ 321 ПМ.
|
Грузоподъемность, кг
|
32000
|
|
Диаметр поднимаемого трубопровода, мм
|
820-1420
|
|
Длина поднимаемого трубопровода, м
|
12-36
|
|
Максимальная толщина стенки труб, мм
|
36
|
|
Габаритные размеры, мм
|
6000х800х600
|
|
Масса, кг
|
1400
|
По схеме разгрузки труб на бровку траншеи определяем максимальный вылет
стрелы при выполнении этих работ по формуле
где
диаметр трубопровода, м;
расстояние от трубы до крана, м;
ширина крана, м;
ширина трубоплетевоза, м;
расстояние от трубоплетевоза до крана, м.
По диаграмме (Рисунок 12) определяем грузоподъемность крана при данном
вылете стрелы. Она составляет 20 т, что гораздо больше веса поднимаемой трубы.
Таким образом, выбранный автокран подходит для проведения разгрузочных работ.
Рисунок 12. Диаграмма определения грузоподъемности крана КС-55730-06 в
зависимости от вылета стрелы.
6.3 Зачистка
кромок под сварку
Перед сборкой под сварку кромки и прилегающие к ним внутреннюю и наружную
поверхности труб шириной не менее 10 мм зачищают до металлического блеска
абразивными кругами или проволочными щетками марки ЩД-6, приводимыми во
вращение высокооборотными шлифовальными машинками. Дисковая щетка марки ЩД-6
предназначена для механической очистки кромок и прилегающих к ним поверхностей
от окалины, ржавчины, краски, снятия заусенцев, скругления острых кромок и
зачистки швов при сварке стыков труб и других металлоконструкций.
Таблица 6. Техническая характеристика дисковой щетки ЩД-6.
|
Ширина ворса, мм
|
6
|
|
Длина ворса (свободная), м
|
35
|
|
Диаметр проволоки, мм
|
0,6-0,8
|
|
Материал проволоки
|
Сталь пружинная
|
|
Максимальная частота вращения, с-1'
|
125
|
|
Наружный диаметр, мм
|
160
|
|
Масса, кг
|
0,6
|
6.4 Подогрев
и термическая обработка стыков труб
Подогрев стыков на трассе выполняют подогревателями, работающими на
сжиженном или природном газе. Наибольшее распространение получили подогреватели
типа ПС, состоящие из двух полуколец с расположенными на них газовыми
горелками. Наружные подогреватели ПС-1022, ПС-1221 и ПС-1421 комплектуют
газовыми баллонами БГ-П-50, по 6 баллонов на каждую горелку. Подогреватель
ПС-1424 имеет наружную и внутреннюю модификации и работает от емкости РС-1600,
масса пропана в которой 680 кг. При отборе газа зимой резервуар подогревают
продуктами сгорания двигателя сварочного агрегата .
Выбирается подогреватель стыков труб на диаметр 1220 мм ПСТ-1220.
Рисунок 13. Подогреватель стыков труб ПСТ-1220.
Таблица 7. Техническая характеристика подогревателя стыков ПСТ 1220.
|
Тип подогревателя
|
ПСТ 1420
|
|
Диаметр труб, мм
|
1220
|
|
Теплопроизводительность, кВт/ч
|
143
|
|
Расход топлива, кг/ч
|
11
|
|
Масса, кг
|
18
|
|
Способ нагрева
|
Открытым пламенем, огневой
|
|
Вид энергоносителя
|
Баллонный газ - пропан (технический)
|
6.5 Сборка
стыков труб под сварку
Для выполнения сборки труб под сварку применяют центраторы, которые
позволяют совмещать цилиндрические поверхности двух стыкуемых изделий.
Центровка предусматривает закрепление отдельных труб так, чтобы они не имели
сдвига и поворота относительно трех координатных осей. Это условие достигается
за счет приложения радиальных сил, развиваемых механизмом центратора. Для
обеспечения устойчивого положения труб в центраторе необходимо, чтобы центры
приложения радиальных сил (опоры) были расположены на значительном расстоянии
от стыка, что уменьшит действие макрогеометрических погрешностей базовых
поверхностей (наружных или внутренних поверхностей труб). В зависимости от
положения центраторов при установке их на базовую поверхность они бывают
наружные или внутренние.
Внутренние или распорные центраторы обеспечивают наиболее качественную
стыковку труб, благодаря более точному совпадению кромок. При центровке стык
открыт снаружи, что позволяет вести сварку без предварительной прихватки.
Для выполнения центровки труб диаметром 1220 мм под сварку применяется
внутренний центратор ЦВ 127.
Рисунок 14. Внешний вид внутреннего центратора типа ЦВ.
Таблица 8. Технические характеристики внутреннего центратора ЦВ 127.
|
Диаметр центрируемых труб, мм
|
1220
|
|
Толщина стенок собираемых труб, мм
|
10-20
|
|
Количество жимков в одном центрирующем ряду
|
16
|
|
Число центрирующих рядов
|
2
|
|
Общее усилие на один торец, кН
|
800
|
|
Привод центратора
|
электрогидравлический
|
|
Габаритные размеры центратора, мм.,
|
|
|
- длина (без штанги)
|
2960
|
|
- диаметр
|
1220
|
|
Масса, кг.
|
1640
|
6.6 Стыковое
соединение труб
Соединение труб между собой выполняется ручной дуговой сваркой, с помощью
сварочного агрегата марки УЭТ-1 (АСТ) на шасси трелевочного трактора ТТ-4М.
Агрегаты предназначены для проведения сварочно-монтажных работ неповоротных
стыков труб диаметром до 1420 мм при строительстве, реконструкции и капитальном
ремонте магистральных газонефтепроводов.
Рисунок 15. Внешний вид сварочного агрегата марки УЭТ-1 (АСТ).
Таблица 9. Технические характеристики сварочного агрегата марки УЭТ-1
(АСТ).
|
Базовое шасси
|
трактор ТT-4М
|
|
Эксплуатационная мощность двигателя трактора, кВт (л.с.)
|
95 (130)
|
|
Номинальная мощность генератора электростанции, кВт
|
100
|
|
Номинальное рабочее напряжение, В
|
380
|
|
Частота тока, Гц
|
50
|
|
Номинальное напряжение вспомогательного оборудования
переменного тока, В
|
220
|
|
Количество сушильных камер, шт.
|
1
|
|
Количество термопеналов ТП8/130, шт.
|
4
|
|
Масса разовой загрузки электродов в сушильную камеру, кг
|
50
|
|
Грузоподъемность стрелы, кг
|
750
|
|
Масса, не более, кг
|
16500
|
Сварные швы необходимо изолировать. Для этого вначале поверхность трубы
на расстоянии 0,3 м по обе стороны от шва очищают, а затем
последовательно наносят грунтовку, мастику и рулонный оберточный материал.
Грунтовку наносят на сухую поверхность сразу после очистки шва, а мастику - в
горячем виде, поливая поверхность околошовной зоны из шланга от насоса котла и
растирая снизу полотенцем. Рулонным материалом швы обертывают по
горячему битуму с нахлесткой витков 2-3 см.
Рисунок 16. Схема сборки и сварки трубных секций в нитку: 1 - бульдозер;
2 - трубоукладчик; 3 - захват клещевой автоматический; 4 - центратор
внутренний; 5 - сварочная установка; 6 - инвентарная опора; 7 - бровка траншеи;
8 - передвижные вагончики для обогрева людей и хранения сварочных материалов.
6.7 Укладка
трубопровода
Укладка трубопровода производится цикличным методом перехвата. Метод
заключается в том, что последний трубоукладчик, освободившись от нагрузки, перемещается
вплотную к впереди стоящему и здесь включается в работу, обеспечивая тем самым
разгрузку трубоукладчика, который в свою очередь, уходит на подмену следующего
трубоукладчика, и так происходит далее, пока не завершится цикл укладки
полностью.
Для укладки трубопровода диаметром 1220 мм принимаем четыре однотипных
крана-трубоукладчика марки ЧЕТРА ТГ-503 с расстоянием между ними 20 м.
Трубоукладчик подбирается по фактическому весу опускаемой трубы, приходящемуся
на один кран, то есть вес участка секции трубопровода длиной 20 м - 9,6 т, при
соответствующем вылете стрелы.
Рисунок 17. Трубоукладчик марки ЧЕТРА ТГ-503.
Для поднятия труб подбираются полотенца марки ПМ 1428 под диаметр трубы
1220 мм в количестве 4 штук.
Таблица 10. Технические характеристики ПМ1428.
|
Грузоподъемность, т
|
60
|
|
Диаметр поднимаемых труб, мм
|
1220-1420
|
|
Количество лент, шт.
|
2
|
|
Ширина/толщина ленты, мм
|
300/8
|
|
Длина, мм
|
5100
|
|
Материал ленты
|
Капроновая ткань, пропитанная полимером
|
|
Масса полотенца, кг
|
410
|
Грузоподъемность крана-трубоукладчика должна удовлетворять выражению
,
где
масса монтируемого элемента, кг;
масса оснастки, кг.
Расчетный вылет стрелы крана-трубоукладчика (от вертикальной оси вращения
до центра траншеи) определяется по формуле
где
ширина подсыпки, м;
расстояние от бровки траншеи до трубы,
;
ширина места, занимаемого звеном (диаметр трубы), м;
расстояние от трубы до трубоукладчика,
.
Сумма
или расстояние от края траншеи до колес или гусениц крана
должно быть не менее 1,5 м.
Для выполнения укладочных работ выбираем кран-трубоукладчик марки ЧЕТРА
ТГ-503.
Таблица 11. Технические характеристики крана-трубоукладчика ЧЕТРА ТГ-503.
|
Грузоподъемность, т:
|
60
|
|
на плече 1,22 м
|
102
|
|
на плече 2,5 м
|
50
|
|
Эксплуатационный вес, т
|
65
|
|
Масса навесного оборудования, т
|
19,285
|
Рисунок 18. График зависимости грузоподъёмности трубоукладчика ЧЕТРА
ТГ-503 от вылета стрелы.
Исходя из графика паспортная грузоподъёмность на вылете стрелы 4,72 м,
составляющая 25 т, удовлетворяет необходимой грузоподъёмности, равной весу
участка трубы и оснастки.
7. Обзор
выбранного оборудования
В Таблице 12 представлен обзор оборудования необходимого для сооружения
наземного участка линейной части магистрального газопровода диаметром 1220 мм в
условиях пересеченной местности.
Таблица 12. Обзор выбранного оборудования.
|
Наименование
|
Марка
|
Количество
|
|
Бульдозер
|
ДЗ-109Б
|
5
|
|
Погрузчик
|
Амкодор 342Р
|
4
|
|
Автосамосвал
|
КамАЗ-55111
|
12
|
|
Трубоплетевоз
|
ПВ-95
|
2
|
|
Автомобильный кран
|
КС - 55730-06
|
1
|
|
Траверса
|
ТРВ 321ПМ
|
1
|
|
Щётки для очистки стыков
|
ЩД-6
|
4
|
|
Подогреватель стыков
|
ПСТ-1220
|
1
|
|
Внутренний центратор
|
ЦВ 127
|
1
|
|
Сварочная установка
|
УЭТ-1 (АСТ)
|
3
|
|
Полотенца мягкие
|
4
|
|
Трубоукладчик
|
ЧЕТРА ТГ-503
|
4
|
8. Очистка
полости и гидравлическое испытание трубопровода
После окончания строительно-монтажных работ подрядчик под контролем
заказчика и технадзора производит очистку полости трубопровода, внутритрубную
профилеметрию, испытания и опорожнение трубопровода от воды.
Гидравлическим испытанием трубопроводы проверяют
одновременно на прочность и плотность.
Величина испытательного давления на прочность
установлена проектом; она должна быть равна:
· для стальных трубопроводов при
рабочих давлениях до 4 кгс/см2 и для трубопроводов,
предназначенных для работы с температурой стенки свыше 400°С - 1,5 рабочего
давления, но не менее 2 кгс/см2;
· для стальных трубопроводов при
рабочих давлениях от 5 кгс/см2 и выше - 1,25 рабочего
давления, но не менее рабочего давления плюс 3 кгс/см2;
· для остальных трубопроводов - 1,25
рабочего давления, но не менее:
ü 2 кгс/см2 для чугунных,
винипластовых, полиэтиленовых и стеклянных;
ü 1 кгс/см2 для
трубопроводов из цветных металлов и сплавов;
ü 0,5 кгс/см2 для фаолитовых
трубопроводов.
Для создания необходимого, давления в трубопроводе при
гидравлическом испытании применяют плунжерные передвижные насосы (НП-600,
ГН-1200-400), поршневые ручные насосы (ТН-500, ГН-200), прессы гидравлические
(ВМС-45М), шестеренчатые приводные (НШ-40), а также эксплуатационные насосы.
Процесс гидравлического испытания состоит из следующих
операций: подключение гидравлического насоса или пресса; установка манометров;
заполнение трубопровода водой (при этом воздушники следует держать открытыми до
появления в них воды, что свидетельствует о полном вытеснении воздуха из
трубопровода); осмотр трубопровода при заполнении его водой с целью выявления
течи через трещины и неплотности в соединениях; создание требуемого
испытательного давления гидравлическим прессом или насосом и выдержка
трубопровода под этим давлением в течении 12 часов; снижение давления до
рабочего и повторный осмотр трубопровода; опорожнение трубопровода; снятие
гидравлического насоса и манометров.
Осматривают трубопроводы после снижения давления в
трубопроводе до рабочего. При осмотре стальных трубопроводов сварные швы на
расстоянии 15 - 20 мм по обе стороны от них легко обстукивают
закругленным молотком весом не более 1,5 кг, а при осмотре трубопроводов из
цветных металлов - деревянным молотком весом не более 0,8 кг. Трубопроводы
из прочих материалов обстукивать не разрешается.
Результаты гидравлического испытания на прочность и
плотность считаются удовлетворительными, если во время испытания не произошло
падения давления по манометру, а в сварных швах, фланцевых соединениях и
сальниках не обнаружены течь и отпотевание. При неудовлетворительных
результатах испытания дефекты следует устранить и испытание повторить.
9. Охрана труда
Организация и выполнение работ в строительном производстве,
промышленности строительных материалов и строительной индустрии должны осуществляться
при соблюдении законодательства Российской Федерации об охране труда, а также
иных нормативных правовых актов, установленных Перечнем видов нормативных
правовых актов, утвержденным постановлением Правительства Российской Федерации
от 23 мая 2000 г. № 399 "О нормативных правовых актах, содержащих
государственные нормативные требования охраны труда":
· строительные нормы и правила, своды
правил по проектированию и строительству;
· межотраслевые и отраслевые правила и
типовые инструкции по охране труда, утвержденные в установленном порядке
федеральными органами исполнительной власти;
· государственные стандарты системы
стандартов безопасности труда, утвержденные Госстандартом России или Госстроем
России;
· правила безопасности, правила
устройства и безопасной эксплуатации, инструкции по безопасности;
· государственные
санитарно-эпидемиологические правила и нормативы, гигиенические нормативы,
санитарные правила и нормы, утвержденные Минздравом России.
Производственные территории (площадки строительных и промышленных
предприятий с находящимися на них объектами строительства, производственными и
санитарно-бытовыми зданиями и сооружениями), участки работ и рабочие места
должны быть подготовлены для обеспечения безопасного производства работ.
Подготовительные мероприятия должны быть закончены до начала производства
работ. Соответствие требованиям охраны и безопасности труда, производственных
территорий, зданий и сооружений, участков работ и рабочих мест, вновь
построенных или реконструируемых промышленных объектов, определяется при
приемке их в эксплуатацию.
Окончание подготовительных работ на строительной площадке должно быть
принято по акту о выполнении мероприятий по безопасности труда.
Проезды, проходы на производственных территориях, а также проходы к рабочим
местам и на рабочих местах должны содержаться в чистоте и порядке, очищаться от
мусора и снега, не загромождаться складируемыми материалами и конструкциями.
Допуск на производственную территорию посторонних лиц, а также работников
в нетрезвом состоянии или не занятых на работах на данной территории
запрещается.
Находясь на территории строительной или производственной площадки, в
производственных и бытовых помещениях, на участках работ и рабочих местах,
работники, а также представители других организаций обязаны выполнять правила
внутреннего трудового распорядка, принятые в данной организации.
Территориально обособленные помещения, площадки, участки работ, рабочие
места должны быть обеспечены телефонной связью или радиосвязью.
Складирование материалов, прокладка транспортных путей, установка опор
воздушных линий электропередачи и связи должны производиться за пределами
призмы обрушения грунта незакрепленных выемок (котлованов, траншей), а их
размещение в пределах призмы обрушения грунта у выемок с креплением допускается
при условии предварительной проверки устойчивости закрепленного откоса по
паспорту крепления или расчетом с учетом динамической нагрузки.
Устройство и эксплуатация электроустановок должны осуществляться в
соответствии с требованиями Правил устройства электроустановок, межотраслевых
правил охраны труда при эксплуатации электроустановок потребителей, правил
эксплуатации электроустановок потребителей.
Производственные территории должны быть оборудованы средствами
пожаротушения согласно ППБ-01, зарегистрированных Минюстом России 27 декабря
1993 г. № 445.
Строительные машины, транспортные средства, производственное оборудование
(машины мобильные и стационарные), средства механизации, приспособления,
оснастка (машины для штукатурных и малярных работ, люльки, передвижные леса,
домкраты, грузовые лебедки и электротали и др.), ручные машины и инструмент
(электродрели, электропилы, рубильные и клепальные пневматические молотки,
кувалды, ножовки и т.д.) должны соответствовать требованиям государственных стандартов
по безопасности труда, а вновь приобретаемые - как правило, иметь сертификат на
соответствие требованиям безопасности труда.
Запрещается эксплуатация указанных выше средств механизации без
предусмотренных их конструкцией ограждающих устройств, блокировок, систем
сигнализации и других средств коллективной защиты работающих.
Эксплуатация строительных машин должна осуществляться в соответствии с
требованиями соответствующих нормативных документов.
Эксплуатация грузоподъемных машин и других средств механизации,
подконтрольных органам Госгортехнадзора России, должна производиться с учетом
требований нормативных документов, утвержденных этим органом.
При выполнении транспортных и погрузочно-разгрузочных работ в
строительстве, промышленности строительных материалов и стройиндустрии в
зависимости от вида транспортных средств наряду с требованиями настоящих правил
и норм должны соблюдаться правила по охране труда на автомобильном транспорте,
межотраслевые правила по охране труда и государственные стандарты.
Транспортные средства и оборудование, применяемое для
погрузочно-разгрузочных работ, должно соответствовать характеру
перерабатываемого груза.
При выполнении погрузочно-разгрузочных работ необходимо соблюдать
требования законодательства о предельных нормах переноски тяжестей и допуске
работников к выполнению этих работ.
В местах производства погрузочно-разгрузочных работ и в зоне работы
грузоподъемных машин запрещается нахождение лиц, не имеющих непосредственного
отношения к этим работам.
Присутствие людей и передвижение транспортных средств в зонах возможного
обрушения и падения грузов запрещаются.
При выполнении изоляционных работ (гидроизоляционных, теплоизоляционных,
антикоррозионных) с применением огнеопасных материалов, а также выделяющих
вредные вещества следует обеспечить защиту работающих от воздействия вредных
веществ, а также от термических и химических ожогов.
Битумную мастику следует доставлять к рабочим местам, как правило, по
битумопроводу или при помощи грузоподъемных машин. При необходимости перемещения
горячего битума на рабочих местах вручную следует применять металлические
бачки, имеющие форму усеченного конуса, обращенного широкой частью вниз, с
плотно закрывающимися крышками и запорными устройствами.
Не допускается использовать в работе битумные мастики температурой выше
180°С.
На участке (захватке), где ведутся монтажные работы, не допускается
выполнение других работ и нахождение посторонних лиц.
При монтаже электрооборудования следует выполнять требования ГОСТ
12.3.032 (СТ СЭВ 4032) и общие требования, предъявляемые к монтажным работам
(разд. 12).
Не допускается использовать не принятые в эксплуатацию в установленном
порядке электрические сети, распределительные устройства, щиты, панели и их
отдельные ответвления и присоединять их в качестве временных электрических
сетей и установок, а также производить электромонтажные работы на
смонтированной и переданной под наладку электроустановке без разрешения
наладочной организации. Лица, занятые на электромонтажных работах, не должны
выполнять работы, относящиеся к эксплуатации электрохозяйства заказчика и
генерального подрядчика.
Испытание смонтированного оборудования должно производиться в
соответствии с требованиями настоящей главы, правил и инструкций, утвержденных
органами Государственного надзора, а также инструкций заводов-изготовителей по
эксплуатации данного оборудования.
Перед испытанием оборудования необходимо:
· руководителю работ ознакомить
персонал, участвующий в испытаниях, с порядком проведения работ и с
мероприятиями по безопасному их выполнению; предупредить работающих на смежных
участках о времени проведения испытаний;
· провести визуальную, а при
необходимости с помощью приборов проверку крепления оборудования, состояния
изоляции и заземления электрической части, наличия и исправности арматуры,
пусковых и тормозных устройств, контрольно-измерительных приборов и заглушек;
· оградить и обозначить
соответствующими знаками зону испытаний; установить аварийную сигнализацию (при
необходимости);
· обеспечить возможность аварийного
выключения испытуемого оборудования;
· проверить отсутствие внутри и снаружи
оборудования посторонних предметов;
· обозначить предупредительными знаками
временные заглушки, люки и фланцевые соединения;
· установить посты из расчета один пост
в пределах видимости другого, но не реже чем через каждые 200 м друг от друга,
для предупреждения об опасной зоне;
· определить места и условия
безопасного пребывания лиц, занятых испытанием;
· привести в готовность средства
пожаротушения и обслуживающий персонал, способный к работе по ликвидации
возможного пожара; обеспечить освещенность рабочих мест не менее 50 лк;
· определить лиц, ответственных за
выполнение мероприятий по обеспечению безопасности, предусмотренных программой
испытаний.
Осмотр оборудования должен производиться после снижения испытательного
давления до рабочего.
При продувке оборудования и трубопроводов после испытания перед открытыми
люками и штуцерами должны быть установлены защитные ограждения (экраны).
Испытание оборудования под нагрузкой следует производить после испытания
его вхолостую.
Начинать испытание оборудования разрешается только после своевременного
предупреждения окружающих лиц и получения разрешения руководителя испытаний. В
процессе проведения испытаний оборудования не допускается:
· снимать защитные ограждения;
· открывать люки, ограждения, чистить и
смазывать оборудование, прикасаться к его движущимся частям;
· производить проверку и исправление
электрических цепей, электрооборудования и приборов автоматики.
Осмотр трубопроводов при испытании разрешается производить только после
снижения давления, МПа:
· в стальных и пластмассовых
трубопроводах - до 0,3;
· в чугунных, железобетонных и
асбестоцементных - до 0,1.
Дефекты трубопровода следует устранять после снижения давления до
атмосферного.
Заключение
В данном курсовом проекте произведены механические расчеты по
строительству линейной части магистрального газопровода диаметром 1220 мм,
протяженностью 10 км и рабочим давлением 7 МПа в условиях пересеченной
местности. В условиях пересеченной местности было рассмотрено пересечение
трубопроводом оврага протяженностью 50 м. Для пересечения трубопроводом оврага
был выбран балочный переход без компенсации продольных деформаций.
Так же в курсовом проекте был произведен и обоснован выбор техники по
сооружению трубопровода. Обоснование выбора техники подтверждено расчетами.
Рассмотрены вопросы организации строительства и приведены технологические схемы
организации работ.
Список
используемой литературы
1. Быков Л.И., Мустафин Ф.М., Рафиков С.К., Нечваль
А.М., Лаврентьев А.Е. Типовые расчеты при сооружении и ремонте
газонефтепроводов: Учеб. Пособие./ Л.И. Быков, Ф.М.Мустафин - Санкт-Петербург:
Недра, 2009;
. Алиев Р.А., Березина И.В., Телегин Л.Г. Сооружение и
ремонт газонефтепроводов, газонефтехранилищ и нефтебаз: Учебник для вузов/
Алиев Р.А. - М.: Недра, 2012;
3. Коршак А.А. Проектирование и
эксплуатация газонефтепроводов/ А. А. Забродин, А. М. Нечваль - СПб: Недра,
2010;