Регулирование мощности ЯЭУ АЭС

  • Вид работы:
    Контрольная работа
  • Предмет:
    Физика
  • Язык:
    Русский
    ,
    Формат файла:
    MS Word
    160,25 Кб
  • Опубликовано:
    2015-04-18
Вы можете узнать стоимость помощи в написании студенческой работы.
Помощь в написании работы, которую точно примут!

Регулирование мощности ЯЭУ АЭС















Контрольная работа

Тема: РЕГУЛИРОВАНИЕ МОЩНОСТИ ЯЭУ АЭС

Содержание

1. Общие положения по регулированию энергоблока АЭС

. Регулирование мощности ядерного реактора

. Регулирование мощности турбогенератора, работающего на автономную сеть

. Регулирование мощности турбоагрегата, работающего на общую сеть

. Особенности регулирования турбоагрегатов АЭС

. Программы изменения основных параметров ЯЭУ АЭС

. Регулирование мощности энергоблока АЭС

. Регулирование уровня воды в парогенераторах двухконтурных ЯЭУ

. Регулирование давления в главном конденсаторе

Список литературы


1. Общие положения по регулированию энергоблока АЭС

Основная задача АЭС - выработка электроэнергии. Вместе с другими электростанциями (ТЭС и ГЭС) она поставляет электроэнергию в электроэнергетическую сеть. К электроэнергетической сети подключены также все потребители электроэнергии. Так как электроэнергетическая сеть не обладает устройствами, способными аккумулировать избыток, и не располагает резервными источниками электроэнергии, то в любой момент времени должен соблюдаться баланс мощностей

Для простоты качественного рассмотрения вопроса неизбежными потерями электроэнергии в сети можно пренебречь ввиду их малости по сравнению с SРэпотр (или, что то же самое, отнести их к потребителям). Тогда

эг = SРэпотр. (1)

Количество потребляемой из сети электроэнергии определяется параметрами потребителей - их количеством и потребляемой мощностью каждого из них. Суточное потребление электроэнергии очень неравномерно. Обычно наибольшее потребление электроэнергии наблюдается в первой и второй половине рабочего дня с некоторым спадом в обеденный перерыв. Наибольший спад потребления электроэнергии - в ночное время. Вид графика суточного потребления электроэнергии в каждом энергорайоне индивидуален. Однако характер его остается одним и тем же. Объединение различных энергорайонов в объединенную энергосистему (ОЭС) несколько сглаживает во времени график энергопотребления. Однако, если все энергорайоны расположены в одном часовом поясе (именно такая ситуация характерна для ОЭС Украины), то неравномерность графика потребления электроэнергии остается большой. Спад потребления электроэнергии по отношению к ее пику может достигать величины порядка 50%. В качестве примера на рисунке 1.3 показано почасовое изменение потребления электроэнергии в ОЭС Украины в двух реальных режимах.

Величина потребляемой из сети электроэнергии SРэпотр должна быть обеспечена энергосетью, т.е. потребление энергии является параметром, диктуемым энергосетью для генераторов электроэнергии.

Принципиально говоря, возможно воздействие и на потребителей. В аварийных ситуациях иногда этот способ применяют: при возникновении значительного дефицита вырабатываемой электроэнергии, который по какой-либо причине невозможно обеспечить, от электроэнергетической системы отключают целые крупные районы энергопотребления. Но как постоянно действующий способ регулирования соответствия мощностей он применяться не может.

Суммарная мощность генерируемой и отдаваемой в энергосеть электроэнергии состоит из мощностей, вырабатываемых каждым генератором. Так как суммарная потребляемая из сети мощность в течение суток изменяется значительно (как уже отмечалось, до двухкратного изменения), то и мощность, генерируемая в генераторах электроэнергии, должна изменяться соответственно.

Каждый энергоблок, в том числе энергоблок АЭС, для выработки электроэнергии должен иметь источник энергии. Для АЭС источником энергии является ядерный реактор, в котором организована управляемая цепная реакция деления ядер урана (в основном U235), за счет чего в активной зоне такого реактора генерируется тепловая энергия.

Энергетический баланс энергоустановки можно представить через составляющие мощности (мощность - поток энергии в единицу времени):

Рэг = Рт - DРт - DРм - DРэ , кВт,                                                 (2)

где Рэг - генерируемая электрическая мощность;

Рт - генерируемая в активной зоне ЯР тепловая мощность;

т - потери тепловой мощности в ЯЭУ;

м - потери механической мощности в турбоагрегате;

э - потери электрической мощности в генераторе электроэнергии.

Задача регулирования энергоблока АЭС сводится к тому, чтобы изменением слагаемых правой части уравнения (2) обеспечивалось равенство генерируемой электрической мощности Рэг потребностям энергосети (разумеется, с учетом неизбежных при этом потерь электроэнергии в сети), т.е. постоянно должно соблюдаться условие (1).

Практически реальным способом регулирования величины генерируемой электрической мощности Рэг остается только соответствующее регулирование генерируемой тепловой мощности Рт. При этом в любом режиме работы установки значения потерь DРт, DРм и DРэ должны удерживаться на возможно меньшем уровне, иначе будет заметно снижена экономичность ЯЭУ. Например, энергоустановка на любом уровне мощности должна работать без травления пара через устройство БРУ-А в атмосферу или через БРУ-К на конденсатор. Допускается лишь кратковременное травление пара в аварийном режиме до установления соответствия вырабатываемой тепловой и генерируемой электрической мощности при минимальном значении потерь.

Задача регулирования генерируемой электроэнергии в соответствии с потреблением значительно осложняется тем, что на объединенную электроэнергетическую систему работают генераторы всех электростанций (АЭС, ТЭС, ГЭС), имеющих разные статические и динамические характеристики.

Объединенная энергосистема (ОЭС) создается на переменном трехфазном токе в силу его заметных преимуществ перед постоянным током. В большинстве стран мира, в том числе и у нас в стране, принята частота переменного тока f = 50 Гц. Все генераторы всех электростанций, включенные в объединенную энергосистему, работают синхронно с частотой вращения n = 3000 об/мин или n = 1500 об/мин в зависимости от числа пар полюсов генераторов.

.3 Изменения нагрузки энергосети принято делить на плановые и внеплановые. Распределение плановых изменений нагрузки осуществляется центральной диспетчерской службой между электростанциями, которым задается временной график вырабатываемой ими электроэнергии на протяжении суток. Регуляторы таких электростанций настраивают на поддержание мощности в соответствии с заданным графиком.

Внеплановые изменения нагрузки обычно составляют небольшую величину - порядка 2…5%. Величина их определяется мерой тщательности и корректностью расчетов плановых изменений потребляемой мощности. Однако свести к нулю внеплановые изменения не представляется возможным. Поэтому в энергосети всегда наблюдается некоторое колебание потребления электроэнергии по сравнению с расчетным. Это отрицательно сказывается на работе энергосети. Требуется принятие специальных мер для снятия отрицательного влияния внеплановых колебаний нагрузки энергосети.

Пусть, например, произошло внеплановое повышение нагрузки энергосети. Если при этом все электрогенераторы, обеспечивающие сеть, работают с заданной неизменной мощностью, то в сети появится дефицит мощности, ничем не компенсируемый, т.е. нарушится равенство (1). Это приведет к тому, что в сети произойдет снижение частоты тока и за счет этого перераспределение мощности между потребителями. Ранее работавшие потребители (точнее та часть потребителей, которые являются вращающимися электрическими машинами) из-за снижения частоты тока снизят частоту вращения и поэтому заметно уменьшат потребление электроэнергии. Снижение частоты тока прекратится тогда, когда все ранее работавшие потребители высвободят мощность, необходимую для дополнительно включенного потребителя. При внеплановом снижении нагрузки все процессы пройдут так же, но в противоположном направлении.

Частота тока сети является точным и однозначным показателем меры перегрузки или недогрузки энергосети.

Итак, если все генераторы, работающие на сеть, будут управляться своими регуляторами мощности и суммарная генерируемая мощность поддерживается постоянной (или принятой в соответствии с диспетчерским графиком), то такая сеть при возникновении внеплановых изменений нагрузки будет поддерживать баланс генерируемой и потребляемой электроэнергии в соответствии с равенством (1) за счет соответствующего изменения частоты тока в сети. При этом изменение частоты тока может быть недопустимо большим, что отрицательно скажется на работе всех потребителей электроэнергии.

Для ограничения диапазона возможного изменения частоты тока в сети целесообразно хотя бы частью электрогенераторов и их приводных двигателей управлять регуляторами, которые без какого-либо вмешательства в их настройку несколько увеличат мощность управляемых ими генераторов (или соответственно уменьшат мощность). За счет этого будет частично покрыт возникший дефицит (или соответственно снят избыток) электроэнергии в сети. В результате степень изменения частоты тока в сети будет заметно меньшей. Такое участие генераторов в поддержании частоты тока называют первичным регулированием частоты. Более детально его сущность будет рассмотрена позже.

Кроме того, часть генераторов работает с регуляторами, в которых при изменении частоты тока сети происходит их автоматическая перенастройка таким образом, что мощность турбоагрегатов изменяется более заметно. При этом изменение мощности может быть столь большим, что возможно полное (или почти полное) восстановление частоты тока. В этом случае говорят об участии этих генераторов во вторичном регулировании частоты тока. Сущность его более детально также будет рассмотрена позже.

Так как внеплановые колебания нагрузки в сети обычно невелики (как уже отмечалось, они составляют не более 2…5%), то к автоматическому регулированию частоты тока в сети (т.е. ко вторичному регулированию частоты тока) можно привлекать небольшое число электростанций с небольшим диапазоном регулировочной мощности - 5…10%. О таких энергоблоках говорят, что они работают в регулируемом режиме.

Обычно в регулируемом режиме работают ГЭС. Они обладают хорошими маневренными свойствами и способны достаточно оперативно реагировать на изменения частоты тока в сети, принимая на себя внеплановые изменения нагрузки. Если доля мощности ГЭС в энергосети недостаточна, то к регулированию частоты тока наряду с ГЭС могут привлекаться также и ТЭС, если они обладают достаточно хорошими маневренными качествами.

С изменением нагрузки в сети и восстановлением баланса энергий будет изменяться и напряжение на клеммах электрогенератора. Это также внесет вклад в нарушение баланса энергий. Однако система автоматического поддержания напряжения имеет достаточно большое быстродействие. Поэтому, в дальнейшем для упрощения рассмотрения вопросов регулирования энергоблока, динамикой поддержания напряжения в электросети можно пренебречь.

.4 Что касается АЭС, то для них регулируемый режим нежелателен. Основные причины этого следующие:

а) если АЭС использовать в регулируемом режиме, то она в любой момент времени должна обладать резервом мощности. А это означает, что такая АЭС постоянно должна работать с некоторой недогрузкой. В то же время известно, что стоимость электроэнергии, вырабатываемой АЭС, заметно меньше стоимости электроэнергии, вырабатываемой ТЭС. В основном это объясняется меньшей топливной составляющей стоимости электроэнергии АЭС и меньшей эксплуатационной составляющей . Если же АЭС использовать с недогрузкой, то топливная и эксплуатационная составляющие заметно повышаются. В результате повышается стоимость электроэнергии, вырабатываемой на АЭС, в целом. Это подтверждается сопоставлением некоторых технико-экономических показателей АЭС и ТЭС. На номинальной мощности топливная составляющая стоимости электроэнергии для АЭС составляет 10…40%, для ТЭС - 65…75%. Если же привлекать АЭС для разгрузки сети в ночное время (снижать мощность на 6…8 часов до 30…50%), то эксплуатационные затраты в стоимости электроэнергии возрастут на 10…15%. Если привлекать АЭС к полупиковым нагрузкам, то эксплуатационные затраты могут возрасти на 40…50%;

б) изменение режима работы ЯЭУ АЭС ведет к незначительному изменению температуры оболочек твэлов, но при этом - к весьма существенному изменению температуры топлива реактора (на несколько сот градусов). В результате появляются значительные термические напряжения в твэлах, возможна их деформация и разгерметизация. Таким образом, можно утверждать, что в этом случае снижается надежность активной зоны. Кроме того, изменение температурного режима активной зоны ведет к изменению реактивности ЯР (для водо-водяных ЯР температурный эффект весьма большой). Это заметно усложняет работу системы управления мощностью ЯР;

в) при изменениях мощности ядерного реактора в его реактивность более заметный вклад вносит нестационарное отравление ксеноном. Для его преодоления на протяжении всей кампании требуется предусмотреть повышенное начальное обогащение топлива изотопом U235;

г) изменение мощности ЯР ведет к изменению температурного режима толстостенных конструкций первого контура. Частые изменения температурного режима могут привести к усталостным явлениям в элементах конструкции;

д) паротурбинные установки АЭС работают на влажном паре. Поэтому изменение мощности турбины и неизбежное при этом изменение давления пара в ее проточной части сопровождается изменением температурного режима. Кроме того, при уменьшении давления влажного пара увеличивается его влажность, что изменяет теплоотдачу к пару от металлических конструкций турбины. Отсюда появление повышенных термических напряжений в конструкциях турбины, возможно появление усталостных явлений, которые могут привести к термоусталостному разрушению ответственных узлов турбины.

С учетом изложенного в настоящее время АЭС используются в основном в базовом режиме, т.е. на постоянной мощности (не обязательно номинальной, но желательно на большой, близкой к номинальной).

 При этом необходимо иметь ввиду следующее обстоятельство. Если бы электроэнергия, вырабатываемая АЭС, составляла небольшую долю от общей величины энергии, вырабатываемой всеми электростанциями, то для АЭС можно было бы предоставить чисто базовый режим. Тогда все остальные электростанции (большая доля вырабатываемой электроэнергии), участвуя в первичном регулировании частоты тока, удерживают частоту от значительных изменений. Если же доля электроэнергии, вырабатываемой АЭС, значительна (в Украине она составляет величину порядка 40% и больше), то затруднительно для АЭС предоставить возможность работы в чисто базовом режиме, т.е. при строго неизменной мощности. В этом случае оставшиеся генераторы электростанций (около 100 - 40 = 60%), участвуя в первичном регулировании, будут добавлять в электроэнергетическую систему мощность в недостаточном количестве, в результате чего при колебаниях нагрузки в сети будут иметь место значительные колебания частоты тока. Поэтому для АЭС Украины поставлена задача работать в базовом режиме, но наряду с этим участвовать в первичном регулировании частоты тока. В этом случае они вместе с другими электростанциями кратковременно принимают на себя выработку дополнительной электроэнергии, облегчая переходные процессы для регулируемых электростанций, осуществляющих регулирование частоты тока. Так как при этом колебания мощности АЭС сравнительно небольшие и обычно относительно быстро проходящие, то такой режим работы АЭС все же называют базовым.

По мере роста доли АЭС в электроэнергетике страны может появиться необходимость в привлечении АЭС к автоматическому регулированию мощности, т.е. в участии АЭС как в обеспечении плановых изменений нагрузки сети по диспетчерскому графику, так и в автоматическом вторичном регулировании частоты тока сети. Принципиально это возможно. В настоящее время уже известны случаи использования АЭС в регулируемом режиме. Например, энергоблок АЭС "Ловийса" с ЯР ВВЭР-440 (Финляндия) создавался с задачей участвовать в регулировании графика нагрузки при изменении мощности в диапазоне 50...100% со средней скоростью (1...2%) Рэном в минуту. В диапазоне мощности 80...100% энергоблок должен участвовать также в быстром регулировании частоты тока сети, а также в регулировании перетоков мощности в ветвях энергосети. При этом мощность должна изменяться со скоростью до 20% Рэном в минуту, правда, в достаточно узком диапазоне своей мощности ±5% Рэном.

АЭС привлекаются ко вторичному регулированию частоты тока в сети обычно в тех случаях, когда доля вырабатываемой ими электроэнергии велика, и поэтому все они не могут быть обеспечены базовой (неизменной в течение суток) нагрузкой, близкой к номинальной. Наглядным примером такой ситуации является атомная энергетика Франции, где доля вырабатываемой на АЭС электроэнергии составляет величину порядка 75…80%.

.5 Дальнейшее рассмотрение регулирования энергоблока в основном сводим к выяснению закономерностей изменения параметров, характеризующих отклонения потоков мощности в различных элементах установки от установившихся и характеризуемых уравнением (2). Это позволит выявить возможные отклонения регулируемых параметров и, воздействуя на соответствующие исполнительные органы системы регулирования, поддерживать изменение параметров по принятому для данной установки закону. В этом случае говорят о той или иной программе регулирования энергоблока. Работа системы регулирования по принятой программе обеспечивает поддержание энергетического баланса по уравнению (2).

Что касается состава и принципа действия системы управления АЭС, то они здесь рассматриваются в общем плане и только в таком объеме, который необходим для понимания процессов, протекающих в регулируемой ЯЭУ в целом и в ее отдельных элементах. Под регуляторами различных параметров будем понимать устройство, содержащее в своем составе сравнивающее устройство, на которое подаются измеренное и заданное значения регулируемого параметра, в результате чего формируется сигнал ошибки (разность этих сигналов). После усиления этот сигнал поступает на исполнительный орган регулятора, подобранный таким образом, чтобы, воздействуя на управляемый объект, он приводил измеряемый параметр на заданный уровень. Несколько более детально будем рассматривать входящие в систему управления АЭС отдельные регуляторы соответствующих параметров элементов АЭС (регулятор мощности ЯР, температуры пара, давления пара и пр.).

И последнее замечание. Регулирование энергоустановки в целом - сложный и многоплановый процесс. При изменении нагрузки сети (для энергоблока это внешние возмущения) необходимо регулировать мощность турбоагрегата и соответственно мощность ядерного реактора. Кроме того, в энергоустановке постоянно проявляются и внутренние возмущения - изменения температуры охлаждающей среды, изменения в режимах работы обеспечивающего оборудования и пр.

Регулирование энергоустановки целесообразно рассматривать по принципу "от простого к сложному". Вначале рассмотрим особенности регулирования мощности ядерного реактора безотносительно к потреблению его тепловой мощности турбоагрегатом. Затем рассмотрим регулирование турбоагрегата в предположении, что генерирование пара ничем не регламентировано, т.е. для работы турбоагрегата в любой сложившейся ситуации расход пара будет полностью обеспечен. И только после этого можно рассматривать способы согласования паропроизводительности ППУ и паропотребления ПТУ при изменении режима работы энергоблока. Для этого рассматриваются состав и принцип действия различных возможных систем регулирования, реализующих совместное управление ППУ и ПТУ по принятой программе.

2. Регулирование мощности ядерного реактора

Основным параметром, характеризующим работу ядерного реактора, является его тепловая мощность. Как уже отмечалось, в обеспечении равенства потребляемой и вырабатываемой электроэнергии тепловая мощность реактора является ключевой величиной (см. равенство (2)). Регулируя тепловую мощность реактора, можно влиять на мощность вырабатываемой электроэнергии.

Для регулирования тепловой мощности реактора в соответствии с потреблением электроэнергии необходимо организовать постоянный достаточно точный и надежный контроль тепловой мощности. Рассмотрим возможные способы ее измерения.

Тепловую мощность ядерного реактора можно контролировать по параметрам теплоносителя I контура

т = Gт ×(iт1 - iт2) = Gт ×cр ×(tт1 - tт2) ,                                               (3)

где Gт - расход теплоносителя I контура; т1, iт2, tт1, tт2 - энтальпии и температуры теплоносителя на выходе из ЯР и на входе в него соответственно;

ср - теплоемкость теплоносителя.

Достоинством этого способа контроля величины тепловой мощности реактора является то, что при этом непосредственно измеряется величина тепловой мощности, находящейся в начале каскадов передачи и преобразований энергии. Однако этот способ измерения тепловой мощности имеет и ряд недостатков:

а) расход теплоносителя может быть измерен, например, за счет измерения перепада давления на некотором сужающем устройстве в трубопроводе I контура. Однако для получения приемлемых характеристик такого метода измерений требуется выполнить ряд затруднительных условий - обеспечить прямой участок трубопровода I контура необходимой длины, выполнить тарировку сужающего устройства и др. Особенно заметна недостаточная точность измерений расхода теплоносителя на малых уровнях. В целом погрешность измерений расхода может достигать 2…2,5%, что превышает допустимую погрешность;

б) невозможность непосредственного измерения энтальпий теплоносителя. Вместо измерения энтальпии измеряют значения температуры и давления теплоносителя и по их значениям определяют либо энтальпии, либо теплоемкость теплоносителя. Однако значение перепада температуры на малых уровнях мощности столь мало, что не может быть измерено с достаточной степенью точности;

в) ввиду большой интегральной теплоемкости массивных конструкций I контура и всей массы теплоносителя измерение теплотехнических параметров обладает большой инерционностью. Кроме того, на инерционность процессов измерения температур оказывает влияние транспортное запаздывание измеряемой температуры, вызванное большим удалением точки измерения от активной зоны по потоку теплоносителя.

Аналогичным образом можно определить тепловую мощность ядерного реактора по параметрам второго контура, но погрешность измерений и тепловая инерционность будут еще больше.

Если речь идет о кипящем реакторе одноконтурной установки, то нельзя ограничиться измерением температур теплоотводящей среды и ее давления. Необходимо измерять также паросодержание (или влагосодержание) на выходе из реактора, что технически осуществить также весьма сложно, точность таких измерений невысокая.

Известно, что интенсивность деления ядерного топлива (следовательно, энерговыделение в активной зоне, т.е. тепловая мощность реактора) определяется плотностью нейтронного потока. Поэтому, измеряя параметры нейтронного поля в активной зоне, можно судить о тепловой мощности ядерного реактора. При этом измерения плотности нейтронного потока можно производить не непосредственно в активной зоне, а за пределами корпуса реактора, где нейтронное поле значительно слабее, но его изменения пропорциональны изменениям нейтронного поля в активной зоне.

Нейтронное поле обычно измеряют с помощью ионизационной камеры (ИК), которая изменяет свою электропроводимость и, следовательно, ток, проходящий через камеру, пропорционально плотности нейтронного потока, в котором камера находится. Достаточно установить коэффициент пропорциональности между током камеры и интегральной мощностью ядерного реактора на одном каком-либо режиме, так как на других уровнях мощности он остается практически тем же. Таким образом можно осуществить достаточно просто и достаточно точно измерение нейтронной мощности ядерного реактора на любом уровне мощности. При этом информация поступает практически без задержки во времени.

Применение ионизационных камер позволяет охватить очень широкий диапазон мощности - от очень малых значений в пусковых режимах (10-7…10-1)% от NРном до номинальной мощности и более (100% от NРном и более). Правда, при этом обычно предусматривают несколько диапазонов мощности, каждый из которых обеспечивается своими камерами - например, пусковые ИК, ИК промежуточного диапазона, ИК энергетического диапазона.

В качестве недостатка такого способа измерения мощности ядерного реактора можно отметить, что с течением времени характеристики ИК изменяются (старение камеры), что требует постоянной коррекции коэффициента пропорциональности между током ИК и мощностью реактора.

Второй недостаток этого способа измерения мощности - даже при неизменной интегральной мощности реактора возможны изменения плотности нейтронного потока в точке замера (в точке установки ИК). Это явление может наступить за счет изменения конфигурации нейтронного поля в активной зоне. Это особенно актуально для ЯР большой мощности с большими размерами активной зоны. Для таких реакторов наряду с измерением интегрального значения мощности ЯР предусматривают внутриреакторный контроль (ВРК), одной из функций которого является контроль изменений конфигурации нейтронного поля в активной зоне.

Система внутриреакторного контроля (ВРК) предназначена для получения оперативной информации о состоянии активной зоны во время работы ядерного реактора, что позволяет организовать оптимальный режим работы активной зоны. Для этого система ВРК должна давать информацию о радиальном и азимутальном распределении нейтронного поля, а также о конфигурации поля по высоте активной зоны. Для получения более полной информации о распределении энерговыделений по активной зоне система ВРК контролирует также температуру теплоносителя на выходе из рабочих каналов, расположенных в различных участках активной зоны.

Полученная с помощью ВРК информация обычно поступает на вычислительные устройства, где обрабатывается и в удобной форме подается оператору, управляющему ЯЭУ, а также может поступать в виде управляющих сигналов в соответствующую систему регулирования равномерности нейтронного поля.

Для получения достаточно полной и надежной информации о состоянии активной зоны в ней устанавливается от 100 до 200 датчиков плотности нейтронного потока, а также большое количество датчиков температуры теплоносителя на выходе из ряда рабочих каналов.

Вопросы внутриреакторного контроля особенно актуальны для реакторов канального типа, где размеры активной зоны значительно больше, в результате чего неравномерность нейтронного поля в активной зоне, а значит и неравномерность энерговыделений, может достигать значительно больших значений по сравнению с таковыми в ЯР корпусного типа.

Для изменения мощности ядерного реактора необходимо изменить его реактивность r. На стационарном уровне мощности r = 0. Если r > 0,то мощность реактора возрастает, если r < 0 - мощность снижается.

Строго говоря, на реактивность реактора можно влиять одним из следующих способов:

а) воздействуя на количество ядерного топлива в активной зоне (например, с помощью подвижных топливных сборок);

б) либо изменяя количество замедлителя, либо регулируя утечку нейтронов (например, за счет поворотных отражателей);

в) за счет изменения поглощающих свойств активной зоны.

Наибольшее распространение в стационарной энергетике получил способ влияния на реактивность r, основанный на изменении поглощающих свойств активной зоны. Для этого в активную зону вводят или выводят из нее специальные стержни регулирования, содержащие материал с большим сечением поглощения нейтронов, например бор. Важно отметить, что для исключения случайного выведения из активной зоны излишне большого количества поглотителя, физический вес одного стержня регулирования (или одной группы стержней) должен быть небольшим - не более доли запаздывающих нейтронов b = 0,006

Однако известно, что реактивность реактора на протяжении кампании изменяется на значительно большую величину, так как в процессе кампании происходит выгорание большого количества ядерного топлива, накапливается много шлаков. В связи с этим свежезагруженный реактор должен обладать большой избыточной реактивностью (запас на кампанию), которая в начале кампании компенсируется специальными органами компенсации большого физического веса. Эти же органы используются для компенсации значительных изменений реактивности, вызванных отравлением активной зоны ксеноном.

Конструкция таких органов компенсации может быть различной. Это может быть большое количество стержней, аналогичных по конструкции стержням регулирования. В ядерных реакторах двухконтурных ЯЭУ АЭС для компенсации запаса реактивности на кампанию широко используется жидкий поглотитель нейтронов - раствор борной кислоты. Изменяя концентрацию борной кислоты в воде I контура, можно влиять на реактивность реактора в достаточно широком диапазоне.

Отметим, что в ЯР не происходит быстрого изменения реактивности на большую величину. Действительно, топливо в активной зоне выгорает медленно, изменение отравления реактора также происходит относительно медленно. Поэтому управление органами компенсации запаса реактивности строится иначе, чем управление стержнями регулирования, обеспечивающими оперативное управление мощностью ЯР.

Наряду с изменением реактивности за счет введения в активную зону поглотителей нейтронов есть еще один фактор, существенно влияющий на реактивность. Речь идет о температурном эффекте реактивности. При изменении температуры активной зоны меняется соотношение вкладов различных материалов активной зоны в размножающие свойства среды. Причем, это соотношение может быть существенно разным для ЯР различного типа. При изменении температурного режима активной зоны от холодного состояния до рабочей температуры суммарный температурный эффект реактивности может быть как положительным, так и отрицательным и достигать 1% и больше. При регулировании конкретного ЯР необходимо учитывать величину и знак его суммарного температурного эффекта.

Очень важной величиной является наклон кривой температурного эффекта в рабочей точке, т.е. знак и величина производной - так называемый коэффициент температурного эффекта.

Реактор, охлаждаемый водой под давлением, как правило, обладает отрицательным коэффициентом температурного эффекта в рабочей точке. Это означает, что, например, при случайном повышении мощности ЯР и при сохранении теплоотвода по II контуру на прежнем уровне произойдет повышение температуры теплоносителя и других элементов активной зоны. При этом за счет отрицательного температурного коэффициента реактивности произойдет уменьшение реактивности ниже нулевого, в результате реактор уменьшит мощность до прежнего значения. Если произойдет случайное уменьшение мощности реактора, то все процессы ее восстановления пройдут в противоположном направлении.

Этим свойством ядерного реактора (его называют свойством саморегулирования реактора) можно воспользоваться для перехода с одного уровня мощности на другой. Для этого достаточно воздействовать только на рабочий контур установки, уменьшая или увеличивая расход рабочего тела и соответственно мощность турбины. Однако при этом переходные процессы в реакторной установке более длительны, изменение отдельных параметров происходит с большим перерегулированием. В этой связи регулирование мощности ЯР за счет использования свойства саморегулирования реактора в качестве самостоятельного способа на АЭС не применяется.

Заметим, что реакторы, охлаждаемые кипящей водой, имеют либо слабо выраженное свойство саморегулирования, либо это свойство отрицательного порядка. В основном это происходит за счет значительного положительного парового коэффициента реактивности. При случайном повышении мощности ЯР происходит повышение паросодержания в активной зоне (следовательно, уменьшение доли воды, которая в значительной мере выступает как поглотитель тепловых нейтронов), что вызывает дальнейшее увеличение реактивности. Такой ЯР свойством саморегулирования не обладает.

В ЯР кипящего типа (особенно в ЯР корпусного типа) реактивность реактора и, следовательно, его мощность могут быть изменены также за счет изменения давления кипящей среды или за счет изменения ее расхода. Действительно, в обоих случаях получим изменение объемного паросодержания в активной зоне и содержания воды. Изменение содержания воды окажет влияние как на замедляющие свойства активной зоны, так и на ее поглощающие свойства. Это изменит реактивность реактора и его мощность. При этом важно, чтобы эти процессы привели к устойчивому состоянию цепной реакции деления ядерного топлива. Кроме того, для таких реакторов предусматривают также традиционную систему управления с регулирующими стержнями. Она обеспечивает пусковые и некоторые другие режимы. Например, на кипящем реакторе АЭС "Дрезден-2" изменение мощности осуществляется как изменением расхода теплоносителя (обычно при сравнительно небольших изменениях мощности - до 30% от первоначальной), так и перемещением регулирующих стержней. Основное достоинство изменения мощности за счет регулирования расхода теплоносителя связано с тем, что при этом не искажается конфигурация нейтронного поля активной зоны.

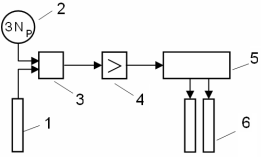
Итак, основной способ регулирования мощности ЯР, нашедший наибольшее распространение среди реакторов, охлаждаемых водой под давлением, сроится на использовании сигнала плотности нейтронного потока, по величине которого регулируются поглощающие свойства активной зоны. Упрощенная схема систем регулирования мощности ЯР такого типа показана на рисунке 1.

Рисунок 1 - Упрощенная структурная схема системы регулирования мощности ЯР, основанная на измерении и регулировании нейтронного поля:  1 - ИК; 2 - задатчик мощности;  3 - сравнивающее устройство; 4 - усилитель;  5 - двигатель перемещения регулирующих стержней; 6 - регулирующие стержни.


В этой схеме разбаланс измеренной и заданной мощности поступает в усилитель 4, после чего - на двигатель перемещения регулирующих стержней.

Такие схемы регулирования мощности ЯР были широко распространены на ранней стадии развития ядерной энергетики. Основной недостаток такой схемы - возможные изменения коэффициента пропорциональности между мощностью ЯР и величиной измеренной плотности нейтронного потока. Поэтому такой регулятор, поддерживая неизменным ток ИК, может поддерживать изменившуюся по величине тепловую мощность ЯР.

Этого недостатка лишена система регулирования, построенная на принципе регулирования тепловых параметров активной зоны ЯР.

Упрощенная схема регулирования мощности ЯР, основанная на этом принципе, показана на рисунке 2.

Рисунок 2 - Упрощенная структурная схема системы регулирования мощности ЯР, основанная на измерении и регулировании тепловых параметров активной зоны:  1 - измеритель регулируемого теплового параметра;  2 - задатчик регулируемого теплового параметра;  3 - сравнивающее устройство и усилитель; 4 - двигатель перемещения регулирующих стержней;  5 - регулирующие стержни



В качестве регулируемого теплового параметра может быть принят комплекс Gт×(tт1 - tт2) (см. зависимость (3)). Если установка работает при Gт = const, то регулируемый параметр принимает вид (tт1 - tт2). Иногда используют только значение температуры теплоносителя на выходе из ЯР tт1, а значение tт2 задается с помощью функционального преобразователя tт2 = f(Np). Могут применяться и иные управляющие сигналы, косвенно характеризующие мощность ЯР - давление пара и др. В отечественных ЯР стационарной энергетики в качестве теплового параметра в основном используется давление генерируемого пара.

Однако и такая схема не свободна от существенных недостатков. Основной из них - большое запаздывание регулируемых параметров по отношению к изменению мощности ЯР. Качество переходных процессов при такой схеме регулирования невысокое - большие перерегулирования параметров, большая длительность переходных процессов.

От недостатков схем, показанных на рисунках 1 и 2, свободны комбинированные схемы, в которых используются как управляющие сигналы по изменению нейтронного потока, так и сигналы по изменению тех или иных тепловых параметров. Такие комбинированные схемы могут строиться по каскадному принципу включения управляющих сигналов (последовательное включение сигналов) или по объединенному принципу (параллельное включение сигналов). Один из возможных вариантов каскадной компоновки комбинированной схемы показан на рисунке 3.

Представленная здесь схема осуществляет регулирование ЯР по сигналу нейтронной мощности (принцип такого регулирования показан на рисунке 1), в которую каскадно включен корректирующий сигнал теплового параметра. Тепловой сигнал формируется аналогично тому, как это показано на рисунке 2.

Рисунок 3 - Упрощенная структурная схема системы регулирования мощности ЯР, построенная как комбинированная схема с каскадным включением сигналов нейтронного потока и тепловых параметров:

- ИК; 2 - задатчик нейтронной мощности; 3 - сравнивающее устройство и усилитель;

- двигатель перемещения регулирующих стержней; 5 - регулирующие стержни;

- измеритель теплового параметра; 7 - задатчик регулируемого теплового параметра;

- сравнивающее устройство и усилитель сигнала регулируемого теплового параметра

Такая система практически мгновенно реагирует на возмущения по сигналу нейтронного потока (обычно по условиям безопасности скорость изменения сигнала ограничивается величиной 0,1…1,0% в секунду). На задатчик нейтронной мощности воздействует каскад теплового сигнала, который вносит коррекцию в управляющий сигнал нейтронной мощности по поведению теплового параметра.

Комбинированная схема системы регулирования может быть построена также по принципу объединения двух управляющих сигналов (параллельное включение двух сигналов) - по нейтронной мощности и по тепловым параметрам. Такая схема показана на рисунке

Рисунок 4 - Упрощенная структурная схема системы регулирования мощности ЯР, построенная как комбинированная схема с параллельным включением сигналов нейтронного потока и тепловых параметров:

- ИК; 2 - дифференциатор сигнала;

- сравнивающее устройство и усилитель;

- двигатель перемещения регулирующих стержней; 5 - регулирующие стержни; 6 - измеритель теплового параметра; 7 - задатчик теплового параметра

Схема регулирования построена аналогично схеме, использующей тепловые сигналы (см. рисунок 2), но в усилитель регулятора 3 через дифференциатор 2 параллельно включен дополнительный сигнал нейтронной мощности от ИК 1. При быстрых возмущениях нейтронной мощности дифференциатор 2 имеет характеристики, близкие к характеристике простого усилителя сигнала, в результате чего система регулирования работает аналогично системе, показанной на рисунке 1. Медленные изменения нейтронного потока практически не влияют на работу дифференциатора 2. В результате система регулирования в целом работает как схема, показанная на рисунке 2. Так как в этом случае происходит медленное изменение мощности, то основной недостаток - запаздывание управляющего сигнала - существенного значения не имеет. Схемы, построенные по такому принципу, обладают наиболее приемлемыми динамическими характеристиками. Они в последнее время нашли наиболее широкое распространение, в том числе на отечественных двухконтурных ЯЭУ АЭС.

Заметим, что в системе регулирования, схема которой показана на рисунке 3, каскадный принцип включения управляющих сигналов предполагает наличие такого традиционного элемента как задатчик нейтронной мощности ЯР. Детальные исследования работы такой системы показывают, что в задатчике мощности нет принципиальной необходимости. Например, в ЯЭУ АЭС с ЯР ВВЭР-1000 от задатчика мощности решили отказаться. Правда, при этом переход с одного уровня мощности на другой при управлении реактором по нейтронной мощности может осуществляться только при ручном дистанционном управлении органами компенсации реактивности. Но затем система может быть поставлена в режим автоматического поддержания достигнутого уровня мощности. В этом случае система запоминает достигнутый уровень мощности и в дальнейшем использует его как сигнал заданной мощности.

3. Регулирование мощности турбогенератора, работающего на автономную сеть

Для выяснения принципов регулирования турбоагрегата рассмотрим вначале простой вариант компоновки электроэнергетической системы: одиночный генератор электроэнергии работает на автономную сеть электропотребления, изолированную от общей сети. В этом случае в такой изолированной сети должна поддерживаться постоянная частота тока на уровне f = 50 Гц. Для этого необходимо поддерживать постоянство частоты вращения ротора турбоагрегата (n = 3000 об/мин, если генератор электроэнергии двухполюсный, и n = 1500 об/мин, если генератор четырехполюсный). Нормы точности поддержания частоты тока весьма жесткие - погрешность не более ±0,1 Гц (временно - не более ±0,2 Гц). Однако, так как сети таких генераторов автономны, то не требуется синхронизация между ними. Это существенно упрощает задачу управления приводной турбиной.

Работа турбоагрегата на автономную сеть используется редко, например, при питании только собственных нужд энергоблока. Это может быть при аварийном отключении генератора от общей сети, при пуске турбоагрегата и в некоторых других нестандартных ситуациях. Однако рассмотрение работы турбоагрегата на автономную сеть позволяет выяснить многие важные особенности работы его системы регулирования.

Паровая турбина - тепловой двигатель вращательного типа. Она вырабатывает механическую энергию, которую потребляет соединенный с нею генератор электроэнергии.

Очевидно, в установившемся режиме крутящий момент турбины Мп должен быть равен моменту сопротивления генератора электроэнергии Мэ и моменту сил трения Мт

Мп = Мэ + Мт (4)

Если произойдет, например, уменьшение нагрузки генератора (пусть отключили один из потребителей электроэнергии автономной сети), то уменьшится момент сопротивления генератора Мэ, нарушится равенство моментов (4), начнется рост частоты вращения агрегата. При некотором новом значении частоты вращения наступит равенство моментов, работа агрегата станет стационарной. Действительно, при увеличении частоты вращения при неизменной подачи пара на турбину (примерно неизменной мощности турбины) ее крутящий момент будет уменьшаться, так как мощность можно выразить как произведение крутящего момента на частоту вращения

N = M · n (5)

В тоже время момент сопротивления генератора будет возрастать, так как основная часть потребителей электроэнергии - вращающиеся механизмы (насосы с электроприводом), частота вращения которых будет возрастать (растет частота вращения генератора, следовательно, растет частота тока, поэтому растет частота вращения потребителей) и поэтому резко растет (почти в кубе) потребляемая ими мощность. Поэтому увеличивается момент сопротивления. Действительно, если принять Мэ=Nэ/n=k·n3/n, то

Мэ = k · n2 (6)

В действительности мощность электромеханизма нарастает несколько менее интенсивно, чем в кубической зависимости (за счет некоторого ухудшения КПД), но все же рост значительный. В этой связи на некотором новом повышенном значении частоты вращения турбоагрегата (и частоты тока) наступит равенство моментов (4) и турбоагрегат начнет работать стационарно. При этом частота вращения n будет значительно больше номинальной, в результате чего частота тока f будет недопустимо большой.

, Гц, (7)

где р - количество пар полюсов генератора (обычно р=1 или 2);

n - частота вращения генератора, об/мин.

В этой связи такой агрегат, который работает на автономную сеть, необходимо регулировать по частоте вращения n, а в роли управляющего сигнала принимают отклонение частоты вращения от заданного.

Dn = nзадан - nизмер (8)

В качестве исполнительного органа такого регулятора должен быть регулирующий клапан турбины, который может изменить расход пара на турбину.

Для измерения частоты вращения ротора турбоагрегата могут быть использованы различные устройства. Наиболее наглядно принцип измерения частоты вращения можно показать на примере механического измерителя. Он построен на использовании центробежной силы вращающихся грузов, перемещению которых противодействует пружина. Схема одной из возможных компоновок такого измерителя показана на рисунке 5.

При вращении грузов 3 возникает центробежная сила, которая растягивает пружину 2 и перемещает грузы 3. При этом через систему рычагов перемещается муфта

Рисунок 5 - Схема механического измерителя частоты вращения, основанная на использовании центробежной силы вращающихся грузов:

- вал вращения грузов; 2 - пружина; 3 - груз; 4 - муфта;

х - координата перемещения муфты; у - координата перемещения груза

Уравнение равновесия сил, действующих в таком механизме, можно записать в виде

m×w2×r = y×c,                                                                              (9)

где m - масса грузов;

w - угловая скорость вращения вала измерителя; - радиус вращения центра тяжести грузов;

у - натяжение пружины;

с - жесткость пружины.

В статически устойчивом измерителе частоты вращения каждому значению w соответствует единственное и вполне определенное положение муфты х. Можно показать, что условием статической устойчивости такого измерителя является выражение

- m×w2 > 0.                                                                                 (10)

В качестве измерителя частоты вращения могут применяться не только механические устройства иной схемы, но и устройства иного принципа действия. В последнее время широко используются гидравлические датчики частоты вращения. Их принцип действия основан на том, что вал турбоагрегата связан с центробежным насосом (обычно масляным), напор которого однозначно определяется частотой вращения вала и используется как сигнал, пропорциональный частоте вращения.

Могут использоваться и иные устройства: генераторы электрического сигнала и пр.

Если с помощью измерителя частоты вращения вала турбоагрегата будет установлено отклонение частоты вращения от заданной, то необходимо в соответствии со знаком и величиной этого отклонения воздействовать на такой исполнительный орган системы регулирования турбоагрегата, который может восстановить частоту вращения. Из рассмотрения уравнения моментов в статическом режиме (4) следует, что для восстановления частоты вращения необходимо воздействовать на паровой момент турбины. Как было показано ранее, воздействие на момент электрогенератора (т.е. на его нагрузку) и на момент сил трения не может рассматриваться как способ регулирования турбоагрегата.

Для воздействия на паровой момент необходимо перемещение муфты измерителя частоты вращения передать органу, регулирующему поступление пара в турбину.

В общем случае количество пара, поступающего в турбину через регулирующий клапан, можно определить по формуле

,        (11)

где a - коэффициент расхода; - площадь проходного сечения регулирующего органа;

р0, v0 - давление и удельный объем пара перед проходным сечением;

р1, v1 - то же за проходным сечением; - показатель адиабаты.

Коэффициент расхода a зависит от конфигурации регулирующего органа. При конструировании стремятся получить максимально возможное значение a. В процессе использования регулирующего органа величина a остается неизменной.

Значения удельного объема пара до и после регулирующего органа определяется соответствующими значениями давления пара и его влажности. Влажность пара необходимо учитывать в расчетах, однако как самостоятельный фактор регулирования расхода пара его рассматривать не следует. То же можно сказать о показателе адиабаты k.

Таким образом, для влияния на расход пара остается три параметра: р0, р1, F.

Давление свежего пара р0 в отечественных энергоустановках АЭС обычно удерживается постоянным на всех уровнях мощности. Возможно также некоторое повышение давления р0 при снижении мощности. Причины выбора того или иного закона изменения давления будут рассмотрены позже.

Если давление свежего пара р0 удерживается постоянным или слегка повышающимся, то расход пара на турбину регулируется изменением проходного сечения регулирующего клапана F. При этом давление пара после клапана (на входе в первый сопловый аппарат турбины) р1 определяется дросселированием пара на регулирующем клапане.

В этом случае возможно регулирование расхода пара одним из следующих способов:

а) дроссельное регулирование, называемое также качественным регулированием. Его суть сводится к тому, что весь подводимый к турбине пар дросселируется регулирующим клапаном, после чего поступает на общую для первой ступени сопловую группу. При этом давление пара перед сопловым аппаратом первой ступени pс для турбины с полным впуском пара в соответствии с известной формулой Стодолы изменяется примерно прямо пропорционально расходу пара на турбину Gт, т.е.

с / pсном » Gт / Gтном;                                                                   (12)

Достоинство дроссельного регулирования расхода пара заключается в простоте пароподводящего устройства и, следовательно, в более высокой его надежности. Однако ему присущи и некоторые недостатки. Основной из них сводится к тому, что в результате дросселирования пара в регулирующем клапане на пониженной мощности турбины существенно уменьшается теплоперепад, срабатываемый в ее проточной части (ри-
сунок 6). Это уменьшает экономичность установки на сниженной мощности. Действительно, величина внутреннего теплоперепада Н i, срабатываемого в турбине на полной мощности (процесс а-б), значительно уменьшается при снижении мощности (процесс в-г).


Рисунок 6 - Изменение внутреннего теплоперепада при дроссельном регулировании мощности

б) сопловое регулирование, называемое также количественным регулированием. В этом случае сопловый аппарат первой ступени турбины разделяют на несколько групп (3…4), на каждую из которых пар поступает через свой регулирующий клапан. При снижении мощности турбины от полной вначале прикрывают регулирующий клапан одной группы сопел, затем после его полного закрытия начинают прикрывать второй клапан и т.д.

При сопловом регулировании расхода пара на сниженной мощности дросселированию подвергается только та часть потока пара, которая поступает на группу сопел с частично прикрытым регулирующим клапаном. Остальные группы сопел первой ступени турбины получают пар полных параметров. В связи с этим экономичность турбины в целом на сниженной мощности выше, чем экономичность турбины с дроссельным регулированием. После первой ступени турбины с сопловым регулированием (ее обычно называют регулировочной ступенью) происходит перемешивание потоков пара, прошедших через различные группы сопел. Для этого камера между первой (регулировочной) ступенью и второй ступенью турбины должна иметь увеличенные осевые размеры.

Процессы расширения пара в регулировочной ступени в обоих его потоках, а также расширение пара в последующих ступенях турбины показаны на рисунке 7.

Рисунок 7 - Расширение пара в проточной части турбины с сопловым регулированием:

 

а-б - расширение пара в регулировочной ступени турбины, прошедшего полностью открытые регулирующие клапана; в-г - расширение пара в регулировочной ступени турбины, прошедшего частично прикрытый регулирующий клапан;

д-е - расширение пара в последующих ступенях турбины

На этом рисунке значения давления пара обозначены: р- давление свежего пара на входе в нерегулируемые группы сопел; р- давление пара на входе в регулируемую группу сопел; p2 - давление пара после регулировочной ступени (в камере смешения), оно же является давлением на входе во вторую ступень турбины; pz - давление пара за последней ступенью турбины.

Важно отметить, что переход к сниженной мощности турбины естественно сопровождается снижением общего расхода пара через турбину. Это требует снижения давления пара за регулировочной ступенью р2. Действительно, так как все последующие ступени турбины нерегулируемые, то уменьшение расхода пара через них может произойти только при снижении давления пара на входе во вторую ступень турбины. А это приводит к значительному повышению перепада давлений и теплоперепада на том секторе регулировочной ступени, который работает на полном давлении пара. Вследствие этого увеличиваются механические нагрузки лопаток регулировочной ступени. Этот фактор особенно актуален для влажнопаровых турбин АЭС. Действительно, для таких турбин из-за невысоких параметров пара его объемные расходы больше, поэтому больше длина лопаток. Влияние этого фактора возрастает для турбин большой номинальной мощности.

Кроме того, рабочие лопатки за один оборот ротора проходят зоны разного давления пара, что приводит к пульсации механических нагрузок на лопатки.

С учетом изложенного в ПТУ АЭС сопловое регулирование не нашло распространения. Была попытка применения соплового регулирования лишь на турбине сравнительно небольшой мощности К-220-4

И еще одно важное обстоятельство следует иметь в виду при выборе способа регулирования расхода пара на турбину. Как уже отмечалось, в силу специфики ЯЭУ АЭС их нецелесообразно использовать на мощности, значительно ниже номинальной (заметное увеличение стоимости электроэнергии на сниженной мощности установки). Поэтому в настоящее время, когда доля АЭС в выработке электроэнергии составляет сравнительно небольшую величину (35…40%), их используют в базовом режиме постоянной мощности, близкой к номинальной. А в этом режиме сопловое регулирование теряет свои преимущества по экономичности перед дроссельным регулированием. С учетом этих соображений на всех отечественных турбинах АЭС применяют более простое с конструктивной точки зрения дроссельное регулирование. Отказались от соплового регулирования и на турбине К-220-4 Ранее выпущенные турбины также перевели на дроссельное регулирование.

Мы рассмотрели два основных способа регулирования расхода пара на турбину - дроссельное и сопловое. Они нашли широкое распространение в паросиловой энергетике. Однако можно указать еще два способа, не нашедших такого же широкого распространения, но представляющих определенный интерес. Это байпасное регулирование и регулирование методом скользящих параметров. Ниже рассмотрена физическая суть этих способов регулирования и область их применения.

Суть обводного (байпасного) регулирования расхода пара через проточную часть турбины сводится к следующему.

Известно, что при полностью открытом регулирующем клапане (на полной мощности турбины) давление пара перед сопловым аппаратом первой ступени достигает максимального значения. Поэтому даже при наличии резерва паропроизводительности невозможно дальнейшее повышение давления пара перед соплами первой ступени турбины и за счет этого повышение его расхода через проточную часть. Это означает невозможность дальнейшего повышения мощности турбины.

Наряду с этим известно, что последующие ступени турбины работают при более низком давлении. Если к ним в обход первой ступени дополнительно подвести свежий пар, то расход пара через эти ступени можно увеличить и таким образом увеличить их мощность. В итоге мощность турбины в целом будет увеличена. Так получают добавочную (перегрузочную) мощность турбины. Одна из возможных схем компоновки турбины с обводным парораспределением показана на рисунке 8.

Рисунок 8 - Схема турбины с обводным парораспределением:

- основной регулирующий клапан;

- обводный клапан

Байпасная подача пара может быть предусмотрена на вторую ступень или на какие-либо иные последующие ступени.

Разумеется, при байпасной подаче пара нарушается оптимальный режим течения пара в проточной части турбины, поэтому экономичность турбины несколько снижается.

В турбинах отечественных АЭС, предназначенных для работы в базовом режиме, в таком способе регулирования расхода пара нет необходимости. Поэтому применения он не нашел.

Если же ЯЭУ используется и в регулируемом режиме, то может появиться необходимость и в перегрузочном режиме на некоторое время. Тогда для турбины такой ЯЭУ может быть предусмотрено байпасное регулирование расхода пара.

В зарубежной практике встречаются АЭС, для которых предусмотрена возможность работы в перегрузочном режиме, для чего установлен клапан обводной подачи пара, например, на двухконтурной АЭС "Бецнау".

Рассмотрим регулирование расхода пара на турбину методом скользящих параметров пара.

Как уже отмечалось, в соответствии с формулой Стодолы для турбины с полным впуском пара снижение расхода пара через проточную часть может быть обеспечено только пропорциональным снижением давления пара на входе в турбину (см. зависимость (12)). Если давление пара в паропроводе поддерживается постоянным, то для обеспечения зависимости (12) при снижении мощности регулирующий клапан должен прикрываться и дросселировать свежий пар, обеспечивая поддержание давления пара в паропроводе на постоянном уровне и одновременно обеспечивая выполнение зависимости (12). В этом и заключается сущность дроссельного регулирования расхода пара на турбину.

Дроссельное регулирование нашло широкое распространение в энергоустановках АЭС (простота парораспределительного устройства, простота системы управления), но при этом на сниженных уровнях мощности заметно снижается КПД цикла, так как снижается теплоперепад, срабатываемый на турбине. Кроме того, даже при умеренном давлении свежего пара в 4…7 МПа дросселирование пара увеличивает его влажность уже на входе в ЦВД. В этом случае заметное повышение влажности охватывает всю проточную часть ЦВД, в силу чего снижается его КПД и надежность (долговечность, безотказность).

В то же время необходимого снижения давления пара перед сопловым аппаратом турбины при снижении мощности по зависимости (12) можно достичь и иным способом. Для этого регулирующий клапан турбины удерживают в полностью открытом положении на всех уровнях мощности. Снижения мощности турбины достигают снижением мощности ЯР (при соответствующем уменьшении подачи питательной воды на парогенератор). При этом уменьшается количество генерируемого пара и поэтому уменьшается расход пара на турбину. Давление пара перед соплами турбины (а также в паропроводе) устанавливается самопроизвольно в соответствии с принципом действия турбины. Это означает, что при снижении мощности энергоустановки давление пара в паропроводе и перед сопловым аппаратом первой ступени снижается ("скользит" вниз) в соответствии с законом, определяемым проточной частью турбины, т.е. в соответствии с зависимостью (12). Такой метод регулирования турбоагрегата называют регулированием при скользящем давлении пара в паропроводе. На рисунке 9 сопоставлены процессы расширения пара в турбине на сниженной мощности при скользящем и постоянном давлении пара в паропроводе.

Рисунок 9 - Процесс расширения пара в турбине при постоянном и скользящем давлении пара в паропроводе

При работе паротурбинной установки насыщенного пара на полной мощности расширение пара в турбине начинается в точке А (сухой насыщенный пар). На сниженной мощности процесс расширения пара сдвигается вправо. Точка начала расширения пара в турбине в соответствии с зависимостью (12) определяется сниженным давлением перед соплами первой ступени рс, величина которого зависит только от заданного расхода пара на турбину, т.е. от заданного уровня мощности. Если в паропроводе поддерживается постоянное давление пара, то к начальному давлению расширения пара в турбине рс приходят за счет дросселирования пара на регулирующем клапане (процесс А-Б). Процесс расширения пара в турбине на сниженной мощности начинается в точке Б (влажный пар). Если же в паропроводе давление "скользит" в соответствии с потребностями турбины, то начальная точка расширения пара в турбине - точка В (сухой насыщенный пар). Замена точки Б на точку В несколько увеличивает теплоперепад, срабатываемый в турбине. Это объясняется тем, что в области влажного пара кривые постоянного давления (изобары) представляют собой несколько расходящийся пучок. В результате КПД цикла возрастает.

Исследования показывают, что для энергоустановок с более высоким номинальным давлением свежего пара применение скользящего давления на частичных нагрузках дает более заметный экономический эффект.

Этим объясняется тот факт, что на ТЭС, где давление свежего пара значительно выше (порядка 15…25 МПа), регулирование ПТУ при скользящем давлении пара нашло достаточно широкое распространение. В то же время на АЭС, где давление пара сравнительно небольшое, скользящее давление пара не применяется. Хотя и в этом случае переход на скользящее давление может дать выигрыш в экономичности частичных режимов, правда менее значительный.

Из рассмотрения рисунка 9 следует, что применение скользящего давления экономически целесообразно до уровня точки Г, в которой параметры пара перед сопловым аппаратом в режиме скользящего давления и в режиме постоянного давления в паропроводе одинаковы. Для влажнопаровых турбин АЭС с номинальным давлением свежего пара 4…7 МПа давление пара методом скольжения может быть доведено до величины порядка 3 МПа. С увеличением номинального давления пара растет диапазон целесообразного снижения давления за счет его скольжения, т.е. отрезок А-Г увеличивается. Снижение давления пара в паропроводе ниже давления в точке Г с точки зрения экономичности ПТУ нецелесообразно. Начиная с этой точки, следует переходить на дроссельное регулирование ПТУ.

Эффект повышения экономичности ЯЭУ может быть увеличен, если при снижении давления пара уменьшать напор питательного насоса. Уменьшение напора насоса значительно уменьшает потребляемую им мощность. Так как питательные насосы - очень мощные механизмы, то снижение их напора внесет заметный вклад в повышение экономичности энергоустановки. Для уменьшения напора питательного насоса необходимо уменьшить его частоту вращения, что может быть реализовано достаточно просто, если привод насоса - паровая турбина. Если же привод - электродвигатель переменного тока, то для уменьшения частоты вращения насоса можно предусмотреть регулирующую гидромуфту. Часто в установке предусматривают несколько параллельно включенных питательных насосов с электроприводом. В этом случае на сниженной мощности ЯЭУ можно часть насосов вывести из работы. Это также внесет положительный вклад в повышение экономичности турбоустановки.

Так как снижение напора питательного насоса вносит дополнительный вклад в экономичность установки, то снижение давления пара методом скольжения можно доводить до значения несколько ниже давления в точке Г (см. рисунок 9).

Из-за смещения процесса расширения пара в проточной части ЦВД вправо уменьшается влажность пара. В результате растет внутренний КПД турбины, улучшаются показатели ее надежности. Исследования одного из турбоагрегатов АЭС показали, что при переводе его с режима постоянного давления пара на режим скользящего давления и при снижении мощности примерно в два раза (Gп= 0,5 Gп.ном) начальная влажность в ЦВД снизилась с 1,9% до 0,5%, а конечная - с 13% до 11,5%.

Снижение влажности в ЦВД уменьшает количество влаги в сепараторе и увеличивает расход пара на ЦНД, в результате чего его мощность увеличивается. Это также вносит положительный вклад в экономичность ЯЭУ.

Так как при скользящем давлении пара на всех режимах установка работает на сухом насыщенном паре, то с уменьшением давления свежего пара уменьшается и его температура. В то же время температура свежего пара определяет температуру перегрева в промежуточном пароперегревателе. Поэтому при снижении мощности снижается температура перегрева, что неблагоприятно сказывается на условиях работы ЦНД: растет влажность пара в его проточной части, снижается внутренний КПД ЦНД. Правда, влажность растет по сравнению с режимом работы на постоянном давлении, но она остается ниже по сравнению с номинальным режимом.

Снижение температуры перегрева имеет и положительную сторону - уменьшается расход греющего пара, что благоприятно сказывается на экономичности ЯЭУ. На некоторых режимах может оказаться целесообразным в интересах экономичности даже отключение второй ступени перегрева, если перегрев двухступенчатый. Например, при испытаниях режимов работы при скользящем давлении на Ленинградской АЭС в результате отключения второй ступени перегрева на половинной мощности блока получили увеличение мощности установки на 2,6%.

Исследования установок с различными схемами промежуточного перегрева пара (одноступенчатый или двухступенчатый) показывают, что при одноступенчатом перегреве переход к скользящему давлению дает несколько больший экономический эффект, чем при двухступенчатом перегреве.

Исследования показывают также, что несколько больший экономический эффект от внедрения скользящего давления пара будет у тех установок, в которых штатное регулирование ПТУ осуществляется при поддержании постоянной средней температуры теплоносителя. Установлено, что выигрыш в экономичности от применения скользящего давления больше для тех ЯЭУ, у которых выше давление в конденсаторе. Следовательно, вопрос о внедрении скользящего давления пара более актуален для АЭС южных районов, а также для АЭС с градирнями.

К другим достоинствам метода регулирования ПТУ при скользящем давлении пара можно отнести повышение надежности оборудования ЯЭУ за счет снижения механических нагрузок на отдельные элементы установки (парогенератор, паропроводы, органы парораспределения ПТУ). В этом режиме в управлении установкой не принимает участие часть элементов системы управления (регулирующий паровой клапан и его сервопривод, регулятор давления пара и др.). Это упрощает режим регулирования ПТУ, повышает надежность работы системы управления в целом.

Отметим также некоторые недостатки режима скользящего давления пара.

В отличие от ТЭС, работающих на перегретом паре, снижение давления на турбинах АЭС сопровождается снижением температуры пара. Поэтому для влажнопаровых турбин АЭС переход на скользящее давление пара не приводит к улучшению маневренных свойств энергоустановки. В режимах скользящего давления пара невозможно форсирование энергоблока в режиме "подхвата" мощности при аварийном снижении частоты тока в энергосистеме.

В процессе регулирования мощности энергоустановки при скользящем давлении пара меняется также температурный режим активной зоны ядерного реактора. Так как ЯР водо-водяного типа обладает весьма большим отрицательным температурным коэффициентом реактивности, то с изменением мощности энергоустановки значительно изменяется реактивность реактора. Это усложняет работу системы управления и защиты реактора (СУЗ), ухудшает маневренные свойства ППУ и ЯЭУ в целом.

В этой связи некоторые исследователи предлагают компромиссное решение вопросов. Его суть сводится к тому, что при незначительном снижении мощности используют дроссельное регулирование турбоагрегата с поддержанием постоянного давления пара в паропроводе. При необходимости значительного снижения мощности и при длительной работе в этом режиме снижают уставку давления пара, обеспечивая при этом все требования к переходному режиму. В дальнейшем продолжают работать в режиме дроссельного регулирования турбоагрегата с поддержанием постоянного, но сниженного давления пара, при котором можно использовать некоторые из отмеченных выше достоинств режима скользящего изменения давления пара, нейтрализуя в известной степени его недостатки по колебанию реактивности ЯР.

Заметим, что ступенчатое изменение давления пара весьма актуально для кипящего реактора одноконтурной ЯЭУ. Изменение давления пара в такой установке непосредственно оказывает весьма существенное влияние на объемное паросодержание в активной зоне и таким образом на реактивность реактора.

Вопрос внедрения скользящего давления пара в практику управления ЯЭУ весьма актуален. По мере расширения атомной энергетики, когда АЭС должны будут шире привлекаться к регулированию нагрузки сети, важность его возрастает. Интерес к нему достаточно высок как в отечественной, так и в зарубежной атомной энергетике. Начиная с 70-годов, ведутся широкие теоретические и экспериментальные исследования режимов скользящего давления пара. Большие работы выполнены в Санкт-Петербургском государственном техническом университете совместно с рядом АЭС (Кольская, Ленинградская и др.). Проводились испытания на АЭС с различными типами турбоустановок (К-220-44, К-500-65/3000, К-1000-60/1500). На Кольской АЭС были проведены натурные испытания - опытная эксплуатация блока с ПТУ К-220-44, где в конце кампании ЯР ВВЭР-440 на протяжении 115 календарных суток установка работала в режиме скользящего давления пара. При этом снижалось давление пара. За время опытной эксплуатации мощность блока была снижена с 440 до 260 МВт, давление пара - с 4,4 до 2,2 МПа, средняя температура теплоносителя при этом снизилась с 284 до 231оС. В результате исследований было показано, что экономичность установки может быть выше ее экономичности при дроссельном регулировании на 0,5…0,6% для ПТУ К-220-44, на 1…1,2% для ПТУ К-500-65/3000, на 0,5…2% для установки К-1000-60/1500.

В настоящее время эксплуатация ЯЭУ АЭС при скользящем давлении свежего пара не включена в регламент эксплуатации энергоустановок в качестве штатного режима. Пока такую эксплуатацию следует рассматривать как опытную. Наряду с этим следует отметить важность и актуальность режима скользящих параметров. В подтверждение этого можно сослаться на ГОСТ 24277-91 (Установки паротурбинные стационарные для АЭС. Общие технические условия), в котором в качестве одного из обязательных требований к ПТУ записано, что турбина должна допускать работу при скользящем давлении свежего пара.

Отметим еще одно весьма важное достоинство регулирования мощности ЯЭУ методом скользящего давления пара. Как уже отмечалось, снижение давления пара сопровождается снижением средней температуры теплоносителя первого контура. Вследствие этого высвобождается реактивность ядерного реактора. Это свойство реактора может быть использовано для увеличения его кампании. Упоминаемая выше опытная эксплуатация ЯЭУ Кольской АЭС с реактором ВВЭР-440 была приурочена к концу кампании реактора, когда его запас реактивности был практически израсходован, а активная зона подлежала очередной плановой перегрузке. Однако в результате постоянного постепенного снижения мощности установки за счет соответствующего снижения давления пара по скользящему закону удалось продлить работу реактора на 115 календарных суток (84 эффективных суток). В результате была получена дополнительная энерговыработка в 917 млн.кВт·ч. Некоторые исследователи предлагают для дополнительного снижения температуры теплоносителя отключать подогреватели высокого давления системы регенерации. Это приведет к снижению температуры питательной воды и, как следствие, к снижению температуры теплоносителя. Такие меры не приведут к повышению экономичности ЯЭУ, но позволят получить дополнительное высвобождение реактивности реактора. Такой же эффект может дать понижение давления в деаэраторе, а также отключение первой ступени промежуточного пароперегревателя либо перевод его на питание свежим паром.

Заметим, что высвобождение реактивности ядерного реактора за счет снижения температуры теплоносителя может быть использовано не только для увеличения кампании, но и для преодоления ксенонового отравления, для получения пиковой мощности и др.

Столь значительные результаты опытной эксплуатации Кольской АЭС по увеличению энерговыработки позволили некоторым исследователям назвать это достоинство метода скользящего давления пара значительно превосходящим все остальные его достоинства. В известной степени с этим можно согласиться, однако при этом следует иметь в виду одно важное обстоятельство. Дополнительная энерговыработка в 917 млн.кВт·ч достигнута при постоянно снижающейся мощности установки. Поэтому можно подсчитать также и недовыработку электроэнергии блоком за указанный период. Очевидно, что эта недовыработка покрывалась за счет дополнительной выработки электроэнергии на ТЭС, затрачивая весьма дорогое органическое топливо (другие АЭС в это время работали в базовом режиме на максимально возможной мощности). Поэтому в каждом конкретном случае необходимо проводить соответствующие технико-экономические исследования, которые покажут экономически целесообразный предел продления кампании ядерного реактора. Результаты этого расчета существенно зависят от таких подвижных показателей, как стоимость одного киловатт-часа электроэнергии, выработанного на АЭС и на ТЭС (для АЭС она значительно ниже), топливная составляющая в стоимости электроэнергии АЭС и ТЭС, капитальная и эксплуатационная составляющие стоимости электроэнергии АЭС и ТЭС и пр.

Отметим еще одну важную особенность опытной эксплуатации Кольской АЭС. В целях выявления влияния различных факторов на продление кампании ядерного реактора в первые 8 суток опытного режима работы ЯЭУ удалось сохранить полную мощность установки, несмотря на то, что запас реактивности реактора к началу режима был израсходован полностью. Для этого за счет дополнительного переоткрытия регулирующего клапана турбоагрегата (открытие клапана на величину, большую номинальной) и вызванного за счет этого некоторого снижения давления пара (с 44 до 41 кГс/см2) удалось снизить среднюю температуру теплоносителя (с 284оС до 276оС). Высвободившейся при этом реактивности реактора оказалось достаточно для работы установки на полной мощности на протяжении восьми суток. Для обеспечения дальнейшей работы установки пришлось снижать мощность. Заметим, что некоторые исследователи предлагают для обеспечения полной мощности установки при сниженном давлении пара вместо низкоэкономичного переоткрытия регулирующего парового клапана предусмотреть байпасное (обводное) регулирование расхода пара. Экономичность такого форсирования мощности турбины несколько выше по сравнению с экономичностью режима с переоткрытием регулирующего клапана.

В заключение отметим, что, несмотря на накопление многих данных по теоретическому и экспериментальному исследованию режима скользящего давления пара в ПТУ АЭС, проблему нельзя считать решенной полностью. Применение скользящего давления пара связано с недостаточно исследованными изменениями рабочих процессов в ППУ и ПТУ, вызывает значительные изменения в нейтронно-физических характеристиках реактора, существенно изменяет температурный режим реактора, парогенератора, турбоагрегата и пр. Требуется дальнейшее исследование этой проблемы, определение границ целесообразности использования режима скользящего давления пара, поиск наиболее рациональных способов его реализации. Именно поэтому в настоящее время в регламент эксплуатации ЯЭУ АЭС режим использования скользящих параметров пара пока не включен.

Итак, мы выбрали регулируемый параметр (частота вращения ротора турбины n), установили регулирующий параметр (расход пара на турбину Gт), на который нужно воздействовать при отклонении регулируемого параметра (частота вращения ротора) от заданного. Регулятор, который связывает измеритель регулируемого параметра (муфту рассмотренного нами простейшего варианта механического измерителя частота вращения) и исполнительный механизм (клапан, регулирующий расход пара на турбину), можно представить как рычаг, с помощью которого перемещение муфты измерителя частоты вращения вызывает соответствующее перемещение исполнительного органа - клапана подачи пара. Такое регулирование называют непосредственным (прямого действия). Однако для мощных турбоагрегатов силы сопротивления исполнительного органа и силы трения в элементах регулятора слишком велики. Поэтому в современных турбоагрегатах применяют так называемое сервомоторное регулирование. За счет перемещения муфты измерителя частоты вращения перемещается золотник регулятора, который управляет потоком силовой жидкости (обычно это масло). Масло перемещает поршень мощного силового гидропривода (сервомотора) и вместе с ним регулирующий паровой клапан турбины. Золотник в сочетании с сервомотором выступает в роли усилителя. Для обеспечения устойчивости такого регулятора в нем предусматривают обратную связь. Схема сервомоторного регулятора с обратной связью показана на рисунке 10.

Рисунок 10 - Сервомоторный регулятор с обратной связью:

- измеритель частоты вращения;

- рычаг;

- золотник;

- сервомотор;

- паровой регулирующий клапан;

- поток силовой жидкости (масла);

- слив силовой жидкости;

- поток пара

Рассмотрим принцип действия такого регулятора частоты вращения.

При случайном снижении нагрузки генератора произойдет повышение его частоты вращения, муфта измерителя частоты вращения поднимется вверх и поднимет точку А рычага 2. Так как точка В зафиксирована положением сервомотора (пока масляные полости сервомотора под поршнем и над поршнем отсечены золотником, поэтому поршень неподвижный), то при этом поднимается и точка Б рычага 2. Соответственно сместится вверх золотник 3, и масло начнет поступать в верхнюю полость сервомотора 4, с нижней полости сервомотора масло пойдет на слив. Поршень сервомотора начнет движение вниз, уменьшая проходное сечение регулирующего парового клапана 5. Уменьшение расхода пара на турбину уменьшит паровой момент турбины, прекратится рост частоты вращения ротора турбины. При этом рычаг 2 поворачивается вокруг неподвижной точки А. Движение точки В вниз вызовет движение вниз и точки Б, в результате чего золотник 3 возвратится в среднее положение. Тогда подводы силовой жидкости (масла) к обеим полостям сервомотора перекроются, сервомотор остановится.

При случайном повышении нагрузки генератора перемещение элементов регулятора происходит аналогично, но в противоположном направлении.

Важно заметить, что во всех установившихся стационарных режимах работы турбоагрегата положение точки Б одно и то же. Действительно, только в среднем положении золотника к полостям сервомотора не подводится силовая жидкость и сервомотор неподвижен. Но положение точки А зависит от частоты вращения: чем частота выше, тем выше точка А. Следовательно, частотой вращения определяется и положение точки В (в том числе положение связанного с нею парового регулирующего клапана). Поэтому можно утверждать, что каждой частоте вращения, поддерживаемой таким регулятором, соответствуют свой расход пара, свой паровой момент турбины и своя мощность турбоагрегата. Зависимость частоты вращения от мощности (статическая характеристика "частота - мощность") имеет характер, показанный на рисунке 11: чем ниже мощность, тем выше частота вращения, и наоборот.

Рисунок 11 - Статическая характеристика регулирования частоты вращения турбоагрегата

Статическая характеристика - совокупность точек, каждая из которых представляет собой параметры возможного установившегося режима работы турбоагрегата. Это означает, что если нагрузить генератор электроэнергии любой нагрузкой из рабочего диапазона, то для каждого случая получим вполне определенное значение частоты вращения (и частоты тока), соответствующее точке статической характеристики.

Статическая характеристика необязательно является прямой линией. Она может быть ломаной или плавной кривой, но характер ее всегда такой же: при увеличении мощности частота вращения снижается. Наклон статической характеристики (иногда его называют степенью статизма) обеспечивается наличием обратной связи и характеризует степень неравномерности регулирования частоты вращения

d = (nхх - nнм) / nнм ,                                                                   (13)

где nxx - частота вращения на холостом ходу;

nнм - то же при номинальной мощности турбины.

В соответствии с нормами стандартов (ГОСТ 24277-91 Установки паротурбинные стационарные для АЭС. Общие технические условия) значение d при номинальных параметрах пара должно составлять 4…5%. При меньших значениях d трудно обеспечить достаточную устойчивость регулирования турбоагрегата, а при больших значениях d ухудшается точность регулирования: происходят большие изменения частоты тока f при сбросах и набросах нагрузки.

В регуляторе с механическими связями между элементами (как это показано на рисунке 10) величину d можно изменить. Для этого можно, например, изменить соотношение плеч рычага 2.

В системах регулирования ПТУ современных АЭС конструктивно предусматривают возможность изменять величину d в некоторых пределах. Так, например, в системе регулирования турбоагрегата К-1000-60/3000 диапазон возможного изменения d составляет 2,5…6% (изменение предусмотрено ступенчатое по 0,6%). Для турбоагрегата К-1000-60/1500-2 этот диапазон составляет 2,5…10%. В то же время отметим, что в практике эксплуатации турбоагрегатов величину параметра d не изменяют. Его значения проверяют в процессе наладки турбоагрегата и оставляют неизменным во всех эксплуатационных режимах.

Иногда обратную связь выполняют гибкой, для чего в связь рычага 2 с сервомотором 4 включают механизм, называемый изодромом. Он позволяет получить статическую характеристику с нулевой неравномерностью. При этом говорят об астатическом регулировании частоты вращения. Тогда на любом уровне мощности агрегата в установившемся режиме n = nзадан. Однако в ПТУ АЭС изодромные регуляторы не нашли применения, так как в этом случае изменение нагрузки в энергосети большой мощности может привести к резким колебаниям нагрузки турбоагрегата.

В процессе управления турбоагрегатом, работающим на автономную электросеть по статической характеристике с некоторым значением d, может возникнуть необходимость в изменении частоты вращения при неизменной нагрузке (например, в процессе синхронизации агрегата перед его включением в общую энергосеть). Для этого достаточно произвести перенастройку регулятора, которая сместит статическую характеристику вверх или вниз (рисунок 12).

Рисунок 12 - Смещение статической характеристики регулирования частоты

Смещение характеристики вверх (кривая 1 переходит в кривую 2) позволит при неизменной мощности P1 перейти из рабочей точки а в точку б и при этом увеличить частоту вращения от n1 до n2.

Для смещения характеристики достаточно в связи элементов регулятора (см. рисунок 10) внести изменения одним из следующих способов:

а) изменить натяжение пружин в измерителе частоты вращения;

б) изменить длину звена связи с рычагом 2 либо измерителя частоты вращения, либо золотника, либо сервомотора. При этом изменение длины звена связи с золотником можно заменить смещением буксы золотника.

В реальных регуляторах могут применяться различные комбинации этих способов. Для простоты рассмотрения вопроса ограничимся случаем смещения буксы золотника.

Устройство, с помощью которого осуществляют перенастройку регулятора, называют механизмом управления турбиной (МУТ). С помощью воздействия на МУТ турбоагрегата можно сместить его статическую характеристику и, следовательно, изменить частоту тока в автономной сети при неизменной нагрузке. В данном случае МУТ можно рассматривать как задатчик частоты вращения турбоагрегата.

Принцип действия регулятора частоты вращения турбоагрегата, представленного на рисунке 10, можно показать с помощью структурной схемы (рисунок 13). Как уже отмечалось, в такой схеме регулируемым параметром является частота вращения ротора турбоагрегата.

Рисунок 13 - Структурная схема регулирования автономного турбоагрегата по сигналу частоты вращения:

- клапан, регулирующий подачу пара на турбину;

- турбина; 3 - генератор электроэнергии; 4 - задатчик частоты вращения (МУТ); 5 - усилитель сервомотора регулятора частоты вращения; 6 - жесткая отрицательная обратная связь; 7 - золотник

На рисунке 10 показана схема регулятора частоты вращения, в котором принят измеритель частоты механического типа и связи между измерителем частоты, золотником сервомотора и сервомотором - также механического типа (рычаг 2). Схема такого регулятора дает наглядное представление о его принципе действия в целом и о взаимодействии отдельных элементов.

Однако регулятор с механическими рычажными связями обладает рядом недостатков, основные из которых - неудобство в компоновке и расположении элементов регулятора, неизбежное наличие люфтов в сочленениях элементов (отсюда снижение точности поддержания параметров), наличие трущихся пар, что снижает надежность регулятора. В настоящее время применяют более совершенные схемы регуляторов с использованием гидравлических и электрических элементов и с соответствующими связями между ними. Широкое распространение получила замена механических рычажных связей гидравлическими, что обеспечивает более рациональную компоновку регулятора, улучшает точность и надежность его работы, упрощает перенастройку регулятора на иной режим работы турбоагрегата. Правда, переход на гидравлические связи между элементами увеличивает затраты энергии на функционирование связей. Кроме того, такая система регулирования более чувствительна к изменению температуры рабочей жидкости.

В качестве примера рассмотрим регулятор, в котором механическая рычажная связь между измерителем частоты вращения и золотником сервомотора заменена гидравлической связью (рисунок 14).

Рассмотрим принцип действия представленного здесь регулятора на примере случайного увеличения нагрузки турбоагрегата.

Пусть произошло увеличение нагрузки генератора. Это приведет к снижению частоты вращения n, грузы датчика частоты вращения сблизятся, и золотник 2 переместится вниз. В результате окно А в буксе 3 несколько прикроется, что приведет к некоторому повышению давления жидкости в проточной линии связи рпр. Под воздействием повышенного давления жидкости золотник 8 переместится вниз, растягивая пружину 7. Золотник 8 откроет подачу силовой жидкости под поршень сервомотора 11, а верхняя его полость будет сообщена со сливным каналом. Поршень сервомотора начнет движение вверх, увеличивая подачу пара на турбину через клапан 12 и, следовательно, восстанавливая частоту вращения ротора турбоагрегата. При этом движение штока сервомотора через рычаг 10 вызовет движение буксы золотника сервомотора 9 вниз, вдогонку движению золотника 8. В результате при некотором новом положении клапана 12 и соответствующем новом значении расхода пара на турбину сервомотор 11 будет остановлен.

Как следует из рассмотрения принципа действия регулятора, в импульсной проточной линии связи давление жидкости рпр является величиной переменной и зависит от соотношения проходных сечений дроссельной шайбы 6 и сливного окна А.

Рисунок 14 - Регулятор частоты вращения с переменным давлением в линии связи: 1 - измеритель частоты вращения; 2 - золотник, регулирующий величину переменного давления в проточной линии связи рпр; 3 - букса настройки регулятора; 4 - линия подачи рабочей жидкости постоянного давления р0 от насоса питания регулятора; 5 - линия проточной подачи жидкости переменного давления рпр; 6 - дроссельная шайба; 7 - пружина золотника сервомотора; 8 - золотник сервомотора; 9 - подвижная букса золотника сервомотора; 10 - рычаг обратной связи; 11 - сервомотор; 12 - клапан, регулирующий подачу пара к турбине; 13 - маховик настройки; 14 - слив; 15 - подача силовой жидкости; 16 - поток пара

В схеме рассмотренного регулятора гидравлическая связь введена только между измерителем частоты вращения и золотником сервомотора. Могут быть и иные схемы, когда гидравлические связи предусмотрены и в других элементах регулятора. Например, линия обратной связи также может быть выполнена гидравлической. Кроме того, схема может быть построена с линиями связи постоянного давления. Могут быть приняты и иные существенные отличия, например, могут быть предусмотрены гидравлические усилители в несколько каскадов усиления сигналов и пр. Так, для турбины К-1000-60/1500 ХТЗ гидравлическая система регулирования выполнена гидродинамической с двойным усилением импульсов и с постоянным давлением среды в линиях первого усиления. Все прямые и обратные связи гидравлические. Рабочее вещество в гидравлической системе - масло марки Т-22 по ГОСТ 32-74 или ТП-22 по ГОСТ 9972-7 Детально устройство и принцип работы таких регуляторов рассматриваются в других специальных курсах.

Принцип действия любого из этих регуляторов частоты вращения остается тем же, что и для ранее рассмотренного регулятора с механическими связями (увеличение частоты вращения сопровождается уменьшением мощности и наоборот). Поэтому дальнейшее рассмотрение принципов регулирования турбоагрегата построено на использовании регулятора с механическими рычажными связями. Наглядность взаимодействия его отдельных элементов позволяет достаточно просто рассмотреть процесс регулирования турбоагрегата и его участие в регулировании энергоблока в целом.

4. Регулирование мощности турбоагрегата, работающего на общую сеть

 Если генератор после завершения пускового режима и синхронизации с электроэнергетической системой включен на общую нагрузку в сеть, то он работает синхронно с сетью и, следовательно, синхронно со всеми генераторами электроэнергетической сети. Частота тока такого генератора точно соответствует частоте тока сети. Следовательно, частота вращения турбоагрегата остается неизменной (если неизменна частота тока в сети) или изменяется (обычно весьма незначительно) синхронно с изменением частоты вращения всех генераторов, работающих на общую электроэнергетическую сеть. Для такого турбоагрегата регулятор частоты вращения можно отключить (его можно оставить в работе только для выработки сигнала защиты агрегата от возможного аварийного превышения частоты вращения выше допустимой).

Правда, оставлять турбоагрегат без автоматизированной системы регулирования нельзя, так как в процессе его работы могут появиться внутренние возмущения, которые выведут его из установившегося режима работы. Например, если изменится температура охлаждающей воды главного конденсатора (изменился режим подачи охлаждающей воды, изменилась температура окружающей среды и пр.), то изменится давление в главном конденсаторе, в результате чего изменится величина срабатываемого в турбине теплоперепада. Это приведет к изменению мощности турбины и, следовательно, мощности генератора. Для поддержания мощности генератора на заданном уровне турбоагрегат можно снабдить регулятором мощности, структурная схема которого показана на рисунке 15.

Регулируемым параметром здесь является величина электрической мощности.

Агрегат, работающий с такой системой регулирования, поддерживает мощность генератора на заданном уровне независимо от частоты тока в сети. Как уже отмечалось, частота тока, вырабатываемого рассматриваемым генератором, строго соответствует частоте тока в сети.

Рисунок 15 - Схема системы регулирования турбоагрегата (ТА) по величине мощности электрогенератора:

- клапан, регулирующий подачу пара на турбину;

- турбина; 3 - генератор электроэнергии;

- измеритель активной мощности генератора;

- регулятор мощности ТА;

- задатчик мощности генератора

Статическая характеристика "частота вращения - мощность" такого турбоагрегата имеет вид, показанный на рисунке 16.

Рисунок 16 - Статическая характеристика турбоагрегата, работающего в базовом режиме и управляемого только регулятором мощности

Режим работы по характеристике, показанный на рисунке 16, для энергоблока АЭС (как и для любой другой электростанции) наиболее благоприятный. На мощности энергоблока практически не сказываются внешние возмущения - возмущения в электросети (колебания или скачки нагрузки).

В такой схеме системы управления регулятор частоты вращения может быть отключен, тогда на работе энергоблока колебания частоты тока в сети не сказываются.

Однако, если на общую энергосеть подключить все генераторы, управляемые только регуляторами мощности, то при случайном изменении нагрузки сети нарушится равенство SРэг = SРэпотр, т.е. наступит несоответствие генерируемой и потребляемой энергии. Правда, и в этом случае произойдет восстановление этого равенства. Но при этом должно наступить значительное изменение частоты тока сети. В результате этого произойдет перераспределение мощности между потребителями, равенство генерируемой и потребляемой мощности энергосети восстановится. Энергосистема перейдет в новое устойчивое состояние. Но в этом случае даже при умеренных изменениях потребляемой мощности произойдет недопустимо большое изменение частоты тока. Поэтому такое управление параллельно работающими генераторами неприемлемо.

Переход электроэнергетической системы в новый устойчивый режим работы покажем на примере, который носит несколько условный характер, но достаточно наглядно дает представление о численном соотношении параметров системы.

Пусть на электроэнергетическую систему работают два турбогенератора, электрическая мощность которых составляет Р1 = 600 МВт и Р2 = 700 МВт. Пусть генераторы управляются регуляторами мощности, т.е. их мощность не зависит от частоты тока в сети. С учетом принятого допущения об отсутствии потерь в сети в стационарном режиме работы суммарная мощность, потребляемая из сети, составляет Рс = У Рэпотр = Р1 + Р2 = 600 + 700 = 1300 МВт. Пусть частота тока в сети составляет f=50 Гц. Дадим дополнительную нагрузку на сеть Рув = DРс = 150 МВт, т.е. нагрузку на сеть увеличим более чем на 10%, а генераторы пусть остаются на той же мощности (600 и 700 МВт соответственно). В результате в сети возникнет дефицит генерируемой мощности. Как уже отмечалось, начнется снижение частоты тока в сети, и за счет этого произойдет перераспределение мощности между потребителями. Высвобождать мощность для покрытия дефицита электроэнергии будут только вращающиеся электропотребители. Потребители типа нагревательных элементов в этом процессе участвовать не будут, так как их мощность практически не зависит от частоты тока. Обычно большинство потребителей сети - вращающиеся механизмы, в нашем примере пусть они составляют 1150 МВт (из общей нагрузки 1300 МВт). Для простоты расчетов примем, что вся дополнительно подключенная на сеть нагрузка представляет собой нагрузку нагревательными элементами Рнаг = Рс - Рвращ = 1300 - 1150 =150 МВт. И последнее допущение. Вращающиеся механизмы по-разному реагируют на изменение частоты тока (следовательно, и частоты их вращения). Насосы с понижением частоты вращения снижают полезную мощность пропорционально кубу частоты. Однако, с учетом некоторого ухудшения КПД насоса и его двигателя снижение потребляемой мощности будет несколько менее интенсивным. Существенно менее интенсивное снижение потребляемой мощности будет для металлорежущих станков и некоторых других механизмов. С учетом сказанного в расчет принято, что суммарная мощность вращающихся потребителей в 1150 МВт будет снижаться пропорционально квадрату частоты тока. Тогда можно записать следующую пропорцию:

2         -  Р1 + Р2 - Рнаг (до увеличения нагрузки на сеть);2            -        Р1 + Р2 - Рнаг - Рув (после увеличения нагрузки на сеть);

или

50-  600 + 700 -150;2   -        600 + 700 -150 - 150.

Отсюда 502 × 1000 = f 2 × 1150,

f = 50×(1000/1150)0,5 = 46,62524 Гц.

Качественно график переходного процесса для рассмотренного случая можно показать на рисунке 17.

Рисунок 17 - Переходный процесс изменения суммарной нагрузки потребителей электроэнергии (Р) и частоты тока (f) при неизменной мощности генераторов 1 и 2; А - зона переходного процесса

Если же повторить расчет режима, но при значительно меньшем увеличении нагрузки, то снижение частоты тока будет меньшим. Рассмотрим случай, когда увеличение нагрузки будет в пределах возможной ошибки диспетчерского графика (2…5 % от нагрузки сети). Принимаем Рув = 0,03 · Рс = 0,03 ·1300 = 39 МВт. Тогда f = 50·(1150-39)0,5/1150 = 49,14486 Гц.

Как и следовало ожидать, уменьшение частоты стало значительно меньшим. Однако, несмотря на то, что увеличение нагрузки сети находится в пределах допустимой погрешности диспетчерского графика (3% от нагрузки сети), уменьшение частоты тока выходит за допустимые пределы ± 0,1 Гц. Следовательно, такое использование генератора неприемлемо.

Турбоагрегат, включенный на нагрузку в общую энергосеть, можно не переводить на регулятор мощности, а оставить под управлением регулятора частоты вращения. В этом случае его рабочая точка будет находиться на соответствующей статической характеристике турбоагрегата - точка А (рисунок 18).


Рисунок 18 - Параметры работы турбоагрегата, работающего на общую энергосеть и управляемого регулятором частоты вращения

Если при этом произойдет увеличение нагрузки сети, то это также вызовет уменьшение частоты тока сети. Генератор электроэнергии, будучи синхронизирован с электроэнергетической сетью, должен уменьшить частоту вращения. В соответствии со статической характеристикой такого генератора увеличится его мощность и его рабочая точка займет положение Б. Увеличение мощности турбоагрегата несколько увеличит мощность, подаваемую в сеть, и, таким образом, будет способствовать уменьшению провала частоты тока. О таком турбоагрегате говорят, что он участвует в первичном регулировании частоты тока. Заметим, что переход рабочей точки из А в Б происходит без перенастройки регулятора частоты вращения, т.е. без воздействия на МУТ турбоагрегата и без смещения его статической характеристики.

В реальных электроэнергетических системах большинство турбоагрегатов, работающих на общую сеть, остаются под управлением своих регуляторов частоты вращения. Такие турбоагрегаты реагируют на возмущения электросети, появляющиеся в результате колебаний и бросков нагрузки в сети.

Рассмотрим особенности работы таких турбоагрегатов. Для простоты рассмотрения вопроса ограничимся случаем параллельной работы на сеть только двух турбоагрегатов, имеющих статические характеристики с одинаковым наклоном d. Статические характеристики таких турбоагрегатов показаны на рисунке 19.

Так как генераторы включены на общую сеть, то они работают синхронно, т.е. их частота вращения строго одинакова (если количество пар полюсов одинаково). Тогда можно записать

1 = n2 = idem. (14)

В исходном состоянии электроэнергетической системы мощность каждого из них определяется соответствующими точками на их статических характеристиках и составляет Р1 и Р2. Очевидно, что мощность, потребляемая из сети, в целом будет

Рс = У Рэпотр = Р1 + Р2.                                                              (15)

Пусть произошло увеличение нагрузки сети на величину DРс. Это приведет к снижению частоты вращения генераторов. Так как генераторы остаются включенными в общую сеть, то снижение частоты вращения у них будет одинаково - Dn.

Рисунок 19 - Распределение нагрузки при параллельной работе двух агрегатов:

а) - статическая характеристика турбоагрегата 1;

б) - статическая характеристика турбоагрегата 2

Если при этом наклон статических характеристик обоих турбоагрегатов одинаков, то каждый генератор увеличит свою мощность на одинаковую величину DР1 = DР2. Если же наклон статических характеристик у турбоагрегатов разный, то тот агрегат, у которого статическая характеристика более пологая, увеличит свою мощность на большую величину

Заметим, что в случае параллельной работы большого количества турбоагрегатов даже при значительном изменении общей нагрузки сети DРс в каждом генераторе произойдет сравнительно небольшое изменение мощности. При этом изменение частоты вращения турбоагрегатов (и соответствующее изменение частоты тока сети) будет весьма незначительным, так как наклон характеристик туробоагрегатов небольшой (d = 4…5%). Параллельно работающие и управляемые своими регуляторами частоты вращения турбоагрегаты без какого-либо вмешательства в настройку их регуляторов при изменении нагрузки сети способны поддержать частоту тока в достаточно узком диапазоне. Первичное регулирование частоты тока за счет частичного распределения дополнительной нагрузки среди всех параллельно работающих турбоагрегатов без вмешательства в работу их регуляторов принципиально не может сохранить неизменность частоты тока при колебаниях нагрузки сети. За счет изменения мощности генераторов в результате их участия в первичном регулировании частоты не может произойти полное восстановление частоты тока. Действительно, только за счет изменения частоты тока и может быть изменена мощность генераторов. Поэтому первичное регулирование частоты тока следует понимать не как восстановление частоты, а как удержание ее от значительного изменения даже при больших изменениях нагрузки сети. Величина оставшегося дефицита мощности будет зависеть также от соотношения в нагрузке сети вращающихся потребителей электроэнергии и потребителей типа нагревательных элементов. Для данного примера работы на сеть двух параллельно включенных генераторов, участвующих только в первичном регулировании частоты тока, изменение параметров энергосети и генераторов показано на рисунке 20.


Рисунок 20 - Переходный процесс изменения суммарной нагрузки потребителей электроэнергии (Р) и частоты тока (f) при первичном регулировании частоты тока генераторами 1 и 2, А - зона первичного регулирования частоты тока

В этом случае частота тока в сети, например, при увеличении нагрузки сети на DРс несколько снизится на величину Df. Снижение будет значительно меньшим по сравнению с ранее рассмотренным вариантом, когда все генераторы управлялись только регуляторами мощности. Это объясняется тем, что в этом режиме несколько увеличивается мощность каждого генератора, что частично компенсирует увеличение нагрузки на сеть.

В таком режиме энергосеть и генераторы стабилизируются при сниженной частоте тока и соответственно повышенной мощности генераторов. Так как переходный режим определяется регуляторами частоты вращения, имеющими очень небольшие постоянные времени, то продолжительность переходного режима Dt = А будет весьма небольшой.

В заключение рассмотрим численное соотношение параметров при первичном регулировании частоты тока для тех же исходных данных, для которых ранее рассматривалось регулирование генераторов электроэнергии с регуляторами мощности. Генераторы переведены на регуляторы частоты вращения. В расчет принято, что статические характеристики турбоагрегатов имеют одинаковый наклон, составляющий 4%. Если принять, что номинальная мощность генераторов составляет 1000 МВт, то уравнения статических характеристик будут:

для генератора 1 f = - 0,002×Pг1 + 51,2;

для генератора 2 f = - 0,002×Pг2 + 51,4;

Можно убедиться, что эти выражения являются статическими характеристиками наших генераторов.

Действительно, в исходном состоянии системы, когда частота тока составляет 50 Гц

f1 = - 0,002×600 + 51,2 = 50 Гц;2 = - 0,002×700 + 51,4 = 50 Гц.

В то же время, наклон таких характеристик составляет 4%. Действительно, для генератора №1 при изменении мощности Pг1 от 0 до 1000 МВт изменение частоты f составляет Df = 51,2 - 49,2 = 2 Гц, что составляет 4% от 50 Гц. Аналогично можно показать, что и для генератора №2 статическая характеристика имеет тот же наклон в 4%.

Из уравнений статических характеристик следует, что изменение мощности генераторов в зависимости от изменения частоты тока можно выразить:

г1 = (51,2 - f1) / 0,002;г2 = (51,4 - f2) / 0,002.

Если принять пропорциональную зависимость между мощностью вращающихся механизмов и квадратом частоты тока, то можно записать пропорцию:

2         -  Р1 + Р2 - Рнаг;2           -        Рг1 + Рг2 - Рнаг - Рув;

или

Отсюда

f2×1150 = 502×[(51,2 - f) / 0,002 + (51,4 - f) / 0,002 - 300];

Это квадратное уравнение для частоты тока f можно записать в виде:

· f2 + 2500000 · f - 127500000 = 0.

Решение такого уравнения:


В этом выражении перед корнем квадратным оставляют только знак «+», так как при знаке «-» решение не имеет физического смысла.

Для простоты решения уравнения все коэффициенты умножим на 0,001.

Тогда f = = 49,8566 Гц

Таким образом, при том же увеличении нагрузки сети в 150 МВт получено значительно меньшее снижение частоты тока, чем в предыдущем примере, где турбоагрегаты управлялись регуляторами мощности (от 50 до 49,8566 Гц против 46,62524 Гц).

Однако, полученн0е значение f = 49,8566 Гц не укладывается в приемлемые пределы изменения частоты тока ± 0,1 Гц. Это объясняется тем, что в расчет принята очень большая дополнительная нагрузка сети в 150 МВт, что составляет больше 10 % общей нагрузки. Если же принят дополнительную нагрузку в пределах возможной погрешности диспетчерского графика 2…5 %, то можно ожидать, что расчетная величина тока не выйдет за допустимые пределы. Повторим расчет частоты тока при Рув = 0,03 · Рс = 0,03 · 1300 = 39 МВт. Тогда в уравнении для частоты тока f коэффициенты a и b останутся теме же, а значение с = 127777500. В этом случае значение установившейся частоты тока будет

f = = 49,9627 Гц.

Таким образом, можно утверждать, что при погрешности в задании мощности по диспетчерскому графику в пределах 2…5 % и при участии всех турбоагрегатов в первичном регулировании частоты значение частоты тока будет в допустимых пределах ± 0,1 Гц.

Вместе с тем для реальных энергетических систем даже в случаях заметных колебаний нагрузки сети ставится задача восстановления и поддержания частоты тока на заданном уровне. Причем, частоту тока следует поддерживать с нулевой неравномерностью. Эта задача может быть решена следующим образом.

Среди большого количества параллельно включенных генераторов, работающих по своим статическим характеристикам и таким образом участвующих в первичном регулировании частоты, выделяют несколько агрегатов для работы в регулируемом режиме. Они обеспечивают восстановление частоты тока за счет автоматического смещения своих статических характеристик (вторичное регулирование частоты тока) в таком направлении, чтобы восстановить баланс вырабатываемой и потребляемой электроэнергии при частоте тока в 50 Гц. Автоматическое смещение характеристик этих агрегатов осуществляется воздействием на их МУТ специальными медленно действующими сетевыми регуляторами частоты, которые обычно выполняются без статической неравномерности (астатические регуляторы). При этом все остальные агрегаты, достаточно быстро реагирующие на изменение нагрузки сети в результате первичного регулирования частоты, постепенно, по мере срабатывания сетевого регулятора частоты возвращаются к первоначальному режиму работы.

Покажем последовательность изменений в параметрах режимов работы на примере двух параллельно работающих турбоагрегатов, один из которых (агрегат 1) управляется сетевым регулятором частоты (рисунок 21).









Рисунок 21 - Участие параллельно работающих турбоагрегатов в первичном и вторичном регулировании частоты тока сети

Пусть 1 и 2 - исходные статические характеристики турбоагрегатов; А1 и А2 - рабочие точки агрегатов в исходном состоянии; Рг1 и Рг2 - исходные значения мощности агрегатов; n0 = n1 = n2 - исходная частота вращения агрегатов.

Если в сети произошло повышение потребляемой мощности на величину DРс, то в результате достаточно быстротекущих процессов первичного регулирования частоты рабочие точки агрегатов сместятся в А1' и А2', частота вращения агрегатов уменьшится до n = n0 - Dn, нагрузка агрегатов возрастет на величину DРг1 и DРг2. При этом процессы изменения параметров произошли аналогично тому, как это было показано в предыдущем примере.

В результате астатического воздействия сетевого регулятора частоты на регулятор первого турбоагрегата его характеристика постепенно сместится в положение 1", рабочие точки турбоагрегатов займут положение А1" и А2 (рабочая точка второго агрегата возвратилась в первоначальное положение), электрические нагрузки составят:

Рг1конечн = Рг1 + DРс и Рг2конечн = Рг2.

Таким образом, все увеличение нагрузки на сеть принял на себя первый турбоагрегат, а нагрузка второго агрегата возвратилась к исходному значению. Частота вращения обоих агрегатов (следовательно, и частота тока в сети) вернулась к исходному значению n0. Переходные процессы изменения мощности генераторов 1 и 2 и изменения частоты тока в сети (частоты вращения генераторов) во времени показаны на рисунке 22.


Рисунок 22 - Переходный процесс изменения суммарной нагрузки потребителей электроэнергии (Р) и частоты тока (f) при первичном регулировании частоты генераторами 1 и 2, а также вторичном регулировании частоты генератором 1.

А - зона первичного регулирования частоты, Б - зона вторичного регулирования частоты.

В заключение отметим, что у агрегатов, которые выделены для автоматического вторичного регулирования частоты (регулируемые агрегаты), исходная рабочая точка на статической характеристике должна быть выбрана так, чтобы в обе стороны от рабочей точки был достаточный регулировочный диапазон мощности. Если же в результате изменений нагрузки сети рабочие точки регулируемых агрегатов заметно сместились, то регулировочный диапазон мощности становится несимметричным. Тогда диспетчер электроэнергетической системы должен дать команду на ручное изменение загрузки турбоагрегатов, не участвующих в автоматическом вторичном регулировании частоты. Для них за счет смещения статических характеристик вручную добиваются изменения нагрузки в таком направлении, чтобы рабочие точки регулируемых агрегатов автоматически снова заняли среднее положении в регулировочном диапазоне мощности. Такое ручное перераспределение загрузки турбоагрегатов иногда называют третичным регулированием частоты тока.

И еще одно замечание. Как показано выше, для восстановления частоты тока сети медленно действующий астатический сетевой регулятор частоты должен перевести на свой турбоагрегат все увеличение нагрузки на энергосеть. Процесс загрузки такого агрегата длительный (он может достигать 10…15 мин.), дополнительная загрузка агрегата весьма большая. Поэтому обычно выделяют еще несколько агрегатов, которые реагируют на изменение частоты тока с некоторой величиной статизма, но действуют значительно быстрее астатического сетевого регулятора частоты и принимают на себя значительную долю изменения нагрузки сети (скорость изменения мощности может достигать до 10% в минуту, хотя и в небольшом диапазоне мощности - порядка ±5%). Их также следует отнести к регулируемым турбоагрегатам. Такие агрегаты облегчают задачу астатических сетевых регуляторов частоты.

5. Особенности регулирования турбоагрегатов АЭС

Турбоагрегаты АЭС, работающие на общую энергосеть, могут использоваться в одном из следующих трех возможных режимов:

поддержание постоянной мощности генератора (чисто базовый режим). Регулятор частоты вращения отключен. На колебания нагрузки сети и колебания частоты тока турбоагрегат не реагирует;

участие турбоагрегата только в первичном регулировании частоты тока. Изменения мощности генератора сравнительно невелики. Такой режим работы также можно считать базовым ( и хотя он не чисто базовый);

участие турбоагрегата как в первичном, так и во вторичном регулировании частоты тока. Изменения мощности генератора могут быть значительными. Режим работы агрегата называют регулируемым.

Как уже отмечалось, для энергоблока АЭС первый режим работы наиболее благоприятный. Однако суммарная мощность энергоблоков АЭС в общем балансе электроэнергии Украины весьма значительна (порядка 40% и больше). Если таким энергоблокам предоставить возможность работать в первом режиме, то все колебания нагрузки сети должны будут принять на себя другие электростанции (ТЭС, ГЭС), участвующие в первичном или в первичном и вторичном регулировании частоты тока. Так как их мощность заметно меньше общей мощности энергосети (в нашем случае это 100% - 40% = 60%, то и колебания мощности таких генераторов будут значительными. В то же время мощные генераторы АЭС способны внести существенный вклад в поддержание нормальной работы электроэнергетической сети. Поэтому с учетом соотношения генерирующих мощностей Украины перед отечественными АЭС поставлена задача участвовать совместно с электростанциями других типов в первичном регулировании частоты тока.

Что касается вторичного регулирования частоты тока, то оно, как уже отмечалось, для ЯЭУ АЭС принципиально возможно, но весьма нежелательно. Основные причины такой постановки вопроса сводятся к двум положениям:

от АЭС, участвующей во вторичном регулировании частоты тока, потребуется сравнительно быстрое изменение мощности в широком диапазоне. В то же время маневренные свойства ЯЭУ АЭС ограничены;

АЭС, участвующая во вторичном регулировании частоты, должна постоянно работать, сохраняя широкий регулировочный диапазон мощности. Это приводит к необходимости работать с постоянной недогрузкой энергоблока. В то же время известно, что работа АЭС с недогрузкой приводит к значительному повышению стоимости вырабатываемой ею электроэнергии.

В тех странах, где доля АЭС в энергетическом балансе значительна (порядка 50% и больше), АЭС вынуждены привлекать и ко вторичному регулированию частоты тока (например, Франция, Финляндия). Для отечественных АЭС в настоящее время не ставится задача участия во вторичном регулировании частоты тока.

.2 Отметим, что даже участие турбоагрегата АЭС только в первичном регулировании сопровождается весьма заметными колебаниями его мощности, а продолжительность работы энергоблока с мощностью, отличной от установившейся, может быть очень длительной. Она определяется продолжительностью переходного режима сетевого регулятора частоты, обычно весьма медленно действующего или продолжительностью прохождения команды диспетчера на третичное регулировании частоты тока. В этой связи для турбоагрегатов АЭС предусмотрен несколько облегченный режим участия в первичном регулировании частоты тока. На рисунке 23 показана одна из возможных схем системы регулирования турбоагрегата, решающая эту задачу.



Рисунок 23 - Схема системы регулирования турбоагрегата АЭС по заданной мощности электрогенератора с его участием в первичном регулировании частоты тока:

- клапан, регулирующий подачу пара на турбину;

- турбина; 3 - генератор электроэнергии;

- трансформатор, вырабатывающий сигнал величины активной мощности генератора; 5 - задатчик мощности генератора; 6 - регулятор мощности генератора;

- реверсивный электродвигатель задатчика частоты вращения; 8 - задатчик частоты вращения (МУТ);

- регулятор частоты вращения

В этой схеме предусмотрен медленно действующий контур регулирования мощности, который не связан непосредственно с клапаном, регулирующим подачу пара на турбину. Через реверсивный электродвигатель он связан с МУТ (механизмом управления турбиной). На подачу пара на турбину непосредственно воздействует быстродействующий контур регулирования частоты вращения.

Если произойдет неплановое изменение нагрузки сети и вызванное им изменение частоты тока, то контур регулирования частоты вращения достаточно оперативно отреагирует на это и соответственно изменит подачу пара на турбину. Иначе говоря, произойдет первичное регулирование частоты тока сети, при котором, как было показано выше, неизбежно произойдет изменение нагрузки турбоагрегата. Это изменение мощности турбоагрегата вызовет срабатывание медленно действующего контура регулирования мощности. Через некоторое время регулятор восстановит мощность на первоначально заданном уровне. Это произойдет за счет того, что регулятор мощности, воздействуя на регулятор частоты вращения через его МУТ, автоматически сместит характеристику турбоагрегата и подберет такую характеристику, что рабочая точка на ней будет соответствовать как заданной мощности генератора, так и сложившейся в сети частоте тока. Характер изменения мощности такого турбоагрегата в динамике показан на рисунке 2

Рисунок 24 - Изменение мощности турбоагрегата в комбинированном режиме поддержания мощности и частоты тока

Постоянная времени регулятора мощности заметно больше постоянной времени регулятора частоты вращения. Основные связи в регуляторе частоты вращения - гидравлические, поэтому он быстро выводит турбоагрегат на увеличенную мощность в результате первичного регулировании частоты. Регулятор же мощности выведет турбоагрегат на прежнюю мощность некоторое время спустя. Однако постоянная времени регулятора мощности значительно меньше постоянной времени сетевого регулятора частоты, т.е. регулятора, в результате действия которого все турбоагрегаты вернутся в исходное состояние. Таким образом, регулятор мощности турбоагрегата АЭС вернет свой генератор в исходное состояние, не дожидаясь воздействия сетевого регулятора частоты.

Кроме того, сигнал частоты вращения (он же сигнал частоты тока), по которому агрегат участвует в первичном регулировании частоты, обычно имеет некоторую зону нечувствительности (величину зоны нечувствительности обслуживающий персонал может изменять). На энергоблоке с турбиной К-1000-60/1500-2 (ЗАЭС) принята зона нечувствительности частоты тока от +0,5 Гц до -1,2 Гц. В связи с этим энергоблок принимает участие в первичном регулировании частоты только при больших скачках нагрузки сети и соответствующих им больших изменениях частоты тока в сети. При этом величина изменения мощности турбоагрегата уменьшается на величину, соответствующую зоне нечувствительности регулятора частоты вращения.

В результате принятия таких мер (соответствующее быстродействие контура регулирования мощности и наличие зоны нечувствительности по сигналу частоты вращения) участие энергоблока АЭС в первичном регулировании частоты происходит в значительно облегченном варианте. Параметры переходного режима такого турбоагрегата можно подобрать так, что его участие в первичном регулировании частоты может и не сказаться на работе ППУ, если изменения в потребностях ПТУ в паре на время переходного режима будут обеспечены за счет использования тепловой энергии, аккумулированной в рабочем контуре: в сепарате сепаратора пара, во влажном паре ресиверов системы промежуточной сепарации и промежуточного перегрева пара, во влаге проточной части турбины и пр.

В то же время даже такое облегченное участие турбоагрегата АЭС в первичном регулировании частоты тока сети весьма благоприятно сказывается на работе электроэнергетической системы в целом. Оно обеспечивает достаточно быструю реакцию турбоагрегата на резкие скачки нагрузки сети и внесет вклад в компенсацию изменения мощности в сети в первоначальный момент времени, когда регулируемые сетевыми регуляторами частоты электростанции еще не успели отреагировать на скачок мощности.

Система регулирования, показанная на рисунке 23, работоспособна, но наличие в ее составе инерционного интегрирующего звена, каким является задатчик частоты вращения МУТ 8, может отрицательно сказаться на качестве динамических переходных процессов. В ряде современных систем регулирования это звено исключают. Тогда управляющие сигналы электрической мощности Рэ и частоты вращения n суммируют и их сумму после усиления подают как управляющее воздействие на паровой регулирующий клапан. Такая схема управления принята на современных турбоагрегатах отечественных АЭС. По такому же принципу суммирования управляющих сигналов Рэ и n построены системы регулирования некоторых зарубежных АЭС (например, электронная система управления ПТУ "Турботрол" на АЭС" "Бецнау").

На сумматор управляющих сигналов могут подаваться и другие корректирующие сигналы. Например, на АЭС "Окони" с сигналом Рэ суммируется сигнал давления пара. Но такое суммирование сигналов решает уже иную задачу, в данном случае задачу общеблочного регулирования ЯЭУ, сущность которого будет рассмотрена ниже.

В заключение рассмотрим численный пример расчета частоты тока в сети, когда не все турбоагрегаты участвуют в первичном регулировании частоты. Это в известной мере соответствует состоянию вопроса в энергосети Украины, где АЭС участвуют в первичном регулировании частоты в настолько облегченном режиме, что практически на незначительные изменения нагрузки сети они не реагируют.

Повторим расчет частоты тока, рассмотренный ранее (см. п. 2) при тех же исходных данных, но регулятором частоты вращения управляется только второй агрегат (он характеризует поведение турбоагрегатов ТЭС и ГЭС, участвующих в первичном регулировании частоты), а первый агрегат управляется регулятором мощности, т.е. он не участвует в первичном регулировании частоты. Его поведение по отношению к сети в значительной степени характеризует поведение турбоагрегатов АЭС. Рассмотрим только вариант небольшого увеличения нагрузки сети Рув=DРс=0,03·Рс.

Для этого варианта пропорция между изменением частоты тока f и мощностью сети принимает вид:

50-  Р1 + Р2 - Рнаг;2           -        Р1 + Рг2 - Рнаг - Рув;

или

50-  600 + 700 -150;2   -        600 + (51,4-f)/0,002 - 150 - 39.

Отсюда f2×1150 = 502×[600 + (51,4 - f) / 0,002 - 150 - 39];

Или 1,15 · f2 + 1250 · f - 65277,5 = 0.

Тогда f = = 49,928567 Гц.

Сопоставление результатов расчета показывает, что выведение первого агрегата из участия в первичном регулировании частоты несколько ухудшает поддержание частоты тока в сети (f = 49,929 Гц по сравнению с
f = 49,963 Гц при участии всех генераторов в первичном регулировании частоты), однако изменение частоты осталось в допустимых пределах
± 0,1 Гц.

6. Программы изменения основных параметров ЯЭУ АЭС

Потребители электроэнергии, вырабатываемой на электростанции, регламентируют количество продукции (мощность электростанций) и ее качество (в основном это напряжение и частота тока сети). Для электростанции это внешние параметры. Остальные параметры, характеризующие работу энергоблока (расходы рабочих сред, значения температуры и давления сред в различных точках контуров и др.) являются внутренними параметрами, значения которых не интересуют потребителя. Но они имеют очень важное значение, так как от их величин и сочетания значений зависят экономичность, надежность, безопасность и ряд других важных показателей работы электростанции.

Для номинальной мощности установки все значения внутренних параметров АЭС определены проектантом в оптимальном сочетании, которое обеспечивает приемлемые значения показателей ЯЭУ. Если при создании установки и в процессе ее эксплуатации нет отступлений от норм, установленных проектантом, то все номинальные значения параметров подтверждаются в реальной практике эксплуатации ЯЭУ.

Но ЯЭУ АЭС используется не только на номинальном режиме. Она может значительную долю времени работать на режимах сниженной мощности, на которых значения ее параметров отличаются от номинальных. Весьма важным является вопрос о принятых закономерностях изменения параметров работы ЯЭУ при снижении ее мощности. Совокупность значений того или иного параметра на различных уровнях мощности принято называть характеристикой ЯЭУ по этому параметру. Если рассматривается совокупность значений параметра на установившихся уровнях мощности (или при медленно протекающем процессе изменения мощности), то говорят о статической характеристике (в отличие от динамической, характеризующей изменение этого параметра во времени при сравнительно быстрых изменениях мощности). В дальнейшем будем рассматривать в основном статические характеристики.

Очевидно, что закономерности изменения многих параметров при изменении мощности установки определяются физическими законами, которым подчиняются процессы, протекающие в соответствующих элементах ЯЭУ. Рассмотрим закономерности изменения основных параметров, т.е. тех, которые характеризуют основной поток энергии от ядерного реактора к тепловому двигателю. Что касается других параметров, то, несмотря на их безусловную важность, они не характеризуют основной поток энергии и поэтому здесь не рассматриваются. К таким параметрам можно отнести давление в I контуре, уровни в компенсаторе давления, в парогенераторе и другие.

Процесс передачи тепла к теплоносителю в активной зоне ЯР двухконтурной ЯЭУ можно характеризовать зависимостью

р = Gт ×cр ×(tт1 - tт2) ,                                                                    (16)

где Np - тепловая мощность ядерного реактора;т - массовый расход теплоносителя;

ср - средняя теплоемкость теплоносителя; т1 и tт2 - температура теплоносителя на выходе из ЯР и на входе в него.

Для такого реактора закон изменения расхода теплоносителя при изменении мощности в принципе может быть принят любым - постоянным или изменяющимся по некоторой закономерности. Однако, учитывая большую мощность главных циркуляционных насосов, обеспечивающих циркуляцию теплоносителя в I контуре, сложность их устройства и сложность регулирования частоты вращения приводных электродвигателей переменного тока, чаще всего принимают неизменный режим работы насосов на всем диапазоне мощности ЯЭУ. Это обеспечивает постоянство расхода теплоносителя Gт. Строго говоря, в этом случае обеспечивается постоянство объемного расхода теплоносителя, но для качественного анализа процессов можно принять допущение, что постоянен массовый расход теплоносителя. Изменением теплоемкости теплоносителя можно пренебречь. Тогда на основании зависимости (16) можно сделать вывод: при постоянном расходе теплоносителя через ядерный реактор степень нагрева теплоносителя (tт1 - tт2) прямо пропорциональна мощности реактора.

Если пренебречь потерями тепла в ППУ, то вся тепловая мощность ядерного реактора передается рабочему телу в парогенераторе - Nпг. Теплопередачу в парогенераторе можно описать зависимостью

пг = Nр = K×F ×(tтср - tsII) ,                                                            (17)

где K - коэффициент теплопередачи в парогенераторе;- поверхность теплопередачи парогенератора;тср - средняя температура греющей среды - теплоносителя;II - средняя температура нагреваемой среды - рабочего тела.

Для двухконтурных ЯЭУ АЭС, генерирующих насыщенный пар и имеющих неявно выраженный экономайзерный участок парогенератора (именно такого типа парогенераторы нашли широкое распространение в отечественной атомной энергетике), можно считать, что величины К и F неизменны. Тогда можно считать, что с изменением мощности установки температурный напор в парогенераторе (tтср - tII) прямо пропорционален мощности. Величина tII - температура насыщения при давлении генерируемого пара.

Заметим, что для направленной передачи тепла в ПГ от теплоносителя к рабочему телу на любом уровне мощности должно быть выдержано не только неравенство tтср > tII, но и неравенства tт1 > tII и tт2 > tII. Иными словами, должен быть обеспечен не только положительный средний температурный напор теплопередачи в ПГ, но и положительный температурный напор на всем протяжении трубной системы ПГ - от входа до выхода.

Две зависимости (16) и (17) связывают три значения температур: tт1, tт2, tII. Из физической сущности этих зависимостей следует, что значения температур теплообменивающихся сред определяются теплопередачей в элементах ЯЭУ. Для однозначного определения температурных режимов I и II контуров (как на номинальной мощности, так и на промежуточных мощностях) необходимо дополнительно к зависимостям (16) и (17) задать и соответствующими регуляторами поддерживать либо температурный режим I контура (тогда температурный режим II контура определится через зависимости (16) и (17), либо температурный режим II контура (тогда через зависимости (16) и (17) определится температурный режим I контура).

Температурный режим I контура во всем диапазоне мощности может быть задан одним из трех способов: либо законом изменения температуры теплоносителя на выходе из ядерного реактора tт1, либо законом изменения температуры теплоносителя на входе в реактор tт2, либо законом изменения средней температуры теплоносителя tтср = 0,5(tт1 + tт2). В стационарной атомной энергетике наиболее распространенный вариант задания температурного режима I контура - задание закона изменения средней температуры теплоносителя tтср . Это объясняется тем, что величина средней температуры теплоносителя используется для выявления влияния температурного режима активной зоны на реактивность реактора. Она определяется как средневзвешенная температура теплоносителя в активной зоне. Ее значение не обязательно совпадает со среднеарифметической. Правда, для большинства реакторов средневзвешенная температура практически совпадает со среднеарифметической.

Рассмотрим способ поддержания принятого закона температурного режима первого контура на примере принятия некоторого закона изменения средней температуры изменения средней температуры теплоносителя tтср. В этом случае предусматривают регулятор средней температуры в котором сравниваются измеренная средняя температура и tтср = 0,5(tт1 + tт2) и заданная tтср. Сигнал заданной tтср может подаваться неизменным (тогда регулятор будет поддерживать фактическую среднюю температуру также неизменной во всем диапазоне мощности ЯР), или же переменный - т.е. по любой целесообразной для установки закономерности tтср(Nяр). В этом случае для формирования tтсрзадан предусматривают функциональный преобразователь соответствующего закона tтсрзадан=f(Nяр). Если в качестве исполнительного органа для такого регулятора предусмотреть регулирующие стержни системы АР, то регулятор временно изменит мощность АР, восстановит величину tтср на заданном уровне и будет поддерживать его по заданному закону во всем диапазоне мощности от 0 до 100%.

Если задан температурный режим II контура, то обычно принимают программу изменения давления пара, которая однозначно определяет закон изменения температуры рабочего тела в парогенераторе - температуры насыщенного пара tII .

Способ поддержания температурного режима второго контура аналогичен ранее рассмотренному способу поддержания температурного режима первого контура. Исполнительный орган регулятора может быть принят тот же, т.е. регулирующие стержни системы АР мощности ЯР.

Если в составе двухконтурной ЯЭУ имеется прямоточный парогенератор, в котором генерируется перегретый пар (такие установки известны в мировой практике), то температура и давление перегретого пара - взаимонезависимые параметры. В этом случае для однозначного определения температурного режима I и II контуров требуется задание дополнительных по сравнению с вариантом насыщенного пара закономерностей. Например, для определения параметров теплообменивающихся сред дополнительно задают программу изменения и температуры, и давления пара. Могут быть и другие сочетания задаваемых параметров.

Если какой-либо параметр может быть задан произвольно, то принятую в ЯЭУ и поддерживаемую регулятором закономерность изменения этого параметра называют программой его изменения. От характера принятых в установке программ зависят также закономерности изменения величин, определяемых по физическим законам происходящих процессов (статистические характеристики). Например, если в ЯЭУ реализуется программа Gт = const, то степень нагрева теплоносителя (tт1 - tт2), определяемая по зависимости (16), прямо пропорциональна мощности реактора. Если же принято, что расход теплоносителя прямо пропорционален мощности реактора (по такой программе обычно регулируют Gт для реакторов с газовым и жидкометаллическим теплоносителем), то в соответствии с формулой (16) степень нагрева теплоносителя остается неизменной во всем диапазоне мощности.

В связи с этим всю совокупность закономерностей изменения внутренних параметров ЯЭУ (как программных, так и по статическим характеристикам) принято называть статической программой регулирования ЯЭУ.

Как уже отмечалось, для простоты реализации программу изменения отдельного параметра чаще всего принимают по закону поддержания постоянного значения параметра во всем диапазоне мощности (хотя могут быть и программы, когда параметры устанавливаются переменными). В этой связи для энергоблоков двухконтурных ЯЭУ, работающих на насыщенном паре, можно отметить два основных типа программ регулирования и два дополнительных варианта:

а) программа регулирования при постоянной средней температуре теплоносителя;

б) программа регулирования при постоянном давлении пара в паропроводе;

в) компромиссная программа, в которой поддерживается средняя температура теплоносителя (или давление пара в паропроводе), но не на постоянном уровне, а несколько изменяемом в функции мощности. Мера изменения программного параметра подбирается такой, чтобы второй параметр (соответственно давление пара или средняя температура теплоносителя) сохранил бы тот же характер изменения, что и в основных программах, но более умеренно в количественном отношении;

г) комбинированная программа, в которой в одних диапазонах мощности поддерживается постоянная средняя температура теплоносителя, в других - давление пара. Может быть и иная комбинация программ. Например, в одних диапазонах мощности поддерживается постоянная температура теплоносителя на выходе из реактора, в других - постоянная входная температура.

Выбор программы регулирования ЯЭУ - весьма важный этап в разработке ЯЭУ. Существенное влияние типа программы регулирования на важные показатели энергоблока покажем на примере технико-экономических показателей.

При регулировании мощности установки по различным программам существенно по-разному ведут себя составляющие стоимости одного киловатт-часа выработанной электроэнергии. Действительно, если при снижении мощности ЯЭУ снижаются параметры пара перед турбиной, то снижается КПД установки, а это приводит к повышению топливной составляющей в себестоимости электроэнергии. Если же программой регулирования предусмотрено поддержание постоянного температурного режима в I контуре ППУ, то это может потребовать применения ряда дополнительных устройств в системе управления установкой. В результате может увеличиться капитальная составляющая в стоимости электроэнергии. При сопоставлении возможных вариантов программ регулирования необходимо исходить из предполагаемых режимов использования ЯЭУ АЭС. Если ожидается, что установка в основном будет работать на номинальной мощности, то следует принять тот вариант программы, который не предполагает увеличение капитальных затрат. Если же ожидаются длительные режимы на сниженной мощности, то удорожание оборудования может быть предпочтительным, если при этом будет получено улучшение экономичности режимов.

Необходимо учитывать также требования к маневренности установки. Например, для обеспечения более быстрого перехода с одного уровня мощности установки на другой (и при большом диапазоне изменения мощности) можно принять программу регулирования расхода теплоносителя I контура пропорционально мощности. Это позволит так построить программу регулирования, что температурный режим ядерного реактора может быть неизменным в достаточно широком диапазоне мощности. Благодаря этому время переходного режима сокращается, хотя конструкция и управление циркуляционным насосом первого контура усложняются. Постоянство температурного режима в активной зоне уменьшает также колебания реактивности реактора при изменении мощности, уменьшает нагрузку на систему компенсации давления, что также сказывается положительно на маневренности установки.

Ниже несколько детальнее рассмотрены особенности различных программ регулирования ЯЭУ АЭС.

Рассмотрим более детально две основные программы регулирования энергоблоков двухконтурных ЯЭУ АЭС с корпусными водо-водяными реакторами и с парогенераторами, генерирующими сухой насыщенный пар. Рассмотрим достоинства и недостатки возможных программ регулирования и область их применения.

Установки указанного типа нашли наибольшее распространение в отечественной стационарной энергетике и за рубежом (в США и ряде других стран).

В СССР их история начинается с первого блока Нововоронежской АЭС (начало строительства - 1957 год, ввод в действие - 1964 год). В процессе развития ЯЭУ этого типа существенно менялись программы регулирования блоков и методы реализации программ.

Как уже отмечалось, в таких установках обычно предусматривают неизменный расход теплоносителя Gт = const. Рассмотрим для этого случая два возможных типа программы регулирования энергоблока:

а) программы с заданием температурного режима I контура по закону tтср = const;

б) программа с заданием температурного режима II контура tII = const (за счет поддержания давления пара по закону рII = const).

Если в ЯЭУ предусмотрен парогенератор сухого насыщенного пара с неявно выраженной экономайзерной зоной, то вся поверхность теплопередачи ПГ работает как испарительная поверхность.

Для качественного рассмотрения вопроса температурный напор теплопередачи в парогенераторе можно представить как разность между средней температурой теплоносителя и температурой рабочего тела - температурой насыщения для принятого давления пара рII, т.е.

dt = tтср - tsII .                                                                             (18)

Отсюда следует: при снижении мощности установки пропорциональное снижение температурного напора в парогенераторе dt (см. зависимость (17)) может осуществляться следующим образом:

а) при поддержании постоянного давления пара рII (следовательно, и его температуры tII) должно произойти изменение средней температуры теплоносителя tтср по линейному закону;

б) при поддержании постоянной средней температуры теплоносителя tтcр орган регулирования подачи пара к турбоагрегату должен обеспечить такое изменение давление пара в паропроводе, чтобы обеспечивалось линейное изменение температуры пара tII.

Тогда указанные выше типы программ регулирования энергоблока принимают вид, показанный на рисунке 25.

Так как численное соотношение между давлением и температурой насыщения - величина переменная, то на рисунке 25 линейному изменению температуры насыщения tII соответствует криволинейный характер изменения давлений пара рII.



Рисунок 25 - Программа регулирования энергоблоков двухконтурных ЯЭУ, работающих на сухом насыщенном паре:

а) - программа рII = сonst; б) - программа tтср= const

Если парогенератор имеет явно выраженную экономайзерную зону (такие парогенераторы установлены на некоторых зарубежных АЭС), то характер кривых изменения температуры и давления сред остается тем же, но количественно ход кривых может быть несколько иной.

Заметим, что если, например, принята программа tтср = const (вариант б на рисунке 25), то это не означает что регулятор поддержания такого температурного режима обязательно построен с помощью регулятора температуры tтср. Хотя такой регулятор проще (постоянство заданного сигнала регулируемого параметра), но по ряду причин может быть принято иное решение. Эта же программа при tтср=const может быть реализована и с помощью регулятора температурного режима второго контура. Для этого достаточно сигнал tIIзадан формировать через функциональный преобразователь по закономерности, изображенной на диаграмме варианта б рисунка 25. Тогда в результате закономерностей передачи тепловой энергии в соответствиями с зависимости (16), (17) и (18) установится требующаяся зависимость tтср = const.

Аналогично зависимость tII = const может быть реализована регулятором средней температуры теплоносителя.

На ранней стадии развития двухконтурных ЯЭУ с водяным теплоносителем под давлением принималась программа регулирования при tтср = const. В частности, по такой программе предусматривалась работа системы регулирования первых двух энергоблоков Нововоронежской АЭС (1964-1969гг.). Достоинства такой программы регулирования сводятся к следующему:

несмотря на значительный отрицательный температурный коэффициент реактивности, присущий ядерным ректорам с водой под давлением, при изменении мощности установки происходит незначительное изменение реактивности реактора. Это облегчает условия работы системы автоматического регулирования мощности реактора. Система регулирования в основном компенсирует только динамические изменения реактивности;

при изменении мощности установки остается практически неизменным объем теплоносителя в I контуре. Поэтому компенсатор давления I контура должен в основном воспринимать только динамические изменения объема теплоносителя. Это значительно облегчает условия работы системы компенсации давления и ее регуляторов;

при изменении мощности незначительно меняется температурный режим активной зоны, а также толстостенных корпусных конструкций ядерного реактора. Благодаря этому в корпусе реактора возникают умеренные термические напряжения даже при сравнительно быстрых изменениях мощности.

Как следует из изложенного, такая программа регулирования энергоблока обеспечивает наиболее благоприятные условия работы реактора и ППУ в целом. Поэтому в условиях недостаточного опыта эксплуатации двухконтурных ЯЭУ она безоговорочно принималась для таких энергоблоков АЭС на ранней стадии их развития.

Вместе с тем программа регулирования, основанная на законе tтср = const, обладает и существенными недостатками.

Как следует из рассмотрения этой программы (см. рисунок 25,б) с уменьшением мощности неизбежно должно расти значение температуры насыщения рабочего тела (так как пропорционально снижению мощности должен снижаться температурный напор в ПГ), а значит, и давление насыщения, т.е. давление пара. Мера повышения давления пара зависит от соотношения температур теплообменивающихся сред на номинальном режиме. Во всех реальных случаях это повышение давления может составить около 50% от номинального. Например, для одного из возможных вариантов ЯЭУ с номинальными параметрами теплоносителя и рабочего тела tт1= 275оС, tт2 = 245оС, tтср = (tт1 + tт2)/2 = (275 + 245)/2 = 260оС, tII = 236оС давление пара повышается от 3,12 МПа (рs при tII = 236оС) до 4,69 МПа (рs при tII = 260оС), т.е. повышение давления составляет около 50% от номинального.

В рассмотренном примере приняты несколько заниженные номинальные параметры ЯЭУ, что было характерно для стационарной атомной энергетики на ранней стадии развития, когда применялись программы регулирования при tтср = const. С ростом номинальных параметров установки мера повышения давления пара несколько снизилась, но незначительно - до величины порядка 45%.

Повышение давления пара при снижении мощности установки резко усложняет условия работы оборудования II контура, утяжеляет его (растет расчетное давление парогенератора, паропровода, парораспределительного устройства турбоагрегата), повышает его стоимость, снижает надежность.

В порядке компромиссного решения вопроса для таких установок обычно идут на некоторое снижение начальных параметров теплоносителя и рабочего тела, что отрицательно сказывается на экономичности установки на номинальной мощности.

При снижении мощности экономичность резко снижается, так как давление свежего пара повышается, а давление пара перед соплами турбины должно снижаться по треугольнику Стодолы прямо пропорционально расходу пара (cм. зависимость (12)). В связи с этим резко возрастает дросселирование пара на регулирующем паровом клапане, что снижает экономичность установки. Кроме того, увеличивается износ регулирующего клапана. За счет дросселирования пара обычно возрастает влажность пара на входе в ЦВД турбоагрегата, что усиливает эрозию лопаточного аппарата турбины и, таким образом, уменьшает его надежность. Повышение влажности в проточной части ЦВД снижает внутренний КПД турбины.

С учетом важности отмеченных недостатков от программы tтср = const в ее чистом виде в настоящее время отказываются. На всех серийных отечественных АЭС перешли на программы регулирования рII = const (постоянное давление пара в паропроводе). Достоинства и недостатки этой программы противоположны достоинствам и недостаткам ранее рассмотренной программы. К достоинствам программы рII = const можно отнести следующее:

КПД цикла и внутренний КПД турбины выше. Причем эта программа позволяет увеличить номинальное давление пара до предельно возможного, поэтому КПД цикла выше не только на промежуточных режимах из-за уменьшения дросселирования пара, но и на номинальном режиме;

условия работы для оборудования второго контура более простые, поэтому его надежность выше, а стоимость оборудования может быть снижена. Многие из устройств II контура работают при постоянном давлении пара и, следовательно, при постоянной температуре, что также благоприятно сказывается на надежности работы, на маневренных свойствах ПТУ.

Основные недостатки программы регулирования по закону рII = const следующие:

при изменении мощности установки из-за изменения температурного режима ядерного реактора изменяется его реактивность. Это увеличивает нагрузку на систему управления реактором;

изменение температурного режима реактора при изменении мощности вызывает увеличение термических напряжений в толстостенных конструкциях трассы I контура;

с изменением мощности увеличивается нагрузка на систему компенсации давления I контура и ее регулятор;

несколько ухудшаются динамические характеристики установки при значительных сбросах и набросах нагрузки на установку.

Многие из отмеченных недостатков могут быть частично скомпенсированы, если переходные режимы осуществлять растянутыми во времени. Hо это значит, что маневренные характеристики установки заведомо ухудшаются.

Сопоставление достоинств и недостатков обоих типов программ регулирования с учетом современного состояния стационарной атомной энергетики однозначно приводит к выводу, что предпочтение следует отдавать программе рII = const. Более того, на первом блоке Нововоронежской АЭС, на которой система регулирования построена по принципу tтср = соnst, для некоторого снижения отрицательных свойств этой программы в последующем были внесены изменения в регламент эксплуатации энергоблока. Суть их сводилась к тому, что регулирование по принципу tтср = const сохранялось в некотором узком диапазоне мощности. При выходе из этого диапазона с помощью задатчика средней температуры теплоносителя ее уставка переводилась на иной уровень (сниженный при снижении мощности). Весь диапазон возможного изменения мощности был поделен на несколько участков, для каждого из которых устанавливался свой уровень средней температуры теплоносителя. Принцип построения такой программы регулирования показан на рисунке 26.

При соответствующем подборе значений tтсрзадан для каждого диапазона мощности можно получить ступенчатое изменение параметров, достаточно близкое к программе рII = const. Ступенчатое изменение параметров ЯЭУ - это недостаток такого решения, но сохранение принципа работы программы по закону tтср = const несколько облегчает условия работы активной зоны. Кроме того, такая трансформация программы регулирования энергоблока позволила сохранить ранее разработанную систему регулирования с незначительными изменениями в ее составе.

Как уже отмечалось, все отечественные энергоблоки двухконтурных ЯЭУ в настоящее время работают по программе рII = const. Внедрение таких программ - прогрессивное явление. Но его не следует считать в полной мере оптимальным, так как неизбежное при этом изменение температуры теплоносителя является заметным недостатком программы. В зарубежной практике создания энергоблоков в последнее время широко внедряются комбинированные и компромиссные программы регулирования, которые позволяют в каждом конкретном случае выйти на приемлемый компромисс между достоинствами и недостатками программ tтср = const и рII = const. Ниже несколько детальнее рассмотрена сущность таких программ регулирования.

Стремление улучшить условия работы оборудования и I и II контуров привело к разработке компромиссной программы, в которой при изменении мощности установки предусмотрено одновременное изменение средней температуры теплоносителя и давления пара. Изменение этих параметров предусмотрено более умеренным, чем в основных программах, т.е. давление пара меняется меньше, чем в программе tтср = const, а средняя температура теплоносителя - меньше, чем в программе рII = const.

Рисунок 26 - Программа регулирования энергоблока по принципу tтср= const при ступенчатом изменении уставки tтсрзадан


Благодаря этому уменьшаются термические и механические нагрузки на элементы конструкций I и II контуров, что увеличивает надежность установки и улучшает ее маневренные свойства. Степень компромисса подбирается с учетом особенностей предполагаемых режимов использования ЯЭУ и исходя из требований к ее маневренности. Такие программы получили распространение на ряде АЭС США (например, на АЭС "Палисейдс"). По такой же программе регулируется АЭС ФРГ "Бецнау". Вид компромиссной программы показан на рисунке 27.

Рисунок 27 - Компромиссная программа регулирования двухконтурной ЯЭУ, работающей на насыщенном паре

Компромиссное уравновешивание недостатков основных программ регулирования (tтср = const и рII = const) может быть получено также за счет применения комбинированной программы регулирования. Ее суть заключается в следующем. В наиболее тяжелых режимах в районе номинальной мощности установка регулируется по программе tтср = const. То, что ЯЭУ АЭС в основном работает на больших уровнях мощности, позволяет наиболее полно использовать достоинства этой программы - незначительное изменение реактивности реактора при изменении мощности, хорошие условия работы системы поддержания давления в I контуре и др. В то же время диапазон мощности, в котором ЯЭУ работает по указанной программе, обычно принимают небольшим, что приводит к сравнительно небольшим изменениям давления пара. Расчеты и опыт эксплуатации АЭС показывают, что если для такой программы принять вполне достаточный диапазон мощности в 70…100%, то на мощности 70% давление пара возрастает лишь на 10…15%. При необходимости дальнейшего снижения мощности установка переводится на программу
рII = const. Такая комбинация двух программ в целом уменьшает диапазон изменения регулируемых параметров и, следовательно, может быть оценена как равнозначная компромиссной программе. Наибольшее распространение комбинированные программы регулирования получили на АЭС ФРГ. Вид комбинированной программы показан на рисунке 28.

Рисунок 28 - Комбинированная программа регулирования двухконтурной ЯЭУ, работающей на насыщенном паре

Выбор мощности, при которой происходит перестройка программы регулирования, определяется рядом факторов: ожидаемым диапазоном наиболее часто используемых мощностей, соотношением номинальных значений параметров и ожидаемым при этом повышением давления пара на границе диапазона программы tтср = const, показателями технико-экономических расчетов, маневренными показателями и др.

Приведем примеры комбинированных программ регулирования и особенности их реализации.

АЭС "Обригейм" (ФРГ). В диапазоне 70…100% мощности поддерживается закон tтср = const. При дальнейшем снижении мощности уставка значения tтсрзадан снижается по такому заранее подобранному закону, что обеспечивается постоянство давления пара;

АЭС "Библис А" (ФРГ). Программа регулирования аналогична программе АЭС "Обригейм". Отличия сводятся к тому, что программа tтср = const охватывает весьма широкий диапазон мощности 20…100%;

АЭС с ядерным реактором DWR-1300 (ФРГ). На шкале мощности выделено четыре диапазона. В двух из них поддерживается постоянная средняя температура теплоносителя, в двух других - постоянное давление пара. Программа регулирования этой ЯЭУ показана на рисунке 29.

















Рисунок 29 - Программа регулирования энергоблока с реактором DWR-1300

В заключение отметим, что для отечественных установок с ЯР ВВЭР-1000, как уже отмечалось, в настоящее время используется программа регулирования при рII = const во всем диапазоне мощности. В то же время система регулирования этих установок построена таким образом, что возможна работа установки и по комбинированной программе, при которой в диапазоне мощности 80…100% поддерживается закон tтср = const. Возможность работы по такой комбинированной программе была предусмотрена при создании системы управления на тот случай, когда за счет строительства новых энергоблоков АЭС возрастет доля вырабатываемой на АЭС электроэнергии (более 50%). Тогда все АЭС не смогут использоваться в базовых режимах (режимах постоянной мощности). Часть АЭС должна будет переведена в регулируемый режим. В этом случае энергоблок должен будет в соответствии с суточным графиком потребления электроэнергии оперативно изменять свою мощность. Для такого энергоблока более рациональной является программа tтср = const. В настоящее время этот вопрос для АЭС Украины неактуален, так как доля мощности вырабатываемой на АЭС, меньше 50%, и поэтому все энергоблоки могут использоваться в более благоприятном для них базовом режиме. Таким образом, возможность использования комбинированной программы регулирования конструктивно в системе регулирования предусмотрена, но не востребована. На отечественных энергоблоках она не используется.

Дальнейшее совершенствование процессов регулирования энергоблоков АЭС и схем систем управления намечено по следующим направлениям:

использование сложных управляющих импульсов (комбинация сигналов tтср и рII) для возможности реализации сложных программ регулирования (компромиссных и комбинированных);

исключение регулирования нейтронной мощности реактора с помощью регулирующих стержней за счет использования способности реактора к саморегулированию;

использование в системе регулирования различных сигналов (мощности, частоты тока сети, давления пара, расхода пара, производных от различных сигналов) для улучшения динамических характеристик комплекса объект-регулятор.

Как уже упоминалось, при регулировании энергоблока методом скользящих параметров давление пара в паропроводе устанавливается самопроизвольно в соответствии с мощностью турбины. Для качественного рассмотрения вопроса приближенно можно принять, что давление в паропроводе прямо пропорционально мощности установки (более точная зависимость давления пара - прямая пропорциональность расходу пара на турбину - см. зависимость (12). Как уже отмечалось, с точки зрения тепловой экономичности давление пара нецелесообразно снижать чрезмерно - ниже величины около 3 МПа или несколько меньше. Кроме того, чрезмерное снижение давления пара в паропроводе может отрицательно сказаться на работе других паропотребляющих механизмов, питающихся паром из главного паропровода. Поэтому, если требуется дальнейшее снижение мощности установки, то целесообразно переходить к дроссельному регулированию давления пара. Таким образом, программу регулирования энергоблока на скользящих параметрах можно рассматривать только в диапазоне больших мощностей (обычно начиная с мощности 40…50%).

Линейное снижение давления пара при снижении мощности ведет к снижению температуры пара, а от поведения температуры пара зависит поведение средней температуры теплоносителя. Так как зависимость между давлением насыщенного пара и его температурой нелинейная, то при линейном снижении давления пара получим нелинейное снижение температуры пара и температуры теплоносителя. Однако при качественном анализе режима регулирования можно принять допущение о линейном характере изменения температур. Тогда программа регулирования может быть представлена в виде, показанном на рисунке 30.

Заметим, что в этой программе имеет место более значительное изменение температур теплоносителя при изменении мощности энергоблока и, следовательно, большее изменение реактивности ЯР. В связи с этим необходимо изменение режима работы энергоблока проводить более медленно с тем, чтобы система автоматического регулирования мощности ЯР успевала справляться с изменением реактивности реактора.

Рисунок 30 - Программа регулирования энергоблока при регулировании турбоагрегата со скользящим давлением пара

7. Регулирование мощности энергоблока АЭС

В предыдущих подразделах были рассмотрены способы регулирования и поддержания на заданном уровне мощности ядерного реактора и электрической мощности генератора. Для реализации тех или иных способов регулирования реактора и турбоагрегата предусмотрены их системы регулирования.

Наряду с этим между указанными системами необходимо предусмотреть соответствующие связи. Эти связи должны обеспечить взаимосогласованные действия систем. Действительно, каждому уровню мощности реактора соответствует вполне определенный уровень мощности электрогенератора и наоборот. Поэтому система регулирования энергоблока в целом должна контролировать параметры ядерного реактора и турбоагрегата и приводить их в строгое соответствие. В этой связи системы регулирования реактора и турбоагрегата следует рассматривать как подсистемы единой системы регулирования энергоблока.

Система регулирования энергоблока должна реагировать на возможные возмущения как со стороны энергосети (для энергоблока это внешние возмущения), так и на внутренние возмущения - либо в ППУ, либо в ПТУ. При этом система регулирования должна поддерживать на заданном уровне либо мощность реактора, либо мощность генератора электроэнергии, либо частоту тока в сети. Эта же система регулирования должна обеспечить переходные режимы при плановых изменениях мощности энергоблока. При этом как в стационарных режимах, так и в переходных режимах должно обеспечиваться такое соотношение параметров ППУ и ПТУ, чтобы соблюдался баланс мощности без сброса излишков пара на конденсатор ПТУ. В противном случае резко снижается экономичность установки. И только в аварийных ситуациях может возникнуть необходимость сброса свежего пара на конденсатор, для чего в установке предусмотрено редуцирующее устройство БРУ-К, а так же БРУ-А, сбрасывающее излишки пара в атмосферу. На стационарных режимах работы и при медленных изменениях мощности с допустимой скоростью работа БРУ-К и БРУ-А недопустима.

В настоящее время в отечественной и зарубежной стационарной атомной энергетике наибольшее распространение получили двухконтурные ЯЭУ, работающие на насыщенном паре. Поэтому в качестве базовых рассмотрим способы регулирования энергоблоков этого типа.

Рассмотренные ниже схемы систем регулирования обеспечивают как автоматическое регулирование энергоблока на стационарном режиме, так и переходные режимы, если изменение мощности происходит достаточно медленно. В переходных режимах, протекающих более интенсивно (аварийные режимы при значительных скачках возмущений и др.), используются эти же системы управления, но при этом вступают в работу различные дополнительные управляющие сигналы и соответствующие устройства, действия которых здесь не рассматриваются.

Система управления (СУ) энергоблоком является системой дистанционного управления, а не системой автоматического управления, так как управляет энергоблоком оператор, а не автомат. Однако система управления в значительной степени автоматизирована, чтобы освободить оператора от необходимости управлять всеми обеспечивающими узлами энергоблока. Правда, за оператором сохраняется возможность при необходимости отключить любой автомат и перевести управление этим элементом установки на ручное дистанционное управление.

Для простоты управления энергоблоком СУ должна быть автоматизирована в такой степени, чтобы управление мощностью энергоблока мог осуществлять один оператор с помощью одного органа управления (задатчиком мощности ядерного реактора или задатчиком мощности турбоагрегата в соответствии с выбранным способом). Второй элемент энергоблока (турбоагрегат или ядерный реактор соответственно) по мощности должен автоматически следовать за управляемым элементом.

В стационарных режимах и режимах планового регулирования энергоблока для реализации взаимосвязанного управления мощностью ядерного реактора и турбоагрегата может использоваться один из следующих способов:

а) первичное управление мощностью турбоагрегата. При этом мощность ядерного реактора автоматически следует за потребностями турбоагрегата;

б) первичное управление мощностью ядерного реактора. При этом мощность турбоагрегата автоматически устанавливается такой, какая может быть обеспечена заданной мощностью реактора.

Для этого необходимо выделить соответствующий параметр энергоблока, поведение которого характеризовало бы соответствие или нарушение энергетического баланса между реактором и турбоагрегатом. В качестве такого параметра для двухконтурных установок, работающих на насыщенном паре, может быть принят тот параметр, который выбран как программно задаваемый при выборе программы регулирования, т.е. давление пара во втором контуре рII или средняя температура теплоносителя первого контура tтср. Принципиально говоря, могут быть приняты и другие параметры, например, температура теплоносителя на выходе из реактора tт1, но такие схемы регулирования распространения не получили. Поддержание выбранного параметра постоянным или по какому-либо заданному закону обеспечит поддержание энергетического баланса между реактором и турбоагрегатом на любой мощности. Чаще всего (во всяком случае в отечественной практике) в двухконтурных ЯЭУ на насыщенном паре в качестве регулирующего параметра принимают давление пара рII. В зарубежной практике достаточно широко распространены также системы регулирования, построенные на использовании в качестве регулирующего параметра средней температуры теплоносителя tтср.

В выборе регулирующего параметра встречаются разные подходы к решению вопроса. Удобно в качестве регулирующего параметра принимать тот, который в принятой программе поддерживается постоянным. В этом случае достаточно просто формируется сигнал заданного уровня регулирующего параметра.

Если принята компромиссная программа регулирования, то в ней оба параметра (tтср и рII) переменны, поэтому в качестве регулирующего может быть принят любой из них. Уставка задатчика регулирующего параметра формируется с помощью функционального преобразователя как функция мощности в виде, соответствующем выбранной программе.

Если же принята комбинированная программа регулирования, то для каждого диапазона мощности можно принять свой регулирующий параметр - тот, который постоянен в этом диапазоне мощности. Но при этом усложняется перестройка системы регулирования при переходе из одного диапазона мощности в другой. Поэтому чаще принимают иное решение вопроса. На весь полный диапазон мощности принимают один и тот же регулирующий параметр: либо tтср, либо рII. При переходе в другой диапазон мощности регулирующий параметр остается тот же, но изменяют закон формирования уставки параметра: переходят с постоянной уставки на переменную или наоборот.

Рассмотрим схему системы регулирования энергоблока, работающего в энергетическом режиме (т.е. включенного в общую энергосеть на нагрузку), в указанных выше двух вариантах (либо первичное управление ЯР, либо первичное управление турбоагрегатом) при использовании регулирующего параметра рII по закону рII = const. Схемы регулирования энергоблока показаны на рисунке 31.

В схемах (а) и (б) предусмотрены следующие регуляторы:

регулятор нейтронной мощности ЯР - (7) (работает только в режиме (б) - в режиме первичного управления ЯР). Задатчик нейтронной мощности - (8). Измеренный сигнал поступает от ионизационных камер - (6). Исполнительный орган - регулирующие стержни ЯР - (5).

регулятор мощности турбоагрегата - (20) (работает только в режиме (а) - в режиме первичного управления турбоагрегатом). Задатчик мощности - (19). Измеритель мощности - (18). Исполнительный орган - МУТ. Таким образом, регулятор мощности воздействует на турбоагрегат только через задатчик регулятора частоты вращения МУТ;

регулятор частоты вращения турбоагрегата - (17). Его задатчик - МУТ - (15). Измеритель частоты вращения - (16). Исполнительный орган - регулирующий клапан турбины - (13);

регулятор давления пара в паропроводе - (11). Его задатчик - элемент (12). Если установка работает по программе постоянного давления пара, то величина заданного давления является неизменной. Измеритель давления - (10). Исполнительный орган:

в режиме (а) - задатчик мощности ЯР - (8), т.е. выходной сигнал регулятора давления воздействует на ЯР через задатчик мощности реактора. Обычно в этом режиме регулятор нейтронной мощности ядерного реактора не используется (его выходной сигнал заблокирован). Управляющий сигнал регулятора давления пара DрII непосредственно воздействует на исполнительные устройства регулирования мощности ЯР - регулирующие стержни;

в режиме (б) - МУТ (15), т.е. выходной сигнал регулятора давления воздействует на турбоагрегат через задатчик частоты вращения МУТ;

Для наглядности рассматриваемых процессов в схемах регулятор мощности турбоагрегата (20) - каскадно (последовательно) включен с регулятором частоты вращения турбоагрегата - (17) в режиме (а). В реальной схеме управляющий сигнал этого регулятора целесообразнее включать параллельно с управляющим сигналом соответствующего регулятора - (17).

Рассмотрим работу системы управления энергоблоком в варианте первичного управление турбоагрегатом (см. рисунок 31,а).

Управление энергоблоком в целом осуществляется задатчиком мощности генератора электроэнергии.

Исходное состояние системы - стационарный режим. Это означает, что уровень мощности генератора равен заданному (DРэ = 0), частота вращения турбоагрегата соответствует частоте тока в сети (Dn = 0), давление пара равно заданному (DрII = 0), мощность ЯР соответствует мощности турбоагрегата. Турбоагрегат работает на общую сеть.

Пусть появилось внешнее возмущение от электроэнергетической системы, в результате которого произошло изменение частоты тока в сети.






Рисунок 31 - Схема системы регулирования двухконтурного энергоблока, работающего в энергетическом режиме:

а) - первичное управление ТА; б) - первичное управление ЯР;

- ЯР; 2 - ПГ; 3 - турбина; 4 - генератор электроэнергии; 5 - регулирующий стержень СУЗ;

- ИК; 7 - регулятор нейтронной мощности ЯР; 8 - задатчик нейтронной мощности;

- сервопривод регулирующего стержня СУЗ; 10 - измеритель давления пара второго контура; 11 - регулятор давления пара; 12 - задатчик давления пара; 13 - клапан, регулирующий подачу пара в турбину; 14 - сервомотор парорегулирующего клапана;

- механизм управления турбиной (МУТ); 16 - измеритель частоты вращения ТА;

- регулятор частоты вращения; 18 - измеритель активной мощности генератора электроэнергии; 19 - задатчик активной мощности генератора электроэнергии;

- регулятор электрической мощности энергоблока

Появится сигнал Dn ¹ 0. Так как турбоагрегат участвует в первичном регулировании частоты тока, то его рабочая точка на статической характеристике перейдет в новое положение, в результате чего изменится мощность генератора электроэнергии. Следовательно, изменится расход пара на турбину. Появится сигнал DРэ ¹ 0. Этот сигнал с некоторым запаздыванием, определяемым постоянной времени регулятора мощности, воздействует на МУТ, сместит статическую характеристику турбоагрегата и, таким образом, восстановит заданную мощность генератора. Восстановится расход пара на турбоагрегат. Правда, в течение некоторого времени мощность генератора отличалась от заданной, следовательно, расход пара на турбину был отличный от стационарного. Это вызовет изменение давления в паропроводе, т.е. в процессе работы регулятора мощности был сигнал DрII ¹ 0. Если сигнал DрII был значительный и воздействовал на систему длительное время (зависит от длительности переходного режима регулятора мощности генератора), то произойдет воздействие на регулятор нейтронной мощности ЯР. В результате реактор изменит свою мощность, и произойдет восстановление давления пара. После восстановления мощности турбоагрегата на предыдущем уровне восстановится на предыдущем уровне и мощность ЯР. Переходный режим закончится.

Пусть появилось внутреннее возмущение. Например, произошло изменение температуры охлаждающей воды в ГК, в результате чего изменилось давление в конденсаторе. В результате изменится срабатываемый в турбине теплоперепад, изменится мощность генератора, появится сигнал DРэ ¹ 0. Этот сигнал, воздействуя на МУТ, сместит статическую характеристику турбоагрегата и восстановит мощность генератора. Так как этот процесс происходит при изменившемся теплоперепаде турбины, то потребуется изменение расхода пара на турбину. При этом неизбежно произойдет изменение давления пара в паропроводе. Появится сигнал DрII ¹ 0, который выведет реактор на новый уровень мощности, необходимый для обеспечения заданной мощности турбоагрегата. Давление пара будет восстановлено. На этом переходный режим завершится.

Если же внутреннее возмущение в системе вызвано перестановкой задатчика мощности генератора на новый уровень, то появится управляющий сигнал DРэ ¹ 0, который воздействует на систему в ранее рассмотренной последовательности (воздействие на МУТ, сдвиг характеристики турбоагрегата и изменение его мощности, изменение давления пара и за счет этого соответствующее изменение мощности ЯР).

Отметим еще одну особенность системы регулирования ЯР. Иногда для улучшения динамики переходных процессов на регулятор нейтронной мощности ядерного реактора подают дополнительный сигнал расхода пара на турбоагрегат (на рисунке 31 не показан). Это позволяет при изменении мощности турбоагрегата сразу же подать сигнал на соответствующее изменение мощности реактора и получить без задержки во времени примерно пропорциональное изменение генерируемой и потребляемой тепловой мощности. Точный энергетический баланс система регулирования обеспечит некоторое время спустя в ранее рассмотренной последовательности.

Если же в режиме первичного управления находится ядерный реактор, то система регулирования энергоблоком в целом работает по схеме, показанной на рисунке 31,б.

Энергоблок управляется задатчиком мощности ЯР.

Исходное состояние системы - стационарный режим. Это означает, что уровень мощности ЯР соответствует заданному (DNр = 0), частота вращения генератора соответствует частоте тока в сети (Dn = 0), давление пара равно заданному (DрII = 0), мощность турбоагрегата соответствует мощности, вырабатываемой в ЯР. Турбоагрегат работает на общую сеть.

Пусть произошло внешнее возмущение в электроэнергетической системе, в результате которого произошло изменение частоты тока в сети. Как и в ранее рассмотренном режиме, появится сигнал Dn ¹ 0. Это приведет к смещению рабочей точки на статической характеристике ТА, т.е. изменится мощность генератора электроэнергии и, следовательно, расход пара на турбину. В результате изменится давление пара в паропроводе, т.е. появится сигнал DрII ¹ 0. Этот сигнал, воздействуя на МУТ, вызовет смещение статической характеристики турбоагрегата таким образом, чтобы произошло восстановление мощности генератора при новой его частоте вращения. Можно считать, что в итоге мощность турбоагрегата придет к прежнему значению, соответствующему заданной мощности ЯР. На этом переходный режим завершится.

Пусть произошло внутреннее возмущение того же характера, что и в режиме (а), т.е. изменилось давление в ГК. Произойдет изменение мощности турбоагрегата. Так как при этом мощность ЯР не изменилась, то генератор выйдет на новый уровень мощности. Изменится давление пара в паропроводе. Регулятор давления пара, влияя на МУТ, вызовет сдвиг характеристики таким образом, чтобы восстановить давление пара. На этом переходный режим завершится.

Если же внутреннее возмущение вызвано изменением заданной мощности ЯР, то изменится паропроизводительность ПГ, изменится подача пара в паропровод, появится сигнал DрII ¹ 0. Этот сигнал, воздействуя на систему регулирования турбоагрегата, изменит расход пара на турбоагрегат, следовательно, изменит его мощность. При этом мощность турбоагрегата будет изменяться таким образом, чтобы восстановилось давление пара. Переходный режим на этом завершится.

Таким образом, в этих режимах при работе по схеме (б) мощность турбоагрегата, следуя за мощностью реактора, всегда находится на таком уровне, который может быть обеспечен при сложившихся параметрах в элементах энергоблока.

Замечание к схеме, показанной на рисунке 31 б. Для выработка сигнала заданной нейтронной мощности ЯР Nрзадан на схеме показан задатчик мощности 8. В реальных схемах регулирования мощности ЯР задатчика мощности нет. Для выработки сигнала заданной мощности принято следующее решение. При необходимости изменения мощности ЯР его снимают с управления регулятором мощности, вручную дистанционно перемещают регулирующие стержни в нужном направлении и таким образом достигаю нового значения мощности. В момент достижения требуемой мощности регулятор мощности включают в работу. Достигнутая мощность запоминается, в дальнейшем она остается неизменной и воспринимается как сигнал заданной мощности. Для простоты восприятия схемы системы управления ЯР АЭС эта особенность схемы на рисунке 31 не отражена.

Как уже отмечалось, в качестве регулирующего параметра может использоваться не давление пара в паропроводе, а средняя температура теплоносителя (см. п. 7.2). Рассмотрим работу такой системы регулирования энергоблока.

Если происходит изменение давления насыщенного пара в паропроводе (следовательно, и соответствующее изменение его температуры), то одновременно происходит и изменение температуры теплоносителя в парогенераторе. Направление изменения температур теплообменивающихся сред одинаково, так как разность температур теплоносителя и рабочего тела, которая определяет температурный напор теплопередачи в парогенераторе, должна оставаться практически неизменной при любом сочетании температуры теплоносителя и рабочего тела. Такая одинаковая направленность изменения давления пара в паропроводе и средней температуры теплоносителя в парогенераторе позволяет принцип построения системы регулирования энергоблока с регулируемым параметром рII перенести на построение системы регулирования энергоблока с регулируемым параметром tтср. Для построения таких схем регулирования достаточно в схемах, показанных на рисунках 31,а и 31,б, узел измерителя давления пара 10, задатчик давления пара 12 и регулятор давления пара 11 заменить узлом с измерителем и задатчиком средней температуры теплоносителя. Схема такого узла показана на рисунке 32.

При этом в схемах, показанных на рисунке 31, управляющий сигнал DрII следует заменить сигналом Dtтср.






Рисунок 32 - Узел измерения средней температуры теплоносителя и формирования сигнала Dtтср:

- ЯР; 2 - ПГ; 21 - измеритель температуры теплоносителя на входе в ЯР tт2; 22 - измеритель температуры теплоносителя на выходе из ЯР tт1;

- задатчик средней температуры теплоносителя tтсрзадан.; 24 - регулятор средней температуры теплоносителя

Принцип действия полученных таким образом схем аналогичен принципу действия схем управления по сигналу рII. Однако, если система обеспечивает поддержание постоянного значения средней температуры теплоносителя tтср = const, то характер изменения параметров установки будет существенно отличаться от характера изменения параметров при рII = const . Так, например, при уменьшении мощности установки в режиме постоянного давления пара рII = const (и, следовательно, постоянной температуры пара) средняя температура теплоносителя будет снижаться. Если же принят принцип поддержания постоянной средней температуры теплоносителя, то при снижении мощности энергоблока давление пара (и его температура) будет повышаться.

Как уже отмечалось, эти же принципы построения схем систем управления могут быть распространены и на случаи компромиссных или комбинированных программ регулирования. При этом достаточно обеспечить изменение уставки задатчика регулируемого параметра (это может быть рII или tтср) по заранее подобранному закону в функции мощности, который реализует принятую программу.

.6 Рассмотрим примеры различных вариантов реализации схем управления отечественных и зарубежных энергоблоков некоторых двухконтурных ЯЭУ АЭС.

На всех отечественных двухконтурных ЯЭУ АЭС регулирование энергоблока может осуществляться в двух режимах: первичное управление мощностью ядерного реактора или первичное управление мощностью турбоагрегата. Например, в установке с ЯР ВВЭР-1000 и турбоагрегатом К-1000-60/3000 для управления реактором предусмотрен автоматический регулятор мощности АРМ, работающий в одном из двух режимов:

режим Н - режим поддержания заданной нейтронной мощности реактора;

режим Т - режим поддержания такой тепловой мощности реактора, которая необходима для обеспечения работы турбоагрегата на заданном уровне его электрической мощности. Этот режим осуществляется за счет поддержания давления пара в паропроводе.

Для управления турбоагрегатом предусмотрена система регулирования мощности, включающая в себя электрическую часть (ЭЧСР), в которой формируются все управляющие сигналы, и гидравлическую часть (ГЧСР). ЭЧСР может работать в одном из двух режимов:

режим РМ - режим поддержания заданной электрической мощности турбоагрегата. Он автоматически устанавливается, если АРМ находится в режиме Т;

режим РД1 - режим поддержания электрической мощности турбоагрегата на уровне, который может быть достигнут при фактической тепловой мощности реактора. Он автоматически устанавливается, если АРМ находится в режиме Н. Этот режим осуществляется за счет поддержания давления пара в паропроводе.

Таким образом, для совместно работающих АРМ и ЭЧСР (ЯР и ТА работают совместно) может быть только два сочетания режимов:

) АРМ - режим Н; ЭЧСР - режим РД1. Это означает, что первичное управление энергоблоком осуществляется через ЯР. Управляющий сигнал энергоблока DNР. Сигнал Dр в регулировании не используется;

) АРМ - режим Т; ЭЧСР - режим РМ. Первичное управление энергоблоком осуществляется через турбогенератор. Управляющий сигнал энергоблока DРЭ. Сигнал DNР в регулировании не используется.

В обоих режимах регулирующим параметром, связывающим ЯР и ТА, является давление пара рII, которое поддерживается постоянным на всем диапазоне мощности установки. В первом режиме (Н - РД1) постоянное давление пара рII обеспечивается за счет автоматического подбора мощности турбоагрегата. Во втором режиме (Т - РМ) постоянное давление пара рII обеспечивается за счет автоматического подбора соответствующей мощности ЯР.

Если проанализировать мировой опыт создания систем регулирования двухконтурных энергоблоков АЭС, то можно заметить, что в подавляющем большинстве случаев режим первичного управления турбоагрегатом принят основным, а в ряде случаев - единственно возможным. В то же время в некоторых современных АЭС применяются и иные принципы регулирования. Например, в некоторых АЭС предусмотрено общеблочное регулирование с параллельным изменением мощности турбоагрегата и ППУ по отклонению частоты тока в энергосети.

Приведем некоторые примеры принципов регулирования зарубежных энергоблоков двухконтурных установок, работающих на насыщенном паре:

АЭС "Ловийса" с ЯР ВВЭР-440 (Финляндия). Существенной особенностью АЭС является то, что ее система управления создавалась для обеспечения регулируемого режима работы энергоблока, в котором предусматривались значительные и достаточно быстрые автоматические изменения мощности. Система регулирования предусматривает первичное управление мощностью турбоагрегата. Регулирующим параметром, по которому на необходимом уровне поддерживается мощность реактора, принято давление пара в паропроводе, поддерживаемое по закону рII = const;

АЭС "Бецнау" с ЯР типа ВВРД. Система регулирования предусматривает первичное управление мощностью турбоагрегата. Регулирующим параметром, по которому поддерживается соответствующая мощность реактора, является средняя температура теплоносителя. Уровень ее снижается при снижении мощности установки. Степень снижения подобрана такой, чтобы несколько уменьшить темп нарастания давления пара во втором контуре, т.е. энергоблок работает по компромиссной программе регулирования. Аналогичным образом построено регулирование энергоблока АЭС "Палисейдс" (США). Заметим, что в АЭС "Палисейдс" для формирования переменного сигнала tтсрзадан в функции мощности установки в качестве сигнала мощности используется давление пара за регулировочной ступенью турбины. В других установках с подобной программой регулирования используются другие сигналы мощности: активная мощность генератора, расход пара на турбину и пр.;

АЭС "Библис А" с ЯР типа ВВРД (ФРГ). Системой регулирования предусмотрено первичное управление мощностью турбоагрегата. Энергоблок регулируется по комбинированной программе: в диапазоне 20…100% мощность реактора регулируется по закону постоянной средней температуры теплоносителя, в диапазоне мощности 0…20% - по закону постоянного давления пара в паропроводе. Регулирующий параметр в обоих диапазонах мощности - средняя температура теплоносителя. По аналогичной схеме работают системы регулирования АЭС ФРГ "Обригейм" и "Штаде", при этом граница мощности, на которой меняется закон поддержания регулируемого параметра, может быть иной. Например, для АЭС "Обригейм" эта граница составляет 70% мощности установки;

двухконтурная АЭС ФРГ с реактором DWR-1300. Системой управления энергоблоком предусматривается первичное управление мощностью турбоагрегата в режимах работы блока под нагрузкой. В переходных режимах при изменении мощности энергоблока осуществляется первичное управление мощностью ядерного реактора. Регулирующий параметр - средняя температура теплоносителя во всех диапазонах мощности. При этом в диапазонах мощности 23…34,5% и 51…100% поддерживается постоянной средняя температура теплоносителя, а в диапазонах мощности 0…23% и 34,5…51% уставка средней температуры теплоносителя формируется в функции мощности таким образом, чтобы при этом выдерживался закон постоянства давления пара. Заметим, что в энергетических режимах работы энергоблока, когда турбоагрегат обеспечивает заданную мощность, возможно также участие турбоагрегата в первичном и даже вторичном регулировании частоты тока.

Все отмеченные здесь особенности регулирования зарубежных энергоблоков АЭС носят ориентировочный характер и не раскрывают всех возможностей их систем регулирования.

В заключение отметим, что, как уже упоминалось, отечественные двухконтурные ЯЭУ АЭС регулируют по программе рII = const. В то же время система регулирования может обеспечить также комбинированную программу, при которой в диапазоне мощности 80…100% поддерживается закон tтср = const. Однако и в этом случае регулирующим параметром остается давление пара рII. Его уставка рIIзадан формируется функциональным преобразователем по закону рIIзадан = f(Np), который обеспечивает постоянство средней температуры теплоносителя.

Регулирование установки с кипящим реактором может быть построено либо при первичном управлении мощностью реактора, либо при первичном управлении мощностью турбоагрегата.

В качестве регулирующего параметра могут применяться тепловые параметры, характеризующие работу активной зоны. Так как в активной зоне происходит парообразование, то ее температурный режим использовать как регулируемый параметр затруднительно. Наиболее подходящим регулирующим параметром является давление генерируемого пара. Для обеспечения нормальной работы реактора целесообразно поддерживать давление пара на постоянном уровне с высокой степенью точности. Колебания давления пара, неизбежные в процессе регулирования мощности, должны быть небольшими, так как эти колебания вызывают колебания объемного паросодержания в активной зоне и, следовательно, колебания реактивности реактора. В этой связи более целесообразно использование варианта, когда первичное управление осуществляется мощностью реактора, а регулирование турбоагрегата подчинено поддержанию давления пара в паропроводе, т.е. давление пара поддерживается постоянным за счет изменения подачи пара на турбоагрегат. Инерционность такого контура меньше, точность поддержания давления пара выше.

Именно такая схема управления реализована на отечественной одноконтурной установке с ЯР РБМК-1000. Первичное управление мощностью реактора осуществляется только регулятором нейтронной мощности. Турбоагрегат регулируется подачей пара на турбину, обеспечивая постоянство давления пара.

Что касается зарубежных энергоблоков с кипящими реакторами, то на большинстве из них в энергетических режимах также предусмотрено первичное управление мощностью реактора. Регулирование турбоагрегата осуществляется по принципу поддержания давления пара на постоянном уровне.

Ниже приведены особенности систем регулирования некоторых зарубежных одноконтурных энергоблоков:

АЭС "Дрезден-2". Первичное управление осуществляется мощностью ядерного реактора. Мощность реактора регулируется перемещением регулирующих стержней (только на больших уровнях мощности - более 30%) и изменением расхода среды в активной зоне. Давление пара поддерживается постоянным с помощью регулирующего клапана турбины. Регулятор частоты вращения турбины на энергетических уровнях мощности работает только как предельный и вступает в работу при чрезмерном превышении частоты вращения над заданной;

АЭС "Вюргасен" с кипящим водо-водяным реактором. Первичное управление осуществляется мощностью ядерного реактора. Мощность реактора регулируется перемещением регулирующих стержней и автоматически поддерживается на заданном уровне изменением расхода среды в активной зоне. Установка может работать в регулируемом режиме в диапазоне мощности 35…100%. При этом предусмотрено автоматическое ступенчатое изменение мощности по ±0,1 РЭном в минуту. Давление пара поддерживается постоянным с помощью регулирующего клапана турбины, но в переходных режимах при больших скачках мощности возможно временное изменение уставки давления пара.

Если рассматривается регулирование отечественного энергоблока АЭС при скользящем давлении пара, то необходимо учитывать, что к настоящему времени речь может идти только об опытной эксплуатации блока, штатная система управления которого создана для реализации какого-либо иного ранее рассмотренного способа: первичное управление - либо реактором, либо турбоагрегатом; регулирующий параметр - средняя температура теплоносителя, закон изменения регулирующего параметра - константа или какая-либо функция мощности.

В режиме регулирования блока при скользящем давлении пара первичное управление блоком может осуществляться только ядерным реактором. Система автоматического регулирования турбоагрегата из действия выводится. Регулирующий клапан подачи пара на турбину ставится в полностью открытое положение. Весь процесс регулирования мощности блока определяется характеристиками системы управления ППУ. Правда, при этом может быть предусмотрено участие элементов системы управления турбоагрегатом в некоторых переходных режимах энергоблока. Разумеется, все элементы системы регулирования турбоагрегата, осуществляющие его защиту, остаются в работе.

8. Регулирование уровня воды в парогенераторах двухконтурных ЯЭУ

На установившихся уровнях мощности расход рабочего тела, подаваемого для генерирования пара, точно соответствует паропроизводительности ППУ. Это означает, что генерируемая в активной зоне реактора тепловая мощность полностью соответствует тепловой мощности, передаваемой рабочему телу. Разность между ними составляют тепловые потери в ППУ. Эта величина обычно очень небольшая - порядка 1% и меньше.

В ЯЭУ АЭС, работающих на насыщенном паре, парогенерирующие устройства (парогенератор или активная зона кипящего реактора) работают с кратностью циркуляции больше единицы. Следовательно, в их составе обязательно должен быть сепаратор с некоторым уровнем воды. В отечественных двухконтурных энергоблоках парогенератор выполняется с встроенным сепаратором, и уровень воды устанавливается в корпусе ПГ. Этот уровень воды можно принять за показатель соответствия тепловой мощности, приносимой теплоносителем в ПГ, и расходом питательной воды на ПГ, которая за счет этой тепловой энергии теплоносителя превращается в пар. Изменение уровня в ПГ в ту или иную сторону говорит о нарушении соответствия и о его направлении. Для восстановления баланса необходимо соответствующим образом изменить расход питательной воды или мощность ядерного реактора.

В энергетических установках отечественных АЭС уровень воды в ПГ поддерживается на заданном уровне за счет коррекции расхода питательной воды. Основным сигналом для автоматического регулирования расхода питательной воды является уровень воды в парогенераторе. Для улучшения динамических характеристик регулирования расхода питательной воды в регулятор уровня введены также корректирующие сигналы. В качестве корректирующих сигналов используется расход питательной воды и расход пара. В последнее время в качестве корректирующих сигналов используются расход питательной воды и перепад температур теплоносителя на входе-выходе ЯР. Такие регуляторы называют трехимпульсными. С переходом на более широкое использование в системах управления цифровой вычислительной техники для улучшения динамических характеристик регулирования подачи питательной воды в парогенератор количество корректирующих сигналов может быть увеличено, но основным управляющим сигналом остается уровень воды в ПГ.

Для нормальной работы установки в стационарном режиме важно иметь не только стабильность уровня воды в сепараторе, но и определенное значение уровня. Изменение уровня в парогенераторе должно быть небольшим, так как значительное снижение уровня может привести к оголению части трубной системы парогенератора (тогда она перестает работать как парогенерирующая поверхность), а значительное повышение уровня может привести к забросу воды в паропровод.
В парогенераторе ЯЭУ с ВВЭР-1000 эта точность регулирования установлена ±50 мм от заданного.

Следует иметь в виду, что при увеличении мощности установки в парогенерирующем устройстве генерирование пара нарастает. В результате в толще воды под зеркалом испарения паросодержание увеличивается. Так как обычно уровень воды в сепараторе измеряется гидростатическим способом, то даже при поддержании постоянного гидростатического уровня фактический уровень воды несколько изменяется. При увеличении мощности происходит так называемое "вспухание" уровня. Особенно заметным изменение фактического уровня воды в ПГ может быть в переходных режимах.

Рассмотрение задач и физической сущности регулирования уровня воды в парогенераторе позволяет утверждать, что эта система обеспечивает соответствие между тепловыделением в активной зоне ЯР и теплоотводом от теплоносителя к рабочему телу в ПГ.

В одноконтурных установках построение системы регулирования расхода питательной воды остается тем же. Основным управляющим сигналом является уровень воды в барабане-сепараторе ядерного реактора.

9. Регулирование давления в главном конденсаторе

С изменением режима работы энергоблока изменяется величина давления в конденсаторе. Величина давления в конденсаторе является параметром, существенно влияющим на экономичность паротурбинной установки и энергоустановки в целом. Ниже рассмотрено влияние ряда факторов на величину давления в конденсаторе.

Применительно к давлению в конденсаторе не совсем уместно говорить о его регулировании, так как величина давления устанавливается самопроизвольно в зависимости от паровой нагрузки на конденсатор (расход конденсирующегося пара Gп) и с учетом ряда факторов, обуславливающих работу конденсатора. К этим факторам можно отнести расход и температуру охлаждающей воды, техническое состояние поверхности конденсации, плотность вакуумной системы, качество работы системы отсоса паровоздушной смеси и др. Оперативный обслуживающий персонал может оказывать влияние на некоторые из этих факторов и таким образом влиять на давление в конденсаторе.

Давление в главном конденсаторе рк определяется условиями конденсации пара. Величину давления в зависимости от определяющих его факторов называют характеристикой конденсатора.

Для простоты рассмотрения вопроса обычно исключают временно действующие факторы: загрязнение трубок, неплотности вакуумной части конденсатора и прочие, т.е. характеристики приводят для чистого конденсатора с исправной системой отсоса паровоздушной смеси и плотной вакуумной частью. Это позволяет считать, что в конденсаторе находится конденсирующийся пар без примеси газа, т.е. парциальное давление газа в конденсирующейся среде практически равно нулю. Это значит, что температура конденсации однозначно определяет давление в конденсаторе как давление насыщения водяного пара, соответствующее температуре конденсации. Если исключить временно действующие факторы, то давление в конденсаторе можно считать функцией трех постоянно действующих факторов: паровой нагрузки конденсатора, температуры и расхода охлаждающей воды. Для выяснения влияния каждого из этих факторов на величину давления в конденсаторе достаточно оценить их влияние на температуру конденсации.

Паровая нагрузка конденсатора зависит от заданной мощности установки.

Расход охлаждающей воды может регулироваться за счет изменения режима работы насосов системы технического водоснабжения - изменения частоты вращения насосов (как правило дискретное), изменения угла поворота рабочих лопастей насоса, если он выполнен с поворотными лопастями. Кроме того, так как система технического водоснабжения обслуживается насосной станцией, в составе которой несколько параллельно включенных насосов (обычно от 3 до 8), то возможна парциальная работа насосов (плановая или в результате выхода из строя части насосов), при которой расход охлаждающей воды также изменится. Парциальная работа насосов может использоваться только в случае, если у насосов предусмотрен общий напорный коллектор. На отечественных двухконтурных АЭС такой коллектор не предусмотрен.

Что касается температуры охлаждающей воды, то она может существенно меняться с изменением атмосферных условий. Кроме того, для систем с оборотным водоснабжением температура охлаждающей воды существенно зависит от режима работы охлаждающих устройств - градирен, брызгальных бассейнов.

Обслуживающий персонал должен знать характер влияния различных факторов на давление в конденсаторе, а для тех из них, на которые можно влиять - не только знать, но и уметь выбрать наиболее рациональное их соотношение.

Температурный режим конденсатора можно показать на диаграмме t-q (рисунок 33).

Рисунок 33 - Зависимость степени нагрева охлаждающей воды от паровой нагрузки

Так как нагрев охлаждающей воды в конденсаторе Dtов = (tов вых - tоввх) обычно небольшой (порядка 8…10 оС), то для простоты рассмотрения вопроса средний температурный напор теплопередачи в конденсаторе dtср можно представить как среднеарифметическую величину, т.е.

dtср = 0,5×[(tк - tоввх) + (tк - tоввых)].                                             (19)

Отсюда

dtср = tк - (tоввх + tоввых) / 2.

или

dtср = tк - (tоввх + tоввых ± tоввх ) / 2 =

= tк - tоввх - (tоввых - tоввх ) / 2 = tк - tоввх - 0,5 Dtов

Из этого выражения следует

tк = tоввх + 0,5×Dtов + dtср.                                                           (20)

Таким образом, температура конденсации tк может быть представлена как сумма температуры охлаждающей воды на входе в конденсатор tоввх, среднего температурного напора теплопередачи в конденсаторе dtср и половины нагрева охлаждающей воды в конденсаторе Dtов. Абсолютное давление в конденсаторе рк, связанно прямой зависимостью с температурой конденсации (зависимость между температурой и давлением насыщения прямая, но нелинейная, хотя степень нелинейности незначительная) и будет тем меньше, чем меньше температура конденсации tк, т.е. чем меньше каждое из трех слагаемых зависимости (20).

Рассмотрим влияние паровой нагрузки на слагаемые выражения (20).

Очевидно, что первое слагаемое tоввх от паровой нагрузки не зависит.

Влияние паровой нагрузки на второе слагаемое - на степень нагрева охлаждающей воды Dtов - определяется из уравнения теплового баланса конденсатора

Gов×cр×Dtов = Gп ×Di ,                                                                  (21)

где Gов - массовый расход охлаждающей воды;

ср - теплоемкость охлаждающей воды;

Dtов - степень нагрева охлаждающей воды; п - массовый расход конденсирующегося пара (паровая нагрузка конденсатора);

Di - уменьшение энтальпии среды в процессе ее конденсации.

Отсюда

Dtов = Gп ×Di /(Gов ×ср).                                                               (22)

С достаточной степенью точности можно принять, что Di = соnst и ср = const. Тогда

Dtов = А×Gп /Gов.                                                                        (23)

Отсюда следует: нагрев охлаждающей воды прямо пропорционален паровой нагрузке конденсатора. Графически это выглядит так, как показано на рисунке 3

Рисунок 34 - Зависимость степени нагрева охлаждающей воды от паровой нагрузки

Влияние паровой нагрузки на третье слагаемое dt в равенстве (20) можно выявить из рассмотрения теплопередачи в конденсаторе

Gп×Di = k×F×dtср,                                                                         (24)

где Gп - массовый расход конденсирующегося пара;

Di - уменьшение энтальпии конденсирующейся среды; - коэффициент теплопередачи в конденсаторе;- поверхность теплопередачи в конденсаторе;

dtср - средний температурный напор теплопередачи в конденсаторе.

Отсюда

dtср = Gп ×Di /(K ×F).                                                                   (25)

Если учесть, что поверхность теплопередачи F = сonst, а величину Di, как и ранее, можно принять неизменной, то из выражения (25) следует, что средний температурный напор теплопередачи в конденсаторе dt прямо пропорционален паровой нагрузке и обратно пропорционален коэффициенту теплопередачи K. В этой связи следует рассмотреть зависимость величины K от паровой нагрузки.

Исследования конденсаторов различных типов показывают, что средний коэффициент теплопередачи K с уменьшением паровой нагрузки уменьшается. Это объясняется тем, что с уменьшением паровой нагрузки сокращается зона массовой конденсации пара, снижается скорость пара и снижаются локальные коэффициенты теплопередачи. Действительно, компоновка трубного пучка выбрана из расчета полной паровой нагрузки, когда все трубки пучка практически одинаково загружены отводом тепла от конденсирующегося пара. С уменьшением паровой нагрузки почти полная конденсация пара обеспечивается уже на первых рядах трубок пучка. Трубки же, расположенные в глубине пучка, остаются без интенсивной тепловой нагрузки (в этом и заключается сокращение зоны массовой конденсации пара). А так как средний коэффициент теплопередачи K осредняется для всей поверхности теплопередачи, то сокращение зоны массовой конденсации пара при уменьшении паровой нагрузки выражается в том, что среднее значение K уменьшается. При этом в достаточно широком диапазоне нагрузок (примерно 70…100%) коэффициент теплопередачи снижается слабо, а дальнейшее его снижение нарастает и при нулевой паровой нагрузке приходит к нулевому значению. Интенсивность снижения коэффициента теплопередачи зависит от принятой в конденсаторе компоновки трубного пучка. Реальный ход кривой изменения величины K с достаточной степенью точности практически может быть получен только опытным путем. Примерный характер снижения величины K показан на рисунке 35.

Рисунок 35 - Характер изменения коэффициента теплопередачи при изменении паровой нагрузки

Средний температурный напор dtср - сложная функция паровой нагрузки и коэффициента теплопередачи (см. зависимость (25)). На уровнях больших паровых нагрузок, когда коэффициент теплопередачи большой и снижается при уменьшении Gп незначительно, температурный напор dtср уменьшается почти прямо пропорционально паровой нагрузке. При дальнейшем уменьшении паровой нагрузки снижение dtср замедляется, а при некотором значении Gп снижение dtср может прекратиться. После этой точки из-за резкого снижения коэффициента теплопередачи температурный напор может даже начать повышаться.

При более рациональной компоновке трубного пучка увеличения величины dtср при малых паровых нагрузках может не быть.

Характер хода кривой изменения dtср показан на рисунке 36.



Рисунок 36 - Характер изменения среднего температурного напора теплопередачи в конденсаторе с изменением паровой нагрузки:

- компоновка трубного пучка более рациональная;

2 - менее рациональная компоновка трубного пучка       

Для получения зависимости температуры конденсации tк от паровой нагрузки необходимо просуммировать составляющие выражения (20). Разумеется, каждое слагаемое должно быть выражено в функции паровой нагрузки. При этом все составляющие должны быть определены при одинаковой температуре охлаждающей воды и при одинаковом ее расходе. В результате суммирования получим кривую tк = f(Gп) - см. рисунок 37.

     

Рисунок 37 - Суммирование кривых tоввх, Dtов и dtср

Если для всех возможных значений температуры конденсации tк определить давление насыщения и принять его как давление конденсации рк, то можно построить кривую рк = f(Gп). Эта кривая представляет собой характеристику конденсатора по давлению конденсации в функции паровой нагрузки при той температуре охлаждающей воды на входе в конденсатор tоввх и при том расходе охлаждающей воды Gов, при которых определялись составляющие выражения (20). Очевидно, что вид кривой рк = f(Gп)будет индивидуальным для каждого конденсатора, но характер ее практически всегда соответствует кривой, показанной на рисунке 38.

Рисунок 38 - Характеристика конденсатора рк = f(Gп)


Заметим, что характер кривой рк = f(Gп) несколько напоминает характер кривой tк = f(Gп), показанной на рисунке 37, но не повторяет ее, так как зависимость рs = f(t) - не прямая пропорциональность.

Для определения влияния температуры охлаждающей воды на входе в конденсатор tоввх на вид кривой рк = f(Gп) необходимо повторить определение трех составляющих выражения (20) при новом значении tоввх, получить новые значения tк = f(Gп) и построить новую кривую рк = f(Gп). Для оценки изменения хода этой кривой проследим влияние изменения температуры охлаждающей воды на входе в конденсатор на составляющие выражения (20).

Первое слагаемое - tоввх - неизменно и соответствует новому рассматриваемому режиму по значению tоввх.

Второе слагаемое - 0,5Dtов практически не зависит от температуры охлаждающей воды.

Третье слагаемое - dtср существенно зависит от tоввх. Эта зависимость весьма сложная, охватывает много определяющих факторов и не имеет точного аналитического выражения. В практике расчетов теплопередачи в конденсаторе для учета влияния температуры охлаждающей воды на входе в конденсатор на теплопередачу пользуются различными эмпирическими зависимостями. Хорошие результаты дают зависимости, предложенные Л.Д. Берманом. Для качественной оценки влияния значения tоввх на величину dtср можно ограничиться рассмотрением графического изображения зависимости коэффициента теплопередачи К от температуры tоввх, полученной экспериментально для одного из вариантов конденсатора (см. рисунок 39).

Рисунок 39 - Влияние температуры охлаждающей воды на коэффициент теплопередачи K

Тогда в соответствии с выражением (25) можно утверждать, что средний температурный напор теплопередачи dtср при снижении температуры охлаждающей воды на входе в конденсатор возрастает (особенно заметно при малых значениях tоввх). Сопоставление изменений трех слагаемых зависимости (20) приводит к выводу, что при снижении температуры охлаждающей воды температура конденсации (следовательно, и давление в конденсаторе) снижается, но темп снижения при малых значениях tоввх заметно меньше.

Аналогичным образом можно выявить влияние расхода охлаждающей воды Gов на давление в конденсаторе рк.

Первое слагаемое выражения (20) - tоввх от расхода воды Gов не зависит.

Второе слагаемое - 0,5Dtов в соответствии с формулой (23) - величина, обратно пропорциональная расходу воды.

Поведение третьего слагаемого - dtср выясним, как и в предыдущем случае, с помощью графических зависимостей, полученных опытным путем. Для одного из вариантов конденсатора на рисунке 40 показано изменение коэффициента теплопередачи К.

Рисунок 40 - Влияние скорости охлаждающей воды в трубках на коэффициент теплопередачи

Заметим, что опытная зависимость величины К приведена в функции скорости воды в трубках wв. Но так как с большой степенью точности можно принять скорость воды и массовый расход воды прямо пропорциональными величинами, то можно считать, что характер изменения коэффициента теплопередачи К в функции расхода воды будет тот же.

Как следует из рисунка 40, значение коэффициента теплопередачи К уменьшается с уменьшением расхода охлаждающей воды. Причем, интенсивность снижения К возрастает с увеличением температуры охлаждающей воды.

Сопоставление изменений трех слагаемых зависимости (20) позволяет утверждать, что с уменьшением расхода охлаждающей воды температура конденсации и давление в конденсаторе повышаются. Причем с повышением температуры охлаждающей воды темп повышения давления рк увеличивается.

Обычно характеристики конденсатора по давлению конденсации рк как функцию трех величин - Gп, Gохл.в, tо.ввх - для каждого реального конденсатора представляют в виде семейства кривых. Пример такого семейства кривых показан на рисунке 41.

При практическом использовании семейства кривых следует иметь в виду, что целесообразно подбирать такое сочетание параметров охлаждающей воды (расход и температуру), чтобы не опускаться заметно ниже номинального давления в ГК. В противном случае в конденсаторе сокращается зона массовой конденсации и появляется зона переохлаждения конденсата, что, во-первых, увеличивает затраты энергии на ее последующий нагрев и снижает экономичность установки, и, во-вторых, при переохлаждении конденсата увеличивается его насыщение растворяющимися газами. Это усиливает коррозию конструкционных материалов конденсатно-питательной системы.

Для поддержания давления в конденсаторе ближе к номинальному значению в зимнее время применяют байпасирование части охлаждающей воды помимо водоохлаждающих устройств (брызгальные бассейны, градирни). Это способствует повышению температуры охлаждающей воды на входе в конденсатор. Кроме того, уменьшают расход охлаждающей воды, для чего уменьшают частоту вращения насосов технического водоснабжения (обычно насосы являются двухскоростными), уменьшают угол наклона рабочих лопастей насоса.












Рисунок 41 - Характеристики конденсатора турбоагрегата К-1000-60/3000

Все эти меры (и частичное байпасирование водохлаждающих устройств, и уменьшение расхода охлаждающей воды на конденсатор) способствуют также уменьшению затрат электроэнергии и таким образом повышают КПД нетто.

Список литературы

энергоблок турбогенератор ядерный

1.      Внешние воздействия природного происхождения на глубинные захоронения долгоживущих радиоактивных отходов / И.В. Калиберда, А.Г. Левин, Д.В. Мурлис и др. // Атомная техника за рубежом. - 2003. - № 2. - С.3-7.

.        Герасимов А.С., Зарицкая Т.С., Рубик А.П. Справочник по образованию нуклидов в ядерных реакторах. - М.: Энергоатомиздат, 2009. - 575 с.

.        Доклады конференции ЯО России «Новые ядерные технологии и роль ядерной энергетики деления и синтеза» (Москва, 14-18 октября 2006 г.) // Атомная энергия. - 2006. - Вып. 81, С. 83-160.

.        Доклады 8-й ежегодной конференции ЯО России «Использование ядерной энергии: состояние, последствия, перспективы» // Атомная энергия. - 2007. - Вып. 83, № 6. - С. 393-469.

.        Елагин Ю.Г. Менеджмент радиоактивных отходов // Атомная техника за рубежом. - 2010. - № 3. - С.3-12.

.        Жак Ф. Современное состояние проблемы радиоактивных отходов во Франции // Атомная техника за рубежом. - 2003. - № 11. - С.29-34.

.        Карпов В.А. Топливные циклы и физические особенности высокотемпературных реакторов. - М.: Энергоатомиздат, 2005. - 128 с.

.        Кесслер Г. Ядерная энергетика. - М.: Энергоатомиздат, 2006. - 264 с.

.        Материаловедение и проблемы энергетики /Дж. Синфельд, М. Симнад, Дж. Хоув и др. - М.: Мир, 2002. - 576 с.

.        Махова В.А., Колесникова Н.М., Приображенская Л.Б. Реорганизация атомной промышленности Франции // Атомная техника за рубежом. - 2003. - № 1. - С. 15-17.

.        Нигматулин И.Н., Нигматулин Б.И. Ядерные энергетические установки. - М.: Энергоатомиздат, 2006. - 168 с.

.        Подготовка облученного ядерного топлива к химической переработке / А.Т. Агинков, Э.А. Ненарокомов, В.Ф. Савельев, А.Б. Ястребов. - М.: Энергоатомиздат, 2012. - 128 с.

.        Справочник по ядерной энерготехнологии /Ф. Ран, А. Адамантиадес, Дж. Кентон, Ч. Браун. - М.: Энергоатомиздат, 2009. - 752 с.

.        Чопин Г., Ридбкерг Я. Ядерная химия. Основы теории и применения. - М.: Энергоатомиздат, 2004. - 304 с.

Похожие работы на - Регулирование мощности ЯЭУ АЭС

 

Не нашли материал для своей работы?
Поможем написать уникальную работу
Без плагиата!
Без нейросетей!