Исследование пробоя в воздушном промежутке и в трансформаторном масле

  • Вид работы:
    Практическое задание
  • Предмет:
    Физика
  • Язык:
    Русский
    ,
    Формат файла:
    MS Word
    172,84 Кб
  • Опубликовано:
    2014-11-02
Вы можете узнать стоимость помощи в написании студенческой работы.
Помощь в написании работы, которую точно примут!

Исследование пробоя в воздушном промежутке и в трансформаторном масле

Министерство образования и науки Российской Федерации

РОССИЙСКИЙ ГОСУДАРСТВЕННЫЙ УНИВЕРСИТЕТ

ИННОВАЦИОННЫХ ТЕХНОЛОГИЙ И

ПРЕДПРИНИМАТЕЛЬСТВА

ПЕНЗЕНСКИЙ ФИЛИАЛ

Кафедра ЭЛЕКТРОЭНЕРГЕТИКА И ЭЛЕКТРОТЕХНИКА







ОТЧЕТ

О выполнении лабораторной работы №1

«Исследование пробоя в воздушном промежутке и в трансформаторном масле»

По дисциплине: «ТВН»









Пенза 2014г.

Цель работы: изучение методов испытания изоляции, пробоя воздушного промежутка при различной форме электродов, а также проверка электрической прочности трансформаторного масла.

Описание испытательной установки АИИ-70

Лабораторная работа выполняется на высоковольтной испытательной установке АИИ-70. Приведем краткое описание установки.

Установка предназначена для создания испытательных напряжений постоянного тока до 70 кВ и переменного до 50 кВ.

Конструктивно установка выполнена в виде шкафа, в котором расположен повышающий высоковольтный трансформатор, гнездо для установки ванны с порцией исследуемого трансформаторного масла, регулировочный автотрансформатор и схема автоматического выключения высокого напряжения при пробое исследуемого образца. На верхней крышке шкафа помещен стол, на котором имеется крышка люка, через который устанавливается ванна. Крышка имеет блокировку, отключающую питание при открывании. На столе также установлен выключатель высокого напряжения, индикаторные лампочки включения сети (зеленая) и высокого напряжения (красная), переключатель чувствительности схемы защиты «грубо-точно». На вертикальном щите установлен вольтметр, имеющий две шкалы - 50кВ для испытаний на переменном напряжении и 70кВ при работе с постоянным током.

На передней стенке шкафа расположена рукоятка автотрансформатора, подающего напряжение от 0 до 250В на первичную обмотку повышающего трансформатора.

В кабине установлена выпрямительная колонна, содержащая столбы выпрямительных диодов. Колонна заполнена трансформаторным маслом. На верхнем торце колонны закреплен микроамперметр для контроля токов утечки изоляции исследуемого объекта. Имеется три предела измерения, рукоятка переключателя выведена на прозрачную стенку кабины.

В кабине также располагается стол для испытательных приспособлений. На нем установлен разрядник с регулируемым расстоянием между электродами. Конструкция разрядника позволяет устанавливать электроды различной формы. Ручка управления механизмом разрядника выведена на переднюю стенку кабины при помощи изолирующего стержня. Параллельно разряднику подключаются другие объекты исследования.

Предварительная подготовка.

Рассчитать ожидаемые разрядные напряжения в воздухе при нормальных условиях воздушной среды для электрического поля следующих форм:

.Поле двух параллельных цилиндров (проводов). Можно использовать эмпирическую формулу:

Up=Ep r ln S/r кВ, Ep= 30d (1+0.38/ sqrt(rd)) кВ/см

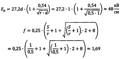
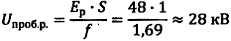
.Симметричное поле двух сфер (шаров):

Up=Ep S/f кВ, Ep= 27.2 d (1+0,54/ sqrt (rd)) кВ/см ,

Где f = 0.25 (S/r + 1 +sqrt((S/r + 1) 2 + 8))

В приведенных формулах

r - радиус провода (сферы), см,

S - кратчайшее расстояние между ними, см,

d - коэффициент, учитывающий внешние условия. d=1 при нормальных условиях.

.Промежуток стержень - плоскость. Приближенная формула:

Up=7 + 3.36 S, при переменном напряжении с частотой 50 Гц.

изоляция пробой ток электрический

Для каждого случая взять 4 или 5 значений расстояния между электродами в пределах от 5 до 150мм. В промежутке между шарами электрическое поле можно считать слабо неоднородным, если электроды - плоскость - острие, то поле резкое неоднородное.

Из справочника / 2 / выписать стандартные размеры испытательных электродов для проверки пробивного напряжения технически чистого трансформаторного масла и ожидаемые значения пробивных напряжений при длине разрядного промежутка 2,5мм.

Обработка экспериментальных данных.

Таблица 1. Испытание трансформаторного масла.

№ опыта

1

2

3

4

5

6

7

Uпр., кВ

46

17

10

12

15

10

16


При пробое масла в пространстве между электродами наблюдалось появление пузырьков газа и помутнение трансформаторного масла.

Таблица 2. Пробой в воздушном зазоре при сферических электродах.

R, мм

10

20

30

40

50

60

Uпр.р., кВ

28

41,7

49,3

54,4

58,3

61,2

Uпр.эк., кВ

33

39

42

48

50



Таблица 3. Пробой в воздушном зазоре при форме электродов игла-плоскость.

R, мм

20

40

60

80

100

120

Uпр.р., кВ

13,72

20,44

27,16

33,88

40,6

47,32

Uпр.эк., кВ

15

22

29

36

44

47


Uпр.р.= 7 + 3,36 * S = 7 + 3,36 * 2 = 13,72 кВ

Испытание изолятора опорного 10 кВ

Uпр.р.=31 кВ

Испытание РВО 10 кВ

Uпр.р.=34 кВ

Наблюдение коронного разряда

R=50 мм ; Uпр.р.=52 кВ

График зависимости пробивного напряжения от разрядного промежутка.

Сферические электроды.


Электроды в форме игла - плоскость.


Вывод: изучили методы испытания изоляции, пробоя воздушного промежутка различной формы электродов, и убедились, что пробой происходит при больших напряжениях и большем расстоянии в случае неоднородного (электроды в форме игла - плоскость), а также проверили электрическую прочность трансформаторного масла. Наблюдаем коронный разряд и развитие стримеров.

Похожие работы на - Исследование пробоя в воздушном промежутке и в трансформаторном масле

 

Не нашли материал для своей работы?
Поможем написать уникальную работу
Без плагиата!
Без нейросетей!