Проект жилого двухсекционного двухэтажного здания с деревянными элементами

  • Вид работы:
    Курсовая работа (т)
  • Предмет:
    Строительство
  • Язык:
    Русский
    ,
    Формат файла:
    MS Word
    419,65 Кб
  • Опубликовано:
    2016-02-01
Вы можете узнать стоимость помощи в написании студенческой работы.
Помощь в написании работы, которую точно примут!

Проект жилого двухсекционного двухэтажного здания с деревянными элементами

СОДЕРЖАНИЕ

1. Исходные данные

2. Расчет обрешетки

2.1 Расчетная схема обрешетки

.2 Сбор нагрузок

.3 Расчет по первой группе предельных состояний

.4 Расчет по второй группе предельных состояний

3. Расчет цельнодеревянной балки перекрытия

3.1 Исходные данные

.2 Сбор нагрузок

.3 Расчет перекрытия

4. Подбор клеефанерной балки перекрытия

4.1 Исходные данные

.2 Сбор нагрузок

.3 Подбор сечения

.4 Назначение основных поперечных размеров сечения

5. Расчет наслонных стропил

5.1 Исходные данные

.2 Геометрические размеры элементов стропильной системы

.3 Сбор нагрузок

.4 Расчет стропильной ноги

6. Расчет подстропильной системы

6.1 Исходные данные

.2 Расчет сечения

.3 Расчет по первой группе предельных состояний

.4 Расчет по второй группе предельных состояний

7. Варианты конструкции стены здания

. Расчет стойки

8.1 Исходные данные

.2 Сбор нагрузок

.3 Расчет стойки

.4 Расчет составной стойки

9. Расчет доски пола

9.1 Исходные данные

.2 Сбор нагрузок

.3 Расчет доски пола

10. Заготовка и хранение древесины

. Указания по защите

11.1 Защита деревянных конструкций от гниения

.2 Защита деревянных конструкций от возгорания

12. Указания по эксплуатации

. Указания по транспортированию, хранению и монтажу деревянных конструкций

Список использованных источников

 


1. Исходные данные


Цель курсового проекта: разработка технического проекта здания - жилого двухсекционного двухэтажного без подвала - с расчетом основных несущих и ограждающих конструкций. Район строительства - г. Кондопога, зона влажности (нормальная). Температурно-влажностный режим здания 1.2. По ответственности здание относится к I группе. Пролет здания - 10 м, ширина здания - 19 м.

Принимаемые конструкции:

1. Фундаменты - бетонные

2.      Полы - по железобетонной плите

.        Температурно-влажностный режим - отапливаемое здание

.        Стены - каркасные

5. Крыша - стропильная система из наклонных стропил с распорками и растяжками

6.      Кровля - битумная черепица

7. Используемая древесина - сосна II сорта


2. Расчет обрешетки

 

2.1   Исходные данные

 

Угол наклона верхнего пояса фермы α = 300

Шаг ферм покрытия принят равным 1 м

Покрытие - битумная черепица

Расстояние между брусками обрешётки = 0,5 м

На рисунке 2.1 изображена расчётная схема обрешётки

Рисунок 2.1 - Схема для расчета обрешетки

2.2    Сбор нагрузок

 

Снеговая нагрузка


Рисунок 2.2 - Схема снеговой нагрузки

Нормативная снеговая нагрузка:


Sg = 2,4 кН/м2 - расчётное значение веса снегового покрова на 1 м2 горизонтальной поверхности земли для города Кондопога (V снеговой район), принятое по таблице 10.1 СП 20.13330.2011 «Нагрузки и воздействия»;

ce - коэффициент, учитывающий снос снега с покрытия зданий под действием ветра; Принимаем по пункту 10.9 СП 20.13330.2011 «Нагрузки и воздействия» се = 0,85;

сt - термический коэффициент, учитывающий понижение снеговых нагрузок на покрытия с высоким коэффициентом теплопередачи вследствие таяния, вызванного потерей тепла; Принимаем по пункту 10.10 СП 20.13330.2011 «Нагрузки и воздействия» сt = 1;

μ - коэффициент перехода от веса снегового покрова земли к снеговой нагрузке на покрытие, принимаемый в соответствии с пунктом 10.4 и приложением Г СП 20.13330.2011 «Нагрузки и воздействия».


Полная нагрузка


Таблица 2.1

Сбор нагрузок на обрешетку в кН/м2

Вид нагрузки

Нормативные нагрузки

Коэффициент надежности по нагрузке

Расчетные нагрузки

Постоянные: Битумная черепица «Katepal» (6 кг/м²) Фанера 12 мм, 7 х 0,012 = 0,084 Обрешетка 32 х 125 (шаг брусков 500 мм) 0,125 х 0,032 х 5 х 2 = 0,04

0,06

1,2

0,072


0,084

1,1

0,0924


0,04

1,1

0,044

Итого:

0,184


0,2084

Временные: Снег

2,208

1,4

3,0912

Полная нагрузка

2,392


3,296


Нагрузки на один погонный метр при расчетной ширине настила 1 м:


2.3    Расчет по первой группе предельных состояний

 

Первое сочетание нагрузок


Рисунок 2.3 - Схема нагрузок и эпюра изгибающих моментов


где:

q - расчетная нагрузка на один погонный метр,

l - пролет обрешетки (шаг стропильных балок)

Второе сочетание нагрузок



Рисунок 2.4 - Схема нагрузок и эпюра изгибающих моментов


где:

q - расчетная нагрузка на один погонный метр, кН/м,

l - пролет обрешетки (шаг стропильных балок), м,

F - сосредоточенная нагрузка (вес рабочего), кН.

За расчетный момент принимаем М1 = 0,27 кН м

Геометрические характеристики сечения

Сечение доски обрешетки: bxh=125 мм х 32 мм.

Моменты сопротивления доски обрешетки


где Wx - момент сопротивления относительно оси х;


где Wу - момент сопротивления относительно оси у;

Моменты инерции обрешетки


где - момент инерции относительно оси х;


где - момент инерции относительно оси у.

Расчет по 1 ГПС



где:

Ru - расчётное сопротивление изгибу для элементов обрешётки, принимаемое по таблице 3 СП 64.13330.2011 «Деревянные конструкции», Ru = 13 Мпа = 13000 кН/м2.

M = 1,2 - коэффициент, зависящий от кратковременности действия нагрузки.


Вывод: обрешетка из доски, сечением 125х32 из древесины хвойных пород третьего сорта удовлетворяет условиям прочности.

2.4    Расчет по второй группе предельных состояний



где:

 - угол наклона кровли

l - пролет обрешетки (шаг стропильных балок), м,

Ix, Iy - осевые моменты инерции.

fu - вертикальный предельный прогиб, принимаемый по таблице Е1 СП 20.13330.2011 «Нагрузки и воздействия», м

мм

Вывод: обрешетка из доски, сечением 125х32 из древесины хвойных пород третьего сорта удовлетворяет условиям устойчивости.


3. Расчет цельнодеревянной балки перекрытия


3.1    Исходные данные


Материал: древесина хвойных пород 2 сорта (сосна), расчетное сопротивление изгибу МПа, расчетное сопротивление скалыванию МПа по табл. 3 СП 64.13330.2011 «Деревянные конструкции», модуль упругости МПа по п. 5.3. СП 64.13330.2011 «Деревянные конструкции». Пролет балок - 5,0 м, шаг балок 0,6 м.

Температурно-влажностные условия эксплуатации согласно таблице Г2 СП 64.13330.2011 «Деревянные конструкции», относятся к группе 1.2. При этих условиях коэффициент  (СП 64.13330.2011, табл. 5).

Здание относится ко II уровню ответственности (согласно СП 20.13330.2011 «Нагрузки и воздействия», приложение 7). Коэффициент надежности по ответственности здания .

Рисунок 3.1 - Деталь перекрытия

3.2    Сбор нагрузок


Таблица 3.1

Сбор нагрузок на цельнодеревянную балку в кН/м2

Наименование элемента и подсчёт нагрузки

Нормативная нагрузка,

Коэффициент надежности по нагрузке,

Расчётная нагрузка,

Постоянная нагрузка

Дощатый настил

0,16

1,1

0,176

1 слой влагостойкой фанеры (толщина 25 мм)

0,175

1,1

0,193

Паркет с подкладочным слоем (толщина 10 мм)

0,04

1,1

0,044

Утеплитель ROCKWOOL Лайт Баттс (150 мм)

0,093

1,1

0,102

Итого постоянная нагрузка

0,326


0, 515

Временная нагрузка

Временная нагрузка согласно табл. 8.3 СП 20.13330.2011

1,5

1,3

1,95

Всего полная нагрузка с учётом

1,826


2,465


Собственный вес балки (принимаю 100х175).

)   Нормативный:


) Расчётный:


Тогда нагрузка при шаге 0,6 м:

Расчетная нагрузка:

Рисунок 3.2 - Расчётная схема балки

3.3 Расчет перекрытия

 

Расчет балки по 1-ой ГПС

Изгибающий момент:


Поперечная сила


Момент сопротивления принятого сечения балки


Момент инерции принятого сечения балки


Статический момент инерции принятого сечения балки


Проверка балки на прочность при изгибе


Сечение балки 100х175 древесины хвойных пород второго сорта, с шагом расстановки балок 600 мм удовлетворяет условиям прочности по нормальным напряжениям.

Проверка балки на скалывание:


Вывод: Сечение балки 100х175 древесины хвойных пород второго сорта с шагом расстановки балок 600 мм полностью удовлетворяет условию прочности.

Расчет балки по 2-ой ГПС



 - коэффициент, учитывающий влияние переменности высоты сечения;

Согласно табл.Е.3 СП 64.13330.2011 для балок прямоугольного сечения

Для балок прямоугольного сечения:


 - для постоянного сечения;

 - коэффициент, учитывающий влияние деформаций сдвига от поперечной силы;

Согласно табл.Е.3 СП 64.13330.2011 для балок прямоугольного сечения:


 - прогиб балки постоянного сечения без учёта деформаций сдвига;


Предельный вертикальный прогиб для балки пролетом 5 м согласно табл. Е.1 СП 20.13330.2011:

Вывод: Сечение балки 100х175 древесины хвойных пород второго сорта полностью удовлетворяет требованию жёсткости.

Расчет балки на зыбкость.

Предельные прогибы элементов пе­рекрытий помещений жилых и обществен­ных зданий, исходя из физиологических требований, следует определять по формуле:

,

где g - ускорение свободного падения;

р = 0,25кПа - нормативное значение нагрузки от лю­дей, возбуждающих колебания, прини­маемое по табл. Е2 СП 20.13330.2011;

р1 = 0,525кПа - пониженное нормативное значение на­грузки на перекрытия, принимаемое по таблице Е2 и пункту 8.2.3 СП 20.13330.2011;

q = 1,167 кПа - нормативное значение нагрузки от веса рассчитываемого элемента и опираю­щихся на него конструкций;= 1,5 Гц - частота приложения нагрузки при ходь­бе человека, принимаемая по табл. Е2 СП 20.13330.2011;- коэффициент, принимаемый по табл. Е2 СП 20.13330.2011. В данном случае

- вес одного человека, принимаемый равным 0,8 кН;

Вывод: сечение балки 100х175 из древесины хвойных пород 2-го сорта удовлетворяет требованиям зыбкости.

4. Подбор клеефанерной балки перекрытия


4.1    Исходные данные


Перекрытие по клеефанерным балкам запроектировано на отметке +3.000; Материал поясов: древесина хвойных пород 2 сорта (сосна), расчетное сопротивление изгибу МПа, расчетное сопротивление скалыванию  МПа по табл. 3 СП 64.13330.2011 «Деревянные конструкции», модуль упругости МПа по п. 5.3. СП 64.13330.2011 «Деревянные конструкции».

Материал стенки: березовая фанера марки ФСФ сорт В/ВВ семислойная по табл. 6 СП 64.13330.2011 «Деревянные конструкции». Клей КФ-БХ по ГОСТ 14231-78.

Пролет балок - 5,0 м, шаг балок 0,6 м.

Условия эксплуатации - 1.2 по табл. Г2 СП 64.13330.2011 «Деревянные конструкции». Коэффициент, учитывающий условия эксплуатации по табл. 7 СП 64.13330.2011 «Деревянные конструкции»:

Рисунок 4.1 - Конструкция междуэтажного перекрытия

4.2    Сбор нагрузок


Таблица 3

Сбор нагрузок на клеефанерную балку в кН/м2

Вид нагрузки и ее подсчет

Нормативная нагрузка, кН/м2

Коэффициент надежности по нагрузке

Расчетная нагрузка, кН/м2

Постоянная нагрузка

Дощатый настил

0,16

1,1

0,176

1 слой влагостойкой фанеры (толщина 18 мм)

0,126

1,1

0,139

Утеплитель ROCKWOOL Лайт Баттс (200 мм)

0,074

1,2

0,088

Итого постоянная нагрузка

0,36


0, 403

Временная нагрузка

1,5

1,3

1,95

Итого:



Собственный вес балки:

)   Нормативный

кН/см,

2) Расчётный

кН/см,

Нагрузка на 1 метр длины балки:

1) Нормативная

кН/м,

2) Расчётная

кН/м,

4.3    Подбор сечения


Изгибающий момент:

 кНм

Поперечная сила:

 кН,

Рисунок 4.2 - Расчетная схема балки, эпюра моментов и поперечных сил

Высота балки:

 мм,

Принимаем высоту балки h = 420 мм;

Необходимая суммарная толщина фанерной стенки из условия работы на срез:

мм,

h - расстояние между осями поясов, предварительно определяемое по формуле:

h = k0 ∙ h = 0,8 ∙ 420 = 336 мм,

,

МПа - расчетное сопротивление фанеры срезу, принимаемое согласно табл. 6 п. 5.2 СП 64.13330.2011 «Деревянные конструкции».

4.4    Назначение основных поперечных размеров сечения


Принимаем конструктивное решение балки перекрытия - одноступенчатую балку с толщиной фанерной стенки 8 мм. Фанерная стенка приклеивается с внутренней стороны поясов. Верхний и нижний пояса приняты одинакового сечения из вертикальных слоев досок. Направление волокон рубашки фанеры принимаем продольное (вдоль длины балки). Требуемую ширину поперечного сечения находим из условия равной прочности и устойчивости растянутого и сжатого поясов при коэффициенте продольного изгиба:

,

мм,

Где: мм - расстояние между точками раскрепления верхнего пояса из плоскости;

Рисунок 4.3 - Поперечное сечение клеефанерной балки

Требуемая ширина дощатого пояса балки:

 мм,

 мм,

с учетом стандартных размеров принимаем брусок  мм

Таким образом, ширина поперечного сечения балки:

 мм,

Требуемая высота пояса балки:

 см,

 - коэффициент, учитывающий уменьшение напряжений в поясе за счет включения в работу фанерной стенки;

 мм - полная высота балки в сечении;

 мм - расстояние между осями поясов в рассматриваемом сечении;

 МПа - расчетное сопротивление растяжению древесины 2 сорта, принимаемое согласно табл. 3 п. 5.2 СП 64.13330.2011 «Деревянные конструкции»;

Сечение верхнего и нижнего поясов принимаем одинаковыми 75х50 с четырехсторонней острожкой их.

Рисунок 4.4 - Поперечное сечение клеефанерной балки


5. Расчет наслонных стропил


5.1    Исходные данные


Расстояние между продольными стенами - 5,0 м. Уклон кровли . Ограждающие конструкции: битумная черепица по сплошному настилу из OSB-3.

Материал: древесина хвойных пород 2 сорта (сосна), расчетное сопротивление изгибу, сжатию  МПа по табл. 3 СП 64.13330.2011 «Деревянные конструкции».

Условия эксплуатации - 2.2 по табл. Г2 СП 64.13330.2011 «Деревянные конструкции»: эксплуатационная влажность древесины - до , максимальная влажность воздуха при температуре  - 75%.

Место строительства - г. Кондопога.

Вес снегового покрова:  Н/м2.

5.2    Геометрические размеры элементов стропильной системы


Рисунок 5.1 - Геометрические размеры стропил

, , , , ,,

, ,

Расстояние от оси лежня до оси внутренней стены мм. Высота стропил в коньке мм. Подкос направлен под углом : .

мм,

мм,

Длина подкоса:

мм

5.3 Сбор нагрузок

 

Элементы и подсчет нагрузки

Нормативные

Коэффициент надежности по нагрузке Расчетные


Постоянная нагрузка от кровли и обрешетки

0,184

-

0,2084

С учётом угла наклона 0,184/0,866

0,212

1,1

0,2332

Противоконденсатная плёнка 0,02/0,866

0,023

1,2

0,0276

1,1

0,139


Контррейка 0,0092

1,1

0,0101


Итого постоянная нагрузка:

0,55

-

0,62

Временная нагрузка - снеговая:

2,208

-

3,0912

Итого

2,758

-

3,74

 

Нагрузка при шаге стропил 1 м:

1) Нормативная:

 Н/м;

) Расчетная:

 Н/м;

5.4 Расчет стропильной ноги

 

Расчет по 1-ой ГПС


Рисунок 5.2 - Расчетная схема стропил

А - эпюра изгибающих моментов, Б - схема для определения усилий , , .

Стропило рассматриваем, как неразрезную балку на трех опорах.

Опасным сечением стропильной ноги является сечение в месте примыкания подкоса. Изгибающий момент определяется по формуле:

 кНм;

Т.к. , то определим значение момента  в середине этого пролета.  определяем, как для простой балки на двух опорах, считая в запас прочности, что вследствие возможной осадки среднего узла опорный момент будет равен нулю.

 кНм;

Т.к. , то за расчетный момент принимаем значение М1 = 4,70 кНм.

Требуемые момент сопротивления и высота сечения:

 см3,

 см,

Рассчитаем стропила из досок. Предварительно принимаем ширину стропил из 2 досок (сечение доски  мм).

 см3,

Напряжение:


Вывод: сечение из 2-х досок, имеющие размеры 120х175 древесины хвойных пород 2-го сорта полностью удовлетворяет условию прочности.

Расчет по 2-ой ГПС

Прогиб стропильной ноги:

 мм


Вертикальный предельный прогиб, принимаемый согласно табл. Е.1 СП 20.13330.2011 «Нагрузки и воздействия»:

 см,  см

Вывод: сечение из 2-х досок, имеющее размеры 120Х175 древесины 2-го сорта полностью удовлетворяет условию жёсткости.

Расчет подкоса и затяжки

Вертикальная составляющая реактивного усилия на средней опоре стропил:

 кН,

Данное усилие раскладывается на усилие , сжимающее подкос, и усилие , направленное вдоль стропил. Определим  и  , используя уравнение синусов:

,

 кН,

 кН,

Принимаем подкос шириной b = 6 см, равной ширине стропило.

Подкос рассчитывается, как центрально-сжатый элемент.

,

Принимаем гибкость подкоса: ,

Коэффициент продольного изгиба:

,

Требуемая площадь сечения подкоса:

см2,

Требуемая высота подкоса:

см,

Принимаю см.

Принимаю сечение подкоса  см,  см2,


условие выполняется,

,

,

Горизонтальная составляющая усилия , равная кН, создает распор стропильной системе.

Затяжку проектируем из доски см, крепление к стропилам гвоздями  мм.

Определение несущей способности гвоздя:

 мм2

 мм,

Несущая способность гвоздя по 1 срезу:

 кН,

Несущая способность гвоздя по 2 срезу:

 кН,

 кН,

Количество гвоздей:

 шт.,

Принимаю 8 гвоздей (по 4 гвоздя с каждой стороны).

Рисунок 5.3 - Крепление затяжки

6. Расчет подстропильной системы


6.1    Исходные данные


Подстропильная конструкция состоит из разрезного прогона, усиленного в местах опирания на стойки балками, которые выполнены из брусьев того же сечения, что и прогоны. Для придания жёсткости всей системе в продольном направлении через каждые 3-4 пролёта ставятся раскосные связи, скрепляемые со стойками и прогонами болтами.

Расстояние между стойками 3 м, между стропилами 1 м.

6.2    Расчет сечения


Нормативное давление от стропил на прогон:

 кН,

Расчетное давление от стропил на прогон:

 кН,

Собственный вес прогона с подбалками ориентировочно принимаем равным 2,5% давления стропил. Тогда полная сосредоточенная нагрузка составляет:

 кН,

 кН,

Один из грузов передается непосредственно на стойки и не вызывает изгиба в прогоне и подбалке. Давление на конец подбалки от остальных грузов:

кН,

Расчетный вылет консоли принимаем равным:

мм,

Полную длину назначаем мм,

Расчетный изгибающий момент:

кНм,

Расчетный момент сопротивления:

 см3

Принимаем брус сечением см с см3 и см4.

Рисунок 6.1 - Подстропильная конструкция

А - продольный разрез, Б - расчетная схема.

6.3    Расчет по первой группе предельных состояний


кН/см2

 - условие прочности выполняется

6.4    Расчет по второй группе предельных состояний


Относительный прогиб прогона:

,

 см,

Вертикальный предельный прогиб, принимаемый согласно табл. Е.1 приложения Е.2 СП 20.13330.2011 «Нагрузки и воздействия»:

 см,

 см - условие выполняется, максимальный прогиб не превышает предельно допустимого.

Стойки принимаем сечением 15х5 см. Полное усилие, приходящееся на стойку:

 кН,

Напряжение смятие в подбалке в месте опирания на стойку:

,

 кН/см2

условие выполняется.


7. Варианты конструкции стены здания


Рисунок 7.1 - Конструкция стены

8. Расчет стойки


8.1    Исходные данные


Материал: древесина хвойных пород 2 сорта (сосна), расчетное сопротивление сжатию Rc = 13 МПа по табл. 3 СП 64.13330.2011 «Деревянные конструкции».

Высота стойки мм, закрепление концов - шарнирное. Шаг стоек - 0,65 м.

8.2    Сбор нагрузок


Таблица 8.1

Нагрузка от стропил

Элементы и подсчет нагрузки

Нормативные

Коэффициент надежности по нагрузке Расчетные


Постоянная нагрузка от кровли и обрешетки

0,184

-

0,2084

С учётом угла наклона 0,184/0,866

0,212

1,1

0,2332

Противоконденсатная плёнка 0,02/0,866

0,023

1,2

0,0276





Стропила 0,126

1,1

0,139


Контррейка 0,0092

1,1

0,0101


Итого постоянная нагрузка:

0,55

-

0,62

Временная нагрузка - снеговая:

2,208

-

3,0912

Итого

2,758

-

3,74


Таблица 8.2

Нагрузка от чердачного перекрытия

Наименование элемента и подсчёт нагрузки

Нормативная нагрузка,

Коэффициент надежности по нагрузке,

Расчётная нагрузка,


Постоянная нагрузка

1

Теплоизоляция

0,1

1,2

0,12

2

Доска потолка

0,095

1,1

0,1045


Временная нагрузка


Временная нагрузка согласно табл. 8.3 СП 20.13330.2011

0,7

1,3

0,91


Итого

0,895


1,135


Собственный вес балки (принимаю 100х175).

) Нормативный:


) Расчётный:


Таблица 8.3

Нагрузка от перекрытия первого этажа

Наименование элемента и подсчёт нагрузки

Нормативная нагрузка,

Коэффициент надежности по нагрузке,

Расчётная нагрузка,

Постоянная нагрузка

Доска пола

0,16

1,1

0,176

Временная нагрузка

Временная нагрузка согласно табл. 8.3 СП 20.13330.2011

1,5

1,3

1,95

Всего полная нагрузка

1,66


2,126


Таблица 8.4

Нагрузка от веса элементов каркасной стены

Вид нагрузки и ее расчет

Нормативная нагрузка,

Коэффициент надежности по нагрузке,

Расчётная нагрузка, кН

Постоянная нагрузка от веса элементов каркасной стены

Обвязка - 2 доски 150х50 мм, ,

0,045

1,1

0,0495

Декоративная штукатурка (9мм)  =1,5кг/м2

0,054

1,3

0,0702

Ветрозащитная плита ISOPLAAT (толщина 25 мм),  

0,207

1,2

0,2484

Пароизоляционная пленка (толщина 0,25мм)

0,001

1,2

0,0012

Плита минераловатная PAROC Extra (150мм) ,

0,184

1,2

0,2208

Плита OSB (9 мм), ,

3,024

1,2

3,6288

Обрешетка 22х50 мм, шаг 500, ,

0,17

1,1

0,187

ГКЛ Кнауф (25 мм),

0,207

1,2

0,2484

Всего от веса элементов каркасной стены, на 2 этажа

0,698


0,862

Всего полная нагрузка на стойку, без учета собственного веса

3,892


4,6543


Таблица 8.5

Собственный вес стойки

Элементы и подсчет нагрузки

Нормативные

Коэффициент надежности по нагрузке Расчетные


Обвязочная балка 0,049

1,1

0,0539


Собственный вес стойки1,05

1,1

1,155


Утеплитель, ρ=30 кг/м3 0,164

1,2

0,197


OSB (12 мм)0,275

1,1

0,303


Итого:

-

-

7,93


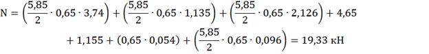
Общая нагрузка на стойку:

деревянный несущий ограждающий конструкция

8.3    Расчет стойки

 

Определение размеров


Рисунок 8.1 - Расчетная схема стойки

Расчетная длина:

 м,

где  - коэффициент» для шарнирно-закрепленных концов стойки;

Задаемся гибкостью  (предельная гибкость для колонн согласно табл. 17 п. 6.24 СП 64.13330.2011 «Деревянные конструкции» );

Коэффициент продольного изгиба, при :

,

Требуемая площадь поперечного сечения:

см2,

Минимальный требуемый радиус инерции сечения стойки:

см,

Требуемая высота сечения стойки:

см,

Принимаем высоту сечения стойки см,

Требуемая ширина сечения стойки:

см,

Принимаем ширину стойкисм,

Фактическая площадь поперечного сечения:

см2,

Рисунок 8.2 - Поперечное сечение цельнодеревянной стойки

Гибкость стойки принятого сечения:

,

Условие не выполняется, поэтому устанавливаю в продольной плоскости стены подкосы и ригели. Тогда  см.


Коэффициент продольного изгиба:

,

Напряжения от силы N, возникающие в стойке каркаса:


Вывод: сечение стойки 50х150 древесины хвойных пород второго сорта полностью удовлетворяет условию прочности.

8.4    Расчет составной стойки


Составная стойка рассчитывается, как центрально-сжатый стержень. Сечение стойки состоит из 2 досок сечением мм, скрепленные гвоздями диаметром 4,0 мм с шагом 280 мм.

Исходные данные

Материал: древесина хвойных пород 2 сорта (сосна), расчетное сопротивление сжатию МПа по табл. 3 СП 64.13330.2011 «Деревянные конструкции».

Высота стойки  мм, закрепление концов - шарнирное. Шаг стоек - 0,65 м.

Расчетная нагрузка на стойку: кН.

Расчетная длина в плоскости : мм.

Расчетная длина из плоскости : мм.

Рисунок 8.3 - Поперечное сечение составной стойки

 

Расчет по 1-ой ГПС

Коэффициент приведенной гибкости:

,

где  - коэффициент податливости соединения;

см - диаметр гвоздя;

 - количество плоскостей сплачивания;

 - количество срезов связей на 1 п.м. с учетом шага гвоздей 250 мм;

Гибкость стержня относительно оси, параллельной плоскости сплачивания:

,

Где:

 - гибкость в плоскости  для составного сечения;

 - гибкость между точками закрепления отдельных ветвей;

Коэффициент продольного изгиба:

,

Проверка устойчивости составного стержня в плоскости :


Гибкость составного стержня в плоскости :

,

Коэффициент продольного изгиба:

,

Проверка устойчивости составного стержня в плоскости :

кН/см2

Вывод: сечение стойки 100х150 древесины хвойных пород второго сорта, установленных с шагом 650 мм, полностью удовлетворяет условию прочности.

9. Расчет доски пола


9.1    Исходные данные


Шаг балок 600 мм. Настил (доски) чистого пола изготовлены из древесины хвойных пород второго сорта. Расчетное сопротивление изгибу МПа, по табл. 3 СП 64.13330.2011 «Деревянные конструкции», модуль упругости МПа по п. 5.3. СП 64.13330.2011 «Деревянные конструкции».

9.2    Сбор нагрузок


Таблица 5

Сбор нагрузок на доску пола в кН/м2

Вид нагрузки

Нормативные нагрузки

Коэффициент надежности по нагрузке

Расчетные нагрузки

Постоянные: Доска пола толщиной 32 мм, 0,032х5=0,16

0,16

1,1

0,176

Итого:

0,16


0,176

1,5

1,3

1,95

Полная нагрузка

1,66


2,126


Нагрузка на 1 п.м.

) Нормативная:

2) Расчётная:


9.3    Расчет доски пола

 

Первое сочетание нагрузок


Рисунок 9.1 - Схема нагрузок. Эпюра изгибающих моментов

Максимальный изгибающий момент находится над промежуточной опорой:


Второе сочетание нагрузок

Сосредоточенный груз  при ширине досок сплошного настила мм распределяется на 2 доски.

Рисунок 19 - Схема распределения сосредоточенного груза  на 2 доски

Расчетная нагрузка:

.        От собственного веса: кН/м,

.        От сосредоточенного груза : кН,

На ширину 1 м расчетной полосы:

 кН,

Максимальный изгибающий момент:

 кНм,

, поэтому за расчетный момент принимаем  кНм;

Рисунок 9.2 - Схема нагрузок. Эпюра изгибающих моментов

Расчет по 1-ой ГПС

Геометрические характеристики:

Момент сопротивления расчетной полосы:

 мм3,

Момент инерции расчетной полосы:

мм4,

Проверка прочности настила:


- расчётное сопротивление древесины изгибу согласно табл. 3 СП 64.13330.2011.;

m = 1,2 - коэффициент, зависящий от кратковременности действия нагрузки.

Вывод: сечение доски из древесины хвойных пород второго сорта, сечением 125х32 полностью удовлетворяет условию прочности.

Расчет по 2-ой ГПС

Предельный прогиб:

см,


Вывод: сечение доски из древесины хвойных пород 2-го сорта, сечением 125х32 полностью удовлетворяет условию жёсткости.

Расчет на зыбкость

Предельные прогибы элементов пе­рекрытий помещений жилых и обществен­ных зданий, исходя из физиологических требований, следует определять по формуле:


где g - ускорение свободного падения;

р = 0,25кПа - нормативное значение нагрузки от лю­дей, возбуждающих колебания, прини­маемое по табл. Е2  СП 20.13330.2011;

р1 = 0,525кПа - пониженное нормативное значение на­грузки на перекрытия, принимаемое по таблице Е2 и пункту 8.2.3 СП 20.13330.2011;

q = 0,16 кПа - нормативное значение нагрузки от веса рассчитываемого элемента и опираю­щихся на него конструкций;= 1,5 Гц - частота приложения нагрузки при ходь­бе человека, принимаемая по табл. Е2 СП 20.13330.2011;- коэффициент, принимаемый по табл. Е2 СП 20.13330.2011. В данном случае

.

- вес одного человека, принимаемый равным 0,8 кН;

α - коэффициент, принимаемый равным 1,0 для элементов, рассчитываемых по балочной схеме;

а - шаг балок, ригелей, ширина плит (настилов), м;- расчетный пролет элемента конструкции, м.

Нм;

Н;

Прогиб от сосредоточенной нагрузки Q=0,8 кН (80 кгс):


Проверка:

Условие выполняется, фактический прогиб не превышает предельно допустимого значения.

10.    Заготовка и хранение древесины

 

На лесопильные предприятия пиловочное сырье - хлысты (стволы срубленного дерева, у которого отделены корни и сучья) поступает сплавным путем, железнодорожным или автомобильным транспортом. При поперечной разделке хлыстов получают круглые сортаменты, имеющие различное назначение (бревна, кряжи).

Пиломатериалы получают при продольной распиловке бревен и кряжей. Пиломатериалы хранят в штабелях под навесами или на складах в закрытых помещениях. Основание должно быть предварительно выровнено и уплотнено. Высота штабеля не менее 2 м. Пиломатериалы укладываются в непосредственной близости от места установки и зоны действия монтажного механизма.

Качество пиломатериалов должно соответствовать ГОСТ 8486-86, ГОСТ 2695-83 и дополнительно СП 64.13330.2011 «Деревянные конструкции». Размеры поперечного сечения деревянных элементов измеряются штангенциркулем не менее чем в трех местах, расположенных в середине и вблизи концов элемента. Влажность деревянных элементов можно определить с помощью электровлагомеров.

11.    Указания по защите


11.1 Защита деревянных конструкций от гниения

 

Химические меры защиты

В зависимости от степени поражения древесины принимается решение: либо о проведении полной замены конструкций, либо о локализации поврежденных мест для предупреждения дальнейшего распространения «инфекции». Локализация подразумевает: вскрытие конструкций, если они были облицованы какими-либо отделочными материалами; удаление разрушенной части древесины с помощью щетки, скребка или ножом (при этом вся гнилая древесина тщательно собирается и сжигается), антисептирование.

Антисептирование применяется во всех случаях, когда конструктивными мерами невозможно гарантировать надежную защиту деревянных конструкций от загнивания. Антисептики оказывают отравляющее воздействие на биологических разрушителей древесины.

Наиболее распространенные водорастворимые антисептики: фтористый натрий, кремнефтористый аммоний, селькур, препарат ББ-11.

К препаратам препятствующим биоразрушениям, относится «Бицидол». «Бицидол-100» окрашивает древесину в зеленоватый цвет, поэтому им пользуются в тех случаях, когда внешний вид древесины не имеет значения.

«ВУПРОТЕК» (аналог «PINOTEX») окрашивает древесину в один из восьми цветов или сохраняет ее первозданный вид и защищает еще непораженные материалы от образования колоний грибов. В случае повреждений защитной пленки плесень способна быстро разрастаться.

«Древесный лекарь» выпускают трех модификаций. «ДЛ-1» предназначен для обработки свежей неокрашенной древесины или деревянных изделий с целью предохранения от появления плесени, дереворазрушающих грибков, гнили, жука-древоточца. «ДЛ-2» - для уничтожения уже развившихся колоний микроорганизмов и защиты от их появления в будущем. «ДЛ-3» - самый мощный биосептик нового поколения, кроме всего перечисленного, останавливает начавшийся процесс гниения древесины и отпугивает появившихся ранее жуков-древоточцев, короедов и подобных насекомых.

Конструктивные меры защиты

Для зданий с деревянными элементами обязательны следующие конструктивные меры:

.   Отвод воды должен быть наружным для предохранения деревянных конструкций от непосредственного увлажнения атмосферными осадками, притом вынос карниза должен быть не менее 500 мм;

.   В местах соприкосновения деревянных элементов с бетоном требуется прокладка 1-2 слоев гидроизоляционного материала (балки перекрытия, мауэрлаты).

11.2 Защита деревянных конструкций от возгорания

 

Химические меры защиты

Древесина относится к легковозгораемым материалам.

Средства огнезащиты относятся к продукции, предназначенной для безопасности людей и сохранности материальных ценностей, поэтому подлежат обязательной сертификации.

К огнезащитным средствам относятся составы I и II групп огнезащитной эффективности.

Регламентирующим документом в этой области является НПБ 251-98 (ГОСТ 16363-98).

ГОСТ 30495 приводит следующие требования к огнезащитным составам: проникаемость в древесину, коррозионная агрессивность, снижение механической прочности при скалывании и изломе, запах, окрашивание, вредное влияние на человека и др. Пропитка антипиренами снижает прочностные свойства древесины в среднем на 10%.

Средства, используемые для огнезащиты древесины, условно можно разделить на огнезащитные покрытия (лаки, краски, пасты, обмазки) и огнезащитные пропиточные составы (пропитки). Огнезащитные покрытия ухудшают декоративные свойства древесины и используются преимущественно для защиты не просматриваемых конструкций. Пропиточные составы, как правило, сохраняют текстуру и природную красоту древесины и поэтому находят более универсальное применение. Среди органорастворимых огнезащитных средств широкое распространение получили соединения, имеющие в своем составе атомы фосфора и галогенов. Из водорастворимых огнезащитных средств наиболее известны пропитки, в состав которых входят соли фосфорной кислоты (диаммоний фосфат, моноаммоний фосфат и т.д.). При выборе огнезащитных средств важен период времени, в течение которого сохраняется защитное действие препарата после обработки древесины, а также периодичность обработки (реставрации) с целью поддержания огнезащитных свойств.

Наиболее применяемые антипирены для пропитки деревянных элементов: препараты МБ-1, МС, вспучивающиеся покрытия ВПМ-2Д, ХВ-5169 ТХЭФ, ББ11.

Соединительные металлические детали снижают предел огнестойкости деревянных конструкций, они также должны быть защищены огнезащитными составами.

Несмотря на то, что огнезащитные свойства обработанной древесины сохраняются в течение ряда лет, проверку состояния деревянных конструкций следует проводить ежегодно, поскольку невозможно заранее определить реальные условия эксплуатации древесины после обработки.

Огнезащитные покрытия на основе жидкого стекла и силикофосфатного связующего вследствие химического взаимодействия с содержащимися в воздухе углекислотой и другими агрессивными газами в процессе эксплуатации покрываются пятнами (белесый налет, высаливание), в них появляются трещины, что ухудшает декоративные и эксплуатационные свойства обработанных поверхностей.

Конструктивные меры защиты

Применение деревянных массивных элементов, несгораемых утеплителей, отсутствие выступающих мелких элементов уменьшают возможность возгорания.

12.    Указания по эксплуатации

 

Для обеспечения долговечности зданий при проектировании должны быть предусмотрены все меры по сохранности деревянных конструкций - от поступления их на стройку до укладки.

Техническая эксплуатация построенных зданий предусматривает обеспечение содержания в исправном состоянии конструкций и здания в целом в течение всего срока службы путем систематических наблюдений за состоянием конструкций, своевременного выявления дефектов.

По результатам наблюдений должно быть сделано заключение о выявленных отклонениях от проектных требований и способах и сроках их устранения.

Необходимо систематически следить за исправностью систем водоснабжения, отопления, своевременно выявлять и устранять неисправности и протечки в кровле, закрывать продухи в цокольной стене на зиму и открывать их в летний период для проветривания и т.д.


13.    Указания по транспортированию, хранению и монтажу деревянных конструкций


Деревянные конструкции и изделия при хранении и транспортировке должны быть защищены от влажностных воздействий, поэтому период их хранения на объекте должен быть сведён к минимуму. Особенно это касается клееных несущих конструкций, срок от доставки с завода до окончания кровельных работ которых не должен превышать трех месяцев.

При хранении и транспортировке конструкции необходимо устанавливать в проектное положение. Детали деревянного домостроения должны храниться в штабелях, накрытых большеформатными пленочными материалами. Срок их хранения на объекте не должен превышать 10-15 дней. Изделия в штабеле должны опираться на деревянные сквозные подкладки и прокладки.

При хранении конструкций в горизонтальном положении нижний ряд укладывают на подкладки либо на бревна, опиленные с двух сторон. Основание должно быть предварительно выровнено и уплотнено, иметь уклон для отвода дождевых и талых вод.

Порядок укладки различных конструкций:

. Клеефанерные конструкции и другие конструкции массивных сечений укладываются в один ряд в проектном положении на деревянные прокладки, укладываемые на грунт;

.  Балки, прогоны, стропильные ноги, мауэрлаты и другие изделия из бруса или доски длиной до 6 м укладываются горизонтально в штабеля по 10-15 рядов с прокладками между ними. Прокладки должны находиться одна над другой по одной вертикальной линии. В каждом ряду должно быть не менее трех прокладок.

До начала монтажа на площадку должны быть доставлены деревянные конструкции в количестве, определенном проектом производства работ или технологическими картами. Конструкции укладывают в местах, предусмотренных строительным генеральным планом в непосредственной близости к месту установки и в зоне действия стрелы монтажного механизма.

Монтаж проводят в следующей последовательности: по фундаментам на гидроизоляционный слой (Изопласт) укладывают брусья нижней обвязки каркаса стен, а на обвязку балки пола. Для работы монтажников по балкам укладывают временной настил из инвентарных щитов. Монтаж каркаса стен начинают с установки угловых стоек, затем устанавливают остальные стойки каркаса, согласно проекту, и закрепляют их временными подкосами. По верху каркаса стен укладывают верхнюю обвязку, на которую кладут балки перекрытия с временными инвентарными щитами настила, с которых ведут монтаж каркаса стен второго этажа и укладывают обвязку и балки чердачного перекрытия. Попутно с монтажом стен устанавливают в их проемы оконные и дверные блоки. Закончив устройство чердачного перекрытия и укладку мауэрлата, приступают к монтажу элементов стропильной и подстрапильной системы. После монтажа кровли производят устройство полов межэтажного и чердачного перекрытий. Внутреннюю обшивку стен выполняют после укладки минерального утеплителя. Щиты перегородок устанавливают на черные полы с закреплением их гвоздями. Затем в помещениях настилают чистые полы в соответствии с проектом.

В основные работы также входят установка карнизов, обрамление наличниками оконных и дверных проемов, устройство пилястр, козырьков над крыльцами и др.


СПИСОК ИСПОЛЬЗОВАННЫХ ИСТОЧНИКОВ


1. СП 64.13330.2011. Деревянные конструкции - М.: Министерство регионального развития Российской Федерации, 2011. - 85 с.

. СП 20.13330.2011. Нагрузки и воздействия - М.: Министерство регионального развития Российской Федерации, 2011. - 71 с.

. Деревянные конструкции в скатных крышах и перекрытиях зданий: методическое пособие / ПетрГУ; Составитель: Л.А. Мейгал. - Петрозаводск, 2009. - 72 с.

4. СП 31-105-2002 Проектирование и строительство энергоэффективных одноквартирных жилых домов с деревянным каркасом.

5. Производство деревянных работ и монтаж деревянных конструкций [Электронный ресурс]

6. Хранение и транспортировка конструкций [Электронный ресурс]

Похожие работы на - Проект жилого двухсекционного двухэтажного здания с деревянными элементами

 

Не нашли материал для своей работы?
Поможем написать уникальную работу
Без плагиата!
Без нейросетей!