Усовершенствование топливной системы самолета ИЛ-76 с целью повышения ее надежности в эксплуатации
Министерство
образования и науки Республики Казахстан
АО «Академия
гражданской авиации»
Специальность
5В071400 Авиационная техника и технологии
Образовательная
программа «Техническая эксплуатация летательных аппаратов и авиационных
двигателей»
ДИПЛОМНАЯ
РАБОТА
Усовершенствование
топливной системы самолета ИЛ-76 с целью повышения ее надежности в эксплуатации
Алматы 2015
г.
ЗАДАНИЕ на выполнение дипломной
работы
Специальность: Авиационная техника и технологии
Специализация: Техническая эксплуатация
летательных аппаратов и авиационных двигателей
1. Тема дипломной работы: Усовершенствование
топливной самолета ИЛ-76 с целью повышения ее надежности в эксплуатации
2. Срок сдачи студентом законченного
проекта
СОДЕРЖАНИЕ
ВВЕДЕНИЕ
.
ОСНОВНАЯ ЧАСТЬ
.1
Военно-транспортный
самолет Ил-76
1.2
Особенности компоновки самолета
.3
Транспортный
самолет Ил-76ТД
1.4
Модифицированный военно-транспортный самолет Ил-76МФ
.5
Транспортный
самолет Ил-76ТФ
1.6
Транспортный самолет Ил-76ТФ-100
.7
Транспортный самолет Ил-76МД (ТД)-90
.
ПРОЕКТНАЯ ЧАСТЬ
2.1
Влияние расхода топлива на центровку самолета
2.2
Прибор,
определяющий центр масс
2.3
Конструкция датчика
.
ОХРАНА ТРУДА
ЗАКЛЮЧЕНИЕ
СПИСОК
ИСПОЛЬЗОВАННОЙ ЛИТЕРАТУРЫ
ВВЕДЕНИЕ
Топливная система самолета предназначеня
для хранения на борту самолета необходимомго для выполнения полетного задания
топлива и подачи его в работающие двигатели в необходимом количестве и под
требуемым давлением. Конструктивно топлиная истема состоит из двух основных
подсистем.
1. Самолетная топливная система
2. Двигательная топливная система
К двигательной топливной системе относятся все
агрегаты топливной системы, находящиеся непосредственно на двигателе и
поставляемые вместе с двигателем. Мы в данной дипломной работе двигательную
топливную систему рассматривать не будем.
Самолетная топливная система состоит из
следующих основных элементов: топливный бак, подкачивающие насосы,
перекачивающие насосы систем перекачки, трубопроводы, топливные фильтры,
обратные клапаны, краны различных видов, температурно-разгрузочные краны,
противопожарные краны перекрытия, системы дренажа и наддува, система заправки
топливом и т.п. В некоторых самолетах имеются системы слива топлива.
Топливный бак служит для размещения и хранения
необходимого количества топлива для выполнения полетного задания. Существуют
три вида топливных баков: жесткие топливные баки, гибкие (резиновые) топливные
баки и кессон баки. Жесткие топливные баки представляют собой обычные
металлические емкости, в которые заливается топливо. Конструктивно очень
простые, не требовательны в тех. эксплуатаций, но не выгодны в плане веса.
Резиновые баки представляют собой резиновые мешки в металлических гондолах.
Используются в основном в военной авиации. Бали широко распространены в
середине XX века.
Резина имеет свойство самозатягивания при образовании мелких отверстий (самолет
то военный, всякое может случиться). Имеет недостатки. Резина с истечением
времени разъедается топливом, а устойчивая к химической коррозии резина очень
дорога. «Боится» прямых солнечных лучей. В современной авиации широкое
распространение получили кессонные баки. В этом случае, баков как таковых нет.
Для размещения используется свободное пространство между нервюрами, верхней и
нижней панелью обшивки самолета. Очень выгодно в весовом плане. Несуществующий
бак не весит. Изготовление технологически сложно. К тому же требуется абсолютно
герметичное соединение нервюр и панелей обшивки. Малейшая деформация может
привести к разгерметизации и утечке топлива. А это не есть хорошо.
В военной авиации так же могут применяться
дополнительные подвесные топливные баки. Но у нас в стране этот метод не
используется. (Этот метод применителен для истребителей сосровождения
сверхдальных стратегических бомбардировшиков. Имеющиеся на воружений в ВС РК
истребители и перехватчики способны перекрыть расстояние в пределах воздушного
пространства РК, а наступательных кампаний мы пока не планируем).
Дальность полета напрямую зависит от вместимости
топливных баков. В связи с этим различают три различных вида дальности.
. Теоретическая дальность
2. Практическая дальность
. Тактическая дальность
Теоретическая дальность - расстояние пролетаемое
самолетом с полной заправкой до полного опустошения всех топливных баков.
Практическая дальность - расстояние пролетаемое
самолетом с полной заправкой, до остатка в баках 7-9% топлива от начального
количества.
Тактическая дальность - дальность полета с
учетом времени и расхода топлива на выполнения полетного задания. В основном
применительна к военной авиаций, авиаций МЧС и АХР (сель. хоз. авиация).
Подкачивающие насосы предназначены
для перекачки топлива под давлением к двигателям через трубопроводы.
Некоторые легкомоторные самолеты не имеют таких насосов. У таких самолетов
топливо в двигатели поступает самотеком. Баки таких самолетов, обычно,
расположены выше уровня двигателей (как у мотоциклов). Перекачивающие насосы
предназначены для перекачки топлива из одного бака в другой. Большинство
самолетов имеют расходный бак. Топливо из остальных баков поступает в расходный
бак, а оттуда к двигателям. Перекачивающие насосы доставляют топливо в
расходный бак из других баков, расположенных в ОЧК (отъемные части крыла). Во
время перекачки важно следить за балансом количества топлива в баках. На
некоторых самолетах это происходит автоматически.
Существует три основных вида насосов:
. Плунженые
2. Центробежные
. Шестеренчатые
В топливной системе самолетов используются
центробежные и шестерёнчатые насосы. Плунжерные насосы не используются в силу
неравномерности расхода жидкости. Чаше всего используется центробежный насос.
Так как в отличие от шестеренчатого насоса, центробежные насосы обладают
большим расходом жидкости.
Топливные насосы питаются напряжением
переменного или постоянного тока. Обычно на самолетах параллельно используются
оба вида. Для повышения надежности. Чтобы в случае отказа системы постоянного
или переменного тока не потерять полностью систему подачи топлива в двигатели.
Во многих случаях топливо будет подаваться в двигатели и без подкачки
самотеком, но в меньшем количестве. Это негативно отразится на мощности
двигателя, и вследствие на тяге и на всех энергетических системах ВС.
Вероятность того, что обе системы откажут одновременно, очень мала (схемная
надежность).
Трубопроводы предназначены для доставки топлива
к двигателям. Топливные фильтры предназначены для очистки топлива от
механических примесей. Фильтры бывают тонкой и грубой очистки.
Обратные клапаны или блок обратных клапанов
служат для того, что бы предотвратить (исключить) перетекание топлива в
обратную сторону в случае отказа насоса или потери производительности и (или)
мощности.
Краны могут перекрывать канал течения топлива
при необходимости. Большинство самолетов имеют пожарные перекрывные краны. Эти
краны в случае возникновения пожара на двигателе способны перекрыть доступ
топлива в данный двигатель.
При изменении температуры топливо может
расширяться или сжиматься. Во время расширения в трубопроводах создается
избыточное давление, опасное для труб и отдельных агрегатов. Чтобы избежать
этого, некоторые самолеты снабжены температурно-разгрузочным краном (клапаном).
Этот кран сливает излишнее топливо обратно в бак. То есть работает как
предохранительный клапан (клапан перепуска).
Очень важной является система дренажа и наддува.
Через систему дренажа полость бака сообщается с атмосферой. Это нужно для того
что бы во время заправки снизу не «разорвать» бак. Без системы дренажа заправка
самолета топливом крайне затруднительна. При повышении давления выше нормы
клапан перепуска на дренажном бачке открывается и сбрасывается избыточное
давление.
Наддув наоборот, нагнетает давление в баки.
Проблема в том, что по мере выработки топлива в баках может образоваться
пустота, что приведет к снижению давления у поверхности топлива в баках.
Поддерживать давление, напрямую сообщаясь с атмосферой невозможно. Так как на
большой высоте давление значительно мало. А снижение давления у поверхности
может привести к кавитации (появление и схлопывание пузырьков жидкости). Это
приводит к снижению эффективности насосов и появлению опасных вибраций и
гидроударов в трубопроводах. Что бы избежать этого, необходимо поддерживать
повышенное давление в топливных баках. Система наддува может это обеспечить. Во
многих самолетах система наддува и дренажа «пользуются» одни бачком. На бачке
находятся и клапан перепуска системы дренажа и клапан впуска системы наддува.
Наддув осуществляется воздухом высокого давления (Обычно из последней ступени
компрессора, предварительно охлажденный, возможны и другие варианты). Некоторые
самолеты могут не иметь систему наддува топливных баков. Но такие самолеты,
обычно, маловысотные.
Некоторые самолеты снабжены системой
слива топлива. Данная система предназначена для сброса некоторого количества
топлива во премя полета. Это требуется в тех случаях, когда самолет вынужден
совершит посадку через некоторое время после взлета. Но если от момена взлета
не прошло много времени то в баках находится большое количество топлива. И
шасси самолета можетны выдержать во время посадки слишком большой вес самолета,
даже если шасси выдаржит, есть возможность образования остаточной деформаций.
Поэтому в таких случаях в полете сливается некоторое количество топлива. Если
самолет не имеет данную систему, то экипажу приходится кружа над аэродромом,
выработаь (сжечь) необходимое количество топлива. Но в некоторых случаях может
потребоваться срочно произвести вынужденную посадку, поэтому данная система
является очень нужной в плане безопасности полета.
Система заправки топливом
обеспечивает заправку топливом и равномерного распределения топлива по бакам.
Обычно рядом с заправочной горловиной находится щиток (пульт) управления
заправкой самолета топливом. Во время заправки самолета важно следить за уронем
топлива в каждом баке. Есть множество способов определения количества топлива в
баках. Но самым простым на мой взгляд, является мерная магнитная линейка.
Мерная магнитная линейка представляет собой герметичную трубку внутри бака, в
которм находится линейка с обозначенными на ней шкалами (градулировкой) уровня
топлива. Нижнии конец линейки во время заправки выступает с нижней части бака
наружу. И по длине пыступабщей части определяется уровень топлива в баках. Если
баки наполнены топливом, то линейка полностю исчезает в баке. В верхней части
линейки распологается сердечник (обычно из железа). Снаружи трубки расположен
попловок, к которому закреплен постоянный магнит. При изменений уровня топлива,
попловок перемещается вертикально вдоль трубки, а вместе с ним и магнит. А
сердечник в верхней части линейки следует за магнитом. Таким образом линейка связана
с поплавком, при этом герметичность бака остается ненарушенной.
Один из вариантов такой мерной
магнитной линейки показан на рисунке.
- винт; 2 - защёлка; 3 - линейка; 5 - фланец; 6
- кронштейн; 7-уплотнительное кольцо; 8 - фторопластовое кольцо; 9 - поплавок;
10 - корпус; 11 - магнит; 12 - чашка; 13 - пружина
При отказе системы централизованной
заправки топливом, неоторые самолеты снабжены горловинами в верхнихчастях
баков. И с этих горловин каждый бак заправляется по одтлеьности.
Одной из разновидностей систем
заправки является, система заправки в полете. Но эта система характерна только
для самолетов военной авиаций. И только для истребителей соправождения.
Появление таких истем обусловлено историческим случаем того что две
сверхдержавы второй половины XX
века были расположены друг от друга на значительном расстояний и люто
ненавидели друг друга. Ясно, что бомбардировщики не долетят до цели без
истребительного сопровождения (это стало известно еще во время первой мировой
войны). Но проблема в том, что истребители не имеют большого запаса хода в силу
ограниченности вместимости топливных баков и прожорливости двигателей. Поэтому
было решено производить дозаправку в полете.
Особенно в этом направлений продвинулись советские
инженеры. Так как в отличие от сил НАТО, советская военная авиация того времени
остро нуждалась в увеличении дальности полета самолетов. Это тоже сложилось
исторически (Силы НАТО в этом не нуждались так остро, так как в те времена СССР
был окружен со всех сторон базами сил НАТО. И бомбардировщики и истребители
враждебных стран, вылетев из этих баз, могли долететь, почти до любой точки
СССР. Самолеты советской стратегической авиаций могли поразить эти базы и
некоторые цели в Европе, но до США было очень и очень далеко). Но данный способ
заправки самолета топливом является очень сложной операцией, и требует от
пилота максимальной концентраций внимания, высоких профессиональных навыков и
отлично слаженной работы экипажей и заправщика танкера и заправляемого
самолета.
Важно отметить, что масса топлива на самолете
составляет значительную долю взлетной массы самолета. Поэтому во время полета
по мере выработки топлива изменяется масса и центровка самолета. Обычно
топливные баки расположены в районе центроплана, что бы, не нарушать центровку
самолета в полете. И это влияние мало, но все же сказывается на центровку. В
топливных системах самолетов нет прибора, регистрирующего изменения центровки
самолета по мере выработки топлива. И экипажу приходится во время полета
производить расчеты в уме, отвлекаясь от других важных дел. Поэтому считаю
необходимым разработать такой прибор, или предложит его варианты в виде
принципиальных схем.
1. ОСНОВНАЯ ЧАТЬ
.1 Военно-транспортный
самолет Ил-76
К разработке турбореактивного
самолета Ил-76 коллектив ОКБ приступил в соответствии с приказом Министра
авиационной промышленности СССР от 28 июня 1466 г. Приказом предписывалось
провести исследовательские работы по определению возможности создании среднего
военно-транспортного самолета с четырьмя турбовентиляторными двигателями,
"предназначенного для выполнения задач, возлагаемых на военно-транспортную
авиацию центрального подчинения и на фронтовую ВТА по посадочному и парашютному
десантированию войск, боевой техники и военных грузов".
По результатам проведенной
совместно с ЦАГИ проектно-исследовательской проработки было разработано
техническое предложение по созданию военно-транспортного самолета с
турбовентиляторными двигателями Д-30КП конструкции ОКБ П.А. Соловьева.
Техническое предложение Генеральный конструктор С.В. Ильюшин утвердил 25
февраля 1967 г. 27 ноября 1967 г. Совет Министров СССР принял Постановление о
создании военно-транспортного самолета Ил-76. Выполняя это Постановление,
коллектив ОКБ приступил к разработке конструкторской документации на самолет.
Все работы по созданию самолета проходили под руководством заместителя
Генерального конструктора Г.В. Новожилова (28 июля 1970 года его назначили
Генеральным конструктором опытного конструкторского бюро московского машиностроительного
завода "Стрела" - в настоящее время Авиационный комплекс им. С.В.
Ильюшина). Работы по созданию эскизного проекта и подготовке к Макетной
комиссии велись под руководством Д.В. Лещинера.
Две недели, практически
круглосуточно, шла напряженная работа Макетной комиссии. Результаты ее работы
позволили более глубоко и тщательно вести работы по выпуску конструкторской
документации на самолет. 20 ноября 1969 года Акт работы Макетной комиссии был
утвержден Главнокомандующим ВВС П.С. Кутаховым.
Первый опытный Ил-76
Первый опытный Ил-76 в полете
Проектирование транспортного
самолета с предъявляемыми к нему разнообразными требованиями, диктуемыми
универсальностью применения самолета, является технически трудной задачей. Для
самолета Ил-76 эта задача еще более усложнялась требованиями по обеспечению
эксплуатации самолета на грунтовых аэродромах ограниченных размеров и получения
в этих условиях сравнительно коротких для такого класса самолетов длин разбега
и пробега. Поэтому необходимо было изыскивать новые технические решения и
проводить дополнительные исследования. В частности потребовалось создать
специальное многоколесное шасси повышенной проходимости.
Сравнительно короткий разбег и
пробега обеспечивались следующими конструктивными решениями:
аэродинамической компоновкой
крыла умеренной стреловидности с высокоэффективной механизацией:
повышенной тяговооруженностью
за счет установки на самолет четырех двигателей с взлетной тягой по 11 760 даН
(12 ООО кге), снабженных реверсивными устройствами тяги для торможения самолета
при пробеге;
высокоэффективной тормозной системой
колес основных опор самолета.
Эти особенности выгодно
отличают самолет Ил-76 от существующих транспортных самолетов как в СССР, так и
за рубежом. Кроме того, при разработке самолета большое внимание было уделено
обеспечению безопасности полета, надежности и автономности эксплуатации. В
процессе создания самолета на его конструкцию и системы было получено более
двухсот авторских свидетельств на изобретения и более тридцати иностранных
патентов.
Постройка первого опытного
самолета проводилась в Москве на опытном производстве предприятия с участием
многих предприятий страны, которые поставляли материалы, необходимые для
постройки самолета, агрегаты и системы. Возглавляли постройку самолета директор
предприятия Д.Е. Кофман и главный инженер В.А. Юдин.
Постройка первого опытного
самолета была завершена в начале 1971 года. Самолет выкатили на Центральный
аэродром города Москвы. Как известно, знаменитая Ходынка расположена всего в
шести километрах от Кремля, но первый полет предстояло выполнить именно отсюда.
Аэродромные отработки самолета проводили коллективы цеха общей сборки под
руководством В.М. Орлова, лабораторно-стендового комплекса под руководством
В.П. Боброва и бригады самолета под руководством старшего наземного механика
В.В. Лебедева. Общее руководство работами по подготовке к первому вылету
самолета было возложено на ведущего инженера по летным испытаниям самолета М.М.
Киселева. 25 марта 1971 года экипаж во главе с Заслуженным летчиком-испытателем
Э.И. Кузнецовым выполнил первый полет на первом опытном самолете Ил-76,
совершив посадку на аэродроме Раменское.
Сразу же после перелета
самолета на летную базу предприятия начался заводской этап летных испытаний по
разделу определения летно-технических и взлетно-посадочных характеристик
самолета.
В мае того же года самолет был
продемонстрирован руководителям страны, на подмосковном аэродроме Внуково, а
затем впервые был представлен на XXIX международном авиационно-космическом
салоне в Париже.
Практически через два года с
того же Центрального аэродрома был поднят второй опытный самолет Ил-76. Первый
полет на этом самолете выполнил экипаж во главе с летчиком-испытателем Г.Н.
Волоховым. Ведущим инженером по летным испытаниям был П.М. Фомин, а затем В.В.
Смирнов. Самолет приступил к летным испытаниям систем самолета, а также
пилотажно-навигационного прицельного комплекса.
мая 1973 года совершил первый
полет первый серийный самолет, он же стал третьим опытным самолетом, который с
аэродрома ташкентского авиационного завода поднял экипаж летчика-испытателя
A.M. Тюрюмина. Этот самолет приступил к летным испытаниям по разделу боевого
применения (отработка вопросов посадочного и парашютного десантирования личного
состава, грузов и техники). Ведущим летчиком-испытателем этого раздела
испытаний самолета Ил-76 был Александр Михайлович Тюрюмин. В августе 1974 года
он был удостоен звания "Заслуженный летчик-испытатель СССР", а в
марте 1976 года Указом Президиума Верховного Совета СССР "за испытания и
освоение новой авиационной техники и проявленные при этом мужество и героизм"
ему было присвоено звание Героя Советского Союза. Штурманам В.А. Щеткину, С.В.
Терскому и В.Н. Яшину, которые работали с ним в одном экипаже при выполнении
программ по десантированию, были также присвоены высокие звания
"Заслуженный штурман-испытатель СССР".
Бригаду испытателей возглавил
ведущий инженер по летным испытаниям В. С. Кругляков, который впоследствии
возглавлял летные испытания таких самолетов, как первый широкофюзеляжный
пассажирский самолет Ил-86, штурмовик Ил-102. пассажирские самолёты Ил-96-300 и
Ил-96МО. Ведущими инженерами по испытаниям десантно-транспортного и санитарного
оборудования самолета Ил-76 были А.Д. Егутко и Н.Д. Таликов.
В ноябре 1973 года выполнил
первый полет второй серийный (четвертый опытный) самолет. Этот самолет поднял в
воздух экипаж летчика-испытателя С.Г. Близнюка. Испытания проводила бригада под
руководством ведущего инженера Г.Д. Дыбунова, а затем П.М. Фомина. На этом
самолете отрабатывалось его вооружение. 15 декабря 1974 года завершились
Государственные испытания военно-транспортного самолета Ил-76. Этот этап
испытаний проводили испытательные бригады Государственного Краснознаменного
научно-исследовательского института имени В.П. Чкалова. Всего на четырех
опытных самолетах выполнено 964 полета с налетом 1676 часов.
Первые самолеты Ил-76 начали
поступать в 339 военно-транспортный ордена Суворова III степени авиационный
полк, который базировался в белорусском городе Витебске. Это был именно тот
полк, на базе которого проходил испытания по боевому применению первый серийный
самолет Ил-76. Командиром полка в это время был полковник А.Е. Черниченко,
который вместе с командиром гвардейской Смоленской орденов Суворова и Кутузова
дивизии ВТА В.А. Грачевым, оказывал огромную помощь в проведении летных
испытаний самолета Ил-76.
Если говорить о помощи, которую
оказывали ВДВ в проведении испытаний, то ее переоценить невозможно. Огромную
помощь оказывали лично командующий военно-транспортной авиацией
генерал-полковник Г.Н. Пакилев и командующие воздушно-десантными войсками
генерал армии В.Ф. Маргелов и его приемник генерал армии Д.С. Сухоруков. Видя
эту помощь, их подчиненные также оказывали всестороннюю помощь и поддержку.
Ил-76М/ МД - основа ВТА и
крылья ВДВ
Десантирование БМД-1 из Ил-76М
апреля 1076 года вышло
Постановление Правительства СССР о принятии на вооружение военно-транспортной
авиации военно-транспортного самолета Ил-76 с четырьмя турбовентиляторными
двигателями Д-30КП.
Первые модификации самолета Ил-
76 имели взлетную массу 170 т, грузоподъемность 28 т и дальность полета с
максимальной нагрузкой 4 200 км. В ходе модернизации взлетная масса возросла до
190 т, грузоподъемность до 43 т, а дальность с этой нагрузкой достигла 4 000
км.
В грузовой кабине могут
разместиться 145 или 225 (модификации - М, - МД в двухпалубном варианте) солдат
или 126 десантников (в первоначальном варианте их было 115). В грузовой кабине
могут разместиться три боевые машины десанта БМД-1, которые могут быть
перевезены в варианте посадочного десантирования, так и в варианте парашютного
десантирования в платформенном или бесплатформенном виде. Самолет может
десантировать четыре груза массой по 10 т или два моногруза массой по 21 т.
Существенно, по сравнению с
турбовинтовыми самолетами, расширился диапазон скоростей полета - с 260 до 825
км/ч. Это позволило сократить сроки выполнения задач, поднять возможности
преодоления ПВО противника, а также улучшить условия десантирования личного
состава и боевой техники.
Наряду с основными
летно-техническими характеристиками новой авиационной техники существенно
возросли качество и возможности радиосвязного, навигационного, пилотажного,
десантно-транспортного оборудования и вооружения самолета. ПНПК-76 позволил
осуществить автоматический полет по маршруту, выход в точку десантирования,
прицеливание, десантирование и заход на посадку в автоматическом или
директорном режиме. Оборудование самолета позволило полностью автоматизировать
полет в боевых порядках.
1.2 Особенности компоновки самолета
Военно-транспортный самолет Ил-
76, созданный в основном на базе проверенных в эксплуатации достижений
отечественной и зарубежной авиационной техники, обладает многими необычными
чертами, которые потребовали при его проектировании решения ряда проблем. Большой
интерес в этом отношении представляют: компоновка хвостовой части фюзеляжа,
высокоэффективная механизация крыла, специальное многоколесное шасси, топливная
система, система управления самолетом. А
также комплекс бортового транспортного оборудования.
При проектировании самолета ИЛ-
76 одной из сложных проблем было определение оптимальных размеров фюзеляжа, его
конфигурации, а также расположения и размеров грузового люка, которые с
наибольшей эффективностью отвечали бы условиям эксплуатации самолета.
Выбор размеров грузовой кабины
транспортного самолета представляет собой сложную задачу из-за большого
разнообразия перевозимых грузов и техники. Для перевозки на самолете Ил-76
крупногабаритных грузов и техники, вписывающихся в стандартный железнодорожный
габарит 02-Т, обеспечения проходов достаточной ширины вдоль бортов для
выполнения швартовки грузов и техники, поперечное сечение грузовой кабины было
выбрано шириной 3,45 м и высотой 3,4 м со срезанными верхними углами, а
поперечное сечение фюзеляжа круглое диаметром 4,8 м.
Длина грузовой кабины 20 м (без
учета рампы) была определена из условия размещения в ней шести стандартных
авиационных контейнеров 2,44x2.44x2,91 м (или трех контейнеров 2,44х 2,44x6,06
м) и различных типов техники с учетом установки в передней части грузовой
кабины двух загрузочных лебедок, рабочего места бортового техника по
авиадесантному оборудованию и наличия поперечного прохода достаточной ширины.
Общая длина грузовой кабины с
наклонной грузовой рампой, служащей одновременно трапом для въезда техники,
составляет 24.5 м. Пространство под полом грузовой кабины используется под
вспомогательные грузовые отсеки для размещения различного снаряжения.
Проектирование хвостовой части
фюзеляжа с большим грузовым наклонным люком стало одной из основных проблем при
разработке самолета. Создание заднего наклонного грузового люка,
обеспечивающего возможность сброса тяжелых крупногабаритных грузов на
платформах методом парашютного срыва, потребовало обеспечить высоту грузового
люка в свету (по полету), близкую к высоте грузовой кабины.
В результате анализа компоновок
фюзеляжей различных военно-транспортных самолетов для Ил-76 была выбрана такая
конфигурация хвостовой части фюзеляжа, которая обеспечивала свободную и быструю
загрузку самолета со стороны хвоста, а также свободный выход грузов при их
парашютном десантировании.
Проведенные в ЦАГИ исследования
по сбросу с помощью парашютов высокогабаритных грузов на платформах показали
возможность уменьшения высоты проема грузового люка в зоне концов створок с 3.4
до 3.0 м. благодаря чему была увеличена строительная высота силовых элементов
хвостовой части фюзеляжа, на которых крепится киль.
Для обеспечения необходимой
прочности хвостовой части фюзеляжа пришлось сделать специальную жесткость
(верхний замкнутый контур), опирающуюся на боковые бимсы - усиленные продольные
элементы коробчатого сечения, ограничивающие вырез люка в хвостовой части
фюзеляжа.
Грузовой люк закрывается рампой
и тремя створками: средней, открывающейся вверх и двумя боковыми лепесткового
типа, открывающимися наружу. Благодаря разделению створок грузолюка на
небольшие по ширине (среднюю и две боковые), при открытии в полете боковые
створки не оказывают заметного влияния на внешнюю аэродинамику фюзеляжа. Кроме
того, обеспечивается перемещение задней пары электротельферов за порог рампы.
Грузовая рампа является одной из створок грузового люка и служит для его
закрытия, для заезда в грузовую кабину техники (при опущенном до земли
положении рампы), а также сброса грузов в полете при горизонтальном ее
положении.
Грузовая кабина заканчивается
вертикальной гермостворкой у конца рампы, что позволило облегчить герметизацию
большого грузового люка. Гермостворка в открытом положении занимает
горизонтальное положение, освобождая проход для грузов.
Конфигурация носовой части
фюзеляжа определилась необходимостью размещения в ней нижней (обзорной) антенны
и обеспечения штурману хорошего обзора вниз. Кабина экипажа была разделена на
верхнюю, в которой размещаются два пилота, бортинженер и бортрадист, и нижнюю,
в которой размещается штурман с комплексом пилотажно-навигационного
оборудования. Позади кабины пилотов находится технический отсек с
оборудованием, дополнительным откидным сиденьем бортоператора по
десантно-транспортному оборудованию и местами хотя отдыха экипажа.
Кабина экипажа и грузовая
кабина самолета Ил-76 герметизированы, имеют наддув до перепада 0.049 МПа (0,05
кгс/см). Благодаря этому до высоты полета 6 700 м в кабинах поддерживается
нормальное атмосферное давление, а на высоте 11000 м давление в кабинах
соответствует высоте полета 2 400 м.
Конструктивно фюзеляж самолета
представляет собой цельнометаллический полумонокок с усиленным продольным и
поперечным набором по границам больших вырезов и в местах крепления к фюзеляжу
других агрегатов. По бортам фюзеляжа расположены обтекатели. в которые
убираются основные опоры самолета.
На самолете Ил-76 применены
четыре основные опоры, колеса которых размером 1300x480 мм оборудованы
высокоэффективными тормозами большой энергоемкости и расположены по четыре на
общей оси каждой опоры. Такое расположение колес позволило значительно улучшить
проходимость самолета по грунту. Уборка основных опор с разворотом колес вокруг
стойки на 90" выполняется под пол грузовой кабины в обтекатели специальной
формы со створками, открывающимися только в момент при их выпуске или уборке
шасси. Это исключает попадание в отсеки воды, снега и грязи при движении
самолета по аэродрому, что особенно важно при эксплуатации самолета на
грунтовом аэродроме. Минимальные размеры обтекателей шасси и их расположение
позволили исключить возникновение вредной интерференции воздушного потока от
обтекателей.
На передней опоре установлены
четыре колеса размером 1x100x300 мм.
Колеса передней опоры могут
поворачиваться на угол 50" для обеспечения разворота самолета на полосе
шириной 40 м.
Специальное многоколесное шасси
позволяет самолету Ил-76 использовать значительно большее число грунтовых
аэродромов, чем самолету Ан-12.
Установка на Ил-76 четырех
двигателей Д-ЗОКП обеспечивает самолету высокую тяговооруженность. Двигатели
снабжены устройствами реверсирования тяги створчатого (ковшового) типа, что
дает возможность использовать тягу двигателей в качестве дополнительного
средства торможения самолета при пробеге.
Расположение двигателей на
пилонах под крылом позволило унифицировать силовую установку самолета ИЛ- 76 и
сделать двигатели с гондолами взаимозаменяемыми.
Топливная система самолета
Ил-76 отличается высокой надежностью работы, простотой в эксплуатации и
обеспечивает бесперебойное питание двигателей топливом на всех возможных
режимах полета. Топливо размещается в кессонных баках крыла, разбитых по числу
двигателей на четыре группы. В каждой группе баков имеется расходный отсек, из
которого топливо подается к двигателю.
Работа топливной системы, в том
числе управление насосами перекачки топлива в расходные отсеки, осуществляется
автоматически, без дополнительных переключений баков в процессе выработки
топлива.
Одной из основных особенностей
системы управления самолетом Ил-76 является возможность перехода с бустерного
управления на ручное, что потребовало при проектировании решения сложных
технических задач для самолета таких больших размеров, обладающего к тому же
достаточно высокой скоростью полета. Такое решение позволило иметь минимальное
резервирование бустерного управления, что обеспечило управление самолетом при
посадке в случае отказа всех двигателей и. таким образом, значительно повысило
безопасность полета. Другой особенностью системы управления является применение
автономных рулевых машин, объединяющихся в одном агрегате бустер и
гидравлическую насосную станцию (с баком и электроприводом), что дало
возможность повысить надежность системы управления (благодаря отказу от
широкоразветвленной централизованной гидросистемы для питания бустеров), а
также значительно упростить обслуживание и ремонтоспособность системы в
аэродромных условиях.
Механические проводки системы
управления (кроме руля направления) дублированы и выполнены в виде жестких тяг,
проложенных по обоим бортам фюзеляжа с обеспечением их разъединения в случае
заклинивания одной из них.
.3 Транспортный самолет Ил-76ТД
Во второй половине 1960-х годов
начался интенсивный рост грузовых воздушных перевозок. В те годы значительное
количество грузов перевозили на пассажирских самолетах за счет их догрузки, а
крупногабаритные грузы и технику перевозили на транспортных самолетах Ан-12 или
на самолетах Ан-22, которые находились на вооружении ВТА.
Необходимость доставки грузов
воздушным транспортом, особенно в отдаленные и бездорожные районы Сибири.
Крайнего Севера и Дальнего Востока, а также потребность в быстром повышении
эффективности парка транспортных самолетов МГА определили целесообразность
создания в нашей стране нового транспортного самолета или использования
создаваемого в те годы самолета Ил-76 в интересах МГА.
В соответствии с распоряжением
Министра авиационной промышленности СССР от 6 марта 1970 года коллектив ОКБ
приступил к созданию гражданской модификации самолета Ил-76.
В мае 1973 года была проведена
Макетная комиссия МГА по рассмотрению материалов по самолету, предназначенного
для эксплуатации в МГА. Возглавлял эту комиссию заместитель министра
гражданской авиации Аксенов.
В мае 1975 года первый серийный
самолет прошел пробную эксплуатацию в тюменском регионе, перевозя различные
грузы из Тюмени в Сургут, Надым и Нижневартовск. Командиром экипажа был А.М.
Тюрюмин, ведущим инженером по летным испытаниям В.В. Шкитнн. В ходе этой
пробной эксплуатации были впервые проведены воздушные перевозки грузов в
контейнерах. с использованием легкосъемного напольного оборудования самолета,
что позволило применить новые технологии в авиационных перевозках.
В декабре 1975 - феврале 1976
года в этом регионе с более, сложной программой работал первый опытный самолет,
который также перевозил различные грузы в города Западной Сибири. Было
перевезено более 1700 г Грузов, включая различную инженерную и строительную
технику, автомобили, автобусы типа "Икарус". Командиром экипажа в этой
экспедиции был Заслуженный летчик-испытатель СССР Герой Советского Союза Э.И.
Кузнецов, ведущий инженер - И.Б. Воробьев.
В декабре 1976 года в Тюменское
управление гражданской авиации поступили два серийных самолета Ил-76. Это были
практически такие же самолеты Ил-76, которые поставлялись ВТА, но без
вооружения.
География полетов самолетов
Ил-76Т связана с освоением районов Крайнего Севера, Западной и Восточной
Сибири, Дальнего Востока. Самолет надежно работает на грунтовых и заснеженных
аэродромах в сложных погодных условиях. Весной 1978 г. самолеты Ил-76Т вышли на
международные трассы и сегодня они летают во всех регионах мира, в любых
климатических условиях.
Большую и нужную работу
выполняют самолеты Ил-76ТД, которые эксплуатируются в Министерстве по чрезвычайным
ситуациям.
Появление в гражданской авиации
такого большегрузного универсального транспортного самолета было вполне
закономерным, удовлетворяющим требованиям по решению стоящих перед отраслью
задач. И в то же время поражали воображение его комфортность для экипажа,
автономность, возможность взятия на борт практически всевозможной загрузки
(даже "с земли"), возможность использования для взлета и посадок
грунтовых и заснеженных аэродромов относительно ограниченных размеров, с
простейшими средствами УВД и минимумом аэродромного оборудовании". (Из
выступления бывшего командира отряда самолетов Ил-76 Центрального управления
международных воздушных сообщений гражданской авиации Г.П. Александрова на
летно-технической конференции, посвященной 20-летию летной эксплуатации
самолетов Ил-76 в гражданской авиации).
1.4 Модифицированный
военно-транспортный самолет Ил-76МФ
Практически одновременно с
принятием самолета Ил-76 на вооружение. 13 января 1976 года Министерство
авиационной промышленности СССР дало указание провести проработку вопроса
создания самолета Ил-76МФ. имеющего лучшие характеристики по транспортной
производительности. Тогда для такого самолета еще не имелось подходящего
двигателя, поэтому работы по созданию данной модификации самолета Ил-76 были
приостановлены.
Основные отличия самолета Ил-
76МФ от Ил-76МД:
грузовая кабина удлинена на 6,6
м;
двигатели Д-30КП заменены на
двигатели ПС-90А-76;
пилотажно-навигационный
прицельный комплекс ПНПК K-II-76 заменен на ПНПК K-III-76;
самолет переведен на
эксплуатацию по техническому состоянию без капитального ремонта.
Первый серийный самолет Ил-76МФ
построен Ташкентским авиационным производственным объединением имени В.П.
Чкалова в кооперации с российскими авиационными предприятиями (90%
комплектующих и материалов). Самолет выполнил свой первый полет 1 августа 1995
года. Командиром экипажа был А.Н. Кнышов.
По своим транспортным
возможностям самолет Ил-76МФ на 40% превосходит самолет Ил-76МД, увеличен объем
грузовой кабины с 326 м2 до 400 мг в грузовой кабине установлена новая система
напольной механизации, обеспечивающая перемещение и крепление международных
авиационных поддонов и контейнеров с грузами. Все эти изменения позволили:
увеличить боевую нагрузку с 50
т до 60 т;
обеспечить возможность
длинномерных грузов (до 31 м);
увеличить дальность полета на
20%:
снизить удельный расход топлива
на 15%;
выполнить требования ИКАО по
уровню шума на местности и эмиссии (выбросам вредных примесей при сгорании
топлива);
снизить уровень прямых
эксплуатационных расходов.
Одним из решающих факторов
создания модифицированного самолета Ил-76МФ для ВТА. а не создания нового
военно-транспортного самолета, является факт сохранения всей инфраструктуры
военно-транспортной авиации, так как самолет Ил-76 является основным самолетом
ВТА.
К настоящему времени проведен
заводской этап летно-конструкторских испытаний самолета по определению летно-технических
и взлетно-посадочных характеристик самолета, причем эта программа проводилась
при участии инженерного и летного составов 929-го ГЛИЦ МО (так сегодня
называется ГК НИИ ВВС). Выполнено 459 полетов с налетом 1 428 ч. То есть,
выполнен большой объем испытаний, но вопрос начала Государственных испытаний
все время задерживается и в основном по вопросам политики - параллельно идут
работы по созданию среднего военно-транспортного самолета Ан-70. Естественно,
две большие программы Министерство обороны РФ финансировать не может.
Впрочем, в середине марта этого
года вопрос сдвинулся с места. В Ташкент, где сейчас находится самолет Ил-
76МФ. направлена комплексная бригада ВВС РФ и АК им. С.В. Ильюшина с задачей
выполнить небольшой объем испытаний самолета с тем, чтобы по результатам
проведенных с 1995 года работ принять решение о возможности начала серийного
производства самолета Ил-76МФ.
1.5 Транспортный самолет Ил-76ТФ
Одновременно с созданием
модифицированного военно-транспортного самолета Ил-76МФ ОКБ приступило к
созданию еще одной модификации самолета - транспортный самолет Ил- 76ТФ. Этот
самолет отличается от своего военного аналога тем, что с него, как в свое время
при создании самолетов И-76Т из Ил-76М и Ил-76ТД из Ил- 76МД, снято все
вооружение и специальное оборудование. За счет снижения массы оборудования
увеличена дальность полета самолета Ил-76ТФ и снижены прямые эксплуатационные
расходы.
.6 Транспортный самолет Ил-76ТФ-100
В ОКБ прорабатывался вопрос
создания самолета Ил-76ТФ с французскими двигателями CFM-56-5C4. В основном
характеристики самолета получились такие же, как и у самолета Ил-76ТФ. Самолет
создавался в качестве подстраховочного варианта на случай отсутствия в
достаточном количестве двигателей ПС-90А-76. Кроме того, таким образом, могли
быть решены вопросы предполагаемых экспортных поставок самолетов.
.7 Транспортный самолет Ил-76МД
(ТД)-90
С целью обеспечения
соответствия самолета Ил-76МД (ТД) нормам ИКАО по уровню шума на местности и
нормам по эмиссии двигателей в ОКБ проведены работы по установке на самолеты
двигателей ПС-90А. Самолеты в этом случае будут полностью соответствовать этим
нормам и смогут без ограничений летать на любых маршрутах, совершать посадки и
взлеты на любых зарубежных аэродромах, где с апреля 2002 г. неукоснительно
соблюдаются жесткие ограничения.
Получилось так, что двигатели
ПС- 90А в первую очередь будут установлены на нескольких самолетах Ил-76МД,
принадлежащих ВВС нашей страны и которые обеспечивают перелеты Президента РФ в
зарубежные страны.
В течение нескольких лет
продолжаются переговоры с авиакомпаниями, которые имеют в своем составе
самолеты Ил-7бТД, о необходимости проведения работ по замене двигателей Д-30КП
на двигатели ПС-90А. По нашему мнению, прежде всего авиакомпании должны были
первыми откликнуться на эту проблему и найти источник финансирования доработок
самолетов. Причем сегодня вся документация на проведение этих доработок
выпущена (за счет АК им. С.В. Ильюшина), внедрена в производство и прошла
всестороннюю оценку, включая летную, на самолете Ид-76МФ. То есть авиакомпании
ничем не рискуют, а вкладывая свои средства, получают самолет, полностью
отвечающий международным нормам. При этом летно-технические характеристики
изменяются незначительно. даже в лучшую сторону. Но авиакомпании предпочитают
другое решение - добивать самолеты по ресурсу (доставшиеся им практически
бесплатно в результате раздела бывшего "Аэрофлота" и раздела
самолетов, оставшихся в бывших союзных республиках СССР), не вкладывая в их
модернизацию ни копейки. Но придет незаметно и 2006 г., когда будут введены еще
более жесткие ограничения. Что эти авиакомпании будут делать тогда?
Сегодня первые два самолета
Ил-76 МД, принадлежащие ВВС, находятся на воронежском авиационном заводе и на
них проводятся работы по ремоторизации - замене двигателей. Тем самым вскоре
ВВС получит самолеты, отвечающие современным нормам.
Вместе с тем, на этих самолетах
будет установлено и новое пилотажно-навигационное оборудование, которое также
устанавливается в соответствии с требованиями ИКАО.
Опытное конструкторское бюро
готовится и к работам по глубокой модернизации пилотажно-навигационного
оборудования. И через некоторое время в кабине экипажа будут установлены шесть
многофункциональных жидкокристаллических экранных индикаторов, на экранах которых
будет полностью отображаться вся пилотажно-навигационная информация, а также
будет отображаться вся информация о работе систем самолета. Для этого придется
заменить некоторые системы и оборудование.
центровка самолет
контроль топливо
2. ПРОЕКТНАЯ ЧАСТЬ
.1 Влияние расхода топлива на
центровку самолета
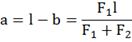
Самолет в полете опирается только на
крыло. То есть имеет только одну опору. На самолет в полете действуют две силы:
аэродинамические и массовые. Точка приложения массовых сил можно принять за
центр тяжести самолета. И этот центр тяжести должен находиться в районе точки
приложения аэродинкамическ сил крыла. Обычно центр тяжести самолета находится
на 15-35% от длины САХ (средней аэродинамической хорды). Центр тяжести самолета
определяется взвешиванием. Предположим что самолет поставлен на весы. Весы под
передне ногой показывают силу тяжеси F2 а под основной опорной - F1.
Центр тяжести находится в некой плоскости.
Растояние от этой плоскости до опор a и b, как показано на рисунке.
Ясно что сумма растояний от плоскости, в
которной находнися точка приложения массовых сил (центр тяжести), до опор равно
базе шасси (растояние от передней опоры до задней(основной)).
А вес самолета - есть сумма сил тяжести на
весах.
Так как самолет прилогает к поверхности земли
силы F2 и F1, то земля действует на самолет такими же
силами в точках А и С. Ну а вес самолета приложен в точке В. Для определения
растояний a и b необходимо составить уравнение моментов относительно точки В.
Таким образом получаем систему из двух
уравнений:
Это системное уравнение можемрешить тремя
различными способами:
І) b выражаем через а
Вторую часть системы оставляем без изменнений
Далее подставляем выражение
во вторую часть уравнения
Уравнение с одним неизвестным решить не трудно
После определения значения «а», значение «b»
находится простым путем.
) Второй способ более прост и объяснения не
требует.
) Метод Крамера
На основе системы уравнений стройм матрицу. И
вычисляем определитель. Так как матрица квадратная, с этим проблем нет.

Далее определяем а и b.
Итак центр массы самолета найден. Но проблема в
том что в полете асса самолета изменяется по мере выработки топлива. Для
снижения влияния выработки топлива центровке самолета, принято топливные баки
распологать вблизи центра масс самолета, то есть в районе центроплана. Но
отъемные части крыла, в которых находятся топливные кессон баки, расположены не
на одной поперечной оси с центропланом. К тому же самолет Ил-76 имеет топливный
бак и на хвосте, который значительно удален от центроплана. Этот топливный бак
небольшей вместимости но в силу того что плечо велико, он можеть создать
значительный момент, нарушая центровку самолета. Поэтому центровка самолета на
момент посадки (самый ответственный и опасный момент всего полета) может
значительно отличаться от центровки начала полета.
Экипаж не имеет возможности следить за
изменением центровки по мере выработки топлива. Включение в состав топливной
системы самолета рибора, контролирующего изменение центровки в полете,
значительно облегчило бы деятельность экипажа и повысила бы безопасность
полета.
Для оценки влияния выработки топлива на
центровку самолета обратимся к рисунку. Баки пронумерованы и каждый бак имеет
свой центр тяжести (центр тяжести топлива,находящегося в баках).
Центр тяжести баков обозначены точкой.центр
тяжести всего самолета вместе с топливом находится в плоскости f. А центр
тяжести самолета без топлива находился бы в точке α.
Растояние между этими плоскотями обозначим бкувой d. По мере выработки топлива
плоскость f будет приближаться к плоскости α.
То есть растояние d будет уменьшаться. и когда все топливо на самолете кончится
(такого бать не должно), эти эти плоскости соединятся. Растояние d превратиться
в ноль.
Так как масса топлива в каждом баке известно, то
масса самолета без топлива определяется выражением:
Уравнение моментов относительно плоскости α,
и последующее упрощение этого уравнения дает нам следующее выражение.
Так как зависимость массы самолета от топлива
известно, то подставив вместо G
выражение вышесказанной зависимости, получаем:
Отсюда следует что:
Итак, мы выявили зависимость между расстоянием
между центрами тяжести самолета с топливом и самолета без топлива
Эта формула не учитывает возможность выработки с
левых и правых баков по-разному. Такое маловероятно, но не невероятно, то есть
все же вероятно. Поэтому все баки, левые и правые, должны рассматриваться как
разные источники момента, влияющего на центровку самолета и на безопасность
полета.
Если рассмативать каждый бак по
отдельности, выявленная ранне формула примет следубщий вид:
А вес самолета без топлива будет определяться
выражением:
Возникает вопрос, почему бы без таких формул и
выражений узнать вес самолета без топлива, посмотрев ТТХ самолета. Дело в том
что, здесь имеется ввиду, не сухой вес самолета, а вес только без топлива, но с
грузом и «пассажирами». Поэтому
Но это постоянство только для одного полета, от
начала до конца. И конечно же
За исключением случаев десантирования большого
количества живой силы и тяжелой техники. В таком случае даже масса самолета с
грузом не может являться постоянной величиной на протяжений всего полета.
Ранне бала выявена завсимость между
количесвом топлив в баках и центровкой. Но формула:
не учитывает возможность того что в
полете топливо из правх и левх баков может расходваться по разному. Формула
зависимость расстояния между плоскостями, центра масс самолета без топлива и
самолета с топливом, от израсходованного топлива выглядит следующим оразом.
Число в индексе означает номер бака согласно
рисунку. А буквой «і»
в индексе обозначено массовое количество израсходованного
топлива. «m» без «і»
- начальное массовое количество топлива б баке.
2.2 Прибор,
определяющий центр масс
Известная формула позволяет экипажу
в любой момен времени определить степень изменения центровки самолета в полете,
по мере расходования (выработки) топлива. Имея подрукой формулу можем заставить
машину решать уравнение. Конечно для любой приличной ЭВМ (электронной
вычислительной машины) решение этого уравнения не является сложной операцией.
Но к сожалению у нас в стране нет возможностей собрать какую либо
вычислительную машину на основе микросхем (у нас нет заводов, выпускающих
микросхемы). А на основе транзисторов любая электронная вычислительная машина
получится громоздкой. Этого мы не можем позволить. Первая причина: это приведет
к утяжелению самолета.
Вторая причина: использование
громоздких транзисторных (следует признать с прискорбием что производство
транзисторов у нас в стране то же не налажено) электронных вычислительных машин
в век развития нанотехнологий негативно отразится на престиже технической науки
страны перед другими станами и перед свойми то же. Поэтому предлагаю
использовать более простой прибор.
Если вес самолета без топлива
отождествить с сопротивлением в электрической цепи:
,
а расстояние между плоскостями центра масс
самолета без топлива и центра масс самолета с топливом отождествить с силой
тока в цепи
,
и выражение
отождествить с напряжением в цепи
то, ранее известное выражение:
можем «перевести» на «понятный» приборам язык в
виде простого закона Ома
Датчики передают сигнал в виде электрического
напряжения. Чем больше топлива в баке, тем выше напряжение. Но нам известно что
весовое количество топлива в различных баках по разному влияют на центровку
самолета, в силу разности плеч каждого бака. Чем больше плечо, тем сильнее
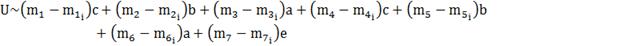
влияние. Это прекрасно видно в формуле:
То есть, степень влияния на центровку самолета
определяется умножением массы топлива в баке и плеча результирующей силы
распределенных сил тяжести топлива по всему баку. Это умножение на «языке»
прибора можем устроить в виде увеличения напряжения в c,
b, a,
e раз, с помощью
обычных трансформаторов.
А сумма степеней влияния баков на центровку
самолета осуществляется суммированием напряжений, путем последовательного
соединения. Если, каким то образом при определений степеней влияния баков на
центровку самолета, окажется что какой либо бак влияет в обратном направлений,
то есть центр масс топлива в данном баке находится по другую сторону плоскости α,
то при последовательном соединений вторичных обмоток трансформаторов, нужно
просто поменять концы проводов местами.
Тогда в выражении:
вместо «+» получаем «-» (в верхней части дроби).
На рисунке указано, во сколько раз трансформатор
должен увеличивать напряжение буквами c,
b, a,
e. Так как работа
трансформатора основана на законах Фарадея, они не могут преобразовывать
постоянное напряжение. Поэтому, для данного прибора использование переменного
тока является обязательным условием. Я считаю что для данного прибора самым
подходящим напряжением из всех, используемых на воздушных суднах, является
однофазное напряжение 36 В, частотой 400 Гц.
А значение веса самолета баз топлива (G),
определяемое выражением:
выставляется на приборе переменным резистором
вручную. Включение всех элементов цепи прибора указано на рисунке.
Датчик уровня топлива (предполагается что под
воздействием температур и давлений, топливо не изменит свою плотность, конечно,
под воздействием данных факторов плотность топлива изменяется, но эти изменения
ничтожно малы, поэтому будем исходить из того что плотность топлива постоянна,
то есть масса топлива в баке прямо пропорционально, объему топлива в баке)
представляет собой обычный переменный резистор, который изменяет сопротивление,
в зависимости от уровня топлива в баке.
Ниже на рисунке показана принципиальная схема
соединения датчика с трансформатором и источником напряжения.
На рисунке показана схема соединения источника
питания однофазного напряжения 36 В, частотой 400 Гц.
Перед полетом экипаж получает сведения о
центровке самолета на текущий момент, массе груза и количества топлива в баках.
И для определения величины d,
необходимо решить уравнение:
Но для этого необходимо знать центр масс самолета
относительно САХ. И зная центр тяжести (центр тяжести совпадает с центром масс,
мне не ясно почему их в аэродинамике рассматривают как разные характеристики ЛХ
ЛА, скорее всего, разница в определениях этих понятий не более чем
жонглирование словами) самолета относительно САХ, и расстояние то ЦТ до центра
тяжести каждого бака легко определит и значение числа «d».
Но как определить расстояние центров масс баков и плоскости центра масс
самолета. Для этого предлагаю снабдить каждый экипаж линейкой, изображенной на
рисунке.
Линейка имеет полосу, обозначающей
САХ. И полоски расположения центров масс каждого бака (на рисунке указан номер
бака и его полоса его центра масс).
На рисунке раположение полос цетров
масс баков изображено на основе интуиций. Для более точного изображения, тем
более создания такой линейки, необходимо провести весьма простой эксперимент с
самолетом. Но к сожалению на момент написания данного дипломного проекта у меня
в гараже не оказалось самолета Ил-76.
Для определения положения центра
масс баков относительно САХ, необходимо провести экспермент следующим образом.
К прмеру рассмотрим баки 3 и 6. Учитывая симметричнсть конструкций самолета и
расположения баков, можем утверждать что баки 3 и 6 имеют одинаковое
расположение центров масс относительно САХ.
Расположение центров масс остальных
баков определяются анологичным образом.
2. Наполняем баки 3 и 6
топливом. Как показано на рисунке.
Если после наполнения баков,
поставит самолет на весы, то можем заметить смешение центра масс самолета от
прежней точки сосредотачивания массовых сил (из точки «В» в точку «D»).
Вспомним что М - масса самолета с топливом, а G
- масса самолета без топлива. Предполагая, что во время эксперимента самолет не
будет загружен, можем принять G
за сухую массу самолета. Масса самолета с топливом определяется формулой:
Необходимо помнить, что наполнены только баки 6
и 3. Нетрудно догадаться что расстояние от центра масс самолета без топлива до
центра масс самолета с топливом, и расстояние от центра масс самолета с
топливом м центром плоскостью центра масс топлива в топливных баках имеют
следующую зависимость:
От этого следует что:
Ясно, что расстояние от центра масс самолета с
топливом до плоскости центра масс топлива в баках определяется формулой:
Таким образом, становится ясно расположение
центра масс топливных баков относительно всего самолета и средней
аэродинамической хорды. Так как конструкция самолета почти неизменна на
протяжений всего периода эксплуатаций, можем утверждать, что и расположение
центра масс топливных баков относительно всего самолета и средней
аэродинамической хорды то же неизменно. На основе эмпирических данных,
полученных в ходе эксперимента с самолетом, изготавливаем линейку.
.3 Конструкция датчика
Конструкция датчика уровня топлива показана ниже
на рисунке. Датчик выполнен в виде мерной магнитной линейки. При изменении
уровня топлива, поплавок перемещается вертикально вдоль трубки. Трубка
абсолютно герметична. Это исключает проникновение топлива в рабочую полость
датчика и нарушения его режима работы. К тому же при перемещении контактов,
может возникнуть искра. Как известно искра в контакте с топливом не есть
хорошо. Перемещение поплавка вдоль трубы, через постоянный магнит,
расположенный (закрепленный) на поплавок, влияет на положение ползуна
(сердечника) внутри трубки посредством магнитного поля. То есть поплавок
перемещает ползун. Ползун, имея контакты, соединяет стержни сопротивления.
Суммарное сопротивление стрежней зависит от места соприкосновения контактов с
ними, то есть с положением ползуна относительно длины стержня. Стержни закреплены
на центральном стрежне из непроводящего материала. Центральный стержень
закреплен на герметичную трубку с помощью штекера, который имеет резьбу. Не
исключается возможность использования прокладки на месте соединения штекера с
трубкой (для обеспечения герметичности и электроизоляции штекера от трубки).
. Герметичная трубка - корпус
2. Центральный стержень
. Ползун (сердечник) с контактами. Из
намагничиваемого материала.
. Постоянный магнит
. Поплавок
. Штекер соединения датчика с источником
питания и с трансформатором.
. Топливо
. Уровень топлива
Крепление герметичной трубки датчика уровня
топлива с днищем топливного бака, должно обеспечивать:
. Надежное крепление без люфта
2. Абсолютную герметичность
. Лекгосъемность при необходимости
проведения ремонта
Поэтому крепление осуществляется с помощью
болтового соединения. Болтовое соединение обеспечивает и легкосъемность и взаимозаменяемость
элементов при необходимости такового, в силу того что болты достаточно хорошо
стандартизованы. Это все приводит к увеличению показателя эксплуатационной
технологичности. Для обеспечения герметичности
рекомендется применять прокладки (резиновые). На
рисунке ниже показан способ крепления датчика уровня топлива к днищу бака.
. Трубка - корпус датчика уровня топлива
2. Днище топливного бака
. Болт
. Гайка
. Шайба (обеспечивает увеличение площади
перекрытия гайки)
. Прокладка
Центральный стержень имеет в верхней части
внутреннюю резьбу для крепления к корпусу (герметичной трубке) с помощью
соединения со штекером. А по бокам каналы (гнездо) для размещения стрежней
сопротивления. Стержни выполнены из материалов со средней проводимостью (как
резисторы). Ниже на рисунке показана конструкция центрального стрежня и
размещение стержней сопротивления.
. Центральный стержень
2. Стержни сопротивления
. Внутренняя резьба (совпадает с резьбой
штекера)
Что бы во время работы стерни сопротивления не
«выскочили» из гнезд, каналы выполнены в виде трапеций. То есть соединение
центрального стержня и стержней сопротивления схожи с распространенным способом
крепления лопаток и дисков компрессора газотурбинного двигателя (ласточкин
хвост).
Это можно заметить, если посмотреть на стержень
со стороны, указанной выше на рисунке. Вид А показан на рисунке ниже.
. Центральный стержень
2. Внутренняя резьба центрального стержня
. Стержни сопротивления
Ползун представляет собой толстое металлическое
кольцо из намагничиваемого материала. На кольце расположены контакты соединения
стержней сопротивления. Контакты расположены с двух сторон. Металл ползуна
может проводить ток, но контакты соединены между собой дополнительным
соединителем для надежности.
. Ползун (сердечник)
2. Контакты соединения стержней
сопротивления
. Дополнительный соединитель
3. ОХРАНА ТРУДА
Инструкция по охране труда при выполнении работ
по наземному обслуживании ВС для авиамеханика службы перронного обеспечения
1. Общие требования охраны труда
.1 Авиационный механик - это профессия
повышенной опасности, к которой предъявляются дополнительные требования
безопасности труда, включающие в себя специальные требования по теоретическому
обучению, практической стажировке, аттестации, допуску к самостоятельной
работе, инструктажу по охране труда и периодической проверке знаний по
профессии и безопасности труда
.2 Лица, не прошедшие инструктаж по ОТ и
пожарной безопасности, к работе не допускаются
.3 Авиамеханики наземного обслуживания,
независимо от стажа и квалификации, не реже одного раза в три месяца должен
проходить повторный инструктаж по охране труда. Специалист, показавший
неудовлетворительные знания и навыки безопасного выполнения работ по наземному
обслуживанию ВС к самостоятельной работе не допускается
.4 Авиамеханик, направленный для участия в
других, выходящих за рамки должностных обязанностей, работах, должен пройти
инструктаж по безопасному выполнению таких работ
.5 Личный состав обязан выполнять требования
Правил внутреннего распорядка, использовать предусмотренную нормами спецодежду,
спецобувь и средства индивидуальной защиты
.6 Во время работы на авиамеханика могут
оказывать неблагоприятные воздействия следующие опасные и вредные
производственные факторы:
движущиеся спецмашины, самоходные и перемещаемые
вручную машины и механизмы, а также их подвижные и не защищенные части;
подвижные, выступающие и незащищенные части и
элементы конструкции ВС;
падающие изделия, детали, запчасти, инструмент,
материалы, и другие различные приспособления при выполнении, как наземного так и
параллельно выполняемых работ по техническому обслуживанию ВС;
расположение рабочего места или рабочей зоны на
значительной высоте (более 1,3 м) относительно земли;
истекающие струи газов или жидкостей из сосудов
и агрегатов систем ВС работающих под давлением;
воздушные потоки или предметы, попавшие в струю
выходящих газов при работе двигателей ВС;
вредные химические вещества, входящие в состав
горюче-смазочных материалов, спецжидкостей, смазок, герметиков и лакокрасочных
материалов;
повышенная температура на поверхностях агрегатов
или деталях (элементы конструкции шасси после посадки, двигателей);
повышенная или пониженная температура
поверхности обшивки планера в условиях низкой или высокой температуры наружного
воздуха;
загромождение рабочих мест инструментом,
запчастями, агрегатами, материалами и др.
опасность возникновения пожара или задымления,
связанные с применением ГСМ во время наземного обслуживания ВС;
повышенный уровень шума при рулении, взлёта и
посадки ВС, от работающих двигателях, ВСУ и др. системах самолёта;
повышенная загазованность в отсеках ВС, от
работы спецтехники, испарения от применяемых ГСМ и авиатоплива и др.
недостаточная освещенность в отсеках ВС;
недостаточная освещенность рабочего места при
обслуживании систем ВС;
наличие на ВС различных источников имеющих
электропитание;
наличие на ВС агрегатов и материалов -
источников электро, радио и радиационного излучения;
повышенная влажность спецодежды или обуви
.7 Специалист, допустивший нарушение или
неполное выполнение требований настоящей инструкции, может быть привлечён к
административной ответственности, а в зависимости от последствий и к уголовной.
. Требования охраны труда перед началом работы
.1 Перед началом работ следует одеть спецодежду
и спецобувь и другие средства индивидуальной защиты в соответствии с характером
выполняемой работы и погодными условиями
.2 Перед выполнением работ нужно получить
необходимый инструмент, приспособления или приборы, произвести проверку и
исправность
.3 Перед встречей прибывающего ВС следует
выполнить:
.3.1 подготовить место стоянки, убрать
аэродромный инвентарь, мешающий заруливанию самолёта на МС, поверхность
покрытия стоянки должно быть чистое, без замасливания, без мусора, а в зимнее
время и очищено от льда и снега, особое внимание обратить на места где будут
находится колёса шасси и места установок заземления;
.3.2 проверить наличие средств пожаротушения, их
исправность и сроки поверки;
.3.3 подготовить к использованию необходимые
средства наземного обслуживания - стремянки, поддоны, лестницы
.3.4 проверить жезлы, сигнальные фонари,
необходимые при руководстве заруливания самолёта
.3.5 проверить состояние ШРАП наземного источника
электропитания.
3. Требования охраны труда во время работы
.1 При встрече ВС на место стоянки, специалист
должен находиться впереди рулящего самолёта на расстоянии не менее 10 метров от
его крайней точки и в поле зрения командира ВС
.2 Специалист при заруливании ВС должен подавать
условные сигналы для манёвра самолёта при помощи жезлов или сигнальных фонарей.
.3 После заруливания ВС на стоянку устанавливать
заземление и упорные колодки под колёса основных и (или) передних колёс в
зависимости от типа ВС следует только после выключения двигателей (полного
прекращения вращения лопастей винтов)
.4 На маршруте осмотра ВС следует соблюдать
осторожность во избежание травмирования от выступающих или подвижных частей
самолёта
.5 При использовании, стремянки или лестницы
следует размещать таким образом чтобы исключить их падение, падение
инструмента, средства наземного обслуживания или падение самого специалиста,
при нахождении на стремянке или лестнице
.6 Во избежание пожара или взрыва необходимо
следит за тем, чтобы на элементы кислородной системы не попадали промасленные
предметы, включая одежду
.7 При подключении ШРАП наземного источника
электропитания к сети ВС, убедиться в отсутствии посторонних предметов, влаги,
снега или льда в разъёмах, убедится в плотности соединения при подключении ШРАП
и исключить самопроизвольное выпадение вилки ШРАП из разъёма ВС
.8 При заправке ВС топливом особое внимание
уделять на заземление самолёта, топливозаправщика, установке заземления между
ВС и ТЗ, между шлангом ТЗ и заправочной горловиной ВС
.9 При выполнении работ, связанных с применением
керосина, бензина или других ГСМ (открытый способ заправки) специалисту следует
пользоваться средствами индивидуальной защиты органов дыхания, зрения и кожного
покрова
.10 При буксировке и(или) запуске двигателей,
убедиться, что все специалисты участвующие в процессе, находятся на своих
местах, посторонние предметы стремянки, лестницы убраны, двери, люки закрыты
.11 Для защиты органов слуха от воздействия
высокого уровня шума при запуске при запуске и работе двигателей следует
использовать средства индивидуальной защиты
.12 Повышенную осторожность и осмотрительность
следует соблюдать при нахождении и при перемещении специалиста на поверхности
крыла
.13 При осмотре ВС в недостаточно освещённых
местах или мест ВС с недостаточным искусственным освещением следует
использовать переносные лампы с источником эл/питания не более 12В для
постоянного токи и не более 27В для переменного тока
.14 Операции по перемещению воздушного судна
(буксировка) должны выполняться с повышенным вниманием для предотвращения
причинения вреда персоналу, повреждения воздушного судна, оборудования и
приспособлений и только с использованием исправного оборудования и тягача,
обладающим достаточным тяговым усилием для данного типа ВС.
К операциям по буксировке должен допускаться
только обученный и квалифицированный персонал. Сотрудники должны быть
проинструктированы об опасностях, связанных с действиями по перемещению
воздушного судна, например, всасывание двигателем, движение передней стойки
шасси, пути перемещения воздушного судна и тягача, видимость. Перед началом
буксировки необходимо убрать из под ВС стремянки и приспособления, отсоединить
от ВС шланги и провода наземных источников питания. Произвести осмотр пути и
намеченное место стоянки и очистить зону движения от агрегатов,
спецавтотранспорта и других предметов. В случае опасности, буксировка ВС должна
быть прекращена по команде любого участника буксировки
.15 Специалист, участвующий в операциях по
наземному обслуживанию должен обращать внимание на то, что применяемые
противообледенительные жидкости являются вредными для человека химическими
веществами и при попадании вовнутрь организма может вызвать отравление со
смертельным исходом. Поэтому следует выполнять следующие требования
безопасности:
.15.1 Избегать попадания жидкости на кожу рук,
лица;
.15.2 Работать в средствах индивидуальной
защиты;
.15.3 При обработке ВС следует находиться от ВС
таким образом, чтобы ветер относил от человека распылённую капельно-воздушную смесь.
. Требования охраны труда в аварийных ситуациях
.1 При возникновении пожара лицо, заметившее
загорание, обязано;
вызвать пожарную команду по телефону
"2-01" с сообщением точного места пожара, что горит, кто вызывает, и
принять меры к тушению пожара, имеющимися силами и средствами пожаротушения;
сообщить о случившемся руководителю работ,
начальнику смены, цеха;
организовать встречу пожарной команды
.2 Если специалист оказался свидетелем
несчастного случая, нужно немедленно оказать первую помощь и при необходимости
доставить в медсанчасть.
. Требования охраны труда по окончании работ
.1 После окончания наземного обслуживания
необходимо тщательно проверить, не осталось ли на месте работ деталей,
инструмента или других посторонних предметов
.2 Запрещается сливать отстой топлива на землю
.3 После окончания работ следует закрыть крышки,
створки, люки, двери, капоты. Отключить наземный источник питания, убрать
стремянки, лестницы, трап.
Инструкция разработана на основании:
НТЭРАТ ГА-93
Руководство по наземному обслуживанию самолетов
Руководство по буксировке ВС
Руководство по защите ВС от наземного
обледенения
ОСТ 54 71002-84 ССБТ «Самолёты и вертолёты
гражданской авиации. Техническое обслуживание планера и высотной системы. Общие
требования к безопасности»
ОСТ 54 71003-84 ССВТ «Самолёты и вертолёты
гражданской авиации. Техническое обслуживание силовых установок. Общие
требования к безопасности»
ОСТ 54 71008-87 ССБТ «Самолёты и вертолёты
гражданской авиации. Техническое обслуживание шасси. Общие требования к безопасности»
ОСТ 54 71004-85 ССБТ «Самолёты и вертолёты
гражданской авиации. Техническое обслуживание систем автоматики, электро, радио
и приборного оборудования. Общие требования к безопасности»
ОСТ 54 71007-87 ССБТ «Самолёты и вертолёты
гражданской авиации. Техническое обслуживание пассажирского, бытового и
аварийно-спасательного оборудования. Общие требования к безопасности»
Санитарные правила для авиационно-технических
баз эксплуатационных предприятий ГА (СанПиН №5059-89)
ЗАКЛЮЧЕНИЕ
Применение вышепредложенного прибора обеспечит
непрерывный контроль за изменением центровки самолета по мере выработки
топлива, и значительно превысит удобство работы экипажа с самолетом, особенно в
момент выполнения посадки. Это в свою очередь положительно влияет на безопасность
полета. Поэтому предлагаю вышепредложенный прибор собрать и интегрировать в
топливную систему самолет Ил-76 (всех модификаций, имеющихся в наличии).
Целью данной дипломной работы изначально
являлась проектирование прибора, позволяющего вести непрерывный контроль за
изменением центровки самолета по мере выработки топлива в баках. Так как в
данной дипломной работе подробно описан принцип работы подобного прибора, то
считаю, что цель дипломной работы достигнута.
СПИСОК
ИСПОЛЬЗОВАННОЙ ЛИТЕРАТУРЫ
1. Аэродинамика
самолета: И.В. Остославский - Москва, Книга по Требованию, 2012 г.- 561 с.
2. Аеродинамика
самолета: В. Гарцев - Москва, Книга по Требованию, 2012 г.- 129 с.
. Козление
(авиация): Джесси Рассел - Москва, Книга по Требованию, 2013 г.- 103 с.
. Справочная
книга по расчету самолета на прочность: М.Ф. Астахов, А.В. Караваев, С.Я.
Макаров, Я.Я. Суздальцев - Санкт-Петербург, АльянС, 2013 г.- 710 с.
. Справочник
авиаконструктора. Аэродинамика самолета. Том 1: Коллектив авторов - Москва,
Книга по Требованию, 2012 г.- 506 с.
. Теория
авиации: Б.В. Висленев - Москва, Книга по Требованию, 2012 г.- 384 с.