Альтернативный подход в обучении современной технике прыжка в высоту
Министерство
образования и науки РФ
ФГБОУ ВПО
«Удмуртский государственный университет»
Факультет
физической культуры и спорта
Кафедра
теоретических основ физической культуры
Выпускная
квалификационная работа по специальности 033100 -
Физическая
культура, квалификация - педагог по физической культуре
Альтернативный
подход в обучении современной технике прыжка в высоту
Лучинкин Роман Андреевич
студент группы О-033100-51
Научный руководитель: к. п. н.,
доцент Г.Б. Северухин
Ижевск 2015
ОГЛАВЛЕНИЕ
ВВЕДЕНИЕ
ГЛАВА I.
ОБЗОР НАУЧНО-МЕТОДИЧЕСКОЙ ЛИТЕРАТУРЫ
1.1 История
возникновения и развития прыжков в высоту
1.2 Методика
обучения способа «Фосбери Флоп» по В.М. Дьячкову и А.П. Стрижаку
1.3 Этапы
процесса обучения
1.4 Техника
физических упражнений
ГЛАВА II.
ОРГАНИЗАЦИЯ И МЕТОДЫ ИССЛЕДОВАНИЯ
.1
Организация исследования
.2 Методы
исследования
ГЛАВА III.
РЕЗУЛЬТАТЫ ИССЛЕДОВАНИЯ И ИХ ОБСУЖДЕНИЕ
.1
Антропометрические показатели и результаты тестов у девушек 12-13 лет,
участвующих в эксперименте, на I этапе
.2
Сравнительный анализ динамики результатов у спортсменов-прыгунов контрольной и
экспериментальной групп, полученных в процессе эксперимента
.3
Экспертная оценка техники прыжка в высоту способом «Фосбери-флоп»
ВЫВОДЫ
ПРАКТИЧЕСКИЕ
РЕКОМЕНДАЦИИ
СПИСОК ЛИТЕРАТУРЫ
Приложения
ВВЕДЕНИЕ
Прыжок в высоту является обязательным в изучении
программы по физической культуре в общеобразовательных школах. Существуют
несколько способов выполнения прыжка в высоту: «перешагивание», «перекидной»,
«волна», «перекат» и «Фосбери-флоп». Однако в настоящие время в школах
изучается только прыжок способом «перешагивание». При его изучении учителя
физической культуры пользуются методическими рекомендациями, в которых
описывается методика выполнения этого прыжка с махом выпрямляющейся ногой
(методика была характерна для периода 50 - 60-х годов прошлого века для
изучения прыжка способом «перекидной»). Такая методика не позволяет учителям
физической культуры и тренерам обучить прыжку способом «Фосбери-флоп», для
которого характерен мах согнутой ногой.
Прыжок способом «Фосбери-флоп» является самым
эффективным. Его доминирование в современной легкой атлетике ставит новые
задачи в использовании новых адекватных методик обучения перед учителями и
тренерами ДЮСШ. Бурное освоение этого прыжка началось после победы Дика Фосбери
на Олимпийских играх в Мехико в 1968 г. В одном из своих интервью Дик Фосбери
сказал, что его стиль «характеризует эволюционный подход от «ножниц»
(«перешагивание») к «Флопу». В зарубежной методической литературе не существует
проблема в обучении прыжку способом «перешагивание» с махом согнутой ногой,
поэтому возникает необходимость разработки программы для прыжка в высоту этим
способом для дальнейшего освоения техники прыжка «Фосбери-флоп». Это показывает
актуальность исследуемой нами проблемы.
Объект исследования - учебно-тренировочный
процесс спортсменов 12-13 лет, занимающихся легкой атлетикой.
Предмет исследования - альтернативный
подход в обучении современной технике прыжка в высоту.
Цель исследования - выявить
эффективность экспериментальной методики обучения технике прыжка в
высоту способом «Фосбери-флоп» с использованием положительного переноса
двигательных умений и навыков прыжка способом «перешагивание».
Гипотеза исследования - мы
предполагаем, что при использовании положительного переноса навыков и
соблюдении определенных условий, характеризующих методику, будет сокращен срок
обучения прыжку способом «Фосбери-флоп».
В соответствии с проблемой, целью, предметом и
гипотезой определены следующие задачи исследования:
. изучить
научно-методическую литературу;
2. разработать
экспериментальную методику обучения прыжка в высоту способом «Фосбери-флоп» с
использованием положительного переноса двигательных умений и навыков прыжка
способом «перешагивание»;
3. определить
эффективность разработанной методики.
Методы исследования:
1. анализ
научно-методической литературы;
2. педагогические
наблюдения;
3. Педагогический
эксперимент;
4. метод
экспертного оценивания
5. контрольные
испытания;
6. математико-статистические
методы.
Научная новизна - разработаны
задачи и подобраны упражнения для обучения прыжку в высоту способом
«Фосбери-флоп»; определена эффективность методики, направленной на сокращение
сроков обучения.
Практическая значимость - разработанная
нами экспериментальная методика может применяться тренерами-преподавателями
ДЮСШ и учителями физической культуры в процессе обучения технике прыжка в
высоту, а также при разработке новых программ по физической культуре.
ГЛАВА I.
ОБЗОР НАУЧНО-МЕТОДИЧЕСКОЙ ЛИТЕРАТУРЫ
1.1 История
возникновения и развития прыжков в высоту
В настоящие время в легкой атлетике известны
такие способы прыжков в высоту: «перешагивание», «волна», «перекат»,
«перекидной», «Фосбери Флоп».
Совершенствование техники и появление новых
способов прыжка связано с требованиями правил соревнований характерных для
определенных промежутков времени и условий, в которых осуществлялся прыжок в
высоту.
Правила были разработаны в конце 19 века.
Уровень результата прыгуна в высоту во многом зависит от качества прыжкового
сектора, места приземления и четкой регистрации результатов спортсменов судьями
прыжковой бригады. Правила соревнований определяют регламент, ход соревнований
и способствуют реализации потенциальных возможностей прыгуна.
Знание правил соревнований является важнейшим и
необходимым условием для тренера и спортсмена. Незнание их приводит к ошибкам
спортсмена в ходе соревнований, которые могут повлиять на результат участника и
даже на его дисквалификацию. Так же, как и во всех видах легкой атлетики, в
истории прыжка в высоту правила соревнований формировались в каждой стране мира
автономно и поэтому существенно отличались.
Лидеры в развитии легкой атлетики - американцы,
англичане, французы, немцы - имели приоритет и в разработке правил. Их опыт и
послужил основой при проведении первых и последующих Олимпийских игр.
Прыжки осуществлялись с земельного или гаревого
покрытия через планку с приземлением в яму с песком. Песок перекапывался перед
каждой попыткой очередного спортсмена, поэтому время прыжка не ограничивалось.
До 1932 года большинство прыгунов использовали
способы прыжка «перешагивание», «перекат» и «волна». По правилам прыгун должен
был отталкиваться одной ногой, переходить через планку, приземляться после
прыжка в яму с песком на ноги. С появлением спортсменов, прыгающих способом
«перекат», эти ограничения ставили спортсмена в трудные условия, тем более
нарушением считалось и положение прыгуна над планкой, если плечи и руки
обгоняли ноги и таз (так называемый «нырок»). Судьи вынуждены были фиксировать очередность
касания грунта, лежа на земле. В середине 30-х годов правила были изменены
через планку можно было проходить любой частью тела, приземление разрешалось на
любую часть тела.
Это позволило появиться способу прыжка
«перекидной» с махом прямой ногой.
Рекорд этим способом был установлен Лейстером
Стирсом в 1941 году (продержался больше десяти лет). Затем был улучшен Ч.
Дюмасом, Ю. Степановым, Дж. Томасом и В. Брумелем - рекорд был доведен до 2м 28
см. Большую роль в прогрессе «перекидного» способа внесли отечественные тренеры
и спортсмены. Тренеры Дьячков В.М., Гойхман П.Н. и спортсмены Брумель В., Ю.
Степанов.
Возникли проблемы и споры, связанные с переходом
прыгунов на новый способ прыжка. В связи с появлением поролона во многих
странах стали изучать прыжок способом «фосбери». При способе «фосбери» и
«перешагивание» туловище должно иметь вертикальное положение. Основная идея
заключалась в том, что время отталкивания сокращалось и очень походило по
технике на прыжок в длину, что позволяло спортсмену удерживать большие
скорости. Так на спортсменов и судей прыжок Д. Фосбери на Олимпийских играх в
Мехико 1968 г. своей неожиданной техникой произвел шокирующее впечатление, его
результат был 2 м 24 см., что являлось новым Олимпийским рекордом. По поводу
результата Дика Фосбери мнения официальных лиц и судей были неоднозначны.
Решающим стало главное правило: участник должен толкаться одной ногой, все
последующие его действия не регламентируются! В период с 1968 г. по 1980
доминировали два способа прыжка в высоту, причем мировым рекордом владели то
поклонники «перкидного», то «Фосбери-флопа».
Затем был установлен рекорд перекидным способом
П. Мэтсдорфом 2.29см. Два рекорда Ященко - 2.34см, 2.35 см (закрытое
помещение). Два рекорда Д. Стоунса - 2.30см, 2.31см способом «Фосбери-флоп».
Потом началась эра «Флопа» с Олимпийских игр
1980 года в Москве, где победил немецкий спортсмен Герд Вессиг с результатом
2.36 см. После этого рекорды устанавливались следующими прыгунами: несколько
рекордов китайского спортсмена Чжу Цзяньхуа 2.37, 2.38, 2.39 см, наш советский
спортсмен Рудольф Поварницын 2.40 см, Игорь Паклин - 2.41 см.
В 1993 году Ховьер Сотомайор установил рекорд
2.45см. до нынешнего времени этот рекорд не побит.
Экипировка спортсменов. Постоянно
менялись и требования по одежде и обуви прыгуна. Последние изменения по
экипировке спортсмена внесены техническим комитетом ИААФ в 2002 году, по
которым участники должны выступать на соревнованиях в чистой, удобной форме из
непрозрачной ткани.
После этих изменений форма одежды у мужчин
осталась практически не изменой, а женщины перешли на пляжную форму одежды,
чтобы не нарушать закона.
По обуви прыгуна в высоту правила 60 - х годов
определяли, что в туфлях не должно быть пружин или иных приспособлений. На
подошве и каблуке должно быть не более 11 шипов диаметром 4 мм и длиной 1 мм.
Подошва прыжковой обуви не должна превышать 13 мм, каблук - 19 мм.
1.2
Методика обучения способа «Фосбери Флоп» по В.М.
Дьячкову и А.П. Стрижаку
По данным В.М. Дьячкова и А.П. Стрижака “Прыжок
«Фосбери Флоп»” - правильно подобранная система подводящих упражнений и
взаимосвязь методов, применяемых в обучении - характеризуется последовательной
постановкой задач обучения, и использования решения этих задач:
Задача первая. Освоение
техники бега по дуге в условиях действия центробежной силы.
Для облегчения решения этой задачи необходимо
выполнять разбег с постепенным увеличением кривизны дуги.
Упражнения:
1. Бег по кругу радиусом 13 -15 м.
. Бег по закруглению с постепенным
уменьшением радиуса закругления от 13 - 15 до 5 - 8 м.
. Равномерно ускоренный разбег по прямой
с переходом на дугу поворота в последних 3 шагах разбега. (Это упражнение
выполняется следующим образом: вначале прыгун, забегая на дугу поворота,
выполняет по ней 3 шага, дальше продолжает бежать по дуге, не замедляя бега,
еще 2- 3 шага.)
. Пробегание по разбегу с акцентированным
ускорением на последних 3 шагах разбега.
Задача вторая. Освоение
техники толчка при дугообразном разбеге.
Упражнения для решения этой задачи направлены на
формирования умения прыгуна сочетать толчок с выполнением маховых движений в
условиях действия центробежной силы.
Упражнения:
1. Из положения стоя, держась за опору
рукой, выполнить мах бедром маховой ноги в направлении слегка внутрь.
При выполнение этого упражнения следует обратить
внимание на то, чтобы бедро маховой ноги несколько поворачивалось внутрь, а
голень направлялась пяткой слегка в сторону. Этим движением таз выводится
вперед вверх с некоторым его перемещением внутрь. Благодаря этому
обеспечивается, более устойчивое положение о.ц.т. на толчковой ноге, и
необходимый продольный разворот прыгуна спиной к планке по окончание толчка.
. Бег по кругу с отталкиванием вверх
вперед через каждый шаг. Радиус круга 8 - 10 метров.
При выполнение этого упражнения надо следить за
тем, чтобы мах свободной ногой производился от бедра в сторону противоположного
плеча, а маховое движение рук осуществлялось разноименно с резким подниманием
плеч, как в прыжках в длину. Завершая толчок приземление выполняется на
толчковую ногу.
. Спиралевидный бег по закругленному
радиусу от 8 - 10 до 5 -7 м с отталкиванием вверх - вперед через каждый шаг.
Контроль, как и во втором упражнение.
. Равномерно ускоренный бег по кругу
диаметром 8 - 10 м с отталкиванием вверх - вперед через каждые 5 шагов.
В этом упражнение главное - правильная
постановка ноги с целью освоения быстрого толчка. Постановка толчковой ноги
должна осуществляться загребающем движением «под себя» на всю стопу и
синхронным ускорением маховых движений вверх.
. Оттолкнувшись после дугообразного
разбега у планки на высоте 30 - 40 см выше своего роста, принять положение
начала входа на планку.
Это упражнение выполняется с индивидуального
разбега. Поэтому при его выполнение необходимо контролировать и ритм ускорения
темпа на 3 последних шагах разбега, и характер постановки толчковой ноги на
полную стопу, и синхронность выполнения маховых движений.
. Прыжки на гимнастический стол.
Упражнение способствует лучшему освоению маха и
вертикального взлета прыгуна. Выполняется в двух вариантах. Сначала,
оттолкнувшись с косого разбега (без закругления), прыгун садится на край стола
боком на бедро согнутой в махе свободной ноги. Во втором варианте прыгун
разбегается с закруглением. После взлета он несколько поворачивается спиной к
столу и садится на него в этом положении.
Задача третья. Освоение
техники перехода через планку.
Упражнения для решения этой задачи направлены на
правильный переход через планку и приземление.
Упражнения:
. Лежа поперек гимнастического козла,
занять положение, характерное для перехода через планку. При выполнение
упражнения надо следить за тем, чтобы таз занимал наиболее высокое положение и
подбородок был взят на себя.
. Лежа спиной на матах, руки вытянуты
вдоль туловища, ноги согнуты в коленях. Упираясь в мат стопами и плечами,
поднять таз вверх и повернуть голову в правую и левую сторону. ( по направлению
разбега). При выполнение этого упражнения следует обратить внимание на то,
чтобы прыгун максимально высоко поднимал таз, а не прогибался только в
поясничной части позвоночника.
. Мост из положения стоя. Голова
поворачивается по направлению разбега, руки вытянуты вдоль туловища. Медленно
наклоняясь туловищем назад, перейти на мост, опираясь плечами на сложенные один
на другой маты с постепенным понижением их высоты.
. Кувырок назад. Маты положены одним
краем на гимнастического козла. Упражнения выполняются из положения стоя на
жестком гимнастическом мостике спиной к козлу с противоположной стороны матов.
Руки вытянуты вдоль туловища, ноги не много расставлены. Приподнимаясь на носки
с одновременным подтягиванием плеч и поворотом головы по направлению своего
разбега, медленно наклониться назад и, перекатившись через козла, сделать
кувырок через голову на наклонных матах.
. То же упражнение, что и предыдущее, но
выполняется с 2 шагов подхода к козлу с имитацией толчка.
. Из положения стоя у планки на краю
гимнастического мостика прыжок спиной через планку с одновременным поворотом
головы по ходу своего разбега и дальнейшим приземлением на плечи. При
выполнение этого упражнения надо следить, чтобы прыгун не сваливался за планку
с мостика и сначала выполнил толчок вверх под углом 80 - 85 градусов, а затем с
высшей точки взлета максимально поднял таз вверх. Приземление должно быть на
лопатки. В упражнении усваивается техника экономного перехода через планку.
. То же упражнение, что и предыдущее, но
с помощью подкидного мостика.
К освоению целостного прыжка в высоту
«фосбери-флоп» следует приступать после проведения 4 -5 тренировочных занятий,
а затем уже в ходе выполнения прыгуном прыжков в высоту повторять те
упражнения, которые индивидуально будут способствовать лучшему усвоению техники
прыжка.
А так же использовалась примерная программа
спортивной подготовки для детских юношеских спортивных школ.
Прыжок в высоту с разбега. Ознакомление
с техникой прыжка способа «перешагивание», «фосбери-флоп». Рассказ, анализ
кино-грамм, просмотр видео фильмов, показ. Обучение отталкиванию в сочетании с
махом прямой ногой. Отталкивание вверх с махом прямой ногой стоя у
гимнастической стенки. То же без поддержки в сочетании с работой рук. Обучение
постановке ноги на толчок. Постановка ноги вперед с одного шага в сочетании с
замахом руками. То же с 2, 3 и 4 шагов. Обучение сочетанию отталкивания с
разбегом. Выпрыгивание вверх с 1, 2, 3 и 6 шагов в сочетании с работой рук и
махом прямой ногой. Обучение технике перехода через планку способами
«перешагивание» и «фосбери-флоп» (для 12-13 лет девочек). Обучение приземлению.
Обучение технике прыжка в высоту с разбега в целом. Прыжки через планку,
постепенно повышая ее, с 1, 3, 5 и 7 шагов способами «перешагивание» и
«фосбери-флоп». Участие в соревнованиях.
Специальные упражнения. Прыжки вверх, толкаясь
двумя ногами без отягощения и с отягощением (2-6 кг). Прыжки через
гимнастические снаряды и различные препятствия на местности. Прыжки вверх,
отталкиваясь одной ногой с 1-5 шагов, доставая ветки деревьев и другие
предметы, подвешенные на различной высоте. Имитация перехода через планку
«перешагиванием», способом «фосбери-флоп».
1.3 Этапы процесса
обучения
В начале 80 - х годов в теории и методики
физической культуры появилась новая теория обучения двигательных действий,
опирающаяся на труды Н.А. Бернштейна, П.К. Анохина, П.Я. Гальперина.
В этой теории говорится о том, что процесс
обучения начинается с создания двигательного представления, которые Михаил
Михайлович Боген называет ориентировочной основой деятельности (ООД). Мы
понимаем, что ориентировочная основа действия является первоначальным
представлением, которое должно быть доступно для обучающихся. Его конкретизация
характеризуется выделением основных опорных точек включающих элементы
двигательных действий, требующих ассоциации внесения для осуществления контроля
над правильностью выполнения. Процесс обучения связан, во-первых, с созданием
модели действий и закреплением ее в памяти, а затем в воспроизведении деталей
техники в практическом выполнении системы подводящих упражнений. Которые
доводятся до определенной степени точности и стабильности. В процессе первого
этапа обучающиеся должны овладеть основами техники, характеризующимися
требованиями пространственных характеристик с условием выполнения их на
контролирующих скоростях и контролируемыми усилиями, что характеризует уровень
начального умения. Следовательно, в конце второго этапа достигается уровень двигательного
умения.
Процесс обучения двигательным действиям
опирается на психологические и физиологические закономерности, которые тренер
должен учитывать в учебно-воспитательном процессе подготовки юных спортсменов.
В настоящие время в теории обучения М.М. Богена
- это называется ориентировочной основой действий, т.е. созданием
первоначального представления, которое может быть освоено учащимися на первом
занятии, и в дальнейшем на последующих занятиях будет дополняться, расширяться,
и углубляться.
ООД состоит из 3-х образов: зрительный,
чувственный, логический.
Основные опорные точки - элементы
двигательных действий и особенности условий, требующие концентрации внимания
для успешного выполнения.
Двигательное умение
(по Л.П. Матвееву, 1991, с.117) - представляет собой одну из типичных форм
реализации двигательных возможностей человека, которая выражается в способности
осуществлять двигательное действие на основе неавтоматизированных (или не
доведённых до значительной степени автоматизации) целенаправленных операций.
Двигательный навык
(по Л.П. Матвееву, 1991, с.117) - это такой уровень овладения двигательным
действием, в котором внимание направлено на управление движениями для
достижения цели, действия по большинству ООТ выполняются автоматизировано,
высокой быстротой действия, стабильностью итога, устойчивостью к сбивающим
воздействиям, высокой прочностью запоминания.
Процесс обучения его структура. В
процессе обучения каждому отдельному двигательному действию можно выделить три
этапа, содержащие определённые стадии усвоения учебного материала.
Первый этап - начального разучивания
действия, чему соответствует стадия формирования предпосылок усвоения
двигательного действия - предумения.
Второй этап - углублённого разучивания
действия, чему соответствует стадия усвоения действия на уровне умения.
Третий этап - результирующей отработки
действия, чему соответствует стадия усвоения действия на уровне навыка.
Работа на этапах отличается по существу задач,
по содержанию и методам обучения по усвоению ориентировочной, исполнительной и
контрольно - корректировочной частей действия.
В процессе обучения двигательным действиям
ставится задача научить управлять своими действиями. Это значит, регулировать
направление движения, форму, амплитуду, прилагаемые усилия, быстроту
выполнения.
Длительность обучения на том или ином этапе
зависит от многих факторов. Среди них выделяют: уровень подготовленности
занимающихся, в которую входит физическая подготовленность, двигательная
подготовленность, уровень знаний ученика, педагогическое мастерство учителя или
тренера.
Цель и задачи I
этапа
Цель этапа
- сформировать знание и представление об условиях двигательной задачи и способе
её решения; обеспечить формирование предпосылок создания ООД (первоначальное
двигательное представление) и усвоения двигательного действия на уровне
предумения.
На первом этапе решается несколько задач:
1.Сформировать
первоначальное зрительно-логическое представление об изучаемом действии
(способе решения двигательной задачи)
· выработать логический проект (смысловую
основу) действия на базе соответствующих знаний;
· сформировать или актуализировать
(сделать более явными и включёнными в ООД) зрительные, двигательные и
чувственные представления о разучиваемом действии;
· выделить ООТ в наблюдаемом, а затем
и в самостоятельно выполняемом занимающимися действии.
2.Освоить
двигательное действия в грубой форме:
· использовать сформировавшиеся ранее
представление о прыжке (отдельные формы координации движений, их части) как
элементы построения нового действия;
· сформировать в облегчённых условиях
новые элементы и объединяющие звенья техники движений;
· предупредить или устранить временные
искажения в технике движений.
Эти частные задачи могут быть ещё более
конкретизированы. Теория Михаила Михайловича Богена делит цель первого этапа
на несколько подзадач (для обучающихся):
1). Осознать
(понять смысл) двигательную задачу и создать начальное представление о способе
её решения.
2). Освоить
инструкцию по формированию ориентировочной основы действия (последовательность
движений, основные закономерности их построения), следовательно, выделить в ней
основные опорные точки; осознать ООТ в исполняемом двигательном действии и
сформировать двигательное представление о действиях в каждой опорной точке.
Средства и методы:
. Словесные методы:
объяснения, рассказ, инструкция (ООД), с тем чтобы раскрыть смысл разучиваемого
действия, выделить ООТ, которые должны войти в его ориентировочную основу.
2. Наглядные:
на этом этапе особенно широко представлены натуральная демонстрация (начиная с
общего показа, затем уточнение определённых деталей) и демонстрация различного
рода наглядных пособий: различные видеограммы, графические аналоги действия,
циклограммы, видеозаписи и т.д.
3. Практические:
на этапе начального разучивания пользуются преимущественно методами строго
регламентированного упражнения.
Также особое внимание уделяется использованию
различных методических приёмов, облегчающих прочувствование действия или его
элементов, соблюдению заданных параметров движений, контролю над ними и чёткой
срочной корректировке отклонений от заданных параметров.
Этап углубленного разучивания, цель
и задачи этапа
Целевая установка
- завершить формирование действия в качестве двигательного умения, обеспечив
относительно законченное освоение его в этом качестве, как в деталях, так и в
целом.
На втором этапе освоение двигательного действия
характеризуется повышенным самоконтролем за различными движениями,
составляющими двигательное действие.
Частные задачи:
Ø оптимизировать ООД, придав ей
качества вполне осмысленной и детально проработанной программы осуществления
действия (пополнить, углубить и конкретизировать знания и представления обо
всех ООТ, добиться достаточно ясного и адекватного отображения их в живых
образах, точных понятиях и установках).
Ø усовершенствовать технику выполнения
действия, особенно в отношении точности движений во времени, в пространстве и
по величине усилий, добиться их слаженности и ритмичности в составе целостного
действия при выполнении его в стандартных условиях и при постепенно усложняющихся
условиях выполнения.
Ø повысить эффективность самоконтроля,
добиться необходимой степени подконтрольности сознанию основных операций и
целесообразной коррекции по ходу действия (освоить систему самоконтроля за счёт
переключения внимания с одной ООТ на другую в последовательном выполнении
двигательного действия).
В этих задачах находят своё отражение
закономерности второй стадии формирования двигательного действия, когда оно
приобретает все черты сложившегося двигательного умения и начинает постепенно
переходить в двигательный навык. По мере углублённого разучивания действия на
первый план всё больше выдвигаются задачи дальнейшего совершенствования его уже
в качестве навыка.
Средства и методы. Доминирующее
место занимают практические методы, в том числе метод целостного упражнения. В
прямой зависимости от результатов целостного воспроизведения действия
используются все другие средства и методы обучения, о которых шла речь при
характеристике первого этапа. По мере закрепления основного механизма техники
наряду с методом стандартно-повторного упражнения (характерного для
первого этапа) вводятся определённые разновидности метода вариативного
упражнения. При этом ориентироваться необходимо на стабильность выполнения
действия - должна сохраниться суть решаемой двигательной задачи и основы
техники. Направленно изменяются лишь те или иные условия его выполнения и
детали техники при точно заданных пределах варьирования (прыжки на разной
высоте с варьированием усилий в отталкивании или частичным изменением способа
преодоления планки и приземления). Такое направленное варьирование упражнения,
если оно организовано методически верно, способствует уточнению движений,
отлаживанию механизмов их координации, совершенствованию действия в целом.
В помощь практическим идут вербальные методы
(словесные). Практикуются методы передачи развёрнутых знаний о сути
изучаемого действия, способах эффективного выполнения и путях совершенствования
(детализированное объяснение, аналитический разбор правил выполнения операций и
т.д.), в сочетании методами самостоятельного приобретения, конкретизации и
углубления знаний (самостоятельная работа с текстовыми источниками,
взаиморазъяснение, анализ-«проговаривание» ООД в разных формах и т.д.).
Не утрачивают значимости методы обеспечения
наглядности - особенно о параметрах точного выполнения (детализированный
показ отдельных элементов техники, уточнение движения по всем параметрам -
наибольшее внимание уделяется ритму выполнения двигательного действия).
Регламентация применяемых
упражнений:
© Частота занятий - в массовой практике обучения
остаётся такой же (в практике спортивной тренировки она как правило
увеличивается) - основной критерий правильность.
© Частота упражнений - в отдельном занятии
увеличивается, общий объём и интенсивность нагрузки возрастают (предпосылки к
этому создаются благодаря повышению общей работоспособности занимающихся и
устойчивости сформированных форм координации движений по отношению к
негативному влиянию утомления). Число повторений действия, если оно не связано с
большими затратами физических и психических сил, может применяться многократное
серийное воспроизведение. Главный критерий тот же - отсутствие ошибок (снижение
количества повторений или прекращение при их появлении).
© Интервалы отдыха - должны быть достаточными для
восстановления оперативной работоспособности до уровня, позволяющего
безошибочно выполнить следующую попытку (от 1 до 5 мин).
Уровень силовых и скоростных проявлений на этом
этапе, как правило, повышается, однако это оправдано лишь в той мере, при
которой не искажается основной механизм техники движений.
Действия самоконтроля:
· отработка программы поэлементного
самоконтроля - усвоение точности выполнения в каждой из основных опорных точек;
· по мере усвоения движений и их
автоматизации, выделение ведущих элементов контроля (ООТ);
· формирование навыков переключения
внимания с одного ведущего элемента на другой - формирование программы
выполнения упражнения с контролем по ведущим опорным точкам.
· Программа самоконтроля опирается на
способ решения двигательной задачи.
Контроль может осуществляться, как по визуальным
характеристикам, так и на логику закономерности двигательных действий.
1.4 Техника физических
упражнений
Выполняя какое-либо физическое упражнение,
человек решает определенную двигательную задачу. Во многих случаях одна и та же
задача может быть решена несколькими способами - речь идет о технике движения.
Под техникой физических упражнений понимают
способы выполнения двигательных действий, с помощь которых двигательная задача
решается целесообразно с относительно большей эффективностью.
Понятие стандартная техника связано с
наиболее современными двигательными действиями, имеющими рациональную основу.
Стандартная техника характеризуется определенными параметрами, присущими для
большинства исполнителей.
В основе каждого способа выполнения физического
упражнения лежит совокупность взаимосвязанных движений. Эти движения,
объединенные между собой общей смысловой(целевой) направленностью физического
упражнения, называют операциями.
Двигательные действия состоят из отдельных
движений. При этом не все движения в них являются одинаково важными. В связи с
этим различают основу техники движений, основное(ведущее) звено и детали
техники.
Основа техники
- это совокупность относительно неизменных и достаточных для решения
двигательной задачи движений. К примеру, в прыжках в высоту способом
«перешагивание» основой техники будут являться постепенно ускоряющийся разбег с
определенным ритмом беговых шагов, отталкивание с одновременным выносом маховой
ноги, переходом через планку, приземление.
Основное (ведущее) звено техники
- это наиболее важная и решающая часть в технике данного способа выполнения
двигательной задачи. Выполнение ведущего звена техники в движениях обычно
происходит в сравнительно короткий промежуток времени и требует больших
мышечных усилий.
Детали техники представляют
собой особенности представления основных элементов техники упражнения. Это
второстепенные особенности движения, не нарушающие его основного
механизма(основы техники).
Детали техники могут быть различными у разных
занимающихся и зависят от индивидуальных особенностей. Правильное использование
индивидуальных особенностей каждого занимающегося характеризует его
индивидуальную технику. Индивидуализация:
· Типовая
индивидуализация. Сохраняются общие черты техники,
но имеются особенности, связанные с ростом, весом и т.д.
· Персональная индивидуализация.
Связана с авторской техникой
Техника физических упражнений постоянно
совершенствуется и обновляется в практике физического воспитания и спорта. Это
обусловлено следующим:
ü Возрастающими требованиями к уровню
физической подготовленности;
ü Поиском более совершенных способов
выполнения движений;
ü Совершенствование методики обучения;
ü Появлением нового спортивного
инвентаря, оборудования и другими факторами.
В процессе обучения технике физических
упражнений, помимо выше обозначенных, также выделяют ее процессуальные
составляющие: подготовительные, основные, заключительные фазы целостного
движения. Каждая из этих фаз имеет свое назначение:
1. Функция
подготовительной фазы состоит в том, чтобы создать
наиболее выгодное условие для проявления необходимых усилий в основной фазе
движения;
2. Функция основной фазы состоит
в том, чтобы качественно решить двигательную задачу. Для этого важно оптимально
использовать движущие силы в соответствующем месте, в нужный момент;
3. Функция заключительной фазы состоит
в том, чтобы завершить действие, сохраняя устойчивость тела или занимания
выгодное положение для приземления.
Таким образом, техника движения складывается из
целого ряда составляющих, образуя тем самым достаточно сложную структуру
движения, которую можно определить как органическую взаимосвязь основных
характеристик движения в рамках единой целостности.
Критерии эффективности техники
физических упражнений
Под критерием эффективности техники
понимаются признаки, на основании которых тренер (учитель) может определить
меру соответствия наблюдаемого им способа исполнения двигательного действия с
объективно необходимым.
Эффективность того или иного критерия
обусловлена мерой его соответствия характеру двигательного действия, этапу
обучения и уровню подготовленности учеников.
1. Результативность
физических упражнений(в том числе и спортивный результат). Применяется чаще
всего. Принято считать, что улучшение техники прямо сказывается на повышении
результата физического упражнения в целом. Однако в действительности результат
упражнения зависит от многих причин, и установить среди них значимость
технической подготовленности бывает очень трудно.
2. Соответствие параметрам стандартной
техники. Сущность их состоит в том, чтобы сопоставить параметры наблюдаемого
действия с параметрами стандартной техники. Для этого предварительно следует
определить, насколько стандартная техника отражает типологические особенности
обучающихся. Прежде всего необходимо обращать внимание на те параметры, которые
являются определяющими в данном двигательном действии.
. Разница между реальным результатом и
возможным. Для вычисления разницы необходимо:
Ø определить наилучший результат,
который показывает ученик в этом двигательном действии;
Ø знать, от уровня развития каких
физических способностей зависит результат, в данном действии;
Ø путем тестирования выявить у
занимающегося эти способности;
Ø вычислить возможный результат при данном
развитии способностей;
Ø определить разницу между реальным
результатом и возможным.
Если реальный результат окажется выше
возможного, значит техника исполнения полностью реализует потенциал физических
способностей ученика: если ниже, то нет. В первом случае необходимо подтягивать
физические способности, во втором технику.
Исходя из выше сказанного, можно сделать
следующий вывод: анализ литературных данных по данной проблеме показал,
что при начальном обучении прыгунов в высоту наиболее эффективно использование
целостного метода. Таким образом, спортсмен, выполняя целостное
соревновательное упражнение, сразу овладевает ритмо-темповой структурой разбега
в сочетании с отталкиванием, достижением максимума угловой скорости маха к
моменту подхода ноги к вертикальной оси туловища.
ГЛАВА II.
ОРГАНИЗАЦИЯ И МЕТОДЫ ИССЛЕДОВАНИЯ
2.1 Организация
исследования
В нашем исследовании поставлена следующая цель -
обучение техники прыжка в высоту способом «Фосбери-флоп», с использованием
положительного переноса двигательных умений прыжка способом «перешагивание».
Цели и задачи реализовывались поэтапно в период
с 2014 по 2015 год.
На первом этапе исследования
(сентябрь-ноябрь 2014) изучались литературные источники, освещающие состояние
проблемы исследования, определялось направление работы, формировались и
уточнялись, задачи, цель, методы, гипотеза исследования. Разрабатывалась экспериментальная
методика.
Методика обучения прыжку способом «Фосбери-флоп»
разрабатывалась с учетом перехода от способа «перешагивания» к «Флопу» с
дальнейшим использованием положительного переноса образовавшегося навыка.
Задачи обучения, упражнения для их освоения, критерии и указания представлены в
таблице 1.
Таблица 1
Методика альтернативного подхода в обучении
современной техники прыжка в высоту
|
№
занятия
|
Задача
обучения
|
Упражнения
|
Критерии
|
Указания
|
|
1
|
учить
разметке для разбега на 3 шага, и прыжку перешагиванием с 3 шагов
|
Ходьба
с перекатом с пятки на носок; Ходьба перекатом с пятки на носок, но с
подпрыгиванием на каждый шаг; Подпрыгивание через шаг (определение толчковой
ноги)
|
Туловище
держать вертикально, на работу рук не обращать внимание. Следить за
правильностью подбора разбега.
|
Место
отталкивания 60 см. от планки: Последний шаг (1) - 4 стопы 2 - 5 стоп 3 - 4,5
стопы.
|
|
2
|
научить
прыжку перешагиванием с 5 шагов разбега
|
Повторить
1 - 3 упражнения предыдущего занятия. Научить отталкиванию после 3 шагов
разбега поточно. Повторить прыжок с 3 шагов разбега. Учить прыжку с 5 шагов
разбега со следующей разметкой: 5 стоп; 6 стоп; 5,5 стоп, 5 стоп; 4,5 стопы
|
Прямое
положение туловища, приземление на толчковую ногу, один шаг пропускается счет
на 3. Разгонять таз за счет протягивания опоры под себя и сохранения
вертикального положения туловища с вертикальным вылетом вверх, при правильном
выполнении появляется ощущение подбрасывания, за счет мышц толчковой ноги.
|
В
разбеге изменять положение наклона туловища до вертикального, с переходом от
проталкивания на бег накатом (с подтягиванием опоры на себя). Обращать
внимание на ритм, мах и вылет вверх. При переходе через планку использовать
простейший вариант.
|
|
3
|
научить
прыгать способом «перешагивание» с дугообразного разбега
|
Повторить
прыжки через планку на доступной высоте с разбега 5 шагов Повторить переход
от разбега с проталкиванием на бег накатом (за счет протягивания опоры под
себя) Акцентировать внимание на ритм разбега.
|
Следить
за рабочей позой и ее изменение при входе в дугу, работа рук, увеличение
темпа движений и ритм, сохранение максимальной амплитуды движений, снижение
траектории движения таза
|
Изменение
разбега с прямого на дугообразный происходит с сохранением соотношения между
шагами, которые выполняются: первые два с начала разбега по прямой; три
следующих по дуге. Угол последнего шага разбега по отношению к планке
сохраняется как в прямом разбеге.
|
|
4
|
учить
переходу планки с выполнением маха с закручиванием
|
Прыжки
с дугообразного разбега постепенно изменяя направление маха в начале вдоль
планки, а затем с закручиванием маховой ногой в сторону от планки
(отталкивание, переход через планку) В переходе через планку, в процессе
полета нужно ложиться вдоль планки - горизонтально.
|
Следить
за исходным положением для начала толчка, накат туловища на стопу толчковой
ноги, начало маха и подброс туловища бедром маховой ноги, подхват руками и
подброс плеч, положение частей туловища в момент окончания толчка, достижение
оптимальной высоты взлета, опрокидывание назад, расположение звеньев тела для
достижения максимального вращения нал планкой
|
При
выполнении прыжков с дугообразного разбега мах вначале выполняется вдоль
планки, затем с закручиванием от планки при сохранении вертикального
положения туловища в момент окончания отталкивания.
|
|
5
|
продолжить
учить переходу через планку, с приземлением на плечи.
|
Мостик
с приземлением на плечи (подъем обратно) Прыжки через планку в целом, можно
использовать отталкивание от мостика
|
Следить
за расположением звеньев тела для достижения максимального вращения над
планкой, завершение перехода, выпрямление ног коленных суставах, принятие
обычного положения для безопасного приземления.
|
Сохранять
наклон в сторону центра дуги, вылет вертикально, быстро опускать плечи за
планку, брать ноги на себя.
|
На втором этапе исследования (декабрь-февраль
2015 года) проверялась эффективность разработанной нами методики.
Проводился педагогический эксперимент. Для этого
были созданы экспериментальная и контрольная группы (в каждой группе был лидер
и аутсайдер). Были сняты антропометрические показатели для выявления
однородности групп. Экспериментальная группа тренировалась в СДЮСШОР по
спортивной гимнастике, в городе Ижевск в понедельник, среда, пятница с 15.30 до
17.00. тренер-преподаватель Лучинкин Роман Андреевич. Контрольная группа
тренировалась в легкоатлетическом манеже г. Ижевска, вторник, четверг, суббота
с 18. 00 до 19. 30. тренер-преподаватель Лучинкин Роман Андреевич.
Общее количество испытуемых 10 человек. Возраст
12 - 13 лет (девочки). Продолжительность тренировки 2 академических часа.
Количество тренировок 3 раза в неделю.
Экспериментальная группа тренировалась по
разработанной нами методике, контрольная - по традиционной методике В.М.
Дьячкова и А.П. Стрижака, и по программе по легкоатлетическим прыжкам для
детских юношеских спортивных школ (программы показаны в главе I,
раздел 1.2, 1.3). Разница между экспериментальной и традиционной методикой
заключалось в сокращении срока обучения данному прыжку, в связи с подобранными
нами упражнениями. В методике В.М. Дьячкова и А.П. Стрижака, по которой
занималась контрольная группа, обучение проходит за 7-9 занятий, а по
разработанной нами методике для экспериментальной группы обучение проходит в
течение 5 занятий.
Условия экспериментальной и контрольной групп по
уровню материально-технического обеспечения, квалификация педагогического
состава, уровню физической подготовленности не имели принципиальных отличий. В
конце исследования нами было проведено повторное тестирование.
На третьем этапе исследования (март-май
2015) проводилась математико-статистическая обработка полученных данных и
оформлялась выпускная квалификационная работа в соответствии со стандартными
требованиями.
2.2 Методы исследования
В соответствии с задачами исследования были
подобраны и использованы методы, апробированные и достаточно эффективные в
научных исследованиях.
Анализ научно-методической
литературы. Проводился с целью изучения
накопленного исследователями опыта по интересующей нас проблеме. Основное
внимание уделялось изучению направлениям, формам обучения прыжка в высоту
способом «Фосбери-флоп». Изучались наиболее часто встречаемые ошибки в
подготовке спортсменов-прыгунов 12-13 лет.
Педагогический эксперимент
является основным методом исследования, в котором решались, поставленные задачи
и проверялась выдвинутая гипотеза. Эксперимент был организован и проведен с
соблюдением общепринятых принципов педагогического исследования. Он проводился
с целью получения объективных данных для обоснования, используемых нами
физических упражнений, разработанных для развития прыжка в высоту способом
«Фосбери-флоп». Для организации данного исследования использовался
сравнительный эксперимент естественного типа.
Были созданы две группы экспериментальная и
контрольная. Контрольная группа тренировалась по методике В.М. Дьячкова и А.П.
Стрижака (методика представлена в главе I,
раздел 1.2). Экспериментальная группа тренировалась по методике разработанной
мной и научным руководителем Северухиным Г.Б.
Педагогическое тестирование
физической подготовленности проводилось в период декабрь -
февраль 2015 года. Были взяты тесты, из рабочей программы ДЮСШ. Для выявления
эффективности разработанной методики проводился ряд тестов и контрольных
замеров следующих показателей. Тесты физической подготовленности (ОФП):
1. Измерение прыжка в длину с
места. Испытуемые встают перед линией сектора прыжка
в длину и выполняют 3 попытки прыжка в длину с двух ног с места. Исследователь
записывает результаты и выделяет лучший. Задача испытуемого - как можно дальше
выполнить прыжок в длину с места.
. Измерение прыжка в высоту с
места двумя руками, касаясь стену. Испытуемые встают
перед стеной, где отмечена сантиметровая шкала, и выполняют 3 попытки прыжка в
высоту. Исследователь записывает результаты, выделяет лучший. Задача
испытуемого - как можно выше выпрыгнуть и задеть стену.
. Выпрыгивание вверх из
приседа на двух ногах с отягощением 5 кг. Испытуемые
выполняют выпрыгивание на количество раз за 30 секунд. Исследователь записывает
результаты. Задача испытуемого сделать, как можно больше приседаний за 30
секунд.
. Прыжки вверх отталкиваясь
одной ногой с 1 - 5 шагов, доставая подвешенный предмет, который весит на одной
высоте. Испытуемые выполняют прыжок вверх 10 попыток.
Исследователь записывает результаты, сколько раз испытуемый достал подвешенный
предмет. Задача испытуемого, как можно выше выпрыгнуть, чтобы достать
подвешенный предмет.
Тесты технической подготовленности:
1. Прием норматива прыжка в
высоту способом «Перешагивавние». Делим группу на 2
команды (в каждой группе есть лидер - тот, у кого получается прыжок, и
аутсайдер - тот, у которого прыжок получается хуже). Принимаем норматив в
каждой группе в виде соревнований. Задача спортсмена преодолеть планку, как
можно выше, на каждую из высот предоставляется по 3 попытки. Исследователь
ведет протокол соревнований, записывает результаты, лучший выделяет.
2. Прием норматива прыжка в
высоту способом «Фосбери-флоп». Принимаем норматив
в каждой группе в виде соревнований. Задача спорсмена (испытуемого) преодолеть
планку, как можно выше, на каждую из высот предоставляется по 3 попытки.
Исследователь ведет протокол соревнований, записывает результаты, лучший
выделяет.
Критерием оценивания является результативность и
ее сравнение, а так же набранный опыт с периода сентябрь 2014 года по февраль
2015 года (пример приведен в таблицах с результатами в главе III).
Метод экспертного оценивания. Применяется
для определения достоверности полученных результатов исследования. В данном
методе принимали участие три эксперта: Северухин Георгий Борисович, Шулятьева
Валентина Георгиевна, Лучинкин Роман Андреевич, которые выделяли качества
методики исследования. Для этого использовалась экспертная оценка. Оценивание
происходило по 10-ти бальной шкале. Использовались критерии по разбегу,
отталкиванию, полету, переходу через планку, приземление. Применялся метод
ранжирования.
Метод математическо-статистической
обработки. Применялись
для обеспечения достоверности результатов исследования. Статистическая
обработка данных проводилась по общепринятым методам вариационной статистики с
проверкой результатов исследования на достоверность различий. Достоверность
различий считалась существенной при 5% уровне значимости (р
0,05), что считается достаточно
надежным для педагогических исследований.
Средняя арифметическая величина
является производной, обобщающей количественные признаки ряда однородных
показателей. Выражая одним числом определенную совокупность, она как бы
ослабляет влияние случайных индивидуальных отклонений и акцентирует некую
обобщенную количественную характеристику, наиболее типичное свойство изучаемого
ряда показателей.
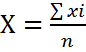
В простейшем случае этот показатель
вычисляется путем сложения всех полученных значений и деления суммы на число
вариантов.

,где
∑ - знак суммирования;
xi - значения
отдельного измерения;
n - общее
число измерений в группе.
Производится расчет динамики
изменения показателей. Для этой цели применялась формула темпа прироста.
Tnp=
* 100%, где
Tпр - темп
прироста;
Yo - начальное
значение показателей;
Yi -
последующие значение показателя.
Достоверность различий определялась
по t-критерию
Стьюдента:
Для обработки полученных результатов
исследования применялись следующие статистические показатели и методы:
1. Средняя арифметическая
величина [x]:
X̅ =
,где

- знак суммы;
Xi - полученное в
исследовании значение;
n -
количество исследуемых.
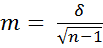
2. Среднее квадратичное
отклонение [δ]:

,где

- наибольшее
значение одного из тестов контрольного испытания;

- наименьшее
значение одного из тестов контрольного испытания;
К - табличный коэффициент,
соответствующий определенной величине размаха.
3. Вычисление средней ошибки
средне-арифметического значения [m]:

, где
δ - среднее
квадратическое отклонение;

- квадратный корень количество
спортсменов, учавствующих в эксперименте.
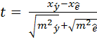
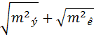
4. Вычисление достоверности
различий по t
- критерию Стьюдента:

, где

- разница средне-арифметических
величин показателей контрольных тестов;

- квадратный корень суммы средних
ошибок средне-арифметического значения.
5. Определить достоверность
различий. Для этого полученное значение (t)
сравнили с граничным при пятипроцентном уровне значимости (t
0,05). Если полученное значение (t)
в эксперименте больше граничного значения (t
0,05), то различия между средними арифметическими двух групп считаются
достоверными при пятипроцентном уровне значимости и, наоборот, когда полученное
(t) меньше - различия
недостоверны.
прыжок высота перешагивание обучение
ГЛАВА III.
РЕЗУЛЬТАТЫ ИССЛЕДОВАНИЯ И ИХ ОБСУЖДЕНИЕ
Прыжок в высоту зависит от двигательного
потенциала и степени овладения техникой. По данным исследованиям
Дьячкова В.М. и Стрижака А.П. в их методику входят антропометрические данные
(рост, вес, длина правой ноги, длина левой ноги, длина стопы, ширина плеч,
длина рук).
Одной из задач первого этапа исследования было
определение однородности экспериментальной и контрольной групп. Для этого было
проведено измерение антропометрических показателей и уровень физического
тестирования спортсменов.
3.1 Антропометрические
показатели и результаты тестов у девушек 12-13 лет, участвующих в эксперименте,
на I этапе
Результаты антропометрических измерений
спортсменов-прыгунов (девочек) 12-13лет, на начало эксперимента представлены в
таблице 1.
Таблица 1
Результаты антропометрических измерений в начале
эксперимента
|
Контрольные
данные
|
Испытуемые
|
|
Экспериментальная
группа
|
Контрольная
группа
|
|
Х
|
m±
|
Х
|
m±
|
|
Рост,
см
|
162,4
|
2
|
162,5
|
2
|
|
Вес,
кг
|
42,2
|
2
|
43,6
|
4
|
|
Длина
правой ноги, см
|
96,3
|
1,25
|
94,8
|
4,5
|
|
Длина
левой ноги, см
|
95,9
|
1,5
|
94,4
|
4,5
|
|
Длина
стопы, см
|
23,5
|
0,5
|
23,2
|
0,25
|
|
Ширина
плеч, см
|
34,8
|
1
|
34,6
|
1,5
|
|
Длина
правой руки, см
|
25,8
|
1
|
26,5
|
1,25
|
|
Длина
левой руки, см
|
26
|
1
|
26,5
|
1,25
|
Как видно из таблицы антропометрических данных,
средний показатель результатов свидетельствует о том, что группы по своему
составу практически ничем не отличаются. Это значит, в основном группы
однородны.
Для оценки физической и технической
подготовленности в начале эксперимента было проведено контрольное тестирование
для того, чтобы выявить достоверность различий в уровне подготовленности
экспериментальной и контрольной групп (приложение 2, 3; табл. 2).
Таблица 2
|
Контрольные
данные
|
Экспериментальная
группа
|
Контрольная
группа
|
tф
|
Tгр
|
P
|
|
|
Х
|
m±
|
Х
|
m±
|
|
|
|
|
ОФП
|
|
Прыжки
в длину с места, см
|
170,4
|
2,1
|
172,6
|
3
|
0,6
|
2,31
|
<0.05
|
|
Измерение
прыжка в высоту с места двумя руками, касаясь стены, см
|
227
|
3,2
|
226,6
|
1,07
|
0,09
|
2,31
|
<0.05
|
|
Выпрыгивание
вверх из приседа на двух ногах с отягощением 5 кг, раз/30с
|
8,2
|
0,429
|
9,2
|
0,429
|
1,7
|
2,31
|
<0.05
|
|
Прыжки
вверх отталкиваясь одной ногой с 1 - 5 шагов
|
5,4
|
0,9
|
5,6
|
1,07
|
0,06
|
2,31
|
<0.05
|
|
Техническая
подготовка
|
|
Прыжок
в высоту способом «перешагивание»
|
99
|
2,15
|
99
|
3,21
|
0,26
|
2,31
|
<0.05
|
|
Прыжок
в высоту способом «Фосбери-флоп»
|
в
конце
|
2,31
|
<0.05
|
· Табличное значение t
0,05 = 2,31
Как видно из таблицы 2, в общей физической
подготовке (ОФП) средний результат контрольной группы превышает результаты
экспериментальной в прыжках в длину на 2,2 см, в прыжках в высоту, касаясь
стены на 0,4 см. В тесте выпрыгивание с отягощением 5 кг за 30 с на одно
повторение, в прыжках, доставая подвешенный предмет, на 0,2 повторений
превышает результат экспериментальной группы.
В тестах на определение технической
подготовленности контрольная группа так же показала результаты превышающие
экспериментальную, так в тесте прыжка в высоту способом «перешагивание» средний
показатель результатов свидетельствует о том, что контрольная группа прыгнула
выше на 1 см.
При сравнении полученных в начале эксперимента
результатов нами не выявлено существенных различий между контрольной и
экспериментальной группами. Следовательно, группы участвующие в эксперименте,
однородны, что позволило нам начать педагогический эксперимент.
3.2 Сравнительный
анализ динамики результатов у спортсменов-прыгунов контрольной и
экспериментальной групп, полученных в процессе эксперимента
Для исследования эффективности предложенной нами
методики занятий спортсменов-прыгунов мы сравнили динамику результатов
технической и физической подготовленности при повторных исследованиях.
Сравнение динамики наиболее полно отражает эффективность той или иной методики
тренировки.
Полученные нами результаты сравнения динамики
технической и физической подготовленности спортсменов-прыгунов представлены в
таблице.
Таблица 3
Динамика результатов физической и технической
подготовленности спортсменов-прыгунов 12-13 лет
|
Тесты
|
|
Экспериментальная
группа
|
Контрольная
группа
|
tф
|
Tгр
|
P
|
|
ОФП
|
|
Прыжки
в длину с места, см
|
начало
|
170,4
|
172,6
|
0,6
|
2,31
|
<0.05
|
|
конец
|
175
|
175,2
|
0,06
|
2,31
|
<0.05
|
|
%
|
2,7
|
1,5
|
|
|
|
|
Измерение
прыжка в высоту с места, касаясь стены, см
|
начало
|
227
|
226,6
|
0,09
|
2,31
|
<0.05
|
|
конец
|
237
|
231,8
|
2
|
2,31
|
>0.05
|
|
%
|
4,4
|
2,3
|
|
|
|
|
Выпрыгивание
вверх из приседа с отягощением 5 кг, раз/30с
|
начало
|
8,2
|
9,2
|
1,7
|
2,31
|
<0.05
|
|
конец
|
11,6
|
10,2
|
2,06
|
2,31
|
<0.05
|
|
%
|
41,5
|
10,9
|
|
|
|
|
Прыжки
вверх отталкиваясь одной ногой с 1 - 5 шагов
|
начало
|
5,4
|
5,6
|
0,06
|
2,31
|
<0.05
|
|
конец
|
7,2
|
7,4
|
0.13
|
2,31
|
<0.05
|
|
%
|
33,4
|
32,1
|
|
|
|
|
Техническая
подготовка
|
|
Прыжок
в высоту способом «перешагивание»
|
начало
|
99
|
99
|
0
|
2,31
|
<0.05
|
|
конец
|
107
|
101,6
|
2.67
|
2,31
|
>0.05
|
|
%
|
8,1
|
2,6
|
|
|
|
|
Прыжок
в высоту способом «Фосбери-флоп»
|
конец
|
116,6
|
105,2
|
2,82
|
2,31
|
>0.05
|
|
Прыжок
способом «Перешагивание» и «Фосбери флоп»
|
конец
|
107
|
101,6
|
2,67
|
2,31
|
>0.05
|
|
конец
|
116,6
|
105,2
|
2,82
|
2,31
|
>0.05
|
|
%
|
8,5
|
3,5
|
|
|
|
· Табличное значение t
0,05 = 2,31
Как видно из таблицы 3, в результатах
технической подготовленности произошли существенные сдвиги по сравнению с
началом эксперимента. В экспериментальной группе результат в прыжке в высоту
способом «перешагивание» улучшился на 8 см, где рост составил 8,1%; в
контрольной группе результат улучшился на 2,6 см(2,6%).
В конце нашего эксперимента обе группы сдавали
норматив прыжок способом «Фосбери-флоп», которому они обучались по разным
методикам. Мы выявили, что средний результат в экспериментальной группе
составил 116,6 см, что порядком выше результата в контрольной группе(105,2 см).
Анализируя полученные результаты, мы сравнили
показатели прыжка способом «перешагивание» и прыжка способом «Фосбери-флоп».
Нами выявлено, что прирост показателей технической подготовленности
спортсменов-прыгунов экспериментальной группы, тренирующихся по разработанной
нами методике в процессе педагогического эксперимента, оказался выше, чем в
контрольной. Результаты исследования представлены в см (рис. 1).
Рис. 1. Динамика результатов
технической подготовленности прыгунов в высоту 12-13 лет в конце
педагогического эксперимента
Сравнивая результаты этих двух
способов, мы выявили, что в процентном соотношении прирост показателей от
способа перешагивание» к способу «Фосбери-флоп» стал увеличиваться и составил
8,5% в экспериментальной группе, 3,5% в контрольной группе.
Более высокие темпы прироста
показателей технической подготовленности экспериментальной группы достигнуты
благодаря использованию в тренировочном процессе экспериментальной методики.
Рост показателей технической подготовки прыгунов в высоту контрольной группы
происходил за счет методики Дьячкова В.М. и Стрижака А.П., а также с помощью
примерной программы спортивной подготовки по прыжкам для ДЮСШ.
Таким образом, сопоставляя данные по
технической подготовленности в конце эксперимента контрольной и
экспериментальной групп, мы пришли к выводу: более высокий прирост показателей
технической подготовленности в экспериментальной группе связан с пониманием
техники прыжков в высоту, которая была достигнута специальными упражнениями,
представленными в разработанной нами методике.
Анализируя полученные результаты
нами выявлено, что у спортсменов 12-13 лет занимающихся по нашей методике
значительно увеличился спортивный результат. Результаты спортсменов имеют
положительный прирост по всем показателям, в прыжке в высоту способом
«Фосбери-флоп» в экспериментальной группе самый высокий результат составил 122
см. Спортсмены контрольной группы улучшили свои результаты незначительно, самый
высокий результат в прыжке способом «Фосбери-флоп» составил 114 см.
Достоверность различий выявлена в
прыжках способами «перешагивание», «Фосбери-флоп» и сопоставлением результатов
обоих способов.
3.3
Экспертная оценка техники прыжка в высоту способом «Фосбери-флоп»
Результаты экспертной оценки техники
прыжка в высоту способом «Фосбери-флоп» представлены в таблице 4.
Таблица 4. Результаты экспертной
оценки
|
Экспериментальная
группа
|
|
|
|
Эксперты
|
|
|
|
Ф.И.
|
1
|
2
|
3
|
Xср
|
m±
|
|
Дарья
В.
|
9
|
10
|
9
|
9,33
|
0,25
|
|
Юлия
П.
|
8
|
9
|
9
|
8,7
|
0,25
|
|
Вероника
Г.
|
9
|
9
|
9
|
9
|
0
|
|
Юлия
К.
|
7
|
8
|
8
|
7,7
|
0,25
|
|
Дарья
П.
|
9
|
9
|
8
|
8,7
|
0,25
|
|
Xср экспериментальной группы
|
8,9
|
|
Контрольная
группа
|
|
|
|
Эксперты
|
|
|
|
Ф.И.
|
1
|
2
|
3
|
Xср
|
m±
|
|
Вероника
К.
|
9
|
9
|
9
|
9
|
0
|
|
Екатерина
И.
|
7
|
7
|
7
|
7
|
0
|
|
Елизавета
Б.
|
6
|
7
|
7
|
6,7
|
0,25
|
|
Виктория
М.
|
8
|
7
|
7
|
7,33
|
0,25
|
|
Элианна
Ш.
|
8
|
7
|
7
|
7,33
|
0,25
|
|
Xср контрольной группы
|
7,5
|
Анализируя результаты экспертной оценки техники
прыжка способом «Фосбери-флоп», мы выявили, что результаты в экспериментальной
группе значительно выше, чем в контрольной. Следовательно, это доказывает, что
разработанная экспериментальная методика эффективна.
Оценки в экспериментальной группе оказались выше
чем в контрольной. Средняя оценка в экспериментальной группе составила 8,9 (по
10-бальной шкале), а в контрольной 7,5 (по 10-бальной шкале).
Экспериментальная группа освоила технику на
15,7% лучше, чем контрольная это представлено на (рис.2)
Рис.2 Результаты среднего показателя
экспертной оценки спортсменок в конце эксперимента
Все спортсмены экспериментальной
группы выполнили спортивный разряд, лучший II-юношеский
выполнила одна спортсменка, а четыре спортсмена получили III-юношеский.
В контрольной группе 12-13 лет только один спортсмен выполнил III-юношеский
разряд.
В ходе сравнительной характеристики
результатов тестирования наблюдается положительная динамика по всем данным
занимающихся по нашей методике. В исследовании выявлено, что динамика
положительных изменений у спортсменов участвующих в эксперименте имеет
достоверные различия по 3 из 6 имеющимся показателям.
Выявленный рост показателей
физической и технической подготовленности и сокращение срока обучения прыжку
способом «Фосбери-флоп» подтверждает выдвинутую нами гипотезу
ВЫВОДЫ
1. Прыжок в высоту - один из наиболее
популярных видов легкой атлетики и за свое более чем столетнее существование
как спортивное упражнение достиг высокого уровня развития. Технику прыжка в
высоту следует понимать как систему движения, направленную на рациональную
организацию взаимодействия внутренних и внешних сил целью наиболее полного и
эффективного использования двигательных возможностей спортсмена для достижения
наиболее высокого спортивного результата.
. На основе анализа программ В.М.
Дьячкова и А.П. Стрижака, а так же детских юношеских спортивных школ нами была
разработана экспериментальная методика альтернативного подхода к обучению
современной технике прыжка в высоту.
. Подводя итоги эксперимента, мы пришли к
выводу, что наш альтернативный подход в обучении прыжкам является эффективным в
связи с повышением результата и освоением техники прыжка.
ПРАКТИЧЕСКИЕ РЕКОМЕНДАЦИИ
Полученные нами данные
показывают, что в совершенствовании разбега у прыгунов в высоту можно выделить
несколько приоритетных направления - повышение скорости бега в условиях действия
центробежной силы и совершенствование темповой структуры и пространственных
характеристик разбега с учетом индивидуальных особенностей спортсменов.
Умение спортсмена быстро бежать
в условиях действия центробежной силы оказывает непосредственное влияние на
возможность прыгуна высоко оттолкнуться при разбеге по дуге. Поэтому мы
рекомендуем наряду с общепринятыми средствами повышения скоростных способностей
спортсменов применять в тренировочном процессе специфические для прыжков в
высоту средства такие как: бег и отталкивание по кругу, бег и отталкивание по
виражу.
Упражнения выполнять с
фиксированием времени пробегания отрезков, изменять радиус круга, количество и
длину отрезков, число повторений в одной серии. В подготовительных этапах
годичного цикла нужно применять эти средства, варьируя объем и интенсивность
выполнения, интервалы отдыха выбираются в зависимости от задач тренировочного
занятия. В соревновательном этапе, упражнения необходимо выполнять на
максимально возможных скоростях, при которых техника бег еще не нарушена.
Дозировать упражнения нужно в соответствии с состоянием спортсмена, главным
критерием прекращения упражнения является снижение скорости выполнения или
искажение техники движений.
Формированию правильной
темповой структуры разбега необходимо уделять внимание с самых ранних этапов
обучения, так как исправить ее на последующих будет значительно сложнее. Для
этого включать в тренировки упражнения для повышения темпа шагов (бег через
отметки и т. п.), контролировать и исправлять ошибки в прыжках в высоту,
желательно применять видео съемку для определения и контроля темповой
структуры. Применение средств, специфических для дугообразного разбега,
способствует приближению пространственных характеристик последних шагов
разбега, к показателям мировых лидеров в данном виде лёгкой атлетики.
Применяя данные средства,
необходимо учитывать индивидуальные особенности отдельно взятого прыгуна, и,
исходя из них, подбирать объём и интенсивность. У каждого прыгуна есть
особенности техники как прыжка в целом, так и разбега в частности. Для их
выявления мы рекомендуем использовать современные средства фиксации и оценки
параметров техники движения. Применение данных средств поможет более объективно
оценить технику выполнения прыжка и подобрать средства специальной физической
подготовленности в зависимости от её индивидуальных особенностей. Причём при
сегодняшнем развитии техники, видеозапись и её компьютерная обработка перестали
быть чем-то недоступным, а наоборот имеют возможность применяться при работе со
спортсменами любого уровня. Так же использование в частности видеозаписей
позволит оценить технику как тренеру так и самому спортсмену, что несомненно
является важным фактом и поможет повысить эффективность тренировочного
процесса.
СПИСОК ЛИТЕРАТУРЫ
1. Ашмарин
Б.А. Теория и методика педагогических исследований в физическом воспитании. -
М.: Физкультура и спорт, 2008 г. - 288с.
. Быкова
Т.В. Как прыгнуть выше головы. - М.: Физкультура и спорт, 2008 г. - 64с.
. Воронин
В.И. Легкая атлетика: учебник для институтов физической культуры. - М.:
Физкультура и спорт, 2009 г. - 344с.
4. Гойхманм П.Н.. Прыжок в
высоту, Ленинград 1961 г. - 81с.
5. Дурсенев
Л.И. Техника будущего: Фосбери и Брумель. - М. Легкая атлетика. -2008 г. -5-6с.
. Дьячков
В.М. Прыжок в высоту - М.: Физкультура и спорт, 2005 г. - 66с.
. Дьячков
В.М., Стрижак А.П. Прыжок фосбери-флоп. - М.: Физкультура и спорт, 1975 г. -
63с.
. Дьячков
В.М. Физическая подготовка спортсмена. - М.: Физкультура и спорт, 2007 г. -
244с.
. Железняк
Ю.Д., Петров П.К. Основы научно-методической деятельности в физической культуре
и спорте: Учебное пособие для студентов высших педагогических учебных
заведений. - М.: Издательский центр «Академия», 2001. - 264с.
. Жилкин
А.И., Кузьмин В.С., Сидорчук Е.В. Легкая атлетика: учебное пособие для
студентов высших педагогических учебных заведений. - М.: Издательский центр
«Академия», 2003 г. - 464с.
. Зациорский
В.М. Физические качества легкоатлета. - М.: Физкультура и спорт, 2007 г. -
364с.
. Кастелло
Ф. Прыжок в высоту перекидным способом: техника и тренировка. - М. ВНИИФК, 1982
г. - 1-3с.
. Кастелло
Ф. Системы подготовки зарубежных спортсменов. ВНИИФК. - М., 1982 г. -1-3с.
. Керсенброкк
К. Анализ техники фосбери-флоп. Легкая атлетика. - М. 2007 г. - 18-19с.
. Книга
тренера по легкой атлетике. Под редакцией Л.С. Хоменкова - М.; Физкультура и
спорт, 2007 г. - 398с.
. Ковальчук
Г.И. Антропогенетические и психологические показатели спортивно-технической
подготовленности легкоатлетов. Теория и практика физической культуры. - 2004 г.
- 45-49с.
. Креер
В.В., Попов В.Б. Легкоатлетические прыжки. - М.: Физкультура и спорт, 2006 г. -
175с.
. Лёгкая
атлетика. Правила соревнований. - М.: Физкультура и спорт, 2008 г. - 34с.
. Легкая
атлетика: учебник для институтов физической культуры. Под редакцией Н.Г.
Озолина, В.И. Воронкина, Ю.Н. Примакова. - Издание 4-е, дополнительно
переработано. - М.: Физкультура и спорт, 2010 г. - 326с.
. Лёгкая
атлетика: учебник для институтов физической культуры. Под ред. Н.Г. Озолина, В.
И. Воронкина. - Издание 3-е, дополнительно переработан - М.: Физкультура и
спорт, 2009 г. - 598с.
. Легкая
атлетика. Прыжки: Примерная программа спортивной подготовки для ДЮСШ
олимпийского резерва и ШВСМ. - М.: Советский спорт, 2005 - 104с.
. Максименко
А.М. Теория и методика физической культуры: учебник для вузов физической
культуры. А.М. Максименко - 2-е издание, исправлено и дополнено - М.:
Физическая культура, 2009 г. - 496с.
23. Матвеев Л.П. Теория и
методика физической культуры и спорта. Москва: Физкультура и спорт, 2005 г. -
598с.
24. Озолин Н.Г.
Лёгкая атлетика : - Москва: Физкультура и спорт, 2009 г. - 324с.
. Сирис П.З.
Отбор и прогнозирование способностей в легкой атлетике. - Москва: Физическая
культура и спорт, 2003 г. - 104с.
. Стрижак
А.П. Кинематико-динамические особенности техники фосбери-флоп и пути ее
освоения Материалы конференции молодых научных сотрудников ВНИИФК за 2002 г. -
М.: ВНИ 1. Институт физической культуры, 2003г. - 82-83с.
. Стрижак
А.П. Прыжок в высоту. - Москва, Физкультура и спорт, 1975г. - 80с.
. Твой олимпийский
учебник. - 23-е издание, переработанное и дополненное. Рекомендовано
Олимпийским комитетом России в качестве учебного пособия для олимпийского
образования. - Родиченко В. С. - М.: Советский спорт, 2011г. - 152с.
. юпа В.В.
Биодинамика отталкивания при прыжке в высоту. Теория и практика физической
культуры. - 2001 г. - 14-16с.
. Учебник
тренера по легкой атлетике. Под редакцией Л.С. Хоменкова. - Издание 2-е,
переработан и дополнен - М.: Физкультура и спорт, 2002 г. - 479с.
. Филин В.П.
Исследование в спорте. - М.: Физкультура и спорт, 2008 г. - 432с.
. Ходыкин
А.В. Преодолевая земное притяжение. О выдающихся прыгунах в высоту, чемпионах
олимпийских игр и рекордсменах мира. - М.: 1896-2012гг. - 195с.
. Черепанов
В.С. Экспертные оценки в педагогических исследованиях. - М., 1989 г. - 79с.
. Чинко В.Е.
Исследование зависимости высоты вылета от характера отталкивания в прыжке в
высоту. Совершенствование техники и методики тренировки легкоатлетов. - СПб:
Питер, 2007 г. - 68-74с.
. Школа
легкой атлетики. Обучение технике видов легкой атлетики. Под общей редакцией
доцента А.В. Коробова. - Издание 2-е, - М.: Физкультура и спорт, 2008 г. -
336с.
. Шур М.М.
Прыжок в высоту. - М.: 2003г. - 99с.
37. Frank W. Dick. HIGH
JUMP. British amateur athletic board. - London, 173c.
ПРИЛОЖЕНИЯ
Приложение 1
Протокол результатов ОФП контрольной и
экспериментальной групп на начало эксперимента
|
Ф.И.О.
|
Прыжок
в длину с места, см
|
Измерение
прыжка в высоту, касаясь стены, см
|
Выпрыгивание
вверх из приседа на двух ногах с отягощением 5 кг, кол-во раз/30с
|
Прыжки
вверх, отталкиваясь одной ногой, доставая подвешенный предмет
|
|
Экспериментальная
группа
|
|
Дарья
В.
|
170
|
225
|
9
|
7
|
|
Юлия
П.
|
175
|
230
|
9
|
6
|
|
Вероника
Г.
|
173
|
235
|
8
|
7
|
169
|
220
|
7
|
4
|
|
Дарья
П.
|
165
|
225
|
8
|
3
|
|
хср
|
170,4
|
227
|
8,2
|
5,4
|
|
Контрольная
группа
|
|
Вероника
К.
|
175
|
230
|
10
|
8
|
|
Екатерина
И.
|
180
|
225
|
9
|
6
|
|
Елизавета
Б.
|
173
|
225
|
9
|
7
|
|
Виктория
М.
|
166
|
228
|
8
|
4
|
|
Элианна
Ш.
|
169
|
225
|
10
|
3
|
|
хср
|
172,6
|
226,2
|
9,2
|
5,6
|
Приложение 2
Протокол результатов СФП контрольной и
экспериментальной групп на начало эксперимента
|
Ф.И.О.
|
Прыжок
в высоту способом «перешагивание»
|
Прыжок
в высоту способом «Фосбери-флоп»
|
|
Экспериментальная
группа
|
|
Дарья
В.
|
105
|
122
|
|
Юлия
П.
|
105
|
115
|
|
Вероника
Г.
|
105
|
118
|
|
Юлия
К.
|
90
|
110
|
|
Дарья
П.
|
90
|
118
|
|
хср
|
99
|
116,6
|
|
Контрольная
группа
|
|
Вероника
К.
|
110
|
114
|
|
Екатерина
И.
|
100
|
106
|
|
Елизавета
Б.
|
105
|
106
|
|
Виктория
М.
|
90
|
100
|
|
Элианна
Ш.
|
90
|
100
|
|
хср
|
99
|
105,2
|
Приложение 3
Протокол результатов ОФП контрольной и
экспериментальной групп на конец эксперимента
|
Ф.И.О.
|
Прыжок
в длину с места, см
|
Измерение
прыжка в высоту, касаясь стены, см
|
Выпрыгивание
вверх из приседа на двух ногах с отягощением 5 кг, кол-во раз/30с
|
Прыжки
вверх, отталкиваясь одной ногой, доставая подвешенный предмет
|
|
Экспериментальная
группа
|
|
Дарья
В.
|
175
|
240
|
12
|
10
|
|
Юлия
П.
|
180
|
240
|
13
|
7
|
|
Вероника
Г.
|
175
|
240
|
11
|
8
|
|
Юлия
К.
|
175
|
230
|
10
|
6
|
|
Дарья
П.
|
170
|
235
|
12
|
5
|
|
хср
|
175
|
237
|
11,6
|
7,2
|
|
Контрольная
группа
|
|
Вероника
К.
|
176
|
237
|
11
|
10
|
|
Екатерина
И.
|
182
|
230
|
10
|
8
|
|
Елизавета
Б.
|
176
|
230
|
10
|
8
|
|
Виктория
М.
|
170
|
232
|
10
|
6
|
|
Элианна
Ш.
|
172
|
230
|
10
|
5
|
|
хср
|
175,2
|
231,8
|
10,2
|
7,4
|
Приложение 4
Протокол результатов СФП контрольной и
экспериментальной групп на конец эксперимента
|
Ф.И.О.
|
Прыжок
в высоту способом «перешагивание»
|
Прыжок
в высоту способом «Фосбери-флоп»
|
|
Экспериментальная
группа
|
|
Дарья
В.
|
110
|
122
|
|
Юлия
П.
|
110
|
115
|
|
Вероника
Г.
|
110
|
118
|
|
Юлия
К.
|
100
|
110
|
|
Дарья
П.
|
105
|
118
|
|
хср
|
107
|
116,6
|
|
Контрольная
группа
|
|
Вероника
К.
|
113
|
114
|
|
Екатерина
И.
|
105
|
106
|
|
Елизавета
Б.
|
105
|
106
|
|
Виктория
М.
|
95
|
100
|
|
Элианна
Ш.
|
90
|
100
|
|
хср
|
101,6
|
105,2
|
Приложение 5
Протокол результатов антропометрического
исследования контрольной и экспериментальной групп
|
Ф.И.
|
Рост,
см
|
Вес,
кг
|
Длина
правой ноги, см
|
Длина
левой ноги, см
|
Длина
стопы, см
|
Ширина
плеч, см
|
Длина
правой руки, см
|
Длина
левой руки, см
|
|
Экспериментальная
группа
|
|
Дарья
В.
|
162
|
40
|
97,5
|
96,5
|
24
|
34
|
26,5
|
27
|
|
Юлия
П.
|
165
|
44
|
97
|
97
|
23
|
35
|
25
|
25
|
|
Вероника
Г.
|
162
|
42
|
95
|
95
|
23
|
35
|
25
|
25
|
|
Юлия
К.
|
162
|
43
|
95
|
94
|
24
|
34
|
27
|
26,5
|
|
Дарья
П.
|
161
|
42
|
97
|
97
|
23,5
|
36
|
26
|
26,5
|
|
хср
|
162,4
|
42,2
|
96,3
|
95,9
|
23,5
|
34,8
|
25,8
|
26
|
|
Контрольная
группа
|
|
Вероника
К.
|
165
|
46
|
97
|
96
|
23,5
|
36
|
27
|
27
|
|
Екатерина
И.
|
162
|
45
|
97
|
97
|
23,5
|
35
|
24,5
|
24,5
|
|
Елизавета
Б.
|
161
|
38
|
88
|
87
|
23
|
34
|
27
|
27
|
|
Виктория
М.
|
163
|
42
|
96
|
96
|
23
|
33
|
26
|
27
|
|
Элианна
Ш.
|
162
|
45
|
96
|
96
|
23
|
35
|
27
|
27
|
|
хср
|
162,5
|
43,6
|
94,8
|
94,4
|
23,2
|
34,6
|
26,5
|
26,5
|