Анализ состояния и разработка предложений по выработке организационно-экономического механизма совершенствования управления малым бизнесом

  • Вид работы:
    Дипломная (ВКР)
  • Предмет:
    Менеджмент
  • Язык:
    Русский
    ,
    Формат файла:
    MS Word
    317,17 Кб
  • Опубликовано:
    2015-10-13
Вы можете узнать стоимость помощи в написании студенческой работы.
Помощь в написании работы, которую точно примут!

Анализ состояния и разработка предложений по выработке организационно-экономического механизма совершенствования управления малым бизнесом

ВВЕДЕНИЕ

Актуальность темы работы. Повышение экономической эффективности и уровня жизни населения на современном этапе экономического развития России невозможно без широкого внедрения всех форм хозяйствования на базе различных форм собственности. Наибольший эффект в экономике дают формы хозяйствования, основанные на частной инициативе, особенно, малый и средний бизнес. Совершенствование форм управления малым бизнесом, организационно-экономический механизм повышения эффективности их деятельности является важной актуальной проблемой.

Малый бизнес - существенная структурная часть цивилизованного рыночного хозяйства. В условиях рыночной экономики эффективность развития общества в значительной мере обуславливается уровнем развития малой экономики. Она по самой своей природе является мощным рычагом для решения целого комплекса экономических, социальных и политических проблем: от насыщения рынка разнообразными товарами и услугами до снижения остроты безработицы, обеспечивая занятость населения путем создания новых предприятий и рабочих мест; создания новой прогрессивной структуры экономики и здоровой конкурентной среды.

В малом бизнесе сосредоточен наиболее многочисленный слой мелких частных собственников, которые являются опорой любого государства. На долю малого предпринимательства в развитых странах приходится около 60-70% всей занятой в экономике рабочей силы. Оно играет важную роль в поддержании занятости, когда как в крупных компаниях и заводах в условиях кризисов постоянно происходит так называемая «рационализация производства», когда из соображения экономии в них сокращаются и увольняются тысячи рабочих и специалистов, малое предпринимательство привлекает высвобождающиеся трудовые ресурсы.

Хотя уровень экономического развития любого государства определяется крупной промышленностью, большими компаниями и фирмами, значение малого бизнеса в деловой жизни страны трудно переоценить. Малые предприятия имеют ряд преимуществ по сравнению с крупной промышленностью. В управлении - простота коммуникаций, отсутствие жестких иерархических структур, возможность быстрой корректировки целей и перераспределения сфер ответственности. Они принимают на себя определенный риск и сосредотачивают усилия на разработке новых или модернизации существующих продуктов.

Свобода действий, гибкость, динамичность и оперативность в решениях, приспособление к местному мелкомасштабному, нерегулярному, специфическому и персональному спросу, дух предпринимательства, возможность практической реализации своей идеи, более низкие управленческие и эксплуатационные расходы, более высокая оборачиваемость капитала, общественная симпатия и государственная поддержка - вот те практически значимые обстоятельства, которые в последние десятилетия обеспечивают конкурентоспособность и живучесть малого бизнеса, его бурное развитие за рубежом. По данным ООН в большинстве развитых стран в малом и среднем бизнесе работают около 80% всего населения, объем производства этого сектора составляет свыше 60% национального продукта и около 50% ВВП.

Важное место в решении проблем малого бизнеса принадлежит государству. Малое предпринимательство, как любое молодое существо, или явление, нуждается в государственной поддержке, что представляет собой создание правовых, экономических условий для возникновения, развития и совершенствования. Необходим комплекс мер, чтобы МП приносило прибыль, обеспечивало занятость населения, уменьшение риска, страхование бизнеса и предпринимательства.

Важное значение для развития МП имеет налоговая политика государства. Она должна быть нацелена на всемерную поддержку МП в целях расширения объемов её деятельности и стимулировать новые эффективные формы хозяйствования на базе различных форм собственности. Известно, что налоговая политика сложная и негибкая. Налоговые изъятия очень высокие. Фискальная направленность налоговой системы тяжелым бременем ложится на малый бизнес. Такая система «душит» в зародыше начинающих послушных мелких предпринимателей. Кроме огромного чиновничьего аппарата на них «налегли» многочисленные контролеры, требующие выполнения своих интересов независимо от результатов хозяйственной деятельности субъектов малого предпринимательства.

Нерешённость данной проблемы приводит к тому, что большинство предпринимателей уходят от официальной деятельности в «теневой» бизнес. В настоящее время «теневая экономика» достигла масштабов, угрожающих экономической безопасности страны. По данным "Федеральная служба государственной статистики" <#"881558.files/image001.jpg">

Рисунок 1 - Анализ сегмента малых предприятий

Выделим факторы, препятствующие развитию малого бизнеса в России.

Во-первых, направленность государственной поддержки преимущественно на крупный бизнес. Развитие сетевой торговли с регистрацией в офшорных зонах, собственниками которых являются государственные служащие. Законодательная дискриминация мелкой розницы в пользу крупных розничных сетей подтверждает указанный фактор.

В городах растет количество крупных сетевых магазинов, малый бизнес поставлен в условия жесткой конкуренции.

Во-вторых, коррупция на всех уровнях. Системная коррупция угрожает национальной безопасности России. Бегство капиталов (в 2012 г. более 38 млрд. долл.), отсутствие инвестиций, в первую очередь в несырьевой сектор. Борьба с коррупцией - одна из основных задач правительства на ближайшие годы, на что указал В.В. Путин: «Есть исторический соблазн победить коррупцию путем репрессий - борьба с коррупцией, безусловно, предполагает применение репрессивных мер. Тем не менее, проблема здесь принципиально глубже». Чтобы решить проблему взяточничества, необходимо сделать борьбу с этим явлением общенациональным делом.

В-третьих, эмиграция. Каждый год Россию покидают от 100 тыс. до 150 тыс. чел. С 2001 по 2013 г. Россию покинуло около 30 тыс. финансистов, предпринимателей и бизнесменов. Многие из них объясняют свой отъезд невозможностью легально вести дела, а сотрудничать с коррумпированными чиновниками или рисковать своей свободой многие не хотят. Бизнесмены также говорят об ухудшении экономической ситуации - экономический рост в России в последнее время снизился с 8 до 3% в год.

В-четвертых, высокие процентные ставки на финансирование бизнеса, трудности с получением банковских кредитов, отсутствие лояльных программ start-up для предпринимателей, только начинающих свою деятельность, недостаточность начального капитала и собственных оборотных средств.

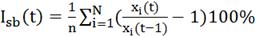
Для сравнения степени развития малого бизнеса за 15 лет в России (в частности, докризисного, кризисного и посткризисного этапов) использовалась методика на основе расчета индекса развития малого предпринимательства . Расчет его производится для «методической поддержки обеспечения принятия управленческих решений в малом бизнесе, в том числе в отдельных его секторах».

Результаты расчета индекса развития малого предпринимательства в России приведены в таблице 1.

Индекс развития малого предпринимательства рассчитывается по формуле:

 (1)

где N-количество показателей в группе;

 -номер показателя в группе;

 -значение показателя в момент времени t.

Представленные значения индекса позволяют выделить в развитии малого бизнеса России несколько этапов:

активация(2003-2004гг.);

спад(2006г.);

активация(2007-2009гг.);

пик(2009г.);

кризис(2010г.);

активация(2011г.);

спад(2012-2013гг.).

Таблица 1

Показатели развития малого бизнеса в России 2002-2013гг.

Показатель

2002

2003

2004

2005

2006

2007

2008

2009

2010

2011

2012

2013

Число малых предприятий, тыс.

843

882

893

953

979

1033

1137

1348

1602

1266

1644

1836

Инвестиции в основной капитал, млн. руб.

44

51

67

99

121

171

259

472

346

775

432

139

Среднесписочная численность работников, тыс. чел.

6484

7220

7459

7815

8045

8583

9239

10437

10248

13732

10422

6312

Оборот малых предприятий, млн. руб.

853

1161

1686

2230

9613

12099

15469

18728

16873

26350

22613

16800

Индекс развития малого предпринимательства

-

8

9

15

7

14

17

28

-2

34

-10

-24


Если говорить о прогнозе, наблюдается общая тенденция спада развития малого предпринимательства. Значительное падение индекса наблюдается в 2008-2009 гг. (посткризисный период).

На этапе выхода экономики из кризиса наибольшее влияние на положительную динамику индекса развития малого предпринимательства оказал оборот малых предприятий. Это говорит о том, что малые предприятия оказывают положительное влияние на экономический рост.

Прогнозирование экономической ситуации, как на уровне отдельного предприятия, так и в целом на региональном и национальном уровне является важнейшей задачей в системе управления. Прогноз развития национальной экономики, ежегодно публикуемый Минэкономразвития России, является не только базовым документом, отражающим перспективы развития российской экономики, но и документом, позволяющим внешним пользователям определить основные тренды в социально-экономической политике государства.

В сентябре 2012 года был опубликован Минэкономразвитием РФ Прогноз социально-экономического развития страны на 2013 год и планируемый период 2014-2015 гг.

В документе отражены мероприятия по развитию отечественной экономики. В сфере малого предпринимательства можно отметить следующие:

-  содействие развитию лизинга оборудования малых организаций (гранты на уплату первого взноса, лизинг оборудования, поддержка мобильных платформ);

-       поддержка малых компаний в сфере инноваций (субсидии инновационным компаниям, инновационные гранты, программы обучения, поддержка компаний, выходящим на биржу);

-       создание частной инфраструктуры поддержки предпринимательства: гарантийные фонды, микрофинансовые центры, фонды прямых инвестиций;

-       грантовая поддержка начинающих предпринимателей в увеличенном объеме (уволенные в запас, безработные, поддержка социального предпринимательства);

-       создание различных структур: промышленных парков, бизнес-инкубаторов, центров коллективного доступа к оборудованию, центров предпринимательства, технопарков, центров прототипирования, центров кластерного развития, центров дизайна.

-       поддержка экспорта товаров, производимых малыми компаниями (гранты начинающим экспортерам, создание центров поддержки экспорта).

В целом все перечисленные механизмы поддержки малых и средних предприятий давно известны и повторяются. Многие показали свою эффективность. Например, бизнес-инкубаторы оказывают значительную поддержку малого предпринимательства на начальных стадиях, для получения этой поддержки достаточно иметь бизнес идеи, воплощенные в бизнес-плане.

Минэкономразвития планирует в 2012-2015 гг. реализовать ряд мероприятий для совершенствования законодательных норм в сфере малого и среднего предпринимательства, а именно: доступность аренды государственного имущества, продажа государственных помещений, упрощенный и дешевый доступ к коммунальной инфраструктуре, упрощение требований по ведению бухгалтерского учета, уменьшение административных барьеров, доступность банковского кредитования, совершенствование трудового законодательства.

1.3    Современные тенденции развития малого бизнеса в стране

Перед российской экономикой в настоящее время стоит задача восстановления крупных эффективных предприятий, определяющих уровень научно-технического прогресса и способствующих развитию малого бизнеса в сфере высоких технологий. Именно от развития этого процесса зависят темпы роста экономики России. Не менее важную роль в проблемах становления малого бизнеса играет и макроэкономическая политика государства, особенно политика заимствования.

Еще одной особенностью малого бизнеса является его ориентация на внутренний рынок. На нем малыми предприятиями совершается 72% от общего объема закупок и сбывается более 80% произведенных товаров и услуг. Таким образом, малый бизнес, который в основном концентрируется в строительстве и сфере услуг, производит большую часть не экспортируемых товаров в экономике страны.

Спрос и предложение на данную группу товаров па внутреннем рынке должны быть равны (заметим, что по экспортируемым товарам неравновесие на внутреннем рынке компенсируется экспортом или импортом); внутренние цены могут отличаться от мировых, не приводя к изменению мирового спроса.

Длительное внешнее заимствование положительно влияет на объем внутреннего потребления, но, в силу отрицательного торгового баланса, сокращает объем производства в секторе экспортируемых товаров и увеличивает его в секторе не экспортируемых товаров (в России доля сферы услуг с 2002 по 2013 гг. увеличилась более чем в 2 раза).

Переход к положительному торговому балансу сокращает внутреннее потребление, в основном за счет снижения доли сферы услуг происходит перелив капиталов и рабочей силы в сектор экспортируемых товаров с последующим сокращением числа предприятий (в основном малого бизнеса), изменением их отраслевой структуры в секторе не экспортируемых товаров. Часто это приводит к сокращению среднего класса в стране в переходный период.

Изменилась и отраслевая структура малого бизнеса - сократилась доля малых предприятий в строительстве, науке и научном обслуживании, в коммерческой деятельности по обеспечению функционирования рынка, но увеличилась доля предприятий торговли и общественного питания (см. рис. 2).

То есть переход от заимствования к обслуживанию долга ведет к соответствующим изменениям в структуре внутреннего производства. Для того чтобы этот процесс проходил менее болезненно, необходимо заранее принять пакет мер по структурной перестройке экономики. Такой пакет должен включать реформы государственного сектора, принятие современного законодательства и осуществление контроля за его выполнением, либерализацию условии внешней торговли, изменение структуры экспорта в сторону увеличения продукции обрабатывающей промышленности, жесткую макроэкономическую политику.

В промышленных организациях основными факторами, ограничивающими рост производства, являются, недостаточный спрос на внутреннем рынке и высокая конкуренция со стороны отечественных предприятий, а в торговых организациях, к факторам, препятствующим нормальной работе относят высокий уровень налогов и недостаточный платежеспособный спрос.

По данным Росстата на конец 2014 года в г. Москва осуществляли свою деятельность, т.е. были экономически активными, 24319 малых предприятий (всего зарегистрировано малых предприятий - 45948). По сравнению с началом года число экономически активных малых предприятий увеличилось на 32,8%. Наибольшее их количество традиционно функционирует в торговле и общественном питании - 37,2% от общего числа. По сравнению с началом года их количество увеличилось на 27,1%. Увеличение числа экономически активных малых предприятий отмечалось практически во всех отраслях экономики, за исключением науки и научного обслуживания, где их количество сократил ось на 5,9%.

Численность всех работающих на малых предприятиях (без совместителей) в январе-декабре 2014 года составила 133,4 тысячи человек, или 10.5% среднесписочной численности работников всех предприятий республики. При этом наибольшее количество работает в строительстве и торговле - соответственно, 37,9 и 35,6 тысячи человек, что составляет в строительстве - 42,4% среднесписочной численности всех предприятий строительства, в торговле - 58,1%.

Рисунок 2 - Распределение числа малых предприятий по отраслям экономики (на конец года; в процентах)

Сформировалась устойчивая тенденция увеличения численности работающих на малых предприятиях. По сравнению с началом 2014 года она возросла на 43,6 тысячи человек, или на 48,6%.

Всеми малыми предприятиями за январь-декабрь 2014 года было выпущено товаров и услуг по всем видам деятельности (без НДС и акцизов) на сумму 41,9 млрд. рублей, что в действующих ценах превышает уровень соответствующего периода 2013 года на 60%. Наибольший вклад в этот объем вносят малые строительные предприятия (34,4%). Ими выпущено продукции на сумму 14,4 млрд. рублей (29,7% работ, выполненных собственными силами всех предприятий республики по договорам строительного подряда). Крупные объемы работ производятся малыми промышленными предприятиями. Доля их также возросла с 20,6% до 21,4%. За 2014 год ими произведено работ на 9,0 млрд. рублей 2,4 (% от объемов производства всех промышленных предприятий). Около 17% в общем, объеме выпуска составила доля малых предприятий, осуществляющих деятельность в сфере торговли и общественного питания. Ими реализовано товаров на сумму 7,0 млрд. рублей, что составляет 13,4% от оборота розничной торговли и общественного питания всех торговых предприятий республики.

По оценке, осуществленной в ходе обследования, в структуре, добавленной стоимости малых предприятий Москвы, промежуточное потребление на 7-8% ниже, чем на крупных и средних предприятиях. Доля оплаты труда более чем на 10% выше, чем доля оплаты труда в добавленной стоимости крупных и средних предприятий.

Для проведения сравнительного анализа показателей деятельности малых предприятий важны также относительные данные. Так, по показателю производительности труда (выпуск товаров и услуг в расчете на одного работающего) за январь-декабрь 2014 г. среди субъектов малого предпринимательства с большим отрывом лидировали организации науки и научного обслуживания - 430,1 тыс. рублей, при том, что средняя производительность по всем малым предприятиям составила за тот же период 314,0 тыс. рублей (за январь-декабрь 2013 года - 291,6 тыс. рублей). Более 380,0 тыс. рублей приходилось на одного работающего, на предприятиях промышленности, 380,6 тыс. рублей - строительства, 270,9 тыс. рублей - в организациях здравоохранения, 196,9 тыс. рублей - в торговле и общественном питании, 194,4 тыс. рублей - в общей коммерческой деятельности, 162,4 тыс. рублей - на транспорте. Наименьшее значение производительности в сельском хозяйстве - 120,6 тыс. рублей на одного работающего, или чуть более трети от среднего значения по всем малым предприятиям.

Выделим основные особенности малого бизнеса в России на современном этапе:

-  Отдельные механизмы, доставшиеся в наследство от советских времен и продолжающие действовать на сегодняшний день, вступают в противоречие с новыми, рыночными, которые еще недостаточно хорошо успели развиться. Например, механизм свободной конкуренции в России практически не функционирует.

-       Отсутствуют четкие и адекватные хозяйственные правила, реальная имущественная ответственность собственников. При этом достаточно часто нарушаются законы, а судебная система не в состоянии защитить собственника в силу своей слабости.

-       Развитие малого бизнеса в финансовом секторе, в торгово-посреднических сферах, где возможен быстрый оборот капитала и нет необходимости в крупных капиталовложениях, в ущерб производственному сектору.

-       Недостаточно высокий уровень образования и культуры управленческого персонала.

-       Пассивное включение и участие бизнесменов в союзах, ассоциациях, обществах взаимного кредитования и других формах самоорганизации бизнеса.

-       Вынужденная диверсификация ܰдеятельности - наряду с производственной деятельностью занимаются торговлей для того, чтобы оставаться на плаву и не обанкротиться.

-       Низкая инновационная активность.

-       Низкая обеспеченность малого бизнеса собственными финансовыми ресурсами.

-       Недостаточно широко используются эффективные формы интеграции малого и крупного бизнеса, такие как лизинг и франчайзинг.

Проблемы, с которыми приходится сталкиваться малому бизнесу:

-  Состояние ресурсных рынков.

-       Малые предприятия сталкиваются с проблемой отсутствия широкой информации о наличии ресурсов, порядке и условиях доступа к ним, это ограничивает конкуренцию и создает благоприятные условия для «теневых» структур. Примером неравного доступа к ресурсам может служить проведение открытых инвестиционных торгов, где имеет место льготное предоставление объектов недвижимости отдельным структурам, находящимся в тесном контакте с органами власти. С множеством проблем сталкиваются представители малого российского бизнеса и на финансовом рынке, который характеризуется высокой ценой крупных ресурсов, краткосрочностью кредитов, концентрацией капиталов в крупных городах.

-       Характер взаимоотношений важнейших рыночных институтов с агентами малого бизнеса. Государство не осуществляет необходимые протекционистские меры по защите малого бизнеса от иностранных конкурентов и отечественных монополистов. Существуют административные барьеры, связанные со сложностью и высокой стоимостью регистрации малого бизнеса и несовершенством системы лицензирования. За деятельностью малого бизнеса следят несколько десятков органов, выполняющих контрольно - ревизионистские функции. Например, в РФ действуют 55 контролирующих организаций. Главное управление внутренних дел, департамент государственного и муниципального имущества, департамент потребительского рынка и услуг и т.д., в РТ - 28 организаций различного уровня. Такое их наличие вводит бизнесменов в состояние постоянного стресса в связи с нескончаемыми проверками, критикой, штрафами.

-  Нестабильность законодательной базы, регулирующей функционирование малого бизнеса.

-  Наблюдается процесс постоянного изменения правил деятельности предприятий, особенно, это, касается внешнеэкономических связей и налогообложения. Также здесь встает проблема произвола и некомпетентности чиновников, «чиновничьего рэкета».

-       Бухгалтерская отчетность и налогообложение малого бизнеса.

-       Хозяину малого предприятия трудно вести бухгалтерию в том же объеме, что и крупной компании со штатом бухгалтеров. В то же время необходимо заполнять огромное количество отчетности, которая сдается в разное время и в разные организации. Также здесь встает вопрос с проблемами, возникающими при определении размера единого вмененного налога, связанными с трудностями оценки доходности и с самой процедурой подачи налоговых деклараций.

Малые предприятия играют важную роль во всем мире. В последние несколько лет в странах Западной Европы, в США и Японии большое значение приобрел малый бизнес, где он представлен совокупностью многочисленных малых и средних предприятий. Основная масса их - это микропредприятия с численностью работающих не более 20 человек. Малые предприятия эффективны не только в потребительской сфере, но и как производители отдельных узлов и малых механизмов, полуфабрикатов и других элементов, необходимых для производства конечной продукции, выпуск которых невыгоден крупным предприятиям. Все это обосновывает необходимость комплексного подхода к определению места и роли малых предприятий в экономике общества. В малом предпринимательстве кроются большие резервы, которые можно поставить и на службу в России.

Однако основное направление деятельности малого бизнеса - сфера услуг, устойчивому экономическому росту в разных странах присущи некоторые общие черты, главная из которых - резкое увеличение доли сферы услуг при сокращении доли сельского хозяйства и достаточно стабильной доли промышленности в ВВП и связанный с этим рост доли малого бизнеса в ВВП.

Таблица 2

Взаимосвязь среднедушевых доходов, доли сферы услуг и предприятий малого и среднего бизнеса в ВВП

Страна

Среднедушевой ВВП, дол.

Доля сферы услуг в ВВП, %

Доля малого бизнеса в ВВП, %

США

27840

73,7

51

Великобритания

19533

62,6

58

Германия

21330

63,4

64

Россия

6724

53,0

9,5

Вывод к главе 1

Такое изменение структуры производства обусловлено реакцией спроса на рост среднедушевого дохода. Известный закон Эйнгеля гласит, что с ростом доходов спрос на товары первой необходимости (в основном продукты питания) падает, на товары второй необходимости (большая часть промышленных товаров) - растет так же, как и доходы, а спрос на предметы роскоши, большую часть которых составляют товары сферы услуг, неограниченно растет.

К началу 2014 г. доля сферы услуг (транспорт, связь, оптовая и розничная торговля, кредитно-финансовые учреждения, страховой бизнес, бытовые, деловые и социально-культурные услуги) в ведущих странах мира достигла 6274% в ВВП, на эти сферы приходится 63-75% общей численности занятых и более 50% общего объема капитальных вложений. Росту доли услуг способствовали современная научно-техническая революция, в результате которой получили быстрое развитие новейшие средства коммуникации, а также приватизация и дерегулирование таких отраслей, как транспорт, телекоммуникации, финансовые услуги и страхование.

Опыт многих стран показывает, что малый бизнес органично вписывается в структуру развитой рыночной экономики, служит необходимым условием ее существовании и развития.

Глава 2. Анализ и оценка системы управления ООО «DenStroy»

.1 Общая характеристика ООО «DenStroy»

Объектом исследования данной выпускной квалификационной работы является строительная организация ООО «Гарант-Поволжье». Организация зарегистрирована в г. Москва ул. Пяловская, д.5а 17 октября 2007 года.

«Гарант-Поволжье» - общество с ограниченной ответственностью. Организация образована в соответствии с Федеральным законом «Об обществах с ограниченной ответственностью» (Об ООО) от 08.02.1998 №14-ФЗ (ред. от 05.05.2014).

Учредителем ООО «Гарант-Поволжье» является физическое лицо - гражданин Российской Федерации. ООО «Гарант-Поволжье» имеет расчётный счёт по основной деятельности, круглую печать, эмблему со своим наименованием, другие штампы и печати. ООО «Гарант-Поволжье» является юридическим лицом, такой статус организация приобрела с момента её государственной регистрации. Правовое положение определяется Гражданским кодексом РФ, Уставом организации, учредительным договором, другими нормативными документами. ООО «Гарант-Поволжье» имеет в собственности обособленное имущество и отвечает по своим обязательствам этим имуществом, имеет самостоятельный баланс, может от своего имени приобретать и осуществлять имущественные и личные неимущественные права, быть истцом и ответчиком в суде.

Основным документом, регулирующим деятельность данного предприятия, является Устав. Устав вступил в силу с момента подписания его учредителями и государственной регистрации. С момента регистрации общества с ограниченной ответственностью в качестве юридического лица, соблюдение положений Устава обязательно для общества в его взаимоотношениях с партнерами.

Высшим органом управления общества с ограниченной ответственностью является общее собрание его учредителей, к исключительной компетенции которого относятся:

-  изменение устава общества, в том числе изменение размера его уставного капитала;

-  назначение исполнительного директора и ревизионной комиссии (ревизора) общества и досрочное прекращение их полномочий;

-       образование исполнительных органов общества и досрочное прекращение их полномочий;

-       утверждение годовых отчетов, бухгалтерских балансов, счетов прибылей и убытков общества и распределение его прибылей и убытков;

-       решение о реорганизации или ликвидации общества и прочее.

По масштабу деятельности в соответствии Федеральный закон от 24.07.2007 №209-ФЗ (ред. от 28.12.2013) «О развитии малого и среднего предпринимательства в Российской Федерации» и в соответствии с вышеназванным Постановление Правительства РФ, ООО «DenStroy» относится к малым предприятиям. Малое предприятие как хозяйствующий субъект обладает самостоятельностью в осуществлении своей хозяйственной деятельности, распоряжении выпускаемой продукции, прибылью, оставшейся после уплаты налогов и других обязательных платежей, как и любое другое предприятие, действует на основании устава, где определены организационно-правовая форма предприятия, его наименование, местонахождение, предмет и цели деятельности.

Цели строительной организации ООО «DenStroy»:

-  Увеличение рыночной доли;

-       Сохранение и поддержание на необходимом уровне всех видов финансовых ресурсов;

-       Привлечение ценных ресурсов: квалифицированных сотрудников, капитала, современного оборудования;

-       Обеспечение условий, необходимых для развития творческого потенциала работников и повышения уровня удовлетворенности и заинтересованности в работе;

-       Повышение эффективности деятельности;

-       Получение стабильной прибыли.

ООО «DenStroy» оказывает услуги по строительству частных домов и коттеджей любого типа в г. Москва и области. Кроме частных построек имеет большой опыт работы по ремонту и отделке помещений. Ремонт начинается с разработки проектно-сметной документации, исходя из средств, которые заказчик готов вложить в ремонт и обустройство помещения. Специалисты компании ООО «DenStroy» оценивают расходы на ремонт, занимаются поиском комплектующих, оптимально совмещая возможности и затраты заказчиков.

ООО «DenStroy» имеет государственные лицензии на осуществление следующих видов деятельности:

-  осуществление строительных, монтажных, ремонтных и отделочных работ;

-       выполнение общестроительных, специализированных строительных, ремонтных работ и реконструкция всех видов строительных и инженерных объектов, а также индивидуальных (частных) строений, с использованием как стандартной, так и самостоятельно разработанной документации;

-       осуществление архитектурной деятельности и другие виды деятельности, предусмотренные Уставом ООО «DenStroy».

ООО «DenStroy» осуществляет свою деятельность в соответствии с Федеральным законом РФ от 30 декабря 2009 г. №384-ФЗ «Технический регламент о безопасности зданий и сооружений».

Проведем анализ основных экономических показателей деятельности ООО «DenStroy» за 2013-2014 гг. В ООО «DenStroy» бухгалтерский учёт ведётся на основании Гражданского кодекса РФ, Налогового кодекса РФ, ФЗ от 24.06.2007 №129-ФЗ (ред. от 28.12.2013) «О бухгалтерском учете», пр. Постановления Правительства РФ, Приказы Минфина РФ и методические рекомендации по ведению бухгалтерского учёта.

Таблица 3

Динамика основных финансовых показателей деятельности ООО «DenStroy», в тыс. руб.

Показатели

На 31.12.2013

На 31.12.2014

Абс. отклон

Относ. отклон %

Выручка от продажи

117086,0

131268,1

14182,1

10,8

Себестоимость работ

58113,2

65320,0

7206,8

11,03

Валовая прибыль

34523,0

40320,0

5797,0

14,4

Коммерческие и управленческие расходы

61,3

64,0

2,7

4,2

Прибыль (убыток) от продаж,

9519,2

11671,6

2152,4

18,4

Прибыль (убыток) до налогообложения

8598,2

10840,6

2242,4

20,6

Чистая прибыль (убыток) отчетного года

8398,2

10619,6

2221,4

20,9

Рентабельность продаж, %

0,07

0,08

0,01

12,5


Как видно из таблицы 1, выручка в 2014 году по отношению к 2013 году увеличилась на 14182,1 тыс. рублей, темп роста 10,8 %. Себестоимость увеличилась на 7206,8 тыс. рублей, темп изменения показателя составил 11,03 %. Валовая прибыль возросла на 5797,0 тыс. рублей, что составляет 14,4 % прироста. Чистая прибыль возросла на 2221,4 тыс. рублей или 20,9 %, что является неплохим показателем финансовой деятельности предприятия. Рентабельность продаж повысилась на 12,5%. В современных рыночных условиях эти показатели для строительной организации являются удовлетворительными. Проанализируем эффективность деятельности ООО «DenStroy» в 2014 году в сравнении с аналогичным периодом 2013 года. Проведем анализ полученных показателей рентабельности исследуемой организации.

Проанализируем эффективность деятельности ООО «DenStroy» в 2014 году в сравнении с аналогичным периодом 2013 года. Проведем анализ полученных показателей рентабельности исследуемой организации. Уставной капитал ООО «DenStroy» составляет 4 498 тыс. рублей (п.9 табл. 4).

Таблица 4

Анализ уровня и динамики рентабельности ООО «DenStroy» по данным бухгалтерской отчётности

№ п/п

Показатели

За отчётный период

За предыдущий аналогичный период

Отклонения





Изменение + / -

Темпы роста %



(2014 г.)

(2013 г.)



1

Прибыль до налогообложения, тыс. руб.

10840,6

8598,2

+2242,4

20,6

2

Чистая прибыль, руб.

10619,6

8398,2

+2221,4

20,9

3

Выручка от продаж, руб.

131268,1

117086,0

+14182,1

10,8

4

Полная себестоимость продаж, руб.

65320,0

58113,2

+7206,8

11,03

5

Рентабельность затрат по обычным видам деятельности

5.1

По прибыли до налогообложения, %

16,6

14,8

+1,8

10,8

5.2

По чистой прибыли, %

16,2

14,4

+1,8

11,1

6

Рентабельность продаж коммерческой организации

6.1

По прибыли до налогообложения, %

8,26

7,34

+0,92

11,1

6.2

По чистой прибыли, %

8,09

7,17

+1,02

12,6

7

Средняя стоимость активов (имущества), тыс. руб.

29 093

25 968

+3125

10,7

8

Рентабельность активов (имущества) коммерческой организации

8.1

По прибыли до налогообложения, %

37,2

33,1

-4,1

11,0

8.2

По чистой прибыли, %

36,5

32,3

-4,2

11,5

9

Уставной капитал, тыс. руб.

4 498

0


10

Рентабельность уставного капитала

10.1

По прибыли до налогообложения, %

41,5

52,3

+10,8

20,6

10.2

По чистой прибыли, %

42,3

53,5

+11,2

20,9


Рентабельность уставного капитала (п.п. 10.1, 10.2 табл. 4.) отражает эффективность использования капитала. Рентабельность уставного капитала ООО «DenStroy» выросла за рассматриваемый период времени, и по прибыли до налогообложения (+20,6%), и по чистой прибыли (+20,9%).

Рентабельность продаж ООО «DenStroy» (п.п. 6.1, 6.2 табл. 4.) отражает эффективность продаж строительных услуг. За два рассматриваемых года рентабельность продаж организации показывает небольшую динамику - увеличение на 11,0% по прибыли до налогообложения и 12,6% - по чистой прибыли. Рентабельность затрат по обычным видам деятельности - выполнение ремонтных и отделочных работ (п.п. 5.1, 5.2 табл. 4.), отражает эффективность затрат ООО «DenStroy». Эффективность затрат исследуемой организации также выросла - на 10-11%, что указывает на рост стоимости материалов, комплектующих и самих работ.

Средняя стоимость имущества организации с 2013 года выросла на 3 125 тыс. руб. (п.7 табл. 4). Рентабельность активов (имущества) (п.п. 8.1, 8.2. табл. 4.) отражает эффективность использования имущества организации. За рассматриваемый период рентабельность использования имущества ООО «DenStroy» повысилась на 11,5% в 2014 году. Это говорит о том, что производственно-техническое оснащение организации обладает более высокой мощностью, чем используется в действительности. У ООО «DenStroy» есть запас производственной мощности для развития своей деятельности, он не используется в силу отсутствия необходимого количества заказов и незадействованное в деятельности имущество продаётся. В целом же рассчитанные показатели отразили эффективность хозяйственной деятельности ООО «DenStroy».

Вывод по анализу финансового состояния исследуемой организации: отклонения экономических показателей 2013 и 2014 гг. не значительные, темпы роста всех показателей примерно одинаковые. Это свидетельствует о том, что ООО «DenStroy» развивается стабильно, имеет возможности к дальнейшему росту и для того чтобы поддерживать конкурентную позицию на рынке строительных услуг, необходимо использовать все имеющиеся ресурсы максимально. Необходимо развивать деятельность по привлечению новых клиентов и стремиться к тому, чтобы показатели продаж увеличивались, что положительно повлияет на общую прибыльность фирмы.

Проанализируем факторы внешней среды, влияющие на структуру ООО «DenStroy». Внешняя среда, в которой приходится работать организации, находится в непрерывном движении, подвержена изменениям. Меняются вкусы потребителей, рыночный курс рубля по отношению к другим валютам, вводятся новые законы и налоги, изменяются рыночные структуры, новые технологии революционизируют процессы производства, действуют еще и многие другие факторы. Способность организации реагировать и справляться с этими изменениями внешней среды является одной из наиболее важных составляющих ее успеха. Вместе с тем эта способность является условием осуществления запланированных стратегических изменений.

Внешняя среда организации - это силы, внешние по отношению к организации, которые воздействуют на её результативность (рисунок 3).

К функциональным областям внешней среды организации относятся:

-  Социальная среда - рост населения, развитие культуры и образования определяют характер потенциального рынка, изменение потребностей в количестве и качестве потребляемых благ (продуктов, жилья, комфорта), стиля жизни приводит к трансформации понятий занятости и отдыха, здорового образа жизни, комфорта жилья и, как следствие, является мотивацией к изменению производства благ и услуг. Социальная среда оказывает на ООО «DenStroy» влияние, в плане формирования потребительских предпочтений, от которых очень сильно зависит направленность и величина потребительского спроса, следовательно, и возможность фирмы реализовать свою продукцию и услуги.

-       Правовая среда - организации работают в юридических рамках, нормы права регулируют их поведение и способствуют разрешению конфликтов между ними и обществом в целом, поэтому совершенствуются законодательство, контрастное право, защита потребителя. Деятельность ООО «DenStroy» контролируется соответствующими государственными органами (налоговыми, технического и пожарного надзора).

Рисунок 3 - Внешняя среда организации

-  Государственная среда - государство в экономической сфере может играть три различные роли: невмешательство в процессы экономики (свободный рынок); радикальное вмешательство в экономику (социализм и коммунизм); прагматическое вмешательство в экономику, т.е. согласование политических воззрений, индивидуальной инициативы, прибыльной мотивации, рыночных сил (регулируемый рынок). Сегодня ключевым процессом политической компоненты является борьба за власть. Власть, с одной стороны, определяет то, как осуществляется доступ к деньгам, и, с другой стороны, то, как и в каком размере отчуждаются деньги у организаций на государственные нужды. Оба эти процесса являются источником возможностей и угроз для функционирования ООО «DenStroy». Внутренний рынок находится под влиянием политических событий и решений, аналогично этому политические факторы могут оказывать воздействие на операции в сфере международного бизнеса.

-       Технологическая среда - динамика спроса и предложения на рынке труда, ресурсов и финансов влияет на темпы инновационных процессов, силы конкуренции стимулируют развитие технологий. Отслеживание процесса развития технологий важно не только в связи с тем, что необходимо вовремя начать использование новых технологических достижений, но также и в связи с тем, что организация должна предвидеть и спрогнозировать момент отказа от используемой технологии. Очевидно, что ООО «DenStroy» имеющие дело непосредственно со строительными технологиями, должно быть в состоянии быстро реагировать на новые разработки и само предлагать нововведения. Однако сегодня, чтобы сохранить конкурентоспособность, почти все организации вынуждены идти в ногу, по крайней мере, с теми разработками, от которых зависит эффективность их деятельности.

-       Экономическая среда - производство продукции всегда находится в конкретной связи с экономической средой: уровнем занятости, платежным балансом, темпами экономического роста. Анализ экономической компоненты должен быть направлен на комплексную оценку её состояния. В первую очередь, это фиксация уровня риска, степень напряжённости конкуренции и уровень деловой привлекательности ООО «DenStroy». Для исследования потенциала ООО «DenStroy», необходимо провести анализ его внешней среды.

Основные угрозы внешней среды ООО «DenStroy» - появление новых конкурентов, вероятность снижения спроса на строительные услуги вследствие ухудшения общей экономической ситуации в стране или регионе. Для минимизации перечисленных угроз необходимо постоянно проводить маркетинговое исследование рынка, разрабатывать мероприятия по усилению конкурентных преимуществ. При снижении потока клиентов проводить рекламные мероприятия, информирование, внедрять систему скидок, проводить акций и т.д.

ООО «DenStroy» имеет возможности для успешного развития, основные из них - наличие квалифицированного персонала, четко отработанный процесс реализации и обслуживания клиентов, наличие устоявшихся связей с поставщиками. Предлагается реализовывать следующие мероприятия по максимальному использованию возможностей:

-  повышать квалификацию персонала;

-       удовлетворять растущие запросы потребителя за счёт использования новых технологий и современных строительных материалов;

-       использовать и развивать устоявшиеся связи с поставщиками, выполнять в срок договорные условия.

Эффективной в конкурентной борьбе будет и деятельность по повышению степени удовлетворённости потребителя за счёт: широкого ассортимента услуг и материалов; предоставления возможности рассрочки оплаты услуг, предоставление скидок, бонусов; сокращение сроков выполнения работ. Предлагаемые мероприятия будут требовать, в любом случае, дополнительные вложения, поэтому необходимо проводить поиск путей рационального сокращения издержек.

.2 Анализ структуры управления ООО «DenStroy»

Рассмотрим показатели по труду и заработной плате в ООО «DenStroy» (таблица 5). Как видим из таблицы 5, средняя заработная плата выросла на 6,6% что бесспорно является положительным фактом для компании. Но все же, рост заработной платы оказался не выше инфляции, следовательно, следует поднимать заработную плату и дальше. Текучесть персонала находится на низком уровне, но видим рост данного коэффициента за последний год, что возможно связанно с отсутствием четкой кадровой работы в организации. Организационная структура ООО «DenStroy» по своему типу - линейно-функциональная.

Таблица 5

Показатели по труду ООО «DenStroy» за 2013-2014 гг.

Показатели, ед.изм.

2013 г.

2014 г.

Динамика изменений




абсолют.

%

Среднесписочная численность, чел.:

41

42

1

2,4

Руководители

6

6

0

0

Специалисты

10

10

0

0

Рабочие

25

26

1

3,8

Уволились из компании

4

6

2

33,3

Коэф.текучести

9,7

14,2

4,5

31,7

Средняя заработная плата, руб.

14 000

15 000

1 000

6,6

Возглавляет ООО «DenStroy» генеральный директор. В общем виде структура управления ООО «DenStroy» состоит из высшего звена управления (генеральный директор), среднего уровня (коммерческий директор, главный инженер и главный бухгалтер) и низового уровня, включающего оперативно-хозяйственные подразделения.

Высший уровень управления определяет стратегическое направление развития организации, решает важные производственно-хозяйственные и технические задачи.

Средний уровень управления (коммерческий директор, главный инженер, главный бухгалтер) обеспечивает эффективность функционирования и развития предприятия путем координации всех его подразделений.

Низовой уровень (отделы, склад, вспомогательные работники) решает оперативные задачи по организации хозяйственной деятельности в рамках отдельных структурных подразделений, главная задача которых - выполнение производственной программы.

Рассмотрим распределение управленческих функций, в соответствии с имеющейся организационной структурой управления.

Высшим органом управления Общества является общее собрание его участников, так как ООО «DenStroy» имеет одного участника, решения по вопросам, относящимся к компетенции общего собрания участников Общества, принимаются единственным участником Общества единолично и оформляются письменно. К исключительной компетенции единственного участника Общества относятся:

-  определение основных направлений деятельности Общества;

-       изменение устава и размера уставного капитала Общества;

-       внесение изменений в учредительный договор;

-       назначение Генерального директора Общества, принятие решения о досрочном прекращении его полномочий;

-       увеличение уставного капитала за счёт имущества Общества и за счёт дополнительных вкладов его участников;

-       утверждение годовых отчётов и годовых бухгалтерских балансов;

-       принятие решения о реорганизации или ликвидации Общества;

-       принятия решения о создании филиалов, открытии представительств;

-       принятие решения о совершении крупных сделок;

-       утверждение внутренних документов Общества.

Единоличным исполнительным органом Общества является Генеральный директор. Генеральный директор (в ООО «DenStroy» не является участником Общества) назначается сроком на три года и может назначаться вновь неограниченное число раз. Условия деятельности Генерального директора, его права, обязанности, полномочия, оплата труда определяются договором, который заключается между ним и участником Общества. Генеральный директор принимает решения по вопросам деятельности ООО «DenStroy», не относящимся к исключительной компетенции участника Общества.

Генеральный директор ООО «DenStroy» вправе: без доверенности действовать от имени Общества, в т.ч. представлять его интересы; совершать сделки, за исключением сделок, определённых как крупные; выдавать доверенности на право представительства от имени Общества; издавать приказы о назначении на должности работников организации, их переводе и увольнении; применять к работникам меры поощрения, налагать на них взыскания.

Директор осуществляет планирование и руководство деятельностью ООО «DenStroy», координирует взаимодействия структурных подразделений, распределяет обязанности и определяет степень ответственности работников, ведет контроль за соблюдением стандартов качества работы, выявляет и анализирует проблемы в работе строительной организации и принимает меры к их разрешению, представляет интересы строительной организации в суде, арбитраже, органах государственной власти и управления и др.

Генеральный директор строительной организации ООО «DenStroy» исполняет следующие обязанности:

-  руководит в соответствии с действующим законодательством хозяйственной и финансово-экономической деятельностью строительной организации;

-       определяет меры и способы решения задач подчиненной ему строительной организации;

-       обеспечивает своевременное и качественное выполнение строительной организацией договоров, подрядов, обязательств;

-       принимает меры по обеспечению строительной организации квалифицированными кадрами, рациональному использованию их профессиональных знаний и опыта, созданию безопасных и благоприятных для жизни и здоровья условий труда;

-       принимает и увольняет работников, применяет меры поощрения или налагает взыскания, создаёт условия для их профессионального роста;

-       утверждает внутренние нормативные организационно-правовые документы;

-       определяет ценовую политику в области строительных работ;

-       контролирует и обеспечивает соблюдение законности в деятельности строительной организации, своевременную уплату установленных налогов и сборов, правильное сочетание экономических и административных методов руководства, единоначалия и коллегиальности в обсуждении и решении вопросов, моральных и материальных стимулов повышения качества строительных работ, применение принципа материальной заинтересованности и ответственности каждого работника за порученное ему дело и результаты работы всего коллектива, выплату заработной платы в установленные сроки;

-       принимает меры по соблюдению требований законодательства по охране окружающей среды при выполнении строительных работ.

В непосредственном подчинении директора находятся коммерческий директор, главный инженер, главный бухгалтер, юрист.

Коммерческий директор ООО «DenStroy» руководит деятельностью подразделения организации - складом. Основные обязанности коммерческого директора: руководство финансово-хозяйственной деятельностью в области материально-технического обеспечения, закупки и хранения стройматериалов, принимает меры по своевременному заключению хозяйственных и финансовых договоров с поставщиками материалов, расширению прямых и длительных связей, обеспечивает выполнение договорных обязательств.

В подчинении главного инженера находятся отделы сметно-договорной и производственно-технический. Сметно-договорной выполняет работу по составлению смет на заказы, в его составе два инженера - сметчика. Производственно-технический отдел выполняет основную работу по выполнению заказов на строительство. В составе отдела - прорабы и работники различных строительных специальностей.

Главный бухгалтер выполняет функции по регистрации и обобщению информации об имуществе, обязательствах организаций и движении имущества путем документального учета всех хозяйственных операций. Ответственность за организацию бухгалтерского учета в организации, соблюдение законодательства при выполнении хозяйственных операций несет руководитель организаций.

Все хозяйственные операции, проводимые в ООО «DenStroy» оформляются соответствующими документами. Эти документы служат первичными учетными документами, на основании которых ведется бухгалтерский учет. Документы, которыми оформляются хозяйственные операции с денежными средствами, подписываются генеральным директором и главным бухгалтером.

Как уже говорилось выше, кроме своей непосредственной работы бухгалтер предприятия ООО «DenStroy» ведёт делопроизводство организации (т.е. исполняет функции секретаря) и исполняет обязанности кадрового работника. Бухгалтер перегружен работой, особенно в период бухгалтерской и налоговой отчётности.

Юрист подчиняется непосредственно генеральному директору, он ведёт юридическое консультирование и сопровождение всех хозяйственных и коммерческих сделок организации, при необходимости представляет интересы компании в суде, государственных органах и пр.

Организационные воздействия на сотрудников предприятия должны быть основаны на подготовке и утверждении внутренних нормативных документов, регламентирующих деятельность персонала. В ООО «DenStroy» к ним относятся коллективный договор между администрацией и трудовым коллективом, Правила внутреннего трудового распорядка, штатное расписание организации, должностные инструкции сотрудников и организация рабочих мест. Соблюдение этих документов обязательно для всех сотрудников, и их несоблюдение влечёт за собой применение дисциплинарных взысканий.

Выявлено, что в ООО «DenStroy» отсутствуют некоторые регламентирующие систему менеджмента организации документы - философия организации, положения о структурные подразделения (об отделах). Необходимо разработать данные документы.

Проводя анализ организационной структуры управления структуры ООО «DenStroy» был принят во внимание тот факт, что эффективные структуры управления должны удовлетворять следующим критериям:

-  В подразделении или у сотрудника может быть только один непосредственный начальник.

-       В прямом подчинении должно находиться не больше 7+/-2 человек - сохранение принципа нормы управляемости.

-       Каждый сотрудник должен иметь определенные функциональные обязанности.

-       Делегируя обязанности необходимо делегировать ответственность за их выполнение, контроль не делегируется.

-       Объединение работников в подразделения должно осуществляться на основе какого-либо принципа группировки (единство выполняемой функции, единство бизнес-процесса, единство клиента и др.).

-       Каждая функция должна выполняться полностью в рамках одного подразделения.

Соответственно, представленная организационная структура ООО «DenStroy» имеет ряд преимуществ, таких как: разделение труда, которое приводит к появлению высококвалифицированных специалистов; иерархия уровней управления; наличие взаимоувязанной системы обобщенных формальных правил и стандартов, обеспечивающей однородность выполнения персоналом своих обязанностей и скоординированность различных задач; найм на работу производится в строгом соответствии с техническими квалификационными требованиями. Наряду с перечисленными преимуществами, ей присуще и недостатки, свойственные всем линейно-функциональным структурам:

-  отсутствие тесных взаимосвязей на горизонтальном уровне между отдельными звеньями, что приводит к необходимости согласования действий разных функциональных звеньев и резко увеличивает объем работы руководителей;

-       преувеличение значимости стандартизированных правил, процедур и норм приводит к утрате гибкости поведения в определённых ситуациях, поскольку все вопросы и проблемы решаются исходя из прецедентов;

-       допускается несоответствие между ответственностью и полномочиями у руководителей разных уровней;

-       не учитывается специфика работы различных звеньев.

Определено, что в целом организационная структура соответствует общей цели организации, но требует небольшой доработки, так как некоторые функции распределены нерационально, существует проблема перегруженность главного бухгалтера, который выполняет много функции - помимо ведения бухгалтерской отчетности на него возложена кадровое делопроизводство. Такая излишняя перегруженность и ответственность заместителя могут отрицательно сказаться на результатах работы, привести к ошибкам и недочетам в работе. Отсутствует согласованная система приема персонала, данная работа не планируется и проводится только при непосредственно возникшей вакансии. Возможно, отсюда и идет проблема роста коэффициента текучести. Также часть кадровой работы (собеседование, решение о приеме на работу), выполнят генеральный директор, что также вызывает его перегруженность. На нем должна лежать обязанность по определению общей стратегии кадровой политики, расстановка персонала, оплата труда, а прием на работу, и другие вопросы, возникающие в системе подбора, оценки, увольнения персонала должен выполнять специалист - менеджер по персоналу.

.3 Оценка системы управления в ООО «DenStroy»

стратегический целевой управление бизнес

Оценка системы управления показала, что в ООО «DenStroy» существует перегрузка генерального директора и главного бухгалтера кадровой работой, и как следствие, кадровая работа ведется неэффективно, нет слаженной системы приема персонала, за последний год наблюдается рост коэффициента текучести.

Рассмотрим предлагаемую новую штатную единицу - менеджер по персоналу. Менеджер по персоналу будет подчиняться непосредственно генеральному директору. После предлагаемых преобразований в структуре организации (введение должности менеджера по персоналу), бухгалтер будет выполнять только свои основные обязанности по учету финансовых средств фирмы.

Деятельность менеджера по персоналу должна быть направлена на:

-  Разработку системы управления персоналом: подбор, оценка, расстановка, адаптация, обучение кадров;

-       Организацию работы с персоналом: определение и составление философии организации, отслеживание и анализ структуры персонала, регламентацию управления, научную организацию труда и др.;

-       Мотивацию, оплату и эффективность работы персонала: разработку системы мотивации, оптимальной системы оплаты труда, методы управления персоналом, анализ эффективности работы персонала.

Обязанности менеджера по персоналу в области делопроизводства:

-  Получать и просматривать входящие документы, регистрировать их, направлять исполнителям; выбирать документы, требующие немедленного рассмотрения, докладывать о них генеральному директору, предоставлять проекты резолюций;

-       Вести оперативный учёт прохождения документов и ежедневно контролировать сроки исполнения документов и устных поручений генерального директора руководителями структурных подразделений;

-       Готовить по поручению генерального директора проекты документов, обеспечивать согласование проектов с руководителями подразделений, готовить и оформлять управленческо-распорядительные документы;

-       Осуществлять и контролировать документооборот внутри организации, по поручению генерального директора осуществлять документооборот между предприятием и другими организациями, органами, учреждениями;

-       Вести делопроизводство, обеспечивать сохранность документации, формировать дела;

-       Вести учёт, выписывать доверенности, принимать отчёты доверенных лиц;

-       Ежедневно вести табель учёта рабочего времени сотрудников предприятия;

-       Оформлять командировочные документы;

-       Вести кадровый учёт, оформлять приём и увольнение, отпуска, больничные листы работников;

-       Обеспечивать ознакомление, учёт и хранение приказов и распоряжений.

Чтобы определить насколько эффективно распределения функций между менеджерами ООО «DenStroy» на основе организационной структуры управления составим матрицу распределения функций управления.

Матрица распределения функций управления позволяет четко разделить их, определить технологическую последовательность операций управления и четко закрепить операции за конкретными руководителями или специалистами. В основе представленной матрицы - классификатор функций управления строительной организацией.

Таким мы видим рациональное распределение функций между руководящими работниками строительной организации ООО «DenStroy». У генерального директора становится меньше функций, что позволяет ему больше времени уделять решению стратегических вопросов организации, заниматься стратегией развития и развитием деятельности. Каждый менеджер организации выполняет функции по своему профилю работы и в рамках своей компетенции. Таким образом, работа управленческого персонала, будет наиболее эффективна и качественна. Для того, чтобы документально отразить распределение функций необходимо разработать должностные инструкции работников ООО «DenStroy», внести изменения в должностные инструкции сотрудников.

В ООО «DenStroy» на данном этапе необходимо разработать регламенты в соответствии с новой структурой и распределением функциональных обязанностей организации, поэтому менеджеру по персоналу нужно будет начать свою работу с разработки или корректировки некоторых документов. Следует обратить внимание, что составление не всех исходных данных находятся в компетенции менеджера по персоналу. Так разработка философии организации, положения об оплате труда и др. находится в компетенции генерального директора ООО «DenStroy». Но составлением модели рабочих мест, правила внутреннего распорядка, должностных инструкций, положений о структурных подразделениях менеджер по персоналу может заняться совместно с руководителями структурных подразделений.

Моделям рабочих мест в ООО «DenStroy» не уделяют должного внимания при оценке кандидатов на вакантные должности, при оценке работы сотрудников организации. Эффективное решение проблемы подбора персонала требует разработки научно обоснованных моделей рабочих мест рабочих и служащих, которые обеспечивают подбор, оценку и расстановку кадров на единой методологической основе. Модель рабочих мест рабочих и служащих включает 15 элементов, представляющих собой качественные и количественные характеристики рабочего места.

-  Кадровые данные: листок по учету кадров, трудовая книжка, характеристика, автобиография, копия документов об образовании.

-       Опыт работника: жизненный, производственный, государственный, общественный. Определяется путем интервью и анкетирования.

-       Профессиональные знания по конкретным учебным дисциплинам. Выявляются в результате деловых игр.

-       Профессиональные умения: совокупность управленческих работ, которые может выполнять работник. Выявляются путем собеседования, в процессе деловых игр и практических занятий.

-       Личностные качества: совокупность деловых качеств и недостатков работника, определяемых путем социологического опроса.

-       Психология личности: тип личности, темперамент, интеллект, мотивация - определяются путем психологического тестирования работника.

-       Здоровье и работоспособность с медицинской диагностикой состояния: здоров, практически здоров, болен.

-       Уровень квалификации: определяется приобретенной специальностью, образованием и повышением квалификации.

-       Служебная карьера формируется на основе оценки потенциала работника и его заинтересованности в служебном росте.

-       Хобби: выявляются методом интервью, наблюдений и анкетирования.

-       Вредные привычки и недостатки: пристрастие к алкоголю и курению и пр. Выявляются путем анкетирования, наблюдений и социологического опроса.

-       Организация труда: помещения, технические средства, транспорт. Устанавливаются по нормативам организации рабочего места и путем опроса сотрудника.

-       Оплата труда: зарплата, вознаграждения определяются по штатному расписанию и среднему доходу работающих в данном регионе.

-       Социальные блага: обеспечение фирменной одеждой, средствами индивидуальной защиты, обеспечение бытовыми условиями, тепловым режимом и пр. устанавливается в компании на основе принятого соглашения между работодателем и работниками в коллективном договоре.

-       Социальные гарантии: пособие по временной нетрудоспособности, пенсия, пособие в случае увольнения. Определяются на основе государственных стандартов.

Основные этапы решения проблемы подбора персонала исходя из моделей рабочих мест:

-  Разработка концепции модели рабочего места персонала, её элементов, характеристик и весовых коэффициентов.

-       Разработка типовых моделей рабочих мест по должностям персонала.

-       Методика комплексной оценки персонала на основе модели рабочего места в оценочных центрах с привлечением специалистов (экспертов).

-       Технология работы с неработающим или высвобожденным персоналом в центрах занятости населения на основе результатов комплексной оценки кадров на вакантные должности.

-       Технология работы с персоналом в организации (аттестация кадров, планирование карьеры, повышение квалификации и переподготовка кадров).

Для составления модели рабочего места менеджера по персоналу в качестве экспертов (специалистов) можно привлечь - генерального директора, коммерческого директора, начальников других структурных подразделений. По элементам, входящим в модель рабочего места необходимо собрать экспертные оценки. Составим модели рабочего места специалиста по маркетингу. В качестве экспертов (специалистов) можно привлечь - генерального директора, заместителя директора, других специалистов. Также для разработки модели рабочего места, необходимо изучить рынок труда, требования к специалистам данной сферы, уровень заработной платы и те факторы, которые влияют на ее размер. Были изучены данные нескольких кадровых (рекрутских) агентств Москвы. Также рассматривались требования, предъявляемые к специалистам по персоналу на интернет сайтах - Superjob, RabotaVGorode.Ru, HeadHunter и Rabota.ru.

Анализ требований к данным специалистам показал, что рядовой менеджер по персоналу на предприятии выполняет достаточно широкий круг обязанностей. Они могут включать: организацию работы с персоналом в соответствии с направлениями кадровой политики для достижения эффективного использования и профессионального совершенствования работников; изучение рынка труда с целью определения возможных источников обеспечения необходимыми кадрами. А также подбор кадров, собеседования с нанимающимися; своевременное оформление приема, перевода, перемещения и увольнения работников в соответствии с трудовым законодательством, учет личного состава и т.п. После обработки собранных данных получаем модель рабочего места менеджера по персоналу (таблица 5). На основе данного примера менеджер по персоналу должен разработать модели рабочего места на все должности организации с помощью руководителей структурных подразделений. Эти документы понадобятся и при оценке персонала. С введением нормативных документов в организации достигается целый ряд целей (рисунок 3).

Рассчитаем экономическую эффективность разработанной организационной системы управления ООО «DenStroy». Представим плановые экономические и финансовые показатели на 2015 год (табл. 6).

Планируется рост экономических показателей организации, увеличение заказов на строительные работы. Коммерческие и управленческие расходы планируется увеличивать в разумных пределах, мотивировать сотрудников к эффективной деятельности посредством разработки системы менеджмента и системы работы с персоналом. Сокращения численности сотрудников ООО «DenStroy» не ожидается.

Если говорить об эффективности управления с экономической точки зрения, то возможно привести плановые цифры и рассчитать насколько выгодна для предприятия разработанная система менеджмента. Запланированная общая валовая прибыль в 2015 году составляет 76 790 тыс. рублей, из них 3% прибыли ожидается от внедрения новой системы управления ООО «DenStroy» - изменения организационной, функциональной и штатной структур предприятия и упорядочение работы с персоналом. Соответственно, прибыль от разработанной системы управления ожидается 2 303 тыс. рублей. Предполагаемые финансовые расходы на разработку и внедрение новой системы управления составят 281 200 рублей, расчёты представлены в табл.7.

Таблица 6

Плановые экономические показатели ООО «DenStroy» на 2015 гг.

Показатели

2015 год (план)

1. Выручка, тыс. руб.

150 580

2. Себестоимость работ, материалов, тыс. руб.

73 790

3. Валовая прибыль, тыс. руб.

76 790

4. Коммерческие и управленческие расходы, тыс. руб.

650

5. Прибыль (убыток) от продаж, тыс. руб.

12 590

6. Рентабельность продаж, %

26%

7.Чистая прибыль, тыс. руб.

63 550


Таблица 7

Обоснование финансовых затрат на разработку системы управления ООО «DenStroy»

Затраты

Сумма (в руб.)

1

Ставка менеджера по персоналу (в месяц)

15 000

2

Налоговые отчисления (взносы в ПФ, ФМС, ФСС)- 34 % (в месяц)

5100

3

Оплата труда менеджера по персоналу (в год)

180 000

4

Налоговые отчисления (в год)

61 200

5

Организация рабочего места - персональный компьютер с необходимыми программами

40 000


Итого

281 200


Всего затраты на создание прибыли составят 281 200 рублей.

Как часть общей эффективности организации рассматривают эффективность управления. В экономической литературе эффективность рассчитывается как отношение экономии (прибыли) от внедрения конкретного результата к затратам на её создание по формуле:

Е = Э/З, (2)

где, Е - экономическая эффективность, доли;

Э - экономия или прибыль, руб.;

З - затраты на создание экономии, руб.

Е = 2 303 000 / 281 200 = 8,2

Экономическая эффективность показатель относительный, это отношение прибыли от нововведений к затратам на их проведение.

Кроме этого, можно рассчитать срок окупаемости затрат. Срок окупаемости затрат показывает за сколько лет окупаются капитальные затраты и рассчитывается как отношение капитальных затрат к получаемой экономии (прибыли).

Т = З / Э, (3)

где Т - срок окупаемости капитальных затрат, годы.

Т = 281 200 / 2 303 000 = 0,1 года.

Затраты на увеличение штатной структуры ООО «DenStroy» - введение должности менеджера по персоналу должны окупиться в среднем за 1,5 месяца.

Выводы к главе 2

Проведен анализ организационной структуры и оценка системы управления хозяйственной деятельностью ООО «DenStroy». Расчет показал, что отклонения экономических показателей за 2013 и 2014 гг. в исследуемой организации не значительные, темпы роста всех показателей примерно одинаковые, организация развивается стабильно.

Основные угрозы внешней среды ООО «DenStroy» - появление новых конкурентов, вероятность снижения спроса на строительные услуги вследствие ухудшения общей экономической ситуации в стране или регионе. Для минимизации перечисленных угроз необходимо постоянно проводить маркетинговое исследование рынка, разрабатывать мероприятия по усилению конкурентных преимуществ.

Установлено, что организационная структура соответствует общей цели организации, но требует небольшой доработки, существует проблема перегруженность главного бухгалтера. Составлена модель рабочего места менеджера по персоналу и рассчитана экономическая эффективность разработанной организационной системы управления, которая показала окупаемость новой должности за 1,5 месяца.

Глава 3. Совершенствование системы управления в ООО «DenStroy»

.1 Использование программно-целевого подхода к совершенствованию системы управления на ООО «DenStroy»

Использование программно-целевого подхода к совершенствованию системы управления в настоящее время одним из основных направлений развития системы управления предприятием является разработка и применение метода «Управление по целям».

Основная цель данного метода - ориентировать процесс управления предприятием на достижение всех целей. Метод «Управление по целям» направлен на формирование наиболее предпочтительных целей развития рассматриваемой социально-экономической системы, для достижения которых формируются мероприятия, способные изменить текущий ход развития в нужном направлении. Определяющими, задающими являются цели развития, а для их достижения формируются мероприятия и ресурсы, способные переориентировать сложившийся ход развития на достижение поставленной цели.

Большинство менеджеров и специалистов оценивают управление по целям как весьма эффективный управленческий метод. Правильное использование данного метода позволит компании рассчитывать на целый ряд выгод:

-  концентрация усилий и менеджеров, и работников на общих целях способствует повышению вероятности их достижения;

-       улучшаются показатели деятельности компании, так как работники заинтересованы в достижении целей. Более того, участие сотрудников в постановке целей и распоряжении ресурсами, благоприятствует повышению мотивации;

-       управление по целям привязывает работу с персоналом к стратегическому планированию и дает возможность быстро реагировать на изменения внешних условий, позволяет работникам точно знать, что от них нужно, улучшает общение между руководителем и подчиненными;

-  производительность людей, имеющих конкретные цели, выше производительности тех, кому цели не установлены. Этому не в последнюю очередь способствует предоставление людям самостоятельности и всесторонней информации о задачах организации и собственной роли в их решении.

Рисунок 4 - Алгоритм выполнения работы по совершенствованию системы управления

Согласно данному алгоритму, оценку действующей организационной структуры управления и декомпозицию структуры выполняемых в ООО «DenStroy» функций я привел ранее. Проведенный анализ позволил мне дать ответы на следующие вопросы:

-  Правильно ли распределены функциональные обязанности?

-       Насколько хорошо их выполняют сотрудники?

-       Соответствует ли организационная структура требованиям окружающей среды?

-       Если да, то как наиболее быстро и с минимальными затратами провести ее реорганизацию?

-       Насколько четко распределены обязанности и наличие персональной ответственности.

Построение «дерева целей» будем осуществлять «сверху вниз», от общих целей к частным, путем их декомпозиции и редукции.

В свою очередь, каждая из этих целей будет декомпозирована на цели следующего, более низкого уровня. Сущность выполнения данного этапа включается в том, что цели должны быть сформулированы на каждом уровне управления, прежде всего по горизонтали. Исходя из того, что все реальные организации многоцелевые, на данном этапе, на каждом уровне управления должны быть, сформулированы все цели выбранной стратегии. С другой стороны, должны быть выбраны главные цели, под которые и предстоит проектировать организацию.

Одним из важных моментов применения метода управления по целям является:

-  Доведение выбранных целей до подразделений - обоснование построения дерева целей. Сущность этапа заключается в выявлении взаимозависимых целей, реализуемых на каждом уровне управления. В результате такой работы оказывается возможным построение дерева целей.

-       Доведение целей до каждого конкретного исполнителя. На данном этапе выясняется возможность реализации сформулированной ранее цели конкретным исполнителем. В ряде случаев для понимания необходимой деятельности потребуется выбранные цели детализировать. Только после установления согласованности системы целей и конкретной деятельности можно утверждать, что выбранные цели доведены до каждого конкретного исполнителя.

Этап - реализация целей включает: Закрепление целей за каждым исполнителем; выявление наличия всех ресурсов, необходимых для реализации целей; Установление графика выполнения работ; Контроль выполнения целей во всей системе управления сверху до низу; Своевременность вмешательства в процесс управления на любом уровне управления.

Оценка достигнутых результатов должна производиться снизу-вверх с выходом на глобальные цели. Обсуждение результатов должно быть произведено неформально с учетом мнения сотрудников организации.

Цели корректируются после выявления степени прогресса в реализации поставленных целей, то есть с учетом достижения целей, выбранные ранее цели корректируются.

Итак, разработку «дерева целей» начнем с разработки долгосрочных целей фирмы. Долгосрочная цель компании ООО «DenStroy» заключается в следующем: «Сохранение рыночной доли».

Для достижения поставленной цели компании ООО «DenStroy» необходимо достижение следующих подцелей:

. Маркетинг

1.1 Повышение эффективности и точности маркетинговых исследований

.1.1 Величина затрат на маркетинговые исследования к обороту компании не более 20%

.1.2 Отклонение цен от средних по рынку не более 15%

.2 Повышение эффективности маркетинговых мероприятий

.2.1 Величина затрат на маркетинговые мероприятия к обороту компании не более 15%

. Закупки (снабжение)

.1 Повышение эффективности процесса поставки стройматериалов

.1.1 Сохранение доли постоянных поставщиков

.1.2 Рост количества потенциальных поставщиков не менее 30% в год

.1.3 Количество номенклатуры поставляемых товаров на одного поставщика не менее 40%

.1.4 Сокращение доли затрат на закупку стройматериалов до 20%

. Предоставление услуг

.1 Увеличение объемов предоставляемых услуг на 15%

.1.1 Доля постоянных клиентов свыше 40%

.1.2 Доля крупных клиентов свыше 30%

.1.3 Рост количества новых клиентов на 10%

.1.4 Увеличение объема дохода на одного сотрудника

.1.5 снижение среднего времени прохождения заказа клиента (от заявки до завершения работы)

.1.6 увеличение ассортимента услуг

. Финансы

.1 Уменьшение величины финансового цикла до 7 дней

.2 Увеличение рентабельности собственного капитала до30%

.3 Поддержание оптимального уровня денежных средств

. Учет

.1 Недопущение штрафных санкций от органов Госконтроля

. Персонал

.1 Повышение уровня удовлетворенности персонала

.2 Создание эффективной системы стимулирования

.3 Повышение уровня профессионализма и квалификации персонала

При постановке стратегических целей следует проводить процедуру ранжирования или отбора важных целей, под которые должны выделяться ресурсы. Ранжирование целей проведем с помощью экспертных оценок методом парных сравнений. Ранжирование произведено на примере функциональных стратегий с позиции достижения стратегической цели «Сохранение рыночной доли».

Таким образом, наиболее значимыми стратегическими целями для достижения цели «Сохранение рыночной доли» являются:

-  Отклонение цен от средних по рынку не более 15%

-       Сокращение доли затрат на закупку стройматериалов до 20%

-       Увеличение объемов предоставляемых услуг на 15%

-       Увеличение объема предоставляемых услуг на одного сотрудника.

-       Снижение среднего времени прохождения заказа клиента (от заявки до завершения работы).

-       Увеличение ассортимента услуг.

-       Повышение уровня удовлетворенности персонала.

-       Повышение уровня профессионализма и квалификации персонала.

-       На основании разработанного дерева целей, нами построено дерево стратегий компании. Для компании ООО «DenStroy» будут актуальны следующие стратегии:

-  рыночные стратегии (интенсификация работы на старых рынках с традиционными услугами);

-       продуктовые стратегии (сохранение традиционной номенклатуры, расширение номенклатуры услуг);

-       Операционные (маркетинг - стратегия средних цен, сбыт - собственные сбытовые структуры; закупки (снабжение) - сохранение связей со старым поставщиком, поиск и работа с зарубежными поставщиками продукции, поиск и работа с отечественными; хранение (ориентация на собственные склады);

-       управленческие (маркетинг - ориентация на собственные исследования и распределенный маркетинг; финансы - финансовая структуризация компании, финансовое прогнозирование на основе бизнес моделей и. др.).

3.2 Предложения по адаптации организационной структуры к разработанным стратегическим целям

Основные направления преобразования системы управления компании ООО «DenStroy» обрисованы в главе 2. Они выявлялись и обосновывались и в результате применения метода управления по целям. Систематизация и обобщение этих направлений в процессе разработки программы оптимизации даст возможность представить оптимизацию системы управления достижением следующих мероприятий:

.   Преобразование аппарата управления:

-  изменением структуры аппарата управления и выполняемых ими функций;

-       обновлением состава органов управления;

-       повышением квалификации управленческого персонала.

2. Изменение функций управления:

-  повышением уровня планово-аналитической работы;

-       повышением уровня организации управленческой деятельности,

-       ответственности за исполнение решений;

-       усиления контроля за выполнением решений.

3. Преобразование методов, технологии, технической базы управления:

-  обеспечение рационального сочетания административных и стимулирующих методов;

-       использование программно-целевого управления;

-       совершенствование процессов принятия и исполнения решений;

-       внедрение прогрессивных информационных технологий, средств передачи и обработки информации.

Таким образом, можно сделать вывод, что первой задачей на пути формирования усовершенствованной организационной структуры управления является определение таких сфер деятельности предприятия, которые непосредственно и существенно влияют на достижение стратегических целей предприятия.

Вторая задача при формировании организационной структуры состоит в том, чтобы перейти от традиционного к стратегическому управлению предприятием. Этим, в первую очередь, должен заняться директор. Поэтому необходимо освободить его от текущей, оперативной работы, сосредоточив внимание на стратегии, финансах и персонале. В то же время следует учесть, что переход на стратегическое управление меняет характер работы каждого подразделения, а также характер мотивационных механизмов, направленных теперь на развитие, инновации, технический прогресс.

Адаптация организационной структуры к разработанным стратегическим целям предполагает рассмотрение и анализ состава функций подразделений, их права и ответственность.

Это означает необходимость четкой подготовки и организации работ по:

-  разделению труда (по подразделениям, исполнителям и уровня управления);

-  установлению существующей мощности функциональных подразделений, которые должны быть достаточной для качественного и своевременного выполнения работ;

-       устранению дублирования работ или их «потерь»;

-  созданию условий для эффективного выполнения работ, предусмотрев соответствующее информационное, методическое, техническое, кадровое обеспечение.

Оценка обеспеченности целей составом работ, выполняемых в подразделении, производится с помощью функционально-целевого анализа.

Для проведения этого анализа необходимо:

-  Определить состав целей;

-       Определить состав функций подразделения (исполнителя);

-       Установить какие функции необходимы для достижения целей и построить матрицу «функции - цели»;

-       Провести анализ матрицы и сделать выводы о достаточности (или недостаточности) соответствия состава выполняемых в подразделении функций составленным целям.

Построим матрицу «функции-цели» для каждой группы функциональных подцелей цели «Сохранение рыночной доли».

Согласно матрице, все организационные звенья ООО «DenStroy» участвуют в достижении целей. Следует обратить внимание на большую долю дополнительных работ в области маркетинговых исследований, которые будет выполнять зам. директора. Это объясняется сложной ситуацией на рынке, где идет конкурентная борьба за расширение доли рынка между фирмами конкурентами.

Поэтому, для повышения эффективности деятельности фирмы можем, предлагаем закрепить ответственность за выполнение маркетинговых целей за заместителем директора. На наш взгляд, ему необходимо осуществлять дополнительные мероприятия:

-  проведение маркетинговых исследований - это анализ рынка, сбор информации от покупателей, изучение спроса, определение ассортимента, ведение клиентской базы и т.д.;

Таблица 8

Матричная проекция организационных звеньев на разработанное дерево целей

Цели/ структурные подразделения

Генеральный директор

зам. директора

Менеджер по сбыту

зав. отделом

секретарь

1

2

3

4

5

6

7

1.1 Повышение эффективности и точности маркетинговых исследований.


+





1.1.1 Величина затрат на маркетинговые исследования к обороту компании не более 20%


+





1.1.2 Отклонение цен от средних по рынку не более 15%


+





1.2 Повышение эффективности маркетинговых мероприятий


+





1.2.1 Величина затрат на маркетинговые мероприятия к обороту компании не более 15%


+





2.1 Повышение эффективности процесса закупки товаров


+





2.1.1 Сохранение доли постоянных поставщиков


+





2.1.2 Рост количество потенциальных поставщиков не менее 30% в год


+





2.1.3 Количество номенклатуры поставляемых товаров на одного поставщика не менее 40%


+





2.1.4 Сокращение доли затрат на закупку товаров до 20%


+





3.1 Увеличение объемов продаж на 15%




+



3.1.1 Доля постоянных клиентов свыше 40%




+



3.1.2 Доля крупных клиентов свыше 30%




+



3.1.3 Рост количество новых клиентов на 10%




+



3.1.4 Увеличение объема реализации на одного сотрудника сбытовых подразделений




+

+


3.1.5 Снижение среднего времени прохождения заказа клиента (от заявки до отгрузки) до 30 мин.




+



3.1.6 Увеличение ассортимента продукции


+





4.1 Сокращение затрат на хранение продукции на 20%





+


5.1 Уменьшение величины финансового цикла до 7дней


+





5.2 Увеличение рентабельности собственного капитала до 30%


+





5.3 Поддержание оптимального уровня денежных средств


+





6.1 Недопущение штрафных санкций от органов Госконтроля


+





7.1 Повышение уровня удовлетворенности персонала

+






7.2 Создание эффективной системы стимулирования

+






7.3 Повышение уровня профессионализма и квалификации персонала

+







-  маркетинговое планирование - это разработка ценовой политики, разработка рыночной и ценовой стратегии, проведение рекламных мероприятий, планирование товарного ассортимента и т.д.;

-       организация системы сбыта - это анализ востребованности услуг компании, организация сезонных скидок на отдельные виды работ.

Кроме того, зам. директора будет ответственен за выполнение закупочных целей. Данное положение объясняется спецификой работы предприятия, которая повлияла на развитие логистики.

Менеджер по сбыту ответственен за выполнение целей по предоставлению услуг.

Из-за отсутствия налаженной системы управления финансами предприятие может потерять до 10% своих доходов - нехватка полноценной и оперативной информации приводит к запоздалым управленческим решениям, многие объекты финансового управления уходят из зоны внимания руководителя. Анализ Финансово-экономического состояния предприятия является той базой, на которой строится разработка финансовой политики. Поэтому, на мой взгляд, необходимо наделить дополнительными видами работ бухгалтерию.

В первую очередь следует обеспечить эффективное управление денежными потоками. Первоочередная задача заключается в упорядочивании системы учета постоянных и переменных издержек по видам продукции, что позволит провести маргинальный анализ и выявить условия безубыточности работы, оценить вклад каждой номенклатурной единицы в общую эффективность предприятия. Учет финансовых потоков позволит определить необоснованные статьи расходов, на которые зачастую тратится основная доля кредитных ресурсов. На основе полученных оценок можно провести сокращение доли нисколиквидных активов путем их списания, продажи, консервации или сдачи в аренду неэффективно используемых площадей.

Значительным резервом для пополнения оборотных средств становится снижение дебиторской задолженности. Основной причиной рост задолженности, кроме низкой платежеспособности клиентов, является система стимулирования исполнителей, когда премирование осуществляется не по факту получения денег, а после завершения работы. Смена приоритетов, а также жесткий учет и дифференцированный подход к работе с клиентами позволят пополнить оборотные средства предприятия.

В процессе анализа системы управления было выявлено ряд недостатков, а именно:

Действующая система стратегического менеджмента (точнее, ее фрагменты) работает неэффективно по следующим причинам:

-  неполнота системы. Как уже было отмечено, в компании только фрагменты стратегического менеджмента и они не увязаны в единую систему. Соответственно, нет единого регламента стратегического управления;

-       отсутствие эффективного механизма реализации стратегии. Также нет системы мотивации, которая стимулировала бы выполнение директив;

-       отсутствие связи между стратегическим и оперативным управлением. В компании нет стыковки стратегии и текущей деятельности. Даже нет связи на уровне планов. Такая стыковка отсутствует потому, что в компании нет интегрированной финансово-экономической модели.

В связи с отсутствием отдела стратегического планирования, в функции которого входит контроль за достижением стратегических целей, основные виды работ по стратегическому управлению ложатся на плечи генерального директора. Широкой реструктуризации была подвергнута важная сфера - работа с персоналом. Весь спектр этих вопросов сосредоточен у генерального директора. Это связано, в первую очередь, с тем, что персонал на сегодняшний день является важной стратегической единицей.

Задачами директора в этой области являются:

-  организация процессов труда и управления ими в соответствии с целями и стратегией, направленной на предоставление высококачественных и конкурентоспособных услуг, на основе рационального использования труда каждого работника;

-       комплектование фирмы кадрами рабочих и служащих требуемых профессий, специальностей и квалификации в соответствии с целями, стратегией и профилем предприятия, изменяющимися внешними и внутренними условиями его деятельности;

-       разработка кадровой политики и стратегии организации;

-       подбор, отбор и расстановка кадров на основе оценки их квалификации, личных и деловых качеств.

Организационная структура должна рассматриваться не только как производственная единица. Непременным условием развития самой организации является развивающийся коллектив, обеспечивающий каждому работнику профессиональный и социальный рост.

3.3 Расчет экономического эффекта от реорганизации структуры управления

Достижение высокой экономической эффективности от реорганизации структуры управления «DenStroy» представляет ключевую проблему оптимизации аппарата управления на уровне основного производственного звена. Роль эффективности использования ресурсов, выделяемых на осуществление программы оптимизации структуры управления, обусловлена несколькими обстоятельствами.

Во-первых, предприятие обладает ограниченным объемом, свободных финансовых ресурсов, поэтому каждая единица денежных средств, выделяемых на проведение оптимизации, должна использоваться с максимальной отдачей, то есть с получением высокого экономического эффекта на единицу затрат.

Во-вторых, предприятие скованно временными рамками, ограниченным временем, отведенным на проведение реорганизации. В этих условиях приходится изыскивать варианты, которые могут быть реализованы в максимально короткое время. А это означает, что располагаемые ресурсы для проведения программы в жизнь должны быть использованы с высокой эффективностью, так как за непродолжительное время реализации программы трудно ожидать существенного пополнения ресурсного потенциала предприятия.

Проблема оценки эффективности разнообразных вложений в экономические и социальные относится к числу самых сложных в экономической науке. Несмотря на значительные усилия, предпринимавшиеся в течение многих лет отечественными и зарубежными экономистами, выпуск ряда методических положений и рекомендаций по оценке экономической эффективности капиталовложений, надежные методы определения эффективности не созданы и приходится использовать методы приближенной оценки.

Практически все рекомендуемые в научной литературе методы оценки экономического эффекта после проведения оптимизации структур управления тем или иным образом сводятся к сопоставлению суммарных затрат ресурсов и совокупного результата, полученного за счет использования затраченных ресурсов. При этом результат принято именовать экономическим эффектом, а отношение эффекта к расходам на его получение, достижение именуют экономической эффективностью.

Сложность решения проблемы достижения высокой экономической эффективности оптимизации структуры управления обусловлено также тесной связью экономических и социальных эффектов. Так как реорганизация структуры управления может вызвать неблагоприятные социальные последствия в виде, например, сокращения персонала предприятия, часть средств на реализацию программы приходится затрачивать на предотвращение или ликвидацию, подавление нежелательных последствий.

По своей сущности реструктуризация системы управления предприятием представляет собой мини-реформу управления, проводимую в масштабах одного предприятия. В то же время центр тяжести реорганизации управления смещен в область воздействия на структуру продукции, ее качество, издержки производства и обращения, спрос и цены, организацию труда, квалификацию работников, производительность, структуру системы управления, формы, методы и стиль руководства. Значительное развитие финансового блока позволит налаженной системе управления финансами предприятия увеличить до 10% своих доходов и составит, так как нехватка полноценной и оперативной информации приводит к запоздалым управленческим решениям, многие объекты финансового управления уходят из зоны внимания руководителей и анализ финансово-экономического состояния предприятия станет той базой, на которой строится разработка финансовой политики.

Эффект от создания блока управления персоналом в структуре управления сегодня просчитать не представляется возможным, так как оно содействует улучшению работы всего предприятия с профессиональной точки зрения и единого обеспечения всей организации квалифицированными кадрами.

Эффективное управление изменениями возможно только тогда, когда организация деятельности прозрачна на всех уровнях. Иначе решения принимаются в условиях неопределенности и планируемые цели не достигаются. Ясное понимание существующих процессов и предварительное моделирование новых позволяет избежать сбоев функционирования в ходе изменений.

Под экономичностью аппарата управления понимаются относительные затраты на его функционирование, соизмеряемые с объемом или результатами производственной деятельности. Для оценки экономичности могут использоваться такие показатели, как доля затрат на содержание аппарата управления в стоимости реализованной продукции, доля управленческих работников в общей численности персонала предприятия, стоимость выполнения единицы объема отдельных видов работ.

Кроме того, качественный результат предлагаемой реорганизации структуры аппарата управления характеризуется:

-  развитой иерархией управления;

-       разграничением функций руководителей;

-       прозрачностью организационной структуры организации;

-       повышением инвестиционной привлекательности;

-       умением четко реагировать на внешние изменения окружающей среды;

-       четким разграничением требований к работникам (соответственно эффективная степень разделения труда).

-       подбором кадров по их деловым и профессиональным качествам.

В оптимизированную структуру управления включены все необходимые подразделения, отвечающие за технологический процесс и нормальное функционирование предприятия, налажены информационные связи.

В таблице 9 представлена проекция функций менеджмента на организационные звенья. Данная матрица была создана на основе проекции видов работ, которые должны выполняться в компании для успешного функционирования на созданные структурные подразделения. Она позволяет нам проследить функциональные взаимосвязи между организационными звеньями.

Таблица 9

Предлагаемая матрица функционального разделения труда

Проекция функций менеджмента на организационные звенья (расширенный по видам работ)

Генеральный директор

зам. директора

гл. бухгалтер

Менеджер по сбыту

зав. отделом

секретарь

1

2

3

4

5

6

7

1. Инновации

+






2. Инжиниринг





+

+

3. Маркетинг







3.1 Маркетинговые исследования


+





3.2 Маркетинговое планирование


+





3.3 Организация системы сбыта


+





3.3.1 Поиск покупателей




+



3.3.2 Заключение договоров с покупателями




+



3.3.4 Реализация договора




+

+


3.3.4 Контроль работы исполнителей


+





4. Контроллинг



+




5. Эккаутинг



+




5.1 Учет движения средств и КВ.



+




5.2 Балансирование доходов и расходов.



+




5.3 калькулирование с/б продукции и услуг



+




5.4 Измерение прибыли



+




6. Логистика







6.1 Поиск и выбор поставщиков


+





6.2 Заключение договоров с поставщиками


+





6.3 Обеспечение доставки товара


+





7. Производственный менеджмент (управление процессами предоставления услуг)


+





8. Финансы







8.1 Оперативное управление финансовыми потоками



+




8.2 Долгосрочные управление финансами

+






8.3 Управление кредиторской и дебиторской задолженностью

+






9. Персонал







9.1 Поиск персонала






+

9.2 Найм

+






9.3 Учет кадров






+

9.6 Развитие персонала

+







Подводя итоги расчета экономической эффективности можно сделать вывод, что экономический эффект был достигнут за счет:

-  снижения трудоемкости выполнения функций управления в результате избавления от излишних, несвойственных и дублируемых функций, связей;

-       экономии излишних затрат в результате выбора наиболее рациональных способов выполнения функций;

-       повышения производительности труда управленческого персонала, достигаемого в результате ликвидации потерь рабочего времени на непроизводительную работу;

-       сокращения общей длительности цикла обработки всей совокупности циркулирующих в процессе управления документов в результате минимизации суммы межоперационного времени.

Выводы к главе 3

Ключевой проблемой методологии построения структуры организации заключается в методике определения потребностей в ресурсном обеспечении. Неотъемлемая часть разработки состоит в установлении объема трудовых, материальных и финансовых ресурсов, необходимых для осуществления комплекса намеченных мероприятий и достижения установленной цели компании, что в итоге позволяет определить суммарные затраты. Это одна из самых сложных методических проблем, от решения которой зависит как установление объема денежных средств в области финансирования деятельности предприятия, так и для оценки ее эффективности.

Заключение

Малое предпринимательство - один из немногих секторов экономики, способных обеспечить спрос товарами и услугами первой необходимости, пополняя бюджеты и создавая новые рабочие места. Однако на сегодняшний день существует масса преград, препятствующих развитию малого бизнеса в России и в г. Москва.

Отметим некоторые из моментов, оказывающих неблагоприятное воздействие в первую очередь на развитие малого бизнеса.

1) недостаточная законодательная база, что усугубляется ее нестабильностью, частыми, не всегда оправданными, изменениями, отсутствием достаточного опыта и последовательности в ее применения, разнобой в региональном законодательстве, вызванный в ряде случаев политическим воздействием.

2) сложная экономическая обстановка, инфляционные скачки, высокие и часто меняющиеся кредитные ставки, ненадежность банков и других финансовых институтов.

) низкий уровень деловой культуры, правовой культуры, отсутствие деловой этики.

) несовершенство механизма государственной поддержки малого предпринимательства,

3)непоследовательность в реализации мер по поддержке малого предпринимательства.

Однако, как небольшая фирма, так и солидная компания долгое время успешно работающая на традиционных рынках с одинаково высокой долей вероятности могут столкнуться с необходимостью реорганизации, оптимизации структуры и численности офиса в целом или отдельных структурных подразделений. Для наиболее эффективных фирм совершенствование существующей системы управления выступает важным инструментом адаптации к условиям внешнего окружения.

Приведение структуры организации в соответствие с изменившимися условиями является одной из важнейших задач управления.

Необходимо, чтобы структура управления отвечала требованиям стратегии и целям, стоящим перед системой управления в целом. Поскольку стратегия и цели организации подлежат периодическому пересмотру и корректировке, это приводит к объективной необходимости периодического реформирования структуры управления.

Так в деятельности ООО «DenStroy» существуют проблемы, которые не способствуют эффективному управлению компанией:

. Многие организационные звенья выполняют несвойственные функции. В результате некоторые функции дублируются, а некоторые «провисают». Так, в функции Генерального директора входит решение разнородных невзаимосвязанных задач, что мешает четко и качественно выполнять его работу. За ним закреплено выполнение следующих видов работ: реализация продукции оптовым покупателям, обеспечение закупки товаров, управление дебиторской и кредиторской задолженностью. Таким образом, генеральный директор, занимаясь текущей и оперативной работой, не сосредотачивает внимание на стратегическом управлении организацией.

. Существующая на ООО «DenStroy» функциональная структура система управления персоналом не является оптимальной для формирования полного контура управления персоналом компании. Так, функции управления персоналом разделены в компании между секретарем, выполняющей функции отдела кадров и заместителем директора, осуществляющего найм персонала. При этом главными целями работы секретаря являются оформление на работу, учёт кадров, но практически отсутствуют элементы кадрового состава: управление мотивацией труда, оценка персонала, не говоря уже о каком-либо прогнозировании кадровой ситуации на будущее. Следовательно, должен быть расширен состав функций и улучшено качество выполнения процедур системы управления персоналом. В расширенный состав функций системы управления

 персоналом в обязательном порядке должны войти: комплексная оценка и аттестация персонала, планирование работы с персоналом, работа с кадровым резервом, планирование и анализ мероприятий социальной направленности. Система материального стимулирования нуждается в дополнительной настройке и пропогандировании применяемых методов стимулирования (особенно косвенного материального стимулирования).

. Анализ матрицы показал «провисание» - таких важных функций как контроллинг, инновации.

. Функция логистика децентрализована. В результате необоснованные затраты по материально-техническому снабжению, не ведется единый учет средств по данному направлению.

В то же время необходимо отметить, что в настоящее время в ООО «DenStroy» не уделяется должное внимание стратегическому управлению, что является существенным недостатком в управлении организацией.

Кроме того, финансово-экономический анализ деятельности предприятия позволил нам выделить следующие проблемы:

o ООО «DenStroy» снижает объемы продаж и не осваивает новые рынки сбыта.

o   Снижение оборотных активов предприятия позволяет сделать вывод о низком уровне менеджмента на предприятии.

-  ООО «DenStroy» не имеет собственных оборотных средств.

-       У предприятия динамика коэффициента общей ликвидности ниже нормативного значения, что позволяет сделать вывод о том, что общей суммы оборотных средств у данного предприятия недостаточно для обеспечения платежеспособности.

-  Рассчитанные показатели оборачиваемости свидетельствуют о не высокой эффективности использования капитала, незначительном периоде его возврата.

Решение проблемы, на наш взгляд, заключается в разработке и применении метода «Управление по целям».

Большинство менеджеров и специалистов оценивают управление по целям как весьма эффективный управленческий метод. Правильное использование данного метода позволит компании рассчитывать на целый ряд выгод:

-  концентрация усилий и менеджеров, и работников на общих целях способствует повышению вероятности их достижения;

-       улучшаются показатели деятельности компании, так как работники заинтересованы в достижении целей. Более того, участие сотрудников в постановке целей и распоряжении ресурсами, благоприятствует повышению мотивации;

-       управление по целям привязывает работу с персоналом к стратегическому планированию и дает возможность быстро реагировать на изменения внешних условий, позволяет работникам точно знать, что от них нужно, улучшает общение между руководителем и подчиненными;

-       производительность людей, имеющих конкретные цели, выше производительности тех, кому цели не установлены. Этому не в последнюю очередь способствует предоставление людям самостоятельности и всесторонней информации о задачах организациями из собственной роли в их решении.

Долгосрочная цель компании ООО «DenStroy» заключается в следующем: «Сохранение рыночной доли».

Для достижения поставленной цели компании ООО «DenStroy» необходимо повышение эффективности и точности маркетинговых исследований.

Таким образом, можно сделать вывод, что первой задачей на пути формирования усовершенствованной организационной структуры управления является определение таких сфер деятельности предприятия, которые непосредственно и существенно влияют на достижение стратегических целей предприятия. Вторая задача при формировании организационной структуры состоит в том, чтобы перейти от традиционного к стратегическому управлению предприятием. Этим, в первую очередь, должен заняться директор. Поэтому необходимо освободить его от текущей, оперативной работы, сосредоточив внимание на стратегии, финансах и персонале. В то же время следует учесть, что переход на стратегическое управление меняет характер работы каждого подразделения, а также характер мотивационных механизмов, направленных теперь на развитие, инновации, технический прогресс.

Оценка обеспеченности целей составом работ, выполняемых в подразделении, производиться с помощью функционально-целевого анализа.

Для проведения этого анализа необходимо:

-  Определить состав целей;

-       Определить состав функций подразделения (исполнителя);

-       Установить, какие функции необходимы для достижения целей и построить матрицу «функции-цели»;

-       Провести анализ матрицы и сделать выводы о достаточности (или недостаточности) соответствия состава выполняемых в подразделении функций составленным целям.

В работе представлена матрица «функции - цели» для каждой группы функциональных подцелей цели «Сохранение рыночной доли товаров для шитья».

Согласно матрице, все организационные звенья ООО «DenStroy» участвуют в достижении целей. Следует обратить внимание на большую долю дополнительных работ в области маркетинговых исследований, которые будет выполнять зам. директора. Это объясняется сложной ситуацией на рынке, где идет конкурентная борьба за расширение доли рынка между фирмами конкурентами. Поэтому, для повешения эффективности деятельности фирмы можем предложить закрепить ответственность за выполнение маркетинговых целей за заместителем директора. На наш взгляд, ему необходимо осуществлять дополнительные мероприятия:

-  проведение маркетинговых исследований - это анализ рынка, сбор информации от заказчиков, изучение спроса, определение ассортимента, ведение клиентской базы и т.д.;

-       маркетинговое планирование - это разработка ценовой политики,

-       разработка рыночной и ценовой стратегии, проведение рекламных мероприятий, планирование ассортимента услуг и т.д.;

-       организация системы сбыта - это анализ предоставляемых услуг, организация сезонных скидок на отдельные виды услуг.

Кроме того, зам. директора будет ответственен за выполнение закупочных целей. Данное положение объясняется спецификой работы предприятия, которая повлияла па развитие функций логистики.

Из-за отсутствия налаженной системы управления финансами предприятие может потерять до 10% своих доходов - нехватка полноценной и оперативной информации приводит к запоздалым управленческим решениям, многие объекты финансового управления уходят из зоны внимания руководителя. Анализ Финансово-экономического состояния предприятия является той базой, на которой строится разработка финансовой политики. Поэтому, на наш взгляд, необходимо наделить дополнительными видами работ бухгалтерию.

В первую очередь следует обеспечить эффективное управление денежными потоками. Первоочередная задача заключается в упорядочивании системы учета постоянных и переменных издержек по видам продукции, что позволит провести маргинальный анализ и выявить условия безубыточности работы, оценить вклад каждой номенклатурной единицы в общую эффективность предприятия. Учет финансовых потоков позволит определить необоснованные статьи расходов, на которые зачастую тратится основная доля кредитных ресурсов. На основе полученных оценок можно провести сокращение доли низко ликвидных активов путем их списания, продажи, консервации, или сдачи в аренду неэффективно используемых производственных площадей.

Значительным резервом для пополнения оборотных средств становится снижение дебиторской задолженности. Основной причиной рост задолженности, кроме низкой платежеспособности клиентов, является система стимулирования менеджера по сбыту, когда премирование осуществляется не по факту получения денег, а по завершении работы. Смена приоритетов, а также жесткий учет и дифференцированный подход к работе с клиентами позволят пополнить оборотные средства предприятия.

В процессе анализа системы управления было выявлено ряд недостатков, а именно: действующая система стратегического менеджмента (точнее, ее фрагменты) работает неэффективно по следующим причинам:

-  неполнота системы. (Как уже было отмечено, в компании только фрагменты стратегического менеджмента и они не увязаны в единую систему. Соответственно, нет единого регламента стратегического управления);

-       отсутствие эффективного механизма реализации стратегии. Также нет системы мотивации, которая стимулировала бы выполнение директив;

-       отсутствие связи между стратегическим и оперативным управлением. (в компании нет стыковки стратегии и текущей деятельности. Даже нет связи на уровне планов. Такая стыковка отсутствует потому, что в компании нет интегрированной финансово-экономической модели).

В связи с отсутствием отдела стратегического планирования, в функции которого входит контроль за достижением стратегических целей, - основные виды работ по стратегическому управлению ложатся на плечи генерального директора.

Широкой реструктуризации была подвергнута важная сфера - работа с персоналом. Весь спектр этих вопросов сосредоточен у генерального директора. Это связано, в первую очередь, с тем, что персонал на сегодняшний день является важной стратегической единицей.

Задачами директора в этой области являются:

-  организация процессов труда и управления ими в соответствии с целями и стратегией, направленной на предоставление высококачественных и конкурентоспособных услуг, на основе рационального использования труда каждого работника;

-       комплектование фирмы кадрами рабочих и служащих требуемых профессий, специальностей и квалификации в соответствии с целями, стратегией и профилем предприятия, изменяющимися внешними и внутренними условиями ого деятельности;

-       разработка кадровой политики и стратегии организации;

-       подбор, отбор и расстановка кадров на основе оценки их квалификации, личных и деловых качеств.

Организационная структура должна рассматриваться не только как производственная единица. Непременным условием развития самой организации является развивающийся коллектив, обеспечивающий каждому работнику профессиональный и социальный рост.

Затраты на реорганизацию системы управления подразделяются на единовременные и текущие. Зачастую эти затраты составляют значительные размеры, поэтому их необходимо учитывать при оценке экономической эффективности совершенствования системы аппарата управления.

Расчет фактического экономического эффекта от внедрения проекта

реорганизации структуры управления включает:

-  исходные данные для расчета экономической эффективности;

-       расчет единовременных затрат;

-       расчет текущих затрат (носители информации, затраты на электроэнергию, амортизационные отчисления, текущий ремонт технических средств, основная и дополнительная заработная плата, отчисления на социальное страхование, почтово-телеграфные расходы, накладные расходы).

Подводя итоги расчета экономической эффективности можно сделать вывод, что экономический эффект был достигнут за счет:

-  снижения трудоемкости выполнения функций управления в результате избавления от излишних, несвойственных и дублируемых функций, связей;

-       экономии излишних затрат в результате выбора наиболее рациональных способов выполнения функций;

-       снижения трудоемкости затрат управленческого персонала на передачу информации по ходу технологического процесса ее обработки в подразделениях предприятия;

-       повышения производительности труда управленческого персонала, достигаемого в результате ликвидации потерь рабочего времени на непроизводительную работу.

Чтобы не было противоречий в организационно-правовом обеспечении предприятия, предоставлен перечень документов, необходимых при оптимизации структуры управления, разработаны положения о введенных отделах и должностные инструкции на работников этих отделов.


СПИСОК ИСПОЛЬЗОВАННЫХ ИСТОЧНИКОВ И ЛИТЕРАТУРЫ

Законы Российской Федерации и субъектов РФ, иные нормативные акты

1. Федеральный закон N 129-ФЗ «О развитии малого и среднего предпринимательства в Российской Федерации» от 24.06.2007 (ред. от 28.12.2013).

Научные труды и учебные пособия

2. Анализ организационной структуры и ее развитие в соответствии с требованиями рынка. Нормативно-методические материалы. М. 2014.

3.      Антикризисное управление: Учебник / Под ред. Э.М. Короткова. - М.: ИНФРА - М. 2012.

.        Большой экономический словарь. / Под ред. А.Н. Азриляна. - М.: Фонд «Правовая культура». 2012.

.        Белых Л.П., Федотова М.А. Реструктуризация предприятия: Учеб. Пособие для Вузов. - М.: ЮНИТИ-ДИАНА, 2011.

6. Бурков В.Н., Ириков В.А. Модели и методы управления организационными системами. - М.: Наука, 2013.

7. Виханский О.С. Стратегическое управление. Учебник. М. 2012.

8.      Виханский О.С., Наумов А.И. Менеджмент: Учебник. М.: Гардарики. 2010.

.        Герчикова И.Н. Менеджмент. Учебник. М.: Изд-во «ЮНИТИ», 2014.

11. Гительман Л.Д. Преобразующий менеджмент. Лидерам реорганизации и консультанты по управлению. Учебное пособие. М.: Дело, 2011.

12.    Гончаров В.В. В поисках совершенства управления: Руководство для управленческого персонала. М.: МНИИПУ. 2012.

.        Градов А.П., Кузин Б.И. Стратегия и тактика антикризисного управления фирмой. - М.: Специальная литература. 2010.

.        Деловое планирование (Методы, Организация, Современная практика): Учеб. Пособие / под ред. Попова В.М. - М.: Финансы и статистика, 2004.

.        Джонсон Р. Системы и руководство. М.: 2011.

16. Егоршин А.П. Управление персоналом. Нижний Новгород, 2011.

17.    Зайцева О.А. Радугин А.А., Радугин К.А., Рогачева Н.И. Основы менеджмента: Учебное пособие для Вузов. - М.: Центр, 2013.

.        Игнатьева А.В., Максимцов М.М. Исследование систем управления. Учебное пособие для Вузов. - М. Изд-во «ЮНИТИ». 2010.

19. КазарновскиЙ А.С. Организационное проектирование на предприятии. Киев. Наук. Думка, 2013.

20. Кнорринг В. Искусство управления: Учебник. - М.: Изд-во «БЕК», 2012.

21.    Кондратьев В.В Краснова В.Б. Модульная программа для менеджеров. Реструктуризация управления компанией. М. Изд-во ИНФРА-М, 2014.

.        Кохно П.А., Микрюков В.А., Комаров С.Е. Менеджмент. М.: «Финансы и статистика», 2013.

.        Красовский Ю.Д. Организационное поведение. Учебник. М. Изд-во «ЮНИТИ». 2011.

.        Круглов М.И. Стратегическое управление компанией. Учебник для Вузов. - М.: РДЛ. 2012.

.        Лапуста М.Г., Старостин Ю.Л. Малое предпринимательство - М.: ИНФРА-М 2013.

.        Леонтьев С.В. Масютин С.А., Тренев В.Н. Стратегия успеха: обобщение опыта реформирования российских предприятий. М.: ОАО «Типография «Новости», 2010.

.        Мазур И.И., Шапиро В.Д. Реструктуризация предприятий и компаний. Справочное пособие. М. Высшая школа, 2011.

.        Марко Д., Макгоуэн К. Методология структурного анализа и проектирования: Пер. с англ. - М. 2013.

.        Мескон М.Х., Альберт М., Хедоури Ф. Основы менеджмента. М.: Дело, 2010.

.        Мильнер Б.З. Теория Организаций. М. Изд-во ИНФРА-М, 2003. 31. Организационная структура предприятия. Учебно-методическое пособие. - М.: ИСАРП, 2013.

.        Общеотраслевые методические рекомендации по разработке организационных структур управления для производственных объединений предприятий. - М.: Экономика. 2012 г.

.        Предприятие: стратегия, структура, положения об отделах и службах, должностные инструкции. - М. Экономика. 2011.

.        Развитие малого и среднего предпринимательства в РТ: решения, оценки, перспективы. Спец. Выпуск. - Казань. Центр экономических и социальных исследований. 2011.

34. Райзберг Б.А., Лозовский Л.Ш., Стародубцева Е.Б. Современный экономический словарь. - 4-е изд., испр. - М: ИНФРА-М, 2013.

35.    Реорганизация коммерческих предприятий. Экономика - правовой бюллетень М., 2011.

Журнальные и газетные публикации

36. Вдовин А.Н. Состояние малых и средних предприятий России / А.Н. Вдовин // Экономический анализ: теория и практика. - 2011. - №42(249).

37.    Шулятьева, Н.А. Малый бизнес в условиях рынка // Деньги и кредит. 2014. №1.

.        Лебедева, С.Ю. Регулирование и поддержка малого и среднего предпринимательства в ЕС и России // Менеджмент в России и за рубежом. 2011. №1.

.        Любушкин Н.П. Анализ развития малого бизнеса в современных условиях / Н.П. Любушкин, Е.С. Ионова // Экономический анализ: теория и практика. - 2013. - №32(335).

.        Перечнева И., Анализ инвестиционной активности бизнеса // Эксперт - 2012. - №48.

Похожие работы на - Анализ состояния и разработка предложений по выработке организационно-экономического механизма совершенствования управления малым бизнесом

 

Не нашли материал для своей работы?
Поможем написать уникальную работу
Без плагиата!
Без нейросетей!