Многоколосник морщинистый (Agastache rugosa (Fisch. et Mey) O. Kuntze): стандартизация и применение

  • Вид работы:
    Курсовая работа (т)
  • Предмет:
    Медицина, физкультура, здравоохранение
  • Язык:
    Русский
    ,
    Формат файла:
    MS Word
    2,8 Мб
  • Опубликовано:
    2015-11-09
Вы можете узнать стоимость помощи в написании студенческой работы.
Помощь в написании работы, которую точно примут!

Многоколосник морщинистый (Agastache rugosa (Fisch. et Mey) O. Kuntze): стандартизация и применение

МИНИСТЕРСТВО ЗДРАВООХРАНЕНИЯ РЕСПУБЛИКИ БЕЛАРУСЬ

Учреждение образования

«БЕЛОРУССКИЙ ГОСУДАРСТВЕННЫЙ МЕДИЦИНСКИЙ УНИВЕРСИТЕТ»

Кафедра организации фармации







Многоколосник морщинистый (Agastache rugosa (Fisch. et Mey) O. Kuntze): стандартизация и применение

Ресига Елена Анатольевна










Минск, 2015

РЕЗЮМЕ

В настоящее время имеется большое количество высокоэффективных синтетических лекарственных препаратов, однако лекарственные растения по-прежнему продолжают занимать одно из первых мест в арсенале лечебных средств. Перспективным лекарственным сырьем в почвенно - климатических условиях Республики Беларусь является многоколосник морщинистый (Agastache rugosa (Fisch. et Mey) O. Kuntze), который заслуживает внимание благодаря уникальным лекарственным свойствам, декоративным качествам, неприхотливости к условиям выращивания. В природе это реликтовое, многолетнее, зимостойкое растение встречается на территории Дальнего Востока России, Японии, Китая, Кореи и других стран Юго-Восточной Азии.

Многоколосник морщинистый широко используется в народной медицине, парфюмерии и пищевой промышленности. Его применяют в качестве сильного биостимулятора - аналога женьшеня, однако в отличие от последнего это растение обладает более мягким и пролонгированным действием на организм человека.

Траву многоколосника морщинистого применяют при простудах, бронхитах, желудочно-кишечных заболеваниях, болезнях печени, для нормализации обмена веществ, в качестве общеукрепляющего и предупреждающего старение средства.

Растение также перспективно для использования в качестве декоративного и медоносного.

Многоколосник морщинистый является фармакопейным растением в Республике Беларусь, однако полный спектр его биологической активности, в частности компонентный состав его эфирного масла изучен недостаточно. Это растение обнаружило хорошие адаптационные возможности в плане приспособления к почвенно-климатическим условиям Беларуси при сохранении высоких биопродуктивных показателей и репродуктивных способностей и является потенциальным источником лекарственного сырья.


ОГЛАВЛЕНИЕ

Введение

. Ботаническая характеристика Agastache rugosa (Fisch. еt. Mey)

. Ареал распространения, места обитания

. Заготовка, сушка, хранение

. Химический состав

. Стандартизация ЛРС

.1 Подлинность травы многоколосника морщинистого

.1.1 Макроскопические диагностические признаки

.1.2 Микроскопические диагностические признаки

.1.3 Качественный химический анализ

.2 Показатели доброкачественности

.3 Методы количественного определения действующих веществ

. Применение многоколосника морщинистого (лофанта) травы

.1 Фармакологическая активность

.2 ЛС (показания к применению, противопоказания, страна-производитель)

.2.1 Лекарственные средства

.2.2 Биологически активные добавки к пище

Заключение

Список использованных источников


ВВЕДЕНИЕ

Большая информационная нагрузка, поступление в организм техногенных токсических веществ, стрессы различного генеза, недостаток физической активности являются факторами патогенеза многих заболеваний и заметно ухудшают состояние здоровья населения. Одним из подходов к оздоровлению является разработка профилактических и лекарственных средств на основе растений, восполняющих дефицит необходимых организму нутриентов, содержащих антиоксиданты, витамины, иммуномодуляторы, макро- и микроэлементы. В этой связи большой интерес представляют виды рода многоколосник - Agastache Clayton ex Gronov (семейство Lamiaceae Lindl. - Яснотковые), включающий в себя 22 вида ароматных многолетних растений. [1,2] Растения из этого рода известны под общим названием «giant hyssop» (гигантский иссоп). Некоторые из этих растений используются в качестве источника эфирного масла, растительных лекарственных средств в народной медицине различных стран (Китай, Япония, Корея, Мексика), специй, медоносов в пчеловодстве, или как декоративные. [1,2,3] Все многоколосники обладают сильным приятным ароматом, обусловленным эфирными маслами.

Многоколосник морщинистый c древних времен широко используется в медицине, парфюмерии и кулинарии, однако полный спектр его биологической активности еще не изучен. Основное свойство этого растения заключается в активизации иммунной системы и оптимизации обмена веществ. Многоколосник морщинистый способен снижать давление и обладает бактерицидным свойством за счет содержания эфирных масел. Кроме того, наличие биофлавоноидов предполагает использование его в качестве антиоксидантного средства. [4]

В последнее время этот род привлекает к себе все более пристальное внимание медиков, химиков и других специалистов. В Республике Беларусь и практике зарубежных стран отмечается увеличение спроса на лекарственные средства, получаемые из лекарственного растительного сырья. Во многом это связано с их относительной безвредностью и отсутствием неблагоприятных побочных влияний на организм человека. В связи с этим введение в культуру, повышение урожайности и всестороннее изучение биологически активных веществ, содержащихся в растениях, не являющихся эндемичными для Беларуси, являются актуальными направлениями современных исследований.

Цель курсовой работы - изучение методов стандартизации и применения лекарственного растительного сырья многоколосника морщинистого в медицине и фармации.


1. БОТАНИЧЕСКАЯ ХАРАКТЕРИСТИКА AGASTACHE RUGOSA (FISCH. ЕT. MEY)


Домен:        Эукариоты Eucaryota

Царство: Растения Plantae

Отдел: Цветковые Magnoliophyta

Класс:         Двудольные Magnoliopsida

Порядок:   Ясноткоцветные Lamiales

Семейство: Яснотковые Lamiaceae

Подсемейство: Котовниковые Nepetoideae

Триба:        Мятные Mentheae

Род:  Многоколосник Agastache Clayton Gronow

Вид:            Многоколосник Agastache

морщинистый rugosa

Многоколосник морщинистый (Agastache rugosa (Fisch еt. Mey), Lophanthus rugosus Fischer & C. Meyer, Agastache rugosa Index Sem. Hort. Petrop. 1: 31. 1835; Elsholtzia monostachya H. Léveillé & Vaniot; Lophanthus argyi H. Léveillé; Lophanthus formosanus Hayata) - многолетнее травянистое растение. [1,2] Это пряно-ароматическое и лекарственное растение известно также как корейская мята, гигантский морщинистый иссоп (Wrinkled Giant Hyssop), хо-сян (huo xiang).

Многолетний, зимостойкий, полутравянистый кустарник. Стебли прямостоячие четырехгранные, 0,5-1,5 м высотой, 7-8 мм в диаметре, мелко опушенные, ветвистые, в верхней части с олиствленными фертильными ветвями, снизу гладкие. Корень мочковатый.

Листорасположение супротивное; черешок 1,5-3,5 см. Листовые пластинки тонкие, сердцевидные-яйцевидные до продолговато - ланцетных, 4.5-9 × 2-6 см, с сердцевидным или реже округлым основанием, наиболее широкая часть расположена ближе к основанию листовой пластинки, заостренные или с длинным оттянутым кончиком. Край листа - крупнопильчатый. Цвет листьев сверху темно - зеленый, снизу светло -зеленый. Листья с обеих сторон очень коротко опушенные, а снизу, кроме того, с частыми точечными железками. Ложные мутовки скучены на конце стебля и пазушных ветвей в плотные колосовидное соцветия, которые на стебле достигают 10 см в длину и 2 см в ширину, верхушечные листья у основания соцветия подобны стеблевым, но мельче, прицветные листья - не длиннее 5 мм и около 1-1,2 мм шириной, ланцетно-линейные, длинно заостренные (рисунок 1.1.1).

Цветы обоеполые с длинным устьицем, опыляются сами собой или пчелами, имеют приятный запах мяты, аниса и лаванды (рисунок 1.1.2). Чашечка длиной 5-8 мм, неровно-зубчатая, окрашенная в сиреневый или пурпурно-сиреневый(фиолетово-красный) цвет, негусто опушенная короткими, простыми оттопыренными волосками (только по краю зубцов более длинными) и усаженная редкими, головчатыми, беловатыми, железистыми, зев заметно косой, зубцы ланцетные, короче трубки (рисунок 1.1.3). Венчик длиной от 7 мм до 10 мм, двугyбый, более светлогo цвета, с трубкой, едва превышающей чашечку; верхняя губа 1,25-1,5 мм длиной, надрезанная приблизительно до середины на яйцевидные лопасти; средняя лопасть нижней губы сильно вытянута по ширине, около 2 мм длиной, 3-3.5 мм шириной на верхушке, немного выемчатая, со слегка волнистым краем, боковые лопасти треугольные, 0,3-0,5 мм длиной, 1,3-1,5 мм шириной. Четыре тычинки разной длины выдаются из венчика на 3-5 мм (рисунок 1.1.5) Белоцветные формы многоколосника имеют более резкий запах, чем формы с синими и фиолетовыми цветками. Цветение длится с июня до сентября. [1,3,5,6]

Орешки коричнево-бурые, обратнояйцевидные, около 1,5 мм в длину, 0,6-0,7 мм в ширину, трехгранные, с тупой верхушкой, усаженной, как и ребра, торчащими рыжеватыми волосками (рисунок 1.1.6). [1] В первый год посева семена созревают в конце сентября, а в последующие годы на 2-3 недели раньше. [7,8] Максимальное количество семян формируется на третий-четвертый год. [8]

В онтогенетическом развитии многоколосника выделено 3 периода и 6 возрастных состояний: латентный период (покоящиеся семена), прегенеративный период (проростки, ювенильные, имматурные и виргинильные растения), генеративный период (генеративные растения). В течение первого года жизни растения находятся в прегенеративном периоде.

Латентный период в жизни растения представлен односемянным гладким, продолговато-овальным, темно-коричневым орешком.

Семена прорастают в середине мая. Прорастание надземное. Проростки появляются на 12-16 день при посеве в конце мая. Высота побега от 0,5 до 1.5 см. Он несет две семядоли почковидной формы с сердцевидным основанием. Через 7-12 дней после прорастания, появляется 1 пара супротивных, простых, округлых с сердцевидным основанием длинночерешковых листьев с волнистым, иногда тупогородчатым краем. Еще через 4-6 дней появляется вторая пара супротивных, простых, овально-яйцевидных длинночерешковых листьев, но уже с остроогородчатым краем. В стадии проростка высота растений достигает 1,5-4,5см. К концу этого возрастного состояния зародышевый корешок развивается в главный корень длиной 3,0- 4 см, образующий, в среднем, 7-10 боковых корней. Длительность состояния - 2-3 недели.

многоколосник морщинистый фармакологический лекарственный

Рисунок 1.1 - Многоколосник морщинистый (Agastache rugosa (Fisch. et Mey) O. Kuntze: 1- часть стебля с листьями и цветами; 2 - цветок; 3 - раскрытая чашечка; 4 - часть венчика с тычинками; 5 - пестик; 6 - орешек

Ювенильные особи представлены одним удлиненным вегетативным побегом высотой 12,5-15 см. с 3-4 междоузлиями, верхние листья длинночерешковые яйцевидно- сердцевидные с пильчатым краем. Ширина листовой пластинки - 1,5-2,7 см, длина - 2-3,5 см. Происходит отмирания семядолей. Корневая система с выраженным главным корнем, который продолжает ветвиться, образуя боковые корни длиной до 3,5-4 см. Сформировавшиеся в семядольном узле и на гипокотиле придаточные корни сокращаются и втягивают в почву 1-2 междоузлия побега, образуя первые звенья эпигеогенного корневища. У большинства особей ювенильное состояние длится от двух до четырех недель.

Имматурные особи имеют один удлиненный побег I порядка высотой от 19 до 23 см с 5-8 парами черешковых, яйцевидно- сердцевидных листьев с пильчатым краем. Длина листовой пластинки варьируется от 2-4,5 см, ширина -1,7-2 см. В пазухах настоящих листьев начинают развиваться боковые побеги II порядка. У большинства растений в этом онтогенетическом состоянии происходит утолщение корневища, обнаруживаются остатки главного корня, корневая система смешанного типа.

В середине августа - начале сентября наблюдается переход растений в виргинильное состояние. В этот период растения имеют хорошо развитые боковые побеги, листовые пластинки вытягивается в больше в длину, чем ширину, увеличивается общая площадь листа (листья достигают длины до 8 см и ширины до 3.5 см) Высота побегов увеличивается за счет увеличения числа метамеров (7-10). Длина каждого междоузлия составляет 4-8,5 см. За счет сильного развития боковых корней главный корень не выражен. Корневая система смешанная. Растения имеют характерные для вида взрослые листья, побеги и корневую систему. В конце вегетационного периода с наступлением заморозков надземные побеги отмирают, а 3-6 почек возобновления заложенные в базальной части побега и сформировавшееся корневище зимуют. Весной следующего года растение переходит в молодое генеративное состояние. [9]


2. АРЕАЛ РАСПРОСТРАНЕНИЯ, МЕСТА ОБИТАНИЯ

В естественной среде встречается как реликтовый многолетний полу-травянистый кустарник высотой до 1,5 м, произрастающий отдельными очагами в большом ареале: на западе Северной Америки, в Китае (центральные и восточные провинции), распространен в Японии, Корее, Вьетнаме и на Дальнем Востоке (в Приморье и Приамурье), на юге Восточной Сибири, в Сахалинской области и встречается очень спорадично на острове Кунашир[6] Растет небольшими группами на травянистых, скалистых склонах, не выше 1500 метров над уровнем моря, в низинах среди деревьев, кустарников, предпочитает открытые незатененные участки с хорошо дренированными песчаными и супесчаными нейтральными почвами.[1]

В Китае и Японии вид введен в культуру.

В центральной полосе России, Украине и Беларуси культивируется недавно, хорошо растет на структурных, легких по механическому составу, достаточно плодородных и чистых от сорняков почвах. Непригодны почвы заболоченные, песчаные заплывающие, а также со щелочной реакцией почвенной среды. [8] Хорошо отзывается на внесение органических удобрений (8-10 кг/га 1м2). Растения размножаются семенами, рассадой, отводками, черенками, делением куста. Оптимальная температура для роста и развития растений 18-20 о С. [3,8]

Растет в виде куста на одном месте до 5 - 6 лет и дольше. Цветение и плодоношение растянуто с начала августа до конца сентября, но ежегодное и обильное. Высокую урожайность сохраняет до пяти, но не более десяти лет. [8]

. ЗАГОТОВКА, СУШКА, ХРАНЕНИЕ

Обычно для приготовления лекарственных средств из многоколосника используют всю надземную часть растения. Собирают листья, молодые цветы и стебли в фазе бутонизации или начала цветения до фазы полного цветения. В первый год не рекомендуется убирать надземную массу.[8] Скашивать ее надо не ниже 20 см, чтобы в зеленую массу не попали жесткие и без листьев основания стеблей. Начиная со второго года выращивания многоколосника, можно получать по два урожая лекарственного сырья. Первый раз растение срезают на высоте 35-40 см от земли, а во второй раз, после сбора семян осенью, на высоте 20-25 см от земли. Урожайность надземной массы за один укос достигает 60-70 ц/га, в течение периода вегетации - до 280 ц/га сырой и 25-30 ц/га сухой массы. [7,8] Сбор производят при интенсивном росте растения, при теплой и жаркой погоде. Если заготавливать в холодные месяцы, то количество биологически активных веществ будет минимальным. [2,10]

Собранное сырье быстро сушат, т.к. флавоноидные гликозиды быстро гидролизуются, а агликоны - окисляются. Сушат сырье, раскладывая тонким слоем (не более 5-7 см), в тени, на чердаках или в сушилках при температуре 40-60С.[8] При сушке сырье периодически переворачивают, не допуская заплесневения и запревания. Медленная сушка, особенно на солнце, ведет к разрушению флавоноидов.

Сырье затаривают в картонные коробки или тюки, хранят в герметичной упаковке, таре, на стеллажах в сухих, хорошо проветриваемых складских помещениях, без доступа прямых солнечных лучей, отдельно от других видов сырья. Срок хранения 2 года. [7,8]


4. ХИМИЧЕСКИЙ СОСТАВ

Одной из характерных особенностей высших растений является их способность к образованию и накоплению веществ вторичного метаболизма, представленных различными группами соединений, которые защищают растение от быстро меняющихся и потенциально опасных внешних факторов окружающей среды. В медицине вещества вторичного метаболизма называют биологически активными веществами и именно они, обладая лечебным действием, обусловливают ценность лекарственного сырья.

Из различных частей многоколосника морщинистого (свежего и высушенного сырья) выделили более семидесяти различных биологически активных веществ. В основном это типичные для растений из семейства Lamiaceae фенольные соединения (флавоноиды, фенольные кислоты и лигнаны) и терпеноиды. [2,11]

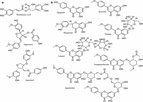
Основными фенольными метаболитами многоколосника морщинистого являются флавоноиды (акацетин(5,7-дигидрокси-4'-метоксифлавон) и его гликозиды тилианин и линарин, агастахин, гесперицин, апигенин, кверцитрин, кемпферол и его гликозиды) (рисунок 4.1.В). Содержание флавоноидов в растении может варьироваться и зависит от органа растения, онтогенетической фазы, а также от внешних факторов внешней среды.

Во всех частях растения содержится розмариновая кислота, лигнаны - агастинол и агастенол (рисунок 4.1.А).[2]

Рисунок 4.1 - Структура фенилпропаноидов(А) и флавоноидов (В)

В надземной части растения содержится эфирное масло (0,22-1,04% [11]; до 2%[2]), в котором идентифицировано по данным разных авторов от 29 до 43 компонентов.[10,12] Кислородсодержащие производные монотерпенов составляют ~ 68-70 мас.% (линалоол, пулегон, цинеол, ментон, изоментон и другие. На долю монотерпенов приходится около 20 мас.% (мирцен, омицен, терпинен), причем основной вклад в их содержание вносит лимонен (~17 мас.%) (рисунок 4.2). [2,10]

Рисунок 4.2 - Структура монотерпенов

Среди монотерпеноидов в наибольшем количестве присутствуют пулегон, ментон и изоментон, а также ароматические соединения неизопреноидной природы метилхавикол (cин.estragole), благодаря которому все части растения имеют типичный анисовый аромат, анетол, анисовый альдегид, метилэвгенол, 4- метоксикоричный альдегид (рисунок 4.3) [2,10,12,13]

Рисунок 4.3 - Структура ароматических соединений

Корейские авторы описывают пять хемотипов растений (основано на анализе образцов различного географического происхождения, культивируемых в сходных условиях): 1 - содержащие в основном метилхавикол, 2 - метилэвгенол, 3-метилэвгенол и лимонен, 4 - ментон, 5 - ментон и пулегон. [13]

Сесквитерпеновые соединения представлены элеменом, кадиненом, бурбоненом, гермакреном D, кариофилленом (рисунок 4.4). Их суммарная концентрация невелика и составляет ~3,5 мас.%, причем в наибольшем количестве в эфирном масле присутствует кариофиллен. [10,13]


Рисунок 4.4 - Структура сесквитерпенов

Из корней многоколосниеа мрощинистого были выделены и идентифицированы несколько дитерпенов - агастаквинон, агастол, дегидроагастол и другие (рисунок 4.5). [2]

Рисунок 4.5 - Структура дитерпенов

Семена многоколосника морщинистого богаты жирным маслом, содержание которых составляет 17,35 - 21,42%. [2] В его составе были идентифицированы ненасыщенные жирные кислоты, из которых 52% - это С18: 3 (линоленовая кислота),27,5% - С18: 2 (линолевая кислота) и 11,5% - мононенасыщенная С18: 1 (олеиновая кислота). [2] Как и в каждом зеленом растении, в многоколоснике морщинистом присутствуют несколько каротиноидов - больше всего β-каротина, чуть меньше лютеина и немного - зеаксантина, виолаксантина и антераксантина. Из многоколосника морщинистого выделены также дубильные вещества (0,05 %), холин, алкалоиды, макро- (N, P, K, Ca, Mg, S) и микро-элементы(Fe, Mn, Zn, Cu, B). [7,11,12]

. СТАНДАРТИЗАЦИЯ ЛРС

Стандартизация лекарственного растительного сырья - это установление норм и требований к качеству сырья, готовой продукции и единообразия методов испытаний и документов. Контроль качества возможен только при наличии определенных стандартов, закрепленных в официальных нормативных документах. Основной нормативный документ в нашей стране - Государственная фармакопея Республики Беларусь, включающая фармакопейные статьи на 123 вида лекарственного растительного сырья, в то числе и на многоколосника морщинистого траву.

Китайская гербология (Chinese Herbology), общее название китайской ''materia medica'' - часть традиционной китайской медицины (TCM), которую признают и начали серьезно изучать европейские и американские ученые. Многоколосник морщинистый (huo xiang) является одним из 50 основных растений китайской гербологии (Chinese ''materia medica''). [14] Аутентичное наименование - 'huoxiang " -означающее Agastachis herba, может относиться либо к Agastache rugosa, или к Pogostemon cablin (Blanco) Benth., или это смесь двух растений (согласно An illustrated Chinese materia medica / Jing-Nuan Wu. 1933-2002/ Pogostemon cablin и Agastache rugosa аналогичны по свойствам и взаимозаменяемы). В традиционной японской фитотерапии оба растения используются под названием «Kakko". Однако, химический состав (и типичный аромат) у этих растений существенно отличается. Pogostemon cablin (Blanco) Bentham, Lamiaceae стандартизирован в фармакопеях КНР и Японии. [14,15,16]

.1 Подлинность травы многоколосника морщинистого

Для идентификации необходимо подтвердить соответствие морфологических и анатомических признаков лекарственного растения требованиям, указанным в соответствующей фармакопейной статье.

.1.1 Макроскопические диагностические признаки

Согласно Государственной фармакопее Республики Беларусь это цельные или частично измельченные олиственные цвeтoносные побеrи длиной от 25 см до 45 см. Стебли четырехrранные, зеленые, коротко опушенные. Листья супротивные, длинночерешковые, яйцевидные, часто с сердцевидным основанием, к верхушке заостренные, край крупнопильчатый. Длина листовой пластинки 9 см, ширина - 2-6 см, наиболее широкая часть расположена ближе к основанию листовой пластинки; длина черешка до 3,5 см. Цвет листьев сверху темно -зеленый, снизу светло-зеленый из-за густых коротких прижатых волосков. Цветки собраны в ложные мутовки, объединенные в верхушечные колосовидные соцветия. Чашечка длиной 5-8 мм, неровнозубчатая, фиолетово-красного цвета. Венчик длиной от 7 мм до 10 мм, двугyбый, более светлогo цвета. Запах ароматный. [17]

.1.2 Микроскопические диагностические признаки

У многоколосника морщинистого клетки верхнего эпидермиса листа со слабо извилистыми стенками, обычно без устьиц. Имеются короткие 1-2клеточные простые волоски; вдоль жилок часто встречаются волоски с двух-клеточной головкой, расположенные на короткой одноклеточной ножке. Клетки нижнего эпидермиса с сильно извилистыми стенками. Устьица многочисленные, как правило, окружены двумя околоустьичными клетками эпидермиса, расположенными перпендикулярно устьичной щели. Встречаются также устьица, окруженные большим числом (до 5) клеток эпидермиса. Многочисленные волоски расположены по жилкам и по всей нижней поверхности листовой пластинки. Волоски простые, чаще изогнутые, 1-3клеточные, стенки нижней клетки rладкие, стенки остальных - мелкобородавчатые. [17]


5.1.3 Качественный химический анализ

Фармакопейный метод: проводится качественный анализ на терпеноиды. К 0,5 мл испытуемого раствора прибавляют 1 мл 96% спирта Р, перемешивают и осторожно, по стенке, прибавляют 1 мл раствора 10 r/л диметиламинобензальдегида Р в кислоте серной Р. На границе смешивания растворов появляется коричнево-красное окрашивание. [17]

Для определения компонентного состава эфирного масла многоколосника морщинистого, по данным литературы, широко использовалось сочетание газовой хроматографии и масс - спектрометрии. [2,13] Для идентификации тилианина возможно применение УФ- спектрофотометрии с шифт - реактивами и масс - спектрометриии. Используя УФ - спектрофотометрию с шифт - реактивами, можно добиться выявления определенных диагностических признаков в структуре соединения, в частности, расположения гидроксильных групп и их гликозидирование. После добавления шифт - реактива в исходном спектре происходит сдвиг полос поглощения, и по характеру этих изменений можно сделать вывод о наличии в соединении определенных структурных фрагментов. Привлечение масс - спектрометрии информирует о молярной массе исследуемого соединения, а совпадение характера фрагментации исследуемого соединения и соединения предполагаемой структуры позволяет надежно охарактеризовать строение соединения в целом. [13]

В УО "Белорусский государственный технологический университет" разработан и запатентован достаточно простой и информативный способ идентификации эфирного масла многоколосника морщинистого, который не зависит от фазы онтогенеза растений, использованных для его получения, от способа предварительной подготовки используемого растительного сырья, а также сроков хранения готового эфирного масла. По данным литературы 95-98% лимонена, содержащегося в эфирном масле многоколосника морщинистого, приходится на R-(+)-лимонен, и 97-99 % пулегона представлено в S-(-)-форме.[

1

2

Рисунок 5.1 - Хроматограмма эфирного масла многоколосника морщинистого (Agastache rugosa (Fisch. et Mey) O. Kuntze: 1-общий вид; 2 - фрагменты хроматограммы, включающие пики энантиомеров лимонена и пулнгона

Методика заключается в использовании анализа обработанной смесью гексана и ацетона (3:1) пробы эфирного масла методом газо-жидкостной хроматографии с использованием метода внутренней нормализации без учета поправочных коэффициентов на хроматографе с пламенно-ионизационным детектором, стеклянной капиллярной колонкой длиной 30 м и внутренним диаметром 0,321 мм с использованием неподвижной фазы Cyclosil B. По соотношению характеристических пиков энантиомеров лимонена и пулегона, и при содержании R-(+)-лимонена 95-98 % и S-(-)-пулегона 97-99 % масло относят к эфирному маслу многоколосника морщинистого (рисунок 5.1).[18]

.2 Показатели доброкачественности

Многоколосника морщинистого трава, собранная в фазу цветения и высушенная, содержит не менее 4,0 % суммы флавоноидов в пересчете на лютеолин (С15Н1006; молекулярная масса - 286,2) в сухом сырье. Согласно фармакопейной статье Государственной фармакопеи Республики Беларусь допускаются примеси: нecыpьeвые части растения (почерневшие и побуревшие части травы) - не более 5 %.; органические и минеральные примеси: не более 1 % каждая. Потеря в массе при высушивании - не более 13,0 %. Общая зола - не более 17.0%. [17]

.3 Методы количественного определения действующих веществ

Фармакопейная методика: 1,000 г измельченного сырья (2000) помещают в колбу вместимостью 100 мл, прибавляют 30 мл спирта (70%, об/об) Р и нагревают с обратным холодильником в водяной бане при температуре от 800 С до 900 С в течение 30 минут. Охлаждают до комнатной температуры и фильтруют надосадочную жидкость через бумажный фильтр в мерную колбу вместимостью 100 мл. Экстракцию повторяют дважды спиртом (70%, об/об) Р порциями по 30 мл. Полученные извлечения охлаждают, фильтруют в ту же мерную колбу и доводят спиртом (70%, об/об) Р до объема 100,0 мл (раствор А). Испытуемый раствор - 1,0 мл раствора А разводят спиртом (70 %, об/об) Р до объема 100,0 мл. Компенсационный раствор - спирт (70%, об/об) Р. Измеряют оптическую плотность (2.2.25) испытуемого раствора при 330 нм. Содержание суммы флавоноидов в пересчете на лютеолин в процентах рассчитывают по формуле:


где А - оптическая плотность испытуемого раствора;- масса навески испытуемого сырья, г;

,8 - удельный показатель поглощения лютеолина. [17]

. ПРИМЕНЕНИЕ МНОГОКОЛОСНИКА МОРЩИНИСТОГО (ЛОФАНТА) ТРАВЫ

Многоколосник морщинистый - единственный вид рода Agastache Clayton ex Gronov, эндемичный для Восточной Азии, широко используется в китайской, корейской и японской традиционной медицине. Лекарственным растительным сырьем является свежая или высушенная надземная часть растения (соцветия, листья, негрубые олиствленные стебли с интенсивным ароматом) срезанная на высоте 20 см над землей в период начала или полного цветения.

Многоколосник морщинистый широко используется в китайской гербологии, где он считается одним из основных 50 трав. Считаясь "теплой" травой, он используется при "сырости" в пищеварительной системе, возникающей из-за плохого пищеварения и снижения жизнеспособности. Это растение может быть использовано как единый препарат или в качестве ингредиента в многокомпонентных составах, наиболее часто используемых TCM и другими азиатскими традиционными системами для улучшения аппетита и укрепления пищеварительной системы, для снятия симптомов расстройства желудка, вздутия живота, тошноты и рвоты. Трава многоколосника морщинистого также используется для лечения утренней тошноты у беременных (в сочетании с Scutellaria). Листья многоколосника морщинистого используют при лечении диареи и головной боли, настой из листьев - при облегчении боли при стенокардии. [4,14,15]

.1 Фармакологическая активность

Многколосник морщинистый является одним из основных растений рода Agastache Clayton ex Gronow в большинстве опубликованных данных при исследовании фармакологической активности in vitro и на животных.

Наиболее часто встречающееся свойство эфирных масел из различных лекарственных растений - антимикробная активность. Многоколосник морщинистый не является исключением. Это растение обладает противогрибковым, антибактериальным действием, эффективно при вирусных инфекциях. Противогрибковая активность метилхавикола было доказана против Aspergillus niger, Aspergillus flavus, Trichoderma viride, Candida albicans, Candida utilis, Candida tropicalis и некоторых других патогенных грибов. /18/Из листьев многколосника морщинистого в эксперименте был выделен 4′,5-дигидрокси-3,3′,7-триметоксифлавон или пачиподол, являющийся три - О -метиловым эфиром кверцетина. Это высоко липофильное соединение избирательно ингибирует некоторые патогенные человеческие РНК - вирусы - риновирус, вирус Коксаки, полиовирус. [2]

В настоящее время большой научный интерес представляет антиоксидантная активность фенольных метаболитов многоколосника морщинистого, в частности входящих в его состав флавоноидов и розмариновой кислоты. Флавоноиды являются мощными антиоксидантами. Антиоксидантные свойства флавоноидов определяются как способностью этих молекул захватывать свободные радикалы, так и способностью хелатировать катионы металлов переменной валентности, участвующих в процессах окисления. Примечательно, что при образовании комплексов с металлами антиоксидантные свойства флавоноидов усиливаются. Флавоноиды способны также проникать в гидрофобные области биологических мембран, благодаря чему достигается весьма действенное влияние этих веществ на многие процессы в клетках. [19] В опытах in vitro именно с розмариновой кислотой и акацетином и его гликозидами в основном связывают антиоксидантную, противовоспалительную и гепатопротекторную активность водно-спиртового экстракта многоколосника морщинистого. [20]

В эксперименте было установлено седативное действие многоколосника морщинистого травы, а также повышение резистентности организма к неблагоприятным условиям окружающей среды. [20]

.2 ЛС (показания к применению, противопоказания, страна-производитель)

.2.1 Лекарственные средства

«Агастацин» - комбинированное гепатопротекторное лекарственное средство растительного происхождения.

Состав: травы многоколосника морщинистого измельченной - 100 г; плодов расторопши пятнистой измельченных - 100 г; спирта этилового 70 % - достаточное количество до получения 1 л лекарственного средства.

Комплекс биологически активных веществ травы многоколосника морщинистого (Agastache rugosa) и плодов расторопши пятнистой (Silibum marianum) оказывает гепатопротекторное, антитоксическое, антиоксидантное действие. Гепатопротекторное действие Агастацина обусловлено антиоксидантными и мембраностабилизирующими свойствами входящих в его состав компонентов. Препарат обеспечивает нормализацию уровня плазменных трансаминаз способствует восстановлению функции гепатоцитов, снижает дегенеративные, жировые изменения в печени, усиливает внутриклеточный обмен.

Показания к применению. Лекарственное средство показано при острых и хронических инфекционных, токсических и лекарственных гепатитах; при циррозе печени и жировом гепатозе у взрослых; для профилактики повреждений печени при значительном приеме веществ и лекарств, отягощающих функцию печени.

Способ применения и дозы: принимается внутрь по 10-15 мл на 0,5 стакана воды, 1-2 раза в день до еды.

Побочное действие - возможны аллергические реакции на вещества состава. Противопоказано при повышенной чувствительности к состовным компонентам.

Производитель: НПРУП «Диалек» (Беларусь).

.2.2 Биологически активные добавки к пище

«Шиповит» - сироп душицы, солодки, многоколосника и шиповника, биологически активная добавка к пище.

Способ применения и дозы: применяется в качестве общеукрепляющего средства при простудных заболеваниях, повышенной утомляемости, интенсивных умственных и физических нагрузках. Взрослым и детям старше 3-х лет для приготовления поливитаминного напитка с приятным вкусом и запахом - 3 чайных ложки (15мл) сиропа 1 раз в день внутрь или на стакан кипяченой воды.

Производитель: ОАО «Экзон» (Беларусь).

КУП Минская овощная фабрика выпускает травяные напитки, в состав которых входит трава многоколосника морщинистого. Это чайный напиток тонизирующий «Летний», состоящий из чая черного и травы многоколосника морщинистого. Традиционный черный чай дополнен освежающим летним ароматом многоколосника. Травяной напиток «Девять сил» (трава душицы, мелиссы, многоколосника, эхинацеи и корень девясила) благотворно влияет на самочувствие. Имеет золотистый цвет, нежный анисовый аромат. «Душечка», состоящая из травы душицы и многоколосника, плодов шиповника, листьев шалфея лекарственного - прекрасный напиток из трав для приятного чаепития.


ЗАКЛЮЧЕНИЕ

В США и странах ЕС многоколосник морщинистый относится к пря-но - ароматическим растениям, широко используется в кулинарии, парфюмерии и ландшафтном дизайне. Многоколосник морщинистый - это не только пряно - ароматическое, но и лекарственное растение с богатым химическим составом, содержащее различные группы биологически активных веществ, которые обуславливают его широкую фармакологическую активность.

В Республике Беларусь впервые фармакопейная статья на многоколосника морщинистого траву была включена в Государственную фармакопею Республики Беларусь издания 2008 года. Однако, стоит заметить, что в фармакопейной статье отсутствуют современные методы качественного и количественного анализа на данный вид сырья, например, высокоэффективная жидкостная хроматография. Несмотря на многогранность терапевтического действия и широкое применение в народной медицине многоколосник морщинистый продолжает оставаться малоизученным. На сегодняшний день в официнальной медицине многоколосник морщинистый применяется только в качестве гепатопротектора и входит в состав общеукрепляющих биологически активных добавок к пище. Поэтому, фармакогностическое изучение этого растения, обоснование его применения в качестве лекарственного растительного сырья и получения лекарственных средств, не содержащих этанол, таких, как густые экстракты, таблетки, капсулы, является весьма актуальным.

Анализ литературных данных свидетельствует о перспективных возможностях дальнейших исследований биологически активных веществ травы многоколосника морщинистого и их фармакологической активности, что позволит открыть большие перспективы использования данного растения в фармации и медицине.

СПИСОК ИСПОЛЬЗОВАННЫХ ИСТОЧНИКОВ

1. ChineseVirtual Herbarium(CVH) [Электронный ресурс]. - Режим доступа: http://www.cvh.org.cn/db/data_allspmfinal/data_pview. - Дата доступа: 27.04.2015.

. Zielińska, S. Phytochemistry and bioactivity of aromatic and medicinal plants from the genus Agastache (Lamiaceae) /S. Zielińska, A. Matkowski//Phytochemist Rew/- 2014. №13. - P. 391-416 [Электронный ресурс]. - Режим доступа: http://www.researchgate.net/publication/. - Дата доступа: 27.04.2015.

. Вульф, Е.В. Мировые ресурсы полезных растений. Справочник/Е.В. Вульф, О.Ф.Малеева. - Л.: Наука, 1969.- 562с.

. Medicinal Plants in the Republic of Korea. / WHO Regional Publications Western Pacific Series No.21 - World Health Organization, Regional Office for the Western Pacific, Manila,-1998. - 318 p.

. Flora of Japan by Jisaburo Ohwi - Smithsonian Institution, Washington, D.C. 1965.-1068 p.

. Флора СССР/ Комаров В.Л. [и др.] - Изд-во АН СССР, Москва-Ленинград, 1954. - Т. 20. - 556с.

. Карпук, В.В. Фармакогнозия: учебное пособие / В. В. Карпук. - Минск: БГУ, 2011. - 340 с.

. Корзун, О.С. Лекарственные растения: учебное пособие / О.С.Корзун, Н.А.Дуктова. - Горки: БГСХА, 2013. - 246с.

. Рудник, Г.О. Онтогенез Agastache rugosa / Г.О. Рудник // Modern Phyto-morphology.- 2013. - №4. - С.257-260.

. Коваленко, Н.А. Динамика накопления и компонентный состав эфирного масла Agastache rugosa L./ Н.АКоваленко [и др.]// Труды Белорусского государственного технологического университета. Серия 4: Химия, технология органических веществ и биотехнология. - Минск, 2008. - № 4. -Режим доступа: http://cyberleninka.ru/article. -Дата доступа: 18.04.2015.

. Особенности биохимического состава некоторых видов семейства Яснотковых при интродукции в Беларусь / Ж.А.Рупасова [и др.]// Материалы докладов международной конференции. 30-31 мая. Минск, 2002. - С.233-235.

. Многоколосник морщинистый при интродукции в Белоруссию/ Л.В. Кухарева [и др.] // Материалы докладов международной конференции. 31 мая - 2 июня. Минск, 1999. - С. 71-72.

. Lim,S.S. Chemical Composition of Essential Oils from Flower and Leaf of Korean Mint, Agastache rugosa /Soon Sung Lim, [et al.] // Asian Journal of Chemistry/ - 2013.Vol.25 №8. - P.4361-4363. [Электронный ресурс]. - Режим доступа: http://www.asianjournalofchemistry.co.in/publication/. - Дата доступа: 30.04.2015.

. Hempen, C.-H. A Materia Medica for Chinese Medicine: Plants, Minerals and Animal Products /Carl-Hermann Hempen, [et al.]// - Elsevier Health Sciences, 2009. - 1007p. [Электронный ресурс]. - Режим доступа: https://books.google.ru/ - Дата доступа: 21.04.2015.

. Brand, E. Concice Chinese Materia Medica /Jian Ming Zhong Yao Xue// Eric Brand, Nigel Wiseman/// - Paradigm Publications, 2008. - 575p. [Электронный ресурс]. - Режим доступа: https://books.google.ru/. - Дата доступа: 21.04.2015.

. Wu, J.-N. An illustrated Chinese materia medica / Jing-Nuan Wu// 1933-2002 [Электронный ресурс].- Режим доступа: http//archive.org/ stream/An.illustrated. chinese.materia. medica Pdf Book. - Дата доступа: 27.04.2015.

. Государственная фармакопея Республики Беларусь / под общ. ред. А.А.Шерякова. - Молодечно, 2008. - Т.2. - 472с.

. Способ идентификации эфирного масла многоколосника морщинистого: пат. 15602 Респ. Беларусь, МПК G 01 N 30/02, G 01 N 33/02/ Н.А.Коваленко, Г.Н.Супиченко, В.Н.Леонтьев, А.Г. Шутова, Е.В.Спиридович; заявитель: УО "Белорусский государственный технологический университет". - № а 20101011; заявл. 01.07.10; опубл. 28.02.12 // БГТУ / Патентоведение и охрана интеллектуальной собственности. - Режим доступа: http://www.belstu.by/patentovedenie-i-ohrana-intellektualnoj sobstvennosti/2012 - Дата доступа: 18.06.2015.

. Флавоноиды: биохимия, биофизика, медицина / Тараховский Ю. С. [и. др.]. - Пущино: Sуnchrobook, 2013. - 310 c.

. Пленина, Л.В. Агастацин® - новый растительный гепатопротектор (результаты клинических испытаний) /Л.В. Пленина и др.// Рецепт - 2007. - №2 (52). - С.132-136.

Похожие работы на - Многоколосник морщинистый (Agastache rugosa (Fisch. et Mey) O. Kuntze): стандартизация и применение

 

Не нашли материал для своей работы?
Поможем написать уникальную работу
Без плагиата!
Без нейросетей!