Репутационные модели бизнеса

  • Вид работы:
    Курсовая работа (т)
  • Предмет:
    Эктеория
  • Язык:
    Русский
    ,
    Формат файла:
    MS Word
    87,17 Кб
  • Опубликовано:
    2016-06-21
Вы можете узнать стоимость помощи в написании студенческой работы.
Помощь в написании работы, которую точно примут!

Репутационные модели бизнеса

Введение

Прежде всего, необходимо привести определения терминов, сущностей и явлений, которым посвящено данное исследование.

Репутация - общественное восприятие об агенте, сложившееся на основе его прошлых действий, о его намерениях и нормах. Интерпретируем это как количественную оценку, рассчитываемую на основе действий агента, наблюдаемых другими агентами. Важно разделять понятия репутации и доверия - репутация является объективной величиной, а доверие - нет; репутация существует в сознании множества агентов, доверие - одного (субъекта доверия); доверять можно как на основе репутации, так и вопреки ей (то есть репутация может служить источником доверия).

Репутационнные модели - модели, вычисляющие репутацию количественно или вовлекающие значение репутации в решение иных задач. Соответственно, в настоящем исследовании рассматриваются модели, относящиеся к репутации, а не к доверию (в случае, если модель вовлекает оба понятия, постараемся все же ограничиться репутацией).

Управление бизнес-процессами - современный подход к управлению компанией, сочетающие в себе моделирование процессов с их оптимизацией и автоматизацией. Включает в себя необходимые методологические и инструментарные средства.

Под «использованием» репутации (соответствующих моделей) подразумевается не только вычисление репутации компании и ее мониторинг / искусственное изменение, как предлагает большинство существующих на рынке решений, но и обеспечение поддержки принятия решений с помощью выходных данных моделей, реализация некоторых приложений репутации в бизнесе (см. соответствующий раздел гл. 1).

Роль репутации в бизнесе

В настоящее время репутация является - явно или неявно - одной из главных характеристик компании, и ее роль продолжает расти. Этот рост может быть объяснен несколькими тенденциями: Изменения в производстве. Производственные процессы и цепочки добавленной стоимости в течение последнего века значительно усложнились и стали ненаблюдаемыми для конечных потребителей продукции. Это спровоцировало переход многих товаров в группу доверительных (подробнее эти изменения рассматриваются в [3]). Для доверительных товаров качество уже не имеет решающего значения при принятии решения о покупке, так как не может быть достоверно оценено потребителем - и его функции могут быть приняты на себя репутацией производителя. Появление бизнеса в Интернете и развитие e-commerce. Особенности онлайн-среды часто побуждают потребителя брать на себя дополнительные риски, а именно, покупать продукт или услугу, имея в наличии лишь его виртуальный образ. В результате покупатели могут не получить достаточной мотивации, чтобы платить за более высокое качество, и таким образом вся ситуация может выродиться в «рынок лимонов», описанный в [4]. Репутация позволяет смягчить информационную асимметрию, например через сигналы для потребителей или штрафные санкции для продавцов.

Развитие экономики обмена (англ. Sharing economy). Повсеместное проникновение Интернета и развитие платежных систем в начале ХХI века привели к появлению новой бизнес-модели для совместного использования благ. Одной из форм реализации этой модели является онлайн-платформа, посредник, предоставляющий С2С услуги (примеры: Airbnb, Uber). Очевидно, что ключевой аспект в такой модели - доверие агентов, соединяемых посредником, друг к другу, которое может быть обеспечено репутацией агентов.

Постановка проблемы

Работы, посвященные репутации, появились в середине ХХ века. С тех пор моделей, описывающих репутацию и различные ее приложения в бизнесе, создано большое количество, как и научных работ, описывающих управление репутацией в различных контекстах и бизнес-условиях, однако ощущается нехватка в исследованиях, связывающих эти две группы - посвященных внедрению репутационных моделей в деятельность компании и ее составляющие. Существующие исследования либо описывают разработку модели для частного случая и заранее установленных бизнес-условий (см, например, [5]), либо освещают исключительно техническую сторону внедрения: создание необходимых программных продуктов, архитектуру реализующих модель систем. Недостаточно внимания уделено опредению места различных репутационных моделей в управлении бизнес-процессами; кроме того, не рассматриваются границы применимости тех или иных моделей в разных бизнес-условиях.

Разработка методов внедрения может включать в себя, как минимум, следующие этапы:

1.            Определение места модели в управлении бизнес-процессами компании

2.            Определение границ применимости модели

3.            Разработка рекомендаций по технической реализации модели

4.            Анализ кейсов внедрения в бизнесе

5.            Обобщение выходной информации предыдущих этапов в виде методики

В настоящей работе исследуются вопросы, касающиеся этапов 1 и 2. Таким образом, проблема для данного исследования может быть сформулирована следующим образом:

Нехватка исследований в области определения места репутационных моделей в управлении бизнес-процессами компании, границ применимости моделей.

Актуальность проблемы

Актуальность проблемы, поднятой в исследовании, обусловлена следующими факторами:

·              Разница количестве работ по созданию моделей и их внедрению - для работы Zaharia [6], предлагающей модель Sporas для расчета репутации агентов в сети, количество цитат - 574, для работы Isaac Pinyol et al. [7] о разработке онтологии репутационных моделей и API к нему - 43 (по данным scholar.google.com на 15.05.16). Даже с учетом того, что аудитория, цитирующая работу о модели, потенциально шире, разница значительна.

·              Возрастающая роль репутации в бизнесе (см. выше)

·              Растущая потребность в ИТ-аутсорсинге и динамичность бизнес-среды - вследствие этого создание моделей собственными силами под условия конкретной компании (как в существующей литературе) может стать невыгодным и вырастет потребность в методике выбора из существующих моделей

·              В настоящий момент большая часть решений на рынке, использующих репутацию, реализует только сбор информации о репутации компании и расчет «уровня репутации». Использование репутации для принятия стратегических решений не предлагается.

Результаты ВКР могут быть полезны для:

·              Дальнейших исследований в области использования репутационных моделей в УБП (управление бизнес-процессами) - например, рассмотрения других этапов.

·              Компаний, поставляющих корпоративные ИТ-решения, работающие с репутацией

·              Компаний, имеющих потребность во внедрении решения по использованию репутации для принятия решений

·              Исследователей, занимающихся разработкой репутационных моделей

Объект и предмет исследования

Объект данного исследования - репутационные модели. В соответствующем разделе будут рассмотрены репутационные модели, предлагаемые в современной литературе.

Предметом исследования является внедрение репутационных моделей в УБП, а именно - место моделей в УБП и границы их применимости. На данный момент УБП является наиболее совершенной методологией, соединяя в единую систему управление процессами с их автоматизацией.

бизнес репутационный экономика

1. Обзор литературы


В данной главе будут изучены работы, относящиеся к проблеме исследования. Рассматривались три направления исследований как отечественных, так и зарубежных авторов:

.        Разработка репутационных моделей, обзоры существующих моделей.

.        Приложения репутации в бизнесе

.        Способы технической реализации моделей. Направление, наиболее приближенное к проблеме, рассматриваемой в данном исследовании. К этой же группе относятся работы, описывающие решение бизнес-задачи конкретной компании через создание и внедрение модели. Внимание направлено на работы, предлагающие методы для внедрения существующих моделей.

Модели

В ходе изучения литературы по репутационным моделям главное внимание уделялось их предпосылкам и назначению (задаче, которую автор модели предлагает решить с ее помощью). Рассмотренные модели используют методы теории графов - в основном для расчета репутации контрагентов в социальной сети, которую граф и моделирует - и теоретико-игровые методы - такие модели, как правило, не только и не столько рассчитывают репутацию, но и вовлекают ее в решение других задач. В ходе изучения литературы этого направления были рассмотрены 9 моделей. Их краткие описания приведены ниже.

Модель простого суммирования / среднего значения

Модель [8] посвящена рассчету репутации агента на основе оценок, даваемых ему (взаимодействию с ним) другими агентами. По результату взаимодействия агент имеет возможность оставить репутацию контрагента без изменений (нейтральная оценка), увеличить ее на определенное значение (положительная оценка) или уменьшить на него же (отрицательная оценка). В различных вариантах модели итоговое значение - сумма положительных и отрицательных оценок или средняя оценка. Такой метод дает довольно неточный результат, однако очень прост в использовании. Модель требует наличия унифицированного механизма оценивания (также могут использоваться дополнительные механизмы, обеспечивающие истинность оценок). Используется (в различных модификациях) в крупных торговых площадках в Интернете, например, E-bay

Sporas

Sporas [6] - модель, предназначенная для оценки репутации в контексте совершения транзакций. Предполагает оценивание контрагентами друг друга по определенной шкале. После каждой новой транзакции репутация оцениваемого агента изменяется, причем чем репутация ниже, тем значительнее новая оценка ее меняет. В этой модели предлагается также оценивать надежность репутации на основе стандартного отклонения ее значений. Основные принципы, на которых построена Sporas:

. Пользователь не может мимикрироваться (т.е. использовать чужой идентификатор), но его идентификатор может быть анонимным для сохранения приватности.

. Значение репутации пользователя не может быть меньше значения репутации новичка (минимальное значение), в противном случае при плохой репутации у него появится стимул сменить идентификатор.

. Злоумышленники не могут (или для них нет стимулов) объединяться и совершать «пустые транзакции», положительно оценивая друг друга и тем самым повышая собственную репутацию.

. Злоумышленник не может создавать «пустые» идентификаторы для повышения репутации своего идентификатора (для этого вес оценки должен зависеть от репутации).

. Значение репутации ограничено сверху, в противном случае обладатель высокой репутации может не заботиться о мнениях других участников.

. Значение репутации является субъективным ожиданием и зависит от прошлой деятельности агента (память), значение обновляется после каждой оценки транзакции (обратная связь).

. Вводится временное окно для расчета репутации, поскольку агентам (людям) свойственно изменять поведение со временем;

Перечисленные принципы требуют наличия системы со строго установленными правилами, внутри которой существуют оценивающие друг друга контрагенты - для контроля над их возникновением (валидностью идентификаторов).

Алгоритм для вычисления репутации в социальной сети ReMSA

Разработан JooYoung Lee в [9]. Служит тем же целям, что SPORAS, однако является более совершенным за счет учета частоты взаимодействий. Кроме того, он принимает во внимание топологию сети, учитывает влияние механизмов распросранения репутации на репутацию конкретного агента.

Модель Schillo

Децентрализованная модель подсчёта репутации и доверия, предложенная Schillo [10], помогает оценить вероятность успешного взаимодействия с контрагентом и предназначена для сценариев, в которых результат взаимодействия между двумя агентами (с точки зрения репутации) представлен бинарным значением «хорошо» или «плохо». Эта предпосылка модели, на мой взгляд, может существенно ограничить ее применение в бизнесе, так как для выбора партнера бинарная шкала может быть слишком грубой; в этом случае необходимо для каждого контекста оцениваемых взаимодействий разработать четкие критерии для «хорошо» и «плохо», так как сами по себе эти оценки субъективны.

Агенты участвуют в многоэтапной игре, на каждом этапе есть фаза выбора партнера. Каждый агент получает информацию о результатах игры, в которую он играет, а также о результатах игр, играемых некоторым подмножеством игроков (его соседей). Результатом взаимодействия является оценка честности партнера (выполнил ли партнер то, что «обещал» (утверждал) в фазе выбора или нет) и принятие решения о сотрудничестве.

Формулой для расчета доверия того, что агент Q достоин агента A (вероятности того, что агент будет честным в следующем взаимодействии) является p(A, Q) = e / n, где n - общее число наблюдаемых ситуаций, а е - количество ситуаций, в которых агент был честным. Дополнительно агент может опросить других агентов. Каждый агент использует ориентированный граф TrustNet, в котором он представлен корневой вершиной, свидетели представлены дочерними вершинами, а ребра несут информацию о наблюдениях свидетелей. Сокрытие информации моделируется как случайный процесс, в котором агент решает сообщить позитивную информацию о другом агенте с вероятностью Р и не сообщать с вероятностью (1 - P).

Mui - Вычислительная модель доверия и репутации

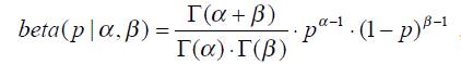
В [2] предлагается вычислительная модель, основывающаяся на правилах Байеса и бета-функции распределения вероятности для выбора партнера для взаимодействия. Апостериорные значения репутации вычисляются как комбинация априорных значений новых оценок (рейтингов). Значение репутации может быть представлено в форме математического ожидания бета-функции, заданного параметрами α и β, где α - количество положительных оценок участника, а β - количество отрицательных:


Бета-функция распределения оценок

где 0 < p <1, α > 0, β > 0.


Для новичка a = 1 и b = 1, при таких параметрах бета-распределение вырождается в равномерное распределение. После получения r позитивных и s негативных оценок параметрами апостериорного распределения будут a = r + 1 и b = s + 1. Распределение отражает вероятность успешных взаимодействий с данным пользователем в будущем.

В этой модели, как видно из используемых параметров распределения, как и в модели Schillo, используется бинарная шкала для оценивания, что влечет за собой такие же ограничения и дополнительные условия.

Репутация с точки зрения потребителей (без динамики)

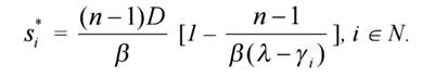
Модель разработана в [11], рассматривается конкуренция по репутации между фирмами. Результатом применения модели являются оптимальные для фирмы инвестиции в репутацию. Предполагается, что все фирмы производят однородную продукцию с постоянными ценами и суммарным спросом - что вполне реалистично в условиях, например, нишевого рынка и краткосрочной перспективы. Спрос на продукцию фирмы определяется ее репутацией, репутацией конкурентов и суммарным спросом - эти предпосылки, например, соответствуют ситуации внутри одной ассортиментной категории торговой Интернет-площадки (при условии выполнения предыдущих условий). Репутация каждого агента зависит от инвестиций в нее. В этой ситуации существует выражение для оптимальных (равновесных по Нэшу) инвестиций в репутацию для каждого агента, приведенное на Рис. 3.


где si - инвестиции i-го агента, n - количество фирм, D - суммарный спрос, γi - удельные переменные издержки i-го агента, β - величина, зависящая от суммы γi по i=1,…n (таким образом, в качестве входных данных модели необходимы удельные переменные издержки каждого агента, что является ее больши недостатком).

Репутация с точки зрения потребителей (с динамикой)

Расширение предыдущей модели, так же описанное в [11], рассматривает динамическую ситуацию. Динамика репутации моделируется логистической кривой (см. Рис. 4):


где rit - репутация i-го агента в периоде t, Q() - одинаковая для всех агентов монотонно возрастающая функция, принимающая значения из интервала [-1; 1]. Величина si0 - значение инвестиций, необходимое для поддержания репутации i-го агента на постоянном уровне (выбирается агентом единожды). Логистический вид кривой динамики репутации может интерпретироваться следующим образом. Сначала изменение репутации происходит медленно (изменить сложившиеся стереотипы потребителей тяжело). Далее скорость увеличивается, но по мере приближения к максимально (или минимально) возможному значению опять уменьшается - всегда имеется часть потребителей, заставить которых изменить своим привычкам (отказаться от потребления некоторого товара, заменив его другим, и т.д.) достаточно трудно.

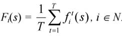
В модели вводятся функция прибыли агента в периоде t (см. Рис. 5)


, в которой st - вектор инвестиций в репутацию всех агентов в периоде t, а остальные обозначения соответствуют статической модели, и функция средней прибыли агента за Т периодов.


В получаемой игре существует равновесие Нэша, можно анализировать выигрыши и разрабатывать стратегии достижения нужной доли рынка (подробнее - в прилагаемых авторами модели примерах в [11]). Данная модель ведет к громоздким вычислениям при увеличении количества агентов.

Модель фирм, конкурирующих на рынке

Эта теоретико-игровая модель, разработанная в [11], позволяет спрогнозировать свой оптимальный объем выпуска («равновесный»), в зависимости от установившейся равновесной цены. Действия агентов, как и их прогнозируемые цены, зависят от их «типов».

В условиях неизвестности этих типов или спроса используется рефлексия - вектор типов или спрос заменяется представлениями агентов о нем (вектор представлений первого агента о других агентах, второго и т.д.). От действий агентов зависит их репутация - таким образом, возможно вычислять так называемый «репутационный фидбек», реакцию репутации на действия агентов.

Показано, что для корректного расчета репутации необходим второй ранг рефлексии - это означает наличие как реальных, так и фантомных (существующих в сознании других) агентов, реализующих механизм расчета представлений о представлениях. В модели необходимо вычислять действия всех агентов, как реальных, так и фантомных, что может привести к возрастанию сложности вычислений с увеличением их количества.

Приложения репутации в бизнесе

Концепция корпоративной репутации стяжает интерес в академической литературе с 1950-х годов . В большинстве исследований, которые связаны с бизнесом, репутация представляется в дискретном или непрерывном виде. Дискретное представление больше подходит для случаев, требующих только простого суждения "хорошей" против "плохой" репутации (например, [12]). Однако со временем стало понятно, что репутация - намного более сложное явление, чем казалось, дискретные представления стали многомерными, отражая восприятие компании кем-либо в том или ином контексте [13] . Непрерывное представление определяет репутацию как численную меру или актив . Для этого исследования , так как мы работаем с вычислительными математическими моделями и внедрением их в ИТ-системы, непрерывное представление более подходяще.

Кроме того, репутация может быть рассмотрена как обобщенное впечатление или информация об этом впечатлении, накопленная компанией (любым другим агентом с репутацией). Хороший пример представлен в [13] . Существующие исследования там разделены на концептуальные течения. Основные три из них различают репутацию на основе социальных ожиданий, корпоративной культуры и причин доверять и не доверять. Такой подход имеет ряд полезных приложений на практике, но имеет дело в основном с психологическими и социологическими вопросами, которые трудно описать математически.

Пример более подходящего обзора бизнес-приложений репутации представлен в [14]. Авторы Formbrum и Van Riel предлагают разделять понимание репутации и ее приложения на пять основных подходов - теоретико-экономический, стратегический, маркетинговый и учетный (см. Рис. 1)

Рисунок. Пять подходов к репутации, Formbrum и Van Riel,

В теоретико-экономическом подходе репутация рассматривается как сигналы или характерная черта («тип» компании в теоретико-игровых моделях, которые были рассмотрены выше). Эти сигналы могут возникать в различных контекстах, один из самых типичных примеров - сигналы для стейкхолдеров, свидетельствующие о благонадежности компании. Другим возможным типом сигнала является аренда репутации - например, найм зарекомендовавшего себя топ-менеджмента.

Как и «экономисты», приверженцы стратегического взгляда на репутацию пытаются завладеть конкурентным преимуществом засчет нее. Однако они рассматривают репутацию внутри рынка и рыночных условий - например как способ создания барьеров развития для конкурентов [15].

C точки зрения маркетингового подхода репутация помогает создавать нужный образ товара или услуги для потребителя, тем самым участвуя в их продвижении. Кроме того, репутация может являться мерой эффективности рекламных компаний (имиджевых, в первую очередь).

Репутация может применяться и для управления персоналом, считают приверженцы организационного подхода. Так, в некоторых [16] работах предлагается использовать репутацию компании для транслирования ее ценностей и культуры, связывания межнациональных подразделений. Кроме того, репутация отдельных работников и коллективная репутация могут использоваться для формирования команд (технически - за счет выявления взаимосвязей внутри коллектива на основе анализа корпоративной переписки и прочего).

Наконец, учетный подход рассматривает репутацию как нематериальный актив. Наиболее важными проблемами здесь являются управление репутационнными рисками и учет репутации. Как оценивать прирост репутации и ее ценность для компании? Как рассчитать эффективность инвестиций в нее? - вот основные вопросы, которые стоят перед исследователями этого направления.

Возможные приложения репутации, найденные автором данного исследования в результате развития идей, изложенных в [14], и распределенные по предложенным там же подходам.

Реализация моделей

Литературу, посвященную реализации репутационных моделей, можно разделить на несколько условных групп. Первая - это работы, описывающие авторские модели, созданные под нужды конкретной компании и внедренные затем в нее (как модель для TripAdvisor, рассмотренная выше). Будучи интересными, они, к сожалению, не предоставляют обобщения на другие бизнес-условия. Вторая - работы о применении репутации в многоагентных автоматизированных системах (интерес здесь представляют, например, использование репутации при выборе модуля в SOA предприятии [17] или для командной работы элементов роботизированных систем [18]). Такие исследования рассматривают приложения репутации на очень низком, техническом уровне (если перекладывать на УБП, то это уровень операций, или, еще ниже, business process workflows) - поскольку многие из них связаны с автоматизацией или дальнейшей оптимизацией уже автоматизированного. В настоящем же исследовании хотелось бы большее внимание уделить стратегическому использованию репутации. Наконец, третья группа - работы, рассматривающие внедрение существующих репутационных моделей в работу компаний. В этой группе особенный интерес представляют две работы.

Первая из них, написанная Francisco Moyano и др. [19], описывает фреймворк для создания приложений на основе репутацинных моделей. Проблема, обозначаемая авторами, близка к поднимаемой в настоящем исследовании (нехватка исследований в области внедрения репутационных моделей), однако речь идет исключительно о технической реализации, без какой-либо отсылки к УБП.

Во второй авторы (Isaac Pinyol и др., [7]) предлагают собственную онтологию для области доверия и репутации. Используя разработанный механизм сопоставления (mapping mechanism), агенты могут преобразовывать свои социальные взаимодействия в элементы онтологии, которые затем с помощью API, так же описанного в работе, преобразуются в элементы, доступные для использования в различных репутационных моделях. Эта работа интересна попыткой обобщить применение существующих моделей, уйти от разработок моделей «под ключ» благодаря API. Кроме того, сделана попытка обобщить и сделать более применимыми знания о репутации и ее приложениях путем создания онтологии. Однако снова отсутствует связь предлагаемых идей и механизмов с областью УБП, что может затруднить трансформацию предлагаемого решения в продукт или методики.

2. Разработка классификации моделей


Краткое описание

При создании классификации модели были сгруппированы по решаемым задачам (целям), которые и выполняют роль классов, и через них поставлены в соответствие эталонным бизнес-процессам, внутри которых они могут быть реализованы. Кроме того, в классификацию был добавлен уровень ограничений, систематизированных по месту возникновения (уровень моделей, уровень целей, уровень процессов). Обоснование подхода будет дано ниже.

Цели и требования

Данный раздел посвящен разработке классификации репутационных моделей. Ее создание преследует две основные цели:

·              Определить место репутационных моделей в управлении бизнес-процессами

·              Выявить и систематизировать факторы, определяющие границы применимости моделей.

Соотносительно этой цели и проблемы исследования к классификации предъявляются следующие требования:

1.            Рекомендательный характер - по месту модели в классификации возможно определить место модели в управлении бизнес-процессами компании

2.            Наличие сопоставления - необходимо сопоставить модели с элементами управления процессами или структурными элементами компании

3.            Общность - место моделей необходимо определить достаточно обще, чтобы итоговые рекомендации можно было применить на возможно большем наборе компаний (с необходимой детализацией/поправками)

4.            Учет влияния характеристик и компонентов модели

5.            Учет возможных типов бизнес-контекста

6.            Дополняемость - классификация должна иметь возможность быть легко расширенной в последующих исследованиях

При этом требования №№ 1-3 относятся к определению места модели в УБП, а №№ 4-5 - к выявлению факторов, определяющих границы применимости. Требование № 6 добавлено в целях предоставить возможность использовать классификацию в последующих исследованиях по теме.

Уровень моделей

Так как в данном исследовании мы говорим о применении репутационных моделей, то разработку классификации следует начинать с соответствующего уровня. На нем располагаются модели из списка, рассмотренного в обзоре литературы.

Уровень целей

Для выполнения требований общности и дополняемости модели должны быть сгруппированы по определенному признаку. Рассматривались группировки по следующим классам:

·              По математическим методам, используемым в модели - легко выделяемый признак, однако сложно сопоставляемый с областью знаний УБП: использование разных методов возможно в рамках одного и того же бизнес-приложения репутации. Кроме того, использование этого признака усложняет восприятие итоговых рекомендаций.

·              По структурным элементам моделей (например, формату входных данных) - признак очень хорош для последующего определения границ применимости, однако так же усложняет восприятие итоговых рекомендаций.

·              По целям (решаемым задачам) - признак удовлетворяет требованиям общности (достаточно просто сформулировать цели на нужном уровне абстрактности) и дополняемости (новые модели либо решают те же задачи, либо добавляют в классификацию новые). Требование сопоставимости так же выполнено, так как «цель» - характеристика, широко используемая в УБП на всех уровнях, от цели процедуры до цели организации. Получаемые в итоге рекомендации просты для восприятия, так как представители команд, занимающихся внедрением моделей/ основанных на них решений, обычно хорошо осведомлены о задачах, стоящих перед компанией в той или иной ситуации.

В ходе изучения литературы по репутационным моделям было выделено 8 основных решаемых ими задач (целей), их список и краткое описание приведены в Таблице 1. Эти цели представляют собой классы в разрабатываемой классификации. Некоторые их них дополнительно сгруппированы в цели верхнего уровня, для последующего уточнения влияний на орг.структуру компании после внедрения модели. Таким образом, в классификацию включены 6 классов:

Таблица 1. Выделенные цели (решаемые задачи)

Цели в\у

Решаемая задача (цель)

Краткое описание

-

Расчет репутации контрагента

Расчет уровня репутации агента на основе его взаимодействий с рассчитывающим

-

Расчет вероятности успешного взаимодействия с контрагентом

Выбор подходящих контрагентов для взаимодействия - обоснование решений по выбору поставщиков, партнеров, провайдеров аутсорсинговых услуг и т.п.

Управление собственной репутацией

Вычисление оптимальных инвестиций в репут. в конкурентной по репутации среде

Инвестиции в оптимальный уровень репутации относительно конкурентов


Расчет реак. репутации на различные действия агента

Репутационный фидбэк


Защита систем

Примеры: защита репутационной системы от ложных отзывов, обеспечение истинности транзакций в blockchaine системах


Расчет динамики рыночных показателей компании

Связь динамик репут. и таких показателей, как доля рынка или объем продаж


Таблица 2. Цели и соответствующие им модели

Решаемая задача (цель)

Модели

Расчет репутации контрагента

· SPORAS · Простое суммирование/ вычисление среднего · ReMSA, Lee

Расчет вероятности успешного взаимодействия с контрагентом

· Вычислительная модель доверия и репутации, Mui · Schillo

Вычисление оптимальных инвестиций в репутацию

· Репутация с точки зрения потребителей (статическая модель)

Расчет реакции репутации на различные действия агента

· Модель фирм, конкурирующих на рынке

Расчет динамики рыночных показателей

· Репутация с точки зрения потребителей (динамическая модель)

Защита систем

· Модель сертифицированной репутации для TripAdvisor


Уровень процессов

В качестве объектов, которым сопоставляются цели моделей в классификации, были выбраны процессы из 13-процессной эталонной модели [20] на основе схожести целей процесса с целями в классификации. Таким образом, классификация показывает, в рамках каких процессов могут быть достигнуты выявленные цели через использование выходной информации моделей - определяет место модели в УБП, центральным понятием которого являются процессы. Использование процессов из эталонной модели обеспечивает общность; при необходимости их можно декомпозировать для конкретного проекта.

Таблица ниже показывает, в рамках каких процессов достигаются цели и в качестве чего при этом используется выходная информация соответствующих моделей. Также она дополнена поясняющими примерами.

Предлагается использовать выходные данные моделей следующим образом:

1.            Входные данные для процессов, для обеспечения принятия решений внутри них

3.            Для контроля процесса - например, как значение, используемое для подсчета метрик

Таблица 3. Сопоставление целей с процессами

Решаемая задача (цель)

Эталонный процесс в/у

Использ. вых. дан. модели в процессе

Использование вых. дан. модели (пример)

Расчет репутации контрагента

Управление персоналом

Входные данные

Управление персоналом, выделение лидеров и экспертов на основе взаимодействий (корп. переписки)


Управление информацией

Входные данные

Мониторинг репутации контрагентов


Разработка стратегии

Входные данные

Бенчмаркинг репутации при входе на рынок

Расчет вероятности успешного взаимодействия с контрагентом

Управление внешними отношениями

Входные данные

Выбор партнера/ поставщика продукта или услуги

Вычисление оптимальных инвестиций в репутацию

Управление ресурсами

Выходные данные

Управление репутацией как активом

Расчет реакции репутации на различные действия агента

Управление развитием и изменениями

Входные данные, данные для контроля процессов

Прогноз изменений в репутации при изменении процесса


Управление качеством

Входные данные, данные для контроля процессов

Контроль качества продукции


Разработка стратегии

Входные данные

Расчет динамики репутации

Расчет динамики рыночных пок.

Разработка стратегии

Входные данные

Прогноз доли рынка на основе динамики репутации

Защита систем

Управление качеством

Данные для контроля процессов

Контроль истинности отзывов


Уровень ограничений

В работе под термином «ограничения» рассматриваются факторы, определяющие границы применимости модели. На верхнем уровне рассматриваются два основных фактора:

.        Целесообразность внедрения модели - некоторые цели из описанных в классификации могут противоречить целям компании. Достижение других целей может быть бессмысленным в контексте бизнес-модели компании или ее внешнего окружения.

.        Экономическая эффективность внедрения модели. Стоит отметить, что она зависит от экономической эффективности внедрения системы, которая эту модель реализует, и здесь возможна большая вариативность решений. В связи с этим учитываются только эффекты, связанные с непосредственным влиянием характеристик и компонент модели на процесс внедрения. Наиболее широкоиспользуемым показателем для оценки эффективности является ROI [21]. Для рассматриваемого случая издержки внедрения (модели) можно рассматривать как полную сумму инвестиций, а в качестве суммарного дохода - дополнительную прибыль, генерируемую за счет более качественного управления (или снижение издержек, произошедшее по той же причине). К этой же группе относятся модели, чье внедрение невозможно по техническим причинам (нереализуемо высокая сложность алгоритмов) - для них мы будем полагать издержки внедрения стремящимися к бесконечности.

Таким образом, каждое из расматриваемых далее ограничений влияет на один из главных факторов либо делая внедрение нецелесообразным, либо увеличивая его издержки. Поставив ограничения в зависимость от модели, цели или процесса, мы получим список факторов, определяющих границы применимости той или иной модели. Зависимость продиктована уровнем, на котором возникают ограничения. Например, специфические входные данные продиктованы самой моделью, а конфликт с целями компании - целью из классификации, распространяющей ограничения на все связанные с ней модели. Таблица, приведенная ниже, описывает выявленные ограничения и задает их структуру: верхнеуровневый фактор влияния, уровень в классификации, с которым ограничение связано.

Таблица 4. Ограничения - описание

Назв.

Описание

Пример

Несовместимость с целями организации

Цели модели могут быть несовместимыми с целями организации или их достижение может быть бессмысленным

Если необходимые для работы ресурсы поставляются поставщиком-монополистом, то выбор партнера по репутации (как в модели Schillo) бессмысленнен

Сложность вычислений

Модели могут требовать сложных вычислений/ использовать сложные алгоритмы

Модели, использующие рефлексию

Предпосылки о технических условиях реализации модели

Предпосылки моделей, рассматривающих репутацию в системах, могут требовать особых свойств от этой системы, реализуемых технически

Пример - модель SPORAS, включающая набор предпосылок для однозначного определения агента в системе

Входные данные

Могут требоваться данные, которые принципиально закрытые/ не существуют (не собираются никем)(случай с данными, слож. в сборе или обработке, уже описаны выше)

Модель «Репутация с точки зрения потребителей» требует на вход функции издержек всех агентов

Дополнительные компоненты к существующим процессам

Реализация модели может потребовать новые метрики, KPI, входы и выходы для существующих процессов

Модели, данные которых используются для контроля других процессов - у последних, очевидно, появляются новые метрики

Изменения в структуре знаний

Если компания имеет систему знаний, связи между значениями репутации и принятием решений должны храниться в ней /поступать в нее/ обновляться

Такой подход может использоваться при автоматизации принятия решений внутри процессов на основе репутационной информации

Изм. в связях между процессами

Могут появиться новые потоки данных между процессами

Предпосылки о бизнес-модели и внешнем окружении компании

Предпосылки модели могут быть невыполнимы в контексте бизнес-модели компании

Во внешнем окружении компании может быть нереализуем мех. оцен. агентами друг друга (например, если агенты анонимны)



Таблица 5. Ограничения - структура

Название

В\у фактор влияния

Уровень возн.

Несовместимость с целями организации

Целесообразность

Цели

Сложность вычислений

Экономическая эффективность

Модели

Предпосылки о технических условиях реализации модели

Экономическая эффективность

Модели

Входные данные

Экономическая эффективность

Модели

Дополнительные компоненты к существующим процессам

Экономическая эффективность

Процессы

Изменения в структуре знаний

Экономическая эффективность

Процессы

Изменения в связях между процессами

Экономическая эффективность

Процессы

Предпосылки о бизнес-модели и внешнем окружении компании

Экономическая эффективность

Процессы


Результаты

Результатом главы 2 является классификация, построенная на основе приведенных выше умозаключений и таблиц; по ней можно связать модель с эталонным процессом через преследуемую моделью цель. Три уровня - модели, цели и процессы - связаны между собой; возникающие на каждом уровне ограничения (являются факторами, определяющими границы применимости модели через ее целесообразность и стоимость) вынесены в отдельный уровень (группы по местам возникновения выделены пунктирными квадратами). Достоинствами классификации являются ее дополняемость, простота восприятия, обобщенность. К недостаткам ее можно отнести неполноту (компенсируется дополняемостью) и слабую привязку к математическим методам, используемым в моделях (что несколько снижает ценность работы для дальнейших математических исследований). Проверим классификацию на соответствие требованиям, выдвинутым выше:

1.            Рекомендательный характер - место модели в классификации связано с целью, которая, в свою очередь, связана с эталонным бизнес-процессом. Использование целей помогло сделать классификацию более понятной для практического применения, кроме того, таким образом можно сформировать рекомендации об использовании моделей в конкреных условиях. При необходимости может быть составлен частный вариант классификации пуьем декомпозиции целей и процессов

2.            Наличие сопоставления - модели через привязку к целям сопоставлены с эталонными бизнес-процессами. Эталонные бизнес-процессы являются важным понятием в УБП

3.            Общность - эталонные бизнес-процессы подходят для любой компании (по определению, [20]).

4.            Учет влияния характеристик и компонентов модели - добавлен уровень ограничений; показано, что часть ограничений возникают на уровне моделей

5.            Учет возможных типов бизнес-контекста - часть ограничений связаны с бизнес-контекстом

6.            Дополняемость - классификация легко дополняется новыми моделями/уровнями/процессами/ограничениями в виду своей структуры.

 

. Определение границ применимости


Определение границ через оценку целесообразности и издержек

Границы применимости для моделей определяются на основе ограничений на внедрение, выявленных в предыдущей секции. Как уже было сказано, каждое из них влияет на один из главных ограничивающих факторов (или на оба сразу) - экономическую эффективность (увеличивая издержки внедрения) или целесообразность (уменьшая значимость полученных результатов для компании).

Цель данной секции - сформулировать рекомендации относительно того, для каких компаний та или иная модель является применимой. Очевидно, что применимость модели сильно зависит от индивидуальных условий - стратегических приоритетов компании, особенностей ее структуры и стиля управления,финансовых ресурсов и тому подобного. Однако представляется возможным определить первичные примерные границы путем решения следующих подзадач (определение более точных границ может быть предметом будущих практических исследований):

·              Выявление потенциальных конфликтов целей компании и ограничений этого уровня

·              Определение точек возникновения дополнительных издержек внедрения для тех или иных моделей (через уже выявленные факторы-ограничения)

·              Примерная оценка издержек, где это возможно

Рекомендации в отношении первой задачи уже содержатся в формулировке соответсвующего ограничения, которое возникает на уровне цели «Выбор партнера для взаимодействия» и распространяется на модели «Schillo», «Вычислимая модель доверия и репутации». Цели компании должны включать в себя цель внедряемой модели. Для указанного выше примера цели и модели очевиден конфликт в ситуации монопольного рынка у поставщика - фирма-потребитель не может выбрать партнера для поставки с использованием моделей, так как вариант всего один. Для уточнения наличия этого отношения компании может потребоваться декомпозировать свои цели, используя дерево целей - объект, широко используемый в УБП [20].

В ходе анализа классификации, разработанной в предыдущей секции, и литературы по репутационным моделям и частным случаям их внедрения были выявлены следующие точки возникновения дополнительных издержек:

Сбор данных о репутации контрагентов. Возникает в ограничении «Входные данные», на уровне модели. Во внимание здесь принимается конечное значение репутации, которое может быть рассчитано внутри компании (путем внедрения модели с соотетствующей целью) или приобретено у провайдеров соответствующих услуг. В первом случае возникают издержки на внедрение двух моделей вместо одной, однако и потенциальных выгод может быть больше за счет функционала модели по расчету репутации (решение, таким образом, упирается в набор задач, которые компании необходимо достигнуть, используя репутацию). Во втором случае издержки формируются из цены использования инструментов извлечения нужных данных. Многое здесь зависит от бизнес-окружения компании. Для компаний, работающих внутри репутационных систем (например, продавцов на EBay) существует возможность использовать API этих систем, в который зачастую уже «зашиты» необходимые функции (как, например, в Контентом API Яндекс-маркета) и использование которого относительно дешево. Не стоит также упускать из виду издержки на оплату рабочего времени сотрудников, использующих API, или автоматизацию этих процессов. В случае, когда репутация агентов не рассчитывается централизованно, возникает проблема извлечения ее из неструктурированных данных, таких как отзывы (из разных источников, разного формата - например, все большую популярность набирают видео-обзоры на YouTube, так же являющиеся формой отзыва), сообщения во внутрикорпоративных сетях. Инструменты, решающие эти задачи, являются более дорогостоящими - и цена их тем выше, чем большее количество источников данных они в состоянии обработать. Ресурсами для разработки продуктов соответствующей сложности обладают очень немногие компании, что так же сказывается на стоимости. Кроме того, в случае анализа внутренних данных (например, корпоративной переписки) компании необходимо обладать необходимыми данными (генерировать их), а значит и технологиями их хранения. При невыполнении этого условия возникают новые ограничения, значительно удорожающие внедрение и влияющие на целесообразность. Сравнение различных инструментов для сбора данных о репутации приведено в таблице ниже:

Таблица 6. Сравнение инструментов извлечения данных о репутации

Название инструмента

Цена за мес. использования, тыс. руб.

API репутационных систем

EBay API [21]

Бесплатно

Контентный API Яндекс-маркета

Бесплатно/20(для непродающих на Я-м)

Инструменты извлечения репутации из неструктурированных данных

Sidorin Lab (sidorinlab.ru)

30

Brandspotter (brandspotter.ru)

40

Brand Analytics (br-analytics.ru)

150-515 (зависит от глубины ретроспективы)

Semantic Force (semanticforce.net)

65

SAP HANA, Event Steam Processing на базе Hadoop [22]

От 370 (учитывается только стоимость лицензии в пересчете на месяц)


Как видно из таблицы, большинство инструментов, анализирующих внешние данные, доступны по цене даже для небольших компаний (например, маленьких интернет-магазинов; средняя месячная прибыль предприятия e-commerce здесь считается 750 тыс. руб., как в [23]). Действительно дорогие решения связаны с анализом большого количества данных, генерируемых компаниями, которые могут позволить себе соответсвующую стоимость. Стоит также отметить, что большинство из недорогих решений ориентированы на работу с репутацией компании во внешней ей среде (на рынке, в публичном пространстве). Таким образом, при решении задач по управлению персоналом (см. приложения организационного подхода, гл 2, Рис. 8), где нужно анализировать объекты во внутренней среде компании, на выбор остаются только дорогие решения.

Сбор труднодоступных входных данных. К таким данным можно отнести входные данные модели «Репутация с точки зрения потребителей», а именно данные о структуре издержек конкурентов. Для их получения есть два пути: принять приблизительные данные (например, принять свою структуру издержек) или купить данные у провайдеров соответствующих услуг. Первый случай подходит для компаний на однородных по продукции и продавцам рынках, близких к совершенной конкуренции, но даже там эта предпосылка может привести к серьезному снижению качества получаемого результата. Выходом может служить использование выходных данных модели в качестве аргумента функции принятия решения, которая будет учитывать различные факторы с весами. Второй случай относится к анализу конкурентной среды, который входит в комплекс услуг маркетингового анализа, широко распространенных на рынке. Примеры стоимости таких услуг перечислены в таблице ниже.

Даже учитывая то, что качество информации может напрямую зависеть от стоимости, услуги конкурентного анализа являются доступными для широкого круга компаний. Стоит, однако, отметить, что чем динамичней рынок, чем меньше там барьеры для входа, тем быстрее растет количество конкурентов и их разнообразие - и тем чаще надо проводить конкурентный анализ, тем выше его стоимость в пересчете на период.

Обеспечение качества данных. В случае труднодоступности входных жанных для модели есть и другой путь - пользоваться приближенными данными. Например, для случая с удельными переменными издержками конкурентов представляется возможным в модели использовать издержки компании, реализующей ее. Для того, чтобы избежать негативных эффектов неточности данных, достаточно использовать несколько источников данных (что не является проблемой, так как в большинстве потенциальных случаев внедрения моделей, по видению автора данной работы, так как механизмы принятия соответсвующих решений / решения задач / достижения целей, очевидно, существуют в компаниях и без вовлечения репутации). В дополнение можно присваивать этим источникам веса в зависимости от достоверности используемых данных. Этот путь, однако, сопряжен с дополнительными издержками для лица, принимающего решения, или для автоматизации этого процесса. Также для многих моделей (например, Sporas) необходима защита от недобросовестных транзакций и оценок. Это может быть решено путем внедрения сертифицированной репутации или методами OERM. Например, к таким методам можно отнести оперативную реакцию на негативные отзывы или создание искусственного положительного фона в оценках / отзывах. Издержки, с которыми сопряжены методы OERM, сравнимы с издержками на сбор данных о репутации - чем глубже анализ / больше данных о компании, тем дороже услуги. Сертифицированная репутация внедряется обычно на уровне репутационной системы - как в случае с TripAdvisor - таким образом, все, что может сделать здесь компания - это правильно выбрать систему или модель, для которой уровень защиты будет приемлимым.

Сложность вычислений. Возникает на уровне моделей, в соответствующем ограничении. Из рассмотренных моделей наиболее релевантны ему использующие рефлексию - это «Поставщик и посредник», «Репутация с точки зрения потребителей», «Модель фирм, конкурирующих на рынке». В производимых там расчетах используются фантомные агенты - агенты, которые существуют лишь в сознании других агентов (в том числе и фантомных, определяется рангом рефлексии). Дополнительные вычисления требуют дополнительных мощностей. В связи с разнообразностью услуг по предоставлению таких мощностей, а так же требований к ним, не связанных напрямую с рассматриваемой ситуацией (например, размеры оборудования, виртуальность, требования к безопасности данных), дать стоимостную оценку издержкам сложно. Однозначно можно сказать лишь одно - чем больше агентов или чем выше ранг рефлексии, тем более сложны вычисления в модели. Таким образом, модели с рефлексией лучше всего подходят компаниям, оперирующим на рынке с небольшим числом игроков (олигополией).

Результаты

Результатом в данной секции является список моделей с соответствующими им рекомендациями по применению. По результатам анализа основными аспектами здесь оказались стоимость необходимых услуг для компании, ее внутренняя структура и параметры внешнего окружения.

.        Все модели - Чем больше компания, чем сложней ей даются изменения во внутренней структуре, тем менее применимы модели для нее.

1.      SPORAS - необходимо извлекать информацию для расчета репутации. Хорошо применима для компаний внутри репутационных систем, для остальных возникают издержки пропорциональные объему необходимых к обработке данных. Требует много предпосылок к техинческой реализации, для их обеспечения может быть внедрена совместно с другим моделями (например, моделями сертифицированной репутации)

2.      Schillo - требует на вход специфические данные, стоимость пропорциональна количеству игроков на рынке. Для олигополий или нишевых рынков. Кроме того, шкала оценок - бинарная, что приводит к неточности данных - может требоваться коррекция решения.

.        Модель E-bay. Простое суммирование - необходимо извлекать информацию для расчета репутации. Хорошо применима для компаний внутри репутационных систем, для остальных возникают издержки пропорциональные объему необходимых к обработке данных.

.        Вычислительная модель доверия и репутации - необходимо извлекать информацию для расчета репутации. Хорошо применима для компаний внутри репутационных систем, для остальных возникают издержки пропорциональные объему необходимых к обработке данных. В случае монополий у партнеров применение нецелесообразно. Кроме того, шкала оценок - бинарная, что приводит к неточности данных - может требоваться коррекция решения.

.        Модель фирм, конкурирующих на рынке - наилучшим образом подходит для рынков с олигополией или нишевых рынков. Чем больше игроков, тем менее применима.

.        Репутация с точки зрения потребителей (без динамики) - наилучшим образом подходит для рынков с олигополией или нишевых рынков. Чем больше игроков, тем менее применима, т.к. использует рефлексию и требует на вход специфические данные, которые тем дороже, чем больше игроков.

.        Репутация с точки зрения потребителей (с динамикой) - наилучшим образом подходит для рынков с олигополией или нишевых рынков. Чем больше игроков, тем менее применима.

8.      ReMSA - необходимо извлекать информацию для расчета репутации. Средне применима для компаний внутри репутационных систем, так как учитывает данные, которые могут не собираться внутри системы. Для остальных компаний возникают издержки пропорциональные объему необходимых к обработке данных.

.        Модель сертифицированной репутации для Trip advisor - для компаний внутри репутационных систем или других сетей с установленным механизмом оценивания контрагентами друг друга. Для других бизнес-условий (например, когда контрагенты оценивают друг друга в свободной форме) менее применима.

Общие рекомендации по применимости визуализированы в таблице ниже:

Таблица 7. Визуализация границ применимости


Относит. реп. систем

Много контрагентов

Доп. изд. на обесп. кач. дан.

Простое суммирование / среднее

Вне / Внутри

+

Низкие

Sporas

Вне / Внутри

+

Высокие

ReMSA

Вне / Внутри

+

Средние

Schillo

Вне / Внутри

+

Высокие

Выч. модель доверия и репутации

Вне / Внутри

+

Высокие

Фирмы, конкурирующие на рынке

Вне / Внутри

+

Низкие

Репутация в глазах потребителей (стат.)

Вне / Внутри

+

Высокие

Репутация в глазах потребителей (дин.)

Вне / Внутри

+

Низкие

Сертифиц. реп. для TripAdvisor

Вне / Внутри

+

Средние


Обозначения:

·        Зеленый - хорошая применимость

·        Желтый - применима с ограничениями / издержками

·        Красный - применима со значительными ограничениями / издержками

Заключение


Результаты исследования

Результатами исследования являются решения задач, поставленных во Введении:

.        Изучена литература, относящаяся к исследуемой теме - рассмотрены 9 репутационных моделей, возможные приложения репутации в бизнесе (составлен авторский список с использованием подхода, примененного в [16]). Рассмотрены работы по внедрению репутационных моделей, обозначено отсутствие освещения привязки моделей к УБП в них.

.        Разработана классификация репутационных моделей. В качестве классов предложено использовать цели - как характеристики, присущие каждой модели и широко используемые в УБП. Через эти классы модели привязываются к бизнес-процессам из эталонной 13-процессной модели. Добавлен уровень ограничений с систематизацией их по месту возникновения (процессы, цели, модели), указанием на вехнеуровневое ограничение (в работе выявлены два - целесообразность и экономическая эффективность) К классификации в работе выдвинуты требования, проверено соответствие результата им.

.        Определены границы применимости для моделей. Границы применимости выявлены на основе ограничений и поверхностной стоимостной оценки для преодоления этих ограничений. Таким образом, граница проходит по линии равенства стоимости преодоления и финансовых возможностей компании. Для некоторых границ оценка не проводилась и была заменена на установление зависимости между динамикой стоимости преодоления ограничений и внешними для компании факторами (так, увеличение количества продавцов на рынке увеличит стоимость внедрения моделей с рефлексией).

К направлениям будущих исследований в рассматриваемой области можно отнести, прежде всего, описание практических кейсов внедрения моделей. Описание практических кейсов может преследовать несколько целей, например:

·              Выявление новых ограничений

·              Уточнение границ применимости

·              Исследование экономической эффективности применения тех или иных моделей (полное, включая оценку получаемых выгод)

Кроме того, предлагается расширять, дополнять, изменять классификацию, добавляя новые модели и цели.

По результатам ислледования можно сделать следующие выводы:

·              Одним из вариантов определения места существующих репутационных моделей в УБП является построение классификации, связывающей модели с целями и эталонными бизнес-процессами

·              Этот вариант удобен тем, что предоставляет возможность построения рекомендаций по использованию конкретной модели в конкретных условиях - через привязку к процессам и выявление ограничений

·              Главными факторами, определяющими границы применимости моделей, являются целесообразность и экономическая эффективность внедрения. Их составляющие могут быть систематизированы по месту возникновения

·              Большая часть существующих репутационных моделей наилучшим образом применимы внутри репутационных систем (например, E-bay). Вне этих систем не существует установленного механизма оценивания контрагентами друг друга, что приводит к высокой вариативности оценок и увеличивает издержки на их извлечения, делая внедрение моделей доступным не для любой компании.


Список литературы


.        Cambridge Dictionaries Online Reputation Meaning in the Cambridge English Dictionary [Online]. URL: http://dictionary.cambridge.org/dictionary/english/reputation (25.02.2016)

.        Mui L., Mohtashemi M., Halberstadt A. A computational model of trust and reputation // System Sciences. 2002. P. 2431-2439.

3.      Розанова Н. М., Бакаев С. С. Эффект репутации на рынках доверительных товаров: деятельность ИТ-компаний в России // Пространство экономики . 2010. №2. URL: http://cyberleninka.ru/article/n/effekt-reputatsii- na-rynkah- doveritelnyh-tovarov- deyatelnost-it-kompaniy-v- rossii (дата обращения: 25.02.2016).

4.      Akerlof G. The market for “lemons”: Quality uncertainty and the market mechanism. - Macmillan Education UK, 1995. - С. 175-188.

.        Buccafurri F. et al. A Model Implementing Certified Reputation and its Application to TripAdvisor //Availability, Reliability and Security (ARES), 2015 10th International Conference on. - IEEE, 2015. - С. 218-223.

.        Zacharia G., Maes P. Trust management through reputation mechanisms //Applied Artificial Intelligence. - 2000. - Т. 14. - №. 9. - С. 881-907.

7.      Pinyol I., Sabater-Mir J., Cuní G. How to talk about reputation using a common ontology: From definition to implementation //Proceedings of the ninth workshop on trust in agent societies, Hawaii, USA. - 2007. - С. 90-101.

8.      Губанов Д.А. Обзор онлайновых систем репутации / доверия. - М: ИПУ РАН, 2009. Интернет-конференция по проблемам управления (www.mtas.ru/forum). -25 с.

9.      Lee J. Y. Reputation computation in social networks and its applications. - 2014.

.        Schillo M., Funk P., Rovatsos M. Using trust for detecting deceitful agents in artificial societies // Applied Artificial Intelligence, 14. 2000. P. 825-848.

11.    Ермаков Н.С., Иващенко А.А., Новиков Д.А. Модели репутации и норм деятельности. М.: ИПУ РАН, 2005. - 67 с.

.        Poiesz T. B. C. The image concept: its place in consumer psychology //Journal of Economic Psychology. - 1989. - Т. 10. - №. 4. - С. 457-472.

13.    Berens G., van Riel C. Corporate associations in the academic literature: Three main streams of thought in the reputation measurement literature //Corporate Reputation Review. - 2004. - Т. 7. - №. 2. - С. 161-178.

14.    Fombrun C., Van Riel C. The reputational landscape //Corporate reputation review. - 1997. - С. 1-16.

.        Barney J. B. Organizational culture: can it be a source of sustained competitive advantage? //Academy of management review. - 1986. - Т. 11. - №. 3. - С. 656-665.

.        Moyano F., Fernandez-Gago C., Lopez J. Building trust and reputation in: A development framework for trust models implementation //Security and Trust Management. - Springer Berlin Heidelberg, 2012. - С. 113-128.

.        Aziz B., Hamilton G. Enforcing reputation constraints on business process workflows //Journal of Wireless Mobile Networks, Ubiquitous Computing, and Dependable Applications. - 2014. - Т. 5. - №. 1. - С. 101-121.

.        Tuna G., Potirakis S. M., Koulouras G. Implementing a trust and reputation model for robotic sensor networks //Elektronika ir Elektrotechnika. - 2013. - Т. 19. - №. 10. - С. 3-8.

.        Moyano F., Fernandez-Gago C., Lopez J. Building trust and reputation in: A development framework for trust models implementation //Security and Trust Management. - Springer Berlin Heidelberg, 2012. - С. 113-128.

20.    Громов А. И. и др. «Анализ и моделирование бизнес-процессов» - Учебно-методический комплекс - Москва, 2007

21.    Allen D. Cost/benefit analysis for implementing ECM, BPM systems //Information Management. - 2007. - Т. 41. - №. 3. - С. 34.

.        PCWEEK. Идеи и практики автоматизации. По карману ли SAP HANA малому бизнесу? [Online] URL: http://www.pcweek.ru/idea/blog/idea/5471.php (18.05.2016)

.        SEOnews Что нам стоит интернет-магазин построить. Часть 4 [Online] URL: http://www.seonews.ru/columns/chto-nam-stoit-internet-magazin-postroit-chast-4/ (09.05.2016).


Не нашли материал для своей работы?
Поможем написать уникальную работу
Без плагиата!
Без нейросетей!