Анализ ассортимента, экспертиза качества и определение конкурентоспособности туалетного мыла, реализуемого в ООО 'Перспектива', г. Минеральные Воды
Реферат
Пояснительная записка содержит 94 стр., 25 табл., 22 рис., 26 источника
литературы, 2 приложения, 12 листов раздаточного материала.
Тема работы: "Анализ ассортимента, экспертиза качества и определение
конкурентоспособности туалетного мыла, реализуемого в ООО
"Перспектива", г. Минеральные Воды"
Ключевые слова: АССОРТИМЕНТ, МЫЛО, ЭКСПЕРТИЗА КАЧЕСТВА, ПОКАЗАТЕЛЬ
КАЧЕСТВА, ОРГАНОЛЕПТИЧЕСКИЕ МЕТОДЫ, ФИЗИКО-ХИМИЧЕСКИЕ МЕТОДЫ,
КОНКУРЕНТОСПОСОБНОСТЬ, МАРКЕТИНГОВЫЕ ИССЛЕДОВАНИЯ, РЫНОК, ПОТРЕБНОСТЬ.
В данной
дипломной работе рассмотрена история косметических товаров, анализ рынка исследуемых товаров, товароведная
характеристика мыла туалетного, классификация и ассортимент мыла, технология
производства. Проведена экспертиза качества мыла туалетного твердого детского с
экстрактом ромашки. Определена конкурентоспособность образцов мыла. Проведены маркетинговые
исследования.
Перечень обозначений и сокращений:
НД - Нормативная документация
ТД - Техническая документация
ТСД - Товарно-сопроводительная документация
ТУ - Технические условия
Содержание
Термины и определения
Введение
. Аналитический обзор литературы
.1 История косметических товаров
.2 Анализ рынка туалетного мыла
1.3 Потребительские свойства
туалетного мыла
1.4 Товароведная характеристика туалетного мыла
.4.1 Сырье для производства туалетного мыла
.4.2. Технология изготовления туалетного мыла
.4.3 Классификация и ассортимент туалетного мыла
.4.4 Маркировка
.4.5 Транспортирование и хранение
.4.6 Требования к качеству туалетного мыла
1.5 Экспертиза туалетного мыла
. Экспериментальный раздел
2.1 Объект исследования
2.2
Методы исследования
2.2.1
Метод определения качественного числа
2.2.2
Метод определения массовой доли содопродуктов
.2.3Методы
расчета ассортимента
.2.4
Расчет комплексного показателя качества
.3
Результаты экспериментальных исследований
2.3.1 Анализ ассортимента туалетного мыла, реализуемого в ООО
"Перспектива", г. Минеральные Воды
.3.2 Экспертиза туалетного мыла
.3.3 Оценка конкурентоспособности туалетного мыла
.3.4 Анализ факторов, влияющих на формирование качества мыла
туалетного
. Организационно-управленческий раздел
3.1
Характеристика предприятия ООО "Перспектива" г. Минеральные Воды
3.2 Маркетинговые исследования косметических товаров
.3 Оценка конкурентоспособности предприятия
Выводы
Список используемой литературы
Приложения
рынок мыло товароведный маркетинговый
Термины и определения
В настоящей дипломной работе применяют следующие термины и определения.
Туалетное мыло - представляет собой натриевые или калиевые соли жирных
кислот, главным образом стеариновой (С17Н35 СООН),
пальмитиновой (С15Н31СООН), олеиновой (С17Н35СООН),
ароматизированное парфюмерной отдушкой, неокрашенные или окрашенные.
Ромашка - травянистое растение из семейства сложноцветных. Широко
используется в лечебных целях и является составной частью многих косметических
препаратов.
Качество товара - совокупность свойств продукции, обусловливающих ее
пригодность удовлетворять определенным потребностям общества в соответствии с
ее назначением.
Комплексная экспертиза - экспертиза потребительских свойств товаров,
которая проводится для всестороннего изучения и оценки качества групп
однотипных товаров, выпускаемых серийно для массового потребления.
Контроль качества продукции - проверка соответствия качества
установленным требованиям. Различают входной, операционный, приемочный и
инспекционный контроль.
Маркетинг - система организации и управления деятельностью фирмы,
направленная на обеспечение максимального сбыта ее продукции, достижение
высокой эффективности экспортных изделий и расширение рыночной доли.
Маркетинговое исследование - систематический сбор, отражение и анализ
данных о проблемах, связанных с маркетингом товаров и услуг.
Маркировка - нанесение на продукцию, тару, упаковку условных рисунков,
цифровых, буквенно-числовых или символических знаков, обозначающих наименование
предприятия-изготовителя, его местонахождение и подчиненность, марку, сорт
изделия и др.
Экспертиза - исследование вопросов, решение которых требует специальных
знаний, с представлением мотивированного заключения.
Дефект - невыполнения заданного или ожидаемого требования, касающегося
объекта, а также требования, относящегося к безопасности (МС ИСО-8402: 1994,
п.2.1.1.).
Оценка качества - совокупность операций по выбору номенклатуры
показателей качества, определению их действительных значений и сопоставлению с
базовыми.
Конкуренция - это борьба производителей товаров и услуг, а
конкурентоспособность - это способность предприятия в сложившихся рыночных
условиях удовлетворять спрос потребителей, быть рентабельным и занимать ведущую
роль среди конкурентов.
Товарная экспертиза - оценка экспертом основополагающих характеристик
товаров, а также их изменений в процессе товародвижения для принятия решений,
выдачи независимых и компетентных заключений, которые служат конечным
результатом.
Безопасность продукции, процессов производства, эксплуатации, хранения,
перевозки, реализации и утилизации (далее - безопасность) - состояние, при
котором отсутствует недопустимый риск, связанный с причинением вреда жизни или
здоровью граждан, имуществу физических или юридических лиц, окружающей среде,
жизни или здоровью животных или растений.
Введение
В современных условиях, когда рынок насыщен товарами, успешно
функционируют лишь те коммерческие структуры, где товароведы умеют вовремя
улавливать тенденции в изменении спроса, определять причины их возникновения и
оперативно принимать меры по совершенствованию структуры ассортимента и
конъюнктуры отдельных его позиций на потребительском рынке.
Непродовольственные товары занимают значительный удельный вес в общем
объеме оборота товаров, что определяется, с одной стороны, их широким
ассортиментом, а с другой - необходимостью их использования в быту. За
последнее десятилетие ассортимент товаров существенно обновился как за счет поступления
импортных изделий, так и за счет современной продукции российского
производства.
а рубежом парфюмерно-косметическая отрасль по степени обновления
ассортимента занимает пятое место среди производителей потребительских товаров.
Вытеснение с рынка отечественных товаров этого вида импортными было вызвано
низкой конкурентоспособностью отдельных российских товаров, несовершенным
дизайном упаковки, недостатком товарной информации, а иногда и низкими
потребительскими свойствами.
Насыщение российского рынка импортными товарами вынудило отечественных
производителей повысить конкурентоспособность своей продукции. Новые
научно-исследовательские мероприятия, освоение новых технологий, художественное
оформление, рекламные мероприятия, современный подход к товарной информации и
другие исследования способствовали возрождению отечественной
парфюмерно-косметической промышленности, повышению спроса на российские товары.
В настоящее время в России более 120 компаний занимаются производством
парфюмерно-косметических товаров. Среди них и давно известные, и много новых,
но уже хорошо зарекомендовавших себя, постоянно расширяющих ассортимент.
1. Аналитический обзор литературы
.1 История косметических товаров
История косметологии восходит к древнейшим временам. Уже первобытные люди
старались содержать тело в чистоте, смягчать кожу, защищать ее от солнечных
лучей, ветра, пытались приукрасить свою внешность.
Родиной косметики считают Древний Восток. Идеалом женской красоты
Древнего Египта является знаменитая Нефертити, супруга фараона Эхнатона.
Природную красоту совершенного лица и прелестной фигуры Нефертити поддерживала
косметика: очевиден уход за кожей, грим, украшения. Рисунок рта, бровей, глаз
был подчеркнут гримом, щеки и ногти также были подкрашены. Считается, что она в
совершенстве владела искусством макияжа.
Особое место в истории косметологии принадлежит косметике Древней Индии и
Древнего Китая. В этих странах существовал настоящий культ женской красоты, для
поддержания и совершенствования которой применяли бальзамы, экстракты растений.
Использовали также тушь, белила для лица, лак для ногтей.
Косметика упоминается и в Библии - в Древней Иудее использовали бальзамы
и благовония. В состав бальзама Марии Магдалины, о котором говорится в Библии,
входил нард - душистое вещество, добытое из корневищ кустарника Нарда,
произрастающего в Гималаях.
В древнегреческом обществе был культ тела, чистоты, гигиены и здоровья.
После длительных и тщательных омовений лица и тела в кожу втирали кремы, масла,
ароматические средства [ 24].
Последователем Египта в развитии и совершенствовании косметологии стал
Древний Рим. В период расцвета Римской империи особенной популярностью
пользовались знаменитые бани, где широко применяли после купания разные виды
массажа для сохранения стройности фигуры, силы мышц и эластичности кожи.
Римляне знали косметические средства от мозолей, угрей, пользовались краской
для ресниц и бровей.
Состоятельные женщины могли позволить себе иметь множество снадобий,
духов, косметических препаратов. Следуя моде того времени, женщины стремились
иметь светлую блестящую кожу. С этой целью они умывались молоком и применяли
кремы из хлебного мякиша и молока, козьего жира, женьшеня.
В народной косметике наиболее распространены были ромашка, зверобой,
подорожник, чистотел, лопух, крапива, мята и др. Настои растений применяли для
умывания. На Руси еженедельное купание в бане - обычай. Перед мытьем в кожу и
волосы втирали репейное масло, делали массаж тела с мазями.
Великолепным естественным массажёром служили березовые и дубовые веники,
которыми нещадно хлестали себя в парилке. В традициях народной гигиены и
косметики было умывание холодной водой после бани, натирании лица и тела
снегом. Для ополаскивания лица и тела использовали настой мяты.
В IX веке на юге Франции в городе Марселе изобрели мыло. Мыловаренная
промышленность стала одним из важнейших косметических производств.
В XI веке в Италии и Франции развиваются парфюмерная и косметическая
промышленность. Начинается выпуск одеколонов, духов, масел, кремов.
г. в Париже вышла первая "Энциклопедия красоты", она содержала
советы, как сохранить молодость кожи, избавиться от морщин.
Конец XIX - начало XX века характеризуется интенсивным развитием
косметического производства. Наряду с природными материалами начинается
применение веществ, полученных химическим способом, меняются требования к
косметике, расширяется ее ассортимент[25].
В наши дни ассортимент косметических средств очень велик и разнообразен.
Это различные средства, предназначенные для очищения, защиты и придания
привлекательного внешнего вида. Основное правило при производстве косметики -
применение высококачественного сырья, безвредного для кожи и организма.
.2 Анализ рынка туалетного мыла
Одним из перспективных направлений развития косметического рынка в России
на сегодня являются элитная косметика и косметика класса "люкс", в т.
ч. и селективная косметика, детская косметика, косметика для мужчин, anti-age
косметика, SPA-косметика и SPF-косметика. Только в 2009 году рынок селективной
косметики вырос более чем на 19% и составил 1 млрд. 240 млн. долларов, в 2008
году - еще на 18%. Рынок мужской косметики, в зависимости от класса косметики,
ежегодно в России растет на 7-19%. Сегмент детской косметики в 2008 г. вырос на
8-9% и составил по сравнению с 2008 г. - 117 млн долларов, а в 2009 году уже
127,5 млн. долларов. Рынок антивозрастной косметики - пока небольшой по объему,
является, по мнению аналитиков, наиболее перспективным. В 2008 г. Данный рынок
уже вырос на 17,7% - до 43,2 млн. долларов, а в 2009 г. его рост составил более
15%. (рис. 1)
Рисунок 1 - Рынок косметики на период 2008-2009г.г.
Рынок нашей косметики последние несколько лет развивался достаточно
успешно. Больших успехом достигла реализация косметики по уходу за кожей и
средств гигиены, в т. ч. и банная линия, через аптечные сети. В дальнейшем
аптечные сети будут опережать рост других каналов реализации. В настоящий
момент, доля специализированных аптечных сетей, составляет больше 20%
российского рынка и более трети - московского.
Другим направлением развития косметического рынка в России, является
продвижение на рынок "именной" косметики от известных политиков,
звезд телевидения и шоу-бизнеса[24].
Во всем мире именные бренды сейчас развиваются во всех направлениях
потребительского рынка. На сегодня годовой прирост рынка именных брендов в РФ
составляет 20%, опережая общеотраслевой индекс в 15%. Высока вероятность успеха
развития "именного", брендового, направления в декоративной
косметике.
Развитие "именной" (брендовой) косметики становиться ещё более
актуальным в связи с увеличением потребительского спроса на новинки. Сейчас
оборот магазинов наполовину делается именно за счет новинок - такая ситуация
сложилась во всем мире.
Элитная косметика и косметика класса "люкс" должна представлять
собой подарочный вариант - упаковка из качественного картона, на ней должны
быть красивые, например золотые, надписи. Для покупателя также, имеет значение
реклама, не только реклама в российской прессе, но и мировая реклама. Поскольку
они путешествуют, очень многие читают зарубежные журналы Voque, Elle, Marie
Claire и др. в оригинале. Реальность нашего времени - косметика приходит к нам
в Россию раньше, чем в другие страны. Сейчас уже бывает, что новинки появляются
сначала на российском рынке, а потом на французском. Это, как правило,
экспериментальные крема, которые, прежде всего, запускают на американском рынке
или в Азии, а теперь и в России, чтобы посмотреть, как воспримут не только сам
крем, но и его рекламный образ. Компании апробируют новинки, чтобы во Франции
не сделать ошибки.
Постепенно у "нашего" покупателей появляется
"культура" потребления. Подавляющее большинство покупателей активно
используют электронные и печатные СМИ для ознакомления с новинками рынка,
консультируются со специалистами, посещают специализированные интернет-ресурсы
и салоны красоты[25 ].
Среди успешных производителей косметики можно выделить:
· Концерн "Калина", который занимался выпуском серий косметики по
уходу за кожей "Черный жемчуг", антивозрастной косметики "Чистая
линия", детской косметики "Маленькая фея";
· "Новая Заря", предприятие, выпускающее сегодня
популярную серию "Кузнецкий мост";
· "НИЗАР", российская компания, пионер и признанный
лидер в области научных разработок и производства широчайшей гаммы косметической
продукции, SPA-косметики, липосомальной косметики (серия "Геликс"),
косметики с использованием ионов серебра, а также высокотехнологичных продуктов
для косметики. Используя собственные научные разработки, создали богатый спектр
уникальных косметических продуктов - от знаменитой косметической серии на
основе перфторуглеродов линии "Голубая кровь" до элитных линий
косметики (в частности, декаролайн), которые уже заслужили высокое признание в
мире. Компанией разработаны уникальные косметические полупродукты, такие, как
низасферы® и низасилк®, широко используемые как в производстве косметике.
Новейшая разработка - омолаживающая косметика " декаролайн " на
основе акваминеральной термальной воды из Карловарских гейзерных источников.
· "Косметика XXI" (2003 г.) торгово-производственный
холдинг. Основные направления: контрактное производство косметической
продукции, в основном разработок "Лаборатории Низар" и создание
условий для дистрибьюции в регионах.
· "NNIKOFF" (2004г.) компания занимается разработкой
и выпуском российской декоративной профессиональной косметики, отличаешейся
высокой стойкостью, интенсивностью пигментов и многофункциональностью.
Косметика "Арт-Визажтм" производится на основе технологий
и сырья, поставляемых лидерами мирового косметического рынка, техническое
оснащение от итальянской компании "Ve. Tra. Co. Srl.".
Укрепление позиций указанных производителей безусловно достигнуто за счет
внедрения результатов научных разработок и качества продукции. Компании
являются постоянным участником престижных специализированных выставок косметики
и парфюмерии "InterCHARM", "InterCHARM professional",
"WorldParfum", "Консумэкспо" и др. Налицо тенденция роста в
предпочтениях потребителей в отношении отечественной косметической продукции.
Однако укрепление этих позиций в дальнейшем может зависеть как от качества
оформления предлагаемой продукции, так и просто от рекламной поддержки,
осуществляемой с учетом предпочтений потенциальных потребителей[2].
Ситуация на рынке уже сейчас начала меняться не в пользу российского
производителя. Это происходит за счет того, что цены на продукцию российских
предприятий растут, в то время как цены на продукцию западного производства,
напротив, снижаются. Объем продаж крупных магазинов увеличился настолько, что
позволяет компаниям напрямую заключать контракты с иностранными
компаниями-производителями. Отсутствие посредников и дистрибуторов значительно
снизило закупочную стоимость продукции. Кроме того, усиление конкурентной
борьбы между отечественными и иностранными фирмами вылилось в открытие крупными
западными компаниями собственных производств или представительств в нашей
стране. При этом их число заметно увеличилось за счет прихода новых игроков,
среди них известная французская сеть Sephora, открывшая сеть магазинов в Москве
и Санкт-Петербурге. Претендуют на звание лидеров рынка и аптеки, приобретающие
все большую популярность с точки зрения распространения косметики по уходу и
средств гигиены. В дальнейшем они будут опережать рост других каналов
дистрибуции, ежегодно увеличивая этот показатель на 20-25%.
Усиливается конкуренция между отечественными и западными производителями
парфюмерии и косметики. И даже традиционное преимущество российской косметики -
невысокая цена - начинает теряться. На первый план стали выступать такие показатели,
как значимость товарного знака (от англ. - тrade mark™), качество оформления
продукции, известность самой марки (brand-name), помогающие покупателю выделять
товар из ряда равно конкурирующих марок. Теперь компаниям приходится добиваться
того, чтобы именно их имя являлось логическим отождествлением направления
предлагаемой продукции.
Ещё несколько лет назад у нас мало кто задумывался о том, что бренды
могут сражаться за право отождествлять собой понятие предлагаемого товара.
Сегодня подобными сражениями никого не удивишь, особенно в тех отраслях,
которые насыщены конкурирующими компаниями. А когда отрасль или какое-либо
производство только становится на ноги - продвижение бренда в таких условиях
автоматически подразумевает "раскрутку" самого сегмента рынка.
Среди основных тенденций развития рынка можно выделить не только
увеличение количества нишевых брендов, но и изменение маркетинговых стратегий и
отношения к покупателям. Складывается впечатление, что производители косметики
поставили себе целью отбить клиентов у дерматологов и салонов красоты.
Продолжает укреплять свои позиции цивилизованная розница. По итогам
2007-2009 гг. число продаж косметических товаров в России пришлось на долю
крупных универмагов - 29% от общего объема и специализированных сетей - 23,7%.
Около 80% специализированной розничной продажи косметики[1].
.3 Потребительские свойства туалетного мыла
Функциональные свойства. Основное функциональное свойство мыла - моющая
способность, благодаря чему удаляются загрязнения любого состава. Считают, что
мыло обладает дезинфицирующим действием вследствие того, что оно при
продолжительном контакте и высокой концентрации в растворе задерживает рост
некоторых грибков и бактерий. При введении в состав мыла специальных добавок
дезинфицирующее и антибактериальное действие мыла возрастает; ему можно придать
и лечебно-профилактические свойства.
Туалетное мыло должно обладать хорошей растворимостью и повышенным
пенообразованием не только в горячей, но и в холодной воде. Поэтому в состав
жирной смеси туалетных мыл помимо жирового сырья, применяемого для высших
сортов ядрового мыла, вводят некоторое количество кокосового масла или
низкомолекулярных жирных кислот с небольшой углеводородной цепью.
Эстетические свойства. Как товарный продукт туалетное мыло должно
удовлетворять эстетические вкусы потребителя. Запах, цвет, форма мыла, а также
дизайн упаковки характеризуют эстетические свойства туалетного мыла. Аромат
мыла и эстетический вид упаковки часто определяют первичный успех у
потребителя, а в дальнейшем облегчает его идентификацию среди других подобных
изделий. Запах туалетного мыла может быть цветочного и фантозийного
направления. За последние два десятилетия состав отдушек претерпел большие
качественные изменения, Отдушки мыла становятся все более многокомпонентными, с
большим разнообразием ароматов и оттенков. Предпочтение отдается тонким
ароматам свежей велени, фруктовым и цветочным направлениям с бальзамными и
экзотическими нотами. Многие фирмы, занимающиеся производством парфюмерной
продукции, стали выпускать мыл с запахами выпускаемых ими духов[4].
Упаковка должна гармонировать с мылом, подчеркивать его достоинства либо
скрывать имеющиеся недостатки. Упаковка должна быть не обязательно броской, но
заметной и элегантной. Форма мыла, оформление упаковки имеют свою специфику в
соответствии с категорией потребителей, для которых выпускаются. Например,
детское мыло - фигурное в виде зверушек, рыб и т.п. пластиковые флаконы для
жидкого мыла - в виде сказочных персонажей.
Надежность. Надежность туалетного мыла определяется сохраняемостью
первоначальных свойств. Гарантийный срок хранения туалетного мыла по ГОСТу
28546-90 - б месяцев со дня выработки. Ведущие предприятия -
"Свобода", "Невская косметика" - определяют срок годности,
т. е. сохранность качества, выпускаемых ими мыл до 2 лет, а зарубежные фирмы -
до 3 лет,
Применение стабилизаторов является одним из путей предотвращения порчи
мыла вследствие прогорания,
Безопасность. Безопасность потребления туалетного мыла определяется
составом. Отрицательным свойством мыла является образование свободной щелочи
при ее растворении в воде. Свободная щелочь может вызвать раздражение,
шелушение, сухость кожи. Это объясняется тем, что мыло способствует удалению с
кожи жировой смазки и облегчает доступ щелочи к коже. Количество свободной
щелочи в мыле строго регламентируется, не более 0,05%.
Вводимые в мыло отдушки, красители также небезразличны для кожи человека,
особенно детской. Поэтому детское мыло, как правило, не содержит этих
компонентов.
По экологическим свойствам жировые мыла относят к группе экологически
чистых продуктов, так как они быстро и полностью перерабатываются
микроорганизмами и не загрязняют почву рек, озер, куда стекают сточные воды.
.4 Товароведная характеристика туалетного мыла
.4.1 Сырье для производства туалетного мыла
Для изготовления мыла применяют натуральные жиры, синтетические жирные
кислоты, щелочные вещества, отдушки, красители, различные полезные
добавки[4,16].
Жировое сырье
Животные жиры. При выработке мыла наибольшее применение находят говяжий,
бараний, свиной и костный топленые жиры. В них содержится от 40% до 60%
насыщенных жирных кислот, из них около 50% пальмитиновой и от 36% до 55%
олеиновой кислот, благодаря чему эти жиры являются хорошим и почти
взаимозаменяемым сырьем для мыловарения, однако лучшим из них считается говяжий
жир.
Жиры морских животных и рыб в мыловарении используются в
гидрогенизированном виде. При обработке их водородом ненасыщенные жирные
кислоты, входящие в состав жира, восстанавливаются до насыщенных кислот, а
консистенция жира из жидкой превращается в твердую. Такой жир называется
саломасом. Китовый саломас наряду с высокомолекулярными жирными кислотами
содержит значительное количество миристиновой кислоты, что делает его
допустимым компонентом жировой рецептуры туалетного мыла. Кашалотовый саломас
благодаря содержанию в нем восков, лауриновой и миристиновой кислот применяется
при варке специального мыла для мытья в морской жесткой воде, Жирные кислоты
кашалотового жира являются хорошим сырьем для варки жидкого туалетного мыла.
Растительные масла. Среди растительных масел, применяемых для выработки мыла,
различают две основные группы: масла, находящиеся при комнатной температуре в
твердом состоянии, и масла, жидкие при этой температуре.
К твердым растительным маслам относятся кокосовое, пальмоядровое и
пальмовое масла. Наиболее ценными являются первые два масла, содержащие до 52%
лауриновой и до 19% миристиновой кислот. Ввод этих масел в жировую рецептуру
мыла обеспечивает создание нужной пластичности при его механической обработке,
высокое пенообразование в холодной воде. Но содержание в них низкомолекулярных
кислот (С6- С8) ограничивает их применение в рецептурах
туалетного мыла (не более 25%).
Твердые растительные масла получают из импортного сырья, поэтому они
применяются ограниченно. Обычно их заменяют хорошо очищенными синтетическими
жирными кислотами (фракции С10С16).
Жидкие растительные масла подсолнечное, соевое, хлопковое - используются
для варки мазеобразных и жидких мыл, а в виде саломасов входят в жировую основу
и твердых туалетных мыл.
Природные жирные кислоты. Для получения всех видов мыла на большинстве заводов
используются не жиры, а жирные кислоты, получающиеся в результате расщепления
жиров и масел. Содержащийся в жирах, маслах (триглицеридах) глицерин является
ценным веществом и извлекается из жиров, направляемых на мыловарение. На
большинстве мыловаренных заводов жиры расщепляют безреактивным методом в
автоклавах, при этом жирные кислоты почти не темнеют, выход глицерина
повышается.
Жирозаменители
Синтетические жирные кислоты (СЖЕ). СЖК получают путем окисления
нефтяного парафина. При хорошей очистке от сопутствующих примесей они могут
служить полноценным сырьем, заменяющим жирные кислоты из природных жиров. В
мыловаренном производстве используют две фракции кислот.
Первую фракцию иногда называют кокосовой и применяют в рецептуре мыл
вместо кокосового масла, с числом углеродных атомов в молекулах С10-С16.
Вторую фракцию СЖК обозначают как С17-С20, называют
саломасной фракцией и применяют в рецептурах мыла взамен саломаса.
Существенным недостатком первой фракции СЖК является присутствие в ней в
виде примесей (4-5%) низкомолекулярных кислот С5-С9,
натриевые соли которых не обладают моющим действием. Эти фракции при
высаливании мыла удаляются с подмыльным щелоком и практически теряются.
Вторая фракция СЖК (саломасная) часто содержит повышенное количество
разных примесей, в том числе таких, которые сообщают кислотам, а следовательно,
и мылу неприятный запах; очистка СЖК от этих примесей довольно сложна.
Природные жирозаменители. Смоляные кислоты применяют для мыловарения в виде
канифоли, получаемой из живицы хвойных деревьев. При изготовлении низших сортов
туалетного мыла иногда применяется 3-5% канифоли светлых тонов. Введение
большого количества канифоли делает мыло линиям, затрудняет обработку мыла на
вальцах, в экструдере, снижает его моющее действие.
Щелочные вещества. Щелочные вещества необходимы для омыления нейтральных
жиров и нейтрализации жирных кислот. Применяют в основном едкий натрий и
кальцинированную соду. Последняя значительно дешевле, чем едкий натрий. Для
специальных видов мыла используют едкий калий (КОН) и углекислый калий (поташ -
К2СО3). Углекислые соли натрия и калия применяют для
варки мыла только из растительных жиров и жирозаменителей, Они не способны
омылять нерасщепленные жиры. При пользовании туалетным мылом в жесткой воде
образуется кальциевые и магниевые мыла (соли жесткости), оседающие на коже и
особенно на волосах и образующие липкий осадок, склеивающий волосы. для
предупреждения образования этих соединений в туалетное мыло могут вводить
гексаметафосфат натрия в количестве до 5%.
Красящие вещества добавляют в туалетное мыло для улучшения его товарного
вида для этих целей используют сухие белила (пигменты) и красители (водо-, жирорастворимые).
Белила цинковые (оксид цинка) или титановые (диоксид титана) добавляют в
мыло в количестве 0,2-1,5%. Белила улучшают цветовой тон, делают его более
равномерным, устраняют прозрачность куска, появляющуюся иногда в процессе
механической обработки мыла.
Красители применяют для окраски мыла в разные цвета: родамин (красный),
метанил (желтый), бирюзовый светопрочный (голубой), флуоресцеин (лимонный),
коричневый прямой (коричневый) и др. Обычно для окраски в разные цвета
пользуются смесью двух или более красителей. Хорошо влияют на цвет светлых
сортов мыла добавление к мыльной стружке оптических отбеливателей в количестве
0,1-0,3%. Красители должны полностью растворяться в воде или отдушке, быть
устойчивыми к действию солнечного света и свободной щелочи мыла; не должны
окрашивать мыльную пену[4].
Парфюмерные отдушки. Отдушки (парфюмерные композиции) - это сложные смеси
эфирных масел и синтетических душистых веществ, гармонично сочетающихся между
собой и образующие оригинальный букет - запах, передаваемый мылу. Запах может
быть цветочный, фантазийный.
Отдушки для мыла всегда грубее, чем для парфюмерных и косметических
товаров. Попытки введения очень тонких душистых веществ не приводят к желаемому
результату, так как они нестойки в мыле или заглушаются его собственным
запахом. Количество вводимых в мыла душистых веществ зависит от его цены,
отдушки и интенсивности запаха последней. Считается, что для мыла среднего
качества достаточно около 1% отдушки, для хорошего мыла - около 2%, а для
высших сортов - до 3%.
Чрезмерное количество отдушек вредно для мыла, так как на эмульгирование
душистых веществ, тратится часть мыла, которая выпадает из общего моющего
баланса. Поэтому мыла с очень большим содержанием душистых веществ обладают
меньшей моющей способностью.
Часто пропадание запаха или изменение цвета мыла приписывают
исключительно плохому качеству отдушки. Однако сильное влияние на это может
оказать порча самого мыла вследствие нарушения режима варки или обработки. Но
порча мыла может быть вызвана и добавлением душистых веществ, связывающих
щелочь, что вызывает прогоркание мыла.
Первичный выбор потребителя почти полностью определяется ароматом и
внешним видом мыла, поэтому отдушки для мыла должны обладать приятным
устойчивым запахом, длительное время сохраняющимся в готовом продукте.
За последние два десятилетия состав отдушек претерпел большие
качественные изменения. Отдушки для мыла становятся все более
многокомпонентными, с большим разнообразием ароматов и оттенков. При хранении в
мыле часто наблюдаются процессы, известные как прогоркание, сопровождающиеся
потемнением всего куска мыла или появлением на его поверхности темных пятен.
При атом мыло приобретает неприятный запах. Для предотвращения порчи мыла в
него добавляют стабилизаторы (антиоксиданты). В промышленности кроме силиката
натрия нашли применение антал, антал П-2 (пластиболь).
Пластиболь, кроме веществ, действующих в качестве антиоксидантов,
содержит высокомолекулярные полимерные соединения, которые препятствуют
раскисанию мыла и благодаря которым оно сохраняет свою форму и экономно
расходуется. Пластиболь, добавленный в мыло, повышает его пластичность в
процессе механической обработки.
Стабилизаторы для мыла должны удовлетворять следующим требованиям:
• не оказывать раздражающего действия на кожу;
• быть аффективными в малых дозах;
• не должны ухудшать качества мыла, в том числе окрашивать его, придавать
ему посторонний запах;
• не должны заметно повышать стоимость мыла.
Полезные добавки. Вводимые в туалетвое мыло полезные добавки условно
делят на три группы: пережиривающие, дсзинфицирующие и
лечебно-профилактические.
Пережиривающие добавки добавляют в мыло, предназначенное для потребителей с
повышенной сухостью кожи, Они уменьшают обезжиривающее действие мыла на кожу. К
данной группе добавок относятся ланолин, спермацет, норковый и песцовый жиры,
оливковое масло.
Ввод дезинфицирующих добавок ускоряет и усиливает антисептическое
свойство мыла. Некоторые добавки убивают кишечную палочку, золотистый
стафилококк и др. В качестве дезинфицирующих веществ используют гексахлорофен,
борную, карболовую кислоты, салициламид, березовый деготь, триклозан и др.
Лечебно-профилактические добавки вводят в мыло, которое должно
обладать лечебно-профилактическими свойствами против некоторых заболеваний
кожи, К ним относятся сернистый селен, сера, хвойная хлорофиллокаротиновая
паста, хна, лечебный экстракт сибирской пихты, профилактическими свойствами
обладают экстракты ромашки, чабреца, череды, тысячелистника,
В некоторые мыла вводят дезодорирующие добавки (метанид) для устранения
запаха пота. В современные туалетные мыла стали вводить витамины (F1, В5 и др.) [17].
.4.2 Технология изготовления туалетного мыла
Туалетное мыло представляет собой натриевые или калиевые соли жирных
кислот, главным образом стеариновой (С17Н35 СООН),
пальмитиновой (С15Н31СООН), олеиновой (С17Н35СООН),
ароматизированное парфюмерной отдушкой, неокрашенные или окрашенные.
Туалетное мыло получают из натуральных жиров и синтетических жирных
кислот. Для придания белизны, улучшения моющих свойств мыла в их состав вводят
титановые белила, силикат натрия. Для смягчения кожи и образования пены
добавляют спермацет и ланолин. Сырье подвергают варке. Под действием
температуры жиры разлагаются на жирные кислоты и глицерин. Жирные кислоты
вступают в химическое взаимодействие со щелочью, в результате образуется соль
жирной кислоты - мыло. В котле вместе с мылом находятся вода, глицерин,
непрореагировавшие жирные кислоты и щелочи, которые образуют мыльный клей.
Высококачественное твердое мыло получают высаливанием поваренной солью. На
поверхность всплывает мыльное ядро, которое сушат, измельчают и смешивают с
отдушкой и красителями. Полученную массу тщательно перетирают и перемешивают
(пилируют). Затем прессуют в бруски, которые разрезают на куски, штампуют для придания
окончательной формы и наносят маркировку.
В мыльную стружку на смесительный шнек-пресс вводят ингредиенты, такие
как пластификатор, красители, отдушка, белила и др. Биопережиривающий
пластификатор, имеющий мазеобразную консистенцию, расплавляют в отдельной
емкости при температуре 60 0С. В расплавленном виде его вводят в
мешалку совместно с другими добавками. Смесь всех добавок подают на мыльную
стружку в шнек-пресс. Количество биопережириваюшего пластификатора - 1-3%. При
вводе препарата в стружку менее 1% полученное мыло почти не отличается от
контрольного. Следовательно, при низкой концентрации (менее 1%)
биопережиривающего пластификатора в мыле не проявляется его положительный
эффект. При вводе свыше 3% затрудняется механическая обработка стружки с
добавками из-за повышенной вязкости и липкости массы, далее мыло подвергают
механической обработке: пилированию, резке, штамповке и упаковке[ 4].
1.4.3 Классификация и ассортимент туалетного мыла
Ассортимент мыла разнообразен, достаточно широк. Группируют его по разным признакам.
По консистенции различают мыло твердое, кремообразное, порошкообразное,
жидкое. Основным является твердое (кусковое мыло).
Твердое (кусковое) туалетное мыло представляет собой водный раствор солей
жирных кислот с концентрацией 74-80%. При таких концентрациях этот раствор
твердый. Современные методы исследования твердых веществ (рентгенографический
анализ, электронная микроскопия) позволили выяснить строение безводных порошков
натриевых и калиевых мыл. Они имеют кристаллическую структуру. Состоят из
кристаллов, соединенных в длин- вые волокна, которые, переплетаясь, образуют
кристаллическую структуру. длина волокон достигает нескольких микрон. Мыло
затвердевает в однородную массу, внешне совершенно непохожую на кристаллическое
образование.
Кремообразное представляет собой триэтаноламиновое мыло. Это мыло
характеризуется высоким моющим действием, растворяется не только в воде, но и
маслах, нефтепродуктах (бензине, керосине), скипидаре. Оно почти нейтрально,
поэтому в основном используется в производстве косметических товаров (мыльный
крем для бритья и др.).
Порошкообразное мыло представляет собой мыльную основу, высушенную в
распылительных сушилках. В состав порошка входят бикарбонат натрия и другие
добавки. Мыло хорошо смягчает воду, рекомендуется для мытья головы с нормальной
и жирной кожей, придает волосам мягкость и пушистость. Порошковое мыло
расфасовывают в пакеты.
Жидкое туалетное мыло - это водно-спиртовой раствор калийных солей жирных
кислот, растительных масел (кокосового, кориандрового и др.) и различных
добавок (глицерина, ланолина, касторового масла). Жидкое мыло удобно в
пользовании, имеет дополнительные косметические преимущества. Жидкое мыло
очищает кожу, не пересушивая ее, не нарушая жировой баланс. Его можно применять
для мытья тела и головы, для людей с угреватой кожей рекомендуется жидкое мыло
с повышенным содержанием бактерицидных веществ, для жирной кожи эффективно мыло
с добавками экстрактов трав, сужающих поры, обладающих эффектом подсушивания,
например мыло с чередой, на основе соцветий ромашки и др. К жидкому туалетному
мылу относят мыло с антибактериальньим эффектом, фруктовое мыло, крем- мыло с
миндальным молочком и т.д.
Классификация
По качеству, в зависимости от содержания жирных кислот (активной части
мыла), качества используемого жирового сырья, добавок, туалетное кусковое мыло
делится на 4 группы качества: "Экстра", I , II, детская.
Мыло группы "Экстра содержит 78-80 г жирных кислот на 100 г мыла
(качественное число). Для его изготовления используют наиболее
высококачественное сырье - большое количество животных жиров и кокосового
масла. Это мыло имеет своеобразный тонкий аромат, так как при изготовлении
применяют высококачественные отдушки. Мыла группы "Экстра" наиболее
твердые, обладают меньшей набухаемостью, истираемостью, большей экономичностью
(медленнее расходуются), имеют высокую моющую и пенообразующую способность.
Мыло I группы содержит 74-76 г жирных кислот на 100 г мыла. Животные жиры
в рецептуре частично заменены саломасом, кокосовое масло - жирными кислотами
кокосовой группы, поэтому качество мыла несколько снижается. Они тоже быстро
сохнут, не раскисают, дают стойкую пену, но меньшую, чем мыла группы
"Экстра"
Мыло II группы содержит не менее 74 г жирных кислот на 100 г мыла,
Животные жиры в основном заменены синтетическими жирными кислотами и саломасом
(35%). Мыла этой группы обладают высокой набухаемостью, истираемостью (больше
расходуются), малостойкой пеной.
Мыло детской группы содержит не менее 74 г жирньтх кислот на 100 г мыла,
но жировая основа состоит из высококачественных видов сырья, изготавливается по
специальной технологии, Жирующие добавки (ланолин, норковый жир) предохраняют
кожу от обезжиривания. Это мыло, как правило, не содержит красителей и
парфюмерных отдушек, которые могут вызывать раздражение кожи, обладающей
повышенной чувствительностью. Содержание свободной щелочи в мылах минимальное.
Вырабатывают также мыло "детское" с экстрактами череды,
ромашки, которые оказывают дезинфицирующее и тонизирующее действие, К мылам
"детской" группы относятся "детское", "Тик-так ,
"Чемпион", "Чистюля", "Алисаи др.
По назначению туалетные мыла подразделяют на гигиенические,
лечебно-профилактические, дезинфицирующие, дезодорирующие и специальные[9].
Гигиенические туалетные мыла предназначены для ежедневного ухода за
кожей, В зависимости от полезных добавок их рекомендуют для ухода за кожей
разного типа:
гигиенические мыла для ухода за нормальной и жирной кожей
"Банное", "Гармония" с витамином F, "Гармония" с фруктово-растительным комплексом);
гигиенические мыла для ухода за нормальной и сухой кожей содержат
пережиривающие добавки ("Вазелиновое", "Глицериновое",
"Гармония" с экстрактом петрушки и ландыша, "Любимое" с
натуральным маслом);
гигиенические мыла для ухода за кожей любого типа ("Тропик Зеленое
яблоко", "Тропик Манго", "Белый цвет").
Лечебно-профилактические мыла рекомендуются для профилактики и лечения
заболеваний кожи головы и тела.
Мыло "Сульсеновое" содержит сульсен (твердый раствор серы в
селене); рекомендуется против жирной и сухой перхоти и зуда, для укрепления
волос.
Мыло "Дегтярное" содержит очищенный березовый деготь,
обладающий антимикробным и антисептическим действием, усиливает кровообращение
и обмен веществ в тканях, способствует удалению перхоти и зуда.
Мыло "Ворожея", "Лесное" снимают раздражение
чувствительной кожи, В рецептуру мыла "Лесное" входит
хвойно-каротиновая паста, которая обладает бактерицидными и лечебными
свойствами, способствует заживлению мелких трещин и порезов.
Мыло "Косметическое" включает целебный экстракт можжевельника.
Обладает противовоспалительным и мягким бактерицидным действием.
"Минеральное мыло (Израиль) - для жирной и проблемной кожи -
мыло-скраб с минеральной грязью Мертвого моря, отшелушивающего действия.
Дезинфицирующие и дезодорирующие мыла.
Дезинфекция - это обеззараживание, уничтожение возбудителей инфекционных
болезней человека и животных.
Дезодорация - уничтожение неприятных запахов (например, нота). Мыла
данной группы содержат дезинфицирующие и дезодорирующие добавки, что и
определяет их назначение.
Мыло "Гигиена" содержит гексахлорофен, убивающий микробы,
применяется как дезинфицирующее средство.
Мыло "Особое" эффективно уничтожает вредные бактерии,
дезинфтщирует порезы и царапины на коже благодаря вводу в состав триклозана.
Мыло обладает и дезодорирующим эффектом.
Мыло "Антиэнтом" обладает педикулезным действием, используется
для борьбы с головным педикулезом.
Мыло "Део" содержит метанид, обладает дезодорирующим действием.
К группе специальных относятся мыло для морской воды, мыло для сельского
хозяйства (песочное мыло), для промышленности и др.
По форме куска туалетное мыло может быть прямоугольным, овальным, круглым,
фигурным. Преобладают мыла первых двух форм - прямоугольные и овальные[9].
По массе туалетные мыла выпускаются в кусках от 10 до 200 грамм, Мыла массой 100,
125, 150 грамм считаются наиболее удобными и экономичными в пользовании.
По цвету туалетные мыла могут быть неокрашенными (белыми) и окрашенными в
разнообразные чистые цвета (розовый, голубой, салатный, зеленый, желтый и др.)
Наблюдается тенденция к увеличению выпуска неокрашенных туалетных мыл,
так как красители могут оказывать негативное воздействие на кожу.
По характеру отдушки различают мыла с цветочным и фантазийным запахом.
По виду упаковки мыло выпускают без обертки и в обертке (бумажной,
целлофановой); в картонном футляре. Наряду с обычной появились новые
прогрессивные типы завертки туалетного мыла: в полиэтиленовую и
полипропиленовую декоративную пленку, пластиковые футляры. Мыла оригинальной
формы раскладываются в красочные коробочки по 3-5 кусков, реже по 10 кусков.
К важнейшим разработкам последних лет относятся следующие.
Французские компании выпустили:
• мыло для душа, защищающее человека от комаров, содержащее
ароматизаторы, зкстрагируемые из лимонного дерева или эвкалипта; после
использования мыла насекомые не проявляют активности в течение суток;
• мыло, в состав которого вводят шелковый протеин и морские водоросли,
обладающие увлажняющими свойствами;
• мыло антибактериальное с содержанием триклозана и триклобина, при мытье
удаляется до 90% бактерий. Активные вещества, оставшиеся на коже, оказывают
дальнейшее воздействие на бактерии в течение 4 часов.
Новыми разработками итальянских фирм являются:
• мыло целиком на растительном сырье, гипоаллергенное с ароматом зеленого
чая;
• мыло молочное на основе естественных молочных экстрактов;
• мыло серии Сlivеn Natura в качестве добавок содержит мед, экстракты овса,
масло какао;
• крем-мыло Сlivеn (5 разновидностей) содержат
глицерин, молочную сыворотку, гипоаллергены (компания "Сlivеn").
Германские компании разработали:
• крем-мыло для нежного ухода за кожей (компания "Nivea"), в состав мыла входят витамин
Р, эвцерин (вещество из жира природного происхождения), отлично регулирует
жировой баланс, помогая коже сохранить влагу и оставаться эластичной;
• мыла новой серии Fа с
запахом экзотических растений, в состав входят провитамин В5,
экстракты экзотических растений. Система гидробаланса Fа с провитаминами В5 защищает кожу от высыхания и
сохраняет ее естественный гидробаланс, экстракты экзотических растений
благотворно влияют на самочувствие человека.
Прозрачное разноцветное мыло получают путем загружения разноокрашенных
порций мыльной основы в форму. Для получения прозрачного мыла используют хорошо
очищенное сырье, кроме обычных видов сырья вводят сахарный сироп, глицерин,
спирт; вместо двух последних компонентов может быть использовано жидкое стекло,
Такое мыло красивое, но по моющей способности уступает обычному мылу. Путем
введения в мыльную основу газонаполненных вкладышей получают плавающее мыло.
Ассортимент туалетного мыла отечественного и зарубежного производства
представлен в таблицах[4].
Таблица 1- Ассортимент туалетного мыла отечественного и зарубежного
производства
.4.4 Маркировка
Маркировка пеномоющих средств должна быть нанесена на красочно
оформленные бумажные этикетки, изготовленные типографским способом, или
непосредственно на потребительскую упаковку методом печати[4,9].
Печать должна быть четкой и ясной, цвет печати должен быть контрастным
цвету упаковки. Этикетки наклеиваются без перекосов и морщин.
Масса брутто коробки с бутылями и тубами не должна быть более 10 кг.
Масса коробки с пакетами - не более б кг. Масса брутто деревянных ящиков - не
более 20 кг, картонных ящиков и групповых упаковок - не более 15 кг.
На крышках ящиков должны быть надписи: "Верх, не кантовать",
"Не бросать", "Стекло", "Боится сырости",
"Осторожно, хрупкое" и др.
Маркировочные данные наносятся как на само кусковое мыло, так и на его
упаковку[6].
На поверхности каждого куска мыла, выпускаемого без обертки или в
прозрачной обертке, обозначают:
· товарный знак предприятия-изготовителя;
· наименование и группа мыла;
· номинальная масса куска, например: "н. м. 150 г";
· срок годности.
На мыло, упакованное в другие виды обертки, допускается наносить только
товарный знак предприятия-изготовителя, например "NС" - Невская косметика.
На упаковке (этикетке, коробке) указывают:
• товарный знак предприятия-изготовителя, его наименование и
местонахождение;
• наименование и группа мыла;
• номинальная масса куска;
• обозначение стандарта;
• срок годности;
• дата изготовления и номер партии;
• штриховой код;
• знак соответствия требованиям стандартов.
Возможны сведения о составе мыла и данные рекламного характера.
Сведения рекламного характера: "мыло обеспечивает безупречную
чистоту кожи, ухаживает за ней; пышная пена, наполненная ароматом свежих
фруктов, подарит Вам бодрость и улучшит настроение".
Маркировка транспортной тары для мыла содержит манипуляционные знаки:
"Боится сырости", для жидкого туалетного мыла - "Верх",
"Не бросать", "Стекло".
.4.5 Транспортирование и хранение
Косметические товары транспортируют всеми видами транспорта в
соответствии с правилами перевозок грузов, действующими на данном его виде.
При хранении должны соблюдаться требования, предусмотренные по ГОСТ
27429[7].
Речным транспортом парфюмерные изделия транспортируют в контейнерах или
пакетах.
Междугородным автотранспортом их транспортируют в среднетоннажных
контейнерах, пакетами или в ящиках из гофрированного картона или согласно
требованиям другой нормативно-технической документации.
Косметические изделия хранят в упаковке производителя при температуре не
ниже 0 °С и не выше 25 °С в крытых помещениях. Изделия при хранении не должны
подвергаться непосредственному воздействию солнечного света и находиться вблизи
отопительных приборов.
Сроки хранения косметических товаров составляют от 4 до 18 мес.
Гарантийный срок хранения пеномоющих средств - один год со дня
изготовления.
.4.6 Требования к качеству туалетного мыла
Туалетное мыло должно вырабатываться из доброкачественного сырья и в
соответствии с утвержденной рецептурой, иметь приятный запах, эстетичность,
цвет, удобную форму. Мыло должно легко растворяться в холодной воде, легко
пениться и отмывать загрязнения без особых физических усилий, т. е. иметь
высокую моющую способность. Мыло не должно оказывать раздражающего действия на
кожу, сохранять определенную форму, внешний вид, запах при длительном
пользовании, не расслаиваться во влажной среде, не давать трещин при высыхании.
Мыла лечебно-профилактические, дезинфицирующие, дезодорирующие должны обладать
определенным эффектом[26].
.5 Экспертиза туалетного мыла
Приемка и контроль качества косметических товаров в торговле производится
аналогично приемке и контролю качества парфюмерных товаров в торговле. При
приемке косметических товаров необходимо строго следить за тем, чтобы они имели
четкие и исчерпывающие описания их назначения и способа применения.
Косметические изделия на сорта не делят. Следует обращать внимание на
сроки хранения, которые установлены в течение года
Приемка косметических изделий по качеству состоит в проверке соответствия
показателей требованиям ГОСТ и ТУ. При определении качества на практике
используют такие методы, как органолептический и лабораторный.
Все косметические товары должны вырабатываться в соответствии с
требованиями ГОСТ по технологическим регламентам и рецептурам, с соблюдением
санитарных норм и правил, утвержденных в установленном порядке.
Они проходят проверку на безвредность и эффективность в соответствующих
лечебных учреждениях и органах здравоохранения и должны выпускаться в продажу
только с разрешения Министерства здравоохранения России.
Органолептический метод - определяют цвет, запах, внешний вид и т. д. при
помощи органов зрения, осязания, сравнивая с эталоном.
Внешний вид пеномоющих средств определяют визуально в прозрачной емкости
при температуре 22 (± 2) 0С.
Запах пеномоющих средств определяют органолептически при температуре 22
(± 2) °С.
Цвет пеномоющих средств определяют сравнением с контрольным образцом при
температуре 22 (± 2) °С по ГОСТ 25336.
К органолептическим показателям качества мыла относятся внешний вид,
форма, цвет, запах мыла, соответствие упаковки и маркировки нормативным
требованиям.
Таблица 2 - Показатели качества косметических моющих средств
|
Наименование показателя
|
Характеристика и норма
|
|
Шампунь
|
Пена для ванн, гель моющий,
мыло жидкое
|
Средства очищающие
|
|
Внешний вид
|
Однородная жидкость или
однородная жидкая или густая геле- или кремообразная масса без посторонних
примесей
|
|
Цвет
|
Свойственный цвету данного
изделия
|
|
Запах
|
Свойственный запаху данного
изделия
|
|
Водородный показатель рН
|
5.0-8.5
|
5.0-8.5
|
5.0-8.5
|
|
Пенообразующая способность,
пенное число, мм, не менее. Устойчивость пены не менее.
|
100 0.8
|
145 0.8
|
- -
|
|
Массовая доля хлоридов, в
%, не более
|
6.0
|
6.0
|
5.0
|
Кусковое мыло должно быть твердым на ощупь, однородным в разрезе, без
трещин, выпотов, полос, пятен; недопустимы нечеткий штамп и неровный срез.
Поверхность мыла должна быть гладкой, форма куска правильной, с четким
штампом, деформация формы не допускается. Цвет мыла должен быть равномерным,
чистых тонов, неокрашенное мыло от белого до кремового цвета, запах мыла -
приятным. Цвет и запах должны свойственными изделию данного наименования.
Допускаются по согласованию с потребителем трещины и разнооттеночность,
приобретенные в результате размораживания мыла после воздействия температур
ниже -5 0
Жидкое мыло должно быть прозрачным, однородным, без мути и осадка
(допускается выпадение осадка при температуре ниже 80, исчезающего
при нагревании), по цвету и запаху - соответствовать изделию данного
наименования. Порошкообразное мыло должно быть тщательно измельченным, без
комков, от белого до светло-желтого цвета, сухим на ощупь, с приятным запахом.
ЦЕЛИ И ЗАДАЧИ ИССЛЕДОВАНИЯ
Целью данной дипломной работы является анализ ассортимента, экспертиза
качества туалетного мыла, реализуемого в ООО "Перспектива" г.
Минеральные Воды.
Для достижения поставленной цели необходимо решить следующие задачи:
установить объект исследования;
- исследовать маркировку образцов мыла туалетного;
- провести экспертизу качества по органолептическим и
физико-химическим показателям образцов мыла туалетного;
- провести анализ ассортимента мыла туалетного, реализуемого в ООО
"Перспектива" г. Минеральные Воды;
определить конкурентоспособность образцов мыла туалетного;
провести маркетинговые исследования;
- дать оценку конкурентоспособности ООО "Перспектива" г.
Минеральные Воды.
2. Экспериментальный раздел
.1 Объект исследования
Для выполнения экспериментальной части, в качестве объектов исследования
были выбраны образцы туалетного мыла с экстрактом ромашки детской группы,
реализуемых ООО "Перспектива" г. Минеральные Воды. Характеристика
объектов исследования представлена в таблице 3.
Таблица 3 - Характеристика объектов исследования
|
№ п/п
|
Наименование объекта
исследования
|
Марка
|
Производитель
|
Номинальная масса куска, г
|
Нормативный документ
|
Цена, руб,шт/ 100г
|
|
1
|
Мыло туалетное детское с
экстрактом ромашки "Мыло Детское с ромашкой"
|
"ДЕТСКОЕ"
|
ОАО "Свобода" г.
Москва , ул. Вятская, 47
|
100
|
ГОСТ 28546-2002
|
12,0/12,0
|
|
2
|
Мыло туалетное детское с
экстрактом ромашки "Туалетное мыло Малыш"
|
"ДЕТСКОЕ"
|
ОАО "Свобода" г.
Москва , ул. Вятская, 47
|
90
|
ГОСТ 28546-2002
|
9,40/10,45
|
|
3
|
Мыло туалетное твердое
"детское" с экстрактом ромашки "Мыло детское с экстрактом
ромашки"
|
Д
|
ОАО "Невская
косметика" г. Санкт-Петербург, пр. Обуховской Обороны, 80
|
90
|
ГОСТ 28546-2002
|
10,50/11,7
|
|
4
|
Мыло туалетное
"Туалетное мыло для детей крем и ромашка"
|
"ДЕТСКОЕ"
|
ОАО "Нэфис
Косметик" г. Казань, ул. Тукая, 152
|
190
|
ГОСТ 28546-2002
|
41,90/22,0
|
2.2 Методы исследования
Отбор проб, подготовка пробы к испытанию, определение органолептических
показателей, определение температуры застывания жирных кислот, выделенных из
мыла, определение массовой доли хлористого натрия и определение первоначального
объема пены по ГОСТ 790.
ГОСТ 28546- 90 "Мыло туалетное. ОТУ" [26 ]
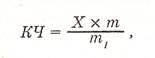
.2.1 Метод определения качественного числа
Качественное число (массу жирных кислот, содержащихся в куске мыла в
пересчете на номинальную массу 100 г) (ГСЧ), (в граммах) вычисляют по формуле:
(1)
где Х - масса жирных кислот в 100 г мыла, г, вычисленная по ГОСТ 790;
т
- фактическая масса куска, г;
т1 -
номинальная масса куска, г.
.2.2 Метод определения массовой доли содопродуктов
Массовую долю содопродуктов в процентах в пересчете на Nа2О вычисляют по формуле:
Х = 0,775Х1+ 0,590Х2, (2)
где 0,775 - коэффициент пересчета массовой доли гидроокиси натрия Nа2О;
Х1 - массовая доля свободной едкой щелочи,%, вычисленная по
ГОСТ 790; Х2 - массовая доля свободного углекислого натрия,%,
вычисленная по ГОСТ 790.
2.2.3 Методы
расчета ассортимента
При формировании ассортимента
осуществляется регулирование комплекса его свойств и показателей, что требует
понимания их сути и знания номенклатуры свойств и показателей ассортимента
(табл. 4).
Таблица 4 - Номенклатура свойств и
показателей ассортимента
|
№
|
Наименования и условные
обозначения
|
Расчет показателей
|
|
свойства
|
|
|
1
|
Широта (Ш)
|
Показатель широты (Ш):
|
|
|
действительная
|
действительный (Шд)
|
Шд = д = ∑m Пд
|
|
базовая
|
базовый (Шб)
|
Шб = б = ∑mПб
|
|
|
Коэффициент широты Кш
|
|
|
2
|
Полнота (П)
|
Показатель полноты (П):
|
|
|
действительная
|
действительный (Пд)
|
Пд = д
однородной группы товаров
|
|
базовая
|
базовый (Пб)
|
Пб = б
однородной группы товаров
|
|
|
Коэффициент полноты (Кп)
|
|
|
3
|
Устойчивость (У)
|
Показатель устойчивости (У)
|
У = у
|
|
|
Коэффициент устойчивости
(Ку)
|
|
|
4
|
Новизна (обновление) (Н)
|
Показатель новизны (Н)
|
Н = н
|
|
|
Степень (коэффициент)
обновления (Кн)
|
|
|
5
|
Рациональность (Р)
|
Коэффициент рациональности
(Кр)
|
Кр=∑m
|
|
|
|

|
Примечание:
m - количество однородных групп
товаров;
д - количество видов, разновидностей или наименований
товаров, имеющихся в наличии;
б - базовое количество видов, разновидностей и
наименований товаров, принятое за основу для сравнения;
у - количество видов и наименований товаров,
пользующихся устойчивым спросом;
н - количество новых видов и наименований товаров;
вп, ву, вн - коэффициент весомости показателей
полноты, устойчивости и новизны.
.2.4 Расчет комплексного показателя качества
Оценка конкурентоспособности проводится путем расчета интегрального
показателя конкурентоспособности, который рассчитывается по следующей формуле:
Кин=Кок/Э , где (3)
Кок - показатель конкурентоспособности по основным параметрам
качества товара;
Э - групповой показатель по экономическим параметрам;
Для всесторонней оценки качества продукции предложена методика
определения комплексного показателя качества Кок. Для сведения единичных
показателей качества в комплексный показатель считаем более приемлемой
математическую модель вида:
, (4)
Поэтому для определения комплексной оценки качества продукции нами
предложена формула:
(5)
где К0 - комплексный показатель органолептических свойств;
Кфх -показатель качества по физико-химическим свойствам;
Кмб - показатель качества по микробиологическим нормам;
Кб - комплексный показатель безопасности продукции;
Км -комплексный показатель маркетинговых параметров продукции;
Комплексный показатель органолептических свойств продукции Ко рассчитывается
по формуле:
, (6)
где mi - коэффициент весомости i-го показателя качества;
Ki - оценка i-го показателя,
балл;
Kмакс - максимальная оценка по балльной
шкале, балл.
Перечень органолептических свойств и коэффициенты их весомости студентом
выбираются самостоятельно по согласованию с научным руководителем. Для
определения комплексного показателя качества продукции по физико-химическим
свойствам Кфх используется формула (7). В этом случае уравнение
имеет вид:
, (7)
где Кi фх - оценка качества по каждому
физико-химическому показателю.
n -
количество показателей, принятых для характеристики качества продукции.
Оценка качества каждого физико-химического показателя производится по
общепринятой методике с использованием базовых показателей.
Для определения Кi мб отдельных
микробиологических показателей используем модифицированную формулу
, (8)
где
- исходное (базовое) значение микробиологического
показателя- по СанПиН;
- значение i-го
микробиологического показателя продукции;
Кмб кр - показатель присутствия патогенной микрофлоры, не
допускаемой нормативной документацией (при ее наличии Кмб кр =
0, при отсутствии Кмб кр = 1).
Комплексный показатель безопасности продукции Кб рассчитывается
аналогично комплексному показателю качества продукции по
физико-химическим свойствам Кфх..
Км - комплексный показатель маркетинговых параметров продукции
рассчитывается по формуле:
, (9)
где mi - коэффициент весомости i-го показателя;
Ki - оценка i-го показателя, балл;
Kмакс - максимальная оценка по балльной
шкале, балл.
К маркетинговым показателям можно отнести упаковку, фасовку товара,
рекламу товара, каналы распределения, место реализации, предпродажную
подготовку и др. Перечень маркетинговых показателей товара и коэффициенты их
весомости студентом выбираются самостоятельно по согласованию с научным
руководителем.
Полученный в результате показатель Кок даёт возможность решить одну часть
проблемы - способен ли товар (и в какой степени) удовлетворить существующую потребность.
Однако, оставляет в стороне важный аспект, - при каком уровне затрат
потребность может быть удовлетворена. Решение этой части проблемы связано с
анализом экономических параметров. Подход к решению задачи оценки экономических
параметров товара во многом сходен с анализом качественных параметров. Его
особенность состоит в том, что соизмерение всех экономических параметров
происходит на стоимостной основе. Для упрощения расчетов предлагается провести
сопоставление цены потребления анализируемого товара и товара-образца, то есть
Э=С/C0, (10)
где Э - групповой показатель по экономическим параметрам;
С - цена потребления анализируемого товара;
Со - цена потребления товара-образца.
Интегральный показатель отражает различие между сравниваемыми товарами в
потребительском эффекте, приходящемся на единицу затрат потребителя, связанных
с приобретением и использованием товара.
После проведения оценки конкурентоспособности делается одно из следующих
заключений:
Если К ин больше 1, продукция конкурентоспособна на данном
рынке в сравниваемом классе изделий
При равной конкурентоспособности Кин =1 продукция обладает
низкой конкурентоспособностью в сравниваемом классе изделий на данном рынке.
Если К ин меньше 1, продукция полностью неконкурентоспособна в
сравниваемом классе изделий на данном рынке.
Заключение дополняется выводами о преимуществах и недостатках оцениваемой
продукции по сравнению с аналогами, а также предложениями о мерах, которые
должны быть приняты для улучшения положения ее на рынке.
.3 Результаты экспериментальных исследований
.3.1 Анализ ассортимента туалетного мыла, реализуемого в ООО
"Перспектива", г. Минеральные Воды
Для проведения анализа ассортимента туалетного мыла, необходимо
определить удельную долю каждого вида или наименования товара в исследуемой
подгруппе однородных товаров [23].
Показатели структуры ассортимента могут иметь
стоимостное или натуральное выражение.
Структура ассортимента туалетного
мыла, реализуемого в ООО "Перспектива", представлена в табл. 5
Таблица 5 - Структура ассортимента туалетного мыла
|
Вид изделия (Шб)
|
Количество изделий (Пб)
|
Средняя цена, руб/шт
|
Относительные показатели
структуры ассортимента в выражении
|
|
|
|
натуральном, %
|
денежном, %
|
|
Мыло группы
"Экстра" Любимое Тропик Русский лес Дракончик Яблоневый цвет Консул
|
50
|
16,0
|
26,3
|
32
|
|
Мыло I
группы Дивный сад Цветы России Ворожея Люкс
|
30
|
12,0
|
15,8
|
24
|
|
Мыло II
группы Бархатное Хвойное Банное Земляничное Семейное Ланолиновое Вазелиновое
|
60
|
8,0
|
31,6
|
16
|
|
Мыло детской группы Детское
- С экстрактом череды - С экстрактом ромашки Тик-так Чемпион Чистюля Алиса
|
50
|
14,0
|
26,3
|
28
|
|
итого
|
190
|
50
|
100
|
100
|
Результаты таблицы 5 по структуре ассортимента
туалетного мыла реализуемого в ООО "Перспектива" в натуральном и
денежном выражении можно представить в виде круговой диаграммы (рисунок 2,3)
Рисунок 2 - Структура ассортимента
туалетного мыла, реализуемого в ООО "Перспектива" в натуральном
выражении
Рисунок 3 - Структура ассортимента
туалетного мыла, реализуемого в ООО "Перспектива" в денежном
выражении
Как видно из представленных данных,
удельный вес как в натуральном, так и в денежном выражении занимает мыло группы
"Экстра".
Затем были проведены расчеты
показателей ассортимента (коэффициенты широты, полноты, новизны, устойчивости)
представленных в ассортименте туалетного мыла на прилавках магазина.
Для расчета коэффициента полноты
проведем полный анализ ассортимента по производителям туалетного мыла.
Результаты представлены в таблице 6.
Таблица 6 - Анализ полноты
ассортимента туалетного мыла
|
Наименование изготовителя
|
Наименование изделий
|
Количество изделий, шт
|
|
|
Пб
|
Пд
|
|
"Свобода"
|
Мыло группы
"Экстра" Любимое
|
15
|
15
|
|
Тропик
|
|
|
|
Русский лес
|
|
|
|
Дракончик
|
|
|
|
Яблоневый цвет
|
|
|
|
Мыло I
группы Дивный сад
|
12
|
12
|
|
Цветы России
|
|
|
|
Люкс
|
|
|
|
Мыло II
группы Бархатное
|
20
|
20
|
|
Хвойное
|
|
|
|
Банное
|
|
|
|
Ланолиновое
|
|
|
|
Вазелиновое
|
|
|
|
Мыло детской группы Детское
- С экстрактом череды - С экстрактом ромашки Тик-так
|
17
|
17
|
|
"Невская косметика"
|
Мыло группы
"Экстра" Любимое
|
15
|
15
|
|
Тропик
|
|
|
|
Русский лес
|
|
|
|
Консул
|
|
|
|
Яблоневый цвет
|
|
|
|
Мыло I
группы Дивный сад
|
12
|
12
|
|
Цветы России
|
|
|
|
Ворожея
|
|
|
|
Мыло II
группы Бархатное
|
18
|
18
|
|
Хвойное
|
|
|
|
Банное
|
|
|
|
Земляничное
|
|
|
|
Семейное
|
|
|
|
Мыло детской группы Детское
- С экстрактом череды - С экстрактом ромашки Тик-так Алиса
|
17
|
17
|
|
"Нэфис Косметик"
|
Мыло группы
"Экстра"
|
12
|
12
|
|
Тропик
|
|
|
|
Русский лес
|
|
|
|
Дракончик
|
|
|
|
Яблоневый цвет
|
|
|
|
Мыло I
группы Дивный сад
|
2
|
2
|
|
Мыло II
группы Бархатное
|
15
|
15
|
|
Банное
|
|
|
|
Ланолиновое
|
|
|
|
Вазелиновое
|
|
|
|
Мыло детской группы Детское
- С экстрактом ромашки Чемпион
|
10
|
10
|
|
Чистюля
|
|
|
|
"Апрель"
|
Мыло группы
"Экстра"
|
8
|
8
|
|
Яблоневый цвет
|
|
|
|
Мыло I
группы Дивный сад
|
4
|
4
|
|
Цветы России
|
|
|
|
Люкс
|
|
|
|
Мыло II
группы
|
7
|
7
|
|
Хвойное
|
|
|
|
Банное
|
|
|
|
Ланолиновое
|
|
|
|
Вазелиновое
|
|
|
|
Мыло детской группы Детское
- С экстрактом череды
|
6
|
6
|
|
ИТОГО
|
190
|
190
|
Данные подставим в формулу:
,
Рассчитаем коэффициент устойчивости
туалетного мыла. Для этого необходимо провести анализ устойчивости ассортимента
товаров по отношению к широте действительной. Данные получены по результатам
опроса потребителей за 1 месяц и представлены в таблице 7 и 8.
Таблица 7 - Выявление процентного соотношения видов туалетного мыла,
пользующихся устойчивым спросом по результатам маркетинговых исследований
методами опроса и анализа документальных данных о реализации товаров
|
Период опроса (по декадам
месяца)
|
Виды туалетного мыла, %
|
Итого, %
|
|
Мыло группы
"Экстра"
|
Мыло I
группы
|
Мыло II
группы
|
Мыло детской группы
|
|
|
10 дней
|
30
|
8
|
5
|
20
|
100
|
|
10 дней
|
40
|
2
|
14
|
12
|
100
|
|
10 дней
|
35
|
5
|
10
|
20
|
100
|
Таблица 8 - Анализ устойчивости
ассортимента туалетного мыла, реализуемого в ООО "Перспектива"
|
№ п/п
|
Количество видов туалетного
мыла (Шд)
|
Количество видов туалетного
мыла по результатам опроса потребителей (У)
|
|
1
|
Мыло группы
"Экстра"
|
Мыло группы
"Экстра"
|
|
2
|
Мыло I
группы
|
-
|
|
3
|
Мыло II
группы
|
-
|
|
4
|
Мыло детской группы
|
Мыло детской группы
|
|
ИТОГО
|
4
|
2
|
По данным таблиц можно построить
график устойчивости ассортимента туалетного мыла, реализуемого в ООО
"Перспектива"
И так, из данных таблицы и графика
устойчивости видно, что наибольшим спросом, из исследуемых видов туалетного
мыла, пользуются: мыло группы "Экстра".
Рисунок 4 - График устойчивости
ассортимента туалетного мыла, реализуемого в ООО "Перспектива" в
динамике за 1 месяц
Рассчитаем коэффициент устойчивости,
используя формулу:
,
Рассчитаем коэффициент новизны туалетного мыла. Для этого необходимо
провести анализ количества новых видов туалетного мыла к общему количеству
разновидностей и наименований товаров различных производителей однородной
группы по действительной полноте. Данные получены по итогам за 1 месяц и
представлены в таблице 9.
Таблица 9 - Анализ новизны ассортимента туалетного мыла, реализуемого в
ООО "Перспектива"
|
Наименование изготовителя
|
Наименование изделий
|
Количество изделий, шт
|
|
|
Пд
|
Н
|
|
"Свобода"
|
Мыло группы
"Экстра" Любимое
|
15
|
|
|
Тропик
|
|
|
|
Русский лес
|
|
|
|
Дракончик
|
|
|
|
Яблоневый цвет
|
|
|
|
Консул
|
|
5
|
|
Мыло I
группы Дивный сад
|
12
|
|
|
Цветы России
|
|
|
|
Люкс
|
|
|
|
Ворожея
|
|
10
|
|
Мыло II
группы Бархатное
|
20
|
|
|
Хвойное
|
|
|
|
Банное
|
|
|
|
Ланолиновое
|
|
|
|
Вазелиновое
|
|
|
|
Земляничное
|
|
5
|
|
Мыло детской группы Детское
- С экстрактом череды - С экстрактом ромашки Тик-так
|
17
|
|
|
"Невская
косметика"
|
Мыло группы
"Экстра" Любимое
|
15
|
|
|
Тропик
|
|
|
|
Русский лес
|
|
|
|
Консул
|
|
|
|
Яблоневый цвет
|
|
|
|
Дракончик
|
|
5
|
|
Мыло I
группы Дивный сад
|
12
|
|
|
Цветы России
|
|
|
|
Ворожея
|
|
|
|
Люкс
|
|
|
|
Мыло II
группы Бархатное
|
18
|
|
|
Хвойное
|
|
|
|
Банное
|
|
|
|
Земляничное
|
|
|
|
Семейное
|
|
|
|
Ланолиновое
|
|
10
|
|
Мыло детской группы Детское
- С экстрактом череды - С экстрактом ромашки Тик-так Алиса
|
17
|
|
|
"Нэфис Косметик"
|
Мыло группы
"Экстра"
|
12
|
|
|
Тропик
|
|
|
|
Дракончик
|
|
|
|
Яблоневый цвет
|
|
|
|
Мыло I
группы Дивный сад
|
2
|
|
|
Мыло II
группы Бархатное
|
15
|
|
|
Банное
|
|
|
|
Ланолиновое
|
|
|
|
Вазелиновое
|
|
|
|
Хвойное
|
|
7
|
|
Мыло детской группы Детское
- С экстрактом ромашки Чемпион
|
10
|
|
|
Чистюля
|
|
|
|
"Апрель"
|
Мыло группы
"Экстра"
|
8
|
|
|
Яблоневый цвет
|
|
|
|
Мыло I
группы Дивный сад
|
4
|
|
|
Цветы России
|
|
|
|
Люкс
|
|
|
|
Мыло II
группы
|
7
|
|
|
Хвойное
|
|
|
|
Банное
|
|
|
|
Ланолиновое
|
|
|
|
Вазелиновое
|
|
|
|
Мыло детской группы Детское
- С экстрактом череды Тик-так
|
6
|
5
|
|
ИТОГО
|
190
|
47
|
Расчет коэффициента новизны проводится по формуле:
,
Рассчитаем коэффициент рациональности, т.е. способность туалетного мыла
наиболее полно удовлетворять реально обоснованные потребности разных сегментов
потребителей. При определении коэффициента рациональности ассортимента
учитываются все вышеперечисленные показатели полноты, устойчивости и новизны
товаров с учетом степени значимости или коэффициента весомости (в) для
каждого показателя (табл.10). Например, сумма коэффициентов весомости при
данном расчете может быть равна 1 (0,5; 0,3; 0,2). Коэффициенты весомости были
определены экспертным путем, которые характеризуют удельную долю показателя при
формировании потребительских предпочтений, влияющих на сбыт мыла туалетного.
Таблица 10 - Анализ ассортимента мыла
туалетного, реализуемого в ООО "Перспектива" с учетом коэффициентов
весомости
|
Показатель
|
Коэффициент весомости
|
Данные расчетов
|
Данные расчетов Кр
|
|
Коэффициент полноты (Кп)
|
0,3
|
1,0
|
|
|
Коэффициент устойчивости
(Ку)
|
0,5
|
0,5
|
|
|
Коэффициент обновления
(новизны) (Кн)
|
0,2
|
0,25
|
|
|
Коэффициент рациональности
(Кр)
|
-
|
-
|
|
Расчет коэффициента рациональности проводится по формуле:
Заключение: по результатам проведенных исследований, с определенной
степенью достоверности можно утверждать, что представленный ассортимент мыла
туалетного, входящих в группу косметических товаров, реализуемого в ООО
"Перспектива", частично удовлетворяет реальные потребности разных
сегментов потребителей, так как коэффициент рациональности (Кр) имеет значение
равное 0,2. Данный показатель свидетельствует о рациональности ассортимента.
.3.2 Экспертиза туалетного мыла
Первым этапом проведения экспертизы является анализ и установление
маркировочных данных исследуемых образцов в соответствии с требованиями
нормативных документов. Анализ маркировки мыла туалетного детского представлен
в таблице 11.
Таблица 11 - Анализ маркировочных данных мыла туалетного детского по ГОСТ
Р 51391-99 "Изделия парфюмерно-косметические. Информация для потребителя.
Общие требования"
|
Наименование показателя
|
Фактические данные
|
|
"Мыло Детское с
ромашкой"
|
"Туалетное мыло
Малыш"
|
"Мыло детское с
экстрактом ромашки"
|
"Туалетное мыло для
детей крем и ромашка"
|
|
Образец №1
|
Образец №2
|
Образец №3
|
Образец №4
|
|
Наименование и группа мыла
|
"ДЕТСКОЕ"
|
"ДЕТСКОЕ"
|
Д
|
"ДЕТСКОЕ"
|
|
Товарный знак
предприятия-изготовителя, его наименование и местонахождение
|
Имеется, ОАО
"Свобода" г. Москва , ул. Вятская, 47
|
Имеется, ОАО
"Свобода" г. Москва , ул. Вятская, 47
|
Имеется, ОАО "Невская
косметика" г. Санкт-Петербург, пр. Обуховской Обороны, 80
|
Имеется, ОАО "Нэфис
Косметик" г. Казань, ул. Тукая, 152
|
|
Номинальная масса куска
|
100г
|
90г
|
90г
|
190г
|
|
Обозначение стандарта
|
ГОСТ 28546-2002
|
ГОСТ 28546-2002
|
ГОСТ 28546-2002
|
ГОСТ 28546-2002
|
|
Срок годности
|
3 года
|
3 года
|
Годен до 09.2013.
|
24 месяца
|
|
Дата изготовления и номер
партии
|
01.2011. 17
|
09.2011. 19
|
- 32
|
05.08.11. -
|
|
Штрихкод
|
имеется
|
имеется
|
имеется
|
имеется
|
|
Знак соответствия
требованиям стандартов
|
имеется
|
имеется
|
имеется
|
имеется
|
|
Сведения о составе мыла
|
Имеются (на англ. яз.)
|
Имеются (на англ. яз.)
|
Натриевые соли жирных
кислот животных жиров и растительных масел, вода, парфюмерная композиция,
диоксид титана, лимонная кислота, глицерин, норковый жир, экстракт масляный
цветков ромашки, триэтаноламин, диэтиленгликоль, ПЭГ - 9, динатриевая соль ЭДТА,
натрий карбоксиметилцеллюлоза, бензойная кислота, натрия хлорид
|
Натриевые соли натуральных
жирных кислот, вода, парфюмерная композиция, стабилизатор, пластификатор,
вещества отбеливающие, экстракт ромашки, комплексообразователи
|
|
Сведения рекламного характера
|
Экстракт ромашки, входящий
в состав мыла, обладает противовоспалительным действием
|
Детское мыло обеспечивает
бережное и тщательное очищение кожи
|
Содержит экстракт ромашки,
обладающий противовоспалительным и противоаллергическим действием, и норковый
жир, защищающий кожу от обезжиривания при умывании
|
-
|
Таблица 12 - Показатели качества исследуемых образцов мыла туалетного
детского по ГОСТ 28546-2002 "Мыло туалетное. Общие технические
условия"
|
Наименование показателя
|
Характеристика и нормы по
ГОСТ
|
Фактические данные
|
|
|
"Мыло Детское с
ромашкой"
|
"Туалетное мыло
Малыш"
|
"Мыло детское с
экстрактом ромашки"
|
"Туалетное мыло для
детей крем и ромашка"
|
|
|
Образец №1
|
Образец №2
|
Образец №3
|
Образец №4
|
|
Внешний вид
|
Форма куска правильная, с
четким штампом, без деформации
|
Поверхность слегка
шероховатая, правильная форма, продолговатая, с четким штампом
|
Гладкая поверхность, форма
правильная, овальная, с четким штампом
|
Поверхность гладкая, форма
правильная, овальная, с четким штампом
|
Форма куска правильная,
гладкая поверхность, форма прямоугольника, с четким штампом, без деформации
(инородное включение)
|
|
Цвет
|
Равномерный, чистых тонов,
от белого до кремового
|
Равномерный, кремовый
|
Равномерный, кремовый
|
Равномерный, темный
кремовый
|
Равномерный, белый
|
|
Запах
|
Приятный, свойственный
запаху данного изделия
|
Приятный, свойственный
запаху данного изделия
|
Приятный, свойственный
запаху данного изделия
|
Содержит выраженный запах
парфюмерной композиции
|
Содержит выраженный запах
парфюмерной композиции
|
|
Водородный показатель рН
|
5,0-8,5
|
5,5± 0,06
|
5,5±0,07
|
6,0±0,04
|
6,0±0,04
|
|
Пенообразующая способность,
пенное число, мм
|
Не менее 145
|
151±0,37
|
150±0,20
|
150±0,20
|
160±0,20
|
|
Устойчивость пены, мм
|
Не менее 0,8
|
0,9±0,002
|
1,0±0,004
|
0,9±0,003
|
1,2±0,004
|
Заключение: Представленные на экспертизу образцы мыла туалетного группы
"детское" имеют полную информацию о месте нахождения изготовителя,
обозначение нормативного документа по которому можно дать оценку качества
изделия. Номинальная масса куска мыла, указанная на упаковке соответствует
фактическим данным. При вскрытии все образцы мыла легко извлеклись из упаковки,
на поверхности каждого куска был обнаружен выдавленный четкий штамп товарного
знака предприятия-изготовителя, это свидетельствует о соответствии нанесенной
информации на упаковках образцов мыла. Образец под №4 "Туалетное мыло для
детей крем и ромашка" на поверхности имеет инородное включение и содержит
выраженный запах парфюмерной композиции, что нежелательно при производстве
туалетного мыла данной группы. Образец под №3 "Мыло детское с экстрактом
ромашки" также содержит выраженный запах парфюмерной композиции. Образец
под №1 "Мыло Детское с ромашкой" имеет слегка шероховатую
поверхность, что не является отклонением от НД. Произведенная оценка качества
образца под №2 "Туалетное мыло Малыш" по показателям, представленным
в табл. 5 говорит о соответствии нормам и требованиям ГОСТ 28546-2002
"Мыло туалетное. Общие технические условия". Все исследуемые образцы
мыла туалетного могут быть допущены к реализации, так как обнаруженные
несоответствия у некоторых образцов - не являются значительными.
2.3.3 Оценка конкурентоспособности туалетного мыла
Органолептическую оценку качества мыла туалетного
детского проводят по 5-балльной шкале. Для этого была разработана
дегустационная шкала качества мыла туалетного (табл. 13). Результаты
дегустационной оценки исследуемых образцов мыла представлены в таблице 14.
Таблица 13 - Дегустационная шкала качества мыла туалетного детского
|
Показатели
|
Коэффициент весомости
|
Баллы
|
Требования, предъявляемые к
продукции
|
|
Внешний вид
|
0,5
|
5 4 3 2
|
Форма куска правильная, с
четким штампом, без деформации Поверхность слегка шероховатая Неправильной
формы, шероховатая поверхность, не четкий штамп Деформированная форма,
расплывчатый штамп или его отсутствие
|
|
Цвет
|
0,7
|
5 4 3 2
|
Равномерный, чистых тонов,
от белого до кремового Неравномерный, темный Включения постороннего цвета
Коричневый неравномерный
|
|
Запах
|
0,8
|
5 4 3 2
|
Приятный, свойственный
запаху данного изделия С ярко-выраженной отдушкой или парфюмерной композицией
С резко-выраженной парфюмерной композицией Не свойственный данному изделию
|
Таблица 14- Дегустационная оценка качества мыла туалетного
|
Наименование изделия
|
№ образца
|
Кол-во баллов по
показателям
|
|
|
Внешний вид
|
Цвет
|
Запах
|
Общий балл
|
|
"Мыло Детское с
ромашкой"
|
1
|
4
|
5
|
5
|
14
|
|
"Туалетное мыло
Малыш"
|
2
|
5
|
5
|
5
|
15
|
|
"Мыло детское с
экстрактом ромашки"
|
3
|
5
|
5
|
4
|
14
|
|
"Туалетное мыло для
детей крем и ромашка"
|
4
|
4
|
5
|
4
|
14
|
Таблица 15 - Суммарная бальная оценка качества мыла туалетного с учетом
коэффициента весомости
|
Наименование изделия
|
№ образца
|
Кол-во баллов по
показателям
|
|
|
Внешний вид m
=0,5
|
Цвет m
=0,7
|
Запах m
=0,8
|
Общий балл
|
|
"Мыло Детское с
ромашкой"
|
1
|
2,0
|
3,5
|
4,0
|
9,5
|
|
"Туалетное мыло
Малыш"
|
2
|
2,5
|
3,5
|
4,0
|
10,0
|
|
"Мыло детское с
экстрактом ромашки"
|
3
|
2,5
|
3,5
|
3,2
|
9,2
|
|
"Туалетное мыло для
детей крем и ромашка"
|
4
|
2,0
|
3,5
|
3,2
|
8,8
|
Данные таблицы суммарной балльной оценки подставляем в формулу и
рассчитываем комплексный показатель органолептических свойств по каждому виду
мыла туалетного. Результаты представлены в таблице 16.
Таблица 16 - Комплексный показатель органолептических свойств мыла
туалетного
|
Наименование изделия
|
Комплексный показатель, Ко
|
|
"Мыло Детское с
ромашкой"
|
0,95
|
|
"Туалетное мыло
Малыш"
|
1,0
|
|
"Мыло детское с
экстрактом ромашки"
|
0,92
|
|
"Туалетное мыло для
детей крем и ромашка"
|
0,88
|
При оценке исследуемых образцов мыла туалетного по физико-химическим
показателям определялись: водородный показатель, пенообразующая способность,
пенное число, устойчивость пены.
Результаты приведены в таблице 17.
Данные физико-химических исследований включают
некоторые ошибки или погрешности измерений, оценки результатов и их записи.
Математическая обработка результатов даёт возможность выявить эти ошибки или
погрешности (Приложение 1).
Таблица 17 - Результаты физико-химических исследований
мыла туалетного
|
Наименование продукта
|
Водородный показатель рН
|
Пенообразующая способность,
пенное число, мм
|
Устойчивость пены, мм
|
|
ГОСТ
|
ФАКТ
|
ГОСТ/ФАКТ
|
ГОСТ
|
ФАКТ
|
ГОСТ/ФАКТ
|
ГОСТ
|
ФАКТ
|
ГОСТ/ФАКТ
|
|
"Мыло Детское с
ромашкой"
|
5,0-8,5
|
5,5± 0,06
|
8,5/5,5=1,54
|
Не менее 145
|
151±0,37
|
145/151=0,96
|
Не менее0,8
|
0,9±0,002
|
0,8/0,9=0,88
|
|
"Туалетное мыло
Малыш"
|
|
5,5±0,07
|
8,5/5,5=1,54
|
|
150±0,20
|
145/150=0,97
|
|
1,0±0,004
|
0,8/1,0=0,8
|
|
"Мыло детское с
экстрактом ромашки"
|
|
6,0±0,04
|
8,5/6,0=1,41
|
|
150±0,20
|
145/150=0,97
|
|
0,9±0,003
|
0,8/0,9=0,88
|
|
"Туалетное мыло для
детей крем и ромашка"
|
|
6,0±0,04
|
8,5/6,0=1,41
|
|
160±0,20
|
145/160=0,91
|
|
1,2±0,004
|
0,8/1,2=0,67
|
Определение комплексного показателя качества мыла туалетного по
физико-химическим параметрам Кфх проводится по общепринятой методике
в соответствии с данными таблицы 18. Результаты комплексного показателя
представлены в таблице 18.
Таблица 18 - Комплексный показатель физико-химических свойств образцов
мыла туалетного
|
Наименование изделий
|
Комплексный показатель Кфх
|
|
"Мыло Детское с
ромашкой"
|
1,09
|
|
"Туалетное мыло
Малыш"
|
1,06
|
|
"Мыло детское с
экстрактом ромашки"
|
1,06
|
|
"Туалетное мыло для
детей крем и ромашка"
|
0,95
|
По физико-химическим показателям качества все исследуемые образцы имеют
примерно одинаковые коэффициенты.
Таблица 19 - Расчеты комплексного показателя маркетинговых параметров
образцов мыла туалетного
|
Показатель
|
Коэффициент весомости
|
"Мыло Детское с
ромашкой"
|
"Туалетное мыло
Малыш"
|
"Мыло детское с
экстрактом ромашки"
|
"Туалетное мыло для
детей крем и ромашка"
|
|
Внешний вид
|
4
|
4
|
5
|
5
|
5
|
|
Реклама
|
3
|
4
|
4
|
5
|
3
|
|
Упаковка
|
2
|
5
|
5
|
5
|
4
|
1
|
5
|
5
|
5
|
4
|
Таблица 20 - Результаты расчетов комплексного показателя маркетинговых
параметров образцов мыла туалетного
|
Показатель
|
Коэффициент весомости
|
"Мыло Детское с
ромашкой"
|
"Туалетное мыло
Малыш"
|
"Мыло детское с
экстрактом ромашки"
|
"Туалетное мыло для
детей крем и ромашка"
|
|
Внешний вид
|
4
|
16
|
20
|
20
|
20
|
|
Реклама
|
3
|
12
|
12
|
15
|
9
|
|
Упаковка
|
2
|
10
|
10
|
10
|
8
|
|
Ассортимент
|
1
|
5
|
5
|
5
|
4
|
|
Км
|
1,0
|
0,86
|
0,94
|
1,0
|
0,83
|
Из таблицы видно, что самый низкий показатель маркетинговых параметров
имеет образец под № 4 "Туалетное мыло для детей крем и ромашка" ОАО
"Нефис Косметикс".
Таблица 21- Расчет показателя комплексной оценки качества исследуемых
образцов мыла туалетного
|
Показатель
|
"Мыло Детское с
ромашкой"
|
"Туалетное мыло
Малыш"
|
"Мыло детское с
экстрактом ромашки"
|
"Туалетное мыло для
детей крем и ромашка"
|
|
Ко
|
0,95
|
1,0
|
0,92
|
0,88
|
|
К ф\х
|
1,09
|
1,06
|
1,06
|
0,95
|
|
К м
|
0,86
|
0,94
|
1,0
|
0,83
|
|
К ок
|
0,96
|
1,0
|
0,99
|
0,89
|
Полученные результаты дают возможность оценить, способен ли товар
удовлетворить существующую потребность. Теперь выясним при каком уровне затрат
потребность может быть удовлетворена. Проведем анализ экономических параметров.
Соизмерение всех экономических параметров происходит на стоимостной основе.
Произведём сопоставление цены потребления анализируемого товара и товара
образца.
Полученный в результате показатель Кок даёт возможность решить
одну часть проблемы - способен ли товар (и в какой степени) удовлетворить
существующую потребность. Однако, оставляет в стороне важный аспект, - при
каком уровне затрат потребность может быть удовлетворена. Решение этой части
проблемы связано с анализом экономических параметров. Подход к решению задачи
оценки экономических параметров мыла туалетного во многом сходен с анализом качественных
параметров. Его особенность состоит в том, что соизмерение всех экономических
параметров происходит на стоимостной основе. Для упрощения расчетов
предлагается провести сопоставление цены потребления анализируемого товара и
товара-образца (за 100г изделия) по предложенной формуле (Э=С/Cо). Полученные
данные отражены в таблице 22.
Таблица 22- Расчет группового показателя по экономическим параметрам
исследуемых образцов мыла туалетного
|
Показатель
|
"Мыло Детское с
ромашкой"
|
"Туалетное мыло
Малыш"
|
"Мыло детское с
экстрактом ромашки"
|
"Туалетное мыло для
детей крем и ромашка"
|
|
С
|
12,0
|
10,45
|
11,7
|
22,0
|
|
Со
|
14,0
|
|
Э
|
0,85
|
0,75
|
0,84
|
1,5
|
Для расчёта интегрального показателя конкурентоспособности данные таблиц
21 и 22 подставляем в формулу (Кин=Кок/Э). Интегральный показатель отражает
различие между сравниваемыми товарами в потребительском эффекте, приходящемся
на единицу затрат потребителя, связанных с приобретением и использованием
товара. Полученные данные отражены в таблице 23.
Таблица 23- Оценка конкурентоспособности мыла туалетного
|
Показатель
|
"Мыло Детское с
ромашкой"
|
"Туалетное мыло
Малыш"
|
"Мыло детское с
экстрактом ромашки"
|
"Туалетное мыло для
детей крем и ромашка"
|
|
К ин
|
1,0
|
1,3
|
1,2
|
0,60
|
Наиболее конкурентоспособной продукцией является Образец №2 "Туалетное
мыло Малыш", так как имеет самый высокий коэффициент конкурентоспособности
за счет цены потребления на данный вид изделий, но и положительных показателей
качества.
Образец под №4 "Туалетное мыло для детей крем и ромашка" имеет
наименьший показатель конкурентоспособности за счет высокой цены и низкого
показателя маркетинговых параметров
Таким образом, таблицу конкурентоспособности мыла туалетного можно
представить в виде диаграммы конкурентоспособности (рисунок 9).
Рисунок 9 - Диаграммы конкурентоспособности туалетного мыла, реализуемого
в ООО "Перспектива"
.3.4 Анализ факторов, влияющих на формирование качества мыла туалетного
Важнейшими факторами, формирующими качество туалетного мыла, являются
собственно сырье и особенности технологии производства.
Для изготовления мыла применяют натуральные жиры, синтетические жирные
кислоты, щелочные вещества, отдушки, красители, различные полезные добавки.
Кашалотовый саломас благодаря содержанию в нем восков, лауриновой и миристиновой
кислот применяется при варке специального мыла для мытья в морской жесткой
воде. Среди растительных масел, применяемых для выработки мыла, различают две
основные группы: масла, находящиеся при комнатной температуре в твердом
состоянии, и масла, жидкие при этой температуре. Ввод этих масел в жировую
рецептуру мыла обеспечивает создание нужной пластичности при его механической
обработке, высокое пенообразование в холодной воде. Жидкие растительные масла
подсолнечное, соевое, хлопковое - используются для варки мазеобразных и жидких
мыл, а в виде саломасов входят в жировую основу и твердых туалетных мыл. СЖК
получают путем окисления нефтяного парафина. При хорошей очистке от
сопутствующих примесей они могут служить полноценным сырьем, заменяющим жирные
кислоты из природных жиров. Смоляные кислоты применяют для мыловарения в виде
канифоли, получаемой из живицы хвойных деревьев. При изготовлении низших сортов
туалетного мыла иногда применяется 3-5% канифоли светлых тонов. Введение
большого количества канифоли делает мыло линиям, затрудняет обработку мыла на
вальцах, в экструдере, снижает его моющее действие. Щелочные вещества
необходимы для омыления нейтральных жиров и нейтрализации жирных кислот. При
пользовании туалетным мылом в жесткой воде образуется кальциевые и магниевые
мыла (соли жесткости), оседающие на коже и особенно на волосах и образующие
липкий осадок, склеивающий волосы, для предупреждения образования этих
соединений в туалетное мыло могут вводить гексаметафосфат натрия в количестве
до 5%. Красящие вещества добавляют в туалетное мыло для улучшения его товарного
вида для этих целей используют сухие белила (пигменты) и красители (водо-,
жирорастворимые). Белила улучшают цветовой тон, делают его более равномерным,
устраняют прозрачность куска, появляющуюся иногда в процессе механической
обработки мыла. Красители применяют для окраски мыла в разные цвета: родамин
(красный), метанил (желтый), бирюзовый светопрочный (голубой), флуоресцеин
(лимонный), коричневый прямой (коричневый) и др. Отдушки (парфюмерные
композиции) - это сложные смеси эфирных масел и синтетических душистых веществ,
гармонично сочетающихся между собой и образующие оригинальный букет - запах,
передаваемый мылу. Запах может быть цветочный, фантазийный. Считается, что для
мыла среднего качества достаточно около 1% отдушки, для хорошего мыла - около
2%, а для высших сортов - до 3%.Чрезмерное количество отдушек вредно для мыла,
так как на эмульгирование душистых веществ, тратится часть мыла, которая
выпадает из общего моющего баланса. Поэтому мыла с очень большим содержанием
душистых веществ обладают меньшей моющей способностью.
Часто пропадание запаха или изменение цвета мыла приписывают
исключительно плохому качеству отдушки. Однако сильное влияние на это может
оказать порча самого мыла вследствие нарушения режима варки или обработки. Но
порча мыла может быть вызвана и добавлением душистых веществ, связывающих
щелочь, что вызывает прогоркание мыла.
Первичный выбор потребителя почти полностью определяется ароматом и
внешним видом мыла, поэтому отдушки для мыла должны обладать приятным
устойчивым запахом, длительное время сохраняющимся в готовом продукте.Для
предотвращения порчи мыла в него добавляют стабилизаторы (антиоксиданты). В
промышленности кроме силиката натрия нашли применение антал, антал П-2
(пластиболь).
Пластиболь, кроме веществ, действующих в качестве антиоксидантов,
содержит высокомолекулярные полимерные соединения, которые препятствуют
раскисанию мыла и благодаря которым оно сохраняет свою форму и экономно
расходуется. Ввод дезинфицирующих добавок ускоряет и усиливает антисептическое
свойство мыла. Некоторые добавки убивают кишечную палочку, золотистый
стафилококк и др. В качестве дезинфицирующих веществ используют гексахлорофен,
борную, карболовую кислоты, салициламид, березовый деготь, триклозан и др. Для
придания белизны, улучшения моющих свойств мыла в их состав вводят титановые
белила, силикат натрия. В некоторые мыла вводят дезодорирующие добавки
(метанид) для устранения запаха пота. В современные туалетные мыла стали вводить
витамины (F1, В5 и др.)
3. Организационно-управленческий раздел
.1 Характеристика предприятия ООО "Перспектива" г. Минеральные
Воды
ООО "Перспектива" было основано в 2008 году. Торговое
предприятие магазин "Перспектива" находится в г. Мин-Воды, ул.
Промышленная 17, в оживленном районе рядом, где проживает много потенциальных
покупателей
ООО "Перспектива" является юридическим лицом, права которого
приобретаются с момента государственной регистрации, действует на основе
самостоятельности, самофинансирования и самовыкупаемости, обладает обособленным
имуществом и имеет самостоятельный баланс, пользуется печатью со своим
наименованием и другими атрибутами.
В своей деятельности частное предприятие руководствуется Законом РФ
"О предприятиях и предпринимательской деятельности", Законом РФ о
собственности в РФ и иными действующими в РФ законодательными и нормативными
актами и настоящим уставом.
Предприятие обладает полной самостоятельностью в вопросах внутренней
организации и управлении; принятие хозяйственных решений; организации и режиме
оплаты труда; распределении чистой прибыли.
Имущество предприятия составляет основные фонды и оборотные средства, а
также иное имущество, стоимость которого отражается в самостоятельном балансе
предприятия. Имущество предприятия, в том числе и полученное от его
деятельности, является собственностью директора.
Главным на предприятии является директор, который правомочен, решать все
вопросы деятельности предприятия и самостоятельно определяет порядок своей
работы и принятие решений.
Оперативно-распорядительные функции по управлению магазином
осуществляются заведующей магазином Дубинина Р.М., назначаемым и освобождаемым
от должности директором. Заведующая подотчетна директору и несет перед ним
материальную и дисциплинарную ответственность, полномочия заведующей
регламентируются трудовым договором, заключенным между директором и заведующей
или иными документами предприятия.
Предприятие может в установленном порядке привлекать к работе граждан на
основе трудовых договоров, договоров подряда и иных, предусмотренных
законодательством форм взаимоотношений.
Главный бухгалтер подчиняется директору, пользуется правами и
обязанностями, а также несет ответственность в соответствии с действующим
законодательством.
Магазин "Перспектива" представляет собой отдельное здание, на
котором размещена освещенная вывеска с названием магазина. Подъезд к магазину
не затруднен, может осуществляться различными видами транспорта. Рядом с
магазином предусмотрена автостоянка. Очевидно, что такое месторасположение
магазина предусматривает и наличие достаточного количества конкурирующих
предприятий.
Имеется один совмещенный вход-выход для покупателей и служебный вход,
которые оборудованы охранной сигнализацией на открытие и закрываются они на
внутренние замки. Окна оборудованы охранной сигнализацией на разбитие.
Режим работы магазина с 8 до 22 часов без выходных и без перерыва на
обед, что позволяет покупателям посещать магазин в течение дня, также удобно
для тех, кто проживает вблизи магазина.
Магазин имеет необходимые помещения: к торговому помещению относится
торговый зал; подсобные помещения, которые выполняют вспомогательные функции, к
ним относятся: помещение уборочного инвентаря и моечная; к помещениям для
хранения, приемке и подготовки к продаже: склад, это помещение имеет большое
значение; к служебно-бытовым: моечная, туалет, умывальная, кухня, кабинет
директора, гардероб; к техническим помещениям относятся: электрощитовая,
тепловой узел. В магазине нет подвальных помещений.
Торговый зал занимает основную долю в общей площади магазина. Торговый
зал магазина имеет прямоугольную форму с соотношением сторон 1:1,5. Планировка
торгового зала смешанная, что предусматривает расстановку оборудования с
использованием комбинаций линейной и боксовой планировки.
Стены выходящие на улицу остеклены. Весь торговый зал делится на четыре
зоны:
1) зона, занятая под оборудование, характеризуется способами
расстановки оборудования в торговом зале, которое в данном магазине расставлено
в две линии, I-я линия расставлена пристенно, а на II-ой демонстрируется товар.
2) зона, занятая под узлы расчета. В магазине
"Перспектива" централизованный узел расчета.
) зона, для движения покупателей - это площадь торгового зала,
которая предназначена для свободного передвижения покупателей, в магазине
покупательские потоки направлены против часовой стрелки.
) зона, рабочего места продавца, ее размер равен, произведению
длинны фронта прилавка на глубину рабочего места. Глубина рабочего места
включает ширину прилавка и торгового оборудования для выкладки и размещения
рабочего запаса товаров, а также ширину прохода между ними.
Штат сотрудников насчитывает 17 человек: директор, зав.магазином, 2
старших продавца (один старший продавец в смену), главный бухгалтер, товаровед,
2 водителя, фасовщица, уборщица, экспедитор, 2 грузчика, 4 продавца. Учетность
в магазине осуществляет главный бухгалтер; за состоянием товара, сроками
реализации, годности, уценяет и списывает испортившиеся товары - товаровед.
Старшие продавцы принимают товары, оформляют ценники, следят за спросом,
грузчики разгружают машины с товаром, а так же выносят товар в торговый зал. В
магазине две смены, в одну смену работают два продавца и один старший продавец.
Форма оплаты труда - повременная.
Ассортимент товаров достаточно широк. Магазин осуществляет продажу
следующих продовольственных товаров: хлебобулочные изделия, кондитерские
изделия и другие бакалейные товары, молочные, мясо и мясные полуфабрикаты, рыба
и рыбные полуфабрикаты, фрукты и овощи и другие гастрономические товары, вино -
водочные изделия, безалкогольные напитки.
В магазине используют индивидуальное обслуживание покупателей продавцом
через прилавок, которое включает выполнение следующих операций:
- встреча покупателя и выявление его намерения;
- предложение и показ товаров;
помощь в выборе товаров и консультация;
предложение сопутствующих и новых товаров;
проведение технологических операций, связанных с нарезкой,
взвешиванием, отмериванием;
расчетные операции;
упаковка и выдача покупок.
ООО "Перспектива" ориентировано на получение максимальной
прибыли. Рост прибыли в предприятии обуславливается следующими факторами:
удовлетворение потребителя или пользователя и услуг;
позиция на рынке, часто связанная с желанием рыночного лидерства;
условия благосостояния работающих и развитие хороших отношений среди
персонала;
публичная ответственность и имидж организации;
техническая эффективность, высокий уровень производительности труда,
минимизация издержек производства и т.д.
Организация труда и режим работы сотрудников отвечают всем требованиям
КЗОТа РФ, обеспечены социальные выплаты. В коллективе создан благоприятный
психологический климат. На предприятии применяется повременная форма оплаты
труда, т.е. заработная плата начисляется работнику по его тарифной ставке или
окладу за фактически отработанное время.
Товароснабжение - это комплекс коммерческих и технологических операций по
доведению товаров до предприятия, включающий в себя следующие процессы:
закупку, доставку, приемку и хранение, подготовку и продажу товаров.
Завоз товаров осуществляется в соответствии со спросом населения и
ассортиментом магазина. Величина единовременно доставляемой партии исчисляется
с учетом имеющихся товарных запасов.
Товароснабжение в магазине основывается на следующих принципах:
Планомерность;
Ритмичность;
Оперативность;
Экономичность.
Основными поставщиками товаров магазина
"Перспектива" являются:
Непродовольственных товаров:
- парфюмерно-косметические - ООО "Оптима" (г. Краснодар), ООО
"Кавказ-торг" (г. Пятигорск);
игрушки - ИП Ильина О.А. п. Иноземцево;
товары бытовой химии - ООО "Кавказ-торг" (г. Пятигорск);
чулочно-носочные изделия - ООО "Икар" (п. Ясная поляна);
керамические и стеклянные изделия - ООО "Кавказ-торг" (г.
Пятигорск).
Продовольственных товаров:
- мясо и мясные продукты - Ессентукский комбинат "Эльбрус", ИП
Гажев Ю.Д, "Винсадский цех мясных полуфабрикатов"; ООО
"Икар" (п. Ясная поляна); ОАО "Мясокомбинат Пятигорский",
ООО Ростовский колбасный завод "Тавр";
хлеб и хлебобулочные изделия - ООО "Железноводский хлеб"; СПК
"Александровский";
кондитерские изделия - ООО "Макшел-КМВ" (г. Пятигорск), ООО
"Кавказ-торг" (г. Пятигорск); ООО "Нальчик-Сладость";
вино-водочная продукция - ООО "Интерагросистемы" (г.
Краснодар), ЗАО МПБК "Очаково" (г. Краснодар), ОАО "Пивоваренная
компания Балтика"; ОАО "Дионис"; ОАО "Георгиевский
винзавод";
мороженое - ОАО "Холод" (г.Пятигорск);
соки-воды - ООО "Славяновская" (г. Железноводск), ООО
"Кока-Кола Ставрополье);
рыба и рыбные товары - ИП Васильков "Три Пескаря";
мука и макаронные изделия - ЗАО "Байсад" (г. Кисловодск);
табачные изделия - ООО "Держава" (г. Железноводск),
вкусовые товары - ООО "Кавказ-торг" (г. Пятигорск).
В данном магазине применяются две формы товароснабжения.
Транзитная форма доставки применяется по товарам, производство которых
осуществляется в районах потребления, как то: хлеб и хлебобулочные изделия,
молоко и молочные продукты, мясо и мясопродукты, мороженое.
Складская форма доставки используется по товарам сложного ассортимента,
представленном в магазине значительным количеством групп, видов,
разновидностей, наименований (алкогольная продукция, табачные изделия, консервы
и т.д.).
Таким образом, можно сказать, что магазин установил рациональные связи с
производственными предприятиями и оптовыми базами по организации
товароснабжения.
3.2 Маркетинговые исследования косметических товаров
"Косметика" в переводе с греческого - "искусство
украшать". Косметика зародилась одновременно с появлением человека. Ее
история тесно связана с уровнем развития культуры, естествознания, медицины. И
хотя на протяжении многовековой истории были периоды и расцвета, и упадка,
можно сказать, что умение людей украшать собственное тело постоянно возрастало.
За последние годы ассортимент косметических изделий расширился
преимущественно за счет создания высококачественных средств
лечебно-профилактического назначения. Отличительной особенностью развития
косметической промышленности в нашей стране является широкое использование
природного сырья.
Маркетинговая оценка потребительского рынка косметических товаров
проводилась методом социологического опроса населения города Минеральные Воды.
Респондентам предлагалось заполнить анкету (Приложение 2), целью которой
являлось выявление мотивов, предпочтений и намерений потребителей, а также их
оценки используемых и обновляемых косметических товаров.
Респонденты были представлены в различных возрастных категориях,
респонденты моложе 15 лет не были включены в маркетинговые исследования, так
как в этом возрасте, как правило, все косметические товары им приобретают
родители. Возраст 15-18 лет уже считается трудоспособным, и подростки могут
сами принимать решение о покупке тех или иных косметических товаров.
Распределение респондентов по роду занятий и уровню дохода приводится на
рисунке 10 (а,б).
а) По уровню дохода, руб.
б) По роду занятий
Рисунок 10 - Социальная структура выборочной совокупности респондентов
Определим долю потенциальных пользователей
косметических средств по уходу за кожей (рис.11). Нами установлено, что
туалетным мылом детской группы не пользуются 16,8% людей, это в основном
мужчины (9,5%). Далее потенциальных пользователей разобьем по полу, возрасту и
семейному положению (рис.11 а, б).
а) По возрасту
б) По семейному положению
Рисунок 11 - Структура потребителей косметических средств
Из рисунка 11 следует, что туалетное мыло приобретают чаще замужние
женщины (26,7%) и женатые мужчины (18,5%). Это характеризуется уходом и заботой
за их детьми. Наибольшую долю пользователей занимают люди 50 лет и старше
(23%), 19-29 лет (20,4%) и 40-49 лет (20,1%), наименьшую - до 18 лет (7,2%) и
30-39 лет (12,5%).
Далее было рассмотрено соотношение косметических
средств импортных и отечественных торговых марок (ТМ). Полученные данные
приведены на рисунках 12, 13. Из диаграммы видно, что подростки
предпочтительнее косметика отечественных марок, в связи с невысокой стоимостью.
10,7% потребителей выбирают оптимальный вариант, т.е. предпочитают пользоваться
косметическими средствами как импортных, так и отечественных ТМ. В целом
различий в предпочтениях нет, за
исключением лиц старше 50 лет (15,0%), они пользуются косметическими средствами
отечественных ТМ. Так как раньше ассортимент косметических товаров был невелик
и на марку не обращали внимание, покупали скорее по привычке или доступности по
цене. А так же высокие показатели пользования импортной косметикой показала
возрастные группы 19-29лет (18,2) и 40-49 лет (16,2)
Рисунок 12 - Соотношение использования импортных и отечественных ТМ
различными возрастными категориями
Рисунок 13 - Соотношение косметических средств импортных и отечественных
ТМ
Для определения уровня "известности с поддержкой" потребителям
было предложено отметить все известные им марки из предложенного списка (рис.
14). Марки Avon (93%) и Nivea (91,9%), занимающие первые места при определении
"спонтанной известности", повторились и в тесте на определение
"известности с поддержкой". Показатели известности относительно
невысок у таких достаточно распространенных марок, как Green Mama (22,2%), Yves Roche (26,5%), Mary Kay (23,8%). Марки, которые при определении
"спонтанной известности" получили наименьший процент, при определении
"известности с поддержкой" также получили самые низкие показатели: Avene (1,6% спонтанная известность - 11,4%
известность с поддержкой), La Roche-Posay (0-5,4%), Ducray (1,1-6%). Видимо, в силу того что они довольно дорогие, продаютcя только в аптеках и совсем не
рекламируемы.
Рисунок 14 - Рейтинг популярности импортных ТМ
Марки: L'Oreal, Garnier,
Lumene, Vichy, Florena,
Eveline имеют более высокий процент
"известности с поддержкой", чем "спонтанной известности".
Во многом это объясняется тем, что эти марки уже давно присутствуют на рынке и
легко вспоминаемы (при наличии их в списке), но в последнее время уступили
позиции другим, более активно рекламируемым маркам.
Далее респондентам было предложено оценить важность каждого из 12
потребительских показателей по следующим параметрам: очень важно (4 балла),
относительно важно (3 балла), неважно (2 балла) и абсолютно неважно (1 балл).
Усредненные данные, представленные на лепестковой
диаграмме (рис. 15), показывают, что очень важными потребители считают
показатели, определяемые составом эффективность - 3,9 балла, польза - 3,9
балла, качество товара - 3,8 балла, безопасность - 3,6 балла. Относительно
важными для них являются следующие показатели натуральность - 3,4 балла, состав
- 3,3 балла, одним из наиболее важных фактор определяющих спрос, является цена,
потребители оценили ее также относительно в. ной (3,3 балла). Степень
значимости рекламы косметических средств в целом оценена потребителями ниже
всех остальных показателей (хотя зачастую именно она подталкивает нас к
совершению импульсивных покупок) - 2,1 балла. Столь низкую оценку можно
объяснить общим негативным отношением населения к рекламе, зачастую
недобросовестной, навязчивой и агрессивной, в средствах массовой информации.
Эксплуатационные показатели, такие как удобство пользования и внешний вид,
упаковка, оно не невысоко (3 балла, 2,5 балла соответственно). Известность
торговой марки потребители считают недостаточно важным показателем - 2,8 балла.
Новизна товара (2,2 балла) также является не особо важным показателем для
современных потребителей.
Рисунок 15 - Значимость потребительских показателей косметических средств
Рисунок 16 - Соотношение популярности мест покупок косметических средств
Ответы на вопрос, чем вы руководствуетесь при выборе
косметических средств, представлены на рисунке. Большинство потребителей при
приобретении косметических средств руководствуются собственными знаниями
(58,9%). Так как косметические средства в настоящее время имеют достаточно
широкий спектр действия, различные способы применения, то продажа косметических
товаров должна сопровождаться консультациями. Продавцам-консультантам также
доверяет значительное количество потребителей (43,8%).
Рисунок 17 - Уровень доверия советам при выборе косметических средств
Данные о частоте приобретения косметических средств
показывают (рис. 18), что в основном все респонденты покупают косметическое
средства один раз в три месяца (39,5%). На открытую часть вопроса, почему вы
приобретаете косметические средств именно в такой период, респонденты ответили,
что они приобретают косметические средства по мере надобности.
Рисунок 18 - Частота приобретения косметических средств
Обобщенные результаты проведенного маркетингового
социологического исследования представляют большой практический интерес для
торговых структур и производителей косметических средств, а также позволяют
составить весьма наглядный портрет потребителя косметических средств.
Таким образом, исследование рынка косметических
средств г. Минеральные Воды и потребительских предпочтений населения позволили
сделать следующие основные выводы:
1. Основными потребителями косметических средств
являются женщины, причем наибольшая их часть замужем.
. Отмечена тенденция предпочтения импортных
торговых марок. Выделены наиболее популярные торговые марки Avon, Nivea. В пятерку самых популярных импортных кремов также
вошли кремы фирм Loreal, Lumene, Florena, Given, Garnier и Vichy.
. Наиболее важными показателями для
потребителей являются польза косметического средства, его эффективность и
безопасность, а также качество косметического средства.
. Выявлено, что покупки косметических средств
потребители совершают один раз в три месяца, что свидетельствует о средней
величине спроса на них.
.3 Оценка конкурентоспособности предприятия
ООО "Перспектива" является магазином местного значения. Радиус
обслуживания составляет 500 м. Магазин расположен в удобном для покупателей
месте, обладает хорошей проходимостью. В прилегающей территории имеются
многоэтажные жилые строения. Главной задачей предприятия является получение
максимальной прибыли при минимизации издержек. Являться конкурентоспособным при
мощном торговом соседстве, у магазина имеется ряд конкурентов.
Конкурентоспособность магазина "Перспектива" можно оценить по ряду
параметров:
ассортимент;
качество товара;
оформление торгового зала;
удобная раскладка товаров;
удобный подъезд на автомобиле;
режим работы;
отношение персонала к покупателю;
скорость обслуживания;
уровень цен.
Ассортимент продукции, реализуемый в магазине широк, качество товара
высокое, оформление товарного зала и расклад продукции удобный. Следует
отметить доброжелательное и внимательное отношение продавцов к покупателю,
высокую скорость обслуживания и цены с другими конкурентами. Было проведено
исследование конкурентов и по его результатам составлены таблицы
конкурентоспособности.
Анкета - самое распространенное орудие исследования при сборе данных, где
отражается ряд вопросов, на которые должен дать ответы опрашиваемый. Результаты
проведенных маркетинговых исследований представлены в таблице 24.
Таблица 24 - Конкурентоспособность магазина ООО "Перспектива"
|
Показатель
|
Коэффициент Весомости
|
Магазин ООО
"Перспектива"
|
Магазин
"Клондайк"
|
Магазин
"Минимаркет"
|
|
Парковка
|
4
|
5
|
3
|
4
|
|
Расположение
|
3
|
2
|
3
|
5
|
|
Ассортимент
|
6
|
5
|
3
|
3
|
|
Цены
|
7
|
5
|
4
|
4
|
|
Интерьер
|
1
|
5
|
4
|
4
|
|
Обслуживание
|
5
|
5
|
3
|
4
|
|
Реклама
|
2
|
5
|
4
|
4
|
Таблица 25 - Анализ результатов маркетингового исследования
конкурентоспособности магазина ООО "Перспектива"
|
ПоказательКоэффициент
ВесомостиМагазин ООО "Перспектива"Магазин
"Клондайк"Магазин "Минимаркет"
|
|
|
|
|
|
Парковка
|
4
|
20
|
12
|
16
|
|
Расположение
|
3
|
6
|
9
|
15
|
|
Ассортимент
|
6
|
30
|
18
|
18
|
|
Цены
|
7
|
35
|
28
|
28
|
|
Интерьер
|
1
|
5
|
4
|
4
|
|
Обслуживание
|
5
|
25
|
15
|
20
|
|
Реклама
|
2
|
10
|
8
|
8
|
|
Итого:
|
|
131
|
94
|
101
|
Для большей наглядности по показателям конкурентоспособности построены
диаграммы, представленные на рисунках 19,20, 21 и 22.
Рисунок 19 - Диаграмма показателей конкурентоспособности ООО
"Перспектива"
Рисунок 20 - Диаграмма показателей конкурентоспособности
"Клондайк"
Рисунок 21 - Диаграмма показателей конкурентоспособности
"Минимаркет"
Рисунок 22 - Сводная диаграмма конкурентоспособности предприятий
Проведенные маркетинговые исследования показали, что
конкурентоспособность магазина ООО "Перспектива" довольно высока. Он
по всем показателям, кроме расположения, опережает своих конкурентов.
Выводы
Туалетное мыло представляет собой натриевые или калиевые соли жирных
кислот, главным образом стеариновой (С17Н35 СООН),
пальмитиновой (С15Н31СООН), олеиновой (С17Н35СООН),
ароматизированное парфюмерной отдушкой, неокрашенные или окрашенные. Мыло
детской группы содержит не менее 74 г жирньтх кислот на 100 г мыла, но жировая
основа состоит из высококачественных видов сырья, изготавливается по специальной
технологии. Вырабатывают также мыло "детское" с экстрактами череды,
ромашки, которые оказывают дезинфицирующее и тонизирующее действие, К мылам
"детской" группы относятся "детское", "Тик-так ,
"Чемпион", "Чистюля", "Алисаи др.
Экспериментальная часть выполнена поэтапно:
. Анализ ассортимент туалетного мыла определяет удельную долю каждого
вида или наименования товара в исследуемой подгруппе косметических товаров. Для
этого был рассчитан коэффициент рациональности, т.е. способность туалетного мыла
наиболее полно удовлетворять реально обоснованные потребности разных сегментов
потребителей. При определении коэффициента рациональности ассортимента
учитывались показатели полноты, устойчивости и новизны товаров с учетом степени
значимости или коэффициента весомости (в), разработанного экспертным
путем для каждого показателя отдельно.
Заключение: по результатам проведенных исследований, с определенной
степенью достоверности можно утверждать, что представленный ассортимент мыла
туалетного, входящих в группу косметических товаров, реализуемого в ООО
"Перспектива", частично удовлетворяет реальные потребности разных
сегментов потребителей, так как коэффициент рациональности (Кр) имеет значение
равное 0,2. Данный показатель свидетельствует о рациональности ассортимента.
. Для выполнения экспериментальной части, в качестве объектов
исследования были выбраны образцы туалетного мыла с экстрактом ромашки детской
группы, реализуемых в ООО "Перспектива" г. Минеральные Воды.
Первым этапом проведения экспертизы является анализ и установление
маркировочных данных исследуемых образцов в соответствии с требованиями
нормативных документов.
Заключение: Представленные на экспертизу образцы мыла туалетного группы
"детское" имеют полную информацию о месте нахождения изготовителя,
обозначение нормативного документа по которому можно дать оценку качества
изделия. Номинальная масса куска мыла, указанная на упаковке соответствует
фактическим данным. При вскрытии все образцы мыла легко извлеклись из упаковки,
на поверхности каждого куска был обнаружен выдавленный четкий штамп товарного
знака предприятия-изготовителя, это свидетельствует о соответствии нанесенной
информации на упаковках образцов мыла. Образец под №4 "Туалетное мыло для
детей крем и ромашка" на поверхности имеет инородное включение и содержит
выраженный запах парфюмерной композиции, что нежелательно при производстве
туалетного мыла данной группы. Образец под №3 "Мыло детское с экстрактом
ромашки" также содержит выраженный запах парфюмерной композиции. Образец
под №1 "Мыло Детское с ромашкой" имеет слегка шероховатую
поверхность, что не является отклонением от НД. Произведенная оценка качества
образца под №2 "Туалетное мыло Малыш" по показателям, представленным
в табл. 5 говорит о соответствии нормам и требованиям ГОСТ 28546-2002
"Мыло туалетное. Общие технические условия". Все исследуемые образцы
мыла туалетного могут быть допущены к реализации, так как обнаруженные
несоответствия у некоторых образцов - не являются значительными.
. Интегральный показатель отражает различие между сравниваемыми товарами
в потребительском эффекте, приходящемся на единицу затрат потребителя,
связанных с приобретением и использованием товара. Для расчёта интегрального
показателя конкурентоспособности были определены комплексные показатели органолептических,
физико-химических, маркетинговых и экономических параметров.
Наиболее конкурентоспособной продукцией является Образец №2
"Туалетное мыло Малыш", так как имеет самый высокий коэффициент
конкурентоспособности за счет цены потребления на данный вид изделий, но и
положительных показателей качества.
Образец под №4 "Туалетное мыло для детей крем и ромашка" имеет
наименьший показатель конкурентоспособности за счет высокой цены и низкого
показателя маркетинговых параметров.
. Маркетинговые исследования рынка косметических средств г. Минеральные
Воды и потребительских предпочтений населения позволили сделать следующие
основные выводы:
1. Основными потребителями косметических средств
являются женщины, причем наибольшая их часть замужем.
. Отмечена тенденция предпочтения импортных
торговых марок. Выделены наиболее популярные торговые марки Avon, Nivea. В пятерку самых популярных импортных кремов также
вошли кремы фирм Loreal, Lumene, Florena, Given, Garnier и Vichy.
. Наиболее важными показателями для потребителей
являются польза косметического средства, его эффективность и безопасность, а
также качество косметического средства.
. Выявлено, что покупки косметических средств
потребители совершают один раз в три месяца, что свидетельствует о средней
величине спроса на них.
Проведенные маркетинговые исследования показали, что
конкурентоспособность магазина ООО "Перспектива" довольно высока. Он
по всем показателям, кроме расположения, опережает своих конкурентов.
Список используемой литературы
1. http://www.fashionista.ru/beauty/skin_cosmetics/rusmarket.htm
. ГОСТ Р 51293-99 . Идентификация продукции. Общие положения
- М.: Издательство стандартов, 2001. - 3с.
. Вилкова С. А. Товароведение и экспертиза
парфюмерно-косметических товаров. - М.: Деловая литература, 2000. - 286 с.
. Николаева М.А. Теоретические основы товароведения. - М.:
Норма, 2006. - 446с.
. ГОСТ 28303-89. Изделия косметические. Упаковка, маркировка,
транспортирование и хранение - М.: Издательство стандартов, 1990. - 10с.
. ГОСТ 27429-87. Изделия парфюмерно-косметические, жидкие.
Упаковка, маркировка, транспортирование и хранение - М.: Стандартинформ, 2008.
- 5с.
. ГОСТ Р 51391-99. Изделия парфюмерно-косметические.
Информация для потребителя. Общие требования - М.: Издательство стандартов,
2003. - 7с.
. Товароведение и экспертиза промышленных товаров/ А.Н.
Неверов, Т.И. Чалых, Е.Л. Пехтышева и др.-М.:МЦФЭР, 2009. - 848с.
. ГОСТ Р 52343-2005. Кремы косметические. Общие технические
условия - М.: Стандартинформ, 2006. - 12с.
. ГОСТ Р 52345-2005. Изделия косметические гигиенические
моющие. ОТУ - М.: Стандартинформ, 2006. - 12с.
. Сан Пин 1.2.681-97. Гигиенические требования к производству
и безопасности парфюмерно-косметической продукции - М.: Издательство
стандартов, 1999. - 41с.
. ГОСТ 29188.0-91. Изделия парфюмерно-косметические. Правила
приемки, отбор проб, методы органолептических испытаний - М.: Издательство
стандартов, 2003. - 3с.
. ГОСТ 29188.2-91. Изделия косметические. Метод определения
водородного показателя, рН - М.: Издательство стандартов, 1992. - 3с.
. ГОСТ 29188.3-91. Изделия косметические. Методы определения
стабильности эмульсии - М.: Издательство стандартов, 1992. - 3с.
. Практика по технологии косметических средств: анализ сырья
и готовой продукции, микробиологический контроль. - под ред. В.Е. Кима, Л.Л.
Вильберг, Т.В. Пучковой. - М.: Школа косметических химиков, 2005. - 152с.
. Практикум по товароведению и экспертизе промышленных
товаров/ О.Б. Горюнова, Ю.В. Додонкин, Г.И. Злобина и др.- М.: Академия, 2005.
- 368с.
. www.gks.ru
. Соломатин А.Н. Экономика и организация деятельности
торгового предприятия, 2ое издание, перераб. - М.: Инфра-М, 2003, 292стр.
. Липсиц И.В. Экономика, 4ое издание, стер.- М.:
Омега-Л, 2009, 656стр.
. Спросите своего потребителя// Деловая Москва 2005,
11 июля.
22. Методические указания
"Оформление текстовых документов (дипломных, курсовых работ, отчётов по
практике, рефератов)" /Сост. Калашнова Т.В.- Пятигорск: Типография ПГТУ,
2011. - 28 с.
23. Гаврилова О.В. Методические
указания к выполнению раздела дипломной работы "Анализ ассортимента
товаров, реализуемых торговым предприятием для студентов специальности
080401"Товароведение и экспертиза товаров" (в сфере производства и
обращения непродовольственных товаров исырья), ПГТУ. - Пятигорск: Изд-во
Пятигорского гос. технол. ун-та, 2010. - 16
24. http://www.marketing.spb.ru/lib-research/methods/slogan.htm
. http://www.marketing.spb.ru/lib-research/methods/poll_questionnaire.htm
. ГОСТ 28546-2002 "Мыло туалетное. Общие
технические условия".
Приложение 1
Математическая обработка результатов исследований
|
Таблица 1-
|
Водородный показатель рН
|
|
Наименование продукта
|
Хi
|
X
|
Xi-X
|
(Xi-X)^2
|
S
|
Sx
|
Еa.к.
|
Pt
|
V
|
T
|
|
Образец №1 "Мыло
Детское с ромашкой"
|
|
Опыт 1
|
5,50
|
|
-0,06
|
0,0036
|
|
|
|
|
|
|
|
Опыт 2
|
5,50
|
|
-0,06
|
0,0036
|
|
|
|
|
|
|
|
Опыт 3
|
5,50
|
5,56
|
-0,06
|
0,0036
|
0,134
|
0,060
|
0,128
|
1,079
|
2,41
|
92,67
|
|
Опыт 4
|
5,50
|
|
-0,06
|
0,0036
|
|
|
|
|
|
|
|
Опыт 5
|
5,80
|
|
0,24
|
0,0576
|
|
|
|
|
|
|
|
Образец №2 "Туалетное
мыло Малыш"
|
|
Опыт 1
|
5,80
|
|
0,22
|
0,0484
|
|
|
|
|
|
|
|
Опыт 2
|
5,70
|
|
0,12
|
0,0144
|
|
|
|
|
|
|
|
Опыт 3
|
5,50
|
5,58
|
-0,08
|
0,0064
|
0,164
|
0,073
|
0,157
|
1,317
|
2,94
|
75,93
|
|
Опыт 4
|
5,40
|
|
-0,18
|
0,0324
|
|
|
|
|
|
|
|
Опыт 5
|
5,50
|
|
-0,08
|
0,0064
|
|
|
|
|
|
|
|
Образец №3"Мыло
детское с экстрактом ромашки"
|
|
Опыт 1
|
5,80
|
|
-0,16
|
0,0256
|
|
|
|
|
|
|
|
Опыт 2
|
6,00
|
|
0,04
|
0,0016
|
|
|
|
|
|
|
|
Опыт 3
|
6,00
|
5,96
|
0,04
|
0,0016
|
0,089
|
0,040
|
0,085
|
0,671
|
1,50
|
149,00
|
|
Опыт 4
|
6,00
|
|
0,04
|
0,0016
|
|
|
|
|
|
|
|
Опыт 5
|
6,00
|
|
0,04
|
0,0016
|
|
|
|
|
|
|
|
Образец №4 "Туалетное
мыло для детей крем и ромашка"
|
|
Опыт 1
|
6,00
|
|
-0,08
|
0,0064
|
|
|
|
|
|
|
|
Опыт 2
|
6,20
|
|
0,12
|
0,0144
|
|
|
|
|
|
|
|
Опыт 3
|
6,20
|
6,08
|
0,12
|
0,0144
|
0,110
|
0,049
|
0,104
|
0,806
|
1,80
|
124,11
|
|
Опыт 4
|
6,00
|
|
-0,08
|
0,0064
|
|
|
|
|
|
|
|
Опыт 5
|
6,00
|
|
-0,08
|
0,0064
|
|
|
|
|
|
|
|
Таблица 2-
|
Пенообразующая способность,
пенное число, мм
|
|
Наименование продукта
|
Хi
|
X
|
Xi-X
|
(Xi-X)^2
|
S
|
Sx
|
Еa.к.
|
Pt
|
V
|
T
|
|
Образец №1 "Мыло
Детское с ромашкой"
|
|
Опыт 1
|
151,00
|
|
0,20
|
0,0400
|
|
|
|
|
|
|
|
Опыт 2
|
152,00
|
|
1,20
|
1,4400
|
|
|
|
|
|
|
|
Опыт 3
|
150,00
|
150,80
|
-0,80
|
0,6400
|
0,837
|
0,374
|
0,798
|
0,248
|
0,55
|
403,03
|
|
Опыт 4
|
150,00
|
|
-0,80
|
0,6400
|
|
|
|
|
|
|
|
Опыт 5
|
151,00
|
|
0,20
|
0,0400
|
|
|
|
|
|
|
|
Образец №2 "Туалетное
мыло Малыш"
|
|
Опыт 1
|
150,00
|
|
-0,20
|
0,0400
|
|
|
|
|
|
|
|
Опыт 2
|
150,00
|
|
-0,20
|
0,0400
|
|
|
|
|
|
|
|
Опыт 3
|
150,00
|
150,20
|
-0,20
|
0,0400
|
0,447
|
0,200
|
0,426
|
0,133
|
0,30
|
751,00
|
|
Опыт 4
|
151,00
|
|
0,80
|
0,6400
|
|
|
|
|
|
|
|
Опыт 5
|
|
-0,20
|
0,0400
|
|
|
|
|
|
|
|
Образец №3 "Мыло
детское с экстрактом ромашки"
|
|
Опыт 1
|
150,00
|
|
0,20
|
0,0400
|
|
|
|
|
|
|
|
Опыт 2
|
149,00
|
|
-0,80
|
0,6400
|
|
|
|
|
|
|
|
Опыт 3
|
150,00
|
149,80
|
0,20
|
0,0400
|
0,447
|
0,200
|
0,426
|
0,134
|
0,30
|
749,00
|
|
Опыт 4
|
150,00
|
|
0,20
|
0,0400
|
|
|
|
|
|
|
|
Опыт 5
|
150,00
|
|
0,20
|
0,0400
|
|
|
|
|
|
|
|
Образец №4 "Туалетное
мыло для детей крем и ромашка"
|
|
Опыт 1
|
160,00
|
|
-0,20
|
0,0400
|
|
|
|
|
|
|
|
Опыт 2
|
160,00
|
|
-0,20
|
0,0400
|
|
|
|
|
|
|
|
Опыт 3
|
161,00
|
160,20
|
0,80
|
0,6400
|
0,447
|
0,200
|
0,426
|
0,125
|
0,28
|
801,00
|
|
Опыт 4
|
160,00
|
|
-0,20
|
0,0400
|
|
|
|
|
|
|
|
Опыт 5
|
160,00
|
|
-0,20
|
0,0400
|
|
|
|
|
|
|
|
Таблица 3-
|
Устойчивость пены, мм
|
|
Наименование продукта
|
Хi
|
X
|
Xi-X
|
(Xi-X)^2
|
S
|
Sx
|
Еa.к.
|
Pt
|
V
|
T
|
|
Образец №1 "Мыло
Детское с ромашкой"
|
|
Опыт 1
|
0,90
|
|
0,00
|
0,0000
|
|
|
|
|
|
|
|
Опыт 2
|
0,90
|
|
0,00
|
0,0000
|
|
|
|
|
|
|
|
Опыт 3
|
0,90
|
0,90
|
0,00
|
0,0000
|
0,004
|
0,002
|
0,004
|
0,222
|
0,50
|
451,00
|
|
Опыт 4
|
0,91
|
|
0,01
|
0,0001
|
|
|
|
|
|
|
|
Опыт 5
|
0,90
|
|
0,00
|
0,0000
|
|
|
|
|
|
|
|
Образец №2 "Туалетное
мыло Малыш"
|
|
Опыт 1
|
1,00
|
|
0,00
|
0,0000
|
|
|
|
|
|
|
|
Опыт 2
|
1,00
|
|
0,00
|
0,0000
|
|
|
|
|
|
|
|
Опыт 3
|
1,00
|
1,00
|
0,00
|
0,0000
|
0,009
|
0,004
|
0,009
|
0,402
|
0,90
|
249,00
|
|
Опыт 4
|
0,98
|
|
-0,02
|
0,0003
|
|
|
|
|
|
|
|
Опыт 5
|
1,00
|
|
0,00
|
0,0000
|
|
|
|
|
|
|
|
Образец №3"Мыло
детское с экстрактом ромашки"
|
|
Опыт 1
|
0,90
|
|
0,00
|
0,0000
|
|
|
|
|
|
|
|
Опыт 2
|
0,91
|
|
0,01
|
0,0001
|
|
|
|
|
|
|
|
Опыт 3
|
0,89
|
0,90
|
-0,01
|
0,0001
|
0,007
|
0,003
|
0,007
|
0,351
|
0,79
|
284,60
|
|
Опыт 4
|
0,90
|
|
0,00
|
0,0000
|
|
|
|
|
|
|
|
Опыт 5
|
0,90
|
|
0,00
|
0,0000
|
|
|
|
|
|
|
|
Образец №4 "Туалетное
мыло для детей крем и ромашка"
|
|
Опыт 1
|
1,20
|
|
0,00
|
0,0000
|
|
|
|
|
|
|
|
Опыт 2
|
1,20
|
|
0,00
|
0,0000
|
|
|
|
|
|
|
|
Опыт 3
|
1,19
|
1,20
|
-0,01
|
0,0001
|
0,008
|
0,004
|
0,008
|
0,312
|
0,70
|
320,18
|
|
Опыт 4
|
1,19
|
|
-0,01
|
0,0001
|
|
|
|
|
|
|
|
Опыт 5
|
1,21
|
|
0,0001
|
|
|
|
|
|
|
Приложение 2
А Н К Е Т А
С целью лучшего удовлетворения покупательского спроса мы проводим
маркетинговые исследования потребителей косметических товаров. Убедительно
просим ответить на вопросы. Благодарим за участие в опросе!
. Удовлетворяет ли Вас ассортимент косметических средств, реализуемых ООО
"Перспектива"? (другими розничными предприятиями: указать
предприятие)?
(Да, нет)_______________________________________
. Какие виды косметических средств Вы хотели бы видеть как товары
повседневного спроса? ___________
. Чему Вы отдаете предпочтение (отметить +)
|
Товар
|
Форма куска
|
Цена
|
Качество
|
|
Мыло жидкое
|
|
|
|
|
Мыло твердое (кусковое)
|
|
|
|
|
Мыло кремообразное
|
|
|
|
|
Мыло порошкообразное
|
|
|
|
. Косметические средства, выработанные каким предприятием Вы
предпочитаете купить? __________________________________
. Что не устраивает Вас в качестве мыла туалетного, реализуемого ООО
"Перспектива"? (запах, цвет, упаковка, цена, внешний вид и т.д.)
______________
. Почему Вы выбрали твердое мыло детской группы (удобство в эксплуатации,
цена, состав, …)
_______
. Нужна ли реклама магазину? (да, нет)
8. Где Вы получаете информацию о качестве и значении косметических
средств (у продавца, на маркировке, др. источник) ___________
. Устраивает ли Вас информация в имеющейся рекламе? (да, нет) ______
10. Какие изделия косметических средств Вы еще хотели бы видеть на
прилавках магазина других предприятий-производителей или других видов
продукции? _________________________________________________
. Какая цена наиболее приемлема для мыла туалетного детского?
___________________
. Ваш пол?
. Возраст:
до 18 18-25 26-35
-50 51-60 старше 61
. Какой среднемесячный доход в Вашей семье на человека в рублях?
менее 5000 рублей; 5000-8000 руб.;
-12000 руб.; более 12000 руб.
. Согласны ли Вы с утверждением, что чем выше цена, тем выше качество?
(да, нет)________
Большое спасибо! Вы нам очень помогли.