Оценка влияния лесных ресурсов на формирование стока поверхностных вод Республики Саха

  • Вид работы:
    Реферат
  • Предмет:
    Экология
  • Язык:
    Русский
    ,
    Формат файла:
    MS Word
    2,76 Мб
  • Опубликовано:
    2016-03-30
Вы можете узнать стоимость помощи в написании студенческой работы.
Помощь в написании работы, которую точно примут!

Оценка влияния лесных ресурсов на формирование стока поверхностных вод Республики Саха

Министерство образования и науки Российской Федерации

ФГАОУ ВПО "Северо-Восточный Федеральный университет

им. М.К.Аммосова"

Институт естественных наук

Кафедра экологии






Реферат по дисциплине Охрана вод

Оценка влияния лесных ресурсов на формирование стока поверхностных вод РС(Я)

сток вода лес река

Выполнил студент 3 курса гр.ПП13

Егоров В.В.

Проверил: Ядрихинский И.В.






Якутск 2016

Введение

Лес в Республике Саха (Якутия) является не только источником древесины и другого важного сырья, применяемого для промышленной переработки в различных отраслях народного хозяйства. Он выполняет огромные водоохранные, водорегулирующие, почвозащитные, рекреационные и другие полезные функции. В лесу собирают лекарственные травы, грибы, ягоды, орехи, заготовляют пушнину, мясо диких зверей и птиц. Велика роль лесов и в развитии сельского хозяйства. Полезащитные леса, к которым относят полезащитные полосы, государственные лесные полосы, участки леса, расположенные среди полей и др., предохраняют почву от ветровой и водной эрозии. Эти леса защищают поля от суховеев, пыльных и черных бурь, способствуют снегозадержанию и накоплению влаги в почве, уменьшают возможность образования оврагов, повышают урожайность полей.Леса способствуют превращению поверхностного стока во внутрипочвенный, предохраняют почву от разрушений, препятствуют возникновению эрозионных процессов, разрушительных паводков, селей, лавин; они регулируют гидрологический режим рек, ослабляя резкие колебания в 9 подъеме воды и обмелении водоемов в меженный период, защищают водоемы от загрязнения и заиления, способствуют улучшению качества воды, оберегают источники минеральных вод - важный резерв сохранения и улучшения здоровья людей. Однако под влиянием различных лесохозяйственных мероприятий и в первую очередь рубок водоохранно-защитные свойства лесов могут существенно изменяться. Часто в результате нерациональных рубок и проведения лесосечных работ без соблюдения лесоводственных требований отмечается ухудшение водно-физических свойств лесных почв, снижение их инфильтрационной способности. Это в свою очередь ухудшает плодородие лесных почв, снижает продуктивность тех древостоев, которые создаются взамен вырубаемых. Следует подчеркнуть, что эти изменения имеют не только локальный характер, но и общегидрологическое значение. В пределах каждого лесного массива не все участки в одинаковой степени выполняют водоохранно-защитные функции. Одни из них (например, опушки леса по границам с безлесными пространствами, полосы вдоль оврагов, осыпей, берегов рек, леса на крутых склонах и у истоков ручьев, речек) играют исключительно большую стокорегулирующую и защитную роль, другие (участки леса на ровных местах и пологих склонах) имеют меньшее защитное значение. Поэтому способы рубок, техника и технология лесосечных работ, лесовосстановительные и другие мероприятия на различных участках должны быть дифференцированы. Особенно велика водоохранно-защитная роль горных лесов, которые в нашей стране занимают огромные пространства - около 40% лесопокрытой площади. Как показали исследования последних лет, в таких лесах необходимо не только тщательно соблюдать лесоводственные требования при проведении рубок и лесовосстановительных мероприятий, но также планировать и осуществлять их с учетом границ элементарных водосборных бассейнов, т. е. вести хозяйство по водосборам. Только при соблюдении этого условия можно избежать резкого увеличения весенних паводков и пересыхания ручьев и речек в летний период. Наряду с водорегулирующей ролью, которую выполняют все лесные насаждения, произрастающие в пределах бассейнов, леса, расположенные по берегам и в поймах рек, ручьев, выполняют дополнительную, весьма важную защитно-аккумулятивную роль. Они предохраняют меженные берега от разрушений, аккумулируют песчаный аллювий в поймах, защищают крутые склоны долин от эрозии и оползней, предотвращая тем самым заполнение продуктами эрозии и заиление водоемов, водохранилищ, русел рек и каналов. Эти леса способствуют также превращению поверхностного стока с вышерасположенных безлесных участков во внутрипочвенный. Указанные свойства лесов благотворно влияют на водный транспорт, работу гидроэлектростанций. Большое санитарно-гигиеническое значение имеют также приречные леса, которые резко улучшают качество воды по всем ее показателям. Одновременно они являются местами отдыха населения. Рекреационная их роль ежегодно возрастает.

Наиболее спорным является вопрос о водоохранной роли леса. Это обусловлено тем, что к настоящему времени накоплено еще сравнительно мало экспериментальных данных о влиянии леса на суммарный сток, включающий поверхностную и подземную составляющие. Ряд зарубежных авторов (Андерсон, 1970; Хьюлет, 1970; Лалл, 1970 и др.) и советских ученых (Львович, 1963; Субботин, 1966; Шпак, 1968 и др.) считают, что вследствие большого расхода на транспирацию лес, по сравнению с другими угодьями, уменьшает поступление воды в гидрологическую сеть. Противоположной точки зрения придерживаются М. Е. Ткаченко (1952), В. В. Рахманов (1971), А. В. Лебедев (1964) и др., считая, что с увеличением процента лесистости водосборных бассейнов речной сток возрастает. Это увеличение, по мнению названных авторов, обусловлено тем, что в многолесных районах выпадает больше вертикальных и особенно горизонтальных осадков, чем в безлесных и малолесных, а также тем, что в лесных районах увеличивается подземная составляющая стока и уменьшается величина годичного суммарного испарения. Исследования А. А. Молчанова (1966), А. И. Миховича (1976) и др. показали, что наилучший гидрологический режим рек возникает при оптимальной лесистости речных водосборов. В условиях Украины, например, при увеличении лесистости до оптимальной водоохранной подземная составляющая речного стока резко возрастает, однако по мере дальнейшего увеличения лесистости речной сток начинает уменьшаться. Водоохранную роль леса, как справедливо отмечает М. Е. Ткаченко (1952), нельзя сводить только к его влиянию на гидрологический режим рек. Необходимо также учитывать, что леса, особенно произрастающие по берегам рек, естественных и искусственных водоемов выполняют водозащитные функции, предохраняя воды от химического, бактериологического, физического засорения и т. д. Эта роль лесов становится особенно важной в связи с освоением пойменных земель, широким применением в сельском хозяйстве удобрений, химических средств борьбы с нежелательной растительностью и т. д. Леса оказывают большое влияние на качество воды, а также на ее температуру, что особенно важно для рек, являющихся местом нереста лососевых и осетровых рыб

Благотворное влияние леса проявляется не только на поверхностные воды (реки, озера, водохранилища), но и на подземные, которые часто являются основным источником водообеспечения городов, населенных пунктов, промышленных предприятий, орошения сельскохозяйственных земель. Уменьшая поверхностный сток и увеличивая подземную его составляющую, лес тем самым способствует восполнению ресурсов подземных вод. Кроме водорегулирующей и водоохранной, леса выполняют огромную почвозащитную роль. К почвозащитным относят леса, которые предохраняют почву от водной и ветровой эрозии, а леса, выполняющие одновременно водоохранные и защитные функции, называют водоохранно-защитными (Ткаченко, 1952). В эту категорию включают леса, произрастающие вдоль оврагов и балок, на коренных и меженных берегах рек, вокруг озер и водохранилищ, ленточные боры и степные колки, полезащитные полосы, леса на крутых склонах и др. В различных физико-географических условиях водоохранно-защитные функции леса и их трансформация под влиянием лесохозяйственных мероприятий проявляются по-разному. Особенно это заметно в горных районах, где на средообразующую роль леса существенно влияют крутизна и экспозиция склона, а также расположение участков в зависимости от высоты над уровнем моря. Высокогорные леса и прежде всего находящиеся на границе с тундрово-гольцовым комплексом, альпийскими и субальпийскими лугами обычно выполняют значительно большую водоохранно-защитную роль, чем нижерасположенные. Познание указанных особенностей средообразующей роли леса и ее изменение под влиянием антропогенных воздействий необходимо для разработки региональных научно обоснованных рекомендаций по ведению лесного хозяйства. Практическое осуществление их позволит не только удовлетворять потребности страны в древесине и другой лесной продукции, но и усилить водоохранные, защитные, климаторегулирующие, оздоровительные и иные полезные природные свойства леса в интересах охраны здоровья людей, улучшения окружающей среды и развития народного хозяйства РС(Я).

Глава 1. Значение стока

.1 Факторы формирования поверхностного стока

Размер стока, распределение его во времени и по территории страны зависят от ряда естественных и искусственных факторов. К первым относятся:

) климатические условия: осадки, испарение, температура и др. На сток оказывает влияние не только общее количество осадков, но и интенсивность их выпадения. Сильный сток дают ливни, то есть осадки с интенсивностью более 0,5 мм/мин. Осадки непосредственно влияют на количество воды, прибывающей в бассейн и убывающей из него; они определяют как общее значение стока, так и распределение его в году. Более того, влияние осадков распространяется и на последующие годы. Например, после сухого года одинаковое количество осадков и при той же интенсивности будет давать меньший сток, чем после влажного года. Непосредственное влияние на сток оказывает и испарение. От температуры зависят вид осадков (твердые, жидкие), испарение и скорость снеготаяния. Температура обусловливает накопление, снега зимой, весеннее половодье равнинных рек и летнее половодье рек с ледниковым питанием. Через испарение оказывает влияние на сток и ветер;

) почвенно-геологические условия: водопроницаемость и влагоемкость почвы и грунта, мерзлота, геологическое строение и пр. Часть осадков впитывается и фильтруется в почву, тем самым сток уменьшается. По водно-физическим свойствам, а, следовательно, и по влиянию на сток все грунты можно подразделить на водопроницаемые невлагоемкие (пески, гравий, трещиноватые породы), полупроницаемые (супеси, суглинки), слабоводопроницаемые влагоемкие (торф, глина, лёсс) и непроницаемые невлагоемкие (сплошные кристаллические породы, плотные песчаники): В зависимости от залегания этих грунтов будет меняться и сток. Пески уменьшают поверхностный сток, но увеличивают подземный. Поэтому реки в песчаных грунтах имеют более равномерное питание в течение года. Большое регулирующее влияние оказывают торфяные почвы. Они способны впитать большое количество осадков, а затем медленным грунтовым стоком отдавать воду рекам. Глины, наоборот, увеличивают поверхностный сток и уменьшают грунтовый, а следовательно, способствуют увеличению паводков и сильному уменьшению стока в межень.

Водопроницаемость и влагоемкость одних и тех же почв может изменяться. Например, с повышением влажности почвы уменьшаются ее водопроницаемость и влагоемкость, что способствует увеличению поверхностного стока. При сухости почвы усиливаются впитывание и фильтрация осадков, а следовательно, уменьшается поверхностный сток. Поэтому после сухого лета и осени паводки обычно малые. При замерзании все почвы становятся почти водонепроницаемыми. Если зимой грунт промерзает глубоко, то весной талые воды почти полностью стекают. Сильно увеличивает поверхностный сток и вечная мерзлота почв, которая занимает значительные площади в СНГ.

) рельеф: уклон, наличие тальвегов, высота над уровнем моря. Скорость течения воды по поверхности почвы (по склонам и тальвегам) пропорциональна уклону. Изрезанность поверхности и наличие отдельных небольших тальвегов, впадающих затем в реку, способствуют концентрации поверхностного стока.

В горных районах сток значительно больше, чем на равнине. Так, коэффициенты стока для равнинных рек европейской территории СНГ колеблются от 0,02 до 0,5, для ряда горных рек - от 0,5 до 0,9;

) растительный покров. Травяной и особенно древесно-кустарниковый покров значительно увеличивает шероховатость поверхности почвы и тем самым замедляет сток. Лесная подстилка, обладая большой влагоемкостью, впитывает много осадков, предохраняет почву от заиления, сохраняет ее высокую водопроницаемость, что также уменьшает поверхностный сток. На этом основана водоохранная и водорегулирующая роль леса;

) размер и форма водосборной площади. При больших площадях и удлиненных формах водосбора увеличиваются длина пути стекающей воды и время ее добегания. Поэтому чем больше водосборная площадь, тем меньше поверхностный сток (с единицы площади) и тем равномернее он распределяется в течение года. Наоборот, реки с малыми водосборами характеризуются неравномерным стоком.

) озерность и заболоченность водосбора. Бессточное озеро, не связанное с речной системой, уменьшает сток, так как часть воды расходуется на испарение с его поверхности. Сточное озеро, например Байкал, регулирует сток, то есть во время паводка аккумулирует сток, а затем постепенно отдает его более или менее продолжительное время.

Влияние болот на сток очень сложное явление, так как болота действуют одновременно как элемент растительного покрова и как водная поверхность. Большинство исследователей считают, что болота регулируют сток. Весной и во время дождей болота запасают громадные количества воды и затем постепенно отдают ее рекам. Доказательством этого может служить то, что реки, вытекающие из болот, имеют более равномерное питание. В то же время болота испаряют много воды, тем самым уменьшают сток. В разных климатических и геологических условиях роль болот различна. Болота грунтового питания являются регуляторами стока; болота атмосферного питания в условиях высокого испарения могут уменьшать его.

.2 Основные характеристики стока

Для количественной оценки стока рек применяются следующие его характеристики.

Объем стока W м3 или км3 - количество воды, протекающее в русле реки через данный замыкающий створ за промежуток времени Т суток,


где Q - средний расход в м3/с за время Т суток; 86400 - число секунд в сутках.

Модуль стока М л/(с*км2) - количество воды, стекающей с единицы площади в единицу времени,


где F - водосборная площадь в км2.

Слой стока Y - слой воды в миллиметрах, равномерно распределенной по площади F и стекающей с водосбора за некоторый промежуток времени Т суток,


Слой стока за год в миллиметрах:


Коэффициент стока - отношение величины слоя стока с данной площади за некоторый промежуток времени к величине слоя атмосферных осадков, выпадающих на эту площадь за тот же промежуток времени, т. е. k = Y/X, 0 < k < 1.

Коэффициент стока - величина безразмерная.

1.3 Формирование стока рек

Сток образуется в результате выпадения дождей или таяния снега и льда в горах. В обоих случаях часть воды, поступившей на поверхность земли, затрачивается прежде всего на заполнение отрицательных форм микрорельефа (углублений) и на впитывание в почву. Только после заполнения отдельных углублений и притом после того момента, как интенсивность дождя или таяния снега и льда станет превосходить интенсивность инфильтрации, возникает сток.

Вода стекает по поверхности земли обычно не сплошным слоем, а в виде отдельных тонких струй или ручейков, которые сливаются вместе, доходят до русел сначала временных водотоков, а потом образуют постоянные потоки, несущие свои воды в сформировавшемся русле. Сток, происходящий по поверхности земли, называется поверхностным или склоновым стоком. Сток, происходящий по русловой сети водосбора, называется русловым или речным стоком. Поверхностный сток не отождествляется с понятием поверхностные воды. К поверхностным водам относятся воды рек, озер, водохранилищ. Во многих местах, как, например, в лесной зоне, поверхностный сток, как правило, невелик, а иногда и отсутствует вовсе. Большая часть дождевых и снеговых вод стекает иными путями. Просачиваясь через почву, эти воды пополняют запасы почвенных и грунтовых вод и попадают в речную сеть подземными путями в виде почвенно-грунтового стока из зоны аэрации и собственно грунтового из более глубоких водоносных горизонтов. В связи с этим выделяется почвенный (подповерхностный) сток и подземный (грунтовой) сток. Речной сток является суммарным поверхностным и подземным стоком. Суммарный речной сток путем расчленения гидрографа делят на две составляющие: на поверхностный (паводочный) и подземный сток. Последний является наиболее устойчивым.

В различных ландшафтных зонах и внутри зон соотношения между поверхностным и подземным стоком неодинаковы, что создает специфические особенности режима речного стока и его распределения по территории.

Сток представляет собой сложный природный процесс, обусловленный влиянием комплекса физико-географических факторов и хозяйственной деятельности. Основными факторами стока, определяющими его развитие, являются климатические. На общем фоне воздействия климата на формирование стока и его величину проявляется влияние других, неклиматических факторов. Влияние их тем заметнее, чем меньше размеры бассейна и чем короче период, за который рассматривается это влияние.

Климат воздействует на сток не только непосредственно, но и через другие природные факторы: почву, растительность, рельеф.

Рис.1 Схема взаимосвязи речного стока с основными физико-географическими факторами (по М. И. Львовичу). 1 - важные воздействия, 2 - второстепенные воздействия.

Все эти факторы находятся в постоянном взаимодействии.

Действие различных природных факторов проявляется по-разному. Одни из них способствуют стеканию атмосферных осадков по земной поверхности, другие замедляют сток или вовсе исключают возможность его образования. Одним факторам, а также их взаимодействию между собой принадлежит главная роль в процессе формирования речного стока, другим - второстепенная (рис.1).

Влияние физико-географических факторов сказывается и на величине годового стока и на его режиме.

Взаимосвязь между стоком и физико-географическими факторами раскрывается при изучении стока как элемента водного баланса. Для любого речного бассейна можно составить уравнение водного баланса. Для отдельного конкретнего года это уравнение имеет вид


где X - сумма атмосферных осадков; Y = YП+YГ - полный речной сток (YП - поверхностный сток, YГ - грунтовой сток); Z - испарение; U - накопление или расходование влаги в бассейне.

Если в данном году сумма атмосферных осадков больше суммы величин стока и испарения, то происходит накопление влаги в бассейне и величина U входит в уравнение (134) со знаком плюс (+), в противном случае - со знаком минус (-). Предполагая, что за длительный период времени накопление и расходование влаги взаимно компенсируется, нетрудно получить уравнение водного баланса для среднего года за многолетний период


где X, Y, Z - средние многолетние величины осадков, стока и испарения. Это уравнение справедливо для случая, когда поверхностный и подземный водоразделы совпадают. При несовпадении водоразделов происходит или постоянное поступление вод из соседнего бассейна, или отдача их W. В этом случае уравнение водного баланса будет иметь вид



Глава 2. Влияние леса на сток

Не все атмосферные осадки, выпадающие над лесом, поступают в почву. Часть их задерживается кронами деревьев, испаряется и возвращается в атмосферу, другая часть расходуется на испарение с поверхности травяного покрова, почвы и также возвращается в атмосферу, третья стекает по поверхности почвы. Поступившая в почву вода расходуется на транспирацию древесной и травянистой растительности, часть ее стекает внутрипочвенным и грунтовым стоком, поступая в гидрографическую сеть или пополняет подземные воды. Наиболее полно все перечисленные выше статьи расхода воды, поступающей в виде осадков, представлены в таежной зоне на подзолистых почвах. Ориентировочные величины расхода воды по отдельным статьям, % суммы осадков (Роде, Смирнов, 1972), показаны на рис. 1. Внутрипочвенный и особенно поверхностный сток обычно наблюдается весной и осенью при перенасыщении почвы влагой. Рассмотрим особенности формирования стока в лесу и на не покрытых лесом площадях.

Рис. 2. Схема водного баланса почвы приводном режиме промывного типа (численные характеристики расходных статей баланса): 1 - задерживается кронами (30%); 2- поверхностный сток (5%); 3- физическое испарение и десукция напочвенным растительным покровом (10%); 4- почвенный сток (10%); 5 - десукция древесным пологом (30%); 6 - грунтовый сток (15%).

2.1 Особенности формирования стока в лесу и на безлесных участках

Формирование стока в лесу и на безлесных участках существенно различается. Это обусловлено не только трансформирующим влиянием леса на осадки, температуру воздуха и почвы, ее промерзание и оттаивание, но и различиями в строении и свойствах лесных почв. Одной из отличительных особенностей лесных почв, особенно таежной зоны, является наличие на ее поверхности особого горизонта - лесной подстилки. Этот слой оказывает большое влияние на водный режим почв и формирование стока.

От мощности и сложения подстилки во многом зависят замерзание и оттаивание почвы. Под защитой подстилки лесные почвы промерзают менее глубоко, чем полевые, она сохраняет их пористость и способность впитывать воду. Подстилка значительно сокращает испарение воды с поверхности почвы. По данным Б. Д. Зайцева (1949), испарение с поверхности лесных почв, имеющих подстилку, на 39-69% ниже, чем с почв без подстилки. В более сухих условиях лесная подстилка уменьшает расход воды на испарение, а в увлажненных может усилить заболачивание почв. Лесная подстилка обладает высокой влагоемкостью и задерживает большое количество осадков.

В течение вегетационного периода влажность подстилки в лесу существенно изменяется. Весной подстилка обычно насыщена до состояния полной влагоемкости. Затем вследствие расхода воды на транспирацию растениями и на испарение влажность подстилки убывает и в летний период она бывает наименьшая.

Лесная подстилка имеет огромное значение в сохранении, водопроницаемости почвы.

Лесная растительность большое влияние оказывает и на формирование свойств почвы. Развитие мощной корневой системы растений способствует улучшению аэрации и структуры верхних слоев лесных почв. Положительное влияние леса на водно-физические свойства проявляется не только на подзолистых, но и на темно-серых почвах, а также на черноземах. Вместе с тем лесная растительность способствует ухудшению физических свойств горизонта В. У подзолистых почв эти изменения приводят к накоплению влаги в поверхностных горизонтах и усилению внутрипочвенного стока по поверхности горизонта В. У темно-серых и черноземных почв уплотнение горизонта В следует рассматривать как положительное явление, так как это способствует улучшению водного режима верхних слоев почвы. Даже в мерзлом состоянии лесные почвы обладают значительной водопроницаемостью, тогда как нелесные обычно не пропускают воду. Водопроницаемость дерново-подзолистых суглинистых лесных почв Урала, например, в замерзшем состоянии составляет 2,4 мм/мин, тогда как водопроницаемость почвы на старой вырубке, используемой под сенокос, равняется нулю.

Исследования П. А. Урываева (1953), проведенные на скрытоподзолистых песчаных почвах, показали, что коэффициенты поверхностного стока составили на мерзлой почве луга 0,92 и 0,88, на частично мерзлой 0,65 и на талой 0,01. Максимальные модули стока для мерзлой и частично мерзлой почв были близки и составляли около 10-12 л.с/га, тогда как на талой почве модуль стока не превышал 0,2 л.с/га.

На слой и коэффициент весеннего стока существенно влияет глубина промерзания почвы. По многолетним данным, полученным в условиях Придеснянской возвышенности (Черниговская обл.), на серых лесных среднеоподзоленных почвах в годы с промерзанием почвы на глубину 50-60 см коэффициент стока составлял 0,7-0,8, а в годы с незначительным промерзанием (менее 10 см) - меньше 0,1 (Колесов, Юрковский, 1975).

Во вторую половину периода снеготаяния, когда почва оттаивает, часть талой воды просачивается в нее, достигая водонепроницаемого горизонта или, на пахотных почвах, так называемой плужной подошвы. В этом случае образуется внутрипочвенная верховодка, которая стекает по уклону и выклинивается в логах и других участках гидрографической сети (внутрипочвенный сток). Суммарный сток, состоящий из поверхностного и внутрипочвенного, называют склоновым, а чаще логовым. Наблюдения А. И. Субботина (1966) за внутрипочвенной верховодкой на полевых участках Подмосковной стоковой станции показали, что здесь верховодка формируется не ежегодно. В годы с переувлажненной промерзшей почвой, не пропускающей талую воду, верховодка не образуется или образуется только после окончания снеготаяния. Следовательно, на не покрытых лесом участках преобладает поверхностный сток. В годы, когда сильно увлажненная почва промерзает глубоко, внутрипочвенный сток отсутствует. Но даже и в годы с влажной, и в годы с сухой почвой внутрипочвенный сток в поле играет подчиненную роль, так как при том соотношении интенсивности снеготаяния и просачивания воды в почву, которая обычно наблюдается в поле, преобладающая часть талых и дождевых вод успевает стечь в гидрографическую сеть по поверхности почвы.

По иному протекает формирование стока в лесу. Здесь, как уже отмечалось, почва промерзает обычно на меньшую глубину, но даже и промерзшая почва сохраняет значительную водопропускную способность. Благодаря этому, а также более медленному и более продолжительному снеготаянию талая вода поступает в почву. Лишь в еловых лесах в отдельные годы наблюдается поверхностный сток, который обусловлен здесь относительно небольшой высотой снежного покрова и значительным промерзанием почвы в суровые зимы.

Верхние горизонты почвы в лесах обладают, как уже отмечалось, значительно большей водопроницаемостью, чем иллювиальный горизонт. В период интенсивного поступления влаги в почву она быстро и легко просачивается через гумусовый и подзолистый горизонты и, дойдя до иллювиального горизонта, задерживается на его поверхности ввиду малой водопроницаемости. Вследствие этого подзолистый и гумусовый горизонты, а нередко и подстилка насыщаются влагой до полной влагоемкости. Эта влага называется почвенной верховодкой. На склонах она в большинстве случаев не имеет связи с постоянным горизонтом грунтовых вод. В ложбинах эти водоносные горизонты могут смыкаться. На ровных местах, особенно в микропонижениях, верховодка нередко выступает на поверхность, при наличии даже незначительного уклона местности она начинает стекать в толще подстилки, гумусового и подзолистого горизонтов. Почвенный сток наблюдается в почвах лесной зоны каждую весну (во время снеготаяния), иногда осенью и реже летом. Особенно рельефно внутрипочвенный сток проявляется в горах.

В почве вода перемещается неравномерным слоем, часто, особенно на крутых склонах, она образует отдельные внутрипочвенные потоки, по которым стекает в гидрографическую сеть. Исследования А. И. Субботина (1966) на Подмосковной стоковой станции показали, что внутрипочвенная верховодка может перемещаться на значительные расстояния. Скорость внутрипочвенного стока достигает таких значений: на пашне при уклоне 2-3° - 50-60 м/сут.; на многолетней залежи при уклоне 5-6°-10-12, а при уклоне 20-22° -до 38 м/сут.; в лесу на склонах 3-4° - до 20 м/сут. В горных темнохвойных лесах Среднего Урала на дерново-подзолистых почвах скорость внутрипочвенного стока в лесу составляет от 8 до 90 м/сут., т. е. здесь она выше, чем в Подмосковье. В этом районе на покрытых лесом площадях почти везде наблюдается внутрипочвенный сток, поверхностный сток редок и составляет незначительную величину. В горных лесах Среднего Урала сток в логах возникает только после появления верховодки.

Наблюдения на Красноключевском стационаре (Башкирской ЛОС) показали, что уровень верховодки на горнолесных тяжелосуглинистых почвах почти точно копирует гидрограф весеннего стока, фиксируемого на водосливе. Это обусловлено, по-видимому тем, что относительный водоупор расположен здесь на небольшой (30-40 см) глубине. Иная картина наблюдается на песчаных и щебнистых почвах без водоупора. Здесь верховодка не образуется и, как правило, отсутствуют поверхностный и внутрипочвенный стоки. На таких почвах талая и дождевая вода пополняет запасы подземных вод, что имеет место и на других почвах, так как часть воды просачивается и через иллювиальный горизонт. Установлено, что поверхностные и подземные воды, особенно расположенные в верхних горизонтах, тесно связаны. Уменьшая поверхностный сток и переводя его в грунтовый, лес тем самым способствует поддержанию уровня воды в реках в меженные периоды, а также восстановлению запасов подземных вод, которые во все возрастающих размерах расходуются на водообеспечение городов, населенных пунктов, промышленных предприятий и на орошение сельскохозяйственных земель.

.2 Влияние леса на сток рек

До сих пор в лесоводственной и гидрологической литературе нет единого мнения о влиянии леса на общий объем речного стока. Некоторые зарубежные (Андерсон, 1970; Хьюлет, 1970; Лалл, 1970 и др.) и отечественные ученые (Львович, 1963; Субботин, 1966; Шпак, 1968 и др.) считают, что лес в результате большего по сравнению с другими угодьями расхода воды на испарение и транспирацию уменьшает речной сток. Противоположной точки зрения придерживаются В. В. Рахманов (1962, 1973), А. В. Лебедев (1964) и другие авторы, полагая, что с увеличением лесистости водосборных бассейнов речной сток возрастает. Такие противоречия в вопросе о влиянии леса на сток рек можно объяснить большим разнообразием физико-географических условий (осадки и их распределение по сезонам года, механический состав и генетическое строение почвы, особенности формирования стока и т. д.), в которых проводились исследования, неоднородным составом и строением лесов, выбранных в качестве объектов наблюдений, а также различиями в методических подходах к решению этой важной проблемы. Как уже отмечалось, сторонники мнения о том, что лес уменьшает речной сток, исходят из того, что с покрытых лесом участков больше, чем с других угодий, расходуется влаги на суммарное испарение. Однако по этому вопросу в литературе также высказываются разные точки зрения. По наблюдениям в Валдайской научно-исследовательской гидрологической лаборатории (Федоров, 1970), суммарное испарение с экспериментального водосбора, занятого лесом, оказалось лишь на 4% больше суммарного испарения с поля. Однако В. В. Осипов (1970) считает, что в том же районе (подзона южной тайги) суммарное испарение леса значительно выше луга и поля. По данным А. А. Молчанова (1970), в подзоне хвойно-широколиственных лесов (Московская обл.) расходуют при осадках в 560 мм на суммарное испарение, мм: еловый лес в возрасте 120 лет 460, сосновый лес 90 лет 440, клевер 560, овес 480, озимая пшеница 570, т. е. между лесом и полем существенной разницы в суммарном испарении нет. К подобному выводу этот же автор приходит применительно к лесостепной зоне.

По данным Н. А. Воронкова (1976), в Бузулукском бору в местах с благоприятным увлажнением (понижения с высокостоящими грунтовыми водами) лес расходует влаги меньше, а в местах недостаточного увлажнения больше, чем травянистые сообщества. Итак, в одних случаях лес может расходовать влаги больше, чем иные угодья, в других меньше.

Часто влияние леса на сток определяют с помощью уравнения водного баланса территории водосборов, покрытых различной растительностью. В упрощенном виде это уравнение имеет вид:

X = Vn + Vrp + ε,

Где: X -атмосферные осадки, мм; Vn - поверхностный (склоновый) сток;- грунтовый сток; ε - испарение.

Однако такой метод определения влияния леса на сток не всегда приемлем. Прежде всего следует отметить, что в настоящее время отсутствуют надежные методы определения испарения и особенно транспирации растений. Кроме того, не всегда можно получить точные данные и о приходной составляющей водного баланса, так как методы определения конденсационных осадков (росы, инея, изморози и т. д.) несовершенны, а, как известно, такие осадки в ряде районов составляют значительные величины.

Анализ многочисленных литературных данных показывает, что наиболее надежные данные о влиянии леса на сток можно получить путем непосредственных наблюдений. В настоящее время имеется несколько методов изучения влияния леса на сток, но наиболее часто применяются следующие. Исследования на стоковых площадях, покрытых лесом, и на соседних безлесных участках. На этих площадях определяется поступление осадков над растительностью и поверхностью почвы, поверхностный и внутрипочвенный сток. Чтобы изолировать стоковую площадку от поступления воды из соседних участков, по боковым ее сторонам прорывают канавки до горизонта В. образовавшиеся траншеи засыпают тяжелым суглинком, который тщательно утрамбовывают. Из суглинка устраивают также утрамбованный бортик. Иногда такой бортик делают из бетона или просмоленных досок. У верхнего конца площадки, с ее внешней стороны, устраивают канаву для отвода воды, поступающей с вышерасположенных участков. В нижней стороне площадки выкапывают траншею. Для улавливания поверхностного и внутрипочвенного стока в стенке траншеи монтируют металлические водосливные лотки. Их устанавливают в два ряда: верхний для перехвата поверхностного стока, нижний - в зависимости от залегания водоупорного горизонта В, на глубине 40-60 см. Вода из лотков поступает в приемный бак, имеющий водосливное устройство. Расход воды определяется с помощью самописца «Валдай» или оттарированными емкостями.

Для изучения не только поверхностного, но и грунтового стока, а также испарения устраивают водно-балансовые площадки. Строительство таких площадок должно осуществляться после составления рабочих и технических проектов с детальными расчетами. Наблюдения за стоком с малых водосборов. Обычно подбирается несколько водосборов примерно одинаковой площади, но имеющих разный процент лесистости, а иногда несколько водосборов, покрытых лесом. В этом случае после нескольких лет наблюдений за стоком на части водосборов лес вырубают сплошь или частично, и наблюдения за стоком продолжаются как с лесопокрытых, так и с вырубленных участков. Подобные наблюдения позволяют определить не только различия стока в лесу и в поле, но также выявить влияние на сток лесов различного состава, строения, возраста и типов леса. Исследования на малых водосборах позволяют также установить влияние способов рубок, механизированных лесозаготовок, различных способов подготовки почвы на изменение стокорегулирующей роли леса. На полях с помощью таких исследований можно выявить влияние на сток разных типов почв, агротехнических мероприятий, разных видов культур и способов их выращивания.

Для учета стока, поступающего с водосборных бассейнов, в нижней их части строят плотины с вмонтированными в них водосливами. Расход воды, поступающей через водослив, определяют с помощью самописцев.

Анализ массовых многолетних данных гидрологических и метеорологических наблюдений за стоком рек, имеющих различную лесистость водосборных бассейнов. Следует отметить, однако, что каждый из названных трех основных методов имеет свои достоинства и недостатки. Данные о стоке, получаемые со стоковых площадок и малых водосборов, характеризуют в основном поверхностный и склоновый стоки; при этом учитывается лишь часть грунтового стока. Общий сток с малых водосборов можно определить лишь в том случае, когда почва подстилается водонепроницаемыми скальными породами. Такие водосборы, даже малых размеров, встречаются крайне редко. Вместе с тем наблюдение за стоком с малых водосборов позволяет получить четкое представление об особенностях формирования стока в различных условиях произрастания леса, а также в лесах разного состава и строения и на различных безлесных участках. Подобные наблюдения дают надежные данные о стокорегулирующей роли лесов различного состава, строения, возраста, о влиянии пространственного расположения лесов по водосборам на сток, а также о влиянии различных лесохозяйственных мероприятий, проводимых в лесу (рубки, возобновление, механизированные заготовки), на изменение поверхностного и внутрипочвенного стоков. Кроме того, исследования А. И. Субботина (1966), Н. Л. Братцевой (1976), Н. А. Воронкова и др. (1976) показали, что в ряде случаев данные о стоке, полученные в период весеннего половодья с малых речных водосборов (около нескольких десятков квадратных километров), вполне сопоставимы со стоком крупных рек, бассейны которых расположены в тех же физико-географических условиях, а, следовательно, могут быть использованы для прогнозов весенних паводков.

Анализ данных многолетних стандартных наблюдений гидрологических станций и постов позволяет получить сведения о влиянии леса на суммарный сток с крупных речных бассейнов. Установлено, что в районах с интенсивным подземным питанием рек среднегодовой сток возрастает с увеличением площади водосборных бассейнов. Это происходит благодаря увеличению вреза русел и большему вскрытию водоносных горизонтов, а следовательно, большему поступлению грунтовых вод в реки (Рахманов, 1962; Субботин, 1966 и др.). Однако и этот метод не лишен существенных недостатков. Основной из них в том, что практически невозможно подобрать реки, имеющие бассейны с одинаковыми условиями. В пределах каждого природно-географического района гидрологическую роль леса необходимо рассматривать в комплексе с геологическим и геоморфологическим строением местности. Часто при одинаковой лесистости и одинаковых свойствах почвы подземное питание рек может существенно меняться в зависимости от наклона водных горизонтов и положения их относительно местных базисов эрозии.

В сходных физико-географических условиях влияние леса на речной сток во многом зависит от состава, строения, сомкнутости, возраста древостоев, типов леса и других лесоводственно-таксационных показателей. На практике очень трудно подобрать водосборы, которые бы не имели существенных различий в строении лесов по вышеназванным лесоводственно-таксационным показателям. Кроме того, рассмотренный метод исследования влияния леса на сток не позволяет получить надежные данные о влиянии рубок и других лесохозяйственных мероприятий на изменение стокорегулирующей роли леса. Чтобы получить достоверные данные, необходимо сочетание всех трех вышеперечисленных методов исследования.

На величину стока существенно влияет состав древостоя. По данным В. Н. Дьякова (1974), в спелом еловом лесу Карпат коэффициент стока в 2 раза выше, чем в буковом. Участие 20% бука в составе 30-летнего елового насаждения уменьшает сток в 3 раза по сравнению с чистыми еловыми культурами того же возраста.

Исследования на стоковых площадках в Прокудином бору (Московская обл.) показали, что в разных типах леса существенные различия имеет величина весеннего стока. Наименьший сток и коэффициент стока наблюдался в сосняке лишайниковом с песчаными почвами, а наибольший - в сосняках сфагновых и ольшаниках, где в период снеготаяния мощный слой торфа (около 50 см) не успел оттаять.

На летний сток различное влияние оказывают древостой разного возраста и состава. Эти данные получены методом искусственного дождевания элементарных площадок размером 20 м2 по методике Бефани (1966). Дождевание на участках проводилось мотопомпой ПМП-Л. Количество осадков, поступающих на площадку, определялось по 10-15 равномерно расставленным осадкомерам. Средняя интенсивность составила 2,4 мм/мин, что соответствует интенсивности ливневых осадков 10%-ной обеспеченности в районе исследований (Краноключевский лесхоз Башкирской АССР). С площадки вода стекает в лотки, врезанные на глубину 5 см в вертикальную стенку траншей в нижней части площадки. Площадки закладывали в лесах-зеленомошниках с бурыми горнолесными слабоподзолистыми суглинитыми щебнистыми почвами, которые отличаются хорошими водно-физическими свойствами: низким объемным весом верхнего 20-сантиметрового слоя почвы (0,7-1,2 г/см3), высокой порозностью (61-73%) и водопроницаемостью (8,0 мм/мин).

Как в нашей стране, так и в зарубежных странах (США, Швейцария, Англия, ФРГ, Япония) при изучении вопроса о влиянии леса на сток чаще всего используют метод наблюдений на малых экспериментальных водосборах. Впервые такие наблюдения были начаты в 1900 г. в Швейцарии.

Для этой цели были выбраны два лога - Шпербель площадью 55,8 га и лесистостью 97% и Реппен площадью 69,7 га и лесистостью 35%. Наблюдения, проводимые до 1926 г., показали, что годичный сток под влиянием леса увеличивается незначительно. Однако в последующие годы (1927-1952) было установлено, что среднегодовой сток с малозаселенного водосбора Реппен превышал соответствующий сток с лесного лога Шпербель на 10-12%. На основании анализа стока за указанные периоды В. В. Рахманов (1962) сделал вывод, что многолетние данные с двух швейцарских логов являются противоречивыми и непригодны для суждения о влиянии леса на объем стока.

В нашей стране одним из старейших объектов, где проводятся исследования стока с водосборов различной лесистости, является Истринский опорный пункт ВНИИЛМ. Наблюдения здесь ведутся непрерывно с 1937 г. Истринский пункт расположен в южной части лесной зоны (Московская обл.), имеет три водосбора, лесистость которых колеблется от 13 до 90%. Почвы водосборов суглинистые, средне- и сильноподзолистые, сформированные на покрытых делювиальных суглинках, подстилаемых с глубины 2-2,5 м мореной. В районе Истринского пункта среднегодовая сумма осадков составляет 570 мм, с колебаниями по годам от 340 мм (1964) до 730 мм (1966). Среднегодовая температура воздуха 3,7° С.

По данным Воронкова (1976), средняя за 1964-1974 гг. глубина промерзания почвы составила, см: на открытом участке 35,8, в смешанном лесу 43,9, а максимальная соответственно 96 (1972 г.) и 125 (1969 г.). За 19 лет наблюдений (1951-1970 гг.) запас снеговой воды на полевом водосборе составил 134 мм, а в лесном 122 мм (Воронков и др., 1972). Это вызвано расчлененностью рельефа. На полевых водосборах имеются лога, где накапливается много снега, сдуваемого с возвышенных участков. Запас снеговой воды в логах составляет 150, а на остальных участках 129 мм. В отдельные годы запас снеговой воды в лесу был на 2-15 мм больше, чем в поле. Обычно это бывает в годы, когда снежный покров сохраняется в лесу от первых осенних снегопадов, в то время как на открытых местах первый снег часто стаивает. Наблюдения показали, что с полевого бассейна сток начинается на 5-6 дней раньше, чем с лесного: в отдельные годы этот разрыв увеличивается на 10-15 (1966 или уменьшается до 2 дней (1970 г).Окончание стока в лесном бассейне происходит позже, чем в полевом, в среднем на 5-6, а в отдельные годы на 12 дней. Средний весенний слой стока с полевого водосбора составляет 114, а с лесного 41 мм, т. е. в 2,8 раза меньше. В отдельные годы (1950, 1956, 1969) эти соотношения возрастают в 4-6 раз. В лесном бассейне среднегодовой коэффициент стока равен 0,24, в полевом 0,64. Средний максимальный модуль стока с лесного водосбора 1,23 л/с, а с полевого - 6,3 л/с с 1 га, или в 5 раз больше. В отдельные годы (1960; 1964, 1969) эта разница увеличивается в 10-11 раз (Воронков и др., 1976).

Согласно данным, во всех случаях сток талых вод как с полностью, так и с частично покрытых лесом водосборов в 1,5-3 раза меньше, чем с открытых участков. Однако, по данным А. И. Субботина (1966), в отдельные годы в лесостепной и степной зонах сток с частично залесенных водосборов может быть даже несколько больше, чем с безлесных. Это объясняется тем, что в результате сдувания снега и оттепелей снегозапасы на открытых водосборах в этих районах бывают меньше, чем на частично залесенных.

В северных районах на подзолистых почвах лотовый сток выше, чем на черноземах и серых лесных почвах, что обусловлено не только большими снегозапасами, но и строением почвы. На подзолистых почвах наличие иллювиального горизонта В затрудняет просачивание воды в нижележащий слой и способствует образованию внутрипочвенного стока, который выклинивается в логах. В северных лесах на увеличение стока с лесных водосборов большое влияние оказывает также наличие заболоченных пониженных участков. По данным А. А. Молчанова (1973), полученным в Прокудином бору Московской обл., коэффициент стока в сфагновом сосняке в 1947 г. составил 0,57, в 1948 г. 0,68, а в ольшанике соответственно 0,88 и 0,99, т. е. значительно больше, чем в других типах леса. В логу Таежном (Валдайская научно-исследовательская гидрологическая лаборатория), где заболоченные участки составляют 22% всей площади лесного водосбора, коэффициент стока равен 0,5. На Истринском опорном пункте и Подмосковной стоковой станции коэффициенты стока с лесных водосборов составляют соответственно 0,24 и 0,21. На этих водосборах заболоченные участки отсутствуют. Наличие заболоченных мест способствует не только увеличению коэффициента стока, но и более равномерному питанию ручьев и речек в течение всего года. Это, по мнению

В. Н. Поджарова (1969), обусловлено тем, что на заболоченных участках скапливаются снеговые и ливневые воды, которые вследствие очень низкой скорости внутрипочвенного стока (8-12 см в сутки) постепенно отдают воду в гидрографическую сеть.

В ряде районов тайги, особенно европейской части, в значительных объемах ведутся осушительные работы. В связи с этим возникает вопрос - как они сказываются на гидрографическом режиме рек? На основании немногочисленных литературных источников можно сделать предварительный вывод, что осушение заболоченных лесных площадей в большинстве случаев не вызовет, по-видимому, изменений в сложившемся суммарном годовом стоке рек, однако в ряде случаев приведет к его перераспределению по сезонам года. Весной с осушенных площадей, особенно при частом расположении осушительных канав, сток может возрасти, а затем уменьшиться в меженный период.

Исследования в Латвийской ССР показали, что практикуемое в настоящее время осушение лесных торфянистых почв с относительно редкой (60-200 м) сетью неглубоких (0,8-1,0 м) осушителей не вызывает неблагоприятных изменений в речном стоке. На гидроморфных минеральных почвах, наоборот, наблюдается более интенсивный сброс избыточной воды, а устойчивый меженный сток отсутствует (Айре, 1977).

В степных и лесостепных зонах даже при небольшом проценте лесистости весенний сток резко сокращается. Судя по многочисленным данным (Молчанов, 1960, 1973; Львович, 1963; Китредж, 1951; Субботин, 1966), в степной и лесостепной зонах весеннего стока из леса практически не бывает. Основная причина этого - более медленное таяние снега в лесу и усиленное просачивание талой воды в почву. Благодаря высокой водопроницаемости почв леса в этих районах обеспечивают перевод поверхностного стока, поступающего с вышележащих безлесных пространств, во внутригрунтовый.

Еще большее влияние на сток оказывают горные леса. Водосборы, сплошь покрытые лесом, имеют очень низкие слой и коэффициент стока. Если в равнинных лесах Подмосковья весенний сток в лесу начинается обычно на 5-6 дней позже и продолжительность его сравнительно мало отличается от безлесных водосборов, то этого нельзя сказать о горных лесах Среднего Урала. Там сток с лесных водосборов начинается на 10-12, а заканчивается на 10-20 дней позднее, чем в безлесных.

Следует отметить, что в течение суток сток с покрытых лесом водосборов не имеет больших колебаний, тогда как с безлесных они значительны. Наблюдения Л. С. Азмайпарашвили и Р. Г. Чагелишвили (1971) в горных районах Грузии на участках с различной лесистостью показали, что на водосборах с высокой, до 70%, лесистостью поверхностный сток и сильные колебания амплитуд весеннего и ливневого стока отсутствуют, то время как при лесистости водосборов до 30-40% наблюдается резкое повышение паводков и возникают эрозионные процессы. В горных районах коэффициент стока в большей мере зависит от крутизны склонов.

В летний период и особенно осенью иногда наблюдается лотовой сток и на пересыхающих водотоках. Обычно это происходит только после достаточного увлажнения верхнего слоя почвы и образования верховодки. На песчаных почвах верховодка образуется только в тех случаях, когда в почве имеются глинистые прослойки или почвенно-грунтовая вода, расположенная на небольшой глубине. Чаще всего летний и осенний сток наблюдается на водосборах, где значительную долю всей площади составляют лога и тальвеги. В них уровень почвенно-грунтовых вод находится обычно недалеко от поверхности. В период дождей он поднимается, что создает условия для образования внутрипочвенного и поверхностного стока, в том числе и с прилегающих к тальвегам и логам участкам, где уровень верховодки также недалек от поверхности почвы. Кроме того, благоприятные условия для возникновения поверхностного стока создаются на участках, с которых смыты верхние более пористые слои почвы и иллювиальный горизонт выходит на поверхность.

Итак, наблюдения на стоковых площадках и небольших экспериментальных водосборах позволяют выявить влияние различных почв, а также лесов разного состава, строения и возраста на особенности формирования и величину поверхностного и внутрипочвенного стока. Однако этих данных явно недостаточно для того, чтобы судить о влиянии лесов на величину суммарного годового речного стока, который слагается не только из поверхностного и внутрипочвенного стока, но и из грунтовых вод, выклинивающихся в водотоки. В настоящее время в нашей стране и за рубежом накоплены достоверные данные расходов воды на многочисленных реках.

Анализ этих данных позволяет сделать ряд важных выводов об изменении режима стока рек в зависимости от изменения лесистости водосборных бассейнов. В нашей стране наиболее длительные наблюдения проводились по Неману, у его устья (с 1812 г.), по Дону (с 1831 г.), Днепру, у Лоцманской Каменки (с 1862 г.), Волге, у Ярославля (с 1877 г.), а также у Куйбышева (с 1878 г.) и Чебоксар (с 1876 г.). Анализ этих данных показал, что уменьшение процента лесистости водосборных бассейнов не привело к уменьшению общей водности рек, но на отдельных реках вызвало некоторое перераспределение стока по сезонам года, а также существенное изменение в них руслового режима (Дубах, 1951). Значительно снизился летне-осенний минимум стока по р. Москве, в нижнем течении Волги и по Неману. На всех реках отмечено ухудшение руслового режима, характеризующегося изменением поперечных и продольных профилей русла, вызываемых размывами берега и отложениями наносов. Однако не все эти изменения можно отнести за счет сокращения лесистости. По данным П. Ф. Идзона и О. Д. Матвеевой (1973), с конца XIX в. лесистость снизилась не во всех бассейнах рек, которые А. А. Дубах брал для анализа. В бассейне верхней Волги, например, она уменьшилась на 5, а в бассейне Днепра на 15%; в бассейне Немана изменения лесистости не отмечалось. Несколько иные данные о влиянии лесистости на сток рек приводит М. X. Абдулов (1971). На р. Белой у створа «Арский Камень» (Белорецкий р-н Башкирской АССР) за 1936- 1949 гг. средний годовой расход воды составлял 16 м3/спри средней сумме осадков 580 мм в год. В период с 1950 по 1965 г. после значительного снижения лесистости в результате рубок расход воды составил лишь 11 м3/спри осадках в 610 мм. Следует, однако, отметить, что указанный метод определения изменения режима рек имеет существенные недостатки. При этом методе нельзя, например, установить, какие изменения за период исследования претерпел сток в результате колебаний климата. Ссылаясь на исследования ряда ученых (Тортуэна, Улига и др.), В. В. Рахманов (1962) указывает, что колебания средней годовой температуры только в 1°С приводят к изменению испарения при одинаковой сумме осадков и стока на 25-30 мм.

Наиболее надежные данные о влиянии леса на сток можно получить путем сопоставления стока с лесистостью бассейнов большого количества рек за один и тот же период, т. е. в одинаковых по времени климатических условиях. При таком сопоставлении площадь водосборных бассейнов, по мнению В. В. Рахманова (1962), должна иметь средние размеры, от нескольких сотен до нескольких тысяч квадратных километров. Нельзя в качестве объекта брать большие водосборы, так как разные их части будут находиться во время наблюдений в неодинаковых климатических и почвенно-геологических условиях. Бассейны же небольших размеров не могут в достаточной мере характеризовать грунтовую составляющую речного стока. В целях получения более объективных данных анализ стока необходимо проводить по районам, внутри которых климатические и почвенно-геологические условия сравнительно одинаковы. Учитывая, что лес, по мнению ряда ученых, расходует большее, чем другая растительность, количество влаги на испарение и транспирацию, В. В. Рахманов (1962) проанализировал данные о стоке за 1936-1940 гг., относящиеся к одному из засушливых периодов времени. При этом он исходил из того, что в засушливые годы лес должен израсходовать большое количество почвенно-грунтовых вод, а это в свою очередь должно особенно рельефно отразиться на стоке рек с наибольшим процентом лесистости водосборных бассейнов.

Для анализа В. В. Рахманов (1962) отобрал около 35 с разной лесистостью бассейнов в двух сравнительно небольших районах европейской части СССР, один из них - в верховьях Днепра и Оки, другой - в бассейне Вятки.

Анализ показал, что в первом районе с ростом лесистости на каждые 10% средний годовой сток увеличился на 18, а во втором на 12 мм.

Для проверки этого вывода в другой, более влажный период (1949- 1955 гг.) В. В. Рахманов (1962) проанализировал данные речного стока в трех районах европейской части СССР, различающихся физико-географическими условиями. Во всех трех районах с увеличением лесистости бассейнов средний годовой сток возрос и во влажный .период. Наибольшее увеличение наблюдалось в западной части зоны избыточного увлажнения. Анализ данных за 1952-1965 гг., полученных на 44 гидрометеорологических створах 35 рек (притоков верхней Волги) с естественным водным режимом, подтвердил вывод об увеличении годового стока при возрастании лесистости водосборов (Рахманов, 1975). Анализ данных стока 15 рек Припятского бассейна (Белорусская ССР) показал, что среднегодовой модуль стока с 1 км2 площади водосборных бассейнов составляет, л/с: при лесистости бассейна 17- 23% -3,67, при 23-32% -4,26 и при 30-50% -4,52. Особенно интенсивно сток увеличивается при возрастании лесистости до 25-30% (Будыко, 1956). Близкие данные о влиянии леса на сток были получены для европейской части СССР и другими учеными (Соколовский, 1959; Сидоркина, 1956:Бочков, 1954 и др.).

Исследования А. В. Лебедева (1964) в пяти лесостепных районах бассейна рек Оби и Енисея также показали достаточно четкую зависимость годового речного стока от лесистости водосборных бассейнов. По мнению А.В. Лебедева, увеличение стока в лесных бассейнах обусловлено увеличением осадков и снижением коэффициента испарения. Наиболее значительно это влияние сказывается в районах с недостаточным увлажнением, менее выражено оно в районах достаточного и избыточного увлажнения. По данным Р. В. Опристовой (1966), на Суйфуно-Ханкайской равнине Приморского края общий годовой сток с облесенных водосборов также значительно возрастает по сравнению с безлесными или малооблесенными.

Большой научный и практический интерес представляют результаты сопоставления годового и минимального стока рек с различной облесенностью водосборных бассейнов, полученные в лаборатории лесоведения АН СССР по массовым данным сети гидрометеорологических станций (Идзон, Пименова, 1975). Для этого в пределах европейской части СССР было отобрано 300 пар водосборных бассейнов. Вся территория, где расположены бассейны, была разделена на девять отличающихся друг от друга по физико-географическим условиям районов; по три района, расположенных в подзоне южной тайги, в зоне хвойно-широколиственных лесов и в зоне широколиственных лесов и лесостепи. В пределах районов пары бассейнов рек с различной лесистостью подбирались на небольшом (до 150 км) расстоянии друг от друга. Кроме того, если безлесный бассейн сравнивался с лесным, расположенным на север от него, то сток с безлесного бассейна в этом случае сравнивался с другим лесным, расположенным южнее. Расчеты выполнялись по нескольким вариантам. При первом варианте - по всем парам бассейнов; при втором не учитывались те пары рек, в которых разница в средней высоте бассейнов превышала 60 м; при третьем помимо пар с разницей в высоте 60 м исключались водосборы, где лесистость малооблесенных водосборов составляла более 30-40%; при четвертом были исключены, кроме перечисленных, бассейны, где разница в заболоченности превышала 10% или имелись карстовые явления.

В пределах отдельных районов влияние лесистости бассейнов на сток рек проявляется по-разному. По данным П. Ф. Идзона и Г. С. Пименовой (1975), в подзоне южной тайги по всем вариантам подсчета сток с лесных рек больше, чем с малолесных. Такая же картина наблюдается в центральной части зоны смешанных лесов, западной, хорошо увлажненной части зоны широколиственных лесов и в лесостепи. На востоке и западе зоны смешанных и в центральной и восточной частях зоны широколиственных лесов годовой сток на лесных реках в среднем оказался примерно равным или меньше, чем на малооблесенных.

Итак, анализы стока большого количества рек свидетельствуют о том, что в большинстве районов годовой сток рек с увеличением лесистости водосборных бассейнов возрастает. Однако наиболее существенно благоприятное влияние леса проявляется в регулировании стока рек по сезонам года и в улучшении качества воды.

Если в вопросе о влиянии леса на общий сток рек нет единой точки зрения, то этого нельзя сказать о водорегулирующей роли леса, которая признается учеными всех стран. Как было сказано выше, в период снеготаяния суммарный поверхностный и внутрипочвенный сток с покрытых лесом элементарных водосборов ниже, чем с безлесных. На основании этого часто в лесоводственной литературе делается вывод о том, что лес в весенний период резко уменьшает сток рек.

Анализ материалов весеннего стока, проведенный в лаборатории лесоведения АН СССР на 300 парах рек европейской части СССР, показал, что по объему половодья реки с большой лесистостью водосборов сравнительно мало отличаются от рек с водосборами небольшой лесистости. При анализе многолетних (1950-1965 гг.) данных стока 25 рек Литвы и Калининградской обл. выяснилось, что в реках с более залесенными бассейнами объем весеннего стока меньше, чем в реках со слабозалесенными бассейнами (Рагуотис, 1973).

Водорегулирующая роль леса проявляется также в увеличении стока за летне-осенний и зимний периоды, т. е. в выравнивании его по сезонам года, что имеет большое практическое значение. При сопоставлении стока рек с различной лесистостью водосборных бассейнов европейской части СССР оказалось, что во всех районах, за исключением центральной части лесостепной зоны, модули минимального стока на реках с большим процентом лесистости в основном выше, чем на малооблесенных (Идзон, Пименова, 1975). По данным А. Рагуотиса (1973), в Литве и Калининградской области в летне-осенний период больший процент годового стока отмечается также на реках с более облесенными бассейнами. Подобные же выводы делает Т. Н. Чижмакова.

В бассейне верхней Волги летне-осенне-зимний сток возрастает на 0,8-1,2 мм на каждый процент лесистости (Рахманов, 1975). При увеличении лесистости наблюдается снижение летних паводков и уменьшается амплитуда колебаний расхода воды в реках в течение вегетационного периода. В Белорусском Полесье при лесистости бассейнов 6% подъем воды в наибольший паводок летом возрастает по сравнению с предпаводковым периодом в 7-8 раз, а при лесистости 70% всего в 2 раза (Юркевич, 1976).

В том же районе с повышением лесистости на каждые 10% наибольший паводковый среднесуточный модуль стока уменьшается на 1,8 л/с/км2.

Исследования, выполненные в Румынии (Gaspar, Abagin, 1974), показали, что с увеличением лесистости водосборных бассейнов максимальный сток при выпадении ливневых осадков резко снижается. Если с водосборов с лесистостью менее 25% удельный сток равнялся в среднем 2,90 м3/с/км2, то с водосборов, где лесистость была более 75%, он составил 1,46м3/с/км2.

По данным А. П. Клинцова (1973), даже в горных районах с большим количеством осадков (Сахалин) лес резко снижает образование катастрофических паводков. Например, 8-11 ноября 1968 г. в полностью облесенном бассейне максимальный модуль стока был примерно в 6 раз меньше по сравнению с малооблесенным. На равнинах водорегулирующее влияние леса, как показали исследования Л. И. Сидоркиной (1956), Д. Л. Соколовского (1959) и А. В. Лебедева (1964), более рельефно проявляется в маловодные годы.

Влияние леса на сток зависит не только от процента лесистости, но и от состава и возраста древостоев, а также от типологической структуры лесов. На водосборах Дальнего Востока преобладание лиственных древостоев (более 75% площади) приводит к значительному увеличению весеннего стока и уменьшению летне-осеннего по сравнению с водосборами, где господствуют хвойные породы. Это обусловлено различиями в снеготаянии и особенностями формирования стока в лиственных и хвойных лесах (Опритова, 1970).

Исследования, проведенные в Румынии (Gaspar, Ábagin, 1974), показали, что при выпадении ливневых осадков максимальный сток с водосборов, где преобладают хвойные породы, составил 1,35 м3/с/км2, а с водосборов, покрытых в основном лиственными породами, - 1,75 м3/с/км2.

Вместе с тем по-разному проявляется и водорегулирующая роль хвойных лесов. Наибольшее водорегулирующее влияние оказывают насаждения с более глубокой корневой системой, которые изменяют водно-физические свойства почвы на большой глубине. К таким породам относятся сосна и лиственница. Пихта и ель чаще имеют неглубокую корневую систему, поэтому рыхлящее влияние их корней проявляется на небольшую глубину, что способствует лишь увеличению внутрипочвенного стока (Лебедев, 1964). Для тех бассейнов рек, где преобладают лишайниковые, вересковые и брусничниковые боры, характерна более интенсивная инфильтрация вод, в связи с чем увеличиваются подземная составляющая стока, а следовательно, продолжительность половодья и питание рек в летне-осенний период (Юркевич и др., 1976).

Лес оказывает влияние и на качественные показатели стока. Одним из показателей качества воды является ее температура. При повышении температуры усиливаются многие физические, химические и бактериологические процессы, которые определяют пригодность воды для потребления человеком и как среды обитания рыб. Любой запах или привкус воды более заметны при повышении ее температуры. Наиболее благоприятные условия для нереста рыб создаются при температуре воды, °С: лососевых 12-14, осенней кеты 5-6, симы 9-12. Для инкубации икры горбуши в зимнее время необходима температура выше 0°С, а кеты +2-3°С. Повышение температуры воды во время нереста до 20-25Х вызывает прекращение захода лососей в реки (Клинцов, 1973). Резкие колебания температуры и перегрев воды оказывают отрицательное влияние на нерест и развитие молоди лососевых рыб.

Лес играет важную роль в обеспечении оптимального теплового режима воды в реках. В теплое время года более низкая по сравнению с открытыми участками температура почвы в лесу понижает и температуру воды, которая через внутрипочвенный и грунтовый сток поступает в реки, водоемы и действует на них охлаждающе. В ряде случаев этот процесс продолжается почти до середины лета из-за медленного таяния снега и меньшего нагревания почвы под пологом леса. В Литовской ССР и Калининградской обл., например, во всех залесенных бассейнах температура воды рек в апреле-октябре ниже, чем в реках с малолесными водосборами (Рагуотис, 1973). В зимний же период грунтовые воды, температура которых выше, подогревают нерестовые реки, предохраняя нерестилища от промерзания.

Особенно велика роль приречных лесов вдоль узких рек. Когда по берегам таких рек произрастает высокий лес, они освещаются солнцем небольшой период, что не способствует нагреву воды. Наиболее отзывчивы на поступление тепла солнечной радиации мелководные реки в меженный период. Наблюдения на двух водотоках Сахалина с облесенностью 100 и 20% показали, что в период с июня по сентябрь вода в полностью облесенном бассейне была холоднее по сравнению со слабооблесенным на 3,7°С (по среднедекадным данным); в отдельные дни разница достигает 4,1°С.

По данным Р.Ф. Тарранта (1970) и Д. С. Ротачера (1970), в северо-восточной части США удаление прибрежной растительности на расстоянии 0,8 км от реки привело к увеличению температуры воды в ней на 5,5-8°С.

Интересные данные зависимости химического стока от лесистости водосборов, получены на трех рядом расположенных водосборах в Ульяновском Поволжье, имеющих разную залесенность, но одинаковое геолого-геоморфологическое строение (Чесовникова, 1977). По данным за 1974 г., вода с безлесного водосбора (пашня) во время половодья содержала в 3,6 раза больше растворенных веществ, чем с покрытого лесом (дуб, липа, клен, осина, береза).

Весенняя вода, стекающая с лесных и не покрытых лесом водосборов, обладает определенными химическими и физическими свойствами. Различные древесно-кустарниковые породы неодинаково влияют на качество воды. Очень существенно, что в воде, прошедшей через насаждения, особенно через сосновые, уменьшается количество азота аммиака - важнейшего показателя загрязнения.

Существенно различается бактериологическое состояние воды, поступающей с покрытых лесом и безлесных водосборов. По данным Е. С.Спиридонова (1965), в 1 л воды, поступающей в водохранилище с выгона, обнаружено 920 кишечных палочек (коли-индекс), в воде же, поступающей из сосновых насаждений, их в 18 раз, а из смешанного дубового в 23 раза меньше. Коли-титр воды (наименьшее количество воды, в которой содержится одна кишечная палочка), прошедшей через смешанное дубовое насаждение, равен 15, а поступающей с выгона лишь 1,1. По данным В. Г. Николаенко и др. (1973), количество кишечных палочек (бактерий) в ил воды, прошедшей через лесную полосу шириной 30-45 м (Московская область), в 2 раза меньше, чем в воде, стекающей с открытых площадей. Число бактерий в 1 см3 воды, проходящей через полезащитную, водорегулирующую и приовражно-балочную лесные полосы (Орловская обл.), сокращалось в 26 раз и более.

Итак, вышеприведенные данные свидетельствуют о значительных принципиальных отличиях формирования стока с лесных и безлесных участков, а также об огромной стокорегулирующей и водоохранной роли лесов, которая в пределах однородных физико-географических условий во многом зависит от состава, возраста, типов леса и других лесоводственно-таксационных показателей. Стокорегулирующая и водоохранная роль лесов зависит также от процента лесистости и размещения их по водосбору.

Более благоприятный гидрологический режим рек наблюдается при сравнительно равномерном распределении лесов, а также при наличии их на склонах водоразделов, вдоль гидрографической сети, вокруг озер и водохранилищ.

Водные ресурсы Якутии огромны, но не бесконечны. На территории республики насчитывается свыше 700 тыс. рек. Из них 15 имеют длину свыше 1000км. Речная сеть Якутии принадлежит к бассейнам морей Лаптевых (реки Анабар, Оленек, Лена, Омолой, Яна) и Восточно-Сибирского (к западу от устья р.Колымы- реки Индигирка, Алазея и ряд меньших водотоков).

Таблица 1. Крупнейшие реки Якутии (длиной свыше 1000 км.)

Реки Якутии

Длина км.

Площадь тыс.км².

Модуль стока л/сек·км³

1.Лена

4400

2490

488

6,6

2.Олекма

1436

210

62

10

3.Алдан

2242

718

164

7,4

4.Мая

1053

171

38

6,9

5.Амга

1465

72

5

-

6.Вилюй

2435

491

72

4,7

7.Марха

1181

99

13

-

8.Тюнг

1095

50

6

-

9.Оленек

2270

219

57

8

10.Яна

1492

239

31

4,2

11.Индигирка

1790

360

57

5

12.Алазея

1590

70

10

5

13.Колыма

1763

652

120

5,9

14.Омолон

1114

113

-


Большие реки текут в меридиональном направлении с юга на север, исключение составляют р.Лена на участке от истока до г.Якутска и р.Вилюй.

Густота речной сети относительно большая - в среднем около 0,5км/км². В горных районах она более 1,0 км/км² (в верховьях р.Индигирка), в Центрально - Якутской низменности до 0,1км/км².

Рис 3. Поверхностная составляющая речного стока (S,мм).

На распределение речного стока влияет не только широтная зональность, но и вертикальная поясность. В юго-западной части территории (в бассейне р.Лены) сток возрастает с севера на юг, а на северо-востоке распределение стока связано с направлением основных хребтов. Наиболее высокий модуль стока (более 15л/сек·1 км²) наблюдается в истоках р.Алдана. К северу от Алданского плоскогорья сток уменьшается от 10 до 4л/сек· 1км²

В бассейнах рек Яны и Индигирки наибольшее модули стока (7-8 л/сек·км²) наблюдается в районах хр.Черского и южной части Верхоянского хребта. К северу в пределах низменных районов модуль стока снижается до 3-4л/сек· км²; на Колымской низменности он составляет 4-5л/сек· км². Малой водностью отличаются реки Лено-Вилюйской низменности, где норма стока меньше 2л/сек·км². По типу питания они относятся преимущественно к снеговому питанию. При общем для всех рек территории смешанном питании преобладание какого либо его вида в пределах той или иной области и района различно.

Реки западной, относительно равнинной части и Центральной Якутской низменности имеют преобладающее снеговое питание. Реки горных районов южной части, кроме верховьев Лены и её верхних притоков, а также северо-восточной части питаются преимущественно дождевыми водами.

Наибольшее влияние на водный режим рек Якутии оказывают климат, рельеф и вечная мерзлота. В условиях вечной мерзлоты питание рек подземными водами очень низка. Особенно мало подземное питание рек в районах Крайнего Севера. На крайнем юге и юго - западе Якутии, где вечная мерзлота не имеет сплошного распространения и мощность её небольшая, доля подземного питания увеличивается. В восточной и южной Якутии некоторые реки связаны с выходами подземных вод. В этих же районах встречаются реки, в питании которых принимают участие ледники и наледи.

.3 Влияние лесов на формирование стока рек на примере Лено-Амгинского междуречья

На левобережных участках р. Лены (Лено-Вилюйское междуречье) на радиальный прирост лиственниц большое влияние оказывает высота снежного покрова в октябре, а в ноябре его влияние почти исчезает. Это связано с тем, что раннее становление снежного покрова на суглинистых почвах лиственничных лесов Лено-Вилюйского междуречья препятствует сильному выхолаживанию почвогрунтов и обеспечивает более равномерное распределение почвенной влаги в период промерзания грунтов. На супесчаных грунтах сосновых лесов того же междуречья высота снежного покрова в октябре и начале ноября не оказывает существенного влияния на радиальный прирост деревьев. Только к концу ноября высота снежного покрова начинает значимо коррелировать с ростом сосны. Очевидно, в начале наступления сильных морозов более мощный снежный покров начинает выполнять теплоизолирующую роль, препятствуя выхолаживанию грунта.

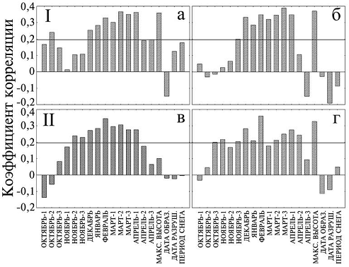
Рис.4. Корреляция радиального прироста деревьев с высотой снежного покрова м/с Якутск (I) и Чурапча (II): a - лиственница Лено-Вилюйского междуречья;

б - сосна Лено-Вилюйского междуречья; в - лиственница Лено-Амгинского междуречья; г - сосна Лено-Амгинского междуречья. Линией отмечен доверительный интервал при p<0,05.

Рис. 5. Сопоставление высоты снежного покрова (А), температуры грунтов на глубине 3,2 м (Б, 1) и ширины годичных колец (Б, 2 и В)

В весенний период на всех участках отмечается высокая корреляционная связь радиального прироста деревьев с высотой снежного покрова в марте и в первой декаде апреля. В Центральной Якутии в марте высота снежного покрова максимальна. В дальнейшем корреляционная связь радиального прироста деревьев с высотой снежного покрова снижается и к третьей декаде апреля в некоторых случаях достигает отрицательных значений. Подобное обстоятельство можно объяснить тем, что если в зимние месяцы, включая март, снежный покров действует как защитный слой, препятствующий выхолаживанию грунтов, то уже в апреле он начинает противодействовать процессу повышения температуры грунтов.

На рис. 4 показано сопоставление радиального прироста лиственницы с высотой снежного покрова и температурой грунтов. При небольшой высоте снежного покрова с 2001 по 2003 г. наблюдается понижение температуры грунтов и образование узких годичных колец лиственницы. В дальнейшем при увеличении высоты снежного покрова растет ширина радиального прироста деревьев.Таким образом, снежный покров, определяя различное гидротермическое состояние почвогрунтов в зимнее время, приводит к разному росту лиственниц и сосны на Лено-Вилюйском и Лено-Амгинском междуречьях. Полученные результаты исследований показали, что при помощи древесно-кольцевых хронологий можно выяснить и объяснить некоторые механизмы воздействия динамики снежного покрова на развитие лесной растительности, произрастающей в пределах распространения многолетнемерзлых пород.


Глава 3. Классификация лесов по водоохранно-защитному значению

Как было показано в предыдущих разделах, все лесные массивы в той или иной мере выполняют водоохранно-защитные функции. Леса, произрастающие в горных районах, а также вдоль гидрографической сети, играют огромную водоохранную, водорегулирующую и почвозащитную роль. В то же время леса, расположенные на равнинных и пологих участках с хорошо дренированными суглинистыми почвами, имеют сравнительно меньшее защитное значение. Водоохранно-защитную роль леса всегда необходимо рассматривать в комплексе с геологическим и геоморфологическим строением местности. Под влиянием различных лесохозяйственных мероприятий, в первую очередь рубок главного пользования и механизированных заготовок, водоохранно-защитные функции леса могут, как мы уже отмечали, существенно изменяться. Следовательно, при проведении лесохозяйственных мероприятий в пределах природно-географического района необходимо в каждом конкретном случае учитывать его водоохранно-защитную роль, для чего необходимо разработать научно обоснованную классификацию лесов по их водоохранно-защитному значению. Однако даже при наличии самой совершенной классификации нельзя успешно решать вопросы, связанные с рациональным использованием лесов и усилением их многогранной защитной роли. Наиболее успешное выполнение указанных функций, особенно в малолесных районах, возможно только в том случае, когда в пределах каждого водосборного бассейна площадь лесов будет соответствовать той оптимальной лесистости, при которой наиболее полно проявляется водоохранная, почвозащитная и климаторегулирующая роль леса.

3.1

Похожие работы на - Оценка влияния лесных ресурсов на формирование стока поверхностных вод Республики Саха

 

Не нашли материал для своей работы?
Поможем написать уникальную работу
Без плагиата!
Без нейросетей!