Оценка воздействия источника загрязнения на водный объект

  • Вид работы:
    Курсовая работа (т)
  • Предмет:
    Экология
  • Язык:
    Русский
    ,
    Формат файла:
    MS Word
    23,1 Кб
  • Опубликовано:
    2015-06-03
Вы можете узнать стоимость помощи в написании студенческой работы.
Помощь в написании работы, которую точно примут!

Оценка воздействия источника загрязнения на водный объект

ГОСУДАРСТВЕННОЕ БЮДЖЕТНОЕ ОБРАЗОВАТЕЛЬНОЕ

УЧРЕЖДЕНИЕ ВЫСШЕГО ПРОФЕССИОНАЛЬНОГО ОБРАЗОВАНИЯ

«САНКТ-ПЕТЕРБУРГСКАЯ ГОСУДАРСТВЕННАЯ ХИМИКО-ФАРМАЦЕВТИЧЕСКАЯ АКАДЕМИЯ»

МИНИСТЕРСТВА ЗДРАВООХРАНЕНИЯ И СОЦ. РАЗВИТИЯ РФ

Факультет промышленной технологии лекарств

Кафедра промышленной экологии






КУРСОВАЯ РАБОТА

Оценка воздействия источника загрязнения на водный объект

Исполнитель: Дуб А.А.

студентка 221 группы

Руководитель: доцент,

кандидат химических наук

Веренцова Л.Г.




Санкт-Петербург

Оглавление

Введение

. Определение норматива Предельно Допустимого Сброса

.1 Исходные данные

.2 Характеристика загрязняющего вещества

.3 Методика расчета Предельно Допустимого Сброса загрязняющих веществ в воде водного объекта.

.4 Расчет Предельно Допустимого Сброса Поверхностно Активного Вещества.

.5 Расчет фактического количества ЗВ.

.6 Расчет необходимой степени очистки стоков

. Определение платы за сброс Поверхностно Активного Вещества

.1 Методика расчета платы за сброс

.2 Расчет платы

. Перечень сокращений

Вывод

Заключение

Предложения по сокращению сбросов Поверхностно Активного Вещества.

Список используемой литературы

 

 

Введение


Нормирование ЗВ в водных объектах проводится по трем лимитирующим признакам вредности: органолептическому, общесанитарному и санитарно-токсикологическому.

Показатель, который характеризуется наименьшей пороговой величиной, называется для данного ЗВ лимитирующим показателем вредности (ЛПВ). Максимальная концентрация, при которой вредное влияние ЗВ по лимитирующему показателю не проявляется называется предельно допустимой (ПДВ).

Система использования воды в организациях на предприятиях и учреждениях состоит из систем водопотребления и водоотведения. Условно считается, что система водопотребления включает все, что связано с водой, поступающей к потребителю. В системе водоотведения потребитель превращается в источник сточных вод и в этой системе осуществляется сбор сточных вод, их очистка, отведение в водный объект или обратно к потребителю.

Количество сточных вод, отводимое за единицу времени от источника образования, называется расходом сточных вод и определяется в зависимости от производительности источника по нормам водоотведения. Нормой водоотведения является среднее количество сточных вод в кубических метрах, необходимое, для выпуска единицы готовой продукции или для переработки единицы используемого сырья.

Количество и качество производственных сточных вод зависят от вида сырья и вырабатываемой продукции, производственной мощности предприятия, норм водопотребления, удельного расхода свежей воды на единицу продукции, совершенства технологического процесса, полноты утилизации отходов производства, от вида и типа применяемого оборудования, оснащенности процесса контрольно-измерительными приборами и т.д.

В фармацевтической промышленности нормативы качества сточных вод, отводимых от различных источников образования, рассчитывают по материальным балансам воды и нормативным значениям потерь химикатов.

Для отведения сточных вод от мест образования и транспортирования их на очистку или сброс в водный объект используют комплекс канализационных сетей и сооружений предприятия. Производственные сточные воды в зависимости от их количества, места образования, вида загрязняющих веществ и их концентрации, а также целесообразности совместной очистки отводят в канализацию одним общим или несколькими самостоятельными потоками. Решающее значение при этом имеет специфичность загрязняющих веществ. Загрязненные производственные сточные воды с преобладанием в них загрязнителя какого-то определенного вида объединяют в один поток.

Основным показателем контроля качества сбрасываемых сточных вод является предельно допустимый сброс (ПДС); при наличии нескольких предприятий, сбрасывающих однотипные вещества в водный объект или канализацию для каждого из них устанавливается нормативно допустимый сброс (НДС). Под ПДС понимается масса ЗВ в сточных водах, максимально допустимая к отведению с установленным режимом в данном пункте водного объекта в единицу времени с целью обеспечения норм качества воды в контрольном пункте(аналогично и для НДС - с учетом воздействия на данный водный объект других предприятий).

Главной задачей данной курсовой работы является определение ПДС и платы за сброс ЗВ.

1       Определение норматива ПДС

 

.1 Исходные данные


Выпуск сточной воды - береговой

Загрязняющее вещество - смесь восстановителей(аммиак и гидразин)

Таблица исходных данных 1.1.1.

Параметры источника сброса сточной воды и воды водного объекта

Величина

Расстояние от места сброса до контрольного створа по прямой , м

600

Расстояние от места сброса до контрольного створа по фарватеру , м

660

Скорость течения водного объекта , м/с

0,54

Средняя глубина водного объекта , м

2,85

Объемный (массовый) расход промывного материала , м3/ч (кг/ч)

12

Расход воды водного объекта , м3

0,7

Концентрация ЗВ в сточной воде (допустимая к сбросу) , мг·дм-3

153


ПДК(аммиак)=1,5 мг/дм3   [3]

ПДК(гидразин)=0,01 мг/дм3       [3]

Принимаем ПДК=0,01 мг/дм3

 

.2 Характеристика загрязняющего вещества


1.3 Методика расчета ПДС загрязняющих веществ в воде водного объекта


ПДС устанавливается с учетом ПДК веществ в местах водопользования, ассимилирующей способности водного объекта и оптимального распределения массы сбрасываемого вещества между водопользователями, сбрасывающими сточные воды.

Сточные воды являются нормативно чистыми с концентрацией

СДОП.СТ.,если отведение их в водные объекты с расходом q не приводит к нарушению норм качества воды в контролируемом створе или пункте водопользования. Таким образом, норматив ПДС устанавливается из условия

ПДС=СДОП.СТ.· q,

где СДОП.СТ - допустимая концентрация данного ЗВ в сточной воде,г/м3

q - расход сточной воды, м3/с;м3/ч.

При этом Мф≤ ПДС.В тех случаях , когда по объективным причинам величина СДОП.СТ и ПДС не могут быть обеспечены (Мф>ПДС), а для ихх достижения необходимы специальные мероприятия, водопользователь одновременно с утверждением ПДС должен получить разрешение на временно согласованный сброс (ВСС). Степень превышения ВСС над ПДС (ВСС/ПДС) и допустимая длительность такого превышения утверждаются органами по регулированию использования и охране вод по согласованию с органами Санэпиднадзора и рыбоохраны.

Допустимая концентрация ЗВ в месте сброса определяется из соотношения ( для проточных водных объектов):


где n - кратность разбавления сточных вод при смешении с водой водного объекта.

Кратность разбавления сточных вод для водотоков определяется по формуле

 

где q - расход сточной воды ;

Q - расход воды в водном объекте

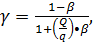
γ - коэффициент смешения, определяемый как

 

 

Здесь L - расстояние по фарватеру от места выпуска сточных вод до контрольного створа водопользования, м;

α - коэффициент, учитывающий гидравлические условия смешения

предельный допустимый сброс сток

 

здесь ξ - коэффициент выпуска стоков ( при береговом выпуске ξ = 1; при стрежневом выпуске ξ = 1,5);

φ - отношение расстояний между местом сброса стоков и контрольным створом по фарватеру и по прямой ;

Е - коэффициент турбулентной диффузии.

Для равнинных рек Е = υ • Н/200 ,

здесь υ - скорость течения, м•с-1;

Н - средняя глубина водотока, м

1.4.Расчет ПДС ПАВ ЗВ

υ = 0,54 м/с

Н = 2,85 м

 

ξ = 1

φ = 660/600=1,1

q = 12 м3/ч /3600= 0,0033 м3

 

L = 660 м

 

Q = 0,7 м3/c

 

 

ПДК = 0,01 мг/дм3 = 0,01 г/м3       [3]

СФ=ПДК/100 •10%=0,01/100•10=0,001 г/м3

ПДС = 1,9069 • 0,0033 = 0,0063 г/с.

 

.5 Расчет фактического количество ЗВ


Фактическая масса ЗВ определяется по формуле

МФ = Со • q ,

где С0 - концентрация веществ в сточной воде до очистки;

С0 = 129 мг/дм3 = 129 г/м3

МФ = 129 • 0,25 = 32,25 г/с

 

.6 Расчет необходимой степени очистки стоков


Необходимая степень очистки стоков по фактической массе

 

 

 

. Определение платы за сброс ЗВ

 

2.1    Методика расчета платы за сбросы


В пределах нормативов ПДС плата за сброс ЗВ (ПН , руб/год) рассчитывается по формуле

ПН = СПДС • ПДС

В пределах нормативов ПДС плата за сброс ЗВ (ПН , руб/год) рассчитывается по формуле

СПДС = НПДС • КЭК • КИНД ,

Где НПДС - базовый норматив платы за сбросы в пределах ПДС , руб/т;

КЭК - коэффициент экологической ситуации (1,5);

КИНД - коэффициент индексации (2,33).[6]

Коэффициент индексации - это коэффициент, учитывающий инфляцию.

К нормативам платы, установленным постановлением Правительства РФ от 12 июня 2003 года № 344, применяется коэффициент индексации 2.33, к нормативам платы, установленным постановлением Правительства РФ от 1 июля 2005 года № 410, 1.89.

При сбросе ЗВ в пределах установленных лимитов, превышающих ПДС, размер платы за сверхнормативный сброс ЗВ (П* , руб/год), рассчитывается по формуле

П* = 5• НПДС• КЭК• КИНД•(МФ - ПДС) ,

Суммарная плата за сбросы ЗВ (П, руб/год) составляет

П=ПН + П.

Примечание: при превышении установленных лимитов на сброс ЗВ взимается плата за сверхлимитный сброс.

 

2.2    Расчет платы


НПДС = 552 руб [7]

СПДС = 552 • 1,5 • 2,33 = 1 929,24 руб

ПН = 1 929,24 • 0,238 =459,159 руб/год

П* =5• 552•1,5•2,33•(32,25 - 0,238) =308 794,15 руб/год

П = 308 794,15 + 459,159 = 309 253, 3 руб/год

        

3.  Перечень сокращений

ПДК

предельно допустимая концентрация

ЛПВ

лимитирующим показателем вредности

ВСС

временно согласованный сброс

ЗВ

ПДС

предельно допустимый сброс

НДС

нормативно допустимый сброс

ПАВ

поверхностно-активные вещества

ЛПВ

лимитирующий показатель вредности


Вывод

В данной курсовой работе определила Мф = 32,25 г/с (фактический выброс) и ПДС = 0,238 г/с (предельно-допустимый выброс). Сравнила эти величины и определил необходимую степень снижения загрязнения выбросов (). Предприятие должно ввести ВСВ и разработать мероприятия по сокращению выбросов сероводорода.

Суммарная плата за выброс ЗВ в данной работе оказалась равной 309253, 3руб/год.

Таблица результатов расчета 4.1.1

Показатель

Результат

Размерность

ПДС

0,238

г/с

МФ

32,25

г/с

%

П

252 180,8

руб/год



Заключение

В ходе данной работы мы произвели инженерно-экологический расчет, позволивший оценить воздействие конкретной технологии на состояние окружающей среды.

Действия, выполняемые в курсовой работе, позволили сделать заключение, что технология, наиболее рациональная в отношении использования сырьевых материалов и энергии, приводит к меньшим потерям сырья и энергии в окружающую среду и, следовательно, меньшему уровню ее загрязнения.

В рамках выполнения курсовой работы у нас сформировались следующие компетенции: пользоваться нормативной природоохранной документацией для экологической оценки воды рабочей зоны (ОК-6); оценивать эффективность мероприятий по сокращению загрязнения окружающей среды (ОК-13).

Задачи, поставленные в курсовой работе, и их решение позволили научиться контролировать выполнение требований экологической безопасности проводимых технологических работ: выбирать технические средства и технологии с учетом экологических последствий их применения

(ПК-1); применять принципы обеспечения экологической безопасности при решении практических задач (ПК-17).

 

Предложения по сокращению сброса ПАВ


Практика очистки сточных вод от ПАВ и сопутствующих примесей показывает, что наиболее рациональным является комбинирование физико-химических методов для обеспечения требуемой глубины очистки и её эффективности.

Для удаления небольших количеств ПАВ из сточных вод (не более 100-200 мг/л) применяется прежде всего адсорбционная очистка на активированных углях и других сорбентах. Получить воду требуемого качества и повторно использовать ПАВ после регенерации позволяет применение ионообменных смол.

Другой метод очистки воды от ПАВ - метод пенного сепарирования и флотации. Сущность его заключается в адсорбции ПАВ на границе раздела фаз сточная вода - воздух при непрерывном снятии поверхностного слоя. Для этой цели через сточную воду барботируют воздух, что создает стабильную пену, состоящую из пузырьков газа различного размера. Процесс разрушения пенного слоя происходит медленно. Для ускорения разрушения пены используют пеногасители, в качестве которых применяются кремнийи германийорганические соединения. Однако использование их приводит к дополнительному загрязнению пеноконденсата. Поэтому чаще применяют термические, электрические и механические способы гашения пены.

Другим эффективным методом для удаления из сточных вод ПАВ, а также нефтепродуктов, является флотация. Достоинством флотации является непрерывность процесса, широкий диапазон применения, небольшие капитальные и эксплуатационные затраты, простота аппаратуры, селективность выделения примесей по сравнению с отстаиванием, большая скорость процесса, высокая степень очистки (95-98%), возможность рекуперации удаляемых веществ. Флотация сопровождается аэрацией сточных вод, снижением концентрации поверхностно-активных веществ ПАВ, легкоокисляемых веществ, бактерий и микроорганизмов. Все это способствует успешному проведению последующих стадий очистки сточных вод.

Список используемой литературы

1. Григорьев Л.Н., Веренцова Л.Г. Экология. Учебное пособие. СПб, СПХФА, 2013.

. Григорьев Л.Н., Веренцова Л.Г. Методические указания к практическим занятиям по дисциплине «Экология». СПб, СПХФА, 2013.

3.ГН 2.2.5.686-98 « Предельно допустимые концентрации (ПДК) вредных веществ в воздухе рабочей зоны» (2259 наименований веществ), М., ГСЭН России, 1998г., 208 с.

4. Григорьев Л.Н., Веренцова Л.Г., Родионова А.А. Учебно-методическое пособие для выполнения курсовой работы по дисциплине «Экология». СПб, СПХФА, 2014.

. Методические указания к выполнению раздела «Охрана окружающей среды в дипломных проектах и работах» Л.Г.Григорьев. СПб. СПХФА, 2010

. ст. 3 Федерального закона от 02.12.2013 г. № 349-ФЗ «О федеральном бюджете на 2014 год и плановый период 2015 и 2016 годов»

. Постановление Правительства РФ от 28 августа 1992 г. № 632 "Об утверждении Порядка определения платы и ее предельных размеров за загрязнение окружающей природной среды, размещение отходов, другие виды вредного воздействия" (с изменениями от 27 декабря 1994 г.).

Похожие работы на - Оценка воздействия источника загрязнения на водный объект

 

Не нашли материал для своей работы?
Поможем написать уникальную работу
Без плагиата!
Без нейросетей!