Predicting completion of cash acquisitions using option implied risk-neutral probabilities

  • Вид работы:
    Дипломная (ВКР)
  • Предмет:
    Эктеория
  • Язык:
    Английский
    ,
    Формат файла:
    MS Word
    227,95 Кб
  • Опубликовано:
    2015-11-02
Вы можете узнать стоимость помощи в написании студенческой работы.
Помощь в написании работы, которую точно примут!

Predicting completion of cash acquisitions using option implied risk-neutral probabilities

National Research University - Higher School of EconomicsCollege of Economics and Finance





Graduation Thesis

Predicting completion of cash acquisitions using option implied risk-neutral probabilities

Author:Andreeva

Supervisor:Dr. Sergey Gelman



. June 16, 2015

Introduction


In the year 2014 global Mergers and Acquisition activity experienced an outstanding jump with over 40 000 transactions and total value of approximately $ 3,5 billion. This corresponds to a 47% increase compared to year 2013 and also is the seven-year high since 2007. The significantly increased M&A activity might again raise demand for academic research on the topic, in particular, on sources of risk involved in the deal. Deal failure is widely accepted to be the key risk factor and, therefore, accurate estimates of the probability of success could potentially be of interest to a broad audience that is concerned with outcomes of pending transactions. The list of interested parties includes target and the acquirer, banks, hedge funds and asset management firms, individual investors and many others. the acquisition offer is made target company’s stock price movements, as indicated by Samuelson and Rosenthal (1986), collect the market expectations of the ultimate deal outcome. However, market often misperceives and reacts with a price increase even for failed deals. The topic that was widely studied in recent financial literature is the reaction of options market to M&A announcements. This paper examines the predictive power of option prices after the deal announcement in relation to forecasting the outcome of cash corporate takeovers and compares it with a more commonly accepted probability measure based on stock market reaction. The key contribution of this research is the proposed method that estimates risk-neutral probability of success from option prices of the target company and the empirical testing of its forecasting ability. The approach is based on the relationship between risk-neutral cumulative density function and the first derivative of option price with respect to strike price that was discovered by Breeden and Litzenberger (1978). Estimation of risk-neutral CDF for specific intervals uses first-difference approximation highlighted by Gelman (2005). To my knowledge, this is the first work that directly relates these probability estimates to M&A deal success or failure and tests their predictive power. study of option-implied probabilities of success leads to a conclusion that option prices after announcement are indeed a worthy predictor of the deal’s outcome. For the analysed sample risk-neutral probabilities outperform stock-implied probabilities in terms of forecasting power for the period of 3 weeks after the deal announcement. However, the empirical analysis also reveals that despite being a good predictor, option-implied probabilities tend to underestimate the success rate of the announced deals, which may lead to potential arbitrage opportunities in the option market. This study also briefly examines merger arbitrage strategies on the stock market and the dependence of excess returns on the risk-neutral probability estimates. paper is structured as follows: it starts with an overview of existing financial literature on related topics that include studies of stock and option markets behaviour after the deal announcement and its implication to deal outcome predictability, analysis of merger arbitrage and associated excess returns and papers that develop pricing models for options of target companies. Next chapter is devoted to the derivation of the model used to estimate risk-neutral probabilities and the rational for its application. The paper continues with a summary of data selection process and key features of the obtained sample. Methodology section that follows up provides a description of forecast performance estimation and hypothesis testing procedures. Finally, last section summarizes empirical results of predictive power assessment for risk-neutral probabilities as well as their comparisons with stock-implied probabilities defined as in Samuelson and Rosenthal (1986).

Literature overview


Mergers and acquisitions are, perhaps, the most heavily studied topic in corporate finance. However, the literature that studies the source of uncertainty for M&A deals is relatively scares, as most of the works concentrate on determining value and wealth effects as well as their drivers. the first steps in academic research that investigates M&A deal success probability were taken in 1980s following the boom of M&A activity driven by private equity firms. Brown and Raymond (1986) proposed a method of estimating success probability based on a fallback price that they assumed to be equal to the pre-announcement price (on average over a number of weeks). A more sophisticated approach was outlined by Samuelson and Rosenthal (1986). They focused on the study of cash corporate takeovers and started with the empirical formula for the after announcement stock price as a function of future stock price in case of deal’s success (offer price) and failure (some fallback price). Then, following the assumption that success probability and fallback price are constant for at least some time-intervals, they employ an econometric method to forecast the fallback price and, thus, the success probability. However, they didn’t distinguish between risk-neutral and actual probabilities. The conclusion of their paper is that uncertainties involved in takeovers are reflected well by the stock market and that market’s forecasts improve monotonically with time. Both of the mentioned works allow for a calculation of success probability using stock price data through out the announcement period (from the announcement to the resolution day) and, thus, can generate a sequence of probabilities. Regarding this matter they can be contrasted with a study of Walkling (1985) that develops a multivariate technic created for the purpose of a single estimation around the announcement date. This paper was greatly influenced by Samuelson and Rosenthal’s work and mainly follows its footsteps in the framework of methodology used to access probabilistic forecasts. and Rosenthal as well as Brown and Raymond focus only on the stock market price movements and ignore the effect of proposed acquisitions on derivatives market, options in particular. Jayamaran, Mandelker and Shastri (1991) were among the first to show that strong inferences regarding M&A activity can be drawn from option prices. Conclusion they reached is that implied volatilities for target companies increased significantly prior to the announcement, suggesting that market anticipated a takeover bid. Levy and Yoder (1993) reached the same conclusion, pointing out that option-implied standard deviations for the target firm rise drastically 3 days before the deal announcement. Adesi et al. (1994) pioneered with investigating post-announcement option volatilities to infer predictions regarding resolution date. More recent work by Wang (2009) replicates their approach to draw inferences regarding market’s assessment of the deal’s success probability. In his work he constructs a volatility ratio of the observed implied volatility to the fallback volatility that is taken as historical average and shows that for the failed deals the ratio converges to one, while for successful it does not.works that focus on option pricing in the time of the expected M&A deal include the paper by Subramanian (2004) and Martinez (2009). In their studies Subramanian develops an arbitrage-free model to price options in stock-for-stock deals, while Martinez focuses on option pricing for cash tender offers. Subramanian exploits a theoretically perfect correlation between acquirer’s and target’s stock price in stock-for-stock deals and solves the model by imposing assumptions that fallback price follows a given basket of securities and that arrival process in a Poisson process with constant intensity determines risk-neutral probability. The paper by Martinez is of particular interest due to its close relation with the topic of this paper, as the developed formula for option pricing allows recovering both, risk-neutral success probability and the fallback price. Moreover, Martinez compares estimated option-implied success probabilities to the commonly used “naïve” ones obtained using the approach of Brown and Raymond (1986) and arrives at conclusion that risk-neutral probabilities are a better predictor of offer’s outcome. and Pulvino (2001) examined risk and return in risk arbitrage and demonstrated that risk arbitrage returns are positively correlated with market returns in severely depreciating markets, but uncorrelated with market returns in flat or appreciating markets. Baker and Savasoglu (2002) reported that a diversified portfolio of risk arbitrage positions generate a modest abnormal return of 0,6%-0,9% per month and, most importantly to this study, that returns to risk arbitrage increase in ex ante prediction of completion risk. recover risk-neutral probabilities from option prices this paper follows the approach by Breeden and Litzenberger (1978) that exploits the relationship between second derivative of option price with respect to strike price and risk-neutral PDF. One of the first academic works that related this method of risk-neutral PDF derivation with approximation of CDF for specific intervals using first and second differences was the paper by Basset (1997). He used the above-mentioned non-parametric method to bind the set of probability distributions. In 2005 Gelman applied the same binding procedure to recover probability intervals for options of a target company that was undergoing an M&A and compared them with Black-Scholes probability distributions. Conclusion of his paper was that is worth noting that financial literature that studies derivation of risk-neutral probability density functions from option prices accounts for a vast amount of works. Rubenstein (1994) used the non-parametric binomial trees technique. Risk-neutral probabilities in this paper are estimated by minimizing the sum of squared deviations between risk-neutral probabilities associated with binominal stock price at maturity and the prior risk-neutral probabilities, conditioning on the restriction that generated probabilities price options and the underlying asset in such a way that they lie in the existing bid-ask spread. Jackwerth and Rubinstein (1996) further extended this approach and introduced smoothens criteria.

Model

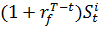
theorem of asset pricing states that in a complete market a derivative’s price should equal to the discounted expected value of its future payoff under unique risk-neutral measure. Cox and Ross (1976) showed that a European call option in continuous time could be priced as follows:

 - price of the underlying asset at time t, T=t+ - expiration date, K - strike price, -risk-free rate, - risk-neutral probability density function. shown by Breeden and Litzenberger (1978) the risk-neutral probability distribution can be recovered from the option price via differentiation. Taking the first derivative with respect to strike price yields us:

PDF properties and rearranging the equation we can express the first-order derivative as a function of the cumulative density function of the risk-neutral distribution and get a direct dependents between “exercise price delta” and risk-neutral CDF:

CDF is always less or equal to 1 it follows:

arbitrage condition then is that first derivative of the call price function with respect to strike price should be negative but greater than . In other words, price of a call should be a decreasing function of strike price, but the fall should be less or equal to the discounted value of the strike price increase.risk neutral CDF and differentiating once again will yield us PDF that is proportionate to the second derivative of option’s price to strike price:

implies that call price function is convex with respect to strike price as PDF is non-negative. Any local non-convexity would generate negative risk-neutral probabilities and would, therefore, violate the no-arbitrage condition.the above-mentioned equations the risk-neutral PDF can be easily estimated from call prices. Many different techniques have been developed to do so. Generally, these techniques can be divided into 2 different approaches. First approach is to assume PDF to be of some kind of functional form and then directly use equation 1) to fit the resulting theoretical option prices to observed ones in order to estimate the free parameters in the distribution. However, this approach is very restrictive and relies on the assumption regarding PDF distribution. Second, non-parametric approach is much more preferable. It uses equation 5) to derive risk-neutral PDF. However, strike price distribution is, in fact, not continuous. Thus, non-parametric techniques use interpolation and extrapolation to obtain continuous option pricing function and then differentiate it in order to derive risk-neutral PDF. Numerous approaches to interpolation have been developed: Shimko (1993) fitted the volatility smile with polynomials, Jackwerth and Rubenstein (1996) used quadratic approximation, Ait-Sahalia and Lo (1998) exploited kernel regressions, while Bliss and Panigirtzoglou (2002) fitted the volatility smile with cubic spline. Unfortunately, none of the above listed approaches is applicable in case of expected M&A deal due to violation of continuity of probabilities of different states and other necessary assumptions. it up, the most appropriate way to deal with strike price discontinuity in our case, as mentioned by Gelman (2005), is to approximate the derivatives through first and second differences:

that delta in strike prices is the same for both,  and . This assumption is, in fact, usually satisfied with rare exceptions for deep out-of-the-money or in-the-money options., risk-neutral CDF can be approximated as:

PDF as:



Finally, the probability of a stock price to fall into the interval between  and  at option's maturity is:

equation above provides a simple and elegant way to approximate the risk-neutral probability of the stock price to lie in a certain interval at a specified moment of time, maturity of the option. In application to expected M&A deal this approach allows us to estimate risk-neutral probability of the offer’s success. The rational behind this conclusion is as follows: if the acquisition offer is successful, target shares will trade at a price equal or very close to the offer bid before being delisted. If, on the contrary, deal was unsuccessful prices will settle at the new “fallback” level. Therefore, if we were to choose 3 options:  and  with maturity date that is close to, but after deal's resolution and strike prices such that offer price per share lies exactly between  and , we would be able to forecast the success probability and outcome of the announced deal using option-implied risk-neutral probabilities. , this approach has some serious limitations that should be mentioned. Firstly and most importantly, it requires the resolution date to be known in advance which is a rare thing in M&A announcements. Thus, for it to be practically applicable in deal outcome forecasting we will require some sort of estimate for the resolution date. Secondly, first and second difference approximation does not insure non-violation of no-arbitrage conditions. For some discretionary data we can obtain probabilities that would be negative or greater than one. In this paper this problem will be further discussed in methodology section. Moreover, we can't get the probability estimates for intervals other than  ;  which can be quite large and, thus, possibly include the fallback price that the stock settles to in case of the deal’s failure. Finally, this approach requires Target Company to have option with matching maturities and strike price that are sufficiently liquid. This limits the practical application of the method, as only a few of the potential M&A targets satisfy this criterion.

Data Selection

risk neutral samuelson Rosenthal

This work studies cash acquisitions with the announcement date falling in the period from January 2010 to December 2013. The sample is restricted to cash only takeovers in order to eliminate additional influence on the target's stock price. All of the deal data e.g. companies’ names, effective dates and offer prices were taken from Dealogic. OptionMetrics database was used to choose suitable options (i.e. options with needed maturities and strikes). Then option data e.g. prices, strikes and maturity dates were downloaded from Bloomberg. Stock prices used to access “naïve” probabilities and excess returns were also taken from Bloomberg.the above-mentioned time period Dealogic reports 19 743 corporate takeover offers where the type of payment exclusively cash. Competing offers, pending deals and partial acquisitions i.e. those with an offer for less than 80% of the outstanding shares were excluded. Sample size dropped to 2 179 deals. Then sample was further restricted to only include target companies with market value of equity higher than $ 1 bln, as they are more likely to have options traded. Deal duration (number of days until the offer either succeeded or failed) was insured to be more than 30 days in order to build in dynamics in risk-neutral probabilities estimation. The resulting sample consists of 306 deals. Significant sample size reduction shows that most of the companies acquired are relatively small and are less likely to have options traded on their stock. the criterion of OptionMetrics to have data on options traded for the target company and further insuring that there are options with fitting maturities and strike prices the sample of 164 deals was obtained that was then further used for analysis. Out of 164 deal offers 126 succeeded while 38 failed to reach agreement. Most of the target companies (approximately 97%) are U.S. companies which is not surprising due to United States having the most developed derivatives market. Median deal duration is 94 days; average duration-128 days and the longest deal took 636 days. Table 1 reports percentiles for deal durations. Table 2 a), b) summarizes information on 5 successful and 5 unsuccessful deals from the sample for which target companies are largest in market size. Price before the announcement was estimated to be a 5-day average 2 weeks prior to the announcement.

1. Percentiles for deal durations

Percentile

5%

25%

50%

75%

95%

Deal Duration

35

54

94

161

366

2 a). Information on 5 largest deals.

Target Company

Target Ticker

Acquirer Company

Target Equity Value, mln $

Anadarko Petroleum Corp

APC

BHP Billiton Ltd

44 603

Alcoa Inc.

AA

Rio Tinto plc.

27 329

Dell Inc.

DELL

Silver Lake Management LLC (MBO)

21 073

HJ Heinz Co

HNZ

Berkshire Hathaway Inc.; 3G Capital Inc.

23 576

Genzyme Corp

GENZ

Takeda Pharmaceutical Co Ltd

21 237

Goodrich Corp

GR

United Technologies Corp

16 513

Whole Foods Market Inc.

WFM

Kohlberg Kravis Roberts & Co and Bain Capital

15 947

Life Technologies Corp

LIFE

Thermo Fisher Scientific Inc.

13 641

Sara Lee Corp

SLE

JBS SA; Blackstone Group LP

13 425

Motorola Mobility Holdings Inc.

MMI

Google Inc.

12 938



Table 2 b). Information on 5 largest deals.

Target Ticker

Announcement date

Resolution date

Offer price, $per share

Target price before announcement, $ per share

Target Price, Completion Date, $ per share

Offer premium, $ per share



Success

Failure





APC

30.12.10


15.03.12

90

68,5


31,4%

AA

03.05.11


11.09.12

25,5

16,438


55,1%

DELL

05.02.13

29.10.13


13,88

12,8

13,86

8,7%

HNZ

14.02.13

07.06.13


72,5

60,7

72,49

19,5%

GENZ

14.11.10


14.03.12

82

72,18


13,6%

GR

21.09.11

26.07.12


127,5

86,76

127,48

47,0%

WFM

18.08.11


18.08.12

90

31,2746


187,8%

LIFE

15.04.13

03.02.14


76,13

71,11

76,04

7,1%

SLE

18.12.10


14.03.12

21

17,43


20,5%

MMI

15.08.11

22.05.12


40

38,13

39,98

4,9%

our sample of 164 cash tender offers with options traded on the target company. As we observe in Table 1, the length of the offer period varied significantly for the chosen sample. Thus, for the sake of comparability we consider two intervals for which risk-neutral probability forecasts will be analysed: 3 weeks after the announcement date and 3 weeks prior to deal’s resolution. For each target company a daily time-series of option bid and ask prices and stock prices were constructed for post-announcement days d=1, 2, …, 15 and pre-resolution days d=-15, -14, …, -1. Then, daily risk-neutral probability forecasts were calculated using equation 10) for the above-mentioned time period. Risk-free rate was estimated as 90 days T-bill rate. first difference approximation of risk-neutral CDF doesn’t insure that probabilities lie within the interval [0,1] the following procedure was followed: for probabilities that satisfied the [0,1] condition midpoint option price was used in calculations, for those outside the desired range - some weighted average of bid and ask price that would insure convexity of option price with respect to strike price. Weights assigned to bid and ask were conditioned to be lower than 1 to insure that chosen option price lies within bid-ask spread. Furthermore, to insure no arbitrage option prices were checked to satisfy the following bound:

 

analyse the forecasting performance of success probabilities derived from option prices Murphy’s Partition of the Brier score was used - a widely employed measure in probabilistic forecasting. For this purpose daily probability estimates were averaged to weekly and grouped in discrete categories and then observed success rate for each category was calculated. For binary events Brier score represents the standardized measure of forecasts’ mean-square error and is defined as:

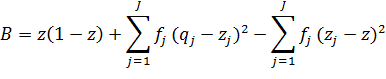
N-number of forecasts, - predicted probability of success for i-th observation, -actual outcome (1 if offer succeded, 0 if failed). Lower Brier score corresponds to more accurate forecasts. Murhpy's partition decomposes the original Brier score into 3 components: Uncertainty (or Base rate), Calibration and Resolution. The partition can be represented as:

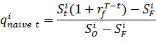
z is the success frequency for the whole sample,  - frequency of forecasts falling to probability category j,  - forecasted success frequency for category j (for example for the category that aggregates probability estimates from 0,2 to 0,3  would be 0,25), - actual success frequency for category j. The first term, or uncertainty component, is in fact, independent of the probability forecasts and simply depends on the overall probability of success. Second term measure the calibration of the forecasts, i.e. how close the probability estimates are to the ex post observed success frequencies. Perfectly unbiased forecasts would always generate  and, thus, imply calibration component equal to 0. Therefore, a reduction in calibration component, holding other things constant, would improve the Brier score. Third term represents the forecasts' resolution or, in other words, by how much the conditional probabilities given the different forecasts deviate from the sample average. The higher the resolution component, the lower the Brier score. However, there is usually a trade off between calibration and resolution components. In general, Brier score encourages forecast discrimination as long as calibration is not offset too significantly.proceed with estimating «naive» probabilities derived from stock prices and testing the hypothesis whether option-implied probabilities outperform them in terms of forecasting quality. Samuelson and Rosenthal (1986) evaluated the probability of a tender offer's as:

-price of the stock at time t, -fallback price, -offer price per share,  - future value of the stock price at the resolution date that was defined as  and  is defined as risk-free rate of return for the period starting from time t to the resolution date T.price was estimated based a sample of failed deals using OLS regression with restricted coefficients. The proposition was that fallback price can be modelled as a weighted average of the stock price before the announcement and the offer bid:

 was restricted to 0 and =1-. To eliminate the effect of potential information leakages or market fluctuations the pre-announcement price was taken as a five-day average 2 weeks before the announcement, while fallback price - five-day average 2 weeks after the resolution. both probability forecasting approaches daily predictions were gathered into weekly by taking the 5-day average and then probit regressions of the deal's outcome (was viewed as a binary event: 1 in case of success and 0 in case of failure) on both estimates jointly and separately were fitted for each week. Predictive power of risk-neutral and naïve probabilities was compared on the basis of pseudo- and significance of coefficients. research is finalized with a brief evaluation of merger arbitrage and its dependents on the option-implied probability of success. After the M&A announcement stock of the target company generally trades at a price below the one offered by acquiring company. The difference between target’s stock price and the offer price is commonly known as arbitrage spread. Merger arbitrage, or risk arbitrage, is an investment strategy that makes an attempt to profit from this spread. For cash offers the strategy is to simply buy the target’s stock and hold it until the deal’s resolution, expecting to sell it at the offer price if the offer is successful. The key feature to point out is that risk of this strategy is not linear. In case of the offer’s success investor captures the arbitrage spread, but if the deal fails he incurs a loss that is usually larger than profit that would have been obtained if the deal succeeded. Therefore, inside on the probability of the deal’s success could potentially improve the excess returns from merger arbitrage strategies. evaluate the hypothesis whether obtained risk-neutral probability forecasts have any implications regarding potential merger arbitrage profits on the stock market 4 different portfolios (featuring different share of stocks depending on their respective risk-neutral probability forecasts) were constructed using the chosen sample and their returns were compared to each other and to the chosen benchmark (returns on Hedge Fund Merger Arbitrage index) that was used in excess returns estimation.

Empirical results. Risk-neutral probability forecasts and their predictive power

For the sample of 164 deals probability of the tender offer success was calculated using equation 10 for each trading day during the chosen period of 3 weeks after the announcement and 3 weeks before the resolution (denoted as week -3, week -2 and week-1). 24 of the deals didn’t have quoted option prices through out the whole 6-week period and for 11 deals no combination of bid and ask could guarantee convexity and, thus, they were excluded from the sample. For the remaining 129 deals, out of which 100 succeeded and 29 failed weekly forecasts were calculated by taking five-day average.display the option-implied probability forecasts and gain additional inside on their predictive power each weekly forecast was assigned to one of 6 subintervals: [0.0; 0.1), [0.1; 0.2), [0.2; 0.4), [0.4; 0.6), [0.6; 0.8) and [0.8; 1). These intervals will further be referred as 0.05, 0.15, …, 0.5, 0.7 and 0.9 probability categories. Taking Statistical limitations into account, finer partition is undesirable, as it would imply weaker statistical tests. forecast distribution is shown in Figure 1. It is worth noting that successful offers make up approximately 78% of the sample. Assuming that sample is representative, we can denote this proportion as “prior” probability of success for the typical target. Thus, unsurprisingly largest proportion of forecasts fall into 0,7 category during week 1 and 2 after the announcement. However, for successful offers the proportion of forecasts in top 0,9 category increase significantly over 6 weeks (from 28% in week 1 to 43% in week -1). As expected, the exact opposite can be observed for unsuccessful deals: the share of forecasts for unsuccessful takeovers that fall into lowest probability category (0,05) increase from 20,1% in week 1 to 41,4% in week -1. Another important trend to point out is that proportion of “successes” in top 2 categories increase from 96,9% in week 1 to 100% in week -3 and onwards. All of the above may suggest that our forecast captures true probability quite well and its predictive power tend to increase when closer to resolution date.


Table 4. Brier score


Brier Score B=B1+B2-B3

P-value

Base rate B1

Calibration rate B2

Resolution rate B3

Week 1

 0,165

 0,013

 0,174

 0,063

 0,072

Week 2

 0,163

 0,0096

 0,174

 0,069

 0,081

Week 3

 0,156

 0,004

 0,174

 0,063

 0,081






Week -3

 0,135

 0,000

 0,174

 0,059

 0,099

Week -2

 0,126

 0,000

 0,174

 0,054

 0,102

Week -1

 0,126

 0,000

 0,174

 0,052

 0,101






Total 6 weeks

 0,145

 0,000

 0,174

 0,058

 0,088

4 reports weekly Brier scores featuring base rate, calibration and resolution components. Brier score monotonically decreases and the main conclusion that can be drawn is that market’s forecasting ability significantly increases as resolution date becomes closer. The interpretation of the Brier score, as mentioned by Samuelson, Rosenthal (1986), can be conveniently described as follows: a Brier score of  in terms of forecasting performance is equivalent to a probability forecast of  that is right  of the time. For example, week’s 1 Brier score of 0,165 is equivalent to a 79,2% forecast that is right 79,2% of the times. Week -3 scores an 83,9% correct forecast equivalent while week -1 is equivalent to 85,2% correct forecast.all of the weeks Brier score is substantially lower than the base rate component. If the market had used the base rate frequency of success to access all offers at 78% success probability, it would have been right only 78% of the time. By conducting a chi-squared test on a sample variance we test the hypothesis that the difference between obtained Brier score and base rate is statistically insignificant. Table 3 provides the resulting p-values, rejecting H0 of no difference at 5% significance level for all weeks and at 1% significance level for all weeks except for week 1.insight can be gathered from analysis of calibration and resolution components of Brier score, as they are the source of forecasts’ performance weekly improvement. Calibration and resolution of forecasts both improve over time, with calibration component falling while resolution component rising, on average. Brier score’s improvement, on average, is mainly driven by resolution component’s increase. Resolution component is also the source of a significant drop of the Brier score in week -3 compared to week 3. However, we observe jumps of calibration and resolution components in a 3-week post-announcement period. For week 2 calibration slightly worsens compared to week 1 and a trade off occurs between resolution and calibration that was mentioned in the methodology section. For week 3 calibration falls to the initial week 1 level, while resolution stays unchanged compared to week 2. On average, however, these effects balance in such a way that Brier score monotonically improves.well are the obtained probability forecasts calibrated? To answer this question we will analyse a break down of observed success frequencies by probability category and week presented in Table 5. Reviewing these frequencies yields a conclusion that they are highly correlated with our predicted probability estimates, but considerably greater in most cases. Under null hypothesis that  is the true success probability for tender offers falling into the j-the category number of successes follows a binominal distribution with mean  and variance . We then test this hypothesis using standard t-test against the two-sided alternative and an Unconditional Coverage test with likelihood ratio given by: . Table 5 reports p-values for both tests. Note that for category 0,7 and 0,9 success rate is 1 in most of the cases and, thus, Unconditional Coverage test is not applicable. In general, p-values are very low, rejecting the hypothesis that that  is the true probability of success for the offer falling into the respective probability category. At 5% significance level only 14 cells out of 36 for t-test and 12 out of 27 for Unconditional Coverage test cannot reject H0. Note that in our case tests provide slightly different results, rejecting H0 for different sells. Rejections are mainly concentrated in 0,3, 0,5 and 0,7 probability categories and suggest that market severely underestimates the success probability for tender offers falling into these categories. However, small sample size limits tests’ power and, therefore, we cannot treat the above-mentioned results as a definite sign of market inefficiency. Generally, we observe that risk-neutral probability forecasts tend to underestimate the true probability of success, as for nearly all entries in the table observed frequencies are higher than the option-implied probability estimates. Despite their significant predictive power, option-implied probability forecasts appear to be poorly calibrated.

5. Calibration tests

Probability category

0,05

0,15

0,3

0,5

0,7

0,9

Observed frequency







Week 1

0,25

0,18

0,63

0,86

0,95

1,00

Week 2

0,22

0,17

0,64

0,91

0,94

1,00

Week 3

0,29

0,17

0,56

0,90

0,97

1,00

Week -3

0,08

0,14

0,61

0,83

1,00

1,00

Week -2

0,08

0,13

0,64

0,80

1,00

1,00

Week -1

0,08

0,14

0,68

0,72

1,00

1,00

P-value t-test







Week 1

0,01

0,77

0,00

0,00

0,00

0,08

Week 2

0,02

0,87

0,00

0,00

0,00

0,07

Week 3

0,00

0,87

0,00

0,00

0,00

0,06

Week -3

0,60

0,96

0,00

0,00

0,00

0,05

Week -2

0,60

0,84

0,00

0,02

0,00

0,03

Week -1

0,66

0,96

0,00

0,06

0,00

0,03

P-value LR test







Week 1

0,06

0,77

0,00

0,00

0,00

N/A

Week 2

0,08

0,87

0,00

0,00

0,00

N/A

Week 3

0,04

0,87

0,01

0,00

0,00

N/A

Week -3

0,63

0,96

0,00

0,00

N/A

N/A

0,63

0,84

0,00

0,02

N/A

N/A

Week -1

0,68

0,96

0,00

0,05

N/A

N/A

verify this proposition let’s consider the output of weekly probit regressions of the deal outcome on the risk-neutral probability forecasts. Table 6 reports results of these regressions, including pseudo , coefficients and p-value of the coefficient before the probability estimate. We observe that forecasting power of the probability estimates increase significantly closer to resolution, once more, supporting the interpretation of Brier score improvement. Pseudo improves from 32,9% in the first week after the announcement to 55,1% in the week prior to resolution. However, by looking at coefficients in probit regression without intercept we can denote that they are significantly higher than one (ranging from 2,19 to 2,43 for all weeks). This finding suggest that option-implied probability forecasts, indeed, under predict the probability of a cash takeover success, supporting the insight gathered from calibration component analysis of the Brier score. substantial gap between risk-neutral probability estimates and ex post realized frequency suggests that options on target companies could be undervalued and indicates a potential to earn excess returns once an appropriate investment strategy is chosen.

6. Probit regression

 

Week 1

Week 2

Week 3

Week-3

Week-2

Week-1

Average 6 weeks

Risk-neutral probabilities (with constant)







Pseudo     

32,9%

38,1%

40,4%

53,0%

53,9%

55,1%

53,3%









P-value

0,00

0,00

0,00

0,00

0,00

0,00

0,00

Coefficient

3,96

4,41

4,65

5,55

5,26

5,61

6,37

Constant

-0,9

-1,13

-1,12

-1,48

-1,41

-1,47

-1,76

Risk-neutral probabilities (without constant)








P-value

0,00

0,00

0,00

0,00

0,00

0,00

0,00

Coefficient

2,19

2,32

2,18

2,40

2,43

2,37

2,38

Number of observations

129

129

129

129

129

129

129

Comparative analysis of option-implied and stock-implied forecasts

We continue the analysis of forecasts’ performance by comparing their predictive power with that of “naïve” probabilities derived from stock prices. Recall that “naïve” probabilities are defined, as in Samuelson and Rosenthal (1986) and given by:

-price of the stock at time t, -fallback price, -offer price per share, (T-t)-time to deal resolution, - risk-free rate for the appropriate perioda regression for a fallback price of failed deals on pre-announcement price and offer price yields the following result (standard deviation of the coefficient in parenthesis), suggesting that pre-announcement price and offer bid predict fallback price quite well:

   (0,07)

the obtained fallback price estimates into the probability formula we obtain the weekly “naïve” probability forecasts for our sample of 129 deals and then compare them with option-implied probability estimates. For many of the deals stock-implied probabilities were outside the desired [0;1] range and, thus, those deals had to be excluded from the comparative analysis. Table 7 summarizes the results (pseudo-  and p-values for coefficients) of cross-sectional probit regressions for each week and for the 6-week average. results of the comparisons are mixed. For the first 3 weeks after announcement and for the week that is 3 weeks before resolution risk-neutral forecasts generate, on average, larger pseudo , suggesting to have higher predictive power than “naïve” probabilities. However, the situation is reversed, as resolution date approaches. 2 weeks before resolution “naïve” probability estimates experience a significant jump of their predictive power and start to outperform risk-neutral probability forecasts (pseudo  of 50,3% compared to 44,4% for week -2 and 63,0% compared to 47,6% for week -1 respectively). For the average of the 6-week period risk-neutral forecasts, indeed, outperform “naïve” ones in terms of predictive quality (pseudo  of 41,8% compared to 36,8%).regression of deal outcome on both probability estimates suggest that predictive power of the model is significantly higher when both forecasts are used in combination. Both estimates tend to be significant, with the exception for week -3 and week -1 for which the hypothesis of no significance is rejected at 1% level for “naïve” and option-implied forecasts respectively. All in all, no straightforward answer on whether option-implied probabilities outperform “naïve” ones can be given. For the period right after the deal announcement option market tends to react more wisely, implying better predictive power of risk-neutral probabilities. Closer to resolution, however, stock market revises its expectations and stock price movements become more informative. But option-implied probabilities still add significant value to forecasting deal outcome, especially when used in combination with stock-implied probabilities.

3. Probit regression output

 

Week 1

Week 2

Week 3

Week-3

Week-2

Week-1

Average 6 weeks

Risk-neutral probabilities







Pseudo

23,2%

33,4%

34,7%

39,6%

44,4%

47,6%

41,8%

P-value

0,00

0,00

0,00

0,00

0,00

0,00

0,00

"Naïve" probabilities








Pseudo

24,3%

26,0%

23,7%

26,9%

50,3%

63,0%

36,8%

P-value

0,00

0,00

0,00

0,00

0,00

0,00

0,00

Joint regression Pseudo

38,4%

57,6%

48,6%

46,2%

69,0%

72,3%

59,9%

P-value "naïve" probabilities

0,00

0,00

0,00

0,04

0,00

0,00

0,00

P-value risk-neutral probabilities

0,00

0,00

0,00

0,00

0,00

0,05

0,00

Number of observations

74

73

78

86

89

89

103


Deal examples

Let’s now take a closer look at some of the deals from the sample. We first consider the bid by ConAgra to acquire Ralcorp that ultimately failed. This deal also provides an example of divergence between option-implied and stock-implied probability estimates and how it changed over time. The deal was announced on 29th of April 2011 and the stock market reacted positively, indicating 75,5% success probability for the first week after the announcement. Ralcorp shares traded at and above $86 offer bid. However, this finding contradicted the unsupportive reception of the offer by the Ralcorp’s board. In the article published by the New York Times on 4th of May it was outlined that Ralcorp commented that the offer “is not in the best interest of shareholders” and adopted a shareholder rights plan. The option market, on the contrast, showed little reaction to the announcement and risk-neutral probability of success was estimated to be 25,2%. Offer was withdrawn on 19th of September. By that time bid price was raised to $94 dollars per share. Option-implied success probability dropped to 17,2% two weeks before the withdrawal and then to 2,8% one week before the withdrawal. Stock market still over predicted the success probability, estimating it to be 51,1% two weeks before the resolution. However, during one week before the withdrawal the gap between option-implied and stock-implied probability estimates shrank with stock market indicating probability of success to be 12,4%. Daily forecasted success probabilities for post-announcement and pre-resolution periods are shown in Figure 2.acquisition of Ariba, provider of cloud-based collaborative commerce applications, by SAP AG in 2012 is the example of a successful deal for which “naïve” probability estimates outperformed the risk-neutral ones for the period of 3 weeks after the announcement. On 22th of May 2012 SAP AG, the largest maker of enterprise-applications software, announced to acquire Ariba Inc. for the price of $45 per share. This offer corresponded to 15% premium compared to average price of Ariba’s 2 weeks before the announcement. Market reacted with a price increase to $45 and the stock continued to trade approximately at the offer price for the following 3 weeks. The probability of success estimated from stock prices was 99,6%, 92,1% and 86,4% for weeks 1,2 and 3 respectively. Option market, on the contrary, didn’t react as sharply and estimated the success probability only at 63,8%, 72,8% and 77,6% for the above mentioned time periods. However, option market predictions improved significantly and converged to those of the stock market closer to resolution. One week before the resolution risk-neutral probability of success equalled to 90,5% while “naïve” method forecasted 92,0%. Figure 3 represents daily probability forecasts for both methods. Another important thing to notice is that we detect higher volatility for risk-neutral forecasts.2. Post-announcement and pre-resolution option-implied and stock-implied probabilities for Ralcorp.



Figure 3. Post-announcement and pre-resolution option-implied and stock-implied probabilities for Ariba.

arbitrage and excess returns

’s now briefly consider practical application of the obtained risk-neutral probabilities to investment decisions and merger arbitrage. Recall that merger arbitrage (for cash deals) is a strategy associated with buying target company’s stock as soon as possible after the announcement and selling it at the resolution date. We define the excess return on a portfolio of stocks  as the difference between its return and the return on Hedge Fund Merger Arbitrage index provided by HFR database. This index aggregates the performance of merger arbitrage strategies of the whole hedge fund industry and is assumed to be a benchmark that carries the comparable level of risk. Table 4 summarizes information of excess returns associated with different portfolios. Based on the chosen sample equally weighted portfolio that is comprised of stocks that exhibited option-implied probability of success above 0,6 during first week after announcement generated the return of 4,2%, compared to 0,4% return of HFRX Merger Arbitrage index (Portfolio 4). If the investor didn’t bother with analysing success probability and simply invested equal shares in all target companies after the deal’s announcement the return would have been 2,7% compared to 0,3% HFRX Merger Arbitrage index return (Portfolio 1). Thus, the excess return for “high probability strategy” exceeds the one of “simple risk arbitrage strategy” by 1,5 percentage points. Portfolios that put weights on “high probability” stocks in proportion of 2 to 1 and 10 to 1 compared to “low probability” stocks generate the excess return of 2,4% and 2,6% respectively (Portfolios 2 and 3). Thus, based on the chosen sample one can infer that the optimal strategy would be to invest in “high probability” stocks only as this strategy generates higher excess returns.

4. Excess returns for different merger arbitrage strategies.

 

Return, %

HFRX Merger Arbitrage Index return, %

Excess return, %

Portfolio 1

2,7%

0,3%

2,4%

Portfolio 2

2,7%

0,3%

2,4%

Portfolio 3

2,9%

0,3%

2,6%

Portfolio 4

4,2%

0,4%

3,8%



Conclusion and further remarks

paper contributes to literature by outlining an “easy to implement” way to estimate risk-neutral probability of a M&A deal success from option prices and conducting empirical analysis of its predictive power on the basis of a sample of cash tender offers for the period of 4 years (2010 to 2013). In conclusion, empirical study suggests that option prices embed significant predictive content for forecasting outcomes of cash acquisitions. Forecasting power of the risk-neutral probabilities increases monotonically closer to the resolution date. However, despite the above-mentioned inference risk-neutral probability forecasts appear to be poorly calibrated. Options market tends to under predict the probability of success, suggesting excess returns opportunities. The above-mentioned inference provides a starting point for further research that could focus on option market arbitrage strategies for companies that are subject to a takeover bid.

Comparative analysis of option implied and stock-implied probabilities suggest that both probability estimates are worth of consideration. For the period shortly after the announcement date stock market reacts to strongly and tends to over predict the success probability, while option market provide more accurate forecasts. Closer to deal resolution, however, stock market adjusts and “naïve” stock-derived probabilities become better estimates than risk-neutral ones. Additionally, combination of stock market and option market probability forecasts outperform models based on isolated information from either of the markets. All of the above suggests that proposed method for risk-neutral probability estimation could be of use in relation to deal outcome prediction, especially when used together with other probability estimating models. basic analysis of excess returns associated with merger arbitrage reveals that on the basis of the chosen sample a portfolio of high risk-neutral success probability stocks generate a slightly higher excess return than a simple “invest in all” portfolio. This empirical finding provides a vast area for further research. For example, the study could extend to determine the optimal portfolio weights that should be assigned to stocks depending on their option-implied success probability. in all, risk-neutral probability estimates obtained in this paper could serve as a starting point for analysis of arbitrage strategies in both, derivatives and stock market. It should be also mentioned, however, that probabilistic forecasts’ estimation and testing, especially of those that rely on option market, put many restriction on the sample data and have, indeed, limited area of application.

References


1)      Ait-Sahalia, Y., Lo A., 1998. Non-parametric estimation of state-price densities implicit in financial asset prices, Journal of Finance 53, 499-547.

)        Ait-Sahalia, Y., Lo A., 2000. Non-parametric risk management and implied risk aversion, Journal of Econometrics 94, 9-51.

)        Ait-Sahalia, Y., Wang Y., Yared F., 2001. Do option markets correctly price the probabilities of movement of the underlying asset?, Journal of Econometrics 102, 67-110.

4)      Baker, Malcolm, and Serkan Savaşoglu, 2002, Limited arbitrage in mergers and acquisitions, Journal of Financial Economics 64, 91-115.

)        Barone-Adesi, Giovanni, Keith C. Brown, and W.V. Harlow, 1994. On the Use of Implied Volatilities in the Prediction of Successful Corporate Takeovers, Advances in Futures and Options Research, 7, 147-165.

)        Barraclough, Kathryn, David T Robinson, Tom Smith, and Robert E Whaley, 2013. Using option prices to infer overpayments and synergies in M&A transactions, Review of Financial Studies 26, 695-722.

)        Basset, Gibert W. Jr., 1997. Nonparametric bounds for the probability of future prices based on option values, IMS Lecture Notes - Monograph Series, 31.

)        Bliss, Robert R., and Nikolaos Panigirtzoglou, 2002.Testing the stability of implied probability density functions, Journal of Banking and Finance 26, 381-422.

)        Breeden, D., Litzenberger, R., 1978. Prices of state-contingent claims implicit in option prices. Journal of Business 51, 621-651.

)        Brown, Keith C., and Michael V. Raymond 1986: Risk Arbitrage and the Prediction of Successful Corporate Takeovers, Financial Management, 15, 54-63.

)        Cao, Charles, Zhiwu Chen, and John M. Griffin, 2005, Informational Content of Option Volume Prior to Takeovers, Journal of Business, forthcoming.

)        Cox, J.C., Ross, S.A., 1976. The valuation of options for alternative stochastic processes. Journal of Financial Economics 3, 145-166.

)        Gelman, S., 2004. Dynamics of target stock price by mergers and acquisitions under uncertainty of the deal completion. Presentations Journal of the Joint Conference of the European Economic Association and Econometric Society European Meeting (temporary electronic publication; http://www.eeaesem2004.org)

)        Gelman, S., 2005. Do option prices support the subjective probabilities of takeover completion derived from spot prices? (electronic publication; eb.econ.ku.dk/fru/conference/Programme/Saturday/E4/Gelman_2paper_v14.pdf)

)        Jackwerth, Jens C., and Mark Rubinstein (1996): Recovering Probability Distributions from Option Prices, Journal of Finance 51, 1611-1631.

)        Jaymaran N., Mandelker G., Shastri K., 1991, Market anticipation of merger activities: An empirical test, Journal of Managerial and Decision Economics 12, 439-448.

)        Levy H., Yoder J.A., 1993. The behaviour of option implied standard deviations around Merger and Acquisition announcements, The Financial Review 28, 262-272.

)        Martinez V. H., Rosu I., Bester A.C., 2009. Option pricing on cash mergers, (electronic publication; http://www.hec.unil.ch/documents/sem_ibf/Rosu.pdf)

)        Mitchell, Mark, and Todd Pulvino, 2001, Characteristics of risk and return in risk arbitrage, The Journal of Finance 56, 2135-2175.

)        Murphy Allan H., 1973. A new vector partition of the probability score, Journal of Applied Meteorology 12, 595-600

)        Rubinstein, Mark, 1994. Implied binomial trees, The Journal of Finance 69, pp.771-818

)        Samuelson, William, and Leonard Rosenthal, 1986. Price Movements as Indicators of Tender Offer Success, Journal of Finance 41, 481-499.

)        Shimko, David, 1993. Bounds of probability RISK 6, 33-37.

)        Subramanian, Ajay, 2004. Option Pricing on Stocks in Mergers and Acquisitions, Journal of Finance 59, 795-829.

)        Walkling, Ralph A, 1985. Predicting tender offer success: A logistic analysis, Journal of Financial and Quantitative Analysis 20, 461-478.

)        Wang, Louis, 2009. Implied volatilities in Mergers and Acquisitions, Wharton Research Scholars Journal, April 2009, dissertation paper.

Похожие работы на - Predicting completion of cash acquisitions using option implied risk-neutral probabilities

 

Не нашли материал для своей работы?
Поможем написать уникальную работу
Без плагиата!
Без нейросетей!