Financial bubble

  • Вид работы:
    Реферат
  • Предмет:
    Эктеория
  • Язык:
    Английский
    ,
    Формат файла:
    MS Word
    50,5 Кб
  • Опубликовано:
    2016-02-14
Вы можете узнать стоимость помощи в написании студенческой работы.
Помощь в написании работы, которую точно примут!

Financial bubble

Table of contents

Introductiondescription of methods and key figures of financial bubblesliterature and the contentmethods of predicting financial bubbles

Introduction

subject of this research is the prediction of «financial bubbles». bubble is such a phenomenon on the financial market, when the assessments of people exceed the fair price. If this phenomenon is considered graphically, it could be characterized by a sharp deviation of course of good up from historical trend with the following collapse. This phenomenon could be recognized only by analyzing the market data, which makes the financial bubbles being very hard to predict. However, there are some typical features of occurrence of financial bubbles, due to which they could be distinguished from an ordinary rise of a price. There are two types of financial bubbles, which are necessary to separate. The first type occurs due to attempts to eliminate the lack of financial package. The second one appears, on the contrary, when there is an assurance that some sector would be successful, and investments, which are put in this sector, effect oppositely.theme is chosen because nowadays there are no effective methods of predicting and preventing the financial bubbles. There are different diverse perceptions and methods, based on previous observations, which can show some suspicious trends on markets. However, the state of the market could not be estimated only by analyzing share prices, because the information about the activity of different companies is mostly classified. theme has become significantly relevant during the last two decades. This might happen due to the fact that nowadays more and more stock-jobbers (speculators), who have the access to the market, earn on the differences in prices, which leads to the «swinging» of the market. In addition to this, it should be mentioned that during this period two financial bubbles took place: the USA subprime mortgage bubble (crisis) and, so called, the dot-com bubble.

The purpose of this research is to examine and to analyze comprehensively methods of predicting the emergence of financial bubbles, as well as figuring out the ways of development this methods.is also necessary to solve the following problems:

         To examine the financial bubble from the point of time series analysis;

         To examine the structure and the causes from the point of the institutional analysis;

         To work out methods of predicting and their use in different situations;

         To draw a conclusion concerning these methods and to structure the information.this moment, it is difficult to find particular methods of predicting the emergence of financial bubbles in the literature, since the topic is variable and there are many factors which begin to appear and influence the current system. That is why, it is necessary to keep the relevance of collected base of predicting methods, as well as enriching this base with new and developed methods. In connection to this, the problems, which are being solved in this research, would be of great current interest and new.paper (draft) describes the theoretical base of the future research, explains the basic definitions and operations taking place in the market. Moreover, it gives the full description of analysis tools and their applicability to the stated problems. Then, there is given a review of used literature on this topic, which is followed by the detailed plan of the research with the description of each item.

The description of methods and key figures of financial bubbles

paper examines several approaches as to the predicting of financial bubbles as well as to the process of their occurrence. The basic two approaches are mathematical and institutional. Mathematical approach is necessary to search regularities, the reasons of occurrences and general features of financial bubbles. In this case, the entire model would be strictly mathematical, and the market would be considered only as the time series. On the other hand, institutional approach describes all the factors from the point of causes and consequences. This allows to make the approach of reasons of financial bubbles’ occurrence more comprehensive, which provides at the same time the ability to predict this phenomenon in more detail.of all, it is necessary to analyze financial bubbles from the point of institutional analysis. This means that it should be defined what influences on their occurrence. In this paper it is supposed that there are two types of «bubbles», which both occurs under the influence of a single factor - moral hazard.first type of the bubbles appears because of the attempt of eliminating the lack of financing. The second one occurs, by contrast, when some sector is believed to be successful, so all the money is invested in it, because it is considered to be the best investment at the moment. first case takes place when an agent borrows money for the further operation, but practically all the investments go to cover the previous debts. There are a lot of examples of this case when an absolutely legitimate organization becomes a kind of financial pyramid. Often this happened to the states. As a matter of fact, investors were sure in the timely assistance of the state’s economy by the IMF, in which they invested their money. However, the assistance had not been provided, which, consequently, led to the fact that states were forced to declare a default. However, if the investors had not been sure in the assessment of the IMF, they would not have invested the money, so there would not have been the main prerequisite for financial pyramid to have appeared. In such a way, yet being with debts the new investments would be borrowed on covering these debts, but the economy would be still in its normal state. In this particular case, it is the moral hazard, which leads the situation to occurrence of a financial bubble. The state, which is confident in the support in any situations, especially if its economy is greatly important for the world economy as a whole, takes the support for granted, because the funds are often spent inefficiently. That is why the funds, aimed at the recovery of the economy, are rarely directed to the appropriate sectors and thereby the government is forced to borrow more money to cover the expiring debts. second case is caused by the other situation, which is characterized by the occurrence of «bubbles» under favorable conditions. In the other words, this could be defined as speculative bubble. Usually the emergence of such a bubble is connected with the overrated expectations of investors. It should be mentioned that such bubbles occurs generally on new markets that is followed by the fact that future income is overestimated. Investors are confident in the success of an exact sector and the rates jump up, but after certain events there comes a moment of frustration and rates fall to a minimum. Such bubbles have several stages. The first stage, so called sample, lies in the fact that the first invested companies show good figures. The second stage or the beginning of the bubble happens after a while, when there is an assurance in the benefits of investments. The euphoria is the third stage, during which there is an active speculation on the market, which leads to the increase of shares prices by several times. All these stages are usually followed by quit conditions and, as a result of unrealized expectations, the bubble crashes. The main reason of this phenomenon, according to the institutional analysis, is also the moral hazard. The investors’ risks lie only on the companies whose shares are traded on markets. In addition to this, it is necessary to consider not only the stock market, but the situation in general and prices on the market. the financial bubble is considered from the point of view of mathematical models, it is the excess of the market value of assets over their fundamental value. This means that the asset at the moment of the bubble costs much more dividends for the period of time than other ordinary asset in relation to the dividend for the same period of time. Thus, it is possible to win on such an asset in two cases, firstly, if the price increases, the asset should be sold, and secondly, if investors ' expectations are satisfied, so that dividends reach the necessary level. There are three types of investors. The first type is those, who hold assets and earns on dividends from these assets. The second type of investors speculates asset and makes a profit on the price difference. The third type does not adhere to specific strategies and only follow the market trends. Moreover, the third type is the irrational part of investors, who only stronger swing the market. The second type supports the trends of the third type and, by this, increases the tendency in order to earn money on the difference.

Rational investors own the asset, mainly with the purpose of reception of dividend income. They compare in each moment of time the current value of the asset with its fundamental value. Following this, the expectation of rational investors can be represented as follows:

financial bubble price market

E1(Pt+1)=Pt+λ(P*−Pt)+εt

λ - Parameter, which characterizes the speed of adjustment of the current price of the asset to its fundamental value;

εt - normally distributed random variable, which characterizes the influence ofnews shocks on the expected value of the asset,,

εt ~ N (0,σ 2 ) , it is important to mention, that the random variable characterizes changes particularly in the expectations, but not in the actual cost of an asset.

Pure speculators focus mainly on reception of income from capital gains, while believing that the other participants of the market have similar settings. It is profitable for speculators to maintain the current market trend. Their expectations could be represented as follows:

E2(Pt+1)=Pt+ AMOUNTS wi(Pt-i-Pt-i-1)+εt

> 0 - coefficients, which characterize the sensitivity to past changes in prices, and decrease as remoteness of a past moment of time. Noise traders do not build their own expectations. They make their actions in the market on the basis of the aggregate actions of the other participants. In other words, they are oriented on the dominant trend in making the decisions. In each period these are the rational investors and speculators, who make the first actions, and only then the noise traders do. Dynamics of the asset is set by cumulative actions of all three types of investors with the significant dependence on the values of exogenously specified parameters. this case, the proposed model allows stimulating the dynamic of the asset course considering both rational and behavior components in the actions of investors. Besides, an important role is played by the influence of different news shocks, which allow stimulating so called «contagious crisis» and stimulating the impact on the dynamics of the value of the assets, on changes of ratings of borrowing capacity of the states and others. on the conditions of occurrence of financial bubbles and their further dynamics it is possible to separate the following kinds of bubbles.first group is speculative bubbles, which could also be called as traditional or non-rational. In this case the asset is acquired because the investor expects further rise of prices, but his expectations are not based on objective changes in the fundamental figures. second group is rational bubbles. In most studies, which are based on the rational expectations theory, a general definition is contained: a rational bubble is the difference between the market price and the price, which is based on the fundamental components.is the most common approach, in which the bubble is determined on the basis of the efficient market hypothesis (EMH). Moreover, this approach is used in most of the surveyed further variants of the empirical tests for the presence of the bubble.us consider the determination of stock profitability in the period t + 1

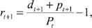
 (1),

where r t+1 - is the share profitability in a future period, which equals the ratio of revenues from shares in a future period, which consist of dividends to be paid d t+1 and income from the sale of shares at end of period p t+1 minus the share price in the base year, to the value of the shares in the base year Pt.


 (2)

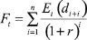
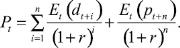
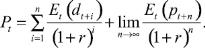
Thus, the share price is determined by discounting of the expected future cash flows - dividends and share value when selling in the future. the conditions of uncertainty the share price would depend on as the expected dividends and the value of the sale, as well as expected profitability. To indicate the expected values of a given indicator on the basis of all the information available in period (T - Ωt), the measure of conditional mathematical expectations Et(...) would be used.

Let us write the formula (2) with the use of conditional mathematical expectations:

 (3)

Formula (3) is the base for determining the fundamental value of the share, from which it begins the consideration of the bubbles on the stock market in a number of works, such as: Leroy (LeRoy, 2004), Schiller (Shiller, 1981, 2000), Watson (Watson, 1981), 'dib, Grossman (Diba, Grossman, 1983), Evans (Evans, 1991).formula is based on the following assumptions:

running assumption of rational expectations;

the absence of asymmetric information;

investors are risk-neutral;

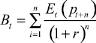
level of profitability is constant and does not vary in time., the formula (3), which determines the value of the asset at time t, could be presented taking into account the requirements listed above, where profitability (r) is constant in time.

 (4)

subsequent periods of time the equation (4) could be written as follows:

 (5)

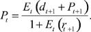
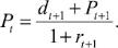
(5) consists of two components: the first one represents the discounted amount of future dividends, and the second is the expected discount value of the sale shares in the future.the theory of rational bubbles the components of the price of the shares are separated as follows:

 

part of the price, which is determined by fundamental factors;

 - bubble-component

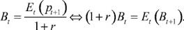
, the value of a share is a simple sum of the fundamental value and a part of the bubble. The general solution of these equations could be represented as follows:observed (current) price of the asset = fundamental value + a rational bubble. More precisely this equation could be expressed as:

= Ft + Bt. (6)

is obvious that the rational bubble is always a part of the price of the shares.the expression (6) is substituted instead of the Pt in the formula (4), using the definition of a fundamental component and a bubble, the equation (7) will be obtained, which shows that the bubble is growing at a rate r.

 (7)


 (8)

The aspiration of the n in infinity limit tends to zero, and, accordingly to this, the bubble-component disappears, and the stock price at time t is determined only by the dynamics of dividend.(8) shows that the current price of the asset in any period is determined by the current fundamental factors of the period and the supposed gain or loss of capital depending on the condition of the asset until the next period. This reflects the rational expectations, as the expectation is the mathematical expectation of change of the price of an asset, based on all currently available information.

The literature and the content

theme of the future research is the predicting the financial bubbles. It will consist of three main parts. The first part is the theoretical one and it will describe the well-known basic information and the methods which will be used during the work on this paper.

In the second part, the all relevant information about the forecasting of financial bubbles will be collected. This will help in assessing the effectiveness and finding the optimal path of the detection of bubbles in the third part. The main methods of forecasting will be provided on the basis of the works on forecasting of financial bubbles in Russia based on the system of cyclical indicators of the Development Center, leading indicators for the system of Forni, Hallin, Lippi&Reichlin and diffusion indices. All of this is described in the article by Demidov, Oleg (2008). “Different indexes for forecasting economic activity in Russia,” Quantile, No.5, pp. 83-102.

In addition to this, various methods used in the forecasting will be discussed, such as the index of skyscrapers, or the methods applied in the United States, which were described in Lux, T. Herd Behaviour, Bubbles and Crashes // Economic Journal, 1995,

Two methods of predicting financial bubbles

order to support the economy of the country and to prevent the occurrence of the next crisis, it is necessary to be able to identify when and where the bubble could inflate, and mostly important, how it will deflate and what it will be followed by. The sharp rise and fall of prices could eventually lead to the collapse, which would be followed by a crisis period. The first financial bubbles described by historians and economists were known as tulipomania which took place in the XVII - th century in Netherlands, and the excitement for South Sea Company in 1720 -s in England. In each historical period the bubble inflation was connected with the «financialization», which is the accumulation of the excess capital and shifting of the directions of its investments to the production sphere in the direction of financial markets and speculation. In many countries of the world the «financial bubbles» inflate and blown away constantly. All this can lead to another crisis, and that is why analysts analyze markets every day, provide different kinds of forecasts, trying to do everything possible to prevent negative consequences. following are two types of predicting the financial bubbles. One of them is based on the mathematical judgments, and the other one is just conformity. order to represent the calculations in this paper, the methods of fractal analysis would be the mathematical apparatus of this work. The processes of accumulation of a crisis potential in the foreign exchange market were studied with the help of the method of exclusion trends (Detrended fluctuation analysis, further - DFA), allowing to establish the dependence of the current value of the study variable from the previous ones. Method DFA is a well-known mean of research of relationships in the time series, and has been successfully applied in various scientific fields (physics, medicine, etc.). As an indicator, calculated by the method of DFA and describing the interdependence between the values of the variable in different periods of time, it is used index Peng (fractal).is proved by the methods of mathematical analysis that if the index Peng stock index (the exchange rate and etc.) takes the value of 1.5, the increment in the appropriate time series are independent among themselves, and the market is in an efficient state. In other words, it is in the state, which excludes the possibility of deriving profit from speculative activities on it. The deviation of the index Peng of the value of 1.5 in larger (smaller) sides testifies the positive (negative) correlations of data that means the inefficiency of the financial market.the economic point of view, a significant and longstanding deviation of the index Peng stock index (the exchange rate etc.) from the value of 1.5 on the big side can be interpreted as an increase of the speculative «bubble» in the market, characterized by euphoria among economic agents (the optimistic mood of market participants). It should be mentioned that the economic agents more guided by short-term interests and motives of profit than the long-term strategy of productive output.reverse case (i.e. when the index Peng significantly less than the value of 1.5 a) corresponds to a situation in which economic agents are not sure about the prospects for the further growth of the financial market (pessimistic mood). As a result, the market may increase the volatility of financial indicators, which increases the uncertainty of the functioning of not only the financial sector, but also the industrial process is undermined by the possibility of long-term strategic planning, requiring significant expenses for insurance of risks, etc.). , a significant deviation of the index Peng of the value of 1.5 indicates the presence of a crisis potential economic system.the one hand, financial bubbles could be defined in the mathematical way that is a fairly reliable method; however, on the other hand, no mathematical model could give all the details, so the financial bubbles are being tried to predict from the various parties.the identification of different financial bubbles at the present time a great number of complex models has been created, and a lot of different parameters are also used, starting with the curiosities of human behavior and ending with ornithology. In his latest analysis Barclays Capital presented to the general public Skyscraper Index, which indicates the still unfavorable correlation between the highest buildings in the world, located in the stage of readiness, with the subsequently following economic crisis. The study confirmed the hypothesis that the construction of such buildings coincides in time with the present manifestation of the crisis, the scope of which, to some extent, is determined by the height and the number of such buildings.material for confirmation of correctness of Index skyscrapers is enough. The highest building of its time 40 Wall Street and the Chrysler Building were built in the first years of the great depression of the 1930s, which also marked the end of the boom that followed the First World War. The buildings of the early 1970s, One World Trade Centre, Two World Trade Centre and The Sears Tower coincided in time with the period of the large-scale currency speculating, the collapse of the Bretton woods system, and the economic recession of the world economy, followed by the raising of the OPEC oil prices. The appearance of the highest building in the world in Kuala Lumpur of the Petronas Towers (1997) that was made for the first time outside the United States marked a serious economic crisis in Asia, as well as the collapse of the financial systems of the region. The highest building of all times - the Burj Khalifa, was built in October 2009 in Dubai, i.e. in fact, during the recent economic recession. Fortunately, at the present time there is being built no building, able to compete with the Dubai skyscraper. However, according to the Barclay’s theory, it should not be limited to only a height of buildings, but it is also necessary to take into account the number of the buildings, which are in the stage of construction. Here and now the attention should be paid to China, which is showing signs of overheating. At present in China, it has been built 53% of all the skyscrapers of the world, and the total number of skyscrapers in the country will grow for the next six years by 87%. It is also India, which causes anxiety by planning to build the second tallest skyscraper in the world to 2016-th year, which will be called the Tower of India.

Conclusion

conclude, the problem, which is considered in this paper, is extremely relevant in modern conditions. The frequency of crises in various countries increases, as well as the number of bubbles in different markets does, but new crises have not been able to avoid because of absence of sufficient knowledge base and targeted well-timed action. That is why this direction will be developed over a long term of years.availability of this work is also as high as its relevance. This work can be helpful not only to economists of the Central Bank, but also to the investors, who want to evaluate the state of the market, in which it is planned to invest. Thus the study of this area brings to the market players rationality, thereby increasing public wealth.

Похожие работы на - Financial bubble

 

Не нашли материал для своей работы?
Поможем написать уникальную работу
Без плагиата!
Без нейросетей!