Процедуры для проверки многих гипотез о симметрии знаков доходностей на рынке
Оглавление
Введение
Глава
1. Постановка задачи работы
Глава
2. Класс элептических распределений
Глава
3. Процедура Холма
Глава
4. Несмещенность и тест структуры Неймана
Глава
5. Построение индивидуальных гипотез и индивидуального теста
Глава
6. Построение теста для одновременной проверки многих гипотез о симметрии
знаков доходностей на рынке
Глава
7. Экспериментальные результаты. Анализ полученных результатов
7.1
Американский фондовый рынок
.2
Российский фондовый рынок
Заключение
Список
использованной литературы
Приложения
Введение
Многомерное нормальное распределение долгое
время служит в качестве стандартной модели для статистического анализа
многомерных наблюдений. В частности, нормальное распределение используется для
моделирования распределения доходностей акций фондового рынка. Вместе с тем,
реальные наблюдения показывают, что "хвосты" распределения
доходностей являются более тяжелыми, чем это предусмотрено гаусовской моделью.
Поэтому в качестве модели распределения доходностей используются и другие
распределения, такие как многомерное распределение Стьюдента, многомерное
распределение Коши [1].
Многие из этих распределений относятся к классу
распределений, плотности которых постоянны на многомерных элипсоидах. Этот
класс включает в себя, в частности, многомерное нормальное распределение,
многомерное распределение Стьюдента, многомерное распределение Коши,
многомерное распределение Лапласа, а так же и некоторые другие устойчивые
распределения.
С другой стороны в [2] было показано, что
распределение доходностей акций фондового рынка, вообще говоря, не относится к
классу элептических. Однако, это не исключает возможность выполнения некоторых
свойств данного класса распределений, полезных при построении соответствующих
статистических процедур. Такие процедуры зависят от способа анализа фондового
рынка как сложной многомерной системы. Одно из таких направлений анализа
связано с использованием сетевых моделей. Этот подход предполагает визуализацию
фондового рынка с помощью представления характеристик акций (доходность, объем
продаж, ликвидность и т.д.) как вершин, соединенных ребрами, веса которых
пропорциональны некоторой мере связи между поведением характеристик акций.
Обычно в качестве меры связи между вершинами графа используется коэффициент
корреляции Пирсона [3], [4], [5], [6]. Как правило такие полные взвешенные
графы получаются очень большими, что затрудняет их анализ. Общепринятым
подходом является идентификация некоторых сетевых структур, которые содержат
максимально возможную информацию о всей сети. Одной из таких структур является
граф рынка, или отсеченный граф, предложенный в [4]. Схема построения графа
рынка сводится к построению простого подграфа полного взвешенного графа, в
котором оставляются только те ребра, вес которых больше заданного порога.
Реально построение графа рынка осуществляется на
основе наблюдений. В настоящей работе предполагается, что эти наблюдения
являются выборкой из распределения случайного вектора, который описывает
вершины графа. Поэтому такие процедуры должны рассматриваться как
статистические процедуры выбора одного из многих решений. Известно, что
статистические процедуры, основанные на коэффициенте корреляции Пирсона,
обладают хорошими свойствами для нормального распределения. Учитывая
неадекватность этой модели реальным данным, в последнее время появились работы,
в которых используются другие меры близости. В частности, в [7] используются
вероятность совпадения знаков. На основе этой меры можно построить оптимальную
статистическую процедуру идентификации графа рынка в знаковой сети. Достаточным
условием оптимальности этой процедуры является одновременное выполнение
следующих свойств.
Во-первых, условие равенства вероятностей
попарно положительных и отрицательных доходностей акций (попарно положительные
доходности - в некоторый момент времени
две
рассматриваемые акции имеют положительные доходности, попарно отрицательные
доходности - в некоторый момент времени
две
рассматриваемые акции имеют отрицательные доходности).
Во-вторых, равенства вероятностей попарно
разнознаковых доходностей (вероятность, что в некоторый момент времени
одна
из акций имела положительную доходность, а другая отрицательную, и наоборот).
Основной целью работы является построение
процедуры для совместной проверки индивидуальных гипотез о равенстве
вероятностей совпадения и несовпадения знаков случайных величин и проверка
адекватности достаточного условия оптимальности процедуры идентификации графа
рынка в знаковой сети экспериментальным данным. Следует подчеркнуть, что в
работе не проверяется гипотеза согласия распределения из класса элептических
экспериментальным данным, а проверяется лишь одно из свойств этого
распределения. Для проверки этого свойства используется современные методы
одновременной проверки многих статистических гипотез.
В данной работе будут решены следующие задачи:
) Построение равномерно наиболее мощного
критерия в классе несмещенных для проверки индивидуальных гипотез о симметрии
знаков доходностей на фондовом рынке.
) Построение процедуры для проверки
многих гипотез о симметрии знаков доходностей на рынке.
) Применение построенной процедуры для
совместной проверки индивидуальных гипотез о равенстве вероятностей совпадения
и несовпадения знаков доходностей по экспериментальным данным.
) Анализ полученных результатов.
Глава 1. Постановка задачи работы
Введем некоторые обозначения. Пусть
число
анализируемых акций фондового рынка и
число
дней наблюдений над каждой из акций Для анализа данных используются
логарифмическая доходность финансовых инструментов.
Пусть
обозначает
цену инструмента
,
в
день
,
.
Тогда
определяет логарифмическую доходность
инструмента
за однодневный
период с
до
.
Используя доходности акции, зададим следующие
вероятности попарных совпадений знаков их доходностей:
-
в некоторый момент времени
две
рассматриваемые акции имеют положительные доходности.
-
в некоторый момент времени
две
рассматриваемые акции имеют отрицательные доходности.
-
в некоторый момент времени
первая
рассматриваемая акция имеет отрицательную доходноть, а другая акция имеет
положительную доходность.
-
в некоторый момент времени
первая
рассматриваемая акция имеет положительную доходность, а другая акция имеет
отрицательную доходность.
Будем предполагать, что для любого
справедливо
,
,
и
.
Для постановки задачи работы определим следующие
две пары общих гипотез:
.
Требуется по выборке построить тест проверки
каждой пары гипотез и тест одновременной проверки всех гипотез на заданном
уровне значимости
.
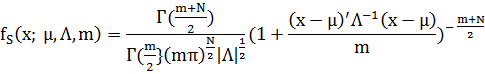
Глава 2. Класс элептических распределений
Элептические распределения включают в себя, в
частности, многомерное нормальное распределение, которое в последнее время
используется как стандартная модель для статистического анализа многомерных
данных. Этот класс распределений может быть использован для моделирования
вектора
доходностей
акций.
Класс элептических распределений задается
следующей функцией[8]:
,
где
положительно
определенная матрица, а
, и
Данный класс, в часности, включает в себя
многомерное нормальное распределение, которое имеет плотность
А так же многомерное распределение Стьюдента,
которое имеет плотность
И их совместное распределение с плотностью
Предполагается, что вектор
известен,
в этом случае можно считать, что
.
Анализ задачи работы подразумевает рассмотрение
попарного поведения доходностей акций на фондовом рынке. Это ведет к
рассмотрению двумерных элептических распределений. Тогда плотность функции
распределения для вектора
будет иметь вид
, где
Из уравнений, очевидно, что для пары
справедливо
следующие равенство:
Из данного равенства следует выполнение свойства
симметрии знаков доходностей для класса элептических распределений.
Глава 3. Процедура Холма
Для совместной проверки гипотез
и
следует
использовать процедуру Холма[9].
Алгоритм включает в себя максимум
этапов,
в каждом из которых одна из индивидуальных гипотез
отклоняется
или все оставшиеся гипотезы принимаются. Процедура выглядит следующим образом:
· Этап
.
Упорядочим в порядке возрастания
рассматриваемых
индивидуальных
тестов и пусть
заданы нулевые гипотезы
.
· Этап
.
Если
Тогда принимаем все
и
процедура Холма останавливается. Если
Тогда отвергаем гипотезу
, тест продолжается
для оставшихся
гипотез на уровне
значимости
.
· Этап
.
Если
, но
Тогда принимаем
и
процедура Холма останавливается. Если
,
но
.
Тогда отвергаем
и
гипотезы, тест продолжается для оставшихся
гипотез
на уровне значимости
.
· …
· Этап
.
Если
,
,
,
но
Тогда принимаем
и
процедура Холма останавливается. Если
,
,
,
но
Тогда все
гипотез
отвергаются и процедура Холма останавливается.
Таким образом, процедура Холма позволяет
контролировать вероятность хотя бы одного отвержения верной гипотезы на уровне
при
любом числе верных гипотез.
Глава 4. Несмещенность и тест структуры Неймана
Пусть
плотность
экспонециального семейства
Пусть гипотезы заданы следующим образом:
где
зафиксированно.
Тогда параметер
из (2) называется
информационным или структурным параметром, а остальные
называются
мешающими параметрами[9],[10].
Тогда оптимальным несмещенным тестом для заданных гипотез будет
где
и константы
находятся
из слудующих уравнений
где функция
является
плотностью условного распределения распределения статистики
,
которая является представителем функций экспонециального семейства и
является
уровнем значимости теста. Для симметричных распределений достаточно одного
уравнения из
и
для
нахождения констант
.
Тест, удовлетворяющий уравнениям
и
, является тестом
структуры Неймана. Этот тест характеризуется тем фактом, что условная
вероятность отвержения гипотезы
(в предположении,
что гипотеза
верна) равна
заданному уровню значимости
.
Глава 5. Построение индивидуальных гипотез и
индивидуального теста
Задача работы состоит в одновременной проверке
гипотез
и
.
Каждая из указанных гипотез состоит из
пар
индивидуальных гипотез:
,
.
Определим следующие функции
И тогда для всех
справедливы
тождества
,
и
.
Полученные статистики обозначают частоту
совпадения знаков для каждой пары
и
на
всем рассматриваемом временном периоде.
Следует заметить, что для всех
переменные
,
,
,
явлются
независимыми.
Для каждой пары
и
верны
следующие равенства
и
.
Тогда
имеет
биномиальное распределение.
Биномиальное распределение является
распределением экспонециального семейства. Тогда исследуемое распределение в
экспонециальной форме будет иметь следующий вид.
Это означает, что равномерно наиболее мощный
критерий в классе несмещенных тестов для проверки одной из индивидуальных
гипотез в (5) будет иметь следующий вид:
где
и
определяются
с помощью следующих уравнений
Таким образом, определяется критическая область
и область принятия для каждой из гипотез:
Для того чтобы найти
и
в
(6) при заданном уровне значимости
,
определим условное распределение.
.
Мы имеем
Таким образом, распределение
имеет
общий вид
биномиального
распределения. Следует заметить, что данное распределение не зависит от
параметра
, то есть
полученное распределение зависит только от двух параметров
.
В предположении о том, что гипотеза о равенстве вероятностей верна, то есть
и
,
получаем, что
. Таким образом
получаем, что распределение
имеет общий вид
биномиального
распределения.
Используя биномиальное распеределение параметров
,
можно найти
и
с
помощью следующих формул:
где известны вероятность
,
и
Глава 6. Построение теста для одновременной
проверки многих гипотез о симметрии знаков доходностей на рынке
Для построения теста для проверки многих гипотез
о симметрии знаков доходностей на рынке используем процедуру Холма, описанную
ранее в Главе 3.
Процедура основана на последовательной проверке
p-значений
индивидуальных
гипотез, образующих общую гипотезу, с константой, зависящей от параметра
,
вероятности хотя бы одного отвержения верной гипотезы.
Пусть заданы слудующие две пары общих гипотез:

.
Каждая пара(нулевая и альтернативная гипотезы)
состоит из
пар
и
индивидуальных
гипотез, для которых
,
известны.
Пусть
,
тогда
для
каждой пары гипотез
можно найти, используя биномиальное
распределение
,
:
Если
Если
где известны
,
и
.
Процедура Холма для проверки индивидуальных
гипотез о равенстве вероятностей совпадения и несовпадения знаков зависимых
случайных величин, выглядит следующим образом:
· Этап 0. Упорядочим в порядке
возрастания p-значения
рассматриваемых
индивидуальных
гипотез и пусть
заданы гипотезы
. Пусть параметер
задан.
· Этап 1. Если
Тогда принимаем все
и
процедура Холма останавливается. Если
Тогда отвергаем гипотезу
,
тест продолжается для оставшихся
гипотез
на уровне значимости
.
· Этап 2. Если
, но
Тогда принимаем
и
процедура Холма останавливается. Если
, но
Тогда отвергаем
и
гипотезы,
тест продолжается для оставшихся
гипотез
на уровне значимости
.
· …
· Этап
.
Если
,
,
,
но
Тогда принимаем
и
процедура Холма останавливается. Если
,
,
,
но
Тогда все
гипотез
отвергаются и процедура Холма останавливается.
Таким образом построенная процедура позволяет
контролировать вероятность хотя бы одного отвержения верной гипотезы на уровне
при
любом числе верных гипотез.
Глава 7. Экспериментальные результаты. Анализ
полученных результатов
Эксперименты проводились по данным фондовых
рынков Америки и России. Под данными подразумевается цены акций фондового рынка
за несколько дней.
Данные о ценах акций были взяты из открытых
источников - сайта инвестиционной компании "Финам" и сайта
"yahoo finance".
Для каждой из стран данные анализировались
следующим образом. Рассматривался весь анализируемый период целиком, далее
период делился на более мелкие подпериоды последовательно, например, по 500
дней 2 периода, по 200 дней 5 периодов, и по 100 дней 10 периодов соответствено.
Далее будут приведены эксперементальные
результаты применения построенной процедуры для проверки свойств симметрии
знаков доходностей акций фондового рынка.
7.1 Американский фондовый рынок
Для анализа Американского рынка использовались
данные из
акций за
года
с
по
.
После применении процедуры для первой пары гипотез
при
были
получены следующие результаты.
Таб. 1. Количество отвергнутых гипотез
для
различного интервала наблюдений
|
1000
|
500
|
200
|
100
|
|
29
|
1
|
1
|
0
|
|
|
|
2
|
|
|
0
|
0
|
|
|
|
0
|
|
|
0
|
0
|
|
0
|
|
0
|
|
|
0
|
0
|
|
|
|
0
|
|
|
0
|
0
|
|
|
|
0
|
Таб. 2. Акции, для которых гипотезы
были
отвергнуты.
|
1000
|
500
|
200
|
100
|
|
23,
27, 28, 31, 35, 46, 48, 49, 51, 58, 73, 77, 88, 99
|
31,
51
|
31,
51
|
0
|
|
|
|
31,
51, 77
|
|
|
0
|
0
|
|
|
|
0
|
|
|
0
|
0
|
|
0
|
|
0
|
|
|
0
|
0
|
|
|
|
0
|
|
|
0
|
0
|
|
|
|
0
|
Где в таблице Таб. 1. первая строка - размер
выборки исследуемых данных, последующие строки - количество отвергнутых гипотез.
В Таб. 2. указаны номера акций, для которых
индивидуальные гипотезы
были отвергнуты,
т.е. свойство симметрии не было выполнено.
Рис. 1. Граф акций, образующих отвергнутые
гипотезы, для
дней.
Рис. 2. Граф акций, образующих отвергнутые
гипотезы, для первых
дней.
Рис. 3. Граф акций, образующих отвергнутые
гипотезы, для первых
дней.
Рис. 4. Граф акций, образующих отвергнутые
гипотезы, для второго периода из
дней.
На Рис. 1.-Рис. 4. построены графы
соответствующие Таб. 2. Вершинами графа являются акции, а под связью
(проведенное ребро в графе) подразумевается отвержение соответствующей
индивидуальной гипотезы
для каждой пары
акций.
На Рис. 1.-Рис.
4 показаны лишь те номера акций, которые образовали эти связи.
Следует обратить внимание на акции компаний под
номерами
,
при удалении которых пропадают все связи в графе на Рис. 1, т.е. все гипотезы о
симметрии знаков доходностей на фондовом рынке для рассматриваемого периода
дней
будут приняты.
Для оставшихся 3 периодов, где наблюдается отвержение гипотез, для принятия
всех гипотез о симметрии доходностей на фондовом рынке достаточно лишь удаления
акции
на
Рис. 2.-Рис.
4.
Акции на
Рис.
1.-Рис.
4. относятся
к
следующим
компаниям:
23 - CVS Caremark, 27 - Diageo, 28 - The Walt Disney Company, 31 - Enterprise
Products Partners L.P.; 35 - GlaxoSmithKline, 46 - Eli Lilly and Company, 48 -
Lloyds Banking Group PLC, 49 - McDonald's Corporation; 51 - Altria Group Inc.,
58 - Novartis, 73 - Sumitomo Mitsui Financial Grp, Inc., 77 - AT&T Inc, 88
- UnitedHealth Group Inc., 99 - Wal-Mart.
Таким образом, при удалении акций под номерами
гипотезы
о совпадении знаков доходностей на фондовом рынке Америки принимаются при любом
рассмотренном интервале наблюдений.
Рассмотрим проверку гипотезы
при
заданном
.
Таб. 3. Количество отвергнутых гипотез
для
различного интервала наблюдений
|
1000
|
500
|
200
|
100
|
|
1
|
7
|
1
|
0
|
|
|
|
0
|
|
|
1
|
0
|
|
|
|
20
|
|
|
0
|
0
|
|
0
|
|
0
|
|
|
0
|
0
|
|
|
|
0
|
|
|
0
|
0
|
|
|
|
0
|
Таб. 4. Акции, для которых гипотезы
были
отвергнуты.
|
1000
|
500
|
200
|
100
|
|
45,
51
|
4,
12, 31, 45, 51, 54
|
31,
51, 81
|
0
|
|
|
|
0
|
|
|
45,
87
|
0
|
|
|
|
4,
9, 12, 38, 39, 43, 45, 48, 54, 74, 78, 82, 86, 87
|
|
|
0
|
0
|
|
0
|
|
0
|
|
|
0
|
0
|
|
|
|
0
|
|
|
0
|
0
|
|
|
|
0
|
Аналогично предыдущему случаю, в таблице Таб.
первая строка - размер выборки исследуемых данных, последующие строки -
количество отвергнутых гипотез. В Таб. 4. указаны номера акций, для которых
индивидуальные гипотезы
были отвергнуты,
т.е. свойство симметрии не было выполнено.
Рис. 5. Граф акций, образующих отвергнутые
гипотезы, для
.
Рис. 6. Граф акций, образующих отвергнутые
гипотезы, для первых
дней.
Рис. 7. Граф акций, образующих отвергнутые
гипотезы, для первых
дней.
Рис. 8. Граф акций, образующих отвергнутые
гипотезы, для второго периода из
дней.
Рис. 9. Граф акций, образующих отвергнутые
гипотезы, для четвертого периода из
дней.
фондовый рынок граф гипотеза
На Рис.5.-Рис.9. построены графы
соответствующие Таб. 4. Под связью (проведенное ребро в графе) подразумевается
отвержение соответствующей индивидуальной гипотезы
.
На Рис. 5.-Рис. 9. показаны лишь те номера акций, которые образовали эти связи.
Следует обратить внимание на акции компаний под
номерами
в
графах на Рис. 5.-Рис.
7., при удалении которых пропадают все связи в соответствующих графах, что
ведет к принятию всех гипотез
для
рассматриваемых периодов на Рис. 5.-Рис. 7. В оставшихся графах на Рис.
8.,
Рис. 9.
достаточно удаления акций под номерами
для
принятия всех гипотез
.
Акции на
Рис.
5.-Рис.
9. относятся
к
следующим
компаниям:4
- American International Group Inc., 9 - Bank of America Corp, 12 - Barclays,
38 - Honeywell, 39 - HSBC, 43 - JP Morgan Chase & Co, 45 - China Life
Insurance Company Ltd., 48 - Lloyds Banking Group PLC, 54 - Morgan Stanley, 74
- Sinopec Corp., 78 - Toronto-Dominion Bank, 82 - Total, 86 -Unilever plc; 87 -
Unilever N.V.
Таким образом, при удалении акций под номерами
гипотезы
о несовпадении знаков доходностей на фондовом рынке Америки принимаются при
любом рассмотренном интервале наблюдений. Следует заметить, что акции под
номерами
,
удаление которых приводит к принятию всех гипотез
для
всех рассматриваемых периодов, фигурируют в графах акций, образующих
отвергнутые гипотезы
, на Рис.8.-Рис.10
Рассматривая в совокупности результаты по
принятию гипотез
и
для
фондового рынка Америки, в целом можно сказать, что анализируемые свойства о
симметрии знаков доходностей на Американском рынке выполняются. Если из анализа
исключить акции под номерами
гипотезы
и
будут
приняты для всех пар на всех рассматриваемых периодах.
2.2 Российский фондовый рынок
Для анализа Российского рынка использовались
данные из
акций за
года
с
по
.
После применении процедуры для обеих пар гипотез
при
были
получены следующие результаты.
Таб. 5. Количество отвергнутых гипотез
для
различного интервала наблюдений.
|
1000
|
500
|
200
|
100
|
|
2498
|
1171
|
884
|
716
|
|
|
|
316
|
|
|
434
|
542
|
|
|
|
203
|
|
|
700
|
350
|
|
2263
|
|
517
|
|
|
1071
|
340
|
|
|
|
932
|
|
|
2074
|
1390
|
|
|
|
1983
|
Таб.6. Количество отвергнутых гипотез
для
различного интервала наблюдений.
|
1000
|
500
|
200
|
100
|
|
0
|
0
|
0
|
0
|
|
|
|
0
|
|
|
0
|
|
|
|
0
|
|
|
0
|
0
|
|
0
|
|
0
|
|
|
0
|
0
|
|
|
|
0
|
|
|
0
|
0
|
|
|
|
0
|
Где в таблице Таб. 5., Таб. 6. первая строка -
размер выборки исследуемых данных, последующие строки - количество отвергнутых
гипотез
в
Таб.5. и количество отвергнутых гипотез
в
Таб. 6.
По полученным таблицам можно сделать следующие
выводы. Гипотеза о симметрии разнознаковых доходностей акций принимается на
любых рассматриваемых периодах данных между каждой из пар акций. Что нельзя
сказать о гипотезах о равенстве вероятностей попарно положительных и
отрицательных доходностей акций. В таком случае, нельзя сказать, что свойства
симметрии знаков доходностей на фондовом рынке России выполняются, так как для
первых пар гипотез это неверно. На каждом из рассматриваемых периодах
отвергается как минимум 5% гипотез.
Заключение
В работе построена многошаговая статистическая
процедура со многими решениями для одновременной проверки гипотез о симметрии
вероятностей совпадения знаков зависимых случайных величин, в частности:
1. Построены равномерно наиболее мощные в
классе несмещенных тесты структуры Неймана для проверки индивидуальных гипотез
о равенстве вероятностей совпадения и несовпадения знаков зависимых случайных
величин.
2. Построена многошаговая процедура Холма
для одновременной проверки многих индивидуальных гипотез о симметрии знаков для
всех компонент случайного вектора, гарантирующая фиксированную вероятность хотя
бы одного ложного отвержения гипотезы о наличии симметрии.
Построенная процедура применена к анализу
реальных данных о 100 акциях, полученных с Американского фондового рынка за
период с
по
и
о 100 акциях с Российского фондового рынка за период с
по
при
различных вариантах выбора интервалов анализа.
Для фондового рынка Америки показано:
1. Гипотеза симметрии
(равенства
вероятности совпадения знаков) не противоречит наблюдениям за
парой
акций (при общем числе пар акций 4950), при любом рассмотренном интервале
наблюдений.
2. Наблюдения над
парами
акций противоречат гипотезе симметрии
. Построен граф этих
пар
акций. Сделан вывод, что если убрать
акции,
то гипотеза симметрии
будет приниматься
для всех пар акций при любом рассмотренном интервале наблюдений.
3. Гипотеза симметрии
(равенства
вероятности не совпадения знаков) не противоречит наблюдениям за
пар
акций, при любом рассмотренном интервале наблюдений.
. Наблюдения над
парами
акций противоречат гипотезе симметрии
.
Построен граф этих
пар акций. Сделан
вывод, что если убрать
акции, то гипотеза
симметрии 2 будет приниматься для всех пар акций при любом рассмотренном
интервале наблюдений.
5.
акции фигурируют в графах акций, образующих отвергнутые гипотезы симметрии 1 и
отвергнутые гипотезы симметрии 2. Сделан вывод, что если убрать
акций,
то гипотезы симметрии
и гипотезы
симметрии
будет приниматься
для всех пар акций при любом рассмотренном интервале наблюдений.
Для фондового рынка России показано:
. Гипотеза симметрии
(равенства
вероятности совпадения знаков) отвергается как минимум для 5% пар акций при
любом рассмотренном интервале наблюдений.
. Гипотеза симметрии
(равенства
вероятности совпадения знаков) принимается для всех пар акций при любом
рассмотренном интервале наблюдений.
Таким образом, можно сделать следующий вывод. В
целом,
анализ реальных данных не противоречит гипотезе симметрии. Однако, для
небольшого числа пар акций, обращающихся и на Американском и на Российском
рынках, гипотеза симметрии отвергается.
Список использованной
литературы
1.
Shiryaev A.N. Essential of stochastic finance. Facts, Models, Theory. / A.N.
Shiryaev. - Adv. Ser. Statist. Sci. Appl. Probab., 3 River Edge, NJ: World
Scientific. - 2003. - 834 p.
2.
Chicheportiche R. The joint distribution of stock returns is not elliptical /
Remy Chicheportiche, Jean-Philippe Bouchaud // International Journal of
Theoretical and Applied Finance. - 2012. - V. 15. - I. 3. - P.
1250019-1-1250019-23.
3.
Mantegna R.N. Hierarchical structure in financial markets / R.N. Mantegna //
The European Physical Journal B - Condensed Matter and Complex Systems. - 1999.
- V. 11. - P. 193-197.
.
Pardalos P.M. On Structural Properties of the Market graph / V. Boginski, S.
Butenko, P.M. Pardalos // Innovations in financial and economic networks. / ed.
by Nagurney A. - Edward Elgar Publishing, 2003. - P. 28-45.
.
Boginski V. Mining Market Data: A Network Approach / V. Boginski, S. Butenko,
P.M. Pardalos // Computers and Operations Research. - 2006. - V. 33. - P.
3171-3184.
6.
Tumminello M.A Tool for Filtering Information in Complex Systems / M.
Tumminello, T. Aste, T. Di Matteo, R.N. Mantegna // Academy of Sciences of the
United States of America. - 2005. - V. 102. - No. 30. - P. 10421-10426.
7.
Bautin G.A. Simple measure of similarity for the market graph construction /
G.A. Bautin, V.A Kalyagin, A.P. Koldanov // Computational Management Science. -
2013. - V. 10. - I. 2-3. - P.105-124
8.
Anderson T.W. An introduction to multivariate statistical analysis / T.W.
Anderson. - John Wiley & Sons, Inc. New York., 2003. - 721 p.
9.
Lehmann E.L. Testing Statistical Hypotheses / E.L. Lehmann, Joseph P. Romano. -
Springer + Science+Business Media, Inc., 2005. - 784 p.
.
Lehmann, E.L. A general concept of unbiasedness / E.L. Lehmann. - Ann. Math.
Stat. - 1951. - 22. - P.
587-597.
.
Официальный сайт инвестиционного холдинга "Финам" [Электронный
ресурс]. - Режим доступа: http://www.finam.ru/, свободный. - Загл. с экрана.
.
Официальный сайт "yahoo finance" [Электронный ресурс]. - Режим
доступа: http://www.finance.yahoo.com/market-overview/, свободный. - Загл. с
экрана.
Приложения
Приложение 1
Программа, рассчитывает количество отклоненных
гипотез для данных по фондовому рынку Америки и выводит номера акций,
образующих отклоненные гипотезы.
clc;;('D:\article\programm\prepared_data.mat');=
100;= 100;= zeros(n - 1, number);
%counting the returnsi = 1:(n - 1)j
= 1:number(i, j) = log(p(i + 1, j)/p(i, j));
%r is matrix n*number of returns= 500;=
zeros(number, number);= returns(501:1000, :);= zeros(number, number);
%counting the sign matrixj =
1:(number - 1)i = (j + 1):numberk = 1:n((returnss(k, i) < 0) &&
(returnss(k, j) >= 0))(i, j) = sign(i, j) + 1;((returnss(k, i) < 0)
&& (returnss(k, j) >= 0))(j, i) = sign(j, i) + 1;
%r is matrix n*number of returns=
number*(number - 1)/2;= zeros(1, N);= 1;j = 1:(number - 1)i = (j + 1):number=
sign(j, i) + sign(i, j);= 1/2^k;(sign(j, i) < sign(i, j))m = 1:(sign(j, i) -
1)= 1;r = 1:m= b * (k - r + 1)/(2 * r);= sum + b / (2^(k - m));m = 1:(sign(i,
j) - 1)= 1;r = 1:m= b * (k - r + 1)/(2 * r);= sum + b / (2^(k - m));(1, index)
= 2 * sum;= index + 1;
[Y, I] = sort(pValue);= 0;= 1;=
0.1;(flag == 0)(Y(M) < (alpha/(N - M + 1)))= M + 1;= 1;
M-1(1, 1:M-1);
Приложение 2
Программа, рассчитывает количество отклоненных
гипотез для данных по фондовому рынку России и выводит номера акций, образующих
отклоненные гипотезы.
clc;;= 1001;=
100;('D:\article\programm\russian_data.mat');= zeros(n - 1, number);
%counting the returnsi = 1:(n - 1)j
= 1:number(i, j) = log(p(i + 1, j)/p(i, j));
%r is matrix n*number of returns=
500;= zeros(number, number);= returns(501:1000, :);= zeros(number, number);
%counting the sign matrixj =
1:(number - 1)i = (j + 1):numberk = 1:n((returnss(k, i) < 0) &&
(returnss(k, j) >= 0))(i, j) = sign(i, j) + 1;((returnss(k, i) < 0)
&& (returnss(k, j) >= 0))(j, i) = sign(j, i) + 1;
%r is matrix n*number of returns=
number*(number - 1)/2;= zeros(1, N);= 1;j = 1:(number - 1)i = (j + 1):number=
sign(j, i) + sign(i, j);= 1/2^k;(sign(j, i) < sign(i, j))m = 1:(sign(j, i) -
1)= 1;r = 1:m= b * (k - r + 1)/(2 * r);= sum + b / (2^(k - m));m = 1:(sign(i,
j) - 1)= 1;r = 1:m= b * (k - r + 1)/(2 * r);= sum + b / (2^(k - m));(1, index)
= 2 * sum;= index + 1;
[Y, I] = sort(pValue);= 0;= 1;=
0.1;(flag == 0)(Y(M) < (alpha/(N - M + 1)))= M + 1;= 1;
M-1(1, 1:M-1);
Приложение 3
Список компаний фондового рынка Америки
Нью-Йоркской фондовой биржи(NYSE), которые анализировались в данной работе
|
1
|
ABB
|
ABB
Ltd
|
|
2
|
ABBV
|
AbbVie
Inc.
|
|
3
|
ABT
|
Abbott
Laboratories
|
|
4
|
AIG
|
American
International Group Inc.
|
|
5
|
AMX
|
América
Móvil
|
|
6
|
AXP
|
American
Express Co
|
|
7
|
AZN
|
AstraZeneca
|
|
8
|
BA
|
Boeing
Co.
|
|
9
|
BAC
|
Bank
of America Corp
|
|
10
|
BBL
|
BHP
Billiton
|
|
11
|
BBVA
|
Banco
Bilbao Vizcaya Argentaria
|
|
12
|
BCS
|
Barclays
|
|
13
|
BHP
|
BHP
Billiton Limited
|
|
14
|
BMY
|
Bristol-Myers
Squibb
|
|
15
|
BNS
|
Scotiabank
|
|
16
|
BP
|
BP
plc
|
|
17
|
BUD
|
Anheuser-Busch
Companies, Inc
|
|
18
|
C
|
Citigroup
Inc
|
|
19
|
CAT
|
Caterpillar
Inc
|
|
20
|
CHL
|
China
Mobile
|
|
21
|
CL
|
Colgate-Palmolive
Co.
|
|
22
|
COP
|
ConocoPhillips
|
|
23
|
CVS
|
CVS
Caremark
|
|
24
|
CVX
|
Chevron
|
|
25
|
DCM
|
NTT
docomo
|
|
26
|
DD
|
DuPont
|
|
27
|
DEO
|
Diageo
|
|
28
|
DIS
|
The
Walt Disney Company
|
|
29
|
DOW
|
Dow
Chemical
|
|
30
|
E
|
Eni
|
|
31
|
EPD
|
Enterprise Products Partners L.P.
|
|
32
|
F
|
Ford
Motor
|
|
33
|
GE
|
General
Electric Co.
|
|
34
|
GS
|
Goldman
Sachs
|
|
35
|
GSK
|
GlaxoSmithKline
|
|
36
|
HD
|
Home
Depot
|
|
37
|
HMC
|
Honda
|
|
38
|
HON
|
Honeywell
|
|
39
|
HSBC
|
HSBC
|
|
40
|
IBM
|
International
Business Machines
|
|
41
|
ITUB
|
Itau
Unibanco Holding SA
|
|
42
|
JNJ
|
Johnson
& Johnson Inc
|
|
43
|
JPM
|
JP
Morgan Chase & Co
|
|
44
|
KO
|
The
Coca-Cola Company
|
|
45
|
LFC
|
China Life Insurance Company Ltd.
|
|
46
|
LLY
|
Eli
Lilly and Company
|
|
47
|
LVS
|
Las
Vegas Sands Corp.
|
|
48
|
LYG
|
Lloyds
Banking Group PLC
|
|
49
|
MCD
|
McDonald's
Corp
|
|
50
|
MMM
|
3M
Company
|
|
51
|
MO
|
Altria
Group
|
|
52
|
MON
|
Monsanto
|
|
53
|
MRK
|
Merck
& Co.
|
|
54
|
MS
|
Morgan
Stanley
|
|
55
|
MTU
|
Mitsubishi UFJ Financial Group Inc
|
|
56
|
NKE
|
Nike
|
|
57
|
NTT
|
Nippon
Telegraph and Telephone
|
|
58
|
NVS
|
Novartis
|
|
59
|
ORCL
|
Oracle
Corporation
|
|
60
|
OXY
|
Occidental
Petroleum Corp.
|
|
61
|
PBR
|
Petrobras
|
|
62
|
PEP
|
Pepsico
Inc.
|
|
63
|
PFE
|
Pfizer
Inc
|
|
64
|
PG
|
Procter
& Gamble Co
|
|
65
|
PM
|
Phillip
Morris International
|
|
66
|
PTR
|
PetroChina
|
|
67
|
RIO
|
Rio
Tinto
|
|
68
|
RY
|
Royal
Bank of Canada
|
|
69
|
SAN
|
Banco
Santander-Chile
|
|
70
|
SAP
|
SAP
|
|
71
|
SI
|
Siemens
|
|
72
|
SLB
|
Schlumberger
|
|
73
|
SMFG
|
Sumitomo Mitsui Financial Grp, Inc.
|
|
74
|
SNP
|
Sinopec
Corp.
|
|
75
|
SNY
|
Sanofi
|
|
76
|
STO
|
Statoil
|
|
77
|
T
|
AT&T
Inc
|
|
78
|
TD
|
Toronto-Dominion
Bank
|
|
79
|
TEF
|
Telefónica
|
|
80
|
TLK
|
Telkom
Indonesia
|
|
81
|
TM
|
Toyota
Motor Corp
|
|
82
|
TOT
|
Total
|
|
83
|
TSM
|
Taiwan Semiconductor Mfg. Co. Ltd.
|
|
84
|
TWX
|
Time
Warner Inc
|
|
85
|
UBS
|
UBS
|
|
86
|
UL
|
Unilever
plc
|
|
87
|
UN
|
Unilever
N.V.
|
|
88
|
UNH
|
UnitedHealth
Group Inc.
|
|
89
|
UNP
|
Union
Pacific Corporation
|
|
90
|
UPS
|
United
Parcel Service, Inc.
|
|
91
|
USB
|
U.S.
Bancorp
|
|
92
|
UTX
|
United
Technologies Corp
|
|
93
|
V
|
Visa
Inc.
|
|
94
|
VALE
|
Vale
SA
|
|
95
|
VZ
|
Verizon
Communications Inc
|
|
96
|
WAG
|
Walgreens
Boots Alliance Inc
|
WBK
|
Westpac
Banking Corp
|
|
98
|
WFC
|
Wells
Fargo
|
|
99
|
WMT
|
Wal-Mart
|
|
100
|
XOM
|
Exxon
Mobil Corp
|