Agrarian relations and land rent

  • Вид работы:
    Курсовая работа (т)
  • Предмет:
    Эктеория
  • Язык:
    Английский
    ,
    Формат файла:
    MS Word
    365,99 Кб
  • Опубликовано:
    2016-01-04
Вы можете узнать стоимость помощи в написании студенческой работы.
Помощь в написании работы, которую точно примут!

Agrarian relations and land rent

CONTENT

INTRODUCTION1. THEORETICAL FOUNDATIONS OF AGRARIAN RELATIONS IN UKRAINE

.1      The essence of agrarian relations: economic structure and specificity

.2      The land rent, land price as a capitalized rent

.3      History of the formation of agricultural sector of Ukraine, its reforms2. GENERAL ESTIMATION OF MODERN CONDITION OF AGRARIAN-INDUSTRIAL COMPLEX OF UKRAINE

.1      Assessment of the investment attractiveness of AIC of Ukraine

.2      The present state of the agricultural sector of Ukraine3. DIRECTIONS OF IMPROVEMENT OF AGRICULTURAL DEVELOPMENT IN UKRAINE

.1      Agrarian reform in Ukraine: the present status and current tendencies

.2      Problem of improving the investment climate in the agricultural sector of the Ukrainian economy:

INTRODUCTION

's transition to a market economy requires in the agro-industrial complex development of new approaches to agricultural policy aimed at forming food security, priority development of agriculture, a radical restructuring of economic, social and legal relations in agriculture, freedom of entrepreneurship and competition.of the main reserves of growth of agricultural production effectiveness is sustainable use of the main means of production - land. Therefore, investments in agriculture must first be used for conservation lands, improving soil fertility, which should cause agricultural productivity growth and, in particular, the establishment of sustainable animal fodder base.of theme caused by importance and priority of agriculture in today's socio-economic development at the global level as well as in Ukraine and transformation processes in the national economy, the need to reform the national economy.purpose of the course work is rationalization of theoretical ambushes of reforming and development of land relations in agriculture.the course work:

·        are considered the theoretical propositions about the nature of land relations and their development in agriculture with the selection of effective forms of use and management of land resources;

·        is provided justification for the principles of economic regulation of property relations of land in agriculture with the principles of market economy;

·        described the main directions on the improved functioning of land lease relations in the agricultural land use;

·        submitted proposals for the establishment and development of agricultural land markets with a view to its effective functioning.

CHAPTER 1.      THEORETICAL FOUNDATIONS OF AGRARIAN RELATIONS IN UKRAINE

1.1 The essence of agrarian relations: economic structure and specificity

agrarian sector is a specific branch of production and life. Its foundation is the direct use of the capacity and resources of nature with its laws and conditions. Agrarian sphere inherent special agrarian relations, which are in complex interaction with the existing system of social and economic relations [1, p.9].

There are differences in the content of the concept "agricultural relations". Different theoretical schools differently reveal the essence of agrarian relations and patterns of development. This is due to the complexity of this concept and the fact that existing practical problems affect the development of determination of the content of agrarian relations.scientists believe that the essence of agrarian relations is determined exclusively by the land owning, since this form of the property is land rent, the agrarian relations are reduced to a rent relations connected with the land [2].view: agrarian relations - one of the most important aspects of industrial relations in different socio-economic formations over the use of land and other natural resources.economists believe that agrarian relations should be seen in broad and narrow sense. In the first case, agrarian relations identified with system of land relations in agriculture and other sectors of agriculture; in the second case, agrarian relations identified with land relations .is no complete or single definition of land relations in Ukrainian scientific literature. Mostly the term can be found in the context of land ownership, land use and land management issues. It often concerns land fund management, rent relationships, social, economic and productive relationships, etc. Thus, the context of land relations comprises a wide range of issues which have both an economic and legislative character. It is not difficult to notice that the categories of land ownership fall under land relations. Thus, it is not so strange that most scientists closely connect changes and developments in land relations with changes and developments in social and economic formations. In Ukraine, land relations are variously known as primitive, slave owning, feudalistic, capitalistic, socialistic and post-socialistic. The socialist period - because of its long duration - and post-socialistic land relations are the most interesting in this respect.land relations are characterized by the nationalization of land, which includes collective land ownership, collective organization of work and, as a rule, equal division of the results of work. According to the socialist policy, it is prohibited to trade land plots.formulation of land relations appeared in Ukrainian economic literature after political pressure had loosened regarding the implementation of different forms of land ownership (including private ownership) [3, p.12].socialistic land relations are pre-determined by a number of features. Among them the following can be emphasized: Privatization of land; definition of land share borders for each member of the collective farm; development of a stable economy based on co-operation between collective organisation of work and private property on land and other means of production; promotion of private interests in efficient agricultural production; development of land trade, etc.relations is a special system of economic relations in the society on land ownership, land use and agriculture, as well as on the production, distribution, exchange and consumption of agricultural products [4, p.44].sphere of agrarian relations are not only social production relations of agricultural enterprises, but also relationships within them. Therefore, it is important to distinguish agrarian relations into two types. The first type is limited by agricultural branch, while the second type is extended to the entire system of economic relations, arising in society about the appropriation and use of land and other means of production in all agriculture.manufacturing process, manufacturing operations in the agricultural sector is closely intersect with the natural processes. The main economic resources (factors) of agricultural production are:

·        people;

·        lands, animals, plants;

·        technical means of production.to these factors, there are two groups of objective laws in agriculture:

·        natural biological;

·        socio-economic laws.to the fact that the economic processes in the agricultural sector is closely intersect with the natural processes, there are a number of features of agricultural production:

·        climatic conditions, soil structure, biological factors affect productivity and determine the riskiness and volatility of agriculture. The same quantity and quality of expended labor may be represented in different numbers of products depending on these factors;

·        natural and climatic factors are determine a special rhythm of agricultural production, its seasonal nature, which creates seasonal fluctuations of workers' employment and of production;

·        there are features in the use of technology, financing and income generation of farms due to the seasonal nature of production. To perform agricultural work is necessary to have a full set of equipment, but it is used for a certain season, and at other times it is idle;

·        the final amount of incomes in agriculture is generated only at the end of the year after the realization of production (especially in farming);

·        the level of concentration of production is largely determined by the size of lands, their productivity and the intensity of using;

·        specialization of production is due primarily to geographic and climatic factors;

·        effective use of land is possible with a rational combination of agricultural industries, compliance with biologically based crop rotations.

·        a large part of output is consumed within households, without taking the commodity form. Therefore, in the agricultural sector persist longer natural types of production and income;

·        large dependence of the results of production on weather conditions require the creation of insurance funds in substantial holdings for droughts, floods and other natural disasters to ensure a continuous process of reproduction. The creation of such insurance funds is not necessary in other sectors of the economy where natural factor does not affect or hardly affects the results of management [5, p.62].basis of agrarian relations are relations that arise between people on the use of agricultural land and other natural resources. The essence of agrarian relations is to provide a direct link between the employee and the elements of nature, which are used, especially land.is the main and nonrenewable mean of production in agriculture. The distribution of land between classes and social groups in different economic systems determines the nature of agrarian relations.nature of agrarian relations is determined primarily by the form of land ownership as the main means of production. This is due to the special role of land as the main means of production in the agricultural sector. Ownership of the land as an economic category reveals the historical form of appropriation of land as means of production and nature.the nature agrarian relations are:

·        relations for the direct implementation of agricultural activities (production of food, raw materials and food of plant and animal origin, processing and sales of products, services of agrochemical, ameliorative, technical, financial and other character);

·        relations concerning management (including organization) business activities at the level of individual agricultural enterprise (farm organizational relations) and at the national level (the relationship between agricultural enterprises and government agencies that regulate agriculture);

·        vertical, in which one of the participants is the management body, including the property owner or authorized body.type of agricultural activity agrarian relations are:

·        relations in animal husbandry sector;

·        relations in crop production;

·        relations in the agro-industrial service [5, p.65].presence of different forms of land ownership and land use is the basis of stratification agriculture. The world practice shows that the agricultural sector effectively operate various size and ownership types of enterprises: small, medium and large, based on full ownership of land, partial ownership and lease; family farms, agricultural cooperatives and corporations. They all have the same rights in relations with the state, other agricultural and non-agricultural enterprises and organizations.of subjects of agrarian relations are the basis of economic relations in the sector. These subjects come into economic relations not only between themselves but also with other industries and society as a whole. Thus, agrarian relations is part of the overall system of economic relations of society.of economic relations in the agricultural sector are:

·        the state;

·        agricultural enterprises, cooperatives, companies, peasant associations;

·        individual manufacturers (farmers, family and individual farms).important component of agrarian relations in the broadest sense is a farm relationship between land owners and land users. All agricultural enterprises of different ownership should operate on the basis of commercial calculation, that correlate their market prices and production costs, to ensure a sufficiently high level of profitability to be able to carry out expanded reproduction [6].essence of land relations, which have developed in our country at the present stage of development, can not be considered in isolation from the reform of the agricultural sector, because they form the basis of land ownership and land use.

agrarian relation rent investment

1.2    The land rent, land price as a capitalized rent

the emergence of land ownership arises the corresponding form of revenue. This revenue is land rent. Land rent is unearned income that gets the landowner. Land rent is an economic form of implementation of land ownership. Therefore, new forms of rent appear with the change of ownership relations.is the transfer of income from a farmer to the owner of land for the use of land. There are 3 main types of land rent. They are presented in the Figure 1.1.

Figure 1.1. Types of land rent

rent, under capitalism, is additional profit which arises as the result of the expenditure of labor on the average and better portions of land or as a result of increasing productivity of supplementary capital investments and which is appropriated by the landowner; one of the forms of land rent generated by the monopoly in land as a factor of the capitalist economy. Its source is the amount by which surplus value created by the labor of hired agricultural laborers exceeds average profit; this surplus arises as a result of higher productivity of labor on comparatively superior plots of land (more fertile land, lands closer to the place of sale, or lands in which additional capital has been invested).are two forms of differential rent:

·        differential Rent I;

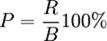
·        differential Rent II.Differential Rent I is connected to differences in the fertility and location of plots of land. The individual production price of a unit of agricultural produce that comes from a better portion of land turns out to be lower, because with other conditions being equal the labor applied to more fertile soil is more productive and because expenditures for the delivery of agricultural goods to the market are lower for lands situated relatively closer to the market. Agricultural goods are sold, meanwhile, on the basis of the social price of production, which in agriculture expresses the social value of these goods and which is determined by the conditions of production on the poorer plots of land.situation arises because the quantity of land is limited, and the agricultural produce created only on the comparatively superior lands is insufficient to meet the social demands for this produce: the market also demands the produce created on the average and poorer lands. Capitalist farmers operating on the better and average lands sell their produce at market prices and receive additional profits, which, on the basis of the rights of property in land, are appropriated by the landowner (regardless of whether the owner is a private individual or a capitalist state) in the form of differential rents. Historically, this form of differential rent arose earlier than the second form; it grows with the development of extensive agriculture and also as industrial centers and the system of communications develop.source of the first form of differential rent is the supplementary net income received as a result of the higher productivity of labor on land that is superior in terms of fertility and location. Since comparatively poorer lands must also be brought into agricultural circulation in order to increase overall production and satisfy social demand, it is essential that planned pricing take into account the compensation of expenditures and the receipt of the necessary profits by farms using such lands; otherwise the profit-based incentives to cultivate these lands would be undermined. Kolkhozes and sovkhozes utilizing average and superior lands receive supplementary income in the form of the difference between the social price and the individual value of a unit of produce. Since the formation of this income results not from the labor efforts of individual collectives but rather from the social factors of reproduction, this income is appropriated by the state in the form of differential rent on the basis of the right of the national ownership of land. In this regard, the antagonistic nature of such appropriation is completely eliminated, since differential rent becomes the property not of the class of landowners but rather is included in public funds and is used in the interests of the society as a whole, including the planned improvement of agriculture. This differential rent of the first category is extracted by the state through purchase prices, the differentiation of purchase plans, and the income tax [7, p.106].most common reasons for the formation of differential rent I are benefits that have land in fertility or location.Rent II is the additional profit that arises as a result of successive capital investments in the land. It is indissolubly linked with the intensification of agriculture and is its most important economic result. The increased quantity and rate of this form of differential rent reflect the growth in productivity of additional capital investments, a growth which becomes basic and decisive in times of scientific and technical progress despite the so-called law of declining fertility of the soil. Until the lease terminates, the superprofit obtained as a result of additional capital investments goes to the tenant farmer. But when a new lease is signed, the landowner, by virtue of the supremacy of the monopoly of private property in land, appropriates this additional profit by increasing the rental fee; thus, he obtains a portion of this form of differential rent. This is the basis of the struggle between tenant capitalists and landowners over the rental period [7, p.108].rent of the second category arises as a result of the varying productivity of supplementary investments: its size and rate increase systematically under conditions of intensification and scientific-technical progress in agriculture; it remains almost completely with the agricultural enterprises.rent is a form of capitalist land rent, representing the part of the surplus value created by agricultural wage laborers and appropriated by landowners because of the monopoly on private property in land. As distinguished from differential rent, absolute rent does not depend on differences in fertility, in the locations of various plots of land, or in the productivity of additional capital investments in a given plot. Private landowners who legally own the land allow their land to be used only in return for compensation, which they receive in the form of rent. The landowner collects rent from any plot, even the least productive one, if a demand to utilize it arises. The lessee, the capitalist entrepreneur who rents the land, must provide not only the average profit but also the superprofit, which is transmitted in the form of absolute rent to the landowner and constitutes part of the rent. It is possible to obtain this superprofit in agriculture because its organic composition of capital is lower than industry’s, and, consequently, the proportion of human labor creating the surplus value and the aggregate of surplus value in agriculture are larger than in industry. Thus, agriculture’s rate of surplus value is higher than industry’s. The cost of the agricultural produce is higher than the social price of production, which includes production expenses and the average profit [8].rent is a special form of land rent in a capitalist economy; it occurs in connection with the sale of goods at monopoly prices in excess of their value.agriculture, monopoly rent is derived from lands on which uncommon crops, such as particular varieties of grapes, are cultivated; in extractive industry, such rents are related to the mining of rare metals. Because of the limited amount of land specially suited to the production of rare commodities and because of the high demand for the products, it becomes possible to market such products at prices above their real value for a more or less prolonged period. In all such cases, the capitalists renting such land must make very high payments to the land-owners; the basis of the payments emerges as monopoly rent. These rental payments take the form of additional income for the landowner. Thus monopoly rent represents that portion of the surplus value produced by wage labor that is appropriated by the landowner through the redistribution of such surplus value [9].rent received in pre-capitalist systems based on direct personal dependence of manufacturer (slave, serf) of the owner (slave, feudal lord). In conditions of capitalism land rent is based on application of capital to land and therefore in total mass of surplus product is the excess of the average profit.price is capitalized land rent, which brings income as a percentage. On the basis of private ownership of land arises purchase and sale of land. Land price differs from the price of other goods. Land is good nature, and not the product of labor. However it takes marketability [10, p.308].is devoid of value, but has a price. Purchase of land means the purchase of rights to land rent and profit; its price arises on that basis. The more land rent makes, the more money it will pay for the purchase, therefore, the price of land will be greater.rate of interest on loans affects the price of land. Buyer compares rent with loan interest, he would receive if he put money in the bank. Land price is the sum of money that is being given in a loan, annual generates income, which is equal to the rent derived from the land.formula for measuring of land price is presented in the Pic.1.1.

 (1.1)

- land price; R - land rent; B - bank interest.price can vary not only from rent and loan interest, but also from the cost of development and improvement of land, supply and demand for agricultural products, the policies of state regulation of the agricultural sector, etc.price of land is influenced by such factors as rising inflation, lower income of farms and others. Price of land in major cities around the world is very high and continues to grow.price tends to increase. Especially noticeable increase in the price of land in urban areas. This is facilitated by growth of rents and demand for land for construction [11].spreads as a form of economic conditions in developed market relations in Ukraine, which based on the lease agreement between landowner and tenant. The lessee is entitled to possess and use the land for a fee for a certain period.contract provides compensation in the form of rent for the land, which may include not only payments for land use (rent), but the amortization structures and buildings that are posted on this area.agrarian reform provides the transition to full land and lease relations between landowners (land parcels) and economic entities and obligatory payment for the use of land between the subjects of land relations.

1.3    History of the formation of agricultural sector of Ukraine, its reforms

agricultural sector is one of the most important fields of material production, where are created a material goods of plant and animal origin to provide people with food, and industry with raw materials.establishment of unified complex, which has been producing the final product of the agricultural raw materials is a new level of interaction with industrial farming sectors of processing, which means the transition from intrasectoral relations to intersectoral relations.agricultural sector occupies a very important place in the economy of society. Normal functioning of the entire economy and people's welfare depends on its development. The development of the agricultural sector depends on the proportion of economic relationships that develops in it.the early 90s of the twentieth century in Ukraine began the process of reforming the agricultural sector. And it was due to the following factors.Stolypin agrarian reforms. A series of measures introduced by Petr Stolypin, the head of the Council of Ministers of the Russian Empire, between 1906 and 1911 in order to restructure the peasant land tenure system.legislation in which the reforms were introduced included the ukase ‘Concerning the Fulfillment of Certain Existing Laws on Rural Land Ownership and Land Use’ (22 November 1906) and a law passed by the State Duma on 27 June 1910. Those removed restrictions on landholding imposed by the peasant commune (obshchina). All peasants were given the right to leave such communes along with the lands apportioned to them. Peasants also gained the right to demand that their allotments be consolidated into an integrated landholding, which could be farmed as a khutir (if the household were settled on the property) or a vidrub (if the household remained in a village). The latter right marked a radical departure from the common practice of farming small, scattered strips of land. The Peasant Land Bank provided loans for the purchase of land to establish vidrub or khutir holdings. The last reform was the Statute on Land Organization of 11 June 1911, which set a definite agenda for the land settlement commissions (at the gubernia and district volost levels) created by the ukase of 1906.new system encouraged peasants to show initiative and to improve their households. Assistance was provided by the Peasant Land Bank, agricultural organizations, co-operatives, and zemstvo agronomists.intent of Stolypin's reforms was to improve the position of the wealthier peasants and establish it as a base of support for the troubled imperial regime. Accordingly, the reforms benefitted only about 25 percent of the households. Poor and some middle-income peasants could not buy land because of high prices (400 to 700 rubles per desiatin in Right-Bank Ukraine) and were not given credit by the Peasant Land Bank. A substantial number of such peasants finally emigrated beyond the Urals to Asiatic Russia and the Far East, a practice also encouraged by Stolypin to reduce rural overpopulation. Ultimately, the reforms gave rise to an even greater social differentiation among peasants, with the largest peasant households growing larger and the number of middle-sized holdings shrinking [12].the October Revolution in Ukraine began the process of collectivization, which was interrupted by the policy of the NEP. Thus, farmers in Ukraine were transferred 92% of its land. In 1928 the NEP policy was abolished by Stalin, then began the forced collectivization, the result of which was the creation of numerous collective and state farms. Farms were liquidated and the ablest and able-bodied part of farmers came to the category of kulaks (i.e. exploiters) and was repressed.the next decade, the majority of state and collective farms were unprofitable. In them was implemented extra-economic coercion to work, were restored some feudal methods of exploitation (by the Stalinist regime), there was forcible displacement of different forms of ownership, especially private, artificially were created two forms of ownership: collective and state.in the 80s of the twentieth century as a result of compliance with certain parity of prices for farm products was reduced the number of unprofitable farms and state farms, their profitability was increased. Thus, the level of profitability over the years 1980-1990 increased from minus 0.4 to 19 and 36%. Productive assets in collective farms for 10 years increased from 94 to 165 m.krb.this and the disintegration of the USSR required a radical restructuring of the agricultural sector.reform can be defined as a complex combination of legislative, economic, technical and organisational actions, which provide land relations development and transition to the land relations market. The main target of reform in Ukraine was the establishment of a land market and competitive business activities in the sphere of land relations [13, p.76].gaining independence, Ukraine entered a long-term agricultural crisis. The crisis was caused by the collapse of the centrally planned economy that had previously bankrolled a system of large and expensive programmes across the Soviet Union, but more broadly, also by the failure of the sector to adapt to the new economic reality .land reform began de jure on March 15, 1991, namely, from the day of publishing The resolution of Supreme Soviet of Ukraine "On land reform" (№ 563 ХІІ, December, 1990) in which all land of the Ukrainian SSR was proclaimed the object of land reform.March 1992, the Parliament adopted a new Resolution "On the acceleration of land reform and land privatization".reforms were carried out in five directions:

.        The economic reform. It included the transformation of collective and state farms to private-market structure, preserving the integrity of tracts of land and property complexes of large enterprises, farmer's free choice of different forms of management.

.        The land reform. It was aimed at implementing the slogan "The land belongs to those who work on it." It was necessary to fix forever and reliably to protect the property rights of peasants to land.

.        Formation of the agricultural market instead of the old distribution and planning of marketing. Millions of workers, professionals and executives of the market should teach methods of farming, earning incomes not on the state but on the free market, including foreign.

.        Financial stabilization. Financially improve agricultural sector, take off his crippling debt and tax burden, open the way, to investments and loans to stop the growth of price disparities, unemployment and falling incomes of farmers.

.        Social development. Our country faced a global problem - to transform the village into self-sufficient and self-governing territorial communities, create in them normal conditions for life, work and leisure.turning point in the agrarian sector of Ukraine came when market-oriented economic structures were set up, was launched privatization, agrarian market began to form. The real shift in agriculture started from the late 90's. In 2005, the average annual accession of agricultural production in Ukraine amounted 6% [14].order to provide effective use of the powerful potential of Land Resources of Ukraine in 2001 was developed and approved by the Decree of the President of Ukraine 30.05. 2001 "The main directions of land reform in Ukraine for 2001-2005".of land relations in this period was based on the following principles:

·        the inviolability of private ownership of land;

·        inclusion of land in market turnover;

·        social justice in the conversion of land;

·        coordination of the pace and the main directions of land reform and relations in the agricultural sector.to the state target program of development of Ukrainian village for the period until 2015, approved by the Cabinet of Ministers of Ukraine №1158 from 19.09.2007, "the agricultural sector (agriculture, food and processing industry) ensure food security and food independence, generates 17% gross domestic product and about 60% of the fund consumer population".2015 most of the goals and objectives of the named program were not implemented. One reason is the lack of a clear concept produced changes in the basic areas of a specific action plan and activities.the present time the reform of the agricultural sector, unfortunately, is given somewhat less attention than changes in the tax system or innovation in local government.

CHAPTER 2.      GENERAL ESTIMATION OF MODERN CONDITION OF AGRARIAN-INDUSTRIAL COMPLEX OF UKRAINE

2.1    Assessment of the investment attractiveness of AIC of Ukraine

is the investment of cash, property and intellectual property in business and other activities for profit or achieving social effect.attractiveness - is an integral indicator that characterizes the internal and external environment of the investee from the standpoint of efficiency, expediency and reliability investing investment resources [15].attraction is the most important factor of economic growth, improving the economic situation in Ukraine and improving the welfare of population. In the agricultural sector investments attraction also serves as a means to ensure food security, the guarantor of the development of agriculture and environmental protection.of investment in Ukraine’s farmlands is the lowest in Europe while it provides the highest return potential given the high soil fertility and unrealized agri-ecological potential of Ukraine’s soils. The cost of investment is composed of the lease rights acquisition cost, annual lease fees and annual cultivation (actual farming operation) costs.gradual formation of an investment climate depends on the improvement of investment attractiveness. It is therefore advisable to evaluate the investment attractiveness the agricultural sector of Ukraine [16].estimate the investment attractiveness of the agricultural production using the method of SWOT-analysis (Table 2.1).of investment attractiveness of the agricultural sector has shown that it is more or less stable, has a significant number of profitable producers. Investment in the industry come in small volumes, due to a high risk of default of funds, but if appropriately behave to the strategic management of the state and enterprises, it could lead to improvement.

2.1investment attractiveness of the agricultural production

Strong points

Weak points

· Moderate climatic conditions for agricultural production; · the relief of areas and soils; · favorable geographical location of the region; · significant work experience; · various forms of ownership; · free lease of land and property; · land privatization; · the competitive labor costs; · development of information materials concerning economic and investment potential; · holding seminars on attracting foreign investment; · implementation of investment projects.

Possibilities

Threats

· Cooperation with new foreign partners; · formation of positive investment image of the region; · improve the preparation of investment projects in accordance with requirements of international investment funds.

· difficult predictability of inflation rate due to the instability of the economy; · inequality of foreign and domestic investors.

enterprises have significant scientific and technical potential, which is not used in full. However, there is a more gradual introduction of new technologies and systems.resources and geographical location - the most favorable for agriculture, namely agricultural sector requires significant foreign investment. Foreign investors are not willing to invest in this sector because of high risk of default funds, so we should pay attention to reduce these risks [17].the period of economic crisis in the agrarian sector of Ukraine (1991-2000) investments processes were virtually stopped. The share of investments, made in agricultural sector, considerably declined from 21.3% in 1990 to 3.7% in 2000. In late 2007, this figure rose to 4.9%. On the one hand, it shows a sharp decline in investments in the agricultural sector (investments crisis), on the other hand - it indicates that there is a great potential for attracting more investments in the agricultural sector. Investments capacity of the agricultural sector is one of the important pre-conditions for decisions by investors, especially foreign ones, to makerelevant investments.assessment of investments needs and opportunities of the agricultural sector is of great importance. Dynamics of investments in agricultural sector can be a measure of the scale of the investments crisis in the agricultural sector. In 2000, investments in the fixed capital of the sector reduced by 13 times if compared to the investments volume of 1990. Slowdown of investments in the agricultural sector was the largest one among other economy sectors. During 1991-2007 unsecured and sought for agricultural investments needs grew up to 150 billion UAH. This shows the magnitude of the investments market in the sector and its large investments capacity.indication of the depth of the investments crisis, and, at the same time, large investments capacity of the agricultural sector is also the general structure of financial costs. Budgetary financing of investments in agricultural production is very low. Investments lending does not exceed 9% of the financial costs. The share of the own financial investments covers only 5% of total expenditures. Share of foreign investments is very small - only 1.3%. This figure, however, demonstrates the great potential of growth of the role of the attracted investments, especially foreign ones.investment cost in Ukraine’s agricultural land in 2009 was one of the lowest at USD 600-800 per hectare compared to Americas’ (USA and Argentina) USD 4,000+, and Western European level of USD 12,000+. At the same time, the current harvest yields in Ukraine suggest that the agro-ecological potential of 6.2 metric tons per hectare can be easily obtained under proper farm management and with the use of optimal organic technologies.agricultural sector needs serious modernization. The share of basic agro machinery that has expired service life or its technical resource is more than 90% for harvesters and 80% - for tractors. A rate with which machinery is written-off is in 5-10 times higher than the rate of purchase of the new, replacement machinery. However, the main problem for technical modernization of the agricultural sector is the availability of funds. The minimum annual requirement in funds to maintain the technical condition in the sector at stable level makes up 2-3 billion UAH. For rapid upgrading of the existing machines and tractor park annual need for funding is estimated at 10-15 billion UAH.real recovery of the potential of agricultural production it is urgently needed to involve foreign investments to the sector . However, by the volume of foreign investments into the Ukrainian agricultural sector it is considerably lags behind the rates enjoyed by national economy as a whole, for which, in its turn, the level of involvement of foreign capital is also quite low compared to other countries. Although these volumes are of the record level, it is still 3 times less than the amount of foreign capital inflow observed in 2003. The volume of attracted foreign investments per one rural resident is also very low - less than 13 US dollars and the gap with developed countries is quite large. In total, the share of investments into agricultural sector is considerably lower than the investments share attracted by the other economy sectors especially if we take into account the share of the agricultural sector in other national macroeconomic indicators.about 500 agricultural enterprises managed to attract foreign capital, representing only 2% of large enterprises of the sector that cultivate more than 1,000 hectares of agricultural lands. At the same time, it is only 3% of the total number of enterprises of the country having foreign investments.of the distribution of foreign investments between the regions gives reason to conclude that it is not really directed to agricultural sector. The group of regions with the least amount of investments consists of purely agricultural regions. Agricultural investment phenomenon of Kyiv can be explained by the fact that registered in the capital city are many investment companies that successfully invest into agriculture of other regions of the country.of foreign investments among other cities and rural areas is also uneven. Most of the investments are concentrated in cities - 85% of the total volume attracted but in the Chernigov, Poltava and Odessa regions and the Autonomous Republic of Crimea (all of them are leading agricultural regions) - practically 100% of foreign investments were in agricultural sector. Only in the Kyiv, Rivne, Sumy and Ternopil regions rural districts managed to attract more foreign investments than regional centers. Thus, the agrarian sector of Ukraine, which during the 90-ties of the twentieth century had experienced difficult investments crisis, became quite weak from the point of view of its ability to attract foreign investments. Large capital requirements, especially for technical modernization, so far can not be provided through the use of the funds in possession of enterprises, bank loans and from the budget. Therefore, an important source of investment market for the agricultural sector is attraction of the foreign capital into the agricultural sector., the volume of foreign investments to agricultural sector of Ukraine lags very much behind the national economy in general. Providing on average 14% of GDP, the agricultural sector in 2004 received only 1.3% of the total volume of foreign investments raised by Ukraine. The process of attraction of foreign investments into national agricultural sector has intensified only after radical acceleration of reform of this sector. During 2000-2003, the volume of raised investments increased by more than 8 times basically only due to rapid implementation of measures aimed at the market-oriented transformation of the sector and macroeconomic support from the state. But due to significant loss of investors in 2003 because of adverse weather conditions, the volume of investments attracted in 2004 again declined. This shows instability of the provision of foreign investments to agricultural sector., the optimal level of foreign investments attraction into the Ukrainian agriculture is much higher. It should be compatible with specific share of the sector in the GDP structure of the country, i.e. to in the range of 13-14% of the total. This figure has been reached by Portugal and Greece. The maximum annual level of foreign investments into agricultural sector, which can be selected as a target one could be about USD 50-70 dollars per capita of rural population, on a short-term basis. This level was achieved by Estonia, Finland, and Kazakhstan. Investments attractiveness of the Ukrainian agriculture is in no way inferior to the investment attractiveness of the above countries. Therefore, this is the figure which should be used as a target and the investment climate and image presented by the agricultural sector of Ukraine should be aimed to. Organizational work with foreign investors and state investments attraction policy should also be oriented to the achievement of the above mentioned figure [18].

.2      The present state of the agricultural sector of Ukraine

has huge agricultural potential due to its rich natural resources (soil, climate, and water) and a key geographical position, with access to the Black Sea and the key markets in the EU, CIS, the Middle East and North Africa.role of agriculture in the Ukrainian economy is quite remarkable. Even though the share of agriculture in total GDP in Ukraine decreased considerably since 1991, agriculture still accounted for about 8.2% in 2010.addition, with a share of 15% the Ukrainian agricultural sector still contributes significantly to national employment. Agriculture also has a core role in Ukrainian foreign trade, with agri-food exports accounting for about 20% of total Ukrainian exports in 2010.recent years, Ukraine’s agriculture has been consistently improving and has been the only part of the country’s economy to buck the recession.to preliminary estimates, in 2013 agricultural production increased by 13.7% - in contrast to a 4.7% decline in the industrial sector. According to official statistics, Ukraine’s industrial production was up 40% in the final months of 2013 when compared to the same period of 2012. This translated into an unexpected gain in fourth-quarter GDP growth (+3.7%) and prevented an annual drop in GDP. Crop production, and particularly the production of grain, hit a record high: in 2013, Ukraine produced 63 million tonnes of grain, outperforming its best ever harvest of 2011 (56.7 million tonnes). The value of Ukraine’s agricultural and food exports increased from US$4.3 billion in 2005 to US$17.9 billion in 2012, and currently accounts for a quarter of Ukraine’s total exports. Economic forecasts suggest that in the current marketing year (July 2013 - June 2014) Ukraine will sell more than 30 million tonnes of grain to foreign markets, making it the world's second biggest grain exporter, after the United States.accounts for about 8% of Ukraine’s gross domestic product - a rate several times higher than among Europe’s major agricultural producers. Its significance to the economy stems mainly from crop production, which accounted for nearly 67% of all domestic agricultural production in 2012. Despite showing signs of recovery from a severe crisis in the 1990s, animal production in Ukraine remains tied to small farms and is used largely for the personal consumption of the producers.is one of Europe’s leading grain producers: it is the continent’s largest producer and exporter of corn, the second largest producer of sunflower seeds and sunflower oil (and the world's largest exporter), as well as being a leading producer and exporter of wheat and barley (Appendix 1).2005-2012, the export of food and agricultural products increased by 315% (in 2013, Ukraine’s agricultural exports were worth an estimated US$17-18 billion). This makes agriculture Ukraine’s second most important export sector, after the country’s traditional export leader - the steel industry.farm structure in Ukraine is characterized by corporate farms or so-called agricultural enterprises and individual farms, with the latter comprising peasant farms and household plots. In 2010, agricultural enterprises produced about 76% of total grains, 92% of sugar beets and 83% of sunflowers in Ukraine. On the other hand, Ukrainian household farms produced about 97% of total potatoes, 88% of vegetables and 84% of fruits and berries. The majority of all types of livestock (excluding only poultry) is kept by household farms, and regarding production output, households have produced 80% of total milk production in Ukraine, whereas 55% of all meat has been produced by agricultural enterprises.privatisation of farmland without the concomitant right to freely sell it, has contributed to the emergence of an agriculture based on land lease, which has been facilitated by the statutory authorisation to use pais as the subject of lease contracts. According to data from late 2012, half of all domestic agricultural land in Ukraine (49.8%) is under the management of about 50,000 businesses, operating mainly on leased land.2010, the average annual cost of leasing 1 hectare of agricultural land did not exceed the equivalent of US$40. But later, however, lease fees have increased to around US$70 - this was caused by the government’s decision to raise the arbitrarily determined normative value of 1 hectare of farmland, and to increase the minimum land lease fee (to 3% of the land’s normative value). The low cost of land leasing (a fraction of the rates charged in the EU), coupled with the possibility to use goods and services (often at inflated prices) in lease settlements, have facilitated the emergence of private and, most importantly, very large agricultural companies.comprises 25 regions. Agricultural area, comprising 41.6 million hectares which is about 69% of the total territory of Ukraine, is distributed quite equally across the country. However, the main agricultural regions are located in the Eastern part of Ukraine where land productivity is higher. 7.1% of agricultural land is drained, and 5.2% is irrigated. In 2010 Vinnytsya, Dnipropetrovsk, Donetsk, Kyiv, Poltava and Cherkasy regions produced 36% of the gross agricultural production value. Kirovograd (in Central Ukraine) is also an important crop producing region, whereas Lviv (in Western Ukraine) is important with regard to livestock production (Appendix 2). With only few specific exceptions (e.g. poultry production in Crimea), Southern Oblasts (low precipitation) and most Northern and Western Oblasts (less suited soils) are less important for Ukraine’s agricultural production.period of economic growth from 2000 to 2008 (averaging about 7% of GDP per year) and low land lease rates and cheap labor (wages in agriculture are among the lowest in the economy) have improved the business conditions in the sector and the possibility of state support for Ukrainian agriculture. The most significant changes included: the introduction by parliament of the so-called “fixed agricultural tax” in December 1998, VAT rebates, and state subsidies for agricultural production, which mainly benefitted the largest players. The development of large-scale farms, however, was most directly facilitated by the increasingly appealing export opportunities. Since 2005, global markets have seen a systematic increase in the price of food and agricultural products; this has translated into higher prices for the main grains produced in Ukraine: wheat, barley and corn. Even after taking into account the interim (although admittedly, painful) price falls (2008-2009 crisis), by 2013 the price of the three main grains mentioned earlier had increased significantly: two-fold for wheat, two and a half times for barley, and three-fold for corn. Importantly, the global increase in grain prices was accompanied by growing demand generated mostly by developing countries [12].Ukraine agriculture output is distributed through various market channels, including sales to processing enterprises, organizations of consumer co-operation, at market, to the population as wages, to the shareholders as a rent payment, on commodity exchanges and auctions, etc. Data on sales are available from statistics on agricultural enterprises (excluding small enterprises) as well as on purchases of the processing industry (including amounts sold by households). Shares of market sales in the Ukraine vary considerably between 77% for oilseeds, 75% for sugar beet, 60% for grains, 7% of vegetables and a negligible amount of only 2% for potatoes. From livestock production shares of 82% for meat and 40% of total milk production are sold (Figure 2.1).

2.1and sale of agricultural products in Ukraine, 2010

today, the Ukrainian economy is characterized by a certain loss degree of all sectors of the economy, and agriculture in particular (Figure 2.2). The reason is unstable economic environment and a large number of destabilizing factors that directly affect on the agricultural sector of Ukraine and the composition and structure of resources in particular.

Agricultural sector suffers losses from depreciation of receivables. It is necessary to raise the issue of establishing a system of accounts receivable management, which would have provided the tools and schemes of timely repayment. Prolong of funds in accounts receivable was due to financial difficulties of buyers. Research of resources turnover indicates that the resource efficiency of the individual enterprise of agricultural sector depends on the sector and the economy as a whole.

The agriculture industry is now forced to continue its current model of development, in which competitiveness is determined by low production costs (including lease fees and wages) instead of seeing the modernisation and efficiency improvements. Furthermore, Ukraine’s low output per hectare will be compensated through economies of scale and extensive production; for example, of crops with a high rate of return, whose cultivation - coupled with short lease terms - will lead to a further degradation of soil.

2.2of value losses of the agricultural sector of Ukraine, mln. grn.

CHAPTER 3.      DIRECTIONS OF IMPROVEMENT OF AGRICULTURAL DEVELOPMENT IN UKRAINE

3.1    Agrarian reform in Ukraine: the present status and current tendencies

main purpose of agrarian reform is to create conditions for the development of efficient, highly productive and competitive agricultural sector, which generally contribute to economic growth and the welfare of the population.all goals and nature of changes that were made in the agricultural sector Ukraine most scientists divided into two stages, namely: phase of reform and post-reform phase. Each is characterized by the features of structural reform, domestic agricultural and trade policies [19].reform in Ukraine is characterized by a certain sequence and phasing of implementation, the main ones are:

·        land reform and the reform of property relations in agriculture;

·        providing the post-reorganization support of reformed and newly forming households and formation of market infrastructure in agriculture;

·        modernization of production, creation of competitive (at the domestic and foreign markets) farms;

·        improving the mechanisms of state regulation of the agricultural sector.process of private ownership establishment in the country objectively requires a radical change in the forms and methods of state regulation in the agro-industrial complex. The strategic direction of these changes should envisage termination of direct administrative interference by state bodies at all levels into economic activity, the setting and guaranteeing of stable rules for all actors in the agrarian sector and state regulation through market levers.main unsolved task of agrarian reform is uncertain relations of land ownership, disparity in prices for agricultural and industrial products and the lack of funding mechanism that would provide expanded reproduction of production in agriculture.the years of reform in the agricultural sector have been substantial changes in property relations and management. Agrarian reform included the denationalization and privatization of land and the creation of legal forms of market type. The result was the privatization of land with transfer of it to the ownership of collective farms and formation of private ownership of land.the post-reform phase of agrarian reform the main task was the transition to the market economy, to improve the efficiency of agricultural production. However, in the agricultural sector during the years of market relations, the socio-economic impact was negative comparing to other sectors. Resource potential is substantially destroyed, that applies to the entire economy.reason for the decline of agriculture was that agrarian reform is not regulated by the state and was not comprehensive, and has been stretched in time. This was due to the fact that it was carried out in conditions of general economic crisis.the present stage of land reform, in the absence of relevant legislation, it is advisable to introduce temporarily as subject of pledge not the land, but only the right to use it, the lease; transfer land to private ownership individually.number of negative factors, including the violation of interbranch equivalent of exchange, inflation, low purchasing power of population, poor material and technical base of production, lack of adequate market infrastructure did not allow for such a short time most of the newly privatized agricultural enterprises of food industry fully adapt to the stringent requirements of the market economy [20, p.5].the longer term, development of the land market should be gradual, in the way to increase the number of land owners and the establishment of appropriate infrastructure. In order to avoid buying of land share certificates for a pittance expedient to temporarily prohibit their sale and donation. Such prohibitions must be implemented, including through the introduction of temporary prohibition of the right to land share in authorized funds of societies.improve land relations, it is necessary to streamline the system of registration of individuals and legal entities on land, creation of a mechanism of state acts on the land, that means the inclusion of land in the economic cycle, protection of rights and interests of landowners, the formation of market infrastructure, including the organization of land auctions and land bank. The process of economic self-determination of farmers continues and for its acceleration we need comprehensive help from state authorities.strategic direction of development of farms should be strengthening of their role in the agricultural sector and improving the efficiency of their operation. This requires, first of all, to solve the following problems:

·        expand the land use area, increasing them by preferential land lease of state reserves to rational;

·        increase the volume of state support for farmers;

·        develop a national program of financial support for young farmers;

·        provide an opportunity for farmers to include land in the economic cycle to obtain long-term loans;

·        ensure preferential insurance of crops;

·        encourage the economic interest of farmers in the development of industries that are unprofitable today, including stockbreeding [22].should be noted that in modern conditions agricultural sector extends volumes of agricultural production and food, financial results are improved, gradually emerging market environment for the effective functioning of the agricultural market of Ukraine.measures taken by the State have given the opportunity to stabilize and gradually increase production main types of products of the sector.main goals in implementing new mechanisms of state regulation in the agro-industrial complex should be:

·        provision of a stable regulatory-legal base for the creation of predictable conditions for business development in the agro-industrial complex;

·        non-interference by state executive bodies in the day to day activity of business entities, with the exception of cases provided by law;

·        support for reformed enterprises, encouragement of the agriculture market infrastructure, production of critical agricultural produce ensuring Ukraine's food security;

·        formation of pricing, tax and credit mechanisms with account of the specificity of the agro-industrial complex as a sector with a slow capital turnover and a low rate of profit;

·        promotion of a national network of advisory agricultural services and agricultural monitoring.in the state's regulatory functions within the agro-industrial complex are manifesting themselves in the establishment of new functional divisions within the Ministry of Agrarian Policy of Ukraine, namely: the Department of Agrarian Economy Development Strategy; the Department of International Integration, Investment Policy and Agricultural Business Development; the Department of Agriculture Reform; the Department for the Development of Entrepreneurship and Agricultural Market Infrastructure; the Department of Cattle Breeding Produce Markets; the Department of Crop Production Markets and Seedage Development. Within the newly established Department of Agriculture Reform, the Division of Strategy and Methodology of Agrarian Reform, the Division of Agricultural Enterprise Reform and Restructuring and the Division of Advisory Agricultural Service Co-ordination have all stepped into action.Government of Ukraine has charted a course towards increased responsibility of agricultural enterprises for the results of their work by banning further write-offs or restructuring of tax and duty arrears, budget loans, credits under governmental guarantees, and termination of moratoria on bankruptcy of agricultural enterprises. At the same time, the present regulatory role of the state with respect to the agro-industrial complex is still of a transitional nature (from the administrative-command system to the market economy). Hence, it is based on many temporary and transitional levers. This is confirmed by the substance of the Law of Ukraine "On Encouragement of Agricultural Production in the Period of 2001-2004", adopted by the Verkhovna Rada of Ukraine on January 18, 2001, which laid down the fundamentals of state regulation of the agro-industrial complex in the conditions of emerging market relations38.of market relations in the agroindustrial complex is being accompanied with a change of the functions of state bodies: from direct control to establishment of favourable conditions for business in rural areas. However, the state's regulatory role is still undergoing transformation. During the introduction of changes, mistakes could not be avoided. In particular, agrarian reform was undertaken in the absence of any significant success in administrative reform. Despite the great number of adopted regulatorylegal acts, they failed to resolve many key issues of the agro-industrial complex. Some steps were not backed with organizational, human and financial resources [23, p.12-13].general, evaluating the results of reforms in the agrarian sector of Ukraine should be emphasized that the role of government in the implementation of this process is not economically reasonable and justified, resulting in failures in implementation of policy reform have not given the hoped improvement of agricultural economy.

3.2    Problem of improving the investment climate in the agricultural sector of the Ukrainian economy

land in Ukraine is one of the best mid and long-term investment opportunities in the world. While many arable land plots worldwide get deteriorated by intensive conventional (chemical) farming practices, Ukraine’s black soils, aka Chernozem, have managed to stay much less harmed by humanity’s most dangerous and delusive “inventions”: toxic pesticides and synthetic chemical fertilizers.’s diverse farming climatic zones provide an exceptional opportunity for fully-diversified, complete-cycle farming ventures with their own livestock, seed production and premium field crops and row crops production of export-scale harvest volumes.of agrarian sphere as the investment processes in other industries is versatile and complex phenomenon. By its economic nature investment activity is the process of realization of additional investments of the most effective means to increase production and create conditions for economic growth.development and economic growth in the agricultural sector is a priority task of economic policy. The intensive type of development helps to improve economic indicators; the main ones are labor, land, capital, entrepreneurial skills, science and information. Exceptional value for the expansion of agricultural production is the problem of providing agricultural investment both regionally and at the macro level [24]., by its investment attractiveness, is characterized as the country with negative investment image and, at the same time, with a high investment potential.main factors, which form a negative image of Ukraine in the global investment and credit markets, are:

·        an imperfect legislative base;

·        unstable political situation;

·        imperfect tax legislation;

·        underdevelopment of financial markets;

·        the slow pace of privatization;

·        deceleration of market reforms;

·        imperfections of market mechanism;

·        lack of investment insurance system.most attractive investment sector of agriculture is crop production (grain production, potato and sugar beet).worse situation in the fields of dairy farming and fruit growing.the middle zone of investment attractiveness are the production of eggs, vegetables and beef cattle.lowest rates of investment attractiveness fixed in pig farming and viticulture, sheep farming and poultry meat production.increase the investment attractiveness of the agricultural sector of Ukraine should to realize a system of measures at the national, regional and sectoral levels, the main of which are:

·        the improvement and aligning of legislation, which govern investment activities;

·        to ensure stability and transparency of tax laws;

·        improvement of land legislation;

·        stabilization of the national currency;

·        improvement of the amortization policy;

·        creation of conditions for revitalization of investments of individuals and legal entities;

·        development of the stock and insurance markets and strengthening their investment direction;

·        improvement of pricing system in agriculture;

·        completion of the restructuring of agricultural enterprises and improvement of organizational forms of management;

·        improving agricultural cooperation and creation of new integrated forms of management;

·        extension services in agriculture.the investment attractiveness of agricultural production is possible providing that we use both external and internal reserves. However, the low level of attractiveness of sectors of the agricultural sector for investors does not allow the full use of environmental factors.attractiveness of an enterprise in the agricultural sector of Ukraine represents a level of satisfaction with financial, production, institutional and other requirements or interests of the investor in respect to specific agricultural enterprise (private/ large farm), which may be expressed or measured by values of relevant indicators.Objectives:

• to improve the investment attractiveness of Ukrainian agricultural sector;

• to increase inflow of foreign investments into agricultural sector;

• to enhance the rates of the agricultural sector development;

• to increase presence of the Ukrainian agricultural products in the worldmarkets.objectives can be achieved through implementation of a number of specific auxiliary objectives:term sub-objectives (1-2 years):

• to make changes in the Land Code of Ukraine, which would stipulate that the land may be the subject of trade that is to be bought and sold;

• to create a legislative framework in the sector of agro business insurance so that it will envisage procedures, conditions, presence or absence of preferences for agro business enterprises when concluding insurance contracts;

• to amend the Law of Ukraine “On the regime of foreign investment activity”, which would obligatorily include a provision for simplified system of registration of foreign direct investments;

• to secure appropriate coordination of actions of all governmental regulation authorities and to improve their norms and regulations so that the current legal framework for regulation of foreign investments in Ukraine will provide a clear mechanism for implementation of safeguards and guarantees granted by the state to investors as it is required by the Law of Ukraine “On the regime of foreign investment activity”;

• to amend Article 7 of the Law of Ukraine “On taxation of profits of enterprises“, and, in particular, its section on “Peculiarities of profit taxation of enterprises with foreign investments”, as well as clearly define the conditions and procedure for repatriation of profits by the enterprises with foreign investments;

• to develop Land Cadastre (regulating assessment of the land value, availability of land, its quality, types of lands), the data of which should be obligatorily used in the process of conclusion of contracts for the sale or purchase of land which would encourage and stimulate formation of the land market [24];

• to create “investment portrait” of the regions, which would give detailed information about the state of agriculture in each region, including quantitative and qualitative data, capacity of the investment market in the region and future trends of its development as well, etc.term sub-objectives (4-7 years):

• to improve investments attractiveness of the agricultural sector;

• to increase inflow of foreign investments in the agricultural sector by 5-7%;

• to raise the level of mechanization (to increase the quantity and quality of the park of agricultural machinery and mechanisms) in agriculture using investments made by foreign investors.term sub-objectives (7-10 years):

• to increase foreign investments in the Ukrainian agriculture to the level of contribution of the agricultural sector to national GDP, that is to 14% (nowadays, only 2% of the total investments volume are invested into the agricultural sector, but the contribution of the agricultural sector to national GDP makes up 14%);

• to improve the level of production in the agricultural sector as a whole and in its individual branches [14];main attention in finding ways to improve the investment attractiveness of the agricultural sectors should focus on internal resources to improve the system of agriculture, which contributed to the growth of production and reducing of costs and increasing of profitability of certain products [25, p.83].reasons for relatively small amounts investment in enterprises of agrarian sphere is not optimal structure, low overall level of economic services in agricultural enterprises, the lack of an enabling environment and reasonable concept of economic development, in particular the concept of investment strategy for the future, taking into account regional differences. Growing influence and such factors as lack of an established system of marketing agricultural products.

CONCLUSIONS

instability of agricultural production, inconsistency and indecisiveness of executive bodies in the process of agricultural reforms led to a deep crisis in national agriculture.conditions of social andeconomic restructuring of agriculture of Ukraine, integration to various political, social, economic, technical and other associations and organizations significantly important improvement of state management of some of its subcomplexes, directed to their establishment, functioning and economic development.main goals of restructuring of agriculture are: implementation of agrarian reform, the development of various forms of ownership and management, improvement of the sectoral structure of agriculture, the priority development of processing industry of agricultural raw materials, creation of small businesses in rural areas to solve the problem of rural employment.main foundation of reforms in the agricultural sector is the implementation of land reform. Land reform aims to create conditions for equal development of different forms of management, rational use and protection of land.the national economy of Ukraine is in a difficult situation. On the one hand, we must transform our economy from command to market, on the other. On the other, external factors influence us, such as integration into the world global economy, which is life-saving for us.this difficult period of stabilization raises the task to stabilize the national economy, including agriculture. This requires, first of all, to stabilize agricultural production, creation of a modern base for processing and storage of agricultural products.

APPENDIXES

’s agriculture in Europe and globally - selected produce

Type of produce

Production volume

Rank in Europe/globally

Export volume

Rank in Europe/globally

Corn

22.8 million tonnes

Europe:1 Globally:7

7.8

Europe:1 Globally:4

Wheat

22.38 million tonnes

Europe:4 Globally:11

4.1

Europe:4 Globally:8

Barley

9.18 million tonnes

Europe:3 Globally:5

2.1

Europe:3 Globally:5

Rye

0.68 million tonnes

Europe:4 Globally:4

-

-

Rapeseed

1.48 million tonnes

Europe:4 Globally:9

1.0

Europe:2 Globally:4

Sunflower seeds

8.78 million tonnes

Europe:2 Globally:2

0.4

Europe:3 Globally:3

Sunflower oil

-

Europe:2

2.7

Europe:1 Globally:1

Potatoes

24.28 million tonnes

Europe:2 Globally:2

-

-

Sugar beets

18.78 million tonnes

Europe:4 Globally:5

-

-


Appendix 2

agricultural production by regions in Ukraine, 2010

REFERENCES

1.     Мамалуй О.О.Основи економічної теорії. Підручник. Київ.2006

2.      Оніщенко Д., Юрчишин В. Про форми власності в аграрній сфері Украї-ни.//ЕУ. - 1997. - № 4. - С. 50-61.

3.     Discussion Paper No. 80, Halle (Saale): IAMO. Melnychuk, Volodymyr; Parkhomenko, Sergiy; Lissitsa, Alexej (2005).

4.      Економічна теорія / Під ред. Є.М. Воробйова - X., 2003.

5.      Економіка аграрних підприємств: Підручник. - 2-ге вид., доп. і перероблене. / В. Г. Андрійчук. - К.: КНЕУ, 2002. - 624 с.

.        Гаршина О. К. Політична економія: Курс лекцій / Донбаська держ. машинобудівна академія. - Краматорськ : ДДМА, 2006. - 79с. - Бібліогр.: с. 78-79.

7.      Buzdalov I.N. Economic mechanism in the agro-industrial sphere of the countries of SEV. M: Science, 2010. 360 р.

8.      Ekonomicheskaya reforma v sel'skom khozyaistve sotsialisticheskikh stran / E.V. Rudakov, S.A. Mellin, V.I. Storozhev, 1968.

.        The Great Soviet Encyclopedia / 1979.

10.    Економічна теорія: Підручник/ В. М. Тарасевич, В. В. Білоцерківець, С. П. Горобець, О. В. Давидов та ін.; За ред. В. М. Тарасевича; М-во освіти і науки України, Нац. металургійна акад. України . - К.: Центр навчальної літератури, 2006. - 779 с.

.        http://uk.wikipedia.org/wiki/Земельна_ділянка

12.    RAZUMKOV CENTRE // NATIONAL SECURITY & DEFENCE // NO.5, 2001 // AGRARIAN REFORM IN. UKRAINE: THE PRESENT. STATUS AND CURRENT TRENDS.

13.   Перевидання в Україні. - Львів, 1994. - с.805-1200 / Енциклопедія українознавства: Словникова частина. - Париж - Нью-Йорк: Молоде життя, 1959. - Т. 3. - С. 805-1200.

14.    Novakovsky, L.Y.; Tretiak, A.M.; Dob-ryak, D.S. 2001/ Land reform and land management in Ukraine / Kyiv, 2001. 138 p.

15. http://www.osw.waw.pl/en/publikacje/osw-commentary/2014-02-07/transformation-agriculture-ukraine-collective-farms-to#_ftn4 <http://www.osw.waw.pl/en/publikacje/osw-commentary/2014-02-07/transformation-agriculture-ukraine-collective-farms-to>

.        Малік М.Й. Реформування власності і реструктуризація підприємств АПК // Економіка АПК. - 2007. - №11. - С. 9-13.

18.   Пеструха СВ. Наукові підходи до побудовисистеми стимулювання інвестування економіки України /С.В.Пеструха, М.М. Колотуша // Актуальні проблеми економіки, -2008. - №10(65). - С.39-48.

19.    Consultations on improving the investment climate in the agricultural sector of the ukrainian economy // Center of Social Expertise and Prognosis at the National Institute of Sociology of Ukraine // Kyiv-2009.

20.    Баланюк І.Ф. Реформування в аграрному секторі регіону. - К.: ІАЕ УААН. - 1999. - 270с.

.        Лузан Ю.Я. Реформування аграрного сектора України: стан і перспективи // Економіка АПК. - 2002. - №4. - С. 3-7.

.        МІНІСТЕРСТВО АГРАРНОЇ ПОЛІТИКИ ТА. ПРОДОВОЛЬСТВА УКРАЇНИ / Проект. Стратегія розвитку аграрного сектору економіки. (на період до 2020 року) / Київ - 2013

23.   Петкова Л., Проскурін В. / Муніципальні інвестиції та кредити / Навчальний посібник / Київ, 2006.- 158 c.

24.    Янушевич В.М., Шовкун І.А. Стан перспективи розвитку малого підприємництва в аграрному секторі України.//Реформування економіки України. - Київ, 1997. - С. 82-88.

.        Рубан Ю. Методологічні та методичні питання створення концепції розвитку сільського господарства .//ЕУ. - 1994. -№1.

Похожие работы на - Agrarian relations and land rent

 

Не нашли материал для своей работы?
Поможем написать уникальную работу
Без плагиата!
Без нейросетей!