Метод реальных опционов в задачах о слиянии и поглощении

  • Вид работы:
    Курсовая работа (т)
  • Предмет:
    Менеджмент
  • Язык:
    Русский
    ,
    Формат файла:
    MS Word
    466,27 Кб
  • Опубликовано:
    2016-04-02
Вы можете узнать стоимость помощи в написании студенческой работы.
Помощь в написании работы, которую точно примут!

Метод реальных опционов в задачах о слиянии и поглощении

Содержание

1.      Введение

.        Обзор теоретических аспектов слияний и поглощений

.        Метод реальных опционов для оценки слияний и поглощений

.        Метод реальных опционов в задачах о поглощении (модель Блэка-Шоулза)

.        Анализ эффективности поглощения компании Сибирьтелеком компанией Ростелеком

.        Заключение

.        Список литературы

. Введение

В настоящее время слияние является одним из наиболее известных методов развития, к которому прибегают даже компании, у которых все очень благополучно в бизнесе. Отношение к процессам слияния и поглощения неоднозначное и проблемы слияний и поглощений вызывают бурные дискуссии. Некоторые специалисты рассматривают слияния и поглощения как один из основных источников увеличения результативности деятельности компаний, другие считают их причудами руководства и менеджеров, что снижает эффективности компаний.

Несмотря на неоднозначности мнений, поглощения и слияния - это существующая действительность, которую актуально рассматривать, проводить анализ и приходить к заключениям, допускающим избегать возможных ошибок.

Актуальность работы выражается в том, что рынок телекоммуникаций в РФ в большинстве своем уже сформировался, появились свои лидеры и аутсайдеры, поделены сферы влияния. Отрасль связи находится в прямой связи с благоприятной экономической конъюнктурой. Для компании ОАО «Ростелеком» появилась уникальная возможность воспользоваться текущей ситуацией на рынке, для осуществления горизонтального слияния с компанией «Сибирьтелеком».

Рабочие гипотезы. Высокие темпы роста рынка, его капиталоемкость, перспективы развития, привлекает новых сильных игроков, с большими маркетинговыми бюджетами. Высокопрофессиональный менеджмент компании ОАО «Ростелеком», ее стабильно улучшающееся финансовое положение, отличное знание рынка телекоммуникаций и его специфики, сильные позиции на рынке позволяют успешно осуществить процесс слияния и поглощения предприятий отрасли, с целью увеличения финансовых показателей.

Цель исследования: сформулировать практические рекомендации в области исследования инвестиционных проектов в контексте слияния и поглощения, направленной на покупку предприятий отрасли.

. Обзор теоретических аспектов слияний и поглощений

Понятие и виды слияний и поглощений:

Стратегия роста компаний может быть обеспечена как внутренними программами и проектами, так и внешними. Благодаря внутренним программам добавочная стоимость компании обеспечивается путем ввода новейших проектов, изделий, руководящих и иных решений. К внешним стратегиям можно отнести слияние и поглощение компаний.[10,с.56](далее с. и п.)

Под поглощением понимается процесс, когда одна из компаний заканчивает свое существование (компания - объект поглощения), а другая компания (компания - покупатель) покупает ее активы и обязательства.

Под слиянием понимается процесс, когда объединяются в одну компанию две компаний и более. Наряду с этим, соединяющиеся предприятия перестают существовать, а обязательства и активы предприятий становятся активами и обязательствами предприятия, возникшего в результате слияния. Существуют несколько видов слияний:

горизонтальное - объединение двух компаний, принадлежащих одной отрасли для того, чтобы увеличить долю на рынке и уменьшения покупной цены

вертикальное - объединение некоторого количества компаний , одна из которых это поставщик сырья для другой

Родовые (параллельные) слияния - объединение компаний, выпускающих взаимосвязанные товары. К примеру, предприятие, занимающееся производством машин, объединяется с предприятием, производящим автосервис.

Предприятие, руководство которого стремится получить контроль над другим предприятием, чаще всего называют поглотителем или компанией-покупателем, или корпоративным рейдером. Предприятие, которое поглощают, называют целевой компанией или компанией-целью.

Стратегия с. и п. (mergers&acquisitions, M&A)- политика роста компании, когда соединяются две компании и более или происходит присвоение контроля над другим предприятием из-за покупки полного пакета акций.[20]

Поглощение и слияние используются с целью увеличения границ деятельности предприятия и возникновения стратегического преимущества, когда развитие внутри компании сочтено менеджментом этой компании менее эффективным.

С. и п. в течение всей своей истории имели волнообразный характер. Из-за того, что процессы, происходящие в экономике по всему миру, влияют на экономическую действительность в России, включая на процессы по поглощению и слиянию российских предприятий, существенное внимание обращено на исследование закономерностей, которые характерны для современной волны интеграций компаний.

В зависимости от отношения менеджмента и руководства компании к процессам по поглощению или слиянию компаний можно выделить:

дружественные слияния и поглощения - процессы, когда руководство соединяющихся компаний или приобретаемой и приобретающей компании поддерживают сделку;

враждебные поглощения - когда руководящий состав и акционеры целевой компании против данной сделки и проводится ряд противозахватных действий со стороны компании - цели.

Будут это дружественные или враждебные процессы зависит от ситуации на рынке, а также от стратегии деятельности компаний и какими ресурсами она располагает.

Часто компании прибегают к с. и п. для того, чтобы получить синергетический эффект с помощью сочетания комплементарных компонент, сокращения средних издержек производства, соединения ресурсов для борьбы с конкуренцией, объединения ресурсов для разработки новых технологий и создания новых видов продукции.

С. и п. используются также для увеличения действенности контроля над управлением одной из компаний, введения в другие отрасли бизнеса, уменьшения налоговых выплат и обретения льгот при оплате налогов. Иногда приобрести существующую и действующую компанию дешевле, чем создать новую.

Факторы, способствующие процессу слияния или поглощения

Компании прибегают к различным методам улучшения своих финансовых показателей, к примеру, к методу органического роста или рассматривают возможность сделок по поглощению или слиянию с другой компанией. В 2000-х годах международное производство увеличивало свои показатели в основном с помощью транснациональных слияний и поглощений, а не путем вложения денежных средств в постройку новых подразделений или фирм, а также в разработку новых программ.

Стратегия слияния и поглощения вырабатывается на основе общей стратегии развития компании. На самом высшем уровне рассматривается оценка проекта слияния или поглощения, насколько этот проект выгоден для компании, соответствует он целям и миссии компании, насколько вписывается в общую стратегию компании и как органично может войти в план мероприятий по реализации стратегии. В наиболее общем виде процесс принятия решений о слияниях или поглощениях можно рассмотреть, исходя из сопоставления типовых разделов стратегического плана предприятия с возможностью слияния или поглощения.

Рассмотрим один из наиболее часто встречаемых путей развития компаний - стратегия органического роста.

Органический рост является наиболее популярным способом развития компании, все предприятия используют его в какой-либо момент существования . Смыслом этой стратегии является то, что прибыль, которую удалось накопить за прошлые года, и заемные средства инвестируются в существующий бизнес. Таким методом достигается рост производственной мощности, увеличение количества рабочих. Преимущества политики органического роста:

Меньшая степень риска при увеличении размеров бизнеса;

В основе лежат знания, опыт, ресурсы, уже имеющиеся в компании;

Рассматривая органический рост как увеличение уже существующего бизнеса, можно сказать, что он является наиболее дешевым методом развития.

Также можно отметить несколько недостатков:

Нужно гораздо большее количество времени для получения и реализации результатов, которые при использовании других способов развития достигаются гораздо быстрее;

Возникновение ограничений при изменении области деятельности из-за отсутствия необходимых навыков и знаний внутри компаний.

Если компания меняет сферу деятельности, то при политике органического роста нужен больший период времени для того, чтобы вложения стали приносить прибыль.

При органическом росте для того, чтобы получить результаты от исследований, ноу-хау, требуются большие финансовые затраты и длинный промежуток времени.

При рассмотрении процессов поглощения и слияния компаний, нужно особое внимание уделить вопросу выбора стратегии: из-за чего предприятия выбирают поглощение или слияние, а не другие варианты развития. В отличие от стратегии органического роста, процесс слияния и поглощения представляет собой наиболее быстрый способ выхода на новый рынок в том случае, если выход на рынок в короткие сроки имеет ключевое значение для развития бизнеса.

Стремление к расширению масштабов деятельности является неотъемлемым отличительным знаком любого бизнеса. Однако для того, чтобы такое увеличение происходило тем или иным способом, нужно, чтобы этот метод был наиболее продуктивным в сравнении с другими возможными.

В таблице рассмотрим преимущества и недостатки поглощения и слияния как политики поведения компаний.

Таблица 1

Преимущества и недостатки стратегий слияний и поглощений

слияние поглощение опцион компания

Сравнивая, видно неоспоримое преимущество стратегий слияний и поглощений компаний по сравнению со стратегией органического роста (с помощью накопления капитала). Поглощения и слияния представляют собой средство быстрейшего роста при национальном и транснациональном расширении, данная политика разрешает предприятиям купить быстро кейс «экономико-географических активов», который является одним из главных ресурсов конкурентоспособности компаний в условиях глобализации экономики.

Существуют две основные причины слияний или поглощений:

эффект синергии

уменьшение налогов

Эффект синергии. Сумма составляющих компонент меньше, чем целое, а относительно стоимости предприятия это значит, что цена после объединения выше суммы цен предприятий взятых по отдельности:


Создание дополнительной стоимости компании как результат синергетического эффекта включает в себя операционную и финансовую синергии. Операционная синергия - это цена, возникающая дополнительно из-за объединения ресурсов и она зависит от вида слияния. Финансовая синергия - это уменьшение затрат из-за изменения источников финансирования, цены финансирования и других выгод.

Экономия на налогах обусловлена, к примеру, поглощением высокодоходной компанией убыточной, когда новая добавочная цена компании не возникает, а происходит перераспределение стоимости между государством и частным сектором.

При покупке компании с недооцененными акциями возникают выгоды от операций на рынке ценных бумаг.

Помимо основных перечисленных причин поглощения и слияния, в основном, указывают такие, как проникновение в новые отрасли, приобретение для распродажи купленного предприятия, выгоды руководства и др. Как замечают большинство зарубежных специалистов, изменение, как цель слияния или поглощения компаний не увеличивает стоимость компаний, а может привести к уменьшению ее цены из-за понесенных затрат. Если рассматривать ситуацию покупки уже существующей компании с налаженной системой управления, то этот вариант предпочтительней относительно фактора времени. Для компаний, которые еще не имели дело с новой для себя отраслью, именно сделки по поглощению и слиянию приводят к тому, что через короткий период времени данные компании догонят своих конкурентов.

Хотя при сделках по поглощению и слиянию возможны большие затраты , именно эта стратегия развития бывает более выгодна с финансовой точки зрения, чем политика органического роста относительно нематериальных активов.

Поглощения и слияния чаще всего представляют собой более дорогостоящий способ выйти на рынок в связи с тем, что необходимо выплатить так называемую премию за контроль, представляющую собой дополнительную сумму средств, которую предприятие готово заплатить за приобретение контроля. Кроме того, затраты при этом способе вступления на рынок могут быть выше ввиду необходимости направления дополнительных средств на соединение компаний или выполнения процедур соответствия требованиям законодательства.

Слияние и поглощение как инвестиционный проект

Есть различные точки зрения на суть поглощения и слияния. Некоторые специалисты считают сделки по слиянию и поглощению сделками по реструктуризации действующего бизнеса[3,c.23], другие рассматривают слияния и поглощения как инвестиционные проекты[12,c.18].

При этом под реструктуризацией бизнеса может пониматься преобразование компании для улучшения ее эффективности - освобождение от убыточных активов, оптимизация структуры управления, поглощение сторонних предприятий[6,c.8]. Реструктуризация может происходить двумя методами: самостоятельно - через увеличение подразделений и филиалов; либо путем объединения, что приводит к сделкам поглощений и слияний.

Наряду с этим инвестиционный проект и реструктуризация являются методами увеличения производительности предприятия, включая покупку многообещающего предприятия. Также следует заметить, что под инвестиционным проектом можно подразумевать и реструктуризацию, так как она подразумевает инвестирование средств. Следовательно, деление сделок поглощения и слияния на инвестиционный проект и реструктуризацию не являются принципиальными, но для удобства сделки слияния и поглощения мы будем рассматривать как инвестиционные проекты.

Изначально обратим внимание на то, что специалисты в области сделок по слиянию и поглощению недоверчиво относятся к количественным показателям, характеризующим этот процесс. Поглощения и слияния являются сложными сделками, которые плохо поддаются исследованию с помощью хорошо известных аналитических методов. Исследования, которые акцентируют внимание на слиянии, должны задавать временной период анализа курсов акций и изменение других показателей деятельности. По мере расширения этого периода для накопления большего объема информации и получения компанией времени, необходимого на достижения прибыли, делается все более невозможным определить фактор, влияющий на показатели компании. Нелегко объяснить, почему две или несколько компаний, соединившись, стоить будут дороже, чем по отдельности, понять существующие при этом издержки и выгоды. Решение задачи по расчету синергетического эффекта является одной из наиболее сложных задач. На данный момент существует несколько набросков способов в области решения этого вопроса. Западные специалисты считают наиболее перспективным направлением в решении этого вопроса метод реальных опционов ROV(RealOptionValuation). При этом нужно учитывать то, что сделки, приводящие к процессам с. и п., соединены с многочисленными вероятностными оценками будущих изменений, большим количеством вариантов решений при объединении и формировании новых различных бизнес-структур, появлением различных системных эффектов в компании, существованием различных вариантов применения финансовых запасов, имеющих возможность одновременно реализовать несколько проектов долгосрочного инвестирования.

Риски, сопутствующие процессу слияния и поглощения

Для предоставления данного решения главное заранее наметить не только положительные стороны, но и всевозможные риски, появляющиеся при слиянии и поглощении.

Для процесса реализации M&A можно условно выделить два этапа:

стратегический этап - когда определяется партнер по сделке, оценка сделки, идет процесс переговоров;

инфраструктурный - когда происходит рассмотрение разработки схем финансовых потоков, проводятся интеграционные мероприятия.


. Метод реальных опционов для оценки слияний и поглощений

При условии повышенной неопределенности обычные подходы к оценке и управлению стоимостью, на основе приведенных денежных потоков, чаще всего занижают цену бизнеса или инвестиционного проекта. Прежде всего данный факт связан с тем, что анализ приведенной стоимости не обращает внимание на гибкость бизнеса и вероятность принятия различных решений, связанных с управлением компанией, в ответ на изменения внешней среды. Метод дисконтированных денежных потоков основывается на полученном прогнозе платежей в будущем и на деле возможно учитывание только нескольких вариантов исходов событий. Из-за этого с начала 70-х гг. 20 века принимались попытки применить к оценке инвестиционных проектов методы, учитывающие стохастическую природу отдельных факторов проекта. Этот метод, по сравнению с традиционными методами оценки, дает возможность учесть при нахождении стоимости актива возможные изменения внешней среды и адекватную реакцию на них менеджеров. В частности, его использование возможно при отрицательном NPV проекта.

Эта теория первоначально была разработана для финансовых опционов. Самым известным теоретическим исследованием в данной области является работа Ф. Блэка и М. Шоулза « Оценка опционных контрактов и измерение рыночной эффективности» (1972) и названная в их честь формула. Наработки в данной области осуществлялись также Р. С. Мертоном в « Теория рациональной оценки опционов» (1973), а также Дж.С. Коксом и С.А. Россом в работе« Оценка опционов: упрощенный подход» (1979), Дж.С.Халлом «Опционы, фьючерсы и другие финансовые инструменты» (1995).

В связи с тем, что у некоторых видов нефинансовых активов обнаружили опционные характеристики в начале 80-х гг. 20 века, возник метод реальных опционов. В качестве самых известных теоретических работ можно назвать исследования Ториньо, Бреннана и Шварца, Триджорджиса, Паддокаа, Сьигеля и Смита, а также Калатилака и Фернандеса.

Владелец опциона имеет право на покупку или продажу базового актива в определенном объеме по фиксированной цене на дату исполнения опциона или до ее наступления (в зависимости от вида опциона). При этом у владельца опциона нет обязательств в виде исполнения опциона, поэтому окончание опциона пройдет без последствий.

Опционы можно классифицировать по характеристикам, сведенным в таб.2.

Таблица 2

Классификация опционов


Опцион колл (иначе называемый опционом покупателя) дает право покупки базового актива по цене исполнения на дату окончания опциона (европейский опцион) или до ее наступления (американский опцион). Опцион пут (опцион продавца) дает его владельцу право продать базовый актив по фиксированной цене (цене исполнения) в любое время: на дату исполнения или до ее наступления.

Главными показателями стоимости финансового опциона являются:

)        Стоимость базового актива на данный момент;

)        Разброс стоимости базового актива;

)        Дивиденды, выплачиваемые по базовому активу;

)        Цена исполнения опциона (одна из важнейших его характеристик);

)        Срок до истечения времени действия опциона.

Основные характеристики, используемые для оценки опционов, приведены в таб.3

Таблица 3

Характеристика моделей оценки опционов


Базовый актив реального опциона представляет собой вероятность совершения компанией различных действий в будущем или отказа от них, что непосредственно влияет на стоимость компании. Есть несколько классификаций реальных опционов, например, П.Фернандес в статье

« Оценка реальных опционов: распространенные ошибки» [15,c.3]разделяет их на три группы (рис.2).

Рис.2. Классификация опционов по Фернандесу

Также существуют сложные опционы, при этом существующий опцион содержит более сложный опцион, а также радужные опционы, когда есть несколько основ неопределенностей. Характеристики стоимости реальных опционов соответствуют по экономическому смыслу факторам, которые определяют стоимость финансового опциона, но вследствие иных свойств базового актива имеют несколько другую интерпретацию (таб.4) .

Таблица 4

Факторы стоимости опционов


В отношении последнего фактора стоимости (ставки) в существующих теориях имеются два взгляда. Они происходят из различных мнений относительно основополагающей гипотезы финансового опциона - создания имитирующего портфеля и присутствия безрискового арбитража. В соответствии с концепцией, изложенной А.Дамодараном, а также Д.Латье, хотя по большей части имитирующий портфель реальных опционов возможно создать только на бумаге из-за того, что базовый актив не котируется на бирже, реальные опционы ведут себя точно так же, как и финансовые. Кроме того, при замене безрисковой ставки на ставку дисконтирования стоимость колл-опциона увеличивается, т.е. повышение риска ведет к увеличению стоимости оцениваемого ROV-методом проекта, что может привести к принятию неверного управленческого решения. Итак, реальный опцион оценивают таким же образом, как и финансовый (в основном, по модели Блэка-Шоулза).

Специалисты, поддерживающие вторую гипотезу (например, П. Фернандес), также замечают, что для основной части реальных опционов нет возможности создать имитирующий портфель ( вследствие того, что базовый актив не торгуется на бирже), и таким образом, нет безрискового арбитража. Тем не менее, это ведет к тому, что оценивать реальные опционы так же как финансовые становится неприемлемым. Это обусловлено тем, что в отношении опциона, для которого создается имитирующий портфель, характерна следующая функция изменения доходности µ:

µ=ln(rf+1)-δ2/2

где

µ- доходность, которую ожидает получить инвестор в единицу времени,

µt=E[ln(S1/S)];

- безрисковая ставка;

δ- стандартное отклонение.

Воспользоваться данной моделью оценки финансовых опционов, учитывающую именно такое изменение доходности, неправильно, потому что относительно неимитируемого реального опциона указанное условие может не соблюдаться. Вдобавок, в расчетах необходимо применить характерную для проекта ставку дисконтирования, поскольку неопределенность основных факторов денежных потоков (объема продаж, затрат) на дату применения опциона может быть не такой, как установленная в момент оценки. В итоге, в расчетах нужно применить не безрисковую ставку, а ставку дисконтирования, показывающую риски проекта. П.Фернандес, учитывая этот фактор, предлагает измененную модель для оценки неимитируемых реальных опционов, которая учитывает функцию µ и ставку дисконтирования проекта.

Я же в моих оценках буду использовать биноминальную модель оценки стоимости американского опциона и модель Блэка-Шоулза. В начале, будет рассмотрена именно модель Блэка-Шоулза.

. Метод реальных опционов в задачах о поглощении (модель Блэка-Шоулза)

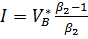
Постановка задачи о поглощении. Предположим, что поведение фирмы-поглотителя и фирмы-мишени рационально, обе стороны обладают совершенной информацией и одинаково прогнозирует будущее, и попробуем рассмотреть процесс слияния-поглощения с позиций известного метода реальных опционов[Dixit,1993]. Пусть фирма A собирается поглотить фирму B и - ценность фирмы A, - ценность фирмы B,- стоимость объединенной фирмы, ценность для фирмы A проекта поглощения фирмы B, I- плата фирмы A акционерам фирмы B за покупку их фирмы. Таким образом, сделка возможна, только если .

Предположим, что ценность фирмы  и ценность инвестиционного проекта , как обычно, представляют собой геометрические броуновские движения:; d,где α и σ - темпы роста и волатильности соответствующих процессов; dw- приращение винеровского случайного процесса.

Анализ проведем в три этапа. Сначала будем считать, что каждая сторона рассматривает цену, которую предлагает другая сторона, как данную. Рассмотрим поведение фирмы B, которая получила предложение о продаже, и установим, какой должна быть предлагаемая цена, чтобы фирма B согласилась на данное предложение. Построим безрисковый портфель Ф, состоящий из одного опциона  продать фирму B за общую сумму I и из короткой позиции по  единицам актива, который является репликой .

Ценность такого портфеля: Ф= . Держатель длинной позиции будет требовать скорректированной на риск отдачи µ от актива  , которая равна приросту капитала  плюс поток дивидендов  . Следовательно, за эту короткую позицию, включающую  единиц актива  , должны за короткий интервал времени dt заплатить  . Поэтому общая отдача от нашего портфеля за короткий временной промежуток равна dФ=dF- .

По лемме Ито , поэтому

 

и можно увидеть, что портфель действительно безрисковый. Так как портфель безрисковый, условие отсутствия арбитража имеет вид  , где r - безрисковая ставка процента, и получаем

 

Откуда

 . (1)

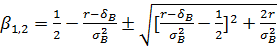
Общее решение уравнения (1) имеет вид , где , - корни квадратного уравнения  , таким образом,  , т. е. ,

Так как , получаем  и  .

Граничные условия имеют вид , где  - критическая ценность фирмы B, т. е. такая ценность данной фирмы, что оптимальное правило продажи требует продавать фирму B, если , и отказаться от предложения со стороны фирмы A, если .

Тогда получаем

; ,

Откуда

 , т. е.  .

Фирме B следует принять предложение фирмы A относительно продажи фирмы B, если

  (2)

и отвергнуть его в противном случае.

Теперь, зная, что цена I , на которую может согласиться фирма B, равна произведению некоторой константы  на ценность фирмы B, рассмотрим поведение фирмы A. Очевидно, что определяя для себя оптимальное правило инвестирования, фирма A рассматривает не только изменение во времени своей собственной ценности и ценности фирмы B, но и изменение во времени цены продажи фирмы B. Точно так же и фирма B при определении своего оптимального инвестиционного правила рассматривает изменение во времени не только своей собственной ценности и ценности фирмы A, но и цены покупки, предлагаемой фирмой A.

Теперь ценность опциона инвестировать является функцией ) обеих переменных  и  и притом однородной первой степени: ясно, что если  и  увеличить вдвое, то вдвое же увеличится и ) .

Предполагая, что на рынке существуют реплики для и , построим безрисковый портфель Ф, содержащий один опцион ), а также короткую позицию по m единицам  и короткую позицию по n единицам . С помощью леммы Ито находим:

,

где ρ - коэффициент корреляции между  и .

Для того чтобы портфель Ф был безрисковым, выберем ,. Держатель короткой позиции должен платить держателю длинной позиции поток дивидендов


С другой стороны, доходность портфеля Ф должна равняться безрисковой доходности , и поэтому получаем дифференциальное уравнение:

         (3)

Граничные условия имеют следующий вид:

 ;

;

.

Теперь воспользуемся однородностью и сведем дифференциальное уравнение в частных производных (3) к обыкновенному дифференциальному уравнению. Обозначим p= .

Тогда  ,где  . Поэтому

 ; ;  ;  ;

 

Подставляя данные выражения в уравнение (3), получаем:

 

откуда, приводя подобные и деля на , находим:

                      (4)

Граничные условия принимают вид

 ;   (5)

     ;       (6)

    (7).

Любое из трех граничных условий (5)-(7) может быть выведено из двух остальных. Общее решение уравнения (4) имеет вид

,

где  - корни квадратного уравнения

 .

Поэтому

       ,      (8)

где  . Таким образом, ,.Так как , имеем  . Воспользуемся граничными условиями

     ;       (9)

       .      (10)

Разделив (9) на (10), видно, что  , т. е.  .

Иными словами,  .

Оптимальное инвестиционное правило для фирмы A выглядит следующим образом. Фирма A должна покупать фирму B тогда и только тогда, когда

 ,        (11)

где  определяется выражением (8).

Зная теперь, что цена покупки, на которую может согласиться фирма A, равна произведению некоторой константы  на ценность  для фирмы A проекта покупки фирмы B, рассмотрим поведение фирмы B. Задавшись вопросом, когда же акционерам фирмы B следует продавать свою фирму, мы, очевидно, получим то же самое дифференциальное уравнение (4), а граничные условия теперь примут вид

 ; ;  ,

и мы придем к решению

 ,

где  - положительный корень уравнения (8). Таким образом, оптимальное правило продажи для фирмы B выглядит следующим образом. Фирме B следует откликнуться на предложение фирмы A тогда и только тогда, когда

   .      (12)

Из (11) видим, что  , а из (12), что  . При этом . Введем в рассмотрение величину θ=I-1 . Это та доля рыночной стоимости фирмы B, которую получат ее собственники в качестве премии. Имеем: I=(1+θ) , , т. е. собственники фирмы B получают θ , а фирме A достается  от суммарного синергетического эффекта слияния  .

Таким образом, если собственники фирмы B немедленно получают кроме рыночной стоимости своей фирмы еще и процент θ ее рыночной стоимости в виде премии за продажу, т. е. получают  сегодня же, то собственники фирмы A получают от поглощения фирмы B в течение всей будущей деятельности фирмы A инкрементальный денежный поток, чистая приведенная стоимость которого равна , но сегодня и в ближайшем будущем они, скорее всего, терпят одни лишь убытки.

Модель Блэка-Шоулза допускает большой ряд приближений, поэтому будет рассмотрена еще одна модель - биноминальная модель. Она является более точной.

. Анализ эффективности поглощения компании Сибирьтелеком компанией Ростелеком

Обычно, перед началом построения биноминальной модели, делают некоторые предположения. Оценка стоимости опциона будет производиться для рынка, на котором не выплачиваются дивиденды, и также я буду использовать принцип риск-нейтрального мира (т.е. процентная ставка r остается неизменной на протяжении всего рассматриваемого интервала).

Биноминальная модель используется для американского опциона, так как позволяет учесть возможность раннего исполнения опциона. Для оценки стоимости опциона с помощью биноминальной модели предположим, что в небольшой временной интервал ∆t может измениться лишь в двух направлениях, в u(u>1) раз, если цена будет расти, и в d(d<1) раз в противном случае, как показано на рис.3.


От значения S к значению Su цена движется с вероятностью p, а к значению Sd с вероятностью 1-p. Далее определим параметры p, u и d, используемые в модели. Они должны давать верное значение изменения стоимости базового инструмента за малый промежуток времени ∆t. Учитывая сделанные предположения, математическое ожидание стоимости базового актива в конце временного интервала ∆t будет равным Se∆t=pSu+(1-p)Sd.

Для малых ∆t законченное биноминальное дерево выглядит так, как показано на рис.4


Для оценки эффективности поглощения предлагаю использовать биноминальную модель оценки стоимости опциона, но не в классическом варианте.

Рассчитывать стоимость компании я буду по методу мультипликатора (иное название по методу аналогов). Считается, что этот метод наиболее простой и надежный, так как не требует никаких дополнительных предположений, достаточно смоделировать денежные потоки на прогнозируемый период.

Основные показатели, необходимые для расчета стоимости компаний:

отношение: рыночная цена акции к прибыли на одну акцию (P/E);

отношение: рыночная цена акции к доходу на одну акцию (P/S).

Данные показатели уже рассчитаны для 15 компаний отрасли связи

В данной таблице представлена часть из них:

Таблица 5

Финансовые коэффициенты


P/E

P/S

Ростелеком

76,6

2,1

Сибирьтелеком

9,2

0,9

ЦентрТелеком

9

1,5

Уралсвязьинформ

7,4

Среднее по отрасли

13,3

1,3


Я буду использовать средний по отрасли показатель P/S=1,3

Для начала требуется определить стоимость каждой компании по отдельности.

У меня есть данные о выручке компаний с 2005 по 2010 год. На основе этого определяю средний темп роста этих двух компаний:

Ростелеком- 108,48%

Сибирьтелеком- 105,86%.

Но на основе проведенного финансового анализа компании Сибирьтелеком и на основе экспертных оценок сотрудников компании Сибирьтелеком, данный темп роста доходов компании сильно завышен и не отражает реального положения дел, поэтому было принято решение взять темп роста доходов компании 101%.

На основе этих данных была построена биноминальная модель, показывающая стоимость компании, как стоимость call-опциона, единица измерения в таблицах тыс. руб.

Для компании Ростелеком: k=1,08

2010


2011


2012


2013







R


R

p

R

p

R

p

S


p*S


(Si-S)^2







76247108,49

0,51

99121241,03


50750075,41


34803019533214,70





70599174,52

0,64










65369606,04

0,8



65369606,04

0,38

84980487,85


32632507,34


2773126393176550,00

60527413




60527413,00

0,32










56043900,93

0,2



56043900,93

0,10

72857071,20


6994278,84


509582671140629,00





51892500,86

0,04














48048611,90

0,01

62463195,48


499705,56


31213206313010,00










S=

90876567,14

δ=

57868171,65

Рис.5 биноминальное дерево оценки стоимости компании Ростелеком

В данной модели k=1,08 - темп роста, R-выручка компании, p-вероятность. С которой выручка компании будет либо расти, либо падать, взята на основе экспертных оценок, S- стоимость компании, рассчитанная как выручка, умноженная на показатель P/S=1,3. Так ожидаемая стоимость будет равна математическому ожиданию стоимостей E(S)=. Также было посчитано среднеквадратическое отклонение в последнем столбце.

Аналогичным образом были проведены расчеты для Сибирьтелекома.

Сибирьтелеком:

k=1,01

2010


2011


2012


2013







R

p

R

p

R

p

S


p*S


(Si-S)^2







30009125,96

0,51

39011863,74


19974074,24


108055606128,12





29712005,90

0,64










29417827,62

0,8



29417827,62

0,38

38243175,91


14685379,55


561615553296868,00

29126562




29126562,00

0,32










28838180,2

0,2



28838180,20

0,10

37489634,26


3599004,89


134925376968533,00





28552653,66

0,04














28269954,12

0,01

36750940,36


294007,52


10805052936557,90










S=

38552466,20

δ=

26598008,17

Рис.6 Биноминальное дерево оценки стоимости компании Сибирьтелеком

Далее мне потребуется рассчитать стоимость объединенной компании, для этого мы складываем выручку. Но просто сложить выручку было бы неправильно, поскольку при слиянии обычно имеется синергетический эффект, о котором говорилось в первой главе. В рамках данной работы просчитать синергетический эффект является затруднительным. Поэтому следует упростить задачу и допустить, что синергетический эффект будет складываться из снижения затрат на оплату труда сотрудникам. Из-за того, что в данных компаниях имеются отделы, выполняющие одинаковые функции, будет очевидно происходить сокращение кадров.

Суммарные затраты на оплату труда составят 12464281 тыс. руб. Предполагается, что они снизятся на одну треть, то есть к суммарной выручке двух компаний добавятся 4154760 тыс. руб. В итоге выручка объединенных компаний составит 938808735 тыс. руб. против 89653975 тыс. руб. если бы складывались выручки двух компаний по отдельности. Это и есть одна из составляющих синергетического эффекта. Соответственно, для объединенной компании строится такая же биноминальная модель, как и для Ростелекома и Сибирьтелекома.

=1,08

2010


2011


2012


2013







R


R

p

R

p

R

p

S


p*S


(Si-S)^2







118171989,6

0,73

153623586,49


111991594,55


30625035800704,80





109418508,89

0,81










101313434,16

0,90

0,24

131707464,41


32004913,85


4215286051930660,00

93808735




93808735,33

0,18










86859940,12

0,10



86859940,12

0,03

112917922,16


3048783,90


244727035530824,00





80425870,48

0,01














74468398,60

0,00

96808918,18


96808,92


9371966638408,69










S=

147142101,22

δ=

67082114,53

Рис.7 Биноминальное дерево оценки стоимости объединенных компаний

В данной ситуации стоимость опциона S является ожидаемая, и данная модель обеспечивает наглядное понимание опционного ценообразования. Но, здесь используется очень бедное распределение, которое подразумевает, по сути, всего два исхода: либо у нас все идет хорошо, либо у нас идет все плохо. В данной работе также не учитывались затраты на слияние и поглощение, что немаловажно. Потому далее предлагается модифицированная модель с использованием логнормального распределения.

Модель построена с использованием Crystal Ball.

Математически ее можно описать так: стоимость компании на момент времени t вычисляется как . Стоимость call- опциона равна максимальному итоговому значению минус затраты на слияние, по аналогии рассчитываются стоимости для Ростелекома и Сибирьтелекома.


Рассчитанные стоимости указаны в красных полях, как можно заметить, не сильно отличаются от ранее полученных, но они более точные, за счет логнормального распределения. Для оценки вероятности потерь мы можем посмотреть на forecast chart.


На данной диаграмме показывается ожидаемая стоимость опциона ( компании после слияния или поглощения) и вероятности, с которыми эта стоимость будет выше или ниже ожидаемой.

Аналогично и для диаграммы , на которой изображается выигрыш от слияния и поглощения, включая синергетический эффект.


Данная программа наглядно показывает, что синергетический эффект может быть как отрицательным, так и положительным. В этой модели это связано с риском недооценки потенциальных затрат и с необъективной оценки компаний, поскольку устанавливая темпы роста компаний, я основывалась на очень оптимистичных сценариях развития, но тем не менее были учтены и другие сценарии.

. Заключение

Слияния и поглощения - один из самых распространенных путей развития, к которому прибегают в настоящее время большинство даже самых успешных компаний. Этот процесс в современных условиях становится явлением обычным и практически повсеместным. Он применяется с целью расширения деятельности компании и создания стратегического преимущества, когда внутреннее развитие в рамках компании сочтено руководством данной компании менее эффективным. Также практикуется для повышения одной из компаний, снижение налогов и получения налоговых льгот, диверсификации в другие виды бизнеса.

Проведенный анализ в данной работе показал, в целом, позитивную динамику основных финансовых показателей Ростелеком, а также была показана целесообразность данного слияния, несмотря на множество допущений, принятых в данной работе. Данное слияние позволит компании Ростелеком на новые рынки отрасли связи, а также укрепить позиции на уже существующих рынках, при этом риски будут минимальны.

В ходе данной работы было показано, что использование NPV метода нецелесообразно для сделок слияния и поглощения, так как при его использование будут трудности с прогнозированием показателей бухгалтерской отчетности, а также данный метод не позволяет учитывать стохастическую природу некоторых параметров проекта (например, цен).

Результатом данной работы стало значение порядка 15 млрд. рублей - это ожидаемый эффект от слияния. Таким образом, данный проект можно представить как успешный.

Стоит заметить, что по аналогичным расчетам MC Kinsey&Co.и Roland Berger , совокупная приведенная стоимость синергий может составить порядка 30 млрд. рублей. Это означает, что результаты, полученные в этой работе, близки к реальным. Разница оценок более, чем в два раза обусловлена тем, что в магистерской диссертации рассматривалось слияние двух компаний, а в реальности Ростелеком осуществлял слияние с 7, и еще в работе заданы достаточно оптимистические темпы роста доходов.

Далее рассматривалась модель Блэка-Шоулза в задаче о поглощении. В ней были получены параметры, по которым можно определить, выгодно ли одной фирме поглощать другую.

. Список литературы

1.Адельмейер М. Опционы Call и Put: Экономическое и математическое содержание опционов. М.: Финансы и статистика, 2004-104с.

.Бахрамов Ю., Сахаров А. «Методы оценки рисков при составлении оценки плана финансирования инвестиционного проекта. Рассмотрены методы и математические процедуры, надежно ориентирующие траекторию реализации плана проектам на заданный результат». Инвестиции в России, №7-8,1997.

.Гохан Патрик. Слияния, поглощения и реструктуризация бизнеса. М., Альпина Бизнес Букс, 2004.

.Иванов Ю. Слияния, поглощения и разделение компаний: стратегия и тактика трансформации бизнеса. Издательство: Альпина, 2001-244с.

.Игнатишин Ю.В. Слияния и поглощения: стратегия, тактика, финансы. 2005

.Козицын С.А. Самое страшное слово для инвестора/ С. А. Козицын, Д.И. Лодыгин//Коммерсант,2000-№201.

.Любинин А. Реорганизация акционерных обществ и становление финансово-промышленных групп//Российский экономический журнал,-1994,№11.

.Мазур И. И., Шапиро В.Д. Реструктуризация предприятий и компаний, 2007.

.Рид С.Ф., Лажу А.Р. Искусство слияний и поглощений. М. Альпина Бизнес Букс, 2004.

. Рудык Н.Б. Конгломератные слияния и поглощения: Книга о пользе и вреде непрофильных активов, 2005, с.254.

. Шеремет А.Д., Сайфуллин Р.С., Негашев Е. Анализ финансовых результатов деятельности предприятий// Финансовая газета, 1992- №50.

. Эванс Ф., Бишоп Д. Оценка компаний при слияниях и поглощениях. М., Альпина Бизнес Букс, 2004.

. Халл Дж. « Опционы, фьючерсы и другие финансовые инструменты». М., Вильямс, 2008.

. Damodaran A. Strategic Risk Taking: A Framework of Risk Management

. Fernandez P. Valuing real options: frequently made errors. NY.: IESI Business School, 2001.

16. Интернет-сайт газеты «Коммерсант», <http://www.kommersant.ru>

. Интернет-сайт «РосБизнесКонсальтинг-исследования», <http://marketing.rbc.ru>

.Интернет-сайт “E-xecutive”- <http://www/e-xecutive.ru>

. Интернет-сайт «Слияния и поглощения»- <http://mergers.ru>

. Электронный экономический справочник <http://bigmir.net>.

.Финансовая информация компании ОАО «Ростелеком».

.Финансовая информация компании ОАО «Сибирьтелеком».

Похожие работы на - Метод реальных опционов в задачах о слиянии и поглощении

 

Не нашли материал для своей работы?
Поможем написать уникальную работу
Без плагиата!
Без нейросетей!