Матричные паттерны проектирования решений

  • Вид работы:
    Статья
  • Предмет:
    Менеджмент
  • Язык:
    Русский
    ,
    Формат файла:
    MS Word
    129,86 Кб
  • Опубликовано:
    2016-09-03
Вы можете узнать стоимость помощи в написании студенческой работы.
Помощь в написании работы, которую точно примут!

Матричные паттерны проектирования решений















Матричные паттерны проектирования решений


А.М. Алексеева, Н.А. Клюжев

Измерять, что измеримо, делать измеримым то, что, ещё не измеримо. Галилео Галилей

Предложенная в статье авторами методика получения оценок, непосредственно используемых в процедурах проектирования управленческих решений в сферах менеджмента различного уровня, отличается новизной и актуальностью, поскольку не имеет аналогов в литературе и отражает новый подход в прикладном использовании модели многофакторной линейной регрессии.

Управленческие задачи в экономике предполагают проверку гипотез, извлечённых из экономических теорий или воззрений относительно некоторого объекта. С этой целью применяются эконометрические методы, например, одномерного или двумерного статистического анализа, чтобы оценить некоторые существенные параметры объекта, необходимые для его понимания или принятия решений о его управляемом поведении. По этой причине на практике для убедительной проверки некоторой конкурирующей гипотезы опираются на анализ данных, что требует многомерного анализа, сущность которого в одновременном учёте взаимосвязей между более чем двумя переменными.

Важной составляющей многомерного анализа является регрессионный анализ по методу наименьших квадратов. В многофакторной регрессии используются несколько факторов, статистически взаимосвязанных между собой и с результативным признаком (результатом). В нашей работе показано, как, используя экономические данные, представленные в матричной (табличной) форме, можно получить важные количественные оценки для модели гипотетического линейного соотношения между несколькими экономическими показателями (факторами  объясняющими переменными, и результатом - объясняемой переменной). Форму нашего подхода отражает понятие «паттерн» (анг. рattern): модель или шаблон; образец или пример; система или структура. Любой паттерн представляет собой формализованное описание часто встречающейся задачи совместно с указанием алгоритма удачного решения данной задачи, а также рекомендации по применению этого решения в различных ситуациях. Сообразное использование паттерна дает его пользователю ряд неоспоримых преимуществ. В науке, в том числе в математике, паттерны выявляются путем исследования.

Основная задача нашей статьи - это продемонстрировать положение, что вся необходимая для регрессионного анализа информация содержится в ковариационной матрице данных и производных от неё матриц-паттернов проектирования решений, и наглядно показать, как формируется матричная линейная модель для решения прямой и обратной задачи многофакторной регрессии. Под прямой задачей понимается оценка приращения результата вследствие заданных приращений факторов с учётом из статистической взаимосвязи, а под обратной задачей - оценка приращений факторов при заданном приращении результата. Отметим, что в методике применяемого сегодня линейного многофакторного регрессионного анализа обратная задача вообще не решается, несмотря на её практическую важность, а в решении прямой задачи не учитывается взаимосвязь факторов. Причина этого в экономической интерпретации коэффициента регрессии как коэффициента пропорциональности между приращением результата и приращением данного фактора при условии, что остальные факторы не варьируются и равны своим средним значениям. Такое моделирование экономических процессов ограничивает практическую значимость модели линейной регрессии в процедурах оценивания и принятия управленческих решений во всех сферах менеджмента.

Изложение методики решения сформулированных выше задач демонстрируется конструктивным примером, что способствует практическому усвоению темы данной работы.

Пример. В табл. 1 представлены центрированные значения индексов цен (%)производителей промышленных товаров по Российской Федерации за 15 лет (1998-2012 гг.). В таблице:  промышленные товары (среднее 118,584%);  добыча полезных ископаемых (среднее 127,847%);  обрабатывающие производства (среднее 117,073%); производство и распределение электроэнергии, газа и воды (среднее 116,006%).

Таблица 1

Центрированные значения индексов цен

№ n\n

№ n\n

1

-29,15

14,35

-13,83

0,81

9

-26,25

-3,73

-5,71

-8,21

2

97,35

50,48

1,70

52,07

10

24,45

0,87

-2,75

6,49

3

21,25

7,69

25,57

13,34

11

-66,25

-15,15

1,99

-25,58

4

-23,85

-10,80

11,38

-10,25

12

21,35

-11,19

2,28

-4,73

5

-2,05

-3,88

10,00

-0,93

13

-10,75

-0,17

-2,19

6

-26,05

-1,28

-1,56

-6,04

14

-1,55

-8,75

-10,92

-6,57

7

36,85

4,38

-3,56

10,25

15

-18,55

-13,85

-9,04

-13,44

8

3,15

-8,93

-3,42

-5,23







Построим первый паттерн с именем  - ковариационная матрица задачи (см. табл. 2).

Таблица 2

Паттерн  “Ковариационная матрица задачи”


1332,773156

416,517476

61,76125333

556,1230133

 =

416,5174756

245,55822

8,239997333

245,1355493


61,76125333

8,23999733

90,625384

29,87230267


556,1230133

245,135549

29,87230267

278,5626107


Ковариационная матрица  является симметрической матрицей и соответствует матрице второго дифференциала минимизируемой функции метода наименьших квадратов (МНК).

Диагональные элементы  матрицы  равны дисперсиям переменных, а вне диагонали стоят значения ковариаций  элементов на пересечении й строки и го столбца матрицы.

Построим второй паттерн с именем  - “Матрица парных коэффициентов регрессии” (см. табл. 3). Для этого разделим все элементы первой строки на элемент , второй строки на  и так далее до последней строки ковариационной матрицы. В результате получаем матрицу, составленную из коэффициентов регрессии  модели парной линейной регрессии переменной с индексом j на переменную с индексом i. Например, , что позволяет количественно оценить приращение фактора  за счёт приращения фактора . Элементы последнего столбца равны коэффициентам регрессии результата  на фактор , т.е. . Элементы последней строки равны коэффициентам регрессии , например, . В общем случае парная регрессия означает, что по значениям переменной с индексом i можно статистически оценить значение переменной с индексом j.

Таблица 3

Паттерн B- “Матрица парных коэффициентов регрессии”



1

0,312519406

0,046340409

0,417267568

B=

1,69620661

1

0,03355619

0,99827874


0,681500597

0,090923723

1

0,329624012


1,996402216

0,880001622

0,107237301

1


Покажем основное свойство паттерна B, предположив, что нам известны коэффициенты регрессии  трехфакторной линейной регрессии для центрированных переменных: . Доказательство:


Для суммы справа выполняется равенство , которое совпадает с м уравнением нормальной системы алгебраических уравнений стандартизованной форме. Тогда получаем, что


Доказанное свойство паттерна B позволяет вычислить вектор .

Для этого выделим в паттерне B подматрицы и составим систему уравнений:

.

Решая эту систему уравнений, получаем вектор

.

Таким образом, данные в паттерне B с применением алгоритма решения системы алгебраических уравнений в матричной форме дают построение модели регрессии в форме . Аналогичным образом вычисляются коэффициенты регрессии фактора  на предшествующие ему  факторов. Например, это требуется для формирования матрицы нагрузок  (см. далее).

Докажем, что скалярное произведение вектора с первыми тремя компонентами последней строки матрицы на вектор коэффициентов регрессии  классической модели регрессии для принятого в задаче порядка следования факторов равно значению коэффициента детерминации .

Имеем скалярное произведение в виде


Последнее равенство есть коэффициент детерминации в стандартизованном масштабе. В нашем примере вычисление скалярного произведения даст

0,9963

С другой стороны , т.е. 99,63 % вариации индекса цен на промышленные товары объясняется вариацией всей совокупности факторов. Квадратный корень из  равен множественному коэффициенту корреляции, если модель линейна по параметрам. Стандарт результативного признака: (см. паттерн COV).

Паттерн В содержит информацию о коэффициентах детерминации , , которые вычисляются аналогично . Например,

.

Эти последовательные коэффициенты детерминации несут статистическую информацию о совокупной объяснительной способности влияния вариации первых  факторов на й фактор.

Таким образом, в матрице парных коэффициентов регрессии содержится информация о качестве уравнения регрессии при данном совокупном влиянии факторов между собой и на результативный признак (результат). Проверка гипотезы качества модели выполняется по F-критерию Фишера [3].

Поскольку , то по данным паттерна В вычисляются все парные коэффициенты корреляции. Например,


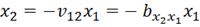
Следующим важным и далеко не очевидным, но крайне важным для практики свойством, является то, что в столбцах паттерна B отражено взаимное изменение приращений факторов при изменении на 1 единицу одного из них. Например, в первой строке приращение на 1 единицу индекса цен на добычу полезных ископаемых статистически должно изменить индексы цен: на 0,312519406 в обрабатывающих производствах, на 0,046340409 при производстве и распределении электроэнергии, газа и воды. При этих изменениях факторов изменение индекса цен на промышленные товары должно статистически получить приращение на 0,417267568, которое равно коэффициенту парной регрессии результата y на фактор  Парадокс? Нет! регрессия ковариационный матрица паттерн

В нашей работе [1, 2] рассмотрен метод построения системы ортогональных функций, названных спектральными и совпадающими с функциями П.Л. Чебышева для функций нескольких переменных. Из последнего равенства в линейной модели регрессии = Xa = XVc следует, что вектор коэффициентов регрессии классической модели может быть разложен по столбцам матрицы нагрузок V, т.е. a = Vc, с - вектор спектральных коэффициентов регрессии в модели c. Спектральные функции , например, для нашего примера имею вид: , , ортогональны в смысле скалярного произведения . Модель  записана для центрированных переменных. Она показывает, что при принятой экономической интерпретации коэффициентов регрессии и приращении фактора  и при  приращение результата равно . Таким образом, принятая на практике интерпретация коэффициентов регрессии не соответствует модели, поскольку игнорируется взаимосвязь факторов. Если положить, что при  учесть взаимосвязь факторов условиями  и , то , что и наблюдается в последней строке паттерна В, т.к. .

Следовательно, парадокс, выявленный ранее, нашёл своё обоснование в рамках работы [1].

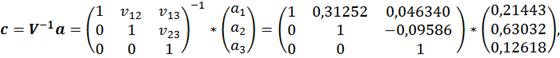
Матрица нагрузок  для выбранного порядка следования факторов может быть вычислена различными способами [1, 2]. В примере с учётом числа факторов она имеет вид

.

Значение элемента  легко усмотреть в матрице паттерна B, где он равен коэффициенту регрессии . Рассуждая аналогичным образом, получаем значения элементов  и  как коэффициенты двухфакторной регрессии  по алгоритму получения вектора .

Составляем систему из двух равнений


Решая её, находим, что  есть элементы последнего столбца матрицы .

С использованием данных паттерна COV и матрицы нагрузок  по формуле


вычисляем оценки дисперсий спектральных функций и коэффициенты парной корреляции

, ,

что позволяет представить коэффициент детерминации в виде


Такое представление с учётом, что  полином Чебышева, позволяет считать  коэффициентом раздельной детерминации, измеряющего «взнос» каждой спектральной функции в объяснение вариации результативного признака [3].

Например, , что позволяет оценить вклад в вариацию результата третьей спектральной функции в 0,5%, второй - 15,8%, а основной вклад вносит первый фактор - 83,3% (при принятой последовательности включения факторов в модель регрессии).

Вычисление статистических характеристик также возможно по данным матрицы паттерна B. Изложение этих алгоритмов составляет самостоятельную задачу.

Отметим, что вычисления элементов матрицы V существенным образом зависят от порядка включения в модель факторов, т. е. если требуется изменить порядок факторов, то требуется повторное формирование паттернов согласно изменённому порядку следования факторов в модели. Некоторые показатели модели регрессии инвариантны к выбору порядка факторов, однако, их расположение в матрицах паттернов измениться.

Из перебора значений коэффициентов в последнем столбце паттерна В следует, что можно выделить фактор, приращение значений которого в наибольшей степени влияет на приращение результативного признака. Так в примере это будет фактор  обрабатывающие производства.

Для контроля вычислений найдём спектральные коэффициенты, решая систему


Составим матричный паттерн R - “Реверс задачи”, который представляет структуру системы уравнений, позволяющих решать две взаимообратные задачи. Первая задача называется прямой: по заданным значениям факторов вычисляется значение результативного признака и соответствующих спектральных функций. Вторая задача называется обратной к прямой задаче, поскольку по приращению результативного признака вычисляются соответствующие приращения факторных признаков.

Обе задачи можно рассматривать как задачи прогнозирования. Решение прямой задачи даёт прогнозное значение результата и значения спектральных функций, если воспользоваться прогнозными значениями факторов, полученными с учётом их статистической взаимосвязи. Паттерн В содержит частный случай решения прямой задачи, когда выбран доминирующий фактор, например, фактор  - обрабатывающие производства, имеющий наибольший коэффициент корреляции с результатом. Решение непосредственно считывается как наибольшее значение приращения результата, равное 0,998 при  и совпадающее с парным коэффициентом регрессии . В общем случае для решения указанных выше задач необходим паттерн R - “Реверс задачи”.

В табл. 4 представлен паттерн R для линейной регрессии с тремя факторами.

Таблица 4

Паттерн R- “Реверс задачи



Ŷ

 

 

 


1

0

*

=

 

1




Паттерн R представляет:

1) прямую задачу ;

2) обратную задачу .

Решение обратной задачи представлено на рис. 1 для частного случая , описанного выше, для всех значений  из табл. 1.

Рис. 1. Графики расчетных приращений факторов в функции от

Рис. 1 наглядно демонстрирует согласованную с вариацией результативного признака вариацию факторов, что обусловлено учётом их статистической взаимосвязи и согласуется с представлением об оценке показателей управляемых процессов, синтезируемых на основе управленческих решений.

На практике процессы управления и функционирования систем протекают во времени и с временным сдвигом друг к другу, что демонстрируют графики рис. 2.

Рис. 2. Графики приращений  по фактическим значениям факторов (табл. 1)

Вычисления показывают, что полное решение обратной задачи требует вычисления для вектора  также и прогнозных оценок спектральных функций , что может быть выполнено различными методами, например, построением матричных мультитрендовых моделей прогнозирования [4].

Выводы.

1. Основная новизна методики состоит в постановке и методе решения прямой и обратной задач линейной регрессии, имеющих экспрессный характер анализа экономических данных и синтеза основных оценок прогнозных решений.

2.      При необходимости статистической оценки параметров модели методика может быть дополнена соответствующими процедурами, использующими информацию, представленную ковариационной матрицей данных.

.        Опыт применения в учебном процессе в высшей школе разработанной авторами методики показал, что наглядность и структурированность процесса проектирования решений на основе количественных моделей повышает их понимание и обоснованность для применения их в сфере менеджмента.


Литература:

1. Клюжев Н.А. Спектральный анализ регрессионных эконометрических моделей.// ВЕСТНИК ИНЖЭКОНА. 2007. Вып.4(17). Серия «ЭКОНОМИКА» - с. 219-226

. Клюжев Н.А. Спектральное оценивание в прикладном регрессионном анализе (часть I) // Сборник научных трудов «Современные тенденции в науке, экономике и управлении» - Псков: Издательство «ЛОГОС Плюс», 2013.-стр.241-287.

. Елисеева И.И., Юзбашев М.М. Общая теория статистики: Учебник / Под ред. чл. корр. РАН И.И. Елисеевой.- 4-е изд., перераб. и доп. - М.: Финансы и статистика, 2002.- 480 с.: ил.

. Модели и методы социально-экономического прогнозирования / Учебн. пособие: составители д.э.н., проф. Давнис В.В. и др.Экономич. фак-т Воронежского ун-т: Воронеж, 2004 г.-114 с.

Похожие работы на - Матричные паттерны проектирования решений

 

Не нашли материал для своей работы?
Поможем написать уникальную работу
Без плагиата!
Без нейросетей!