Салон красоты 'Perfect'

  • Вид работы:
    Бизнес-план
  • Предмет:
    Менеджмент
  • Язык:
    Русский
    ,
    Формат файла:
    MS Word
    34,61 Кб
  • Опубликовано:
    2016-01-12
Вы можете узнать стоимость помощи в написании студенческой работы.
Помощь в написании работы, которую точно примут!

Салон красоты 'Perfect'

1.      Описание предприятия и отрасли

Данный бизнес план пекарни предполагает открытие предприятия с организационно-правовой формой - индивидуальный предприниматель.

Для начала ведения предпринимательской деятельности планируется пройти процедуру государственной регистрации в качестве индивидуального предпринимателя. Согласно ОКЭВД будут осуществляться следующие виды деятельности:

·        93.02 Предоставление услуг парикмахерскими и салонами красоты;

·        52.33 Розничная торговля косметическими и парфюмерными товарами;

·        85.14 Прочая деятельность по охране здоровье;

·        93.04 Физкультурно-оздоровительная деятельность.

Данная форма была выбрана из-за того, что она позволяет использовать упрощенную форму налогообложения и не вести бухгалтерский учет на предприятии.

Предполагается открытие салона в здании по адресу 40 лет Победы, дом 17. Для работы предприятия необходимо создать штат из 10 человек, найти арендаторов кабинета косметолога и стола маникюра, закупить необходимое оборудование.

маркетинговый финансовый инвестиционный конкурентоспособность

1.1 Общая информация

Таблица 1 - Общая информация о вновь создаваемом предприятии

Название предприятия

Салон красоты «Perfect»

Адрес

ул. 40 лет Победы, д. 17

Организационно-правовая форма

Индивидуальное предпринимательство

Система налогообложения

УСН, модель: 15% от прибыли

ФИО руководителя

Боровинских Ирина Сергеевна

Дата регистрации

01.01.2014 г.

Учредители предприятия

БББББББББ Ирина Сергеевна

Размер уставного капитала

350 тыс. рублей

Выпускаемая продукция или услуги

Услуги салона красоты Розничная торговля косметическими и парфюмерными товарами


1.2 Помещение

Для реализации проекта выбрано помещение площадью 65,38 кв. м. в новом спальном районе города Челябинска.

Стоимость аренды составит 47000 рублей в месяц.

Данное помещение будет разделено на следующие зоны:

·        Зал ожидания - 7,08 кв. м.

·        Парикмахерский зал №1 - 18,03 кв. м.

·        Парикмахерский зал №2 - 18 кв. м.

·        Кабинет косметолога - 12,1 кв. м.

·        Зал солярия - 4,96 кв. м.

·        Туалетная комната - 1,9 кв. м.

·        Подсобное помещение - 3,02 кв. м.

Необходимо осуществить лишь косметический ремонт помещения, так как оно находится в недавно выстроенном здании и ранее в нем не велась никакая предпринимательская деятельность.

В помещении уже есть напольная белая плитка, и потолок окрашен белой краской. Полностью оборудована туалетная комната. Все это позволит нам значительно уменьшить затраты на ремонт.

Общая стоимость строительных материалов - 22000 рублей.

Стоимость работ - 131000 рублей.

Прочие материалы - 19000 рублей.

Услуги клининговой компании по подготовке салона к открытию - 4000 рублей.

Итого единоразовые затраты на ремонт составят 176000 рублей.

2.      Описание продукта

Салон красоты будет работать в следующих, наиболее востребованных на рынке направлениях:

·        Парикмахерские услуги (мастера-универсалы);

·        Маникюр (стандартный уход; наращивание, коррекция и дизайн);

·        Косметологические услуги (уход за кожей лица; уход за бровями и ресницами; эпиляция; пилинг, чистка лица);

·        Визаж (нанесение макияжа, подбор индивидуального макияжа на каждый день);

·        Солярий (вертикальный);

·        Продажа профессиональных средств для ухода за волосами, лицом и телом;

·        Продажа профессиональных средств для солярия.

Особенность нашего салона состоит в том, что он предоставляет выездные услуги по обслуживанию клиентов, что очень удобно при проведении свадеб, мероприятий в больших фирмах, показов мод, студийных фотосъемок и т.д.

Уютная обстановка и прекрасный сервис также будут являться отличительными чертами салона красоты.

При оказании услуг будут использоваться только высококачественные средства и материалы, которые посетители смогут приобрести у нас же для использования дома, следуя рекомендациям специалистов салона.


3.      План маркетинга

В настоящее время люди все больше заботятся о своем здоровье и внешнем виде, поэтому салон красоты является довольно перспективным вложением денежных средств.

Наш салон расположен в жилом комплексе «Александровский». На данный момент две трети домов уже сданы в эксплуатацию, конец строительства планируется на 2016 год, следовательно, со временем, число потенциальных клиентов будет значительно расти. Недвижимость в данном районе позиционируется как комфортная и престижная. Наша деятельность в основном будет направлена на жителей района, следовательно, целевым сегментом являются люди со средним и выше среднего доходом. Более того, предполагается приток посетителей и из других районов, так как в нашем городе работает не очень много салонов красоты middle-класса.

В жилом комплексе уже открыт один небольшой салон красоты. Он находится на противоположной стороне района, в месте застройки первой очереди домов, довольно давно сданной в эксплуатацию, и в скором времени, перестанет удовлетворять весь объем спроса на парикмахерские услуги.

Таким образом, довольно обоснованным является предположение, что открытие салона красоты в планируемом месте будет рентабельным. Далее мы приведем сравнительный анализ нашего потенциального конкурента.

3.1 Характеристика рынка сбыта предлагаемой продукции

По объему реализации рынок сбыта нашей компании относится к основному рынку, т.е. к тому, где реализуется основная часть товаров.

По перспективам сбыта - растущий рынок, поскольку спрос на парикмахерские услуги и иные услуги, которые предоставляет салон красоты, увеличивается. Таким образом мы имеем реальные возможности для роста объемов оказания услуг.

3.2 Характеристика конкурентов

Таблица 2 - Сравнительный анализ конкурентов

Весомость

Баллы

Конкурентоспособность

Qфк

Qфк

1. Уровень цен

0,1

6

8

0,6

0,8

2. Качество обслуживания

0,4

9

6

3,6

2,4

3. Репутация фирмы

0,1

5

6

0,5

0,6

4. Месторасположение

0,15

10

8

1,5

1,2

5. Квалификация персонала

0,125

9

8

1,125

1

6. Реклама

0,125

7

3

0,875

0,375

Общая весомость

1

Суммарная оценка

8,2

6,375

Коэффициент конкурентоспособности нашей фирмы по отношению к конкуренту:


Исходя из анализа конкурентоспособности фирмы, можно прийти к выводу, что наше предприятие считается конкурентоспособным.

Наша конкурентная стратегия заключается в совокупности 2 стратегий: стратегии дифференциации и стратегии фокусирования.

Наша компания нацелена на сегмент потребителей с высоким доходом, и дополняет это широким ассортиментом оказываемых услуг, доброжелательным и качественным обслуживанием и высоким качеством предлагаемой продукции. Как видно из сравнительного анализа, мы проигрываем по уровню цен. Однако это необходимо для поддержания высокого уровня обслуживания и высокого качества обслуживания.

3.3 Ценообразование

Наше предприятие будет использовать метод «ориентации на конкурентов». Проведя маркетинговое исследование, мы пришли к выводу, что средний чек в салонах красоты, подобных открываемому, расположенных в других жилых комплексах в центре города равняется 1100 рублей. Мы установим цены таким образом, чтобы средний чек наших покупателей равнялся тем же 1100 рублям. Данная цена позволит нам покрывать все издержки, а также получать высокие прибыли. (Подробнее предварительный прейскурант представлен в приложении В)

3.4 SWOT-анализ предприятия

Таблица 3 - Первичный SWOT-анализ


Сильные стороны

Слабые стороны

Внешняя среда

Возможности (O)

Угрозы (T)


1) Расширение списка оказываемых услуг 2) Создание системы лояльности 3) Открытие новых салонов красоты 4) Уход с рынка конкурентов 5) Увеличение числа рекламных мероприятий

1) Повышение стоимости материалов 2) Появление прямых конкурентов 3) Экономический спад 4) Изменение предпочтений потребителей 5) Новые услуги могут оказаться невостребованными

Внутренняя среда

Преимущества (S)

Недостатки (W)


1) Высокое качество оказываемых услуг 2) Стабильный спрос на услуги 3) Удачное местоположение 4) Высококвалифицированные специалисты

1) Цены выше среднего 2) Малый опыт работы салона 3) Довольно высокая текучесть кадров в начале работы салона 4) Неизвестная торговая марка


Сопоставим полученные факторы для выделения возможных частных стратегий и их последующего анализа.

·        Конкурентные пассивы. Преодоление недостатков компании (слабых сторон) для нивелирования угроз (W-T)

·        Узкие места. Преодоление недостатков компании (слабых сторон) для освоения возможностей (W-O)

·        Безопасность и защита. Использование преимуществ компании (сильных сторон) для нивелирования угроз (S-T)

Таблица 4 - Поэлементный SWOT-анализ


Преимущества (S)

Недостатки (W)

Возможности (O)

Конкурентные активы (СИВ) Стратегия: Максимизация использования сильных сторон и благоприятных возможностей

Узкие места (СЛВ) Стратегия: Минимизация влияния слабых сторон и максимизация использования благоприятных возможностей


1) Стратегия быстрого роста 2) Стратегия функционального лидерства

1) Стратегия географического расширения 2) Стратегия продвижения торговой марки

Угрозы (T)

Безопасность и защита (СИУ) Стратегия: Максимизация использования сильных сторон и минимизация возможных угроз

Конкурентные пассивы (СЛУ) Стратегия: Минимизация влияния слабых сторон и минимизация возможных угроз.


1) Наступательная маркетинговая политика 2) Стратегия внедрения менеджмента качества

1) Стратегия внедрения менеджмента качества


3.5 Методы продвижения продукции

В сфере оказания парикмахерских и косметологических услуг конкуренция очень велика. Поэтому большое значение имеет разработка названия, фирменного стиля и политики нашего предприятия. Для разработки единой имиджевой концепции планируется привлечь специальное агентство, в задачу которого будет входить разработка логотипа, макета рекламы, макета фирменных бланков и единого стиля салона красоты. Эта услуга будет стоить 50000 рублей.

Рекламная акция

Для повышения осведомленности потенциальных клиентов и продвижения салона красоты на рынок планируется использовать распространение листовок по почтовым ящикам домов, находящихся вблизи открываемого бизнеса.

Для формирования сметы затрат на продвижение мы будем использовать метод «Увязывания целей и задач». Мы считаем, что это наилучший метод разработки сметы на продвижение. Бюджет формируется на основе выработки конкретных целей; определения задач для достижения целей; оценки затрат на решение этих задач.

На данный момент вблизи нашего предприятия уже выстроено и сдано 20 домов. Таким образом, исходя из количества квартир в этих домах, на изготовление и распространение листовок будет потрачено порядка 10000 рублей.

Специальные предложения

Особенностью нашего салона красоты будет предоставление выездных услуг. Мастера маникюра, визажа и парикмахеры будут обслуживать клиентов в любом, удобном для заказчика месте. Это предложение направлено на фирмы, проводящие какие-либо мероприятия, корпоративы, также оно будет актуально при проведении свадеб, фотосъемок и прочих торжетвенных событий.

При открытии салона мы намерены провести акцию «Час красоты». Ее суть в том, что клиент может записаться на определенное время к специалистам салона и получить сразу комплекс услуг: стрижка + маникюр + солярий и все это за 1 час. Данное предложение наверняка заинтересует бизнес-леди и занятых дам, которые очень ценят время и при этом хотят выглядеть безупречно. Если акция будет пользоваться успехом, то ее можно перевести на постоянную основу.

Более того, предполагается проведение других акций, приуроченных к каким-либо событиям, как, например, новый год, 8 марта, выпускной, подготовка к летнему сезону и так далее.


4.      Производственный план

.1 Мебель и оборудование

Салон красоты будет состоять из кабинета косметолога и 1 рабочего места мастера маникюра, сдаваемых в аренду, 4 рабочих мест парикмахера-универсала и 1 рабочего места визажиста-парикмахера, а также солярия.

Специфика работы парикмахера заключается в том, что в большинстве случаев мастер имеет собственные основные инструменты для работы (ножницы, расчески и т.д.), так как они подбираются индивидуально. Лишь небольшое число работников пользуются предоставляемым профессиональным оборудованием. Мастера маникюра и косметологи также сами подбирают удобные, необходимые им инструменты работы.

Исходя из этих данных, для открытия салона красоты нужны следующие вложения (подробнее в приложении Г):

•        Зал ожидания - 142800 рублей;

•        Парикмахерские залы - 266300 рублей;

•        Место мастера маникюра - 25000 рублей;

•        Косметологический кабинет - 44200 рублей;

•        Солярий - 198000 рублей;

•        Подсобное помещение - 6700 рублей;

•        Туалетная комната - 4900 рублей.

Итого всего 687900 рублей необходимо потратить на закупку мебели и оборудования. Еще 5000 рублей уйдет на приобретение посуды и мелких элементов декора: ваз, цветов, картин и прочих вещей, необходимых для создания приятной и уютной атмосферы.

Производство и монтаж вывески по заранее подготовленному макету потребует вложений в размере 25000 рублей.

Установка охранно-пожарной сигнализации обойдется еще в 20000 рублей.

4.2 План затрат на оказание услуг

Для определения плановой себестоимости продукции необходимо составить смету затрат на производство. Смета затрат позволяет определить общую потребность в ресурсах, необходимых для производства продукции.

Общая сумма затрат на производство и реализацию продукции рассчитывается по экономическим элементам следующим образом:


где

Зп - себестоимость всего объема производства продукции,

МЗ - материальные затраты;

ЗП - заработная плата основных производственных рабочих

О - отчисления во внебюджетные фонды;

А - амортизация основных фондов;

Пр - прочие затраты.

.1.1.  Расчет суммы материальных затрат

В материальные затраты включены все необходимые виды сырья: шампуни, бальзамы, маски для лица, рук и волос, восстанавливающие ампулы для волос, лаки, гели, спреи для волос, восстанавливающие масла и серумы для волос, шпильки, невидимки, зажимы, резинки, воротнички, фольга, салфетки, шапочки, антисептические средства, краска для волос, проявители, тапочки, бахилы, косметика для волос и лица для розничной продажи.

По нашим расчетам, в месяц на закупку материальных ресурсов мы будет выделять около 72 590 рублей.

Расчет затрат по оплате труда

Затраты по оплате труда сотрудников рассчитываются исходя из количества рабочих мест. Затраты оформляются в таблице 8.

Таблица 5 - План затрат на оплату труда за месяц

Категория работников

Численность, чел.

Заработная плата 1 работника за период, руб.

Заработная плата 1 работника с учетом районного коэффициента за период, руб.

Страховые выплаты, руб.

Суммарные затраты на оплату труда 1 работника, руб. (4+5)

Суммарные затраты на оплату труда работников, руб.  (6*2)

Парикмахер-универсал

4

25000

28750

8625

149500

Парикмахер визажист

2

27000

31050

9315

40365

80730

Администратор

2

20000

23000

6900

29900

59800

Уборщица

2

12000

13800

4140

17940

35880

ИТОГО

325 910


Расчет затрат на амортизацию основных средств

Расчет затрат на амортизацию основных фондов осуществляется линейным способом, по методологии утвержденной в ст.25 действующей редакции НК РФ.

Амортизация начисляется на имущество, стоимостью свыше 40 000 рублей и сроком полезного использования более одного года.

Затраты на амортизацию основных фондов, рассчитываются линейным методом в соответствии с нормой амортизации исходя из срока полезного использования основных средств и нематериальных активов:


где

На - норма амортизации,%,

Тпи - срок полезного использования имущества, в месяцах, отсюда:

где

А - амортизационные отчисления в месяц;

Сперв. - стоимость основных средств (или нематериальных активов).

Данные по амортизации основных фондов заносятся в таблицу.

Таблица 6 - Расчет затрат на амортизацию основных фондов и нематериальных активов за месяц

Наименование

Количество, шт.

Сперв., руб.

Тп.и., мес

На,  %

А  за меяц, руб. (3*5)

Вертикальный солярий

1

180 000

84

0,0119

2 142,86

Итого сумма затрат на амортизацию за период

2 142,86


Расчет потребности в прочих затратах

Таблица 7 - Расчет потребности в прочих затратах за месяц

№ п/п

Наименование

Сумма, руб.

1

Обслуживание ОПС

1 200

2

Другое (Интернет, телефон, канцелярия)

1 300

3

Утилизация волос

500

4

Услуги прачечной

2000

ИТОГО


Расчет себестоимости продукции

Таблица 8 - Смета затрат на производство

Статьи затрат

Сумма затрат на весь объем производства по периодам, руб.

1-3 мес

4-6 мес

7-9 мес

10-12 мес

Затраты на сырье и материалы

50813

58072

65331

72590

Коммунальные платежи

7000

7000

7000

7000

Затраты на оплату труда (с учетом районного коэффициента)

250700

250700

250700

250700

Страховые выплаты

75210

75210

75210

75210

Рекламная кампания

20000




Итого переменные затраты

403723

390982

398241

405500

Амортизационные отчисления

2142,86

2142,86

2142,86

2142,86

Прочие затраты

9300

9300

9300

9300

Аренда

47 000

47 000

47 000

47 000

Итого постоянные затраты

58442,86

58442,86

58442,86

58442,86

Итого полная себестоимость

462165,86

449424,86

456683,86

463942,86





5.      Финансовый план

Таблица 9 - План капитальных вложений по этапам реализации проекта

Направления капитальных вложений

Объем капитальных вложений, руб.

Источники финансирования

Условия финансирования




Срок, год

Ставка,%

Ремонт

170 000

-

-

Вертикальный солярий

180 000

Собственные средства

-

-

Ремонт

6 000

Заемные средства

3

18,5%

Мебель и оборудование

507 900

Заемные средства

3

18,5%

Реклама

50 000

Заемные средства

3

18,5%

Оборотные средства

36 100

Заемные средства

3

18,5%

ИТОГО

950 000





Таким образом, нашему предприятию необходим кредит в размере 600 000 рублей.


6.      Инвестиционный план

.1 Отчет о прибыли

Таблица 10 - Отчет о прибыли

Наименование показателей

Горизонт расчета


1 квартал

2 квартал

3 квартал

4 квартал

1. Выручка от реализации, руб.

1781850

2036400

2290950

2545500

2. Постоянные затраты, руб.

175328,58

175328,58

175328,58

175328,58

3. Переменные затраты, руб.

1211169

1172946,00

1194723

1216500

4. Себестоимость полная, руб.

1386497,58

1348274,58

1370051,58

1391828,58

5. Налогооблагаемая прибыль, руб.

395352,42

688125,42

920898,42

1153671,42

6. Налог на прибыль, руб.

59302,863

103218,813

138134,763

173050,713

7. Чистая прибыль, руб.

584906,607

782763,657

980620,707


6.2 Расчет критического объема оказания услуг

Критический объем оказания услуг - такой объем оказанных услуг, при котором выручка равна себестоимости.

Аналитический способ расчета критического объема производства в месяц


Если ввести показатель объема продаж, то формула примет следующий вид:


где

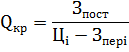
Зпост - постоянные затраты в целом на продукцию, руб.;

Зперi - переменные затраты на единицу продукции, руб./шт.;

Цi - цена единицы товара, руб./шт.; учитывая специфику рынка, данная величина может быть определена как средняя стоимость оказания услуги;

Q - объем производства, шт.        

Тогда критический объем производства Qкр можно определить по формуле:


Таким образом, для достижения точки безубыточности деятельности салона красоты в первом квартале необходимо, чтобы каждый день не менее 4 человек воспользовалось нашими услугами, потратив при этом в салоне не менее 1100 рублей.

Графическая интерпретация расчета критического объема оказания услуг

Критический объем производства



6.3 Срок окупаемости инвестиций

Срок окупаемости инвестиций - это период времени, за который доходы от вложений покрывают первоначальные затраты. Чем больше величина этого показателя, тем выше уровень инвестиционного риска и тем менее привлекателен данный проект для инвестора.

Для нахождения точного срока окупаемости, необходимо найти кумулятивную сумму денежных поступлений за целое число периодов (год), при которых такая сумма оказывается наиболее близкой к величине инвестиций, но меньше ее;

Величина инвестиций = 950000 руб.

Чистая прибыль за 1 год = 2684340,528 руб.

Таким образом, предлагаемый бизнес-проект окупается за 1 год.


Библиографический список

1. Аренда помещения - domchel.ru

2.      Наем персонала - 74.ru

.        Оборудование для салонов красоты - sun-sib.ru, stylershop.ru

.        Разработка имиджевой стратегии - fidelgroup.ru

.        Изготовление и распространение рекламных листовок - rekmir74.ru

.        Санитарные правила предприятия- inrus.com

.        Мебель и декор - ikea.com

.        Фактурная штукатурка и ремонтные работы - decomix.ru

.        Справочная система -2GIS

.        Регистрация ИП в Челябинске - csb74.ru

Похожие работы на - Салон красоты 'Perfect'

 

Не нашли материал для своей работы?
Поможем написать уникальную работу
Без плагиата!
Без нейросетей!