Проект открытия кабинета красоты и коррекции фигуры в с. Майма

  • Вид работы:
    Бизнес-план
  • Предмет:
    Эктеория
  • Язык:
    Русский
    ,
    Формат файла:
    MS Word
    63,09 Кб
  • Опубликовано:
    2015-03-10
Вы можете узнать стоимость помощи в написании студенческой работы.
Помощь в написании работы, которую точно примут!

Проект открытия кабинета красоты и коррекции фигуры в с. Майма

Анкета организации

ИП «Каташева Галина Павловна»

Организационно-правовая форма - индивидуальный предприниматель (ИП)

Юридический и почтовый адрес организации: Российская Федерация, Республика Алтай, с. Майма, 649000, ул. Ленина 100;

Контактный телефон: +79293275410;

Руководитель организации Каташева Галина Павловна;

Финансирование проекта:

·          Собственные средства - 26,5%;

·          Заемные средства- 73,5%;

Дата начала реализации проекта 01.09.2013г.

Введение

Основной целью проекта является открытие кабинета красоты и коррекции фигуры в с. Майма.

В современном обществе потребность в посещении салона красоты достаточно велика. Основными мотивами посещения салонов являются:

стремление быть привлекательной, чувствовать себя женщиной (уверенность в себе как в женщине);

возможность снятия напряжения и стресса, «разрядки» и получения энергии;

поддержание «формы», позволяющей чувствовать себя уверенной, в контексте делового общения (чувствовать себя принадлежащей к определенной группе, где существуют установленные нормы, в частности - высокие требования к внешнему виду);

желание сделать приятное для себя, («время для меня одной»);

возможность общения и получения внимания к себе со стороны других, особенно специалистов;

оздоровление.

В с. Майма проживает 16 400 человек. И, несмотря на это здесь нет ни одного кабинета красоты. Поэтому имеются благоприятные условия для открытия здесь кабинета красоты и коррекции фигуры.

Финансирование проекта:

)        Использование заемных средств в виде кредита. Кредит предоставил «Мугвнбанк» под 22 % годовых.

)        Использование собственных средств.

Срок окупаемости проекта 1,5 года.

1. Краткая информация о предприятии

Планируется открытие проекта в форме ИП, без образования юридического лица.

Основной вид деятельности предоставление косметологических и эстетических услуг.

Место расположения: район центра с. Майма.

Время работы в соответствии с КЗОТ - 5-ти дневная рабочая неделя, 8-ми часовой рабочий день.

Потребность в посещении косметика связана с наличием конкретных косметологических проблем, возрастными изменениями внешности, модой или стилем жизни (наличием круга знакомых, посещающих салоны), стремлением женщин к изменению или улучшению своей внешности, потребностью соответствовать требованиям среды, например, профессиональной деятельностью, предъявляющие высокие требования к внешнему виду, потребностью в общении и необходимостью снять напряжение - расслабиться. Поэтому открытие кабинета красоты необходимо в с. Майма.

. Описание услуг

Безусловно, большинство женщин мечтают как можно дольше сохранить красоту и молодость кожи лица и тела. Сделать это самостоятельно становится не всегда возможным по нескольким причинам: отсутствие опыта; отсутствие времени; возрастные изменения строения кожи и т.д. Поэтому, без помощи квалифицированного специалиста просто не обойтись. Поскольку в Майминском районе весь спектр услуг, который представлен в этом проекте, не оказывает ни один специалист, то жители района, несомненно, предпочтут пользоваться этими услугами.

Будут оказываться такие услуги как:

Депиляция

Восковая депиляция является одним из наиболее популярных методов удаления волос как для женщин, так и для мужчин. В зависимости от кожи, типа волос и скорости роста волос, восковая депиляция может избавить от нежелательных волос от 3 до 8 недель и выступает в роли метода долгосрочного удаления волос.

Косметический массаж лица.

Кожа лица требует особого внимания. Она открыта любой непогоде, морозу, ветру, солнечным лучам, воздействию кондиционеров, излучений и не очень хорошей экологии. При этом кожа лица тонкая и уязвимая. Мышцы лица также имеют некоторые особенности строения и поэтому предрасположены к потере тонуса.

Ведущую роль в уходе за кожей играет косметический массаж лица и шеи. Он помогает сохранить ее свежей, молодой, подтянутой и здоровой. А значит - красивой.

Профессиональный массаж лица также позволяет поддерживать необходимый тонус лицевых мышц.

Эффект косметического массажа лица.

Правильный массаж лица и шеи улучшает микроциркуляцию крови и лимфодренаж, что способствует снятию отеков, повышает насыщение тканей кислородом, усиливая их питание. Некоторые техники ручного массажа для лица направлены на повышение тонуса кожи и мышц, способствуя формированию мышечного «каркаса» подтянутого лица, обладая лифтинговым эффектом. Массаж предупреждает возникновение косметических недостатков кожи, таких как угревая сыпь, и даже может замедлить ход биологических часов, влияя на проявление старения, такие как морщины, дряблая кожа, тусклый цвет, второй подбородок и т. д.

Пилинг

Пилинг - это особая процедура очистки кожи, в результате которой убираются мелкие морщинки, неровности, происходит омоложение кожи. Пилинг приводит к увеличению деления молодых клеток, стимулирует синтез коллагена и эластина и кожа становится гладкой и светлой, приобретая более молодой и здоровый вид.

Антицеллюлитная программа

Целлюлит - это разросшиеся и затвердевшие жировые клетки. Жировые клетки, замусоренные шлаками. А уж шлаки и поступают в организм извне, и прекрасно в нем самом формируются. Например, под воздействием стресса.

Суть антицеллюлитного массажа в том, что под воздействием рук массажиста клетки начинают активно работать. Руки массажиста растирают и разминают мышцы и подкожный жир. И это воздействие ведет к постепенному рассасыванию фиброзного каркаса клеток, выводит из них токсины и шлаки.

Биотатуировка хной

Биотату - это рисунок хной, который украшает тело подобно татуировке, но при этом наносится совершенно безболезненно и держится в течение нескольких недель. Биотату - это традиционный способ бодиарта, практикуемый во многих странах уже достаточно давно.

. Оценка рынка сбыта и конкуренции

Таблица 1.1 - Стоимость услуг

Наименование услуги

Стоимость, руб.

1

Депиляция: Бикини Ноги до колена Ноги полностью Руки Подмышки

 250 150 200 100 130

2

Пилинги

500

3

Косметический массаж лица

1 сеанс 100 рублей

4

Гигиеническая чистка лица (борьба с угревой болезнью)

500

5

Маска на лицо

150

6

Антицеллюлитная программа (подбирается индивидуально): Массаж антицеллюлитный Массаж медовый Обертывание: С «морозником» С глиной С шоколадом

  1 сеанс 200 руб. 1 сеанс 250 руб.  150 150 150

7

Биотату (рисунок хной). Цена в зависимости от рисунка

От 500 руб.

8

Покраска бровей

50

9

Покраска ресниц

50

10

Оформление бровей

50


Таблица 1.2 - Прогнозные объемы продаж

Показатели

Ед. изм.

1 год

2 год



Всего

1 кв.

2 кв.

3 кв.

4 кв.

Всего

1 полугодие

2 полугодие

Объем оказываемых услуг: Депиляция Пилинг Косметический массаж лица Гигиеническая чистка лица Маска на лицо Антицеллюлитная программа Биотату Покраска бровей Покраска ресниц Оформление бровей

 Чел  Чел Чел Чел Чел Чел Чел Чел Чел Чел

 100 20 25 12 25 20 10 50 20 50

 15  5 5 2 5 5 2 10 5 10

 20 10 5 3 10 3 2 15 5 15

 30 5 5 3 10 3 3 15 5 15

 35 - 10 5 5 9 3 10 5 10

 160 30 40 20 30 20 10 100  20 100

 80 20 20 10 15 10 5 50 10 50

 80 10 20 10 15 10 5 50 10 50

Цены на оказываемые услуги прогнозируемые: Депиляция Пилинг Косметический массаж лица Гигиеническая чистка лица Маска на лицо Антицеллюлитная программа Биотату Покраска бровей Покраска ресниц Оформление бровей

  Тыс. руб. Тыс. руб. Тыс. руб. Тыс. руб. Тыс. руб. Тыс. руб. Тыс. руб. Тыс. руб. Тыс. руб. Тыс. руб.

  20,0 10,0 50,0 6,0 3,75 40,0 5,0 2,5 1,0 2,5

  3,0 2,5 10,0 1,0 0,75 10,0 1,0 0,5 0,25 0,5

  4,0 5,0 10,0 1,0 0,75 6,0 1,0 0,75 0,25 0,75

  6,0 2,5 10,0 1,5 1,5 6,0 1,5 0,75 0,25 0,75

  7,0 - 20 2,5  0,75 18 1,5 0,5  0,25  0,5

  32,0 15,0 80,0 10,0 4,5 40,0 5,0  5,0  1,0 5,0

  16,0 10,0 40,0 5,0 2,25 20,0 2,5  2,5  0,5 2,5

  16,0 5,0 40,0 5,0 2,25 20,0 2,5  2,5 0,5 2,5

Итого выручка от оказываемых услуг

Тыс. руб.

140,8

29,5

29,5

30,8

51

197,5

101,25

96,25


Таблица 3 Потребность в оборудовании и других технических средствах (инвентарь, косметические средства, инструменты)

Наименование оборудования, технических средств

Цена за ед., руб.

Кол-во

Ст-ть оборудования

1

Набор разовых принадлежностей

50

50

2500

2

Кушетка

10 000

1

10 000

3

Стул для специалиста

1 000

1

1 000

4

Лампа-лупа

2 000

1

2 000

5

Набор для депиляции

7 000

1

7 000

6

Кварц

2 000

1

2 000

7

Столик рабочий

1 000

1

1 000

8

Шкафчик для белья

1 000

1

1 000

9

Тумба

1 000

1

1 000

10

Скамья (стулья)

1 000

2

2 000

11

Дарсонваль

10 000

1

10 000

12

Набор профессиональной косметики

12 000

1

12 000

13

Набор для антицеллюлитного массажа

500

6

3 000

14

Набор для биотату

3 000

1

3 000

15

Дез.средства для помещения

1 000

1

1 000

16

Сухожаровой шкаф

5 000

1

5 000

17

Настенное зеркало

1 000

1

1 000

18

Ширма

1 000

2

2 000


ИТОГО



66 500


Таблица 4 Потребность в материалах для отделки кабинета.

Наименование оборудования, тех. средств

Цена за ед., руб.

Кол-во

Стоимость оборуд.

1

Линолеум



1500

2

Краска

300

6

1500

3

Полоски для линолеума

150

20

3000


Итого



6000


Спрос на услуги салонов красоты неуклонно растет. В современном обществе практически каждый человек стремится ухаживать за лицом и телом. А в домашних условиях такого же эффекта добиться сложно, да и немаловажным фактором является экономия времени, сил и получение позитивных эмоций.

В нынешнее время салонный бизнес переживает бурный рост открытия новых предприятий, и это отклик на рост потребностей населения. Сфера услуг вообще растет высокими темпами, ведь ее почти не было в советские времена. Вкратце можно отметить несколько причин столь бурного роста:

.        Клиенты (рост покупательской способности населения, желание быть здоровым и выглядеть красиво, а значит тратить на это все больше денег). На Западе на каждого жителя приходится на порядок больше салонов, чем у нас. Так что нам еще расти и расти.

.        Рентабельность. При правильной постановке бизнеса в индустрии красоты можно достичь 30% прибыльности.

.        Барьеры вхождения в бизнес. Что касается конкуренции, то в нашем районе она очень мала. Ведь косметологического салона здесь нет. А потребность в нем есть.

К тому же основными критериями выбора конкретного салона являются: его месторасположение, рекомендации знакомых, которые являются гарантией получения услуг высокого качества и непосредственно само качество услуг.

В свою очередь под качеством услуг понимают видимый результат, отношение персонала, хорошую организацию работы салона.

. Маркетинговый план

)        Позиционирование фирмы услуг на целевом рынке

В своей деятельности на рынке кабинет красоты будет придерживаться следующей маркетинговой стратегии: высокое качество - доступные цены. Видом конкурентного преимущества салона будет уникальность и лидерство в качестве предоставляемых услуг.

)        Ценообразование

.1. Особенности оздоровительных услуг:

неосязаемость

непостоянность качества

несохраняемость во времени

неотделимость самой услуги от ее исполнителя

.2. Оценка значимости факторов ценообразования

.3. Функции цен:

рекламные

имиджевые

показатель качества

На ценообразование влияет:

)        Платежеспособность клиентов

)        Желание (потребность в данном виде услуг) и возможность платить

)        Закупочная цена используемых материалов

Цены будут устанавливаться, исходя из вида оказываемой услуги.

Таким образом, для определения цен салона предлагается использовать маркетинговый подход, предполагающий вычисление цены таким образом, чтобы она устроила и центр и клиента.

) Стимулирование продаж услуг

.1. Цель

.1.1. Стратегические цели:

увеличить число клиентов

добиться максимального постоянства клиентов салона

повысить интерес клиентов к центру

увеличить обороты до максимальной загруженности рабочего времени

.1.2. Специфические цели:

повысить спрос на какую-либо услугу

.1.3. Разовые цели:

извлечь пользу из праздников, сезонного повышения спроса

поддержать рекламную кампанию

.2. Стимулирование клиента

клубная карта

скидки постоянным клиентам

.3. Реклама кабинета:

СМИ Майминского района

визитные карточки

наружная реклама

Одним из важных аспектов при проведении рекламной кампании является привлекательное внешнее оформление кабинета - яркая вывеска, указатели, ориентированные на проходящие потоки потенциальных клиентов.

. Финансовый план

Таблица 5 Смета расходования заемных денежных средств

Статья затрат

Сумма, руб.

1

Аренда помещения

6 000

2

Набор разовых принадлежностей

2500

3

Кушетка

10 000

4

Лампа-лупа

2 000

5

Кварц

2 000

6

Столик рабочий

1 000

7

Шкафчик для белья

1 500

8

Тумба

1 000

9

Скамья (стулья)

2 000

10

Дарсонваль

10 000

11

Дез.средства для помещения

1 000

12

Сухожаровой шкаф

5 000

13

Ширма

2 000

14

Краска для стен и потолка

3 500

15

Линолеум

5 000

16

Полоски для линолеума

3 000

17

Стул для специалиста

1 000

18

Картридж для депиляции


Итого

59 000


Таблица 6 Ежегодные затраты на материалы, косметические средства.

Наименование инструментов, хим. средств

Цена за ед., руб.

Кол-во

Ст-ть оборудования, руб.

1

Набор разовых принадлежностей

50

100

5000

2

Дез. Средства для помещения

1 000

4

4 000

3

Набор для биотату

3 000

2

6 000

4

Набор для антицеллюлитных процедур

500

4

2 000

5

Набор профессиональной косметики

13 000

1

13 000

6

Набор для депиляции

5 000

2

10 000


ИТОГО



40 000


Планируется закупать материалы и косметические средства раз в полугодие.

Таким образом, для начала реализации проекта потребуются денежные средства в размере 79 000 рублей.

Таблица 7 Финансовые результаты деятельности

Показатели

Ед. изм.

1-й год

2-й год



Всего

1 кв.

2 кв.

3 кв.

4 кв.

Всего

1 пол.

2 пол.

Общая выручка

Тыс. руб.

140,75

29,5

29,5

30,75

51

197,5

101,25

96,25

Обязательные платежи и налоги

Тыс. руб.

18,0

4,5

4,5

4,5

4,5

18,0

9,0

9,0

Затраты на материалы

Тыс. руб.

39,9

9,9

9,9

9,9

9,9

39,9

19,9

19,9

Затраты на аренду

Тыс. руб.

36,0

9,0

9,0

9,0

9,0

36,0

18,0

18,0

Финансовый результат

Тыс. руб.

+46,85

+6,1

+6,1

+7,35

+27,5

+103,6

+54,35

+49,35


6. Оценка эффективности проекта и рисков его реализации

Срок окупаемости инвестиций (Payback Period, PP)

Срок окупаемости проекта - это период от момента начала его реализации до момента эксплуатации объекта, в который доходы от эксплуатации становятся равными первоначальным инвестициям.

Формула расчета показателя РР имеет вид:

= min n, при котором ∑Рk ≥ I

Где ∑Pk - величина сальдо накопленного потока; - величина первоначальных инвестиций.

В нашем случае:=1,5 года (18 месяцев)

Дисконтированный срок окупаемости инвестиций (Discounted Payback Period, DPP)

DPP = min n, при котором ∑DРk ≥ I0,

где ∑DPk - величина сальдо дисконтированного накопленного потока; 0 - величина первоначальных инвестиций.

В нашем случае:

DPP=19 месяцев.

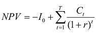
Чистый дисконтированный доход (Net Present Value, NPV)

Суть критерия состоит в сравнении текущей стоимости будущих денежных поступлений от реализации проекта с необходимыми для этого расходами.

При постоянной норме дисконта и разовой первоначальной инвестиции NPV определяется по следующей формуле:


Где I0 - величина первоначальной инвестиции;

Сt - денежный поток от реализации инвестиций в момент времени t; шаг расчета (год, квартал, месяц и т. д.); - ставка дисконтирования;

Т - величина расчетного периода.

В нашем случае:0 = 79 000;

t = 0,5 года; = 22% в год;

Т = срок окупаемости инвестиций = 1,5 года.= 32,52

Условия принятия инвестиционного решения на основе данного критерия:

если NPV> 0, то проект следует принять, он принесет доход;

если NPV <0, то проект принимать не следует, он будет убыточным;

если NPV = 0, то принятие проекта не принесет ни прибыли, ни убытка.

В нашем случае проект следует принять.

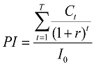
Индекс рентабельности инвестиций (Profitability Index, PI)

Данный показатель рассчитывается как отношение чистой текущей стоимости денежного притока к чистой текущей стоимости денежного оттока (включая первоначальные инвестиции):


В нашем случае:0 = 79 000;

Сt = Приложение 1. Строка «Сальдо реальных денег от операционной деятельности» в момент времени t;

t = 0,5 года; = 22% в год;

Т = срок окупаемости инвестиций = 1,5 года.

PI = 1, 26

Условия принятия проекта по данному инвестиционному критерию:

если PI> 1, то проект следует принять;

если PI <1, то проект следует отвергнуть;

если PI = 1, то проект не является ни прибыльным, ни убыточным.

В нашем случае проект следует принять.

Внутренняя норма рентабельности (Internal Rate of Return, IRR)

Внутренняя норма рентабельности (внутренняя норма прибыли)

инвестиций - это ставки дисконтирования, при котором NPV проекта равен нулю:

IRR = r, при NPV = f(r) = 0

Рассчитывается с помощью пропорции

В нашем случае:

IRR = 0, 28503 = 28,503%

Данное значение свидетельствует о том, что при плановой ставке дисконта 22% предприятие имеет хороший запас финансовой прочности.

На основе следующих рассчитанных показателей:

·          NPV>0;

·          PI>1;

·          IRR> ставки дисконта;

Можно сделать вывод, что бизнес-проект является прибыльным.

. Оценка рисков

В процессе деятельности у предприятия всегда есть потенциальная возможность потери ресурсов, полной или частичной.

.        Появление нового конкурента

следить за отношением с клиентами

качество выполнения работы

расширение спектра услуг

хорошая реклама

. Неблагоприятные изменения рыночной конъюнктуры.

К неблагоприятным изменениям рыночной конъюнктуры можно отнести падение спроса и снижение цен на услуги, предлагаемые специалистом, что может привести к снижению доходов, потери выручки.

Причинами могут быть:

снижение жизненного уровня населения.

Меры снижения общего влияния риска: реклама услуг, сезонные скидки на определенные услуги.

.Кражи

Меры борьбы:

устройство надежной системы охраны

страхование имущества

.        Стихийные бедствия

5.      Предприниматель планирует застраховать имущество, чтобы ущерб, причиненный стихийными бедствиями, не влиял на дальнейшую деятельность салона.

Заключение

В ходе реализации проекта планируется достичь поставленных перед ним целей. Основной целью является достижение максимальной прибыли. Для этого специалисту необходимо занять свою устойчивую позицию на существующем рынке.

Необходимо совершенствовать услуги, применять передовые технологии, повышать профессионализм специалиста, улучшать оснащенность кабинета красоты и коррекции фигуры. Это все приведет к расширению потенциальных возможностей кабинета. Для того, чтобы занимать прочную позицию на рынке, требуется увеличение торгового оборота на 150% в течение трех лет, а это, в свою очередь, требует улучшения качества услуг и увеличение рекламной кампании кабинета.

сбыт конкуренция маркетинговый инвестиция

Список используемой литературы:

1.   Байкалова А.И. Бизнес-планирование: Учебное пособие. - Томск: ТГУ, 2004. - 53 с.

2.      Бочаров В.В. Финансовый анализ. - СПб.: Питер, 2007. - 240 с.

.        Буров В.П., Ломакин А.Л., Морошкин В.А. Бизнес-план фирмы. Теория и практика: Учеб. пособие. - М.: ИНФРА-М, 2009. - 192 с.

4.   Жилкина А.Н. Управление финансами. Финансовый анализ предприятия: Учебник. - М.: ИНФРА - М, 2007. - 332 с. - (Высшее образование).

5.      Крутикова Ю.А., Юсупова СР. Бизнес-планирование: учеб.- практ. пособие. - М.: ТК Велби, Изд-во Проспект, 2009. - 352 с.

6.   Новиков М.В., Бронникова Т.С. Разработка бизнес-плана проекта. Учебное пособие. Издание второе, дополненное. Таганрог: ТРТУ, 2001. - 46с.

.     Платонова Н.А., Хотинская Г.И., Колгушкина А.В., Лустина Т.Н. Основы экономической деятельности парикмахерских: Методическое и практическое руководство для руководителей предприятий услуг красоты. - М.: Издательство «Дело и Сервис», 2008. - 240 с.

.     Поляков О.В. Бизнес-планирование: Учебное пособие/Московский государственный университет экономики, статистики и информатики. - М.: МЭСИ, 2002. - 156 с.

.     Сергеев А.А. Экономические основы бизнес - планирования: Учеб. Пособие для вузов. - 2-е изд., перераб., и доп. - М.: ЮНИТИ - ДАНА, 20010. - 462 с.

.     Сухова Л.Ф. Чернова Н.А. Практикум по разработке бизнес-плана и финансовому анализу предприятия М.:Финансы и статистика, 2005. - 158с.

.     Шеремет А.Д., Негашев Е.В. Методика финансового анализа деятельности коммерческих организаций. - М.: ИНФРА - М, 2011. - 237 с.

Похожие работы на - Проект открытия кабинета красоты и коррекции фигуры в с. Майма

 

Не нашли материал для своей работы?
Поможем написать уникальную работу
Без плагиата!
Без нейросетей!