Использование фрактального анализа плавательной активности Daphnia Magna для оценки токсичности

  • Вид работы:
    Курсовая работа (т)
  • Предмет:
    Экология
  • Язык:
    Русский
    ,
    Формат файла:
    MS Word
    859,94 Кб
  • Опубликовано:
    2016-04-13
Вы можете узнать стоимость помощи в написании студенческой работы.
Помощь в написании работы, которую точно примут!

Использование фрактального анализа плавательной активности Daphnia Magna для оценки токсичности

Министерство образования и науки РФ

Федеральное государственное автономное образовательное

учреждение высшего профессионального образования

«КАЗАНСКИЙ (ПРИВОЛЖСКИЙ) ФЕДЕРАЛЬНЫЙ УНИВЕРСИТЕТ»

ИНСТИТУТ ЭКОЛОГИИ И ПРИРОДОПОЛЬЗОВАНИЯ

Кафедра прикладной экологии

Направление подготовки бакалавра: 022000.62 - Экология и природопользование

биотестирование дафния плавание токсикант

Использование фрактального анализа плавательной активности Daphnia Magna для оценки токсичности

Курсовая работа


студента 3 курса

ПЕТРОВА ВЕРА МИХАЙЛОВНА

Научный руководитель

к.г.н., доцент кафедры прикладной экологии

О.В. Никитин



Казань - 2015

РЕФЕРАТ

Курсовая работа - 26 с., 7 рисунков, 21 ссылка на цитированную литературу.

Ключевые слова: биотестирование, фрактальная размерность, Daphnia, плавательная активность, эсфенавалерат.

Объект исследования: плавательная активность Daphnia magna.

Цель работы - оценить возможность использования фрактального анализа траектории плавания Daphnia magna для оценки токсичности.

В ходе работы было произведено 10 измерений плавательной активности Dapnia magna с использованием прибора «ТrackTox»: 5 контрольных проб и 5 с добавлением пестицида эсфенвалерат в концентрации 0,3 мкг/л. С помощью метода подсчета клеток было установлено, что траектория плавания дафний действительно имеет фрактальный характер.

При внесении дафний в среду с токсикантом - пестицидом эсфенвалератом в концентрации 0,003 мг/л, изменяется фрактальная размерность плавательной траектории, которая статистически значимо увеличивается. Это изменение можно использовать в качестве тест-реакции в водной токсикологии.


ВВЕДЕНИЕ

Стремительное развитие всех отраслей промышленности, энергетики, транспорта, увеличение численности населения, урбанизация и химизация всех сред деятельности человека приводят к нарушению и загрязнению биосферы, ее отдельных компонентов [6].

Загрязнение водной среды является одной из наиболее актуальных экологических проблем. Для оценки степени антропогенного воздействия водной экосистемы наряду с методами химического анализа используют биотестирование как интегральный показатель токсического загрязнения среды.

Биотестирование - процедура установления токсичности среды с помощью тест-объектов, сигнализирующих об опасности независимо от того, какие вещества и в каком сочетании вызывают изменения жизненно важных функций тест-объектов.

Биотестирование основано на регистрации изменений биологически значимых показателей (тест-функций) исследуемых тест-объектов с последующим определением их состояния в соответствии с выбранным показателем токсичности.

В качестве тест-объектов в водной токсикологии широко используются планктонные ветвистоусые ракообразные (Cladocera), в частности дафнии (лат. Daphnia). Это связано с тем, что они без особых трудностей выращиваются в лабораторных условиях, довольно устойчивы при культивировании, имеют короткий жизненный цикл, позволяющий отслеживать последствия токсического воздействия (в малых концентрациях) на протяжении ряда поколений.

Наиболее универсальным тест-объектом по чувствительности и адекватности реагирования на различные токсиканты признан вид дафний - Daphnia magna Straus.

Большинство методов биотестирования с использованием дафний основывается на регистрации их смертности под воздействием загрязняющих веществ. Но еще до гибели тест-объектов токсиканты влияют на изменение их поведенческой активности. Под воздействием загрязняющих веществ у дафнии наблюдается либо резкое повышение двигательной активности, либо наоборот замедление. Таким образом фиксирование изменения плавательной активности дафний позволяет на ранней стадии определить токсичность воды.

Было сделано предположение, что оценить токсичность можно не только по изменению скорости плавания дафний, но и по форме ее траектории, а также, что траектория плавания дафнии является фрактальной структурой, которая изменяется при внесении токсиканта.

В связи с вышесказанным, цель данной работы - оценить возможность использования фрактального анализа траектории плавания Daphnia magna для оценки токсичности.

Для достижения указанной цели были сформулированы следующие задачи:

.        Освоить методику культивирования ветвистоусых ракообразных.

.        Доказать фрактальный характер плавания Daphnia magna.

.        Оценить изменения характера плавательной активности дафний при внесении токсиканта при помощи фрактального анализа.

. ОБЗОР ЛИТЕРАТУРЫ

.1 Биотестирование как интегральный способ оценки окружающей среды

Окружающая среда подвергается воздействию огромного количества загрязняющих веществ, особенно в областях с высокой антропогенной нагрузкой. Поэтому жизненно важно проводить мероприятия по оценке состояния окружающей среды, по контролю качества ее объектов.

Под экологическим качеством среды обитания человека понимают интегральную характеристику природной среды, обеспечивающую сохранение здоровья и комфортное проживание человека [10].

В настоящее время чаще всего используются физические и химические методы экологического контроля. Они целиком себя оправдывают, но не дают полной картины биологической опасности того или иного водного объекта [1]. Физико-химические методы позволяют узнать о количественном содержании тех или иных загрязняющих веществ в окружающей среде, но на практике чаще всего необходимо знать не уровни загрязнения тем или иным поллютантом водной среды, а вызванные ими биологические эффекты в экосистемах [8]. К тому же не всегда удается обнаружить неустойчивые соединения или количественно определить ультрамалые концентрации загрязняющих веществ. Существует высокая вероятность, что в воде остается какое-то количество неиндентифицированных веществ из-за различных технических или финансовых причин. Также можно выделить следующие недостатки использования только физических и химических методов экологического контроля:

ПДК разрабатывались из расчета действия каждого токсиканта отдельно от других. Давая заключение на основе содержания в исследуемой пробе приоритетных загрязнителей, аналитик может констатировать только превышение их содержания величины ПДК. При этом, как подействует на экосистему сочетание всех вредных элементов никто не может сказать;

разработка нормативов ПДК, ПДС и т.д. требуют большого количества экспериментов, т.е. больших затрат времени и денег. Это не позволяет оперативно разрабатывать нормативы для новых веществ и их производных. Из-за этого синтез новых веществ и материалов и применение их в промышленности затрудняется;

последнее время происходит активное развитие нанотехнологий. С точки зрения химического состава сами вещества не изменились, уменьшились лишь размеры частиц и изменилась их форма. При этом наночастицы имеют отличные от нормального состояния вещества физические свойства, могут проникать через кожные покровы и мембраны клеток.

В связи с этим встал вопрос о необходимости метода, который позволит получать данные о возможном неблагоприятном токсическом действии как обнаруженных, так и неиндентифицированных вредных веществ, присутствующих в окружающей среде [3]. С этой целью с начала 80 гг. XX века (в России с конца XX века) широкое применение нашли методы биотестирования на тест-объектах.

Биотестирование - процедура установления токсичности среды с помощью тест-объектов, сигнализирующих об опасности независимо от того, какие вещества и в каком сочетании вызывают изменения жизненно важных функций тест-объектов [2].

Биотестирование является частью биологического мониторинга, который предназначен для решения следующих основных задач [по Пашкевичу]:

Информационное обеспечение деятельности по сохранению биоты.

Оценка состояния окружающей среды по биотическим параметрам.

Исследование содержания различных ингредиентов в биоте.

Таким образом, нужно отметить, что определение и идентификация токсикантов не является задачей биотестирования. Оно является интегральной (общей) оценкой качества окружающей среды, т. е. оценкой токсического влияния компонентов среды на обитающих в них организмов.

Начиная с 80-х годов прошлого столетия, в ряде развитых стран дальнего (США, Канада, Франция, Германия и др.) и ближнего (Российская Федерация, Латвия, Литва, Эстония, Казахстан и др.) зарубежья биотестирование стало применяться в природоохранной практике наряду с химическими методами. В нашей стране долгое время широкое распространение методов биотестирования сдерживалось отсутствием нормативно-правовых документов, регламентов токсикологического контроля и простых удобных методических руководств, пригодных для использования в условиях промышленных предприятий [5].

Биотестирование основано на регистрации изменений биологически значимых показателей (тест-функций) исследуемых тест-объектов с последующим определением их состояния в соответствии с выбранным показателем токсичности. Чаще всего используются следующие тест-функции - выживаемость, размножение, плодовитость, скорость передвижения, дыхание, показатель крови и другие. В качестве тест-объектов наиболее часто применяются водоросли, фитопланктон, высшие растения, дафнии, моллюски, рыбы и другие организмы. Тест-объекты должны отвечать следующим требованиям:

. Высокая чувствительность к воздействиям даже малых доз мутагена.

. Быстрота и экономичность методов тестирования.

. Воспроизводимость (возможность получения аналогичных результатов на этой же тест-системе).

. Чувствительность не только к мутагенам, но и к их метаболитам [7].

К методам биотестирования также предъявляется ряд требований. Они должны быть применимыми для оценки любых экологических изменений среды обитания живых организмов; характеризовать наиболее общие и важные параметры жизнедеятельности биоты; быть достаточно чувствительными для определения даже начальных обратимых экологических изменений; быть адекватными для любого вида живых существ и любого типа воздействия; быть удобными не только для лабораторного моделирования, но также для исследований в природе; быть достаточно простыми и не слишком дорогостоящими для широкого использования [10].

Методы биотестирования просты, относительно недороги, пригодны для широкого применения и дают возможность оценивать качества природной среды при всем многообразии экологических изменений.

Среди возможностей применения подходов биотестирования следует отметить их пригодность в мониторинге районов с интенсивным развитием промышленности и сельского хозяйства. Кроме того, биотестирование позволяет провести беглое сканирование больших пространств в целях ранней диагностики экологических нарушений [10].

.2 Биотестирование водных объектов

Биотестирование используется для оценки качества атмосферного воздуха, почв и др., но наиболее широкое применение оно нашло в оценке качества вод, так как роль пресных вод в жизни планеты и человека переоценить невозможно. Именно эта великая роль и способствует тому, что все без исключения водоемы водотоки испытывают весьма значительный антропогенный пресс. Он выражается в воздействии точечных и рассеянных источников загрязнения, изменении морфометрии, гидрологического и химического режима пресноводных экосистем. Вода, приобретающая токсические свойства, угрожает не только населению пресноводных экосистем, но и здоровью людей. Поэтому среди экологических проблем для большинства стран мира ключевыми являются загрязнение водных объектов и дефицит чистой, биологически полноценной воды [9].

Качество воды - это характеристика состава и свойств воды, определяющая пригодность ее для конкретных видов водопользования. С помощью методов биотестирования определяется токсичность водных объектов, предельно допустимые концентрации (ПДК) новых химических соединений, производят биохимический и генотоксический мониторинг водоемов.

Исследования в области разработки и использования метода биотестирования в водоохранной практике проводились во многих научно исследовательских и учебных институтах [9]. В 1990 г было создано и утверждено «Методическое руководство по биотестированию воды». В нем были описаны методики с использованием различных тест-объектов (ракообразные, рыбы и др.) [11].

Методы биотестирования по определению токсичности сточных и природных, пресных вод, донных отложений применяются наряду с физико- химическими методами в следующих случаях:

при установлении нормативных требований к качеству вод;

проведении экологического контроля за соблюдением нормативов допустимых сбросов химических веществ в водные объекты и нормативов допустимых воздействий хозяйственной и иной деятельности на водные объекты;

осуществлении государственного экологического мониторинга водных объектов, прежде всего, в районах расположения источников антропогенного воздействия;

проведении экологической экспертизы новых технологий материалов, проектов очистных сооружений, реконструкций и технологического перевооружения народно-хозяйственных объектов;

проведение оценки состояния водных экосистем [2].

Выбор метода биотестирования зависит от поставленной задачи (рис. 1).

Рис. 1. Схема методов биотестирования А.Г. Бубнова.

Биотестирование успешно применяется для индикации токсичности сточных вод. В нормативных документах прописано, что сточная вода при сбросе в водный объект не должна вызывать острого токсического воздействия на тест-объекты. Для этого необходимо определить кратность разбавления сточной воды, при которой она не будет вызывать острого токсического воздействия. Для разбавления используют воду из водоема, взятую вне зоны воздействия проверяемой сточной воды.

Для решения задач по уменьшению токсического загрязнения природных вод рекомендованы к эксплуатации специальные приборы биотестирования, пригодные для использования в производственных условиях непосредственно в местах сброса сточных вод. Для токсикологической паспортизации водных объектов используются портативные переносные устройства. Они дают возможность проводить быстрые массовые токсикологические анализы. Биосигнализаторы токсичности работают автономно, непрерывно контролируя сточные воды в месте сброса в водные объекты. Они помогают узнать о случаях нарушения технологического процесса, аварийных ситуациях, что, в свою очередь, позволяет вовремя предотвратить или максимально снизить загрязнение водных объектов.

Биотестирование природных вод имеет ряд отличий от биотестирования сточных вод. Для верного определения качества воды в водном объекте, необходимо взять пробы, максимально подходящие для достижения поставленной задачи.

Различают пробы простые (отражают состояние водного объекта в момент отбора пробы) и смешанные (показывают среднее содержание в воде определяемых компонентов), разовые и регулярные.

Место отбора выбирается в зависимости от задачи анализа и на основании исследования местности.

Пробы отбираются с глубины 20-30 см от поверхности с помощью специальных приборов - батометров.

Пробы хранятся в стеклянной или полиэтиленовой посуде при температуре +4 градуса не более суток.

.3 Дафнии как тест-объекты в биотестировании

В качестве тест-объектов в водной токсикологии широко используются планктонные ветвистоусые ракообразные (Cladocera), в частности дафнии (лат. Daphnia).

Это обусловлено прежде всего тем, что:

род Daphnia имеет очень широкое распространение в пресных водах и является ключевым звеном во многих водных пищевых цепях;

вследствие прозрачности тела дафний, есть возможность визуального наблюдения за качеством эмбрионов, скоростью их созревания, темпом размножения, а также оценки физиологического состояния (сердцебиения, наполнения кишечника и т.д.) тест-объекта;

есть возможность регулярной оценки народившейся молоди по ее морфологическим признакам, а также по выживаемости от родительского к дочерним поколениям;

род Daphnia имеет относительно короткий жизненный цикл, что особенно важно для тестов на плодовитость;

род Daphnia используется как один из наиболее чувствительных индикаторов (датчиков) присутствия в водной среде тяжелых металлов и фосфорорганических пестицидов [9].

Наиболее универсальным тест-объектом по чувствительности и адекватности реагирования на различные токсиканты признан вид Дафний - Daphnia magna Straus [9].

Рис.2. Daphnia magna Straus - внешний вид

Впервые этот вид Daphnia как тест-объект был использован в работе Э.Наумана в 1933 году. Дафнии широко применяются в биотестировании в таких странах мира, как США, Германия, Франция, Венгрия и др. Во многих из них дафния принята как стандартный тест-организм. В СССР начало подобных работ связано с исследованиями Н.С. Строгонова и его школы, Е.А. Веселова и Л.А. Лесникова. Дафнии как обязательный тест-объект включены в схему установления ПДК веществ-загрязнителей и сточных вод России [10].magna Straus имеет серо-желтую или красноватую окраску (при дефиците кислорода), не превышает 2-3 мм в длину, обитает в водоёмах, прудах, озерах почти повсеместно.

При благоприятных условиях в лаборатории дафнии большую часть года размножаются без оплодотворения, т.е. партерогенетически, производя потомство, состоящее из самок. Период созревания рачков при температуре 20±2 оС и хорошем питании - 5-8 дней. Длительность эмбрионального развития обычно 3-4 дня. По истечении этого времени происходит вымет молоди. Партеногенетические поколения следуют одно за другим каждые 3-4 дня [10].

Для культивирования дафний используется биологизированная вода из аквариума, кормом служат зеленые водоросли (хлорелла). Культуру выращивают в специальном климостате при температуре 20±2 оС и освещенности 400-600 лк при продолжительности светового дня 12-14 часов.

В токсикологических исследованиях на дафниях различают кратковременное (до 96 часов) и длительное (20 и более суток) биотестирование. Кратковременное биотестирование рассчитано на получение экспресс информации о состоянии проверяемого водоема, где основным показателем служит выживаемость гидробионта. Для более глубокого и тщательного исследования используют длительное биотестирование. Оно позволяет долговременный эффект действия токсикантов.

Большинство методов биотестирования с использованием дафний основывается на регистрации их смертности под воздействием загрязняющих веществ. Но еще до гибели тест-объектов токсиканты влияют на изменение их поведенческой активности. Под воздействием поллютантов у дафнии наблюдается либо резкое повышение двигательной активности, либо наоборот замедление. Таким образом фиксирование изменения плавательной активности дафний позволяет на ранней стадии определить токсичность воды.

Также было проведено несколько работ, в которых ставилось предположение, что траектория плавания дафнии является фрактальной структурой, а при внесении токсиканта фрактальная размерность меняется. (Shimizu, 2001).

Фрактал - математическое множество, обладающее свойством самоподобия, то есть однородности в различных шкалах измерения. Самоподобие является весьма общим свойством природных систем: бассейны крупных рек, пространственная структура колоний микроорганизмов и др. - обладают удивительной структурной универсальностью. Часто в этой связи говорят о фрактальности природных объектов. Термин «фрактал» и первые исследования с его использованием были проведены Бенуа Мандельбротом.

Фрактальная размерность - это мера геометрической сложности объекта. Следуя идее Мандельброта, фрактальную размерность можно определить методом подсчёта квадратов. Представим себе объект сложной формы, который сплошь покрыт квадратами, как миллиметровая бумага. Часть квадратов будет содержать элементы множества, другие квадраты будут пустыми. Число непустых клеток N зависит от формы объекта и от размеров квадратной ячейки E. Постулируется, что N пропорционально 1/ED (чем мельче решётка, тем больше непустых ячеек). Показатель степени D и является размерностью объекта. Например, для такой сплошной плоской фигуры, как круг, уменьшение размера решётки вдвое приведёт к увеличению количества непустых клеток в четыре раза (два в квадрате), потому что фигура обладает размерностью два. Для фрактала количество непустых клеток будет возрастать с несколько меньшим, дробным показателем степени. Описанная процедура не ограничивается математическими объектами или формами на плоскости. Аналогичным образом можно подсчитать фрактальную размерность реальных объектов, таких, как реки, облака, береговые линии, артерии или реснички, покрывающие стенки кишечника. Артерии человека, например, имеют фрактальную размерность порядка 2,7 [13].

Фрактальная размерность рассчитывается по формуле Каца и Георгия (1985):

FD= log (N)/ [log (N) +log (D/L)],

где L - это общая длина плавательной траектории, D - это диаметр описанной траектории, N - количество сегментов.

В качестве токсиканта был использован пестицид Esfenvalerate. Представляет собой химическое действующее вещество пестицидов (пиретроид), используется в сельском и личных приусадебных хозяйствах для борьбы с вредными насекомыми.

Препараты на основе эсфенвалерата проявляют сильную поражающую активность как при наружном контакте, так и при попадании в пищеварительную систему членистоногих вредителей. Защита растений происходит также при помощи репеллентного, парализующего и антифидантного действия.

Препараты имеют достаточно длительный эффект последействия даже в условиях прямого солнечного освещения. Защитное действие длится около 15 дней.

При соблюдении всех рекомендаций по применению препараты на основе эсфенвалерата безопасны для пчел, занимающихся медосбором. Эсфенвалерат малотоксичен для теплокровных и человека. Высокотоксичен для рыб.

Эсфенвалерат гидролитически устойчив. При попадании в водоем сохраняется в воде до 10 суток, при этом испарение не будет играть особой роли в его исчезновении. Лабораторные исследования показывают, что эсфенвалерат является весьма токсичным для водных организмов [14].

. МАТЕРИАЛЫ И МЕТОДЫ

Объектами исследования служили, ракообразные Dapnia magna, выращиваемая в климатостате «В-4» по ПНД Ф Т 14.1:2:4.12-06. Т 16.1:2.3:3.9-06.

Для культивирования дафний использовалась биологизированная вода из аквариума, кормом служили зеленые водоросли (хлорелла). Культура выращивалась при температуре 21±1 оС и освещенности 400-600 лк при продолжительности светового дня 12 часов.

В данной работе регистрация траектории движения дафний осуществлялась при помощи программно-аппаратного комплекса «ТrackTox», реализующего алгоритмы компьютерного зрени. Для измерения дафний использовался бинокулярный микроскоп «Биомед-5» с окулярным микрометром. Обработка и анализ получаемых данных производился при помощи специализированной программы.

Рис.3. Схема определения траектории движения дафний при помощи прибора «ТrackTox»

Единичная дафния при помощи микропипетки быстро и аккуратно переносятся из маточной культуры в прозрачную пластиковую тестовую камеру с 25 мл культивационной воды, далее камера переносится в анализатор токсичности, расположенный в термостатируемых условиях (20±2 °C). Дафнии выдерживаются 2-3 мин. в камере для акклиматизации, после чего в течение последующих 30 мин. производится измерение плавательной активности, т.н. «контроль». Дафния переносится в другой контейнер с уже подготовленным раствором токсиканта. После 2-3 минут экспозиции, в течение 15 мин. снова производится измерение плавательной активности, т.н. «опыт». В ходе всего эксперимента, данные визуализируются на экране, а в конце эксперимента данные по плавательной активности дафнии передаются в текстовый файл, доступный для последующей обработки и статистического анализа.

Фрактальный характер движения дафний устанавливали с помощью метода подсчета клеток. Для этого определяли количество пересечений клеток разного масштаба траекторией дафнии. На основании этих данных строили график, в случае его линейности делали вывод о фрактальном характере движения.

Приближенную фрактальную размерность траектории движения дафний устанавливали по формуле:

FD= log (N)/ [log (N) +log (D/L)],

где L - это общая длина плавательной траектории, D - это диаметр описанной траектории, N - количество сегментов.

Различия между выборками устанавливали при помощи непараметрического критерия Манна-Уитни. Статистическую обработку данных выполняли в программе Statistica 10.

4. РЕЗУЛЬТАТЫ ИССЛЕДОВАНИЯ

Всего было произведено 10 измерений плавательной активности Dapnia magna с использованием прибора «ТrackTox»: 5 контрольных проб и 5 с добавлением пестицида эсфенвалерат в концентрации 0,3 мкг/л.

С помощью метода подсчета клеток (box-counting method) было установлено, что траектория плавания дафний действительно имеет фрактальный характер. Этот метод представлен на рисунке 4. Здесь мы видим пример траектории движения дафнии (t = 60 c) и количество пересекаемых клеток в зависимости от масштаба сетки.

Рис.4. Применение метода подсчета клеток для оценивания фрактальной размерности траектории движения дафний

По найденным параметрам построили уравнение регрессии (рис. 5): Х - количество клеток на стороне сетки, ВС - количество пересеченных клеток. Фрактальная размерность траектории дафнии для этого же времени, рассчитанная по формуле составила 1,38.

:

Рис.5. Применение метода подсчета клеток для оценивания фрактальной размерности траектории движения дафний

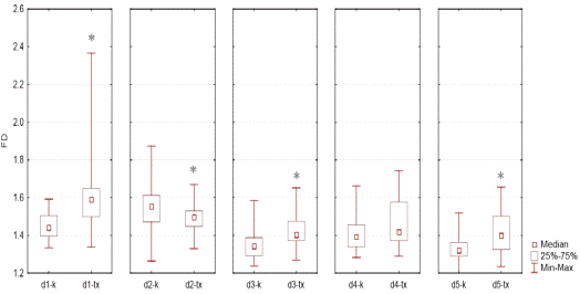
Рис.6. Рассчитанные фрактальные размерности (FD) траекторий плавания дафний в сериях «контроль-опыт»

На рисунке 6 мы видим рассчитанные фрактальные размерности траекторий плавания дафний в сериях «контроль-опыт»: di-k - фрактальная размерность траектории i-ой дафнии в контроле (t = 30 мин.); di-tx - фрактальная размерность траектории i-ой дафнии в опыте с эсфенвалератом (t = 30 мин.). Звездочкой обозначены значимые отличия по U-критерию Манна-Уитни (P < 0,05).

Рис.7. Сводные рассчитанные фрактальные размерности траекторий плавания дафний: в контроле (control; N = 5) и в опыте с пестицидом эсфенвалератом (esfenvalerate; N = 5)

На рисунке 7 представлены сводные данные. Звездочкой помечены значимые отличия по U-критерию Манна-Уитни (P < 0,05).

ВЫВОДЫ

Цель и задачи, поставленные в работе выполнены. Нами был показан фрактальный характер плавательной траектории Daphnia magna и продемонстрировано, что сложность траектории можно оценить при помощи величины фрактальной размерности.

При внесении дафний в среду с токсикантом - пестицидом эсфенвалератом в концентрации 0,003 мг/л, изменяется фрактальная размерность плавательной траектории, которая статистически значимо увеличивается. Это изменение можно использовать в качестве тест-реакции в водной токсикологии.

СПИСОК ЛИТЕРАТУРЫ

Брагинский, Л.П. Методологические аспекты токсикологического биотестирования на Daphnia magna Str. и других ветвистоусых рако-образных (критический отбор) / Л.П. Брагинский // Гидробиологиче-ский журнал. - 2000. - С.50-57.

Бубнов, А.Г. Биотестовый анализ - интегральный метод оценки качества объектов окружающей среды / А.Г. Бубнов [и др.]; под общ. ред. В.И. Гриневича. - Иваново: ГОУ ВПО Иван. гос.хим.-технол. ун-т., 2007. - С.5-59.

Мандельброт, Б. Фрактальная геометрия природы / Б. Мандельброт. - М.: Институт компьютерных исследований, 2002. - С.13-46.

Никаноров, А.М. Мониторинг качества вод: оценка токсичности / А.М. Никаноров, Т.А. Хоружая, Л.В. Бражникова, А.В. Жулидов. - СПб.: Гидрометеоиздат, 2000. - 159 с.

Пашкевич, М.А. Экологический мониторинг: учебное пособие / М.А. Пашкевич. - СПб.: Санкт-Петербургский гос. горный ин-т. (технологический ун-т), 2002. - С.54-61.

Ровенская, О.Ю. Оценка степени генотоксичности окружающей среды 30-километровой зоны волгоградской АЭС / О.Ю. Ровенская // Материалы V Международной студенческой электронной научной конференции «Студенческий научный форум». - 2013

Розанцев, Э.Г. Биотестирование или биологическая оценки безопасности / Э.Г. Розанцев, Е.Г. Черемных // Экология и промышленность России. - 2003. - №10. -С.44-46.

Чалова, И. В. Оценка качества природных и сточных вод методами биотестирования с использованием ветвистоусых ракообразных: научно-методическое издание / И.В. Чалова. - Рыбинск, 2007. - С.5-16.

Мелехова, О.П. Биологический контроль окружающей среды: биоиндикация и биотестирование: учеб, пособие для студ. высш. учеб, заведений / О.П. Мелехова, Е. И. Егорова, Т.И. Евстегнеева [и др.]; под ред. О.П. Мелеховой, Е.И. Егоровой. - М.: Издательский центр «Академия», 2007. - 288 с.

РД. 118-02-90. Методическое руководство по биотестированию воды. - М.: Госкомприроды СССР, 1991. - 48 с.

Руководство по определению методом биотестирования токсичности вод, донных отложений, загрязняющих веществ и буровых растворов. - М.: РЭФИА, НИА-природа, 2002. - 118 с., H. Язык фракталов: статья / H. Jurgens // Scientific American - Издание на русском языке. - 1990. - № 10. - С. 36-44.

Kelley, K. Environmental fate of esfenvalerate / K. Kelley. - Sacramento: California environmental protection agency, 2000. - 14 P., N. Fractal analysis of Daphnia motion for acute toxicity bioassay / N. Shimizu, C. Ogino, T. Kawanishi, Y. Hayashi // Environ Toxicol. 2002. - Vol. 17(5). - P. 441-448.

Похожие работы на - Использование фрактального анализа плавательной активности Daphnia Magna для оценки токсичности

 

Не нашли материал для своей работы?
Поможем написать уникальную работу
Без плагиата!
Без нейросетей!