Проблема межвременного выбора в макроэкономической политике

  • Вид работы:
    Курсовая работа (т)
  • Предмет:
    Эктеория
  • Язык:
    Русский
    ,
    Формат файла:
    MS Word
    97,74 Кб
  • Опубликовано:
    2015-12-24
Вы можете узнать стоимость помощи в написании студенческой работы.
Помощь в написании работы, которую точно примут!

Проблема межвременного выбора в макроэкономической политике

Федеральное государственное бюджетное образовательное учреждение высшего профессионального образования

«РОССИЙСКАЯ АКАДЕМИЯ НАРОДНОГО ХОЗЯЙСТВА И ГОСУДАРСТВЕННОЙ СЛУЖБЫ при ПРЕЗИДЕНТЕ РОССИЙСКОЙ ФЕДЕРАЦИИ»

Направление подготовки 080100.62 «Экономика»

Кафедра экономики и финансов






КУРСОВАЯ РАБОТА

на тему: «Проблема межвременного выбора в макроэкономической политике»

Автор работы: Фролов Андрей Александрович

Руководитель: Адрианова Татьяна Рудольфовна



Красногорск 2015г.

Содержание

ВВЕДЕНИЕ

ГЛАВА 1. ВКЛАД ЭДМУНДА ФЕЛПСА В ЭКОНОМИЧЕСКУЮ МЫСЛЬ

1.1 Основные концепции экономической мысли, предложенные Эдмундом Фелпсом

.2 Основные положения вклада Фелпса в экономическую мысль

.3 Характеристика квазикривой Филлипса

Глава 2. ДОБАВЛЕННАЯ ОЖИДАНИЯМИ КРИВАЯ ФИЛЛИПСА

2.1 Модифицированная кривая Филлипса

.2 Добавленная кривая Филлипса в формулировке Милтона Фридмана

.3 Золотое правило накопления

.4 Проблемы проведения межвременного выбора в России на современном уровне

ЗАКЛЮЧЕНИЕ

Список использованной литературы

ПРИЛОЖЕНИЕ

ВВЕДЕНИЕ


Оценить тот вклад, который внёс в экономическую науку Эдмунд Фелпс, с каждым годом становится всё труднее. Ведь большая часть из предложенных им идей стала уже неотъемлемой частью базовых учебников и прочно укоренилась в экономической профессии. Многими экспертами его идеи воспринимаются как данность, как нечто очевидное. Однако, в тот момент, когда их выдвигал Фелпс, они не были самоочевидны, напротив, их считали не тривиальными.

Эти идеи незамедлительно были применены на практике, помогая выработать и обосновать политику центрального банка, и, вместе с этим, послужили основанием для последующих теоретических изысканий.

Среди исследователей принято разделять вклад Эдмунда Фелпса на две категории. В первой из них, как правило, объединяют его теоретические выкладки, впоследствии получившие прямое применение в макроэкономической политике, из их числа модифицированная кривая Филлипса и «золотое правило накопления».

Ко второй относят его концепции, которые, по сути, заложили основы неокейнсианской теории, такие как анализ равновесия на рынках с неполной информацией, адаптация микроэкономического моделирования к макроэкономике и ступенчатые процессы установления заработной платы и цен.

Как было сказано прессе, Фелпса удостоили нобелевской премии исключительно за первую группу концепций. Однако нам нельзя забывать, что нобелевская премия по экономике не вручается людям, которые просто вывели необходимую формулу или решили сложную техническую проблему. Как показывает практика, нобелевскую премию по экономике могут получить лишь люди, внёсшие существенный вклад в становление или развитие какого-либо направления экономической мысли, то есть люди, чьи изыскания имеют теоретическую ценность.

В данном случае Фелпс был выдвинут на получение премии в качестве экономиста, ассоциирующегося с неокейнсианской школой, теоретические основы и аппарат моделирования которой заложили его работы.

Цель написания данной работы - детально разобрать труды Эдмунда Фелпса и подчеркнуть их важность и влияние на современную макроэкономическую практику и теорию.

Для достижения данной цели я ставлю перед собой следующие задачи: ознакомится с основными концепциями, выдвинутыми Эдмундом Фелпсом, рассмотреть их в историческом контексте, понять, какое влияние они оказывают на макроэкономическую политику разных стран, в том числе России сегодня.

Объект моего исследования - вклад Эдмунда Фелпса в макроэкономическую теорию.

Предмет - нововведения, сделанные Фелпсом; влияние, оказанное идеями Эдмунда на практическую сторону макроэкономической политики.

ГЛАВА 1. ВКЛАД ЭДМУНДА ФЕЛПСА В ЭКОНОМИЧЕСКУЮ МЫСЛЬ

 

.1 Основные концепции экономической мысли, предложенные Эдмундом Фелпсом


В самом начале шестидесятых Фелпс сформулировал, впоследствии ставшее знаменитым, «золотое правило» накопления капитала. Задача этого правила была предельно проста - определить тот темп накопления, при котором экономика выйдет на идеальный режим потребления в долгосрочной перспективе. Эта задача решалась незамысловато - отдача капитала должна быть равна затратам на его воспроизводство.

Как показали исследования Фелпса - именно тогда может быть достигнут оптимальный объём потребления домохозяйств, ведь превышение отдачи над затратами говорит о низком уровне инвестиций и наоборот. Этот принцип является универсальным.

Именно Фелпс впервые сформулировал это правило, и, помимо этого, обосновал его в динамическом контексте. Этот принцип используется в качестве условия оптимальности во всех современных моделях экономического роста.

Однако премию он получил не за это, а за анализ взаимосвязи между инфляцией и безработицей. И нет ничего важнее (для макроэкономической политики государств), чем эта взаимосвязь.

С одной стороны, очевидно, что устойчивая взаимосвязь между безработицей и инфляцией невозможно в принципе, в первую очередь из-за того, что инфляция определяется ожиданиями, в которых, тем не менее, учтена политика властей по снижению безработицы.

Но, с другой стороны, проблема достижения компромисса между безработицей и инфляцией всё-таки присутствовала на практике. Например, монетарная власть Соединенных Штатов Америки смогла поддерживать необходимый уровень занятости с помощью легкого повышения инфляции, в рамках двухстороннего коридора. Подобная политика была возможна лишь благодаря грамотной стабилизации инфляционных ожиданий в долгосрочной перспективе, в начале девяностых годов.

Иногда можно встретить мнение, будто бы Фелпс был монетаристом, но достаточно вкратце ознакомится с его изысканиями, чтобы понять, что это не так. Его критические замечания в адрес Кейнсианства не отличались политической ангажированностью, а в большей мере научной строгостью. В восьмидесятые годы возникла новокейнсианская школа, и её основоположником был именно Эдмунд Фелпс.

Отличительной чертой нового кейнсианства является то, что оно, в противоположность новой макроэкономической и неоклассической школ подчеркивает несовершенство рыночных механизмов.

В соавторстве с Саммерсом, Эдмунд проанализировал и обосновал неэффективность снижения налога на труд, как средства от безработицы. Это было необычайно актуально, ведь по-прежнему, безработица остаётся одной из важнейших проблем в современных развитых странах.

Как показал Фелпс, если произойдет перманентное снижение уровня налоговой нагрузки, то это окажет лишь краткосрочное стимулирующее давление на текущую занятость, но, в силу совокупности приведённых Эндмундом причин долговременный эффект почти не будет иметь места.

В самом начале правления президента Буша, он предупредил, что подобное сокращение налогов не сможет привести ни к чему иному, кроме как к потребительскому буму, что, в свою очередь спровоцирует дефицит платёжного баланса Соединённых Штатов, и это не учитывая неизбежный рост долговой нагрузки.

Все решения относительно создания новых рабочих мест должны приниматься на основании перспектив роста прибыльности и продуктивности, ведь чем эти перспективы лучше, тем выше естественный уровень занятости.

Перспективы же роста, в свою очередь, легко можно предсказать обратившись к рыночной стоимости активов, принадлежащих фирме, которая планирует создать новые рабочие места. Таким образом, существует долгосрочная взаимосвязь между рынком финансовых активов и уровнем занятости.

И это подтверждает эмпирический опыт, так явные подъёмы финансовых рынков, имеющие под собой фундаментальные основания, непременно приводят к тому, что постепенно, но неуклонно увеличивается уровень занятости. Наиболее сильно эта связь заметна в экономиках стран с развитыми рыночными институтами. И она существенно слабее в тех экономиках, где господствуют корпоративные системы. Сам Фелпс считал, что в первую группу - группу стран с развитыми рыночными институтами - следует относить англосаксонские страны и Голландию, а во вторую - страны континентальной Европы и Японию.

Эндмунд полагал, что долгосрочные циклы роста продуктивности, которые были описаны ещё в самом начале двадцатого века, действительно имеют место быть. В рамках этих циклов достаточно правдоподобно объясняются долговременные колебания естественного уровня занятости.

Современной экономике любой страны жизненно необходимо быть готовой к фазе долговременного подъёма. Для этого она должна располагать адекватной финансовой системой, работоспособность которой не должны подрывать ни государственная бюрократия, ни различные бюрократические структуры.

Без адекватной финансовой политики грамотное развитие, согласованное с экономическими циклами, невозможно, вне зависимости от качества макроэкономической политики. В то время как шанс «сесть в уходящий поезд» нового, глобального технологического сдвига представляет собой важнейший аспект стратегии любой экономики, направленной на долгосрочный срост. «Мудро говорил Давид Рикардо в 1815 году: государство не должно брать в долг, может занимать, только если вынуждено вести войну. Только в этом случае имеет смысл переложить часть военных расходов на будущее поколение. Мне не нравится хронический дефицит бюджета», - рассказал Фелпс в одном из очередных интервью.

1.2 Основные положения вклада Фелпса в экономическую мысль


В этом разделе работы необходимо охарактеризовать важнейшие экономические труды Фелпса, акцентируя внимание на борьбу, находящихся в постоянных противоречиях, экономических школ.

Для начала давайте представим себе положение, в котором находилась макроэкономическая теория в шестидесятые годы прошлого века. В то время происходил триумф кейнсианской школы, а модель IS-LM, созданная, как известно Модильяни в соавторстве с Хигсом, вместе с эмпирически построенной кривой Филлипса давала экономистам возможность обосновывать активную политику, проводимую центральным банком, и грамотно балансировать между инфляцией и безработицей.

Проводя экономические исследования, Фелпс сделал множество необычных заявлений, пожалуй, самым интересным из них было утверждение о том, что экономике присущ естественный уровень безработицы. Если рассматривать его с точки зрения монетарной политики, то можно сделать два вывода. Первый состоит в том, что активная политика способна лишь временно оказать влияние на уровень безработицы, и после непродолжительного времени безработица вернётся к своим прежним значениям.

Второй вывод, который мы можем сделать состоит в том, что текущий уровень безработицы это не переменная, которую задаёт одна лишь монетарная политика государства, а показатель, который определяется взаимодействием частного сектора с политикой, проводимой государством. Стоит упомянуть, в шестидесятые-семидесятые годы прошлого века экономисты стали замечать неточности и погрешности в классическом аппарате моделирования, присущим кейнсианской теории. Традиционно использовавшийся алгоритм моделирования макроэкономической модели, при котором уравнения постулировались, постепенно утратил популярность. Ему на смену пришел новый способ моделирования, при котором сначала описывалось взаимодействие между микроагентами, а лишь потом выводились уравнения.

К одному из родоначальников этого метода, метода применения микрооснований к макроэкономике, можно причислить и Фелпса.

В частности, большой вклад в формирование рассматриваемого нового подхода к экономическому моделированию внесли его статьи 1967-го, 1968-го и 1969-го годов. При этом, они хронологически появились раньше, чем труды Роберта Лукаса. Помимо того, что они определили микромоделирование в макроэкономике, они содержали в себе прогрессивную, можно даже сказать революционную концепцию «островной экономики». Которую впоследствии использовал тот же Лукас, своей статье семьдесят второго года и в моделях поиска.

Почти в то же самое время, классическая кейнсианская теория была раскритикована знаменитым монетаристом Милтоном Фридманом. Он, в шестьдесят восьмом году описал так называемую «иллюзию денег», которая, по его словам, была присуща как фирмам, так и рабочим в кейнсианской макроэкономической модели. Посвящённую этому статью Фридмана приравнивают к заслугам Эндмунда Фелпса с точки зрения вклада, в создание добавленной ожиданиями кривой Филлипса. Милтон Фридман даже как-то заметил, что, в сущности, их взгляды с Фелпсом на кривую Филлипса были почти идентичны. Противоречие заключалось лишь в том, что Фридману было присуща вербальная характеристика политики монетаристов, которая показывала, каким образом «иллюзия денег» приносит вред рабочим и фирмам, в то время как Фелпс обращал большее внимание на рынок труда, исследуя который, смог создать микромодель, доказывающую правомерность добавленной ожиданиями кривой Филлипса.

Несмотря на эти довольно значительные различия, оба труда уделяют большое внимание выводу равновесия на рынках с неполной информацией.

Учитывая эти факты, можно было бы считать труды Фелпса, написанные в шестьдесят седьмом и восьмом годах целиком направленными против кейнсианской теории, однако, при этом они являются важной составляющей теоретической базы неокейнсианской теории. Так, где же грань? Ответ на этот вопрос может дать только анализ различия между микрооснованиями заданными Фелпсом, и предложенными Лукасом.

Дело в том, что подход Лукаса представляет собой, в первую очередь некую адаптацию макротеории к модели, имеющей стандартные микрооснования. При его подходе, экономист должен сначала вывести равновесие на рынках, содержащих мироагентов, которые стараются максимизировать полезность, и лишь затем он может агрегировать рынок до всей экономики.

Парадигма этой модели звучит так: выполнимое для части системы является выполнимым и для всей системы.

Но неокейнсианский подход напротив, целенаправленно адаптирует «микро» к «макро». Здесь экономист, приступая к работе, сначала обращается к известным эмпирическим наблюдениям, сделанным относительно поведения экономики под воздействием проведения различных экономических политик, эта теория ставит своей целью выявить и описать поведенческие особенности микроагентов, которые позволяют объяснить фактически наблюдаемый феномен.

Созданная Фелпсом модель, посвященная описанию оборота занятости на рынке труда, представляет собой одну из первых работ, написанных на эту тематику.

На самом деле критика, высказанная Фелпсом против ортодоксальной концепции Кейнса - Филлипса подарила новую жизнь кейнсианству, идеи которого стали основанием нового подхода - неокейнсианства. Задача, которую после этого поставило перед собой неокейнсианство - изучить влияние всевозможных фрикций, а также информационных изъянов рынка на его краткосрочное равновесие.

Немаловажную роль в успехе доктрин Фелпса сыграло то, что они были высказаны в нужное время и в нужном месте. Его идеи попали на благодатную почву подверженной стагфляции экономики США.

В семидесятых годах прошлого века в Америке сложилась ситуация, когда и безработица и инфляция неожиданно стали расти, причём одновременно. И именно дополненная ожиданиями кривая Филлипса оказалась способной смоделировать и объяснить это явление.

макроэкономический накопление фелпс филлипс

1.3 Характеристика квазикривой Филлипса


Для понимания того вклада, что удалось внести Фелпсу в «анализ межвременного выбора в макроэкономической политике» нам необходимо рассмотреть его публикации шестьдесят седьмого и шестьдесят восьмого годов. В этих статьях он приложил все силы для того, чтобы разобраться во взаимосвязи безработицы и инфляции. В этих работах, мы можем проследить эволюцию его идей. Уже в первой статье Фелпсом было выдвинуто предположение, что монетарная политика способна оказывать перманентное воздействие лишь на номинальные переменные. Спровоцированные активной монетарной политикой шоки непременно будут оказывать непродолжительное сокращение уровня безработицы, но после исчерпания их ресурса воздействия она вернётся к своему естественному уровню.

Сформулировав такое утверждение Фелпс, тем самым, заявил, что в реальной жизни макроэкономические субъекты представляют собой систему, которая после каждого краткосрочного отклонения непременно восстановится до своего равновесного состояния.

В своей статье шестьдесят седьмого года он аксиоматизировал дополненную ожиданиями кривую Филлипса в следующем уравнении:


Где p - номинальный уровень цен, π^е - ожидаемая инфляция y - индекс, определяемый как пропорциональное отношение уровня занятости к капиталу, а небольшая точка над p обозначает производную по времени.

Главным нововведением, добавленным Фелпсом, является добавление π в степени е в спецификацию, а также выдвинутое им предположение, согласно которому показатель номинальной средней зарплаты напрямую связан, даже более того, зависит от номинального уровня цен. Иными словами, первичной в этой модели является инфляция цен, в то время как инфляция заработной платы лишь вторичной.

Очевидно, что столь революционный вывод противоречит постулатам, присущим классической кривой Филлипса.

Графически эту макроэкономическую модель можно представить следующим образом:

Рисунок 1.1. - Макроэкономическая модель, представленная Фелпсом в 1967 году.

На этом рисунке у обозначает равновесное значение индекса отношения занятости к капиталу, и важно заметить, что для каждого значения пи в степени е мы имеем своё модифицированное соотношение между производной по времени от p, делённой на p и у.

Используя эту модель, Эдмунду удалось уставить, что только если будет соблюдаться равенство между текущей и ожидаемой инфляцией, можно будет достичь равновесия. И если, в процессе формирования своей цены, каждая фирма недооценит установившийся в экономике уровень цен, то текущая инфляция непременно будет существенно выше ожидаемой.

На представленной иллюстрации - это явление обозначено всеми точками, правее вертикальной линии у = у*.

Сам Фелпс обозначил это как «область перезагрузки мощностей». А те точки, что находятся левее линии у = у*, напротив - областью недогрузки. Текущая инфляция в этой области ниже ожидаемой.

Очевидно, что в обеих этих областях, то есть и справа, и слева от данной вертикальной линии экономика вне состояния равновесия. Механизм, с помощью которого можно повлиять на эту, неблагоприятную ситуацию по мнению Фелпса существует, и представляет собой выравнивание ожидаемой и текущей инфляции.

Этот механизм не был нововведением Фелпса, ко времени издания работы Эдмунда, он был уже давно известен, впервые его описал Кэйган. Фелпс называл его механизм «адаптивных ожиданий».

Если представить этот механизм графически, то он будет выглядеть как сдвиг кривой Филлипса вверх или вниз.

И так хорошо знакомый нам из экономических учебников, сдвиг краткосрочной кривой Филлипса вдоль долгосрочной был впервые описан именно на выше приведенной диаграмме.

Но Фелпсом всё ещё не сформулированы микрооснования относительно функции F(y), иными словами приведённое нами выше уравнение (1.1) было им лишь постулировано. В статье шестьдесят седьмого года, Эдмунд дал ему название квазикривой Филлипса.

Глава 2. ДОБАВЛЕННАЯ ОЖИДАНИЯМИ КРИВАЯ ФИЛЛИПСА

 

.1 Модифицированная кривая Филлипса


Несмотря на сложившуюся практику, Фелпса, в отличие от большинства экономистов того времени, ничуть не устраивало то, что квазикривая Филлипса была постулирована.

Он надеялся найти выход в построении специально стилизованной модели рынка труда, способной внести ясность в феномен недобровольной безработицы.

Как он сам вспоминал в своей работе девяносто пятого года, между шестьдесят седьмым и восьмым годами он очень смутно понимал, что ему потребуется для построения рассматриваемой модели.

По его мнению, самым главным аспектом должно выступить построение цепи следующего толка: формирование ожиданий рабочих и работодателей, затем их обоюдное взаимодействие на рынке труда, после - сбор и анализ информации, касающейся действий других участников этого процесса, всё это должно было привести к изменению ожиданий.

После этого, этот процесс начинался по новой, но со скорректированными ожиданиями. Фелпсу не удалось сразу добиться успеха, моделируя эту цепь, ведь критерием успеха являлась модель, способная удовлетворить указанному алгоритму. Помимо этого, эта модель обязана быть правдоподобной и безупречно согласовываться с наблюдаемой действительностью.

Но целеустремлённость и новаторский подход Фелпса дали о себе знать, и уже в статье шестьдесят восьмого года нашли отражение результаты его успеха - модель, отвечающая всем требованиям и безукоризненно описывающая все рассматриваемые процессы.

Главной особенностью этой модели было нововведение концепции ожидаемой относительной зарплаты. Иными словами, в данной ситуации - это отношение зарплаты, определённой посредством переговоров рассматриваемыми микроагентами, к средней зарплате в экономике в целом.

На этом основании Фелпс ввёл понятие так называемого «атомистического» рынка труда, т.е. островной парадигмы.

На подобном атомистическом рынке относительная разница - дифференциал - между той зарплатой, которою хочет выплачивать фирма (i) и средней зарплатой по экономике может быть выражен следующем образом:

(2.1)

Фирма несет издержки по найму из-за текучести кадров (labor turnover), в связи с чем она балансирует издержки по найму с издержками по зарплате.

В данной модели если каждая отдельная фирма в своем принятии решения относительно того, какую номинальную зарплату платить в следующий период, переоценит зарплату, установленную другими фирмами, то данная ошибка приведет к более низкой зарплате, выплачиваемой фирмой по сравнению со средним уровнем. Это приведет к добровольному увольнению рабочих. Так как найм и обучение влечет за собой издержки, то фирма вынуждена будет балансировать их увеличением заработной платы, чтобы уменьшить количество увольнений рабочих. Так как все фирмы одинаковые, Фелпс выводит взаимосвязь между средним желаемым дифференциалом и некоей функцией от ставки безработицы:

(2.2)

Где u=U/L - ставка безработицы

Далее он показывает, что если репрезентативная фирма ожидает, что средняя зарплата в экономике постоянна, то

(2.3)

Где λ - положительная константа, производная по времени от w=dw/dt; f(.) - гладкая функция

Левая часть уравнения (2.3) показывает, что средняя зарплата возрастет (упадет), если все фирмы захотят установить более высокую (низкую) зарплату, чем другие фирмы.

По мере того как все фирмы будут уменьшать свои издержки, устанавливая более высокую зарплату, средний индекс зарплаты возрастет, что уменьшит как дифференциал относительной заработной платы, так и оборот труда в экономике.

Это произойдет, потому что в «островной» модели рабочие в ситуации, когда текущая зарплата на данном острове равна ожидаемой, согласятся быть нанятыми и не будут искать остров с более высокой зарплатой.

Правая часть уравнения (2.3) увязывает динамику средней зарплаты с функцией от ставки безработицы, которая зависит от оборота труда в экономике. Фелпс проводит детальный анализ производных от этой функции, который мы опустим.

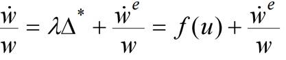
Далее, если ослабить предположение, что средняя зарплата в экономике постоянна, то возникает необходимость учитывать ожидаемое изменение заработной платы:

(2.4)

Где W^e - ожидаемая средняя заработная плата в экономике.

Графически это можно интерпретировать следующим образом:

Рисунок 2.1. - Макроэкономическая модель, показывающая воздействие заработной платы на уровень безработицы.

В статье 1968 г. уравнение (2.4) Фелпс впервые называет добавленной (augmented) кривой Филлипса. Важным моментом в построении модели была ее невальрасовская структура, так как фирмы имеют монопсонистическую власть на рынке труда.

С точки зрения рекомендаций в области монетарной политики статья 1968 г. делает более сильное заключение, чем предыдущая работа 1967 г. Фелпс приводит анализ сформулированной модели, в соответствии с которым монетарная политика не в состоянии обеспечить произвольный (желаемый) уровень безработицы в долгосрочной перспективе, не вызвав при этом ускоренный процесс инфляции. Данная формулировка проблемы предполагает, что активный менеджмент со стороны государства, например, поддерживание текущего уровня безработицы, ниже его естественного значения, будет постоянно держать систему в неравновесном состоянии ускоряющейся инфляции.

Если традиционная проблема выбора монетарной политики была статична по своей сути - выбор оптимального соотношения между инфляцией и безработицей на конкретной кривой Филлипса в данный момент времени, - то новая добавленная ожиданиями проблема динамична. Центральный банк должен найти оптимальные траектории инфляции и безработицы. Проблема оптимизации политики банка состоит в максимизации общественной функции полезности в течение времени. Предположим, что в данный момент времени социально оптимально поддерживать низкую безработицу за счет более высокой инфляции. Данная ситуация вызовет повышение инфляционных ожиданий в следующий период времени, следовательно, издержки по балансированию инфляции и безработицы возрастут. Таким образом, включение ожидаемой инфляции в оптимизацию социальной полезности центрального банка привело к «проблеме межвременного выбора в макроэкономической политике». Формулировка данного выбора в формате, описанном Фелпсом, стала стандартом и в экономической литературе, и в рассуждениях центральных банкиров. Это было особенно актуально в 90-х гг. прошлого века, когда политика инфляционного таргетирования стала очень популярной.

2.2 Добавленная кривая Филлипса в формулировке Милтона Фридмана


Как уже отмечалось выше, в 1968 г. вышла знаменитая статья Милтона Фридмана с критикой кривой Филлипса с точки зрения монетаризма. Фридман не приводил детальных выкладок по выводу кривой на микроуровне и делал основной акцент на различии в понимании инфляционного процесса фирмами и рабочими и на то, что они страдают от временной «иллюзии денег». В переговорном процессе между работодателями и рабочим устанавливается номинальный уровень заработной платы, но обе стороны заинтересованы в реальном уровне. Всплеск ценовой инфляции ведет к увеличению фирмами номинальной зарплаты. Рабочие ошибочно воспринимают это как рост реальной заработной платы и увеличивают предложение труда. Так как контракты установлены на дискретные отрезки времени, величиной, влияющей на предполагаемую зарплату на период контракта, является ожидаемая ценовая инфляция. Адаптация инфляционных ожиданий ведет к возвращению уровня безработицы к его естественному уровню.

Данная интерпретация увязывает динамику цен на рынке товаров и заработной платы на рынке труда через инфляционные ожидания. В силу своей простоты именно такая формулировка добавленной ожиданиями кривой Филлипса чаще всего встречается в учебниках по макроэкономике.

В своей более поздней работе 1976 г. Милтон Фридман обобщил свой вклад и вклад Эдмуна Фелпса следующей цитатой Абрахама Линкольна: «Вы можете ввести в заблуждение всех людей определенное количество раз или вы можете постоянно вводить в заблуждение определенную группу людей, но вы не можете вводить в заблуждение всех и всегда».

2.3 Золотое правило накопления


Классическая теория экономического роста, отображенная в базовой модели Солоу - Свана в середине 1950-х гг., не давала никаких рекомендаций относительно оптимальных ставок сбережения ни для физического капитала, ни для исследования новых технологий. В начале 1960-х гг. ставка сбережения в США была на очень низком уровне, что вызвало активный интерес у исследователей, и сосредоточила дискуссию на распределении потребления между поколениями. Работы Фелпса по данной проблеме касались следующего круга вопросов. Какова должна быть ставка сбережения в базовой модели Солоу - Свана? Если расширить базовую модель и включить в нее технологический прогресс, то каковы должны быть инвестиции в НИОКР, и какова роль человеческого капитала в этом процессе?

Первый вопрос нормативен по своей сути, и в статье 1961 г. Фелпс подошел к нему с позиции справедливости распределения между поколениями. Руководствуясь этическим правилом: «относись к другим так, как ты хотел бы, чтобы они относились к тебе», он вывел так называемое «золотое правило накопления». В чем его сущность? Сфокусировавшись на динамической максимизации потребления в долгосрочной перспективе, Фелпс ограничился равновесным состоянием модели Солоу (steady state). Он показал, что в данной модели равновесное состояние с наивысшим уровнем потребления характеризуется простым правилом: ставка сбережения должна быть равна доли капитала в ВВП. Это и есть «золотое правило накопления», которое может быть переформулировано следующим образом: ставка дохода на капитал должна быть равна ставке роста ВВП.

В статье 1965 г. Фелпс формулирует проблему динамической неэффективности (dynamic inefficiency), которая возникает в случае, если возможно изменить равновесную траекторию ставки сбережения таким образом, что она возрастет в какой-то момент времени без падения в другой момент. Динамическая неэффективность подразумевает чрезмерное накопление капитала, которое возникает, если долгосрочная ставка сбережения выше значения ставки, определяемой «золотым правилом накопления».

В работе 1966 г. Фелпс добавил дополнительную переменную в базовую модель Солоу - уровень развития технологии. Следует отметить, что акцент исследования Фелпса отличен от появившейся позже эндогенной теории роста. Теория эндогенного роста позитивна по своей сути, в то время анализ Фелпса был нормативен. Фелпс предположил, что экономика с данной структурой капитала уже существует, и проанализировал, какой эффект в данной экономике будет иметь изменение ставки сбережения на распределение потребления между поколениями.

Он вывел «золотое правило накопления» для физического капитала независимо от уровня технологического прогресса. Это расширенное правило гласит: ставка доходности по всем видам инвестиций в физический капитал или в технологию должна быть равна ставке роста ВВП.

В совместной работе с Ричардом Нельсоном Фелпс провел анализ влияния размера человеческого капитала (stock of human capital) на технологический прогресс. Так как более образованная рабочая сила позволяет быстрее внедрять новые и существующие технологии, Фелпс и Нельсон предлагали субсидировать образование. Интересно отметить, что эмпирические исследования по экономическому росту часто находят, что именно размер человеческого капитала, а не скорость его накопления положительно влияют на экономический рост.

2.4 Проблемы проведения межвременного выбора в России на современном уровне


Специфические условия, присущие современной России делают проведение межвременного выбора в России несколько отличными, от того же выбора в более развитых в экономическом плане стран.

Ключевым аспектом этой проблемы является достаточно низкий уровень благосостояния. Главной причиной этого является, конечно, не недостаток ВВП на душу населения, а скорее излишне выгнутая кривая Лоренца, то есть слишком чрезмерное неравенство в распределении доходов.

Это очень явно сказывается как на государственной политике, поведении крупных кампаний, так и на рядовых гражданах. Перед государством ставятся непростые задачи в области здравоохранения и социального обеспечения. События, связанные с присоединением Крыма к Российской Федерации и последовавший за этим политический скандал, заметно сократил доходы государственного бюджета, делая дилемму, стоящую перед государством, более трудной.

Как крупные, так и мелкие кампании, работающие в сфере реального производства, тоже испытывают трудности с проблемой проведения межвременного выбора, спровоцированные недостатком средств, получаемых в виде прибыли и инвестиционным кризисом, имеющим место быть в современной Российской действительности. Следует особо подчеркнуть, что ухудшение инвестиционного климата в стране также непосредственно связанно с реакцией запада на внешнюю политику России.

В таких условиях, руководству кампании приходится делать нелёгкий выбор между обновлением производственного капитала или вложений в другие, более насущные области деятельности кампании.

Но ощутимее всего недостаток средство сказывается на рядовых гражданах нашей страны. Ввиду недостаточно развитого пенсионного обеспечения каждому необходимо иметь накопления к тому моменту, как он перестанет получать фиксированный и постоянный заработок от работодателя. Но, к сожалению, в большинстве случаев этих средств не хватает для полноценного существования, так что потребители нередко вынуждены прибегать к услугам банковских программ кредитования. Это только усугубляет ситуацию.

Если говорить прямо, то в России всего две крупных проблемы осуществления межвременного выбора.

Во-первых, очень нестабильная экономическая ситуация. Как уже отмечалось выше, недавние события неблагоприятно сказались на благосостоянии жителей нашей страны. А это и есть основной показательно межвременного выбора. И в обычной ситуации достаточно трудно определить какую часть своего бюджет лучше оставить на будущее, в виде банковских вложений и пр. Но что можно сказать об этом выборе, если в стране периодически случаются обвалы национальной валюты, полностью уничтожающие все сбережения? К этому добавляется высокий уровень инфляции, зачастую превышающий даже ставку по вкладам, которую предлагаю банки сегодня. В таких условиях у человека нет ни одного стимула сберегать, откладывать свои деньги на будущее - они просто не сохранятся.

Помимо этого, следует подчеркнуть тот факт, что средняя продолжительность жизни в России, пока, чуть ли не ниже, чем возраст выхода на пенсию, по крайней мере у мужчин. Это даёт дополнительной стимул тратить сегодня, а не откладывать на завтра.

Чтобы подтвердить вышесказанное, я продемонстрирую реальную статистику по России следующей таблицей.

Таблица 2.1. - Динамика денежных доходов, сбережения и потребления граждан РФ. За период 1995 - 2001 гг./тыс.руб./


Денежные доходы - всего

Потребление

Сбережения

Обязательные платежи

1995

70,5

5,5

5,6

1996

98,6

69,3

4,9

5,8

1997

98,4

68,7

2,4

6,3

1998

98,3

77,7

2,5

6,1

1999

98,2

78,4

5,3

6,7

2000

97,2

75,4

7,6

7,8

2001

98,0

74,4

9,0

8,9


Данные из этой таблицы (2.1), взяты за период с 1995 по 2001 годы неслучайно. Этот период - самый трудный в жизни каждого российского гражданина, это сложный этап выхода из затяжного финансового и экономического кризиса. Хотя сегодня мы имеем аналогичную ситуацию, за 2015 год ещё нет таких данных. Более того, провести подробный анализ можно будет только имея в распоряжении статистику за 2016 и 17 годы.

Но используя таблицу мы можем пронаблюдать, как несмотря на планомерный рост личного дохода в 1995 и 96 годах, сбережения граждан сократились. Это то, о чём я говорил выше - на количество инвестиций влияет не только фактический уровень дохода, но и психологическое состояние граждан. Мы можем наблюдать затяжное последствие крупного кризиса, когда экономическая активность замораживается не только на фазу спада, но и на последующее время, за счёт одних только настроений в обществе.

Следует обратить особое внимание на дефолт 1998 года. Уровень дохода сократился весьма незначительно, наряду с этим, сократились и обязательные платежи. Но произошло катастрофическое падение уровня сбережений граждан. Это говорит о наличии больших проблем, в области проведения межвременного выбора в нашей стране.

Исходя из всего вышеперечисленного можно с уверенностью утверждать, что необходимость увеличения налоговых поступлений в бюджет, привлечения инвестиций и повышения средней заработной платы являются насущными проблемами, возникающими из-за межвременного выбора в России. Для решения этих проблем необходимо стабилизировать экономическую ситуацию в стране и создать достойные наших граждан условия жизни.

ЗАКЛЮЧЕНИЕ


Трудно не согласиться с выбором Нобелевского комитета 2006 г. Работы Фелпса 1960-х гг. были инновационны, имели большое влияние на последующие теоретические изыскания и всегда были напрямую связаны с экономической реальностью. Как заметил видный представитель неокейнсианской школы Алан Блайн-дер, если выделить ряд современных экономических идей по принципу их интеллектуальной красоты, то из этого ряда, пожалуй, только добавленная ожиданиями кривая Филлипса выдержит эмпирическую проверку. То, что экономика является наукой политизированной, ни для кого не секрет. В связи с этим некоторые обозреватели посчитали данный выбор Нобелевского комитета победой лагеря сторонников неокейнсиаского подхода. Но если учитывать тот факт, что премия 2004 г. досталась Кидланду и Прескотту - основателям теории реальных бизнес-циклов, то в этом смысле победа Фелпса есть скорее восстановление равновесия. А если еще принять во внимание то, что именно Фелпс одним из первых применил микромоделирование в приложении к макроэкономике, то становится очевидным, что его кандидатура не должна была вызвать нареканий и в лагере неоклассиков. Правда же заключается в том, что Фелпс посвящал себя актуальным для своего времени вопросам, и его идеи оказались востребованными в определенном контексте обеими макроэкономическими школами, в то время как сам он не является активным приверженцем какой-либо школы. Кроме того, концепции, разработанные Фелпсом, оказались применимы на практике и в свое время произвели революцию в монетарной политике, проводимой центральными банками.

Учитывая широту исследовательской программы лауреата и значимость полученных им результатов, награждение Эдмунда Фелпса Нобелевской премией по экономике 2006 г. можно смело назвать заслуженным, а выбором комитета оптимальным.

Список использованной литературы


Экономическая учебная и специальная литература

. Соколов В.Н. Анализ межвременного выбора в макроэкономической политике // Экономический журнал ВШЭ. -2007. -№ 1. - 83 с.

. Шагас Н.Л. Макроэкономика - 2 // изд-во МГУ - 2006

. Грегори Н.М., Макроэкономика. - М.: МГУ, 2012. - 158 с.

. Булатов А.С. Экономика. - М.: БЕК, 2003. - 279 с.

. Пашкус Н.А., Пашкус В.Ю. Новая экономика: понятия, принципы, системный подход // Вестник Удмуртского университета. 2007. - № 2. 290 с.

Интернет источники

http://www.giac.ru - Глобальный информационно-аналитический центр

http://www.nauteh-journal.ru - Научно-практический журнал «Современная наука: актуальные проблемы теории и практики»

ПРИЛОЖЕНИЕ


Таблица 2.2. - Инфляция в РФ. За период 1991 - 2012 гг./%/

2005 год

10,91

2006 год

9,00

2007 год

11,87

2008 год

13,28

2009 год

8,80

2010 год

8,78

2011 год

6,10

2012 год

6,53


Таблица 2.3. - Безработица в РФ. За период 2000 - 2012 гг./%/

Год

Экономически активные

Занятые

Безработные

2012

75 676 000

71 545 000

4 131 000

5,46

2011

75 800 000

70 800 000

5 000 000

6,60

2010

75 440 000

69 804 000

5 636 000

7,47

2009

75 658 000

69 285 000

6 373 000

8,42

2008

75 753 000

70 965 000

4 791 000

6,36

2007

75 159 000

70 570 000

4 588 000

6,11

2006

74 167 000

68 855 000

5 312 000

7,16


Похожие работы на - Проблема межвременного выбора в макроэкономической политике

 

Не нашли материал для своей работы?
Поможем написать уникальную работу
Без плагиата!
Без нейросетей!