Реализация процессного подхода (на примере ООО 'Гипрозем')

  • Вид работы:
    Курсовая работа (т)
  • Предмет:
    Менеджмент
  • Язык:
    Русский
    ,
    Формат файла:
    MS Word
    115,41 Кб
  • Опубликовано:
    2015-05-28
Вы можете узнать стоимость помощи в написании студенческой работы.
Помощь в написании работы, которую точно примут!

Реализация процессного подхода (на примере ООО 'Гипрозем')

Федеральное государственное бюджетное образовательное

учреждение высшего профессионального образования

«МОРДОВСКИЙ ГОСУДАРСТВЕННЫЙ УНИВЕРСИТЕТ им. Н. П. ОГАРЁВА»

Факультет экономический

Кафедра управления качеством





Курсовой проект

Тема: Реализация процессного подхода (на примере ООО «Гипрозем»)








Саранск

Реферат

СИСТЕМА УПРАВЛЕНИЯ, ПРОЦЕССНО-ОРИЕНТИРОВАННАЯ СИСТЕМА УПРАВЛЕНИЯ, ЗЕМЛЕУСТРОЙСТВО, БИЗНЕС-ПРОЦЕСС, ОРГАНИЗАЦИОННАЯ структура, РЕГЛАМЕНТИРУЮЩАЯ ДОКУМЕНТАЦИЯ, ПРОЕКТ, МЕХАНИЗМ ФОРМИРОВАНИЯ.

Объектом исследования является система управления организацией.

Предмет - процесс формирования процессно-ориентированной системы управления в ООО «Гипрозем».

Цель работы - разработка практических рекомендаций по созданию системы управления организацией на основе процессного подхода.

Методы исследования - наблюдение, анкетирование с элементами экспертной оценки, SWOT-анализ, моделирование, документирование.

Полученные результаты - усовершенствована система управления ООО «Гипрозем».

Степень внедрения - частичная.

Область применения - при оптимизации организационной структуры землеустроительной организации, в работе специалиста по организационному развитию, при разработке системы менеджмента качества.

Введение

Формирование эффективной системы управления в организации является одним из ключевых факторов успешности и стабильного положения на конкурентном рынке.

Необходимость перехода системы управления организации от функционально-ориентированной на процессно-ориентированную определяется тем, что такая система управления позволяет обеспечить высокую степень адаптации организации к быстроменяющимся условиям внешней среды.

декабря 2007 года Президент России подписал Федеральный закон «О саморегулируемых организациях». Переход землеуземлеустроительной отрасли от лицензирования к саморегулированию - это мера, которая позволяет реализовать требования к качеству и безопасности строительства в условиях увеличения его объемов и темпов. В сложившейся ситуации для получения допуска на строительный рынок организация должна иметь сертификат соответствия системы качества требованиям ГОСТ Р ИСО 9001-2011, при этом важно отметить, что акцент делается не на качество конечного продукта, а на качество самого менеджмента.

Важной задачей, стоящей перед руководителем организации, становится выбор рациональной системы управления. Как показывает международная практика, эффективным механизмом повышения конкурентоспособности является реализация принципа процессного подхода ,иными словами формирование процессно-ориентированной системы управления.

Этим была обусловлена актуальность избранной темы курсового проекта, постановка целей и задач исследования.

Объектом исследования является система управления организацией.

Предметом исследования является процесс формирования процессно-ориентированной системы управления в ООО «Гипрозем».

Цель дипломной работы состоит в разработке практических рекомендаций по созданию системы управления организации на основе процессного подхода.

В соответствии с целью работы были поставлены следующие задачи:

раскрыть сущность процессно-ориентированной системы управления организации, определить ее основные структурные элементы;

рассмотреть механизм формирования процессно-ориентированной системы управления организации;

выявить особенности построения процессно-ориентированной системы управления в землеуземлеустроительной организации;

провести комплексную диагностику существующей системы управления ООО «Гипрозем»;

описать алгоритм разработки системы процессного управления;

разработать модель процессов и организационной структуры ООО «Гипрозем»;

разработать процессно-ориентированную организационно-распорядительную документацию;

оценить эффективность проекта по построению процессно-ориентированной системы управления ООО «Гипрозем».

1. Процессно-ориентированная система управления организацией: сущность, содержание и механизм реализации в соответствии с требованиями ГОСТ Р ИСО 9001-2011

.1 Понятия, основные положения и структурные элементы процессно-ориентированной системы управления организацией

Традиционные методы управления не обеспечивают способность принимать стратегически верные решения. Сегодня и в будущем конкурентное преимущество получат компании, обладающие наиболее эффективной системой управления. Существующий рынок оборудования позволяет компаниям легко копировать техпроцессы, рынок труда позволяет находить необходимый персонал, а сырье и энергия стоят одинаково для всех. Единственным значимым отличием компаний друг от друга становятся стратегия, бизнес-процессы и организационная структура, за эффективность которых и разгорится основная борьба.

«Система управления организацией» - одно из ключевых понятий теории организации, тесно связанное с целями, функциями, процессом управления, работой менеджеров и распределением между ними полномочий для исполнения определённых целей. В рамках системы управления протекает весь управленческий процесс, в котором участвуют менеджеры всех уровней, категорий и профессиональной специализации.

Система управления организацией построена для того, чтобы все протекающие в ней процессы осуществлялись своевременно и качественно. Отсюда то внимание, которое уделяют ей руководители организаций и специалисты, с целью непрерывного совершенствования, развития как системы в целом, так и её отдельных составляющих. Очевидно, что изучение и совершенствование системы управления способствует скорейшему достижению поставленных целей и задач.

В соответствии со стандартом МС ИСО 9000:2011 под системой менеджмента понимается система для разработки политики и целей и достижения этих целей [71].

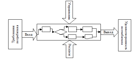
Система управления может представлять собой механизм такого воздействия и совокупность всех элементов, подсистем и их взаимосвязей, а также процессов, обеспечивающих функционирование организации в заданном направлении. Представим на рисунке 1.1 модель системы управления.

Рисунок 1.1 - Модель системы управления

Основной задачей системы управления организацией ставится формирование профессиональной управленческой деятельности. Как процесс, управленческая деятельность - это совокупность действий, ведущая к образованию и совершенствованию связей между частями системы. Как явление - это объединение элементов (система целей и показателей, модель бизнес-процессов и организационная структура управления) для реализации миссии организации (рисунок 1.2).

Рисунок 1.2 - Элементы системы управления [88]

Система целей и показателей отвечает на вопрос «Что?» необходимо достигнуть организации и как будет определяться достижение целей; модель бизнес-процессов отвечает на вопросы «Что?», «Когда?» (в некоторых случаях и «Как?») необходимо для этого делать; организационная структура отвечает на вопрос «Кто?» будет делать [89].

До недавнего времени практически все предприятия на территории нашей страны имели ярко выраженную функциональную структуру управления. Такая организация управления базируется на принципе последовательного выполнения трудовых операций, т. е. трудовая задача делится на отдельные операции (задания, этапы), и каждый рабочий специализируется на выполнении одной операции.

Андерсен Бьёрн в статье «Бизнес-процессы. Инструменты совершенствования» [96] выделил следующие преимущества функционально-ориентированной системы управления:

сотрудники получают возможность специализироваться в избранной ими профессии и, таким образом, выработать профессиональные навыки высочайшего уровня;

вследствие централизации разных функций затраты организации снижаются;

труд является более безопасным, так как каждый знает свое рабочее место, а также ту работу, которую он должен выполнять;

легче формировать организационную структуру компании и т. д.

Однако опыт большинства предприятий показывает, что со временем рост специализации приводит к обособлению функциональных подразделений и ослаблению межфункциональных связей. Каждое функциональное подразделение оптимизирует деятельность в области своей ответственности, что, в конечном счете, приводит к подмене стратегической цели компании целевыми функциями подразделений и тормозит их развитие.

Однако изменения в мировой экономике заставили многие компании изменить свое поведение на рынке и перейти от наращивания объемов производства к максимальному удовлетворению клиентов, что в свою очередь, привело к нарастанию борьбы за клиента, которая потребовала гибкости, новых идей, продуктов и услуг, быстрого выхода на рынки, снижения издержек и т. п.

В такой ситуации функционально - ориентированная схема управления не смогла отвечать новым требованиям рынка. Причинами этого является то, что:

функционально-структурированная организация не стимулирует заинтересованность работающих в конечном результате; видение происходящего сотрудниками не выходит за рамки подразделений, в которых они работают, они не ориентированы на целевые задачи предприятия и тем более на удовлетворение клиента;

большая часть реальных рабочих процессов на предприятии включает множество функций, т. е. выходит за рамки отдельных подразделений, однако в функционально-ориентированных структурах обмен информацией между различными подразделениями чрезмерно усложнен из-за ее вертикальной иерархичности, что приводит к большим накладным расходам, неоправданно длительным срокам выработки управленческих решений и, как следствие, потере клиентов.

Недостатки функциональной структуры управления побуждают компании к переориентации на процессное управление, характеризующееся тем, что:

создание ценности, воплощенной в конечной продукции, осуществляется в процессах;

определение границ процесса, а также поставщиков и потребителей позволяет обеспечить лучшее взаимодействие и понимание требований, которые следует удовлетворить;

при управлении процессом, проходящим через множество отделов, снижается риск субоптимизации;

при назначении владельца процесса удается избежать распределения ответственности по фрагментам, что часто бывает на специализированных
предприятиях, и т. д.

Таким образом, процессно-ориентированный подход к управлению предприятием позволяет получить структуру, деятельность которой направлена на постоянное улучшение качества конечного продукта и удовлетворение клиента. Такой подход основывается на понятии бизнес-процесса.

Бизнес-процесс состоит из набора операций. Порядок их выполнения в рамках бизнес-процесса, как правило, четко определен технологией или соответствующими правилами и инструкциями. Поэтому такие понятия, как маршруты и правила, определяющие бизнес-логику процесса, являются необходимыми его характеристиками.

Внутренние бизнес-процессы предприятия делятся на основные и вспомогательные. Основные (процессы производства, разработки нового продукта и вывода его на рынок и т. д.) создают добавленную стоимость, вспомогательные процессы (управление финансами, управление персоналом и т. д.), формируют инфраструктуру предприятия.

Следовательно, современная эффективная организация должна представлять собой не множество отделов, а совокупность бизнес-процессов.

В подтверждение вышесказанного приведем мнение известного аналитика Г. Остерлоха: ««...подчинение структуры процессам, а процессов стратегии» означает, что сначала надо выстроить стратегию, то есть сформировать видение будущего компании и определить его стратегические цели, затем выстроить бизнес-процессы таким образом, чтобы каждый из них был ориентирован на достижение конкретной цели, и лишь после этого формировать оргструктуру предприятия, которая бы обеспечивала эффективное исполнение бизнес-процессов» [96].

Также отметим, что в процессно-ориентированном подходе значительное внимание уделяется вопросам взаимодействия подразделений. Иными словами, процессно-ориентированный подход позволяет объединить отдельные, иногда разрозненные усилия подразделений, направленные на выполнение конкретных функций, в единую цепочку объединенных усилий компании, направленных на достижение конкретных стратегических результатов - предоставление клиенту качественного конечного продукта в кратчайшие сроки.

Именно процессно-ориентированный подход позволяет учесть такие важные аспекты бизнеса, как ориентация на конечный продукт, заинтересованность каждого конкретного исполнителя в повышении качества конечного продукта и, как следствие, заинтересованность в качественном выполнении своей работы. Это, в свою очередь, позволяет руководству компании делегировать часть полномочий по принятию управленческих решений на уровень конкретных исполнителей процесса. Кроме того, система, единицей управления которой является бизнес-процесс, характеризуется динамичным поведением и более гибким реагированием на внутренние и внешние изменения.

Функционально-ориентированная структура управления, напротив, характеризуется статичностью и неоптимальным взаимодействием ее структурных единиц. Именно эти особенности функционально-ориентированной структуры накладывают определенные требования-ограничения на характер возможных изменений бизнеса компании, с одной стороны, и служат причиной увеличения накладных расходов, связанных с межфункциональным взаимодействием, с другой.

Объединение внутренних бизнес-процессов предприятий в сквозные позволяет связать воедино процессы по поставкам, логистике, производству и сбыту продукции. При построении системы управления, основанной на бизнес-процессах, основной акцент делается на проработку механизмов взаимодействия в рамках процесса как между структурными единицами внутри компании, так и с внешней средой, т. е. с клиентами, поставщиками и партнерами.

Сегодня во многих отраслях шаги в направлении процессно-ориентированного подхода уже сделаны.

В то же время многие российские компании в развитии управленческих технологий значительно отстают от иностранных компаний и не могут конкурировать с ними. Современные стандарты управления, в том числе стандарт ГОСТ Р ИСО 9001-2011, подразумевают применение процессного подхода. В связи с переходом землеуземлеустроительной отрасли от лицензирования к саморегулированию и, следовательно, с необходимостью внедрения системы менеджмента качества, как средства обеспечения качества и безопасности землеустроительных объектов, процессно-ориентированное управление придется внедрять и поддерживать предприятиям, работающим как на международном рынке, так и на отечественном.

Сущность процессно-ориентированного подхода заключается в том, что каждый сотрудник обеспечивает жизнедеятельность конкретных бизнес-процессов, непосредственно участвуя в них. Обязанности, область ответственности, критерии успешной деятельности для каждого сотрудника сформулированы и имеют значение в контексте конкретной задачи или процесса. Горизонтальная связь между структурными единицами значительно сильнее, чем в функционально-ориентированной системе, а вертикальная связь ослабевает. Чувство ответственности сотрудника качественно меняется: он отвечает не только за те функции, которые на него возложило руководство, но и за бизнес-процесс в целом. Функции и результат деятельности параллельных структурных единиц для него важны.

В работе Голоскова И.Н. «Проблема выбора, или Как мы ответим на вызов» [86] , автор приходит к выводу, что система, являющаяся совокупностью функциональных отделов, не может быть продуктивной, и что производственная система, состоящая из группы взаимосвязанных процессов, должна более эффективно обеспечивать достижение стратегических целей организации.

Исходя из вышеизложенного можно сделать вывод о том, что построение процессно-ориентированных систем позволяет организации лучше понять взаимосвязи отдельных аспектов деятельности и повысить ее эффективность.

Следует отметить, что идеология процессно-ориентированного управления фактически приводит к стиранию границ между управлением качеством и управлением самим предприятием. В последний годы все большую популярность среди специалистов получает лозунг «От управления качеством к качеству управления». Он имеет глубокий смысл и знаменует собой очередную смену управленческих парадигм. Качество управления сегодня - это фактор системной организации предприятия, обеспечивающий его рыночный успех, конкурентоспособность, необходимое условие его экономического благополучия.

Таким образом, при управлении предприятием необходимо использовать преимущества процессного подхода, такие как повышение адаптивности, гибкости, быстроты реакции на изменение конъюнктуры рынка, структурированности мотиваций и улучшение управляемости организации. В условиях неустойчивости внешней среды основным фактором развития становится повышение организационного уровня управления предприятием на базе внедрения принципов системного и процессного подхода на всех уровнях, с ориентацией на удовлетворение потребностей общества. Любые имеющиеся на предприятии отклонения должны быть отнесены в компетенцию менеджмента качества. Таким образом, предприятие, функционирующее на основе концепции всеобщего управления качеством, постоянно совершенствуется и развивается.

1.2 Механизм формирования процессно-ориентированной системы управления организацией

Проект построения системы процессного управления организации начинается с решения менеджмента компании о переходе от функциональной системы к системе управления, построенной по процессному принципу. Важно, чтобы данное решение было принято руководителями всех функциональных направлений деятельности организации (проектирование и строительство, экономика и финансы, информационные технологии и т.д.), в противном случае проект по построению процессно-ориентированной системы управления (ПОСУ) и описанию бизнес-процессов организации будет обречен.

Для принятия решения о построении в организации совершенно новой системы управления необходимо понимать те недостатки, которые существуют в функционально-ориентированной системе, и достоинства вновь создаваемой системы, которые подробно были рассмотрены в п. 1.1.

В землеустроительной отрасли механизм рыночных отношений уже запущен и требует от системы управления организацией способности быстро реагировать на изменения условий рынка. Осознание этого приводит к выводу о необходимости создания более гибкой и адаптивной системы управления, системы, построенной на принципах процессного управления.

Следует отметить, что разработка ПОСУ в организации рассматривается как проект, так как этот процесс является уникальным для каждой конкретной организации, состоит из совокупности скоординированной и управляемой деятельности, с начальной и конечной датами, предпринят для достижения цели (совершенствование системы управления), соответствующей конкретным требованиям, включает ограничения сроков, стоимости и ресурсов [71, с. 20].

Итак, рассмотрим основные этапы, посредством реализации которых осуществляется построение процессно-ориентированной системы управления, предложенные В. В. Репиным и В. Г. Елиферовым:

подготовительный;

моделирование и анализ бизнес-процессов «как есть»;

подготовка и внедрение изменений в процессах, построение процессно-ориентированной системы управления организацией [98, с. 45].

Рассмотрим более подробно каждый из этих этапов. На подготовительном этапе создаются необходимые условия и предпосылки для успешного выполнения проекта. Подготовительный этап включает следующие работы:

диагностика проблем организации;

определение основных бизнес-процессов (сети процессов);

определение и ранжирование целей проекта;

выбор (разработка) и утверждение методики ведения проекта, включая методику моделирования бизнес-процессов, структуру регламента выполнения бизнес-процесса и другие документы;

подготовка программного и аппаратного обеспечения;

формирование рабочих групп;

методическая подготовка: обучение руководителей и специалистов организации;

информирование персонала о задачах проекта;

детальное планирование работ [98, с. 45].

Результатом первого этапа должны стать команды руководителей и сотрудников организации, «зараженных» философией процессного подхода к управлению, четко представляющих цели проекта и последовательность шагов по их достижению. Вторым важнейшим результатом данного этапа является утвержденная корпоративная методика моделирования бизнес-процессов.

На втором этапе проекта выполняются моделирование и анализ бизнес-процессов «как есть». Этот этап включает следующие работы:

создание моделей организационной структуры;

создание вспомогательных моделей (деревья функций, документов, материальных ресурсов);

разработка моделей бизнес-процессов верхнего уровня;

проверка адекватности моделей верхнего уровня;

разработка моделей детальных бизнес-процессов (несколько уровней декомпозиции);

проверка адекватности детальных моделей;

создание моделей документов, данных;

проведение анализа моделей;

формирование отчетов [98, с. 46].

Основным результатом второго этапа должны стать модели бизнес-процессов, построенные в соответствии с требованиями организации, и данные анализа этих моделей. Полученные модели процессов могут быть использованы для дальнейшей работы по созданию регламентирующих документов и реорганизации бизнес-процессов.

На третьем этапе проводится подготовка к внедрению процессно-ориентированной системы управления. Осуществляется выбор приоритетов при изменении процессов на основе рассчитанной экономической эффективности, оцениваются требуемые ресурсы, проводится оценка рисков и компенсационных мероприятий, выполняются подготовительные работы с персоналом организации.

Затем выполняется собственно реорганизация бизнес-процессов, при этом могут выполняться следующие работы:

регламентация бизнес-процессов и создание других необходимых документов (положения о подразделениях, должностные и рабочие инструкции, методики измерения анализа показателей процесса, формы отчетности владельцев процессов и т. д.);

поэтапное внедрение бизнес-процессов «как должно быть» процессной системы управления;

изменения организационной структуры, должностных обязанностей исполнителей;

оперативный контроль выполнения плана;

контроль качества создаваемых бизнес-процессов;

корректировка моделей бизнес-процессов на основе практического опыта;

разработка новой документации (регламенты по процессам, должностные и рабочие инструкции) [98, с. 47].

Результатом проекта должны стать новые, более эффективные бизнес-процессы, комплект документации, регламентирующей процессы, а также организационная структура, соответствующая новым процессам.

Для разработки ПОСУ организации могут привлечь консультантов.

Рассмотрим, каким образом осуществляется разработка и внедрение процессно-ориентированной системы управления организации при участии консультантов и представим этапы проекта в виде графика Ганта для предприятия среднего размера (рисунок 1.4).

Название этапа

М1

М2

М3

М4

М5

М6

1 Подготовительный этап







2 Моделирование и анализ бизнес-процессов «как есть»







3 Подготовка и внедрение изменений в процессах







Рисунок 1.3 - Этапы выполнения проекта разработки процессно-ориентированной системы управления [98]

Отметим, что ранее выделенные три этапа включают в себя работы, представленные на рисунке 1.3. Так, подготовительный этап совпадает с принятием решения директором организации; в рамках второго этапа - моделирования и анализа бизнес-процессов «как есть» - осуществляются работы по диагностике системы управления организации, формирование сети процессов и назначение владельцев; а в рамках третьего этапа - подготовки и внедрения изменений - выполняются работы по детальному планированию и организации проекта и непосредственно разработке ПОСУ.

Очень важно подчеркнуть, что основной объем работ по выполнению проекта внедрения ПОСУ выполняют сотрудники предприятия, в особенности владельцы процессов.

Для выполнения работ в рамках проекта построения ПОСУ организация создает временные рабочие группы из своих сотрудников. Рабочие группы должны создаваться по каждому процессу. Деятельностью каждой рабочей группы руководит владелец соответствующего процесса, назначенный директором организации.

Количество и состав рабочих групп определяется консалтинговой компанией и утверждается руководством организации после разработки сети процессов организации.

Директор организации назначает руководителя проекта из числа своих первых заместителей и делегирует ему полномочия, необходимые для выполнения проекта. Руководитель проекта несет ответственность за внедрение ПОСУ.

Специалисты организации (директор, руководитель проекта, владельцы процесса, рабочие группы) выполняют следующие этапы в рамках проекта:

проходят обучение процессному подходу;

проходят аттестацию;

разрабатывают документацию ПОСУ;

обеспечивают внедрение документации ПОСУ.

Типовой проект может быть реализован в зависимости от масштабов организации в 6 -12 календарных месяцев.

Для выполнения данного проекта требуется строгое соблюдение план-графика всеми участниками проекта.

Подводя итог важно отметить, что для построения эффективной системы процессного управления на предприятии необходимы:

решение и лидерство руководства предприятия;

координация работ основных участников преобразований;

обучение всего персонала, включая руководство;

командная работа всех подразделений предприятия;

составление и соблюдение плана разработки и внедрения документации.

Такой механизм формирования системы управления послужил основой для разработки и реализации проекта по построению процессно-ориентированной системы управления ООО «Гипрозем», исключая этап внедрения и последующие этапы, что более подробно будет рассмотрено в п. 2. 2.

1.3 Особенности построения процессно-ориентированных систем управления в землеустроительных организациях

Важнейшей особенностью при организации структуры управления девелоперской компанией является соблюдение процессно-проектного подхода.

Девелопмент - это направление бизнеса, связанное с качественным преобразованием недвижимости и обеспечивающее возрастание ее стоимости. А девелопер, соответственно, является специалистом, который занимается преобразованием недвижимости. Свою работу он всегда начинает с земельного участка, отрабатывая его на перспективность, после чего составляют проект возведения на этой территории здания, сооружения или, если это экономически выгодно, только коммуникаций. Таким образом, можно сказать, что девелопмент означает преобразование недвижимости, в основе которого лежит проект и управление проектом в пределах соответствующих бюджетных ограничений с целью извлечения коммерческой выгоды.

Эффективность системы девелопмента обусловлена следующими факторами:

максимальная ответственность за экономические результаты проекта;

реальная возможность сосредоточения на ключевых задачах компании;

реальное влияние на успешность проекта;

нацеленность на конечный результат.

Основными элементами (этапами) девелопмента, определяющими его структуру являются:

разработка идеи девелоперского проекта;

разработка концепции проекта;

разработка обоснования инвенстиций;

организация финансирования;

формирование команды проекта;

приобретение юридических прав на объект недвижимости;

проектные работы;

сдача-приемка в эксплуатацию;

управление объектом;

продажа объекта как конечный этап девелопмента [33].

Следовательно, сущность процессно-проектного подхода состоит в следующем: используется система управления процессами-проектами (Ргоjесt Маnаgеmеnt)

Таким образом, прежде чем выявить особенности построения процессно-ориентированной системы управления в землеустроительной организации, необходимо определиться с понятием «проект».

Термин проект происходит от латинского слова projectus, что в переводе означает «брошенный вперед», «выступающий», «выдающийся вперёд», «торчащий».

Однозначно принятого всеми толкования термина нет, и разные стандарты дают определения со своими нюансами (таблица 1.1).

Таблица 1.1 - Понятия категории «проект»

Стандарт PMA (Институт управления проектами - Project Management Institute, США)

Проект - это некоторое предприятие, имеющее целью создание уникального продукта или услуги, ограниченное во времени [60, с. 117]

Стандарт DIN 69901 (Германия)

Проект - это предприятие (намерение), которое в значительной мере характеризуется неповторимостью условий в их совокупности [60, с. 117]

Мировой банк (Оперативное руководство №2.20)

Проект - комплекс взаимосвязанных мероприятий, предназначенных для достижения в течение заданного времени и в установленном бюджете поставленных задач с четко определенными целями [60, с. 117]

МС ИСО 9000:2011

Проект - это уникальный процесс, состоящий из совокупности скоординированной и управляемой деятельности с начальной и конечной датами, предпринятой для достижения цели, соответствующей конкретным требованиям, включающий ограничения по срокам, стоимости и ресурсам [71, с. 12]

Проект как действие

Проект - это совокупность процессов, посредством воздействия на которые решается задача в достижении цели, при заданных ограничениях в ресурсах [87]

Проект как описание

Проект - это совокупность описаний свойств создаваемого или модифицируемого объекта, события или системы, которые подлежат реализации [88]


При разработке процессно-ориентированной системы управления организации нас в большей степени интересует проект как форма организации деятельности компании, поэтому в рамках данной исследовательской работы мы будем придерживаться именно этого подхода к определению.

Важно отметить, что этапы реализации основных бизнес-процессов организации, на примере которой мы будем рассматривать процесс разработки ПОСУ, также рассматриваются как проект, состоящий из совокупности скоординированной и управляемой деятельности с начальной и конечной датами, предпринятый для достижения цели .

Таким образом, особенности построения процессно-ориентированной системы управления землеустроительной организации определяются понятием проекта. Проектам присущи следующие особенности:

проекты являются уникальными, неповторимыми стадиями, состоящими из процессов и действий;

проекты обладают некоторой степенью риска и неопределенности;

персонал для выполнения проекта может быть принят в проектную организацию на время выполнения проекта;

разработка проекта может быть достаточно продолжительной, а проект может быть со временем изменен под воздействием внутренних и внешних факторов [27, с. 3].

Для команды проекта важным является формирование командного духа, в котором интересы структурных подразделений подчинены общим, стратегическим интересам компании. Для этого необходимо ориентировать организационную структуру не на выполнение отдельных функций, а на ответственность за бизнес-процессы, связанных с достижением целей отдельных проектов или компании в целом. Опыт наиболее успешных компаний показывает, что для бизнес-процессов выполняющей проект компании приоритетными целями должны стать цели заказчиков.

Бизнес-процессы, как правило, кроссфункциональны и охватывают функции, выполняемые разными подразделениями. Процессы существуют независимо от того, признает ли их руководство официально и выявлены ли они вообще. Только в одном случае процессы протекают сами по себе без должного управления и эффективности, а в другом случае можно управлять выявленными процессами и совершенствовать их.

Сам проект выполняется как набор запланированных, взаимосвязанных и взаимозависимых процессов. Согласно ГОСТ Р ИСО 10006-2005 «СМК. Руководство по менеджменту качества при проектировании», чтобы управлять процессами проекта следует определить и соединить необходимые процессы, интегрировать их и управлять ими как системой [27, с. 6].

В соответствии с этим стандартом, устанавливают организационную структуру проекта в соответствии с требованиями и политикой инициирующей организации и условиями участия в проекте. Для выбора наиболее подходящей организационной структуры используют предыдущий опыт. Организационная структура проекта должна обеспечивать эффективный обмен информацией и эффективное сотрудничество всех участников проекта. Описания выполняемых работ, включая назначение ответственности и полномочий, должны быть разработаны и документированы.

Таким образом, обобщим основные особенности строительных организаций, которые могут повлиять на процесс построения ПОСУ:

уникальность каждого проекта;

смешанная организационная структура (так как чаще всего землеустроительные организации имеют иерархические структуры, но при этом для них характерна проектная организация деятельности, в соответствии с которой меняется число и состав участников проекта).

Рассмотренные особенности были учтены при разработке и реализации проекта по построению процессно-ориентированной системы управления в ООО «Гипрозем».

2. Разработка проекта по построению процессно-ориентированной системы управления ООО «Гипрозем»

.1 Комплексная диагностика существующей системы управления организацией

В результате длительного обсуждения на всех уровнях законопроекта по созданию саморегулируемых организаций в землеустроительной сфере 22 июля 2008 года принят Федеральный закон №148-ФЗ «О внесении изменений в Градостроительный кодекс Российской Федерации и отдельные законодательные акты Российской Федерации», в соответствии с которым с 1 января 2009 года прекращается выдача новых государственных лицензий, а с 1 января 2010 года прекращается действие ранее выданных лицензий [120] .

Цель саморегулирования - способствовать повышению качества землеустроительных работ не за счет жесткого государственного контроля и надзора, а посредством развития конкурентных отношений на основе самостоятельного установления требований профессиональными участниками строительного рынка, а, в конечном счете, эти меры направлены на защиту интересов потребителей работ, товаров и услуг.

В сложившейся ситуации современные стандарты управления, в том числе ГОСТ Р ИСО 9001-2011, подразумевают применение процессного подхода. В связи с нацеленностью землеустроительных организаций на использование системы менеджмента качества, процессно-ориентированное управление необходимо внедрять и поддерживать.

Для разработки проекта по построению процессно-ориентированной системы управления ООО «Гипрозем» была проведена организационная диагностика, на основе анализа которой были выявлены недостатки существующей функционально-ориентированной системы управления.

В рамках диагностики были определены основные услуги, предоставляемые организацией, поскольку они влияют на структурирование основных компонентов организации деятельности компании.

Общество с ограниченной ответственностью «Гипрозем», образовано в соответствии с требованиями Федерального закона РФ «Об обществах с ограниченной ответственностью» №14 ФЗ и другими законодательными актами, регулирующими предпринимательскую деятельность на территории РФ.

ООО «Гипрозем» долгое время успешно работает на рынке инженерных изысканий, землеустройства. Область выполнения работ по геодезии, картографии требует выполнения многих условий, среди которых главное - точность, которая обеспечивается современным геодезическим оборудованием.

Осуществляет свою деятельность в соответствии с Федеральным законом «Об обществах с ограниченной ответственностью».

Целью деятельности ООО «Гипрозем» является организация рентабельной деятельности, и получение прибыли, используемой в интересах участников, для развития Общества, расширения сферы его деятельности и укрепления положения на рынках.

Организация «Гипрозем» является членом Некоммерческого Партнерства «Кадастровые инженеры». ООО «Гипрозем» было выдано свидетельство о членстве в СРО в сфере кадастровой деятельности.

Адрес ООО «Гипрозем»: Респ. Мордовия, г. Саранск, ул. Большевистская, д. 115.

Следующим этапом проведения диагностики является анализ организационной структуры компании. Представим графическую модель организационной структуры компании на рисунке 2.2.

Рисунок 2.2 - Организационная схема управления ООО «Гипрозем»

Судя по организационной схеме, представленной на рисунке, общее количество уровней управления равно трем: высший - генеральный директор; средний - заместитель директора по общим вопросам, заместитель директора по коммерческим вопросам, заместитель директора по организации полевых работ, руководитель отдела кадров, юрист, а также главный бухгалтер; низший - руководители структурных подразделений.

При анализе организационной структуры был использован такой количественный показатель, как норма управляемости.

В рассматриваемой организации в непосредственном подчинении директора находятся 11 должностей, что не соответствует нормативным значениям, определяющимся диапазоном от 3 до 7 человек. Такая организация системы управления ориентирует руководителя на решение операционных проблем, а не стратегических задач, что в дальнейшем может привести к потере контроля над организацией как над целостной системой.

Теперь определим сложность управления оргструктурой, которая определяется как отношение количества должностей к общей численности работников организации. Данный коэффициент составил 1 (70/70). Из расчета видно, что ни один человек в организации не совмещает должности - это свидетельствует о четком распределении должностных обязанностей специалистов в организации.

Помимо объективных причин, влияющих на эффективность системы управления, существует ряд качественных характеристик, который определяет эффективность системы управления. К нему можно отнести удовлетворенность заказчика, длительность срока выполнения работ, выполнение графиков «just in time», качество рабочей силы, качество работы и продукции, производительность труда.

Качество рабочей силы связано с производительностью труда, а именно, чем более квалифицированные работники выполняют работы, тем выше показатель производительности труда, что, в свою очередь, оказывает влияние на длительность срока выполнения работ и своевременного выполнения заказа. Эти показатели являются ключевыми для потребителя, что выражается показателем удовлетворенности заказчика.

Однако высокая производительность труда не всегда способствует повышению качества работы и продукции, а это может негативно сказаться на показателе удовлетворенности заказчика.

Таким образом, необходимо доказать или опровергнуть существование количественной взаимосвязи между шестью факторами - удовлетворенность заказчика, длительность срока выполнения работ, выполнение графиков «just in time», качество рабочей силы, качество работы и продукции, производительность труда и эффективностью системы управления.

Данная методика была апробирована на Улан-Удэнском локомотивовагоноремонтном заводе (ЛВРЗ) филиале ОАО «РЖД». Результаты исследования подтвердили возможность применения данного метода для оценки эффективности системы управления организации.

Общую эффективность системы управления выбранной организации выразим через коэффициент конкордации или коэффициент эффективности управления.

Для этого проведем анкетирование и интервьюирование сотрудников организации, выбранных в качестве экспертов: директора (1), главного строителя (2), начальника отдела кадров (3), начальника планово-экономического отдела (4), начальника отдела маркетинга и реализации жилья (5).

В анкете необходимо было расставить ранги от одного до пяти по шести выбранным показателям, то есть использовалась шкала Ликерта - методика <#"879600.files/image004.gif"> 

  

  

Показатели

1

2

3

4

5


Удовлетворенность заказчика

5

4

4

5

4

22

2,667

7,111

Длительность срока выполнения работ

4

3

4

3

4

18

-1,333

1,778

Выполнение графиков «just in time»

4

3

3

4

4

18

-1,333

1,778

Качество рабочей силы

3

3

4

4

4

18

-1,333

1,778

Качество работы и продукции

4

4

5

4

5

22

2,667

7,111

Производительность труда

3

3

4

4

4

18

-1,333

1,778

19,3321,333


Далее для расчета коэффициента конкордации рассчитаем сумму баллов, среднеарифметический балл, отклонение суммы баллов от среднего арифметического, сумму квадратов отклонений от суммы баллов j-го показателя от среднеарифметического балла.

Таким образом, коэффициент конкордации будет равен


Коэффициент конкордации, используемый в данном случае в качестве коэффициента эффективности управления предприятием может изменяться в пределах от 0,01 до 0,1, где значение показателя, равное 0,01 характеризуется как бессистемное управление, с неопределенными либо расплывчатыми целями и указывает на необходимость пересмотра принципов ведения бизнеса, а значение показателя, равное 0,1 свидетельствует о достижении организацией максимальных результатов по всем направлениям управленческой деятельности.

Величина коэффициента конкордации, равная 0,049 означает, что эффективность системы управления ООО «Гипрозем» оценивается ниже среднего уровня, что свидетельствует о необходимости изменений, в основе которых может лежать формирование процессно-ориентированной системы управления, позволяющей компании повысить эффективность работы, сократить время и снизить издержки при выполнении строительно-монтажных работ.

2.2 Формализация алгоритма разработки системы процессного управления ООО «Гипрозем»

Постоянное усложнение производственно-технических и организационно-экономических систем - фирм, предприятий, производств и других субъектов производственно-хозяйственной деятельности - и необходимость их анализа с целью совершенствования функционирования и повышения эффективности обусловливают необходимость применения специальных средств описания и анализа таких систем.

Особое значение приобретают в настоящее время программные продукты для моделирования бизнес-процессов. Они позволяют отобразить процессы организации в графическом или табличном виде. Возможность простой и наглядной графической интерпретации деятельности существенно облегчает реализацию такого важного требования стандарта ГОСТ Р ИСО 9001-2011, как прослеживаемость.

Для описания алгоритма разработки процессно-ориентированной системы управления ООО «Гипрозем» используем методологию функционального моделирования IDEF0.

Целью построения функциональной модели процесса является необходимое и достаточное формализованное описание подпроцессов, из которых состоит моделируемый процесс. Модель IDEF0 всегда начинается с представления моделируемого процесса в виде одного функционального блока с интерфейсными дугами. Они определяют границы процесса.

Для примера мы рассмотрим процесс межевания объектов сначала в виде комплексной родительской диаграммы А - 0, представленной на рисунке приложения А.

Целью диаграммы является организация процесса разработки процессно-ориентированной системы управления. Определены возможные входы и выходы процесса, механизмы и управление. Модель содержит:

Вход (Input):- Заказ;- Информация ;- Объект межевания.

Управление (Control):- Нормативно-техническая база;- Кадастровые требования;

С3 - ФЗ «О гос-м кадастре недвижимости»№221.

Выход (Output):-межевое дело;

. Механизм (Mechanism):- Высшее руководство компании;

М2 - Оборудование, компьютерная техника, ПО;

М3 - Персонал

Оборудованием в данном процессе являются средства компьютерной техники.

Подробнее процесс межевания объектов описан с помощью диаграммы А0, которая представлена на рисунке приложения А. Как видно из рисунка, процесс «межевать объекты землеустройства» включает 4 блока:

А1 - Подготовить информацию;

А2 - Произвести геодезические работы;

А3 - Подготовить документы в Гос кадастровый учет;

А4 - Провести Гос контроль

В приложении А описаны действия, происходящие в организации, в рамках каждого из выделенных блоков.

Мы промоделировали и идентифицировали один из процессов ООО»Гипрозем»,по такому принципу нужно идентифицировать и все остальные процессы организации.

Проведенная диагностика системы управления ООО «Гипрозем» позволила сделать вывод о необходимости ее пересмотра и перехода к процессно-ориентированной системе управления.

Теперь необходимо определиться, кто будет входить в состав рабочей группы. Для наглядности отобразим в таблицу (таблица 2.3).

Таблица 2.3 - Состав участников рабочей группы

Состав участников рабочей группы (основные роли)

Основные функции в проекте

Должность в компании

Руководство рабочей группы

Принятие стратегических решений по проекту, общее руководство, контроль за сроками выполнения работ, распределение выполнения заданий проекта по участникам

Генеральный директор

Менеджер проекта

Осуществляет организацию и выполнение работ в компании, помогает руководителю проекта по осуществлению взаимодействий и соблюдению сроков проекта

Заместитель директора по общим вопросам «Гипрозем»

Координатор

Ответственный за коммуникации, то есть взаимодействие между БИГ и компанией по принципу «одного окна», своевременное обеспечение участников проекта всей необходимой информацией, обеспечение участников проекта необходимыми книгами и т.д.

Заместитель директора по общим вопросам «Гипрозем»

Консультант

Организация обучения сотрудников компании, аттестация, консалтинговая поддержка

Системный администратор

Бизнес - инженер

Работа с программными средствами по моделированию бизнес - процессов и внедрению системы электронных регламентов, техническая работа по моделированию деятельности организации

Специалист по организационному развитию

Остальные участники рабочей группы

Непосредственно выполняют задания проекта

Главный инженер Экономист по финансовой работе Начальник отдела АК Начальник ПИ отдела Начальник юр. отдела Начальник отдела кадров Начальник отдела оценки Начальник хозяйственного отдела


Отметим, что в состав рабочей группы по совершенствованию системы управления помимо высшего руководства должны быть также включены руководители основных функциональных подразделений, что позволит при разработке ПОСУ в рассматриваемой организации реализовать принцип вовлечения персонала.

Далее после формирования рабочей группы необходимо провести обучение ее представителей методологии современного менеджмента, основам системного описания деятельности землеустроительных компаний, формированию моделей бизнес-процессов и их использованию и т. д., а затем провести аттестацию посредством тестирования. Затем каждый этап проекта предусматривает обучение группы по тематике этапа работ.

Сформированная компетентная рабочая группа должна стать механизмом для дальнейших работ процесса разработки процессно-ориентированной системы управления организацией.

Рассмотрим этапы разработки проекта по построению ПОСУ в «Гипрозем» во времени. Для этого построим диаграмму Ганта (Приложение Б).

Каждый из этапов описанной выше деятельности по разработке процессно-ориентированной системы управления организации требует обязательного согласования с высшим руководством.

Несмотря на то, что штатная численность организации достаточно велика, а также значительно количество процессов в организации, разработка процессно-ориентированной системы управления не потребует увеличения временных затрат ввиду того, что многие процессы в землеустроительной отрасли регламентированы ГОСТами, а это значит, что реорганизация в большей степени затронет процессы управления и обеспечения.

2.3 Экономическое обоснование проекта по построению процессно-ориентированной системы управления ООО «Гипрозем»

В независимости от целей, структуры организации и ее деятельности, организационные изменения оцениваются по их эффективности.

Оценить построение процессно-ориентированной системы управления в организации позволяют:

показатели, характеризующие процесс:

время, затраченное на разработку ПОСУ;

финансовые средства, необходимые для обеспечения и организации процесса разработки ПОСУ.

показатели, характеризующие результат:

финансовая экономия от внедрения ПОСУ;

сокращение длительности процесса разработки и выпуска проектов;

качество проектов;

повышение производительности труда;

удовлетворенность заказчика.

Рассмотрим подробнее указанные показатели.

Как уже было отмечено, общая продолжительность проекта по построению процессно-ориентированной системы управления в рассматриваемой организации составит около 6 месяцев. Длительность каждого этапа проекта представлена на диаграмме Ганта (Приложение В).

Рассчитаем эффективность использования времени на разработку ПОСУ как отношение времени, затраченного на работы, создающие ценность для компании, к общей продолжительности проекта.

Для этого определим, какие же из работ представляют ценность. Затраты времени на проведение диагностики системы управления, а также на формирование, обучение и аттестацию рабочей группы являются своего рода подготовкой к основным работам проекта и не создают ценность для компании, так как не связаны с воздействием на систему управления.

Таким образом, коэффициент эффективности использования времени составляет 0,19 (34дней/178дней). Следовательно, около 20% времени проекта затрачено на работы, не создающие ценность для компании.

Другим показателем, характеризующим затраченное время на разработку процессно-ориентированной системы управления, является доля участия каждого представителя рабочей группы в проекте. Представим этот показатель в таблице 2.4.

Таблица 2.4 - Временны затраты по разработке ПОСУ

Участник

минимум

оптимально

Директор

10% рабочего времени

13% рабочего времени

Заместитель директора по управлению проектами «Гипрозем» в качестве менеджера проекта, координатора, организатора обучения

30% рабочего времени

50% рабочего времени

Специалист по организационному развитию

50% рабочего времени

100% рабочего времени


Следующий показатель, характеризующий процесс разработки ПОСУ - финансовые затраты, необходимые для обеспечения и организации проекта. Представим статьи затрат в целом по группе компаний (таблица 2.5) и фактически по результатам двух этапов проекта для ООО «Гипрозем» (таблица 2.6).

Таблица 2.5 - Статьи затрат на разработку ПОСУ по группе компаний

Статьи затрат

Стоимость, р. (только на проект)

На консалтинговую поддержку БИГ

908 000

Навигаторы-книги (для обучения и дальнейшей работы) 5 комплектов по 3 шт + 2 шт=17 шт

6 800

Найм 2 студентов: 6 тыс. р. в месяц первые 2 месяца, затем 8 тыс. р. в месяц

88 000

Покупка 2-х ноутбуков (минимум по 20 000 руб. за шт. )

40 000

2 рабочих места (помещение + мебель). Минимум 4 метра на человека по 3 000 р. за метр в год + 15 000 р. мебель на человека

42 000

ИТОГО

1 084 800


Как видно из таблицы, наибольшие затраты составляют статьи, связанные с консалтинговой поддержкой, а также наймом специалистов по организационному развитию и в общем равны 1084, 8 тыс. р.

Затраты на проект в расчете на одну организацию представлены в таблице 2.6.

Таблица 2.6 - Затраты на проект в расчете на ООО «Гипрозем» (р.)

Рабочее место

Ноутбуки

1-й этап

2-й и 3-й этап

з/п

Всего

21000

24442

47200

236000

44000

372642


Из таблицы видно, что фактические затраты на обеспечение по результатам двух этапов без затрат на услуги БИГ составили 372 642 р.

Отметим, что преимуществами данного подхода является то, что в результате проведения поиска и устранения источников потерь организация получает не только сокращение затрат, но и сокращение времени, затрачиваемого на оказание услуг с повышением их качества.

Недостатком данного метода является то, что он требует значительных интеллектуальных усилий, однако позволяет не просто управлять бюджетом затрат на время кризиса, но и серьезно пересмотреть структуру себестоимости в сторону снижения и систему управления компании, переориентировав ее на получение длительного преимущества по затратам.

Подводя итог вышесказанному, отметим, что при проведении комплексной диагностики в ООО «Гипрозем» были выявлены недостатки, присущие функциональной системе управления, а именно:

главным потребителем результатов труда работников является вышестоящий руководитель, т. е. наблюдается отсутствие ориентации на внешнего потребителя, а также на внутренних потребителей промежуточных результатов деятельности;

усложнен обмен информацией между различными подразделениями;

отсутствуют цельные описания процессов;

не определены ответственные лица за конечный результат.

Также, в рассматриваемой организации наблюдается отклонение по показателю нормы управляемости, что может со временем привести к потере управляемости компанией.

Был проведен анализ эффективности системы управления с элементами самооценки и экспертной оценки посредством количественного анализа таких показателей, как удовлетворенность заказчика, длительность срока выполнения работ, выполнение графиков «just in time», качество рабочей силы, качество работы и продукции, производительность труда, и расчета коэффициента конкордации. Данные расчеты позволили сделать вывод о том, эффективность системы управления ООО «Гипрозем» оценивается ниже среднего уровня, что свидетельствует о необходимости изменений, в основе которых может лежать формирование процессно-ориентированной системы управления.

Далее был разработан проект по построению ПОСУ в ООО «Гипрозем», состоящий из трех этапов: проведение подготовительных работ, описание и анализ модели процессов и подготовка и внедрение изменений в процессах. Был предложен план разработки и внедрения, рассчитанный на 6 месяцев, который представлен в форме графика Ганта.

Затем были рассчитаны основные финансовые и временные затраты на реализацию данного проекта.

Таким образом, результаты проведенной работы послужат основой для реализации проекта по построению процессно-ориентированной системы управления в ООО «Гипрозем».

3. Реализация проекта по разработке процессно-ориентированной системы управления ООО «Гипрозем»

.1 Идентификация процессов и проектирование организационной структуры ООО «Гипрозем»

Проект трансформации системы управления в процессно-ориентированную реализуется посредством комплекса мероприятий, начиная с формулировки направлений развития и оптимизации портфеля заказов, что, естественно, накладывает отпечаток на систему управления, организационную структуру и может привести к кадровым перестановкам, в результате чего возникает необходимость переработки документов, регламентирующих деятельность компании, в первую очередь - положений о структурных подразделениях и должностных инструкций (рисунок 3.1).

Рисунок 3.1 - Построение модели ПОСУ

Рассмотрим ход реализации проекта по разработке ПОСУ в ООО «Гипрозем».

По рисунку 3.1 видно, что построение в организации ПОСУ начинается с формулировки миссии и стратегии развития. Существуют разные способы разработки стратегии организации, однако самым распространенным и достаточно простым для применения является SWOT-анализ, который был проведен в организации вместе с заместителем директора по общим вопросам. Представим в таблице 3.1 возможности и угрозы внешней среды, а также сильные и слабые стороны организации.

Таблица 3.1 - Возможности, угрозы, сильные и слабые стороны организации

Возможности внешней среды

Снижение цен на технику

Увеличение количества специалистов на рынке труда

Вступление в состав саморегулируемой организации

Снижение стоимости землеустроительных работ

Угрозы внешней среды

Финансовый кризис

Отсутствие финансирования и снижение платежеспособности заказчиков (в т. ч. население, гос. заказчик)

Изменение законодательства, сопровождающееся повышением требований к землеустроительным организациям

Сильные конкуренты

Сильные стороны компании

Обеспеченность денежными средствами

Репутация

Оснащенность современным GPS- оборудованием

Высоко квалифицированный персонал

Большое количество филиалов по всей РМ

Слабые стороны компании

Плохая интеграция производственного процесса и техники с экономикой

Отсутствие системы менеджмента качества

Слабая организация работ


Выявленные диагностики необходимо распределить по четырем сферам деятельности организации: сфера финансов и экономики, сфера бизнес-процессов (прежде всего производственная деятельность), сфера управления персоналом и коммерческая деятельность (согласно методике Нортона и Каплана «Система сбалансированных показателй», которую предложили использовать БИГ-консалтинг).

Исходя из проведенного анализа, можно сформулировать миссию организации следующим образом: оправдание ожиданий клиентов путем своевременного оказания услуг землеустроительства, а также постоянная оптимизация бизнес-процессов организации.

Для осуществления миссии разработана стратегия: более эффективное использование финансовых, человеческих, материальных и других ресурсов, а также правовых, экономических и снабженческих взаимоотношений ООО «Гипрозем»; адаптировать бизнес компании под новые требования национальных и международных стандартов, в том числе требования ГОСТ Р ИСО 9001-2011.

Следующим шагом при разработке ПОСУ является идентификация бизнес-процессов.

Предоставим комплексную непротиворечивую модель всех бизнес-процессов, с детализацией, достаточной для нормальной работы компании в период перехода от старой системы управления к новой, получить распределение ответственности за основные результаты деятельности, что послужит основой формирования процессно-ориентированной структуры организации. Но сначала необходимо определить владельцев и исполнителей процессов. Для этого воспользуемся таким инструментом закрепления ответственности как матрица ответственности, где В-владелец процесса, И-исполнитель процесса, У-участник процесса (приложение Г).

Данная матрица ответственности устанавливает полноту списка ответственных, исполнителей и участников всех процессов верхнего уровня компании, их достаточность и наличие системы контроля и отчетности за исполнением.

Теперь представим вариант процессно-ориентированной организационной схемы ООО «Гипрозем» на рисунке 3.3.

Рисунок 3.3 - Процессно-ориентированная организационная схема

3.2 Формирование регламентирующей документации системы управления организацией

После изменения организационной структуры может сложиться ситуация, в которой новая система управления будет существовать без подтверждающих и регламентирующих ее работу документов. Появляется возможность возникновения хаоса во взаимоотношениях в новой структуре. Поэтому следующим шагом проекта по разработке процессно-ориентированной системы управления организации должна стать концентрация усилий на документировании системы управления. Выделяют такие первоочередные регламентирующие документы, как описания процессов (например, в виде стандартов организации), положение о структурных подразделениях, должностные инструкции руководителей и специалистов компании.

Особенностью созданной организационной структуры в рассматриваемой организации является то, что границы бизнес-процессов верхнего уровня в большинстве случаев совпадают с границами структурных подразделений, что может упростить документирование новой системы управления.

Новым для данной компании стало появление понятия «Владелец бизнес-процесса» ввиду того, что в процессной системе управления административная подчиненность является второстепенной - административный руководитель (в рассматриваемой организации - главный инженер) выполняет лишь координирующую роль в работе отдельных специалистов или подразделений. Главную роль в процессной системе управления играют владельцы бизнес-процессов, так как бизнес-процесс может проходить через несколько подразделений. И в этом случае владелец процесса, который отвечает за его результат, должен иметь право воздействовать на деятельность этих подразделений.

Детальные описания процессов дают основу для разработки положений о подразделениях, которые в общем случае имеют следующие разделы: «Общие положения», «Задачи и функции», «Взаимодействие с другими подразделениями и внешними организациями».

Должностная инструкция - источник информации для усовершенствования всей системы управления. Не располагая объективными данными о расхождении между имеющимися и требуемыми компетенциями персонала, организация теряет возможность оценить внутренний потенциал команды и правильно сформулировать свою конкурентную позицию, а, следовательно - адекватно работать на рынке. Во-вторых, должностная инструкция является руководством к действию для сотрудников организации - она дает информацию о том, решения каких задач от них ожидают, каким образом они участвуют в достижении целей компании, и на основании каких критериев будут оцениваться результаты их работы. Таким образом, недействующие должностные инструкции не создают условий и не мотивируют персонал работать на достижение целей компании.

Будучи основанием для подбора сотрудников на соответствующие вакансии, должностная инструкция влияет на эффективность формирования кадрового потенциала организации.

Новая должностная инструкция должна включать следующие разделы: общие положения, основные должностные обязанности (вовлеченность в бизнес-процессы), требования к компетенциям, полномочия и ответственность.

В разделе «Общие положения» указывается название должности, подразделение, к которому она относится, ее цель. Например, цель должности главного технолога может быть сформулирована таким образом: «главный технолог - руководитель службы главного технолога - обеспечивает контроль качества с целью выяснения и обеспечения соответствия применяемых материалов, изделий и конструкций, а также результатов выполненных работ требованиям ГОСТ и других действующих нормативных документов и требованиям заказчика». Кроме того, в этом разделе необходимо указать, кому он подчиняется административно (к какому подразделению относится организационно), кому - процессно (в каких бизнес-процессах принимает участие), деятельностью каких подразделений и специалистов руководит административно, за результаты деятельности каких подразделений и специалистов (участвующих в бизнес-процессе, собственником которого он является) отвечает. Так, административно, главный технолог подчиняется главному инженеру.

В разделе «Основные должностные обязанности» описываются работы в бизнес-процессах, которые выполняет сотрудник, занимающий определенную должность, входящие и исходящие информационные потоки (документооборот), клиенты и поставщики бизнес-процессов.

Такой подход к описанию обязанностей положительно влияет на действенность должностной инструкции для персонала, так как четко устанавливает границы должности: с кем контактирует человек при реализации конкретной задачи, какую информацию использует, кому передает результаты работы.

Представим фрагмент должностной инструкции главного технолога:

«Бизнес-процесс, в котором участвует: Проектирует протекание процессов землеустройства, Снабжение

Работы, выполняемые в рамках бизнес-процесса:

Входной контроль поступающего материалов и конструкций, изделий и оборудования

Операционный контроль материалов и конструкций

Лабораторный контроль изделий и оборудования

Входящий документ: товарно-транспортная накладная или другие сопроводительные документы на сырье, материалы, конструкции

Исходящий документ: запись в общем журнале работ в графе «входной контроль» о соответствии/несоответствии; акт несоответствия поставленной продукции; акты освидетельствования скрытых работ; акты промежуточной приемки конструкций»

В должностной инструкции необходимо также отразить компетенции, которыми должен обладать сотрудник для эффективного выполнения поставленных перед ним задач, которые излагаются в разделе «Требования к компетенциям».

Для того чтобы сформулировать требования, которым должен соответствовать сотрудник компании на данной должности, первоначально необходимо четко определить, каким образом сотрудник сможет достичь поставленных перед ним целей. Например, одним из необходимых условий эффективной деятельности лиц, ответственных за бизнес-процессы должно являться понимание ими сути бизнеса (business sense), которая определяется как «восприятие организации как бизнеса, ориентация на достижение главной его цели - получение прибыли и принятие на себя обязательств по реализации неординарных заданий, необходимых для достижения этой цели». Такое понимание сути бизнеса предполагает, что ответственный за бизнес-процесс, как минимум, должен владеть элементами финансового анализа и интересоваться инновациями в современных методах управления. Еще один пример требуемой компетенции ответственного за бизнес-процесс - коммуникации и результативное взаимодействие, открытость, последовательность и четкость, умение внимательно слушать и наталкивать собеседника на новые идеи, умение ликвидировать барьеры и содействовать эффективным взаимоотношениям между сотрудниками, способность передавать знания другим. Четко обозначенный перечень требуемых качеств и способностей - не только ориентир для сотрудника (целевая установка, к которой он должен стремиться), но и возможность оценивать реальные компетенции (возможности, потенциал), которыми обладает на сегодняшний день организация. Постоянный мониторинг персонала позволяет разрабатывать программы обучения и развития с тем, чтобы добиться соответствия реальных компетенций сотрудников предъявляемым к ним требованиям. При достижении поставленных целей сотрудник должен вознаграждаться.

«Полномочия» характеризуют возможность использования сотрудником различных ресурсов (трудовых, информационных, финансовых, материальных, технических и т.д.) и права принятия решений, необходимых для реализации должностных обязанностей и достижения поставленных перед ним целей. Например, главный технолог имеет право: «издавать распоряжения для всех подразделений, в рамках которых выполняется бизнес-процесс, направленные на достижение поставленных перед ним целей».

Исходя из того что основным инструментом управления процессно-ориентированной организацией является система BSC (Balanced Scorecard, комплексная система оценочных индикаторов) или ССП (система сбалансированных показателей), в разделе «Ответственность» должны закрепляться цели, за достижение которых несет персональную ответственность тот или иной сотрудник организации. Система оценочных индикаторов может формироваться следующим образом: директор совместно с собранием акционеров формулируют общие стратегические цели развития организации и устанавливают показатели, по которым измеряется их достижение. На основании полученной системы (ССП корпоративного уровня), разрабатываются цели каждого подразделения, относящегося к основным, поддерживающим и управленческим бизнес-процессам с соответствующими оценочными индикаторами, руководствуясь принципом вклада каждого подразделения в достижение конечных целей всего бизнеса. Затем следует разбиение целей и оценочных индикаторов на подцели - от уровня отдельных подразделений до уровня конкретных работ. Представим пример построения системы оценочных индикаторов в таблице 3.5.

Таблица 3.5 - Пример построения системы оценочных индикаторов для службы главного технолога

Стратегические цели/ механизмы

Индикаторы

Целевые установки на 2015 год

Предупредить возникновение и/или сократить затраты на исправление брака

Количество фактов забраковки после лабораторных испытаний (на строительном или производственном участке)

Снизить на 15%

Повысить качество выполняемых услуг

Количество претензий со стороны приемочной комиссии

Снизить на 25%


Количество претензий к качеству со стороны конечных потребителей

Снизить на 30%


В должностную инструкцию могут быть также включены следующие разделы: порядок назначения или освобождения от должности, порядок замещения в отсутствие, режим работы, порядок оценки соответствия достигнутых показателей установленным индикаторам, порядок вознаграждения и наказания по результатам оценки и т.д.

Использование процессных должностных инструкций способствует созданию системы управления, которая делает бизнес более прозрачным и легче управляемым, позволяет разгрузить руководство от текучести кадров. Становится проще контролировать результаты работы, управлять информационными потоками, обеспечивать процедуры принятия решений базовой информационной поддержкой.

Кроме этого, разработанная по описанной методике должностная инструкция в дальнейшем может быть использована для:

построения системы оценки (аттестации) достижения персоналом поставленных целей, а затем - системы вознаграждения;

планирования релокации (перемещения) персонала, карьерного роста, постановки задач на подбор персонала и решения других вопросов, связанных с эффективным управлением в организациях;

определения зон ответственности и центров учета затрат в бизнес-планировании и управленческом учете;

сертификации на соответствие требованиям ГОСТ Р ИСО 9001-2011 (в одном документе реализованы два наиболее трудновыполнимых требования - процессное отображение бизнеса и формирование системы индикаторов, оценки ее эффективности).

Использование предложенной процессно-ориентированной системы управления бизнесом осложняется тем, что она должна успевать за изменениями внешней среды, изменяясь теми же темпами. Очевидно, что необходима автоматизация процессов адаптации системы управления к изменениям внешней среды. Приобретение и освоение предлагаемых сегодня на рынке программных средств позволит в случае изменения стратегии компании, менять элементы бизнес-процессов и автоматически формировать новые «карты должностных обязанностей по бизнес-процессам».

Заключение

Проведенное исследование подтвердило актуальность исследуемой проблемы и позволило сделать ряд выводов и рекомендаций.

Анализ современных отечественных исследований по проблемам формирования и адаптации процессно-ориентированных систем управления организаций свидетельствует о недостаточной изученности вопросов построения моделей систем управления и оценки эффективности их применения.

В своей работе мы придерживались подхода к определению систем управления и процессно-ориентированных систем управления, в соответствии с которым выделяются такие элементы, как бизнес-процесс, организационная структура, документация. Такой состав элементов позволяет концентрировать внимание руководства на наиболее важных аспектах деятельности компании, а также адаптировать бизнес к быстро меняющимся условиям внешней среды.

Также был описан механизм формирования процессно-ориентированной системы управления организацией, рассмотрены основные этапы проекта по его реализации, а также состав участников проекта.

Далее были выявлены особенности построения процессно-ориентированной системы управления в землеустроительной организации.

Разработка проекта по построению ПОСУ была рассмотрена на примере ООО «Гипрозем».

В соответствии с механизмом разработки новой системы управления нами была проведена комплексная диагностика существующей системы управления землеустроительной организации, которая позволила сделать вывод о том, что эффективность системы управления ООО «Гипрозем» оценивается ниже среднего уровня, о чем свидетельствует рассчитанный коэффициент конкордации, равный 0,048762, что указывает на необходимость изменений, в основе которых может лежать формирование процессно-ориентированной системы управления.

Один из основных процессов организации нами был представлен в нотации IDEF0, что позволило отразить не только последовательность этапов ее формирования, но и определить управляющие воздействия для каждого этапа работ.

Также для отслеживания времени по данному проекту был построен график Ганта, на основании которого были рассчитаны показатели эффективности использования времени на разработку ПОСУ.

Далее были рассчитаны основные финансовые затраты по проекту, которые в совокупности для ООО «Гипрозем» составили 372,642 тыс. р. без учета затрат на консалтинговую поддержку.

В работе не удалось рассчитать эффективность внедрения процессно-ориентированной системы управления для конкретной организации ввиду незавершенности проекта, а именно отсутствия описания бизнес-процессов, декомпозированных до того уровня, при котором можно определять источники потерь для их устранения и источники экономии для их использования. Однако опыт большинства компаний, осуществивших переход системы на процессное управление, позволяет сделать предположение о достаточно высокой окупаемости таких проектов и определить результат от его внедрения как отложенную прибыль.

Затем был предложен вариант реализации проекта в ООО «Гипрозем», в соответствии с которым были идентифицированы процессы компании, представлен фрагмент карты процессов, разработана процессно-ориентированная организационная схема компании, а также описан процесс формирования организационно-распорядительной документации - положений о подразделениях и должностных инструкций.

Проведенная работа позволила сделать вывод о возможности совершенствования процесса разработки процессно-ориентированной системы управления посредством использования специальных программных средств. Это требует дополнительных финансовых затрат, однако необходимо для эффективного функционирования процессов организационного развития и поддержания процессно-ориентированной системы управления в быстроменяющихся условиях внешней среды.

При успешной реализации проекта по внедрению ПОСУ компании удастся избавиться от большинства «слабых сторон» и перевести их в категорию «сильных». Это, в свою очередь, повысит конкурентоспособность компании как в глазах конкурентов, так и заказчиков, так как внедренная ПОСУ, и вытекающая из нее экономия от сокращения операционных затрат создает условия для наиболее качественного выполнения землеустроительных работ (в том числе по времени и цене).

Список использованных источников

1.   AllFusion Process Modeler 7 (BPwin) [Электронный ресурс]. - Режим доступа: #"879600.files/image010.gif">





Приложение Б

Диаграмма Ганта процесса разработки ПОСУ

Название процесса

Январь2015

Февраль 2015

Март 2015

Апрель 2015

Май 2015

Июнь 2015

Разрабатывать процессно-ориентированную систему управления организацией







1 Провести подготовительные работы







1.1 провести комплексную диагностику существующей системы управления







1. 2 формировать рабочую группу







2 Моделировать и анализировать бизнес-процессы «как есть»







2.1 идентифицировать процессы верхнего уровня компании







2.2 провести декомпозицию процессов







2.3 определить владельцев процессов







2.4 провести анализ моделей







3 Подготовить и внедрить изменения в процессах







3.1 разработать структурную схему процессного управления организацией







3.2 разработать процессно-ориентированную организационно-распорядительную документацию







3.3 поэтапно внедрять бизнес-процессы «как должно быть»







Приложение В

Карты процесса


Приложение Г

процессный управление гипрозем

Матрица ответственности


Владельцы, исполнители, участники

Процессы

Директор

Главный инженер

Зам директора по проектированию (ПСО)

Кадастровый инженер

Производственная база

Главный специалист по охране труда и технике безопасности

Отдел бухгалтерского учета и отчетности

Отдел снабжения

Начальник ОО

Межевание

Системный администратор

Отдел главного технолога

Главный механик

Отдел главного геодезиста

Главный энергетик

Отдел маркетинга и реализации жилья

Отдел кадров

Юридический отдел

Корпоративное управление

И


















Стратегическое управление

ВИ

У

У

У

У




И







У



Управление проектами









ВИ










Управление финансами

В






У


И










Управление экономикой

В








И










Управление персоналом

В
















И


Управление маркетингом

В















И



Проектирование зданий и сооружений

В


И
















Землеустройство

В

У


И






У


У

У

У

У



У

Оценка имущества

В




И




И



У

У






Юридическое обеспечение

В

















И

Снабжение

В







И




У







Бухгалтерский учёт

В






И












Учет и контроль









ВИ










Механизация


В











И






АХО


В






И











ИТ-поддержка

В










И








Охрана труда и техника безопасности


В




И














Похожие работы на - Реализация процессного подхода (на примере ООО 'Гипрозем')

 

Не нашли материал для своей работы?
Поможем написать уникальную работу
Без плагиата!
Без нейросетей!