Разработка управленческого решения с использованием метода парных (бинарных) сравнений

  • Вид работы:
    Курсовая работа (т)
  • Предмет:
    Менеджмент
  • Язык:
    Русский
    ,
    Формат файла:
    MS Word
    86,46 Кб
  • Опубликовано:
    2016-04-12
Вы можете узнать стоимость помощи в написании студенческой работы.
Помощь в написании работы, которую точно примут!

Разработка управленческого решения с использованием метода парных (бинарных) сравнений










Курсовой проект

Разработка управленческого решения с использованием метода парных (бинарных) сравнений

Введение

управленческий бинарный решение

«Методы принятия управленческих решений» - одна из спорных и актуальных тем в теории управления.

В современной литературе можно встретить несколько подходов к изучению процесса принятия решения, но наиболее полно и точно можно об этом говорить, придерживаясь взглядов коллектива авторов под руководством М.Х. Мескона, который, обобщив труды ряда авторов и свой личный опыт, разработал свою теорию.

Управление появилось вместе с людьми. Там где хотя бы два человека объединялись в стремлении достичь какой-либо общей цели, возникала задача координации их совместных действий, решение которой кто-то из них должен был брать на себя. В этих условиях он становился руководителем, управляющим, а другой - его подчиненным, исполнителем.

На всех этапах становления общества проблема управления стояла довольно остро, и многие люди пытались решить ее, но их труды носили разрозненный характер и не составляли обобщенной теории.

И только во второй половине прошлого века после победы промышленной революции на Западе ситуация резко изменилась. Рыночные отношения владели всеми сферами жизни общества. Как грибы после дождя росли крупные фирмы, требовавшие большого числа руководителей высшего и среднего уровней, способных принимать грамотные рациональные решения, умевших работать с большими массами людей, которые были бы свободны в своих поступках. Поэтому от управляющих требовался высокий профессионализм, компетентность, умение соизмерять свою деятельность с существующими законами. В результате появляется группа людей, специально занимающихся управленческой деятельностью. Этим руководителям уже не нужно держать своих подчиненных в повиновении властной рукой. Главной задачей становится кропотливая организация, и каждодневное управление производством в целях обеспечения наибольшей прибыли собственникам фирмы. Эти люди стали называться менеджерами.

Менеджером можно назвать человека только тогда, когда он принимает организационные решения или реализует их через других людей. Принятие решений - одна из составных частей любой управленческой функции. Необходимость принятия решений пронизывает все, что делает управляющий, формулируя цели и добиваясь их достижения. Поэтому понимание природы принятия решений важно для всякого, кто хочет преуспеть в искусстве управления.

Целью данной работы является раскрытие сущности методов принятия управленческих решений, процесса и процедуры их принятия.

Задачами работы являются описание методов принятия управленческих решений, различных подходов к управленческим решениям со стороны менеджеров, анализ факторов, влияющих на процесс принятия управленческих решений, изложение сущности анализа как основы для принятия управленческих решений, раскрытие актуальности проблемы на практике на примере предприятия - Группа Компаний «Окей».

Предметом работы являются управленческие решения на предприятии, методы их принятия.

Объект работы - Группа Компаний «Окей».

1.     
Методы принятия управленческих решений: теоретический аспект

.1 Сущность управленческих решений

Следует помнить, что почти все каждодневные решения мы принимаем без систематического продумывания, другие решения, например, куда отправиться жить после окончания университета, или какой стиль жизни удовлетворил бы нас - после размышлений, длящихся дни, месяцы, годы. Иногда в силу неосознаваемых психологических факторов мы уделяем непропорционально много внимания отдельным решениям. Например, некоторые люди терзаются неделями по поводу покупки пары туфель и действуют импульсивно, приобретая автомобиль, стоимостью 15 тыс. долларов.

Однако в управлении принятие решений - более систематизированный процесс, чем в частной жизни. Ставка зачастую много выше. Частный выбор индивида сказывается в основном на жизни его собственной и немногих связанных с ним людей. Менеджер выбирает направление действий не только для себя, но и для организации и для других работников. Люди, находящиеся на верхних этажах крупной организации, порой принимают решения, связанные с миллионами долларов. Что еще важнее, управленческие решения могут влиять на судьбы многих людей, по меньшей мере, каждого из тех, кто работает с принявшим решение руководителем, и, возможно каждого в организации. Один менеджер может штрафовать работника за малейшую провинность, штрафовать тех, кто занимается на работе общественной деятельностью. Другой руководитель может решить, что излишняя строгость в этих вопросах грозит стать причиной моральных проблем, результатом которых будет рост числа прогулов, текучести кадров и, возможно, ухудшение обслуживания потребителей, снижение производительности и качества продукции. Отказываясь от административных наказаний, руководитель решает, что будет больше проку от прямого, но твердого разговора с работником. Однако со временем повторяющиеся случаи опоздания на работу и снижения активности по причине бурной общественной деятельности могут заставить руководителя все же принять решение об увольнении работника. Если организация велика и влиятельна, решения ее высших руководителей могут определяющим образом изменять местное окружение. Некоторые управленческие решения буквально меняют ход истории. Важные государственные решения, например, о применении атомной бомбы президентом Трумэном, попадают в эту категорию.

Ответственность за принятие важных организационных решений - тяжелое моральное бремя, что особенно ярко проявляется на высших уровнях управления. Однако руководители любого ранга имеют дело с собственностью, принадлежащей другим людям, и через нее влияют на их жизнь. Если руководитель решает уволить подчиненного, последний может сильно пострадать. Если плохого работника не остановить, может пострадать организация, что отрицательно скажется на ее владельцах и всех сотрудниках. Поэтому руководитель, как правило, не может принимать непродуманных решений. Прежде чем понять, как руководитель может действовать более рационально, и систематизировано, необходимо подробнее ознакомиться с всеобщностью принятия решений, его органической связью с процессом управления и некоторыми характеристиками организационных решений.

1.2 Методология принятия решения

Эффективность управления зависит от комплексного применения многих факторов и не в последнюю очередь от процедуры принимаемых решений и их практического воплощения в жизнь. Но для того, чтобы управленческое решение было действенным и эффективным, нужно соблюсти определенные методологические основы.

Процесс и процедура принятия решений

Для того чтобы принять управленческое решение, каждый менеджер должен хорошо разбираться не только в понятийном аппарате, но и достаточно квалифицированно при этом применять на практике:

·   методологию управленческого решения;

·   методы разработки управленческих решений;

·   организацию разработки управленческого решения;

·   оценку качества управленческих решений.

Попытаемся коротко рассмотреть инструментарий и понятийный аппарат менеджера.

Методология управленческого решения представляет собой логическую организацию деятельности по разработке управленческого решения, включающую формулирование цели управления, выбор методов разработки решений, критериев оценки вариантов, составление логических схем выполнения операций.

Методы разработки управленческих решений включают в себя способы и приемы выполнения операций, необходимых в разработке управленческих решений. К ним относятся способы анализа, обработки информации, выбора вариантов действий и пр.

Организация разработки управленческого решения предполагает упорядочение деятельности отдельных подразделений и отдельных работников в процессе разработки решения. Организация осуществляется посредством регламентов, нормативов, организационных требований, инструкций, ответственности.

Технология разработки управленческого решения - вариант последовательности операций разработки решения, выбранный по критериям рациональности их осуществления, использования специальной техники, квалификации персонала, конкретных условий выполнения работы.

Качество управленческого решения - совокупность свойств, которыми обладает управленческое решение, отвечающих в той или иной мере потребностям успешного разрешения проблемы. Например, своевременность, адресность, конкретность.

Объект принятия управленческого решения - многогранная деятельность предприятия независимо от его формы собственности. В частности, объектом принятия решения являются следующие виды деятельности:

·   техническое развитие;

·   организация основного и вспомогательного производства;

·   маркетинговая деятельность;

·   экономическое и финансовое развитие;

·   организация заработной платы и премирования;

·   социальное развитие;

·   управление;

·   бухгалтерская деятельность;

·   кадровое обеспечение;

·   прочие виды деятельности.

Решение - результат выбора из множества вариантов, альтернатив и представляет собой руководство к действию на основе разработанного проекта или плана работы.

Правильность и эффективность принятого решения во многом определяется качеством экономической, организационной, социальной и других видов информации. Условно все виды информации, которые используются при принятии решения, можно подразделить:

·   на входящую и исходящую;

·   обрабатываемую и необрабатываемую;

·   текстовую и графическую;

·   постоянную и переменную;

·   нормативную, аналитическую, статистическую;

·   первичную и вторичную;

·   директивную, распределительную, отчетную.

Ценность получаемой информации зависит от точности задачи, так как правильно поставленная задача предопределяет необходимость конкретной информации для принятия решения.

Принятие решений присуще любому виду деятельности, и от него может зависеть результативность работы одного человека, группы людей или всего народа определенного государства. С экономической и управленческой точек зрения принятие решения следует рассматривать как фактор повышения эффективности производства. Эффективность производства, естественно, в каждом конкретном случае зависит от качества принятого менеджером решения.

Все принимаемые в любой сфере деятельности решения можно условно классифицировать и подразделить на решения: по стратегии предприятия; прибыли; продажам; вопросам, оказывающим влияние на образование прибыли.

Выполняя свои функциональные обязанности, каждый менеджер выбирает наиболее оптимальные решения, способствующие претворению в жизнь поставленной задачи.

Принятие решения, как правило, сопряжено с выбором направления действия, и если решение принимается легко, без специальной проработки альтернатив, то хорошее решение принять трудно. Хорошее решение накладывает на менеджера большую социальную нагрузку и зависит от психологической подготовленности менеджера, его опыта, личностных качеств.

Принятию решения предшествуют несколько этапов:

·   возникновение проблем, по которым необходимо принять решение;

·   выбор критериев, по которым будет принято решение;

·   разработка и формулировка альтернатив;

·   выбор оптимальной альтернативы из их множеств;

·   утверждение (принятие) решения;

·   организация работ по реализации решения - обратная связь

Критерии для оценки возможностей организационной структуры управления

1. Определение степени способности применяемой организационной структуры управления обеспечить получение нормы прибыли.

2. Степень способности существующей структуры управления создавать условия для повышения нормы прибыли за счет мероприятий НТП.

3. Степень способности быстро реагировать на изменение спроса и в соответствии с этим осуществлять действия.

4. Степень способности организационной структуры управления обеспечить рост производительности труда за счет по детальной специализации общественного труда и производства.

5. Степень эффективности системы производственного контроля при данной организационной структуре управления.

Объектом для возникновения проблем могут служить итоговые показатели деятельности предприятия (организации). В частности, в результате деятельности предприятия стали резко ухудшаться показатели конечных результатов работы (повышение себестоимости продукции, снижение роста производительности труда и его качества, прибыли и рентабельности); а также возникли конфликтные ситуации, высокая текучесть кадров.

Применительно к управлению все решения можно классифицировать как:

·   общие;

·   организационные;

·   запрограммированные;

·   незапрограммированные;

·   рациональные;

·   нерациональные;

·   вероятностные;

·   решения в условиях неопределенности;

·   интуитивные;

·   на основе компромисса;

·   альтернативные.

Из всей классификации попытаемся рассмотреть лишь некоторые решения. Известно, что принятие решения всегда сопряжено с определенной моральной ответственностью, зависимости от уровня, на котором принимается решение. Чем выше уровень управления, тем выше моральная ответственность за принятое решение.

Управленческое решение устанавливает переход оттого, что имеется, к тому, что должно быть проделано за определенный период. В процессе подготовки решения выявляются проблемы, уточняются цели, ведется вариантная проработка решений, выбор лучшего варианта и завершается его утверждение.

Управленческие решения могут быть: единоличные, коллегиальные, коллективные, стратегические (перспективные), тактические (ближайшие), оперативные.

Организационные решения принимаются на всех уровнях управления и являются одной из функций работы менеджера, они направлены на достижение поставленной цели или задачи. Они могут быть запрограммированными и незапрограммированными.

Запрограммированное решение - это результат реализации определенной последовательности этапов или действий и принимается на основе ограниченного количества альтернатив.

Чтобы найти правильные пути решения проблемы, менеджер не должен стремиться к немедленному ее разрешению, да это практически и невозможно, а должен принять соответствующие меры по изучению причин возникновения проблемы на основе имеющейся внутренней и внешней информации.

1.3 Методы принятия управленческих решений

Под методами принятия управленческих решений понимается нахождение определенного варианта достижения поставленной цели или решения конкретной задачи, то есть процесс разрешения проблемы путем применения совокупности приемов или операций.

Наиболее широко в исследовании в методах принятия управленческих решений, как правило, используются экспертные методы. Как научный способ экспертный метод был разработан сравнительно недавно и впервые он получил название «Дельфи». В дальнейшем были разработаны другие аналогичные методы, имеющие в своей основе экспертные оценки. Сначала экспертные методы использовались, в основном, для решения задач, связанных с прогнозированием в области науки и техники, а затем они стали применяться в других областях, в том числе в управлении.

Сущность экспертных методов, как при решении задач исследования, так и при использовании их в практике принятия решений в других областях науки, техники, управления, заключается в усреднении различными способами мнений (суждений) специалистов-экспертов по рассматриваемым вопросам.

Наиболее распространенными экспертными методами при классификации по признаку оценки предпочтений в настоящее время при принятии решений по управлению являются следующие:

·              метод рангов;

·              метод непосредственного оценивания;

·              метод сопоставлений.

Последний метод включает две его разновидности:

парного сравнения и последовательного сопоставления.

В принципе каждый из них имеет много общего, а отличие, в основном, только в том, что оценивание (измерение) изучаемых объектов системного управления осуществляется различными способами. Причем каждый из методов обладает определенными достоинствами и недостатками.

Общность каждого из методов заключается в последовательности проведения процедур их использования. К ним следует отнести:

·              организацию экспертного оценивания;

·              проведение сбора мнений экспертов;

·              обработку результатов мнений экспертов.

Практика показывает, что уменьшение субъективности и соответственно повышение объективности результатов использования экспертных методов существенно зависит от соблюдения правил организации, подготовки и проведения экспертных работ. Особенно это зависит, в первую очередь, от организации экспертного оценивания, назначения ответственного за организацию и проведение работ по экспертной оценке, а также от формирования экспертных комиссий.

.4 Ограничения и критерии принятия решения

Когда руководитель диагностирует проблему с целью принятия решения, он должен отдавать себе отчет в том, что именно можно с нею сделать. Многие возможные решения проблем организации не будут реалистичными, поскольку либо у руководителя, либо у организации недостаточно ресурсов для реализации принятых решений. Кроме того, причиной проблемы могут быть находящиеся вне организации силы - такие, как законы, которые руководитель не властен изменить. Ограничения корректирующих действий сужают возможности в принятии решений. Перед тем как переходить к следующему этапу процесса, руководитель должен беспристрастно определить суть ограничений и только потом выявлять альтернативы. Если этого не сделать, как минимум, будет впустую потеряна масса времени. Еще хуже, если будет выбрано нереалистичное направление действий. Естественно, это усугубит, а не разрешит существующую проблему.

Ограничения варьируются и зависят от ситуации и конкретных руководителей, Некоторые общие ограничения - это неадекватность средств; недостаточное число работников, имеющих требуемую квалификацию и опыт; неспособность закупить ресурсы по приемлемым ценам; потребность в технологии, еще не разработанной или чересчур дорогой; исключительно острая конкуренция; законы и этические соображения. Как правило, для крупной организации существует меньше ограничений, чем для мелкой или одолеваемой множеством трудностей.

Существенным ограничителем всех управленческих решений, хотя иногда вполне устранимым, является определяемое высшим руководящим звеном сужение полномочий всех членов организации. Коротко говоря, менеджер может принимать или осуществлять решение только в том случае, если высшее руководство наделило его этим правом.

В дополнение к идентификации ограничений, руководителю необходимо определить стандарты, по которым предстоит оценивать альтернативные варианты выбора. Эти стандарты принято называть критериями принятия решений. Они выступают в качестве рекомендаций по оценке решений. Например, принимая решение о покупке автомобиля, вы можете ориентироваться на критерии стоимости - не дороже 10 тыс. долл., экономичности - не менее 25 миль на 1 галлоне бензина, вместимости - пять взрослых одновременно, привлекательности и хороших характеристик с точки зрения обслуживания.

Следующий этап - формулирование набора альтернативных решений проблемы. В идеале желательно выявить все возможные действия, которые могли бы устранить причины проблемы и, тем самым, дать возможность организации достичь своих целей. Тем не менее, на практике руководитель редко располагает достаточными знаниями или временем, чтобы сформулировать и оценить каждую альтернативу. Более того, рассмотрение очень большого числа альтернатив, даже, если все они реалистичны, часто ведет к путанице. Поэтому руководитель, как правило, ограничивает число вариантов выбора для серьезного рассмотрения всего несколькими альтернативами, которые представляются наиболее желательными.

Вместо поиска наилучшего возможного решения, люди продолжают перебирать альтернативы только до тех пор, пока не выявится такая, которая удовлетворит определенному приемлемому минимальному стандарту. Руководители понимают, что поиск оптимального решения занимает чересчур много времени, дорого стоит или труден. Вместо него они выбирают решение, которое позволит снять проблему.

Следует, однако, позаботиться о том, чтобы был учтен достаточно широкий спектр возможных решений. Углубленный анализ трудных проблем необходим для разработки нескольких действительно различающихся альтернатив, включая возможность бездействия. Когда руководство не в состоянии оценить, что произойдет, если ничего не предпринимать, существует опасность не устоять перед требованием немедленных действий. Действие ради самого действия повышает вероятность реагирования на внешний симптом проблемы, а не на ее главную причину.

Если вернуться к нашему примеру с автомобилем, то вы теперь стоите перед выбором нескольких моделей, которые, по вашему мнению, удовлетворяют вашим критериям. Отобрав альтернативы, необходимо оценить их.

Следующий этап - оценка возможных альтернатив. При их выявлении необходима определенная предварительная оценка. Исследования, однако, показали, что как количество, так и качество альтернативных идей растет, когда начальная генерация идей (идентификация альтернатив) отделена от оценки окончательной идеи.

Это означает, что только после составления вами списка всех идей, следует переходить к оценке каждой альтернативы. При оценке решений руководитель определяет достоинства и недостатки каждого из них и возможные общие последствия. Ясно, что любая альтернатива сопряжена с некоторыми отрицательными аспектами. Как упоминалось выше, почти все важные управленческие решения содержат компромисс.

Для сопоставления решений необходимо располагать стандартом, относительно которого можно измерить вероятные результаты реализации каждой возможной альтернативы. Подобные стандарты называют критериями принятия решений, устанавливаемыми на этапе 2. Вспомнив еще раз пример с автомобилем, укажем, что если какая-либо модель не может удовлетворить одному или нескольким вами установленным критериям, ее дальше нельзя рассматривать как реалистичную альтернативу.

Отметим, однако, что некоторые из критериев выбора автомобиля имели количественное выражение, например, стоимость не выше 10 тыс. долл. Другие, например, удобство в обслуживании и внешняя привлекательность, требуют сбора информации качественного характера. Чтобы оценить и сравнить данные по техническому обслуживанию, вам следует просмотреть соответствующие оценки в публикациях общества потребителей «Консьюмер Рипортс». Чтобы сделать то же самое в отношении внешней привлекательности, можно составить собственную шкалу оценок, выделив в ней классы очень или умеренно привлекательных, обладающих средней и ниже средней привлекательностью и непривлекательных моделей.

На этой стадии могут возникнуть затруднения, поскольку невозможно сравнивать вещи, если они не однотипны - яблоки бессмысленно напрямую сравнивать с апельсинами. Все решения следует выражать в определенных формах. Желательно, чтобы это была форма, в которой выражена цель. В бизнесе прибыль - неизменная потребность и высший приоритет, поэтому решения можно представить в денежном выражении и в виде оценки их воздействия на прибыль. В некоммерческой организации главной целью, как правило, является предоставление наилучших услуг при наименьших затратах. Поэтому денежное выражение можно использовать для сравнения последствий решений в сходных организациях.

В нашем примере с автомобилем вы можете выразить все критерии в баллах по шкале от 1 до 5 применительно к факторам как количественного, так и качественного характера. Наименее дорогой автомобиль получит при этом оценку 5, а наиболее дорогой - 1 балл и т.п., включая экономичность и другие требования. Вероятно, некоторые из этих критериев важнее других. К примеру, вы можете считать внешнюю привлекательность в два раза более важной, чем цену. Если так, вам следует «взвесить» свой выбор, умножив на 2 балл по внешней привлекательности. Подобным образом, если для вас значение ремонтопригодности составляет всего 2/3 стоимости, следует умножить на 2/3 оценку удобства в обслуживании. Пропустив через эту процедуру каждый критерий, следует сложить результаты по каждой модели. Автомобиль, по которому общая оценка в баллах окажется наивысшей, будет вашим очевидным выбором.

Заметим, что при оценке возможных решений руководитель пытается спрогнозировать то, что произойдет в будущем. Будущее всегда неопределенно. Множество факторов, включая изменение внешнего окружения и невозможность реализации решения, может помешать воплощению намеченного. Поэтому важным моментом в оценке является определение вероятности осуществления каждого возможного решения в соответствии с намерениями. Если последствия какого-то решения благоприятны, но шанс его реализации невелик, оно может оказаться менее желательным вариантом выбора. Руководитель включает вероятность в оценку, принимая во внимание степень неопределенности или риска, о чем ниже в данной главе.

Если проблема была правильно определена, а альтернативные решения тщательно взвешены и оценены, сделать выбор, то есть принять решение сравнительно просто. Руководитель просто выбирает альтернативу с наиболее благоприятными общими последствиями, как показано на примере с автомобилем. Однако если проблема сложна и приходится принимать во внимание множество компромиссов, или если информация и анализ субъективны, может случиться, что ни одна альтернатива не будет наилучшим выбором. В этом случае главная роль принадлежит хорошему суждению и опыту.

Хотя для менеджера идеально достижение оптимального решения, руководитель, как правило, на практике не мечтает о таковом. Исследователь Герберт Саймон указывает, что, решая проблему, руководитель склоняется к поведению, которое он называет «удовлетворяющим», а не «максимизирующим». Обычно оптимальное решение не обнаруживается из-за нехватки времени и невозможности учесть всю уместную информацию и альтернативы. В силу этих ограничений руководитель, как правило, выбирает направление действия, которое, очевидно, является приемлемым, но не обязательно наилучшим из возможных.

Как подчеркивает Харрисон: «Реальная ценность решения становится очевидной только после его осуществления». Согласно рис. 3.1., процесс решения проблемы не заканчивается выбором альтернативы. Простой выбор направления действий имеет малую ценность для организации. Для разрешения проблемы или извлечения выгоды из имеющейся возможности решение должно быть реализовано. Уровень эффективности осуществления решения повысится, если оно будет признано теми, кого оно затрагивает. Признание решения редко, однако бывает автоматическим, даже, если оно явно хорошее.

Реализация и оценка. Фазы, следующие за принятием решения и относящиеся к разрешению проблемы

Иногда руководитель может возложить принятие решения на тех, кто должен будет его исполнять. Чаще же он вынужден убеждать в правильности своей точки зрения других людей в организации, доказывать людям, что его выбор несет благо и организации, и каждому в отдельности. Некоторые руководители считают попытки убеждения напрасной тратой времени, однако, подход типа «прав я или не прав, но начальник я» сегодня в мире образованных людей, как правило, не срабатывает.

Как станет понятно при рассмотрении проблем мотивации и лидерства, шансы на эффективную реализацию значительно возрастают, когда причастные к этому люди внесли в решение свою лепту и искренне верят в то, что делают. Поэтому хороший способ завоевать признание решения состоит в привлечении других людей к процессу его принятия. Дело руководителя выбирать, кто должен решать. Тем не менее, бывают ситуации, когда руководитель вынужден принимать решение, не консультируясь с другими. Участие работников в принятии решений, подобно любому другому методу управления, будет эффективным далеко не в каждой ситуации.

Более того, твердая поддержка сама по себе еще не гарантирует надлежащего исполнения решения. Полное осуществление решений требует приведения в действие всего процесса управления, в особенности его организующей и мотивационной функций.

Еще одной фазой, входящей в процесс принятия управленческого решения и начинающейся после того, как решение начало действовать, является установление обратной связи. По Харрисону: «Система отслеживания и контроля необходима для обеспечения согласования фактических результатов с теми, что ожидались в период принятия решения». На этой фазе происходит измерение и оценка последствий решения или сопоставление фактических результатов с теми, которые руководитель надеялся получить. Обратная связь - т.е. поступление данных о том, что происходило до и после реализации решения - позволяет руководителю скорректировать его, пока организации еще не нанесено значительного ущерба. Оценка решения руководством выполняется, прежде всего, с помощью функции контроля.

. Определение метода парных (бинарных) сравнений

В управленческой практике встречаются ситуации, когда менеджеру необходимо принять решение исходя только из двух возможных и диаметрально противоположных альтернатив: по принципу «да/нет», «или/или».

Например, принимая решение о приеме на работу, менеджер стоит перед дилеммой (двумя возможными альтернативами): принимать этого человека на работу или нет принцип («да/нет»). Менеджер может столкнуться и с иной дилеммой: переходом на производство новой модификации товара или нет (снова принцип «да/нет»). Бинарный метод принятия решений - это действие, основанное на анализе двух альтернатив, каждая из которых характеризуется высокой степенью неопределенности и риска и вынужденностью выбора в пользу одной из имеющихся альтернатив.

Метод принятия бинарного решения чаще всего отражает неестественное представление (отражение) в сознании менеджера возникшей ситуации. Ситуация на основе сознательного или бессознательного стремления имеет искусственный характер. Такая неестественность или искусственность ситуации определяется ограничениями, в рамках которых возможен выбор: или только это, или только вот это. Профессионально ориентированный менеджер должен уходить от такого представления ситуации и обращения к такому методу принятия решений. Практика же обращения к такому методу принятия решений и такой форме представления ситуации вызывается определенными причинами, которые можно при желании устранить. К таким причинам относятся: переадресовка права на принятие решения вышестоящему руководству, представление ситуации, в отношении которой необходимо принять решение в бинарной форме. В этом случае подчиненные стремятся повлиять на характер принимаемого решения в выгодном для себя направлении. Эта попытка может иметь намеренный или ненамеренный характер. Такую же форму поведения в сфере деловой активности может избирать партнер, заявляющий, например: «Или я вам поставляю сырье на таких-то условиях, или же отказываюсь от поставок». А может возникнуть и иная ситуация «Или я покупаю у вас товар на таких-то условиях, или отказываюсь от приобретения». Нехватка времени для более глубокого осмысления проблемы и выработки многоальтернативных вариантов разрешения возникшей проблемы тоже может выступать причиной. Ошибочная профессиональная позиция менеджера, ориентирующая подчиненных на представление бинарного проекта решения, и ложное понимание такого управленческого качества, как решительность, когда ценится или даже поощряется так называемое мужество решительно и внятно произнести «да» или «нет», подменяет собой саму процедуру принятии эффективных управленческих решений, характеризующуюся как перестраховка, медлительность, неповоротливость. С этой точки зрения бинарные решения представляют собой принцип «кавалеристских наскоков», «кавалеристских атак».

Обращение к этому методу принятия решения случается намного чаще, чем это представляют сами практикующие менеджеры, обращающиеся с этому методу. Например, если пытаться принять решение по возникшей проблеме, которую можно сформулировать так: открывать филиал организации в соседнем городе или нет, то стоит прибегнуть к использованию метода бинарного решения. В таком случае существуют только две альтернативы, и выбор можно осуществить в пользу только одной из них, а точнее необходимо сделать выбор между «да» и «нет».

При возникновении подобной ситуации обращение к бинарному решению не только оправданно, но и объективно естественно. При этом сама процедура принятия решения строится по схеме принятия рационального решения: необходимо осуществить анализ каждой из возможных альтернатив (открывать не открывать) точно так же, как в случае с рациональным решением фиксировать при этом действия, которые необходимо совершить, чтобы открыть филиал, осуществить стоимостную оценку таких действий, выявить возможный доход, а также прибыль и срок окупаемости (выявить временную точку извлечения «чистой прибыли», т.е. превышения отдачи над производимыми инвестициями). Только после осмысления всех этапов можно принять эффективное решение.

К проблеме бинарных решений следует относиться весьма осторожно. Бинарное решение оправданно в случае его объективного характера и неоправданно, если оно представляет собой стремление (осознанное или неосознанное) сузить возможную базу выбора при принятии решения.

Согласно методу парных сравнений решение принимается путем парного анализа имеющихся альтернатив и их дальнейшей статистической обработки.

. Разработка управленческого решения методом парных (бинарных) сравнений на примере Группы Компаний «Окей»

1. ИСХОДНЫЕ ДАННЫЕ

Определение места строительства магазина

Фокус: строительство магазина

Альтернативы: «А», «Б», «В», «Г», «Д», «Е».

Критерии: стоимость аренды земли, наличие подъездных дорог, наличие ж/д станции, наличие станции метро, средний уровень доходов населения, густонаселенность, аналогичные магазины в районе.

. ОПИСАНИЕ ПРОБЛЕМЫ

Необходимо определить место для строительства магазина Группы Компаний «Окей».

Имеются шесть возможных альтернатив принятия решений:

А (А1), Б (А2), В (А3), Г (А4), Д (А5), Е (А6).

Основными критериями при определении места для строительства являются:

¾      стоимость аренды земли;

¾      наличие подъездных дорог;

¾      наличие ж/д станции;

¾      наличие станции метро;

¾      средний уровень доходов населения;

¾      густонаселенность;

¾      аналогичные магазины в районе.

3. ПОСТРОЕНИЕ МАТРИЦ ПАРНЫХ СРАВНЕНИЙ АЛЬТЕРНАТИВ.

Критерий: Стоимость аренды земли


А1

А2

А3

А4

А5

А6

А1

1

1/2

1/3

1/5

2/1

3/1

А2

2/1

1

½

1/4

3/1

4/1

А3

3/1

2/1

1

1/3

4/1

6/1

А4

5/1

4/1

3/1

1

6/1

7/1

А5

1/2

1/3

¼

1/6

1

2/1

А6

1/3

1/3

1/6

1/7

1/2

1


Критерий: Наличие подъездных дорог


А1

А2

А3

А4

А5

А6

А1

1

1/3

1/2

4/1

2/1

3/1

А2

3/1

1

2/1

6/1

4/1

5/1

А3

2/1

1/2

1

4/1

2/1

3/1

А4

1/4

1/6

1/4

1

1/3

1/2

А5

1/2

1/4

1/2

3/1

1

2/1

А6

1/3

1/5

1/3

2/1

1/2

1


Критерий: Наличие ж/д станции


А1

А2

А3

А4

А5

А6

А1

1

3/1

4/1

5/1

7/1

6/1

А2

1/3

1

3/1

3/1

5/1

4/1

А3

1/4

1/3

1

2/1

4/1

3/1

А4

1/4

1/3

½

1

3/1

2/1

А5

1/7

1/4

¼

1/3

1

1/2

А6

1/6

1/4

1/3

1/2

2/1

1


Критерий: Наличие станции метро

А1А2А3А4А5А6







А1

1

1/6

1/5

1/3

1/4

1/2

А2

6/1

1

2/1

4/1

3/1

5/1

А3

5/1

1/2

1

3/1

2/1

4/1

А4

3/1

1/4

1/3

1

1/2

2/1

А5

4/1

1/3

1/2

2/1

1

3/1

А6

2/1

1/5

1/4

1/2

1/3

1


Критерий: Средний уровень доходов населения


А1

А2

А4

А5

А6

А1

1

1/3

¼

1/6

1/7

1/6

А2

3/1

1

½

1/4

1/4

1/4

А3

5/1

2/1

1

1/2

1/3

1/2

А4

6/1

4/1

2/1

1

2/1

1

А5

7/1

5/1

3/1

1/2

1

1/2

А6

6/1

4/1

2/1

1

2/1

1


Критерий: Густонаселенность

А1А2А3А4А5А6







А1

1

2/1

3/1

4/1

5/1

6/1

А2

1/2

1

2/1

3/1

4/1

5/1

А3

1/3

1/2

1

2/1

3/1

4/1

А4

1/4

1/3

1/2

1

2/1

3/1

А5

1/5

1/4

1/3

1/2

1

2/1

А6

1/6

1/5

1/4

1/3

1/2

1


Критерий: Аналогичные магазины в районе


А1

А2

А3

А4

А5

А6

А1

1

3/1

2/1

4/1

1/2

6/1

А2

1/3

1

½

2/1

1/4

4/1

А3

1/2

2/1

1

3/1

1/3

5/1

А4

1/4

1/2

1/3

1

1/5

3/1

А5

2/1

4/1

3/1

5/1

1

7/1

А6

1/6

1/4

1/5

1/3

1/7

1


4. ВЫЧИСЛЕНИЕ СОБСТВЕННЫХ ЗНАЧЕНИЙ МАТРИЦ ПАРНЫХ СРАВНЕНИЙ

Осуществляется по формуле:

V*(i, k) = (wi/w1*wi/w2*wi/w3*…*wi/w6) 1/6, i - строка, k - матрица сравнений

V*(1,1) = (1 х 0,5 х 0,333 х 0,2 х 2 х 3) 1/6 = 0,7647*(2,1) = 1,2009*(3,1) = 1,9064*(4,1) = 3,6889*(5,1) = 0,4903*(6,1) = 0,3313*(1,2) = 1,2599*(2,2) = 2,9938*(3,2) = 1,6984*(4,2) = 0,3467*(5,2) = 0,8492*(6,2) = 0,5302*(1,3) = 3,6889*(2,3) = 1,9786*(3,3) = 1,1225*(4,3) = 0,7647*(5,3) = 0,3256*(6,3) = 0,4903*(1,4) = 0,3340*(2,4) = 2,9938*(3,4) = 1,9786*(4,4) = 0,7937*(5,4) = 1,2599*(6,4) = 0,5054*(1,5) = 0,2534*(2,5) = 0,5154*(3,5) = 0,9701*(4,5) = 2,1398*(5,5) = 1,7239*(6,5) = 2,1398*(1,6) = 2,9938*(2,6) = 1,9786*(3,6) = 1,2599*(4,6) = 0,7937*(5,6) = 0,5054*(6,6) = 0,3340*(1,7) = 2,0396*(2,7) = 0,8327*(3,7) = 1,3077*(4,7) = 0,5407*(5,7) = 3,0717*(6,7) = 0,2711

5. НОРМАЛИЗАЦИЯ СОБСТВЕННЫХ ЗНАЧЕНИЙ МАТРИЦЫ

Осуществляется по формуле:


V (1,1) = 0,0912(2,1) = 0,1433(3,1) = 0,2274(4,1) = 0,4401(5,1) = 0,0585(6,1) = 0,0395(1,2) = 0,1641(2,2) = 0,3899(3,2) = 0,2212(4,2) = 0,0452(5,2) = 0,1106(6,2) = 0,0691(1,3) = 0,4407(2,3) = 0,2364(3,3) = 0,1341(4,3) = 0,0914(5,3) = 0,0389(6,3) = 0,0586(1,4) = 0,0425(2,4) = 0,3806(3,4) = 0,2516(4,4) = 0,1009(5,4) = 0,1602(6,4) = 0,0643(1,5) = 0,0327(2,5) = 0,0666(3,5) = 0,1253(4,5) = 0,2764(5,5) = 0,2227(6,5) = 0,2764(1,6) = 0,3806(2,6) = 0,2516(3,6) = 0,1602(4,6) = 0,1009(5,6) = 0,0643(6,6) = 0,0425(1,7) = 0,2529(2,7) = 0,1033(3,7) = 0,1622(4,7) = 0,0671(5,7) = 0,3809(6,7) = 0,0336

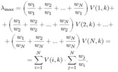
6. ОПРЕДЕЛЕНИЕ СОГЛАСОВАННОСТИ МАТРИЦ.

Индекс согласованности определяется по формуле:


Параметр ??max вычисляется как:

1= 6,2386 C 1 = 0,04772 = 6,1233 C 2 = 0,02473 = 6,2530 C3 = 0,05064 = 6,1256 C4 = 0,02515 = 6,2461 C5 = 0,04926 = 6,1256 C6 = 0,02517 = 6,1523 C7 = 0,0305

Используя значение ИСР, из таблицы для N=6, (1,24) получим:

Для А1 = 0,0912/1,24*100% = 3,8489% < 20%

Для А2 = 1,9885% < 20%

Для А3 = 4,0805% < 20%

Для А4 = 2,0266% < 20%

Для А5 = 3,9692% < 20%

Для А6 = 2,0266% < 20%

Для А7 = 2,4562% < 20%

Расчёты для всех матриц < 20%, что говорит о согласованности матриц.

7. АНАЛИЗ МАТРИЦЫ ПАРНЫХ СРАВНЕНИЙ КРИТЕРИЕВ

Откроются новые магазины


Стоимость аренды земли

Наличие подъездных дорог

Наличие ж/д станции

Наличие станции метро

Средний уровень доходов населения

Густонаселенность

Аналогичные магазины в районе

Стоимость аренды земли

1

4/1

5/1

2/1

3/1

1/3

1/2

Наличие подъездных дорог

¼

1

1/2

1/3

1/2

1/6

1/5

Наличие ж/д станции

1/5

2/1

1

1/4

1/3

1/7

1/6

Наличие станции метро

½

3/1

4/1

1

2/1

1/4

1/3

Средний уровень доходов населения

1/3

2/1

3/1

1/2

1

1/5

1/4

Густонаселенность

3/1

6/1

6/1

4/1

5/1

1

2/1

Аналогичные магазины в районе

2/1

5/1

6/1

3/1

4/1

1/2

1


Далее вычисляем собственные значения С*(i/L) (по принципу V*(i, k)):

С*(1/L) = 1,534

С*(2/L) = 0,354

С*(3/L) = 0,361

С*(4/L) = 1,000

С*(5/L) = 0,652

С*(6/L) = 3,380

С*(7/L) = 2,318

Нормализованные собственные значения (С (i/L)) равны (по принципу V (i, k)):

С (1/L) = 0,160

С (2/L) = 0,037

С (3/L) = 0,038

С (4/L) = 0,104

С (5/L) = 0,068

С (6/L) = 0,352

С (7/L) = 0,242

Не откроются новые магазины


Стоимость аренды земли

Наличие подъездных дорог

Наличие ж/д станции

Наличие станции метро

Средний уровень доходов населения

Густонаселен-ность

Аналогичные магазины в районе

Стоимость аренды земли

1

3/1

2/1

4/1

1/2

6/1

5/1

Наличие подъездных дорог

1/3

1

1/2

2/1

1/4

4/1

3/1

Наличие ж/д станции

½

2/1

1

3/1

1/3

5/1

4/1

Наличие станции метро

¼

1/2

1/3

1

1/5

3/1

2/1

Средний уровень доходов населения

2/1

4/1

3/1

5/1

1

6/1

6/1

Густонаселен-ность

1/6

1/4

1/5

1/3

1/7

1

1/2

Аналогичные магазины в районе

1/5

1/3

1/4

1/2

1/6

2/1

1


Далее вычисляем собственные значения С*(i/L) (по принципу V*(i, k)):

С*(1/L) = 2,318

С*(2/L) = 1,000

С*(3/L) = 1,534

С*(4/L) = 0,652

С*(5/L) = 3,380

С*(6/L) = 0,296

С*(7/L) = 0,431

Нормализованные собственные значения (С (i/L)) равны (по принципу V (i, k)):

С (1/L) = 0,241

С (2/L) = 0,104

С (3/L) = 0,160

С (4/L) = 0,068

С (5/L) = 0,352

С (6/L) = 0,031

С (7/L) = 0,045

8. ВЫЧИСЛЕНИЯ ВЕСА КАЖДОЙ АЛЬТЕРНАТИВЫ

Откроются новые магазины

W (Ai/L) = V (i, 1)* С (1/L)+ V (i, 2)* С (2/L)+ V (i, 3)* С (3/L), i = 1,2,3…

W (A1/L) = 0,239(A2/L) = 0,204(A3/L) = 0,180(A4/L) = 0,156

W (A5/L) = 0,161(A6/L) = 0,060

В том случае, если откроются новые анологичные магазины, то лучшим местом для строительства является А (А1).

Далее по убыванию: Б (А2), В (А3), Д (А5), Г (А4), Е (А6).

Не откроются новые магазины

W (Ai/L) = V (i, 1)* С (1/L)+ V (i, 2)* С (2/L)+ V (i, 3)* С (3/L) + V (i, 4)* С (4/L), i = 1,2,3,4…


W (A1/L) = 0,147(A2/L) = 0,174(A3/L) = 0,173(A4/L) = 0,236

W (A5/L) = 0,140(A6/L) = 0,130

Если новые анологичные магазины не откроются, то лучшим местом для строительства будет Г (А4).

Далее по убыванию: Б (А2), В (А3), А (А1), Д (А5), Е (А6).

9. ПРИНЯТИЕ ОПТИМАЛЬНОГО РЕШЕНИЯ


Откроются

Не откроются

Итого


А1

0,239

0,147

0,17

16,990

А2

0,204

0,174

0,18

18,180

А3

0,173

0,17

17,441

А4

0,156

0,236

0,22

21,579

А5

0,161

0,140

0,15

14,538

А6

0,060

0,130

0,11

11,272




1,00

100


0,25

0,75




Принимая во внимание природные условия, лучшим местом для строительства магазина является Г (А4).

Далее по убыванию: Б (А2), В (А3), А (А1), Д (А5), Е (А6).

В случае отсутствия информации об открытии магазинов, вероятности принимаются в равном соотношении


Откроются

Не откроются

Итого


А1

0,239

0,147

0,19

19,292

А2

0,204

0,174

0,19

18,915

А3

0,180

0,173

0,18

17,621

А4

0,156

0,236

0,20

19,601

А5

0,161

0,140

0,15

15,069

А6

0,060

0,130

0,10

9,502







0,50

0,50

1,00

100,000


Если информация об открытии магазинов отсутствует, то в этом случае лучшим местом для строительства магазина Группы Компаний «Окей» является Г (А4).

Далее по убыванию: А (А1), Б (А2), В (А3), Д (А5), Е (А6).


Заключение

Разработка управленческих решений является важным процессом, связывающим основные функции управления: планирование, организацию, мотивацию, контроль. Именно решения, принимаемые руководителями любой организации, определяют не только эффективность ее деятельности, но и возможность устойчивого развития, выживаемость в быстро изменяющемся мире. Принятие эффективных решений - одно из наиболее важных условий эффективного существования и развития организации.

Принятие решений затрагивает практически все области человеческой деятельности и есть неотъемлемая часть процесса управления. В рамках теории принятия решений развивались методы получения и анализа не только количественной, но и качественной информации, существенно расширившие возможности общей теории управления. Для принятия эффективного управленческого решения опыта и знаний одного человека оказывается, как правило, недостаточно, современному руководителю необходимо владеть современными технологиями принятия управленческих решения. Современная наука в области принятия управленческих решений поднялась на качественно новый уровень, на ее основе разработаны эффективные управленческие технологии, позволяющие решать сложные управленческие задачи, характерные для современных организаций. Значительную роль сыграло резкое увеличение объема информации, которую приходится учитывать при разработке управленческого решения сегодня, появление современной вычислительной техники с ее воистину удивительными возможностями по оперированию и обработке больших массивов как количественной, так и качественной информации. Созданы современные компьютерные системы поддержки принятия решений, экспертные системы, автоматизированные системы экспертного оценивания, предназначенные для использования в процессе принятия решений и позволяющие принимать эффективные управленческие решения в сложных ситуациях, осуществлять в рамках подготовки к принятию решений значительные объемы экономических, математических, логических расчетов.

В данной работе было разработано управленческое решение методом парных (бинарных) сравнений на примере строительства магазина Группы Компаний «Окей», в результате которого выяснилось: учитывая все критерии и принимая во внимание природные условия, лучшим местом для строительства магазина является Г (А4).


Список использованной литературы

1. Веснин В.Р. Основы менеджмента: Учебник. - М.: Изд-во «Триада. Лтд», 2011.

2. Виханский О.С., Наумов А.И. Менеджмент: человек, стратегия, организация, процесс: 2-е изд.: Учебник. - М.: Фирма «Гардарика», 2010.

3. Гроув С. Эндрю Высоко эффективный менеджмент. Москва, 2011.

4. Лебедев О.Т. Основы менеджмента. Санкт-Петербург ИД «МиМ», 2013.

5. Любимова Н.Г. Менеджмент - путь к успеху. Москва, 2011.

6. Менеджмент организации. / Под редакцией З.П. Румянцевой. Москва, 2012.

7. Рейльян Я.Р. Аналитическая основа принятия управленческих решений. М.: 2010.

8. Фатхутдинов Р.А. Разработка управленческого решения. Москва: «Интел-синтез», 2012.

9. Цыгичко В.Н. Руководителю - о принятии решений. М.: ИНФРА-М, 2012.

Похожие работы на - Разработка управленческого решения с использованием метода парных (бинарных) сравнений

 

Не нашли материал для своей работы?
Поможем написать уникальную работу
Без плагиата!
Без нейросетей!