Совершенствование организации экспортной деятельности ОАО 'Термоприбор'

  • Вид работы:
    Дипломная (ВКР)
  • Предмет:
    Мировая экономика, МЭО
  • Язык:
    Русский
    ,
    Формат файла:
    MS Word
    117,84 Кб
  • Опубликовано:
    2015-05-19
Вы можете узнать стоимость помощи в написании студенческой работы.
Помощь в написании работы, которую точно примут!

Совершенствование организации экспортной деятельности ОАО 'Термоприбор'

Правительство Москвы

Департамент образования города Москвы

Государственное бюджетное образовательное учреждение

высшего профессионального образования города Москвы

«Московская государственная академия делового администрирования»

Факультет экономики и менеджмента

Кафедра мировой экономики и внешнеэкономической деятельности






Дипломная работа

Специальность 080102.65 «Мировая экономика»

Специализация «Внешнеэкономическая деятельность»

Совершенствование организации экспортной деятельности

ОАО «Термоприбор»


Шашлова Ольга Алексеевна

Научный руководитель:

д.э.н., профессор Кузнецов С. Г.



Москва - 2012

Оглавление

Введение

Глава 1. Экспортные операции как часть хозяйственной деятельности предприятия

.1 Организация экспортно-импортных операций и их место и

роль в хозяйственной деятельности предприятий

.2 Показатели эффективности экспортных операций и методы их оценки

Глава 2. Эффективность экспортной деятельности на примере ОАО «Термоприбор»

.1 Характеристика деятельности ОАО «Термоприбор»

.2 Оценка экспортной деятельности ОАО «Термоприбор»

.3 Предложения по улучшению организации экспортной деятельности

ОАО «Термоприбор»

Глава 3. Правовое регулирование внешнеэкономической деятельности

ОАО «Термоприбор»

.1 Особенности договоров международной купли-продажи товаров

3.2 Особенности таможенного оформления и таможенного контроля товаров,

перемещаемых между государствами - участниками Соглашения о создании

зоны свободной торговли

3.3 Анализ обработки и защиты персональных данных при

использовании средств автоматизации

Глава 4. Использование сетевого планирования для оптимизации процесса обмена документацией по экспортным контрактам

.1 Теоретические основы метода сетевого планирования

.2 Построение сетевого графика документооборота

Заключение

Список литературы

Введение

Рыночная экономика создала широкие возможности для осуществления внешнеэкономической деятельности предприятий. Экспортно-импортные потоки товаров и услуг являются одним из важнейших показателей уровня развития стран. На долю экспортно-импортных отношений приходится 80% всего объема международных экономических отношений.

Российский экспорт, несмотря на свое снижение в период финансового кризиса, снова стал расти в 2010 г. Основу экспортных продуктов страны составляют нефть и нефтепродукты, природный газ, лес и изделия из древесины, металлы, химическая продукция и продукция оборонного назначения. Наиболее важными экспортными рынками для России являются страны-члены Европейского Союза, Содружества Независимых Государств, а также Китай и Япония.

Качеству экспортно-импортных операций во многом способствует правильно организованная работа коммерческих служб предприятия. Экспорт играет ключевую роль для реализации каждой страной стратегии по поддержанию экономической стабильности и роста. Компании, независимо от их размеров, могут пользоваться приобретенными в процессе экспортной деятельности возможностями для получения дополнительных доходов.

Увеличение внешнеторгового обмена, возрастание роли экспорта, а также импорта в национальных экономиках способствуют синхронизации экономического цикла в мировом хозяйстве. Взаимосвязь и взаимозависимость страновых хозяйственных комплексов усиливаются настолько, что нарушения в функционировании экономики какого-либо крупного участника мирового рынка неизбежно влекут за собой международные последствия, включая распространение кризисных явлений на другие страны. Роль государства в сфере внешней торговли также очень велика. Примером может служить поощрение государством реализации инвестиционных проектов, а также создание условий для импорта технологического оборудования для модернизации.

Таким образом, все вышесказанное делает актуальным исследование роли экспортно-импортных операций в хозяйственной деятельности предприятий и эффективность экспортной деятельности.

Цель дипломной работы - разработка предложений по совершенствованию экспортной деятельности ОАО «Термоприбор».

Задачами дипломной работы являются:

определение места и роли экспортно-импортных операций в хозяйственной деятельности предприятий;

формирование показателей эффективности экспортной деятельности и разработка методов их оценки;

анализ эффективности экспортной деятельности ОАО «Термоприбор»;

анализ нормативно-правовой базы, на основании которой осуществляется экспортная деятельность ОАО «Термоприбор».

Объектом исследования является ОАО «Термоприбор». Предметом исследования является организация экспортной деятельности ОАО «Термоприбор».

Работа состоит из введения, четырех основных глав, заключения, списка литературы и приложений. В первой исследовательской главе изучаются место и роль экспортно-импортных операций в хозяйственной деятельности предприятий и показатели эффективности экспортных операций. Во второй проектной главе дается характеристика деятельности ОАО «Термоприбор», изучаются особенности экспортной деятельности завода, дается оценка эффективности экспортной деятельности ОАО «Термоприбор», а также даются рекомендации по улучшению организации экспортной деятельности. В третьей экономико-правовой главе представлен анализ нормативно-правовой базы, регулирующей особенности внешнеэкономической деятельности ОАО «Термоприбор». В четвертой экономико-математической главе с помощью метода сетевого планирования определяется экономия времени для обмена документацией по экспортным контрактам при внедрении на предприятии системы электронного документооборота.

В работе даются рекомендации относительно улучшения организации экспортных операций ОАО «Термоприбор». Рекомендации являются практически значимыми для предприятия, и, следуя им, ОАО «Термоприбор» сможет более оперативно осуществлять внешнеэкономические операции с иностранными контрагентами и в целом улучшить сотрудничество завода с ними. А как следствие увеличится эффективность экспортной деятельности завода.

В данном исследовании используются методы анализа, синтеза, индукции и дедукции, метод сравнения, а также математический метод сетевого планирования.

Теоретической базой для написания работы послужили учебники В.Е. Рыбалкина, Л.Е. Стровского, Словарь современной экономической науки под редакцией Л. И. Лопатникова, Российский статистический ежегодник, а также официальные сайты Федеральной службы государственной статистики и ОАО «Термоприбор».

таможенный контроль экспортный контракт

Глава 1. Экспортные операции как часть хозяйственной деятельности предприятия

.1.Организация экспортно-импортных операций и их место и роль в хозяйственной деятельности предприятий

Международная торговля - одна из наиболее развитых и традиционных форм международных экономических отношений. Поскольку в основе развития международной торговли лежит международное разделение труда, постоянно углубляющееся и развивающееся под воздействием научно-технического прогресса, процессов интеграции и глобализации, то возможности развития международной торговли практически безграничны.

Экспортно-импортные отношения являются формой связи между товаропроизводителями разных стран, возникающей на основе международного разделения труда и выражает их экономическую взаимосвязь. К экспортно-импортным операциям относятся как экспортные и импортные операции, так и реэкспортные и реимпортные операции.

Под экспортными операциями понимается деятельность, связанная с продажей и вывозом за границу товаров для передачи их в собственность иностранному контрагенту. При осуществлении экспортной операции для экспортера неважно, как будет использоваться товар импортером: последний может пустить товар в переработку, реализовать на внутреннем рынке или перепродать в третьи страны. Для осуществления экспортной операции необходимо одно определяющее условие - иметь товар, который будет пользоваться спросом на внешнем рынке.

Под импортными операциями понимается деятельность, связанная с закупкой и ввозом иностранных товаров для последующей реализации их на внутреннем рынке своей страны. При этом ввозимый в страну товар может быть как готовой продукцией, предназначенной для реализации, так и сырьем, полуфабрикатами, подлежащими переработке, объектами капитального строительства в виде инвестиционного капитала, лицензиями, ноу-хау и т. д. Непременным условием осуществления импортной операции является платежеспособность импортера.

К реэкспортным операциям относятся операции, предусматривающие вывоз за границу ранее ввезенного товара, не подвергавшегося в реэкспортирующей стране какой-либо переработке. Предметом реэкспорта чаще всего выступают товары, продаваемые на международных аукционах и товарных биржах.

К реимпортным относятся операции, связанные с ввозом из-за границы ранее вывезенных отечественных товаров, не подвергавшихся там переработке. Ими могут быть товары, не проданные на аукционе, возвращенные с консигнационного склада, забракованные покупателем, и другие.

Темпы прироста экспортно-импортных операций превышают темпы роста основных сегментов мирового производства, в том числе промышленных товаров и сельскохозяйственной продукции. По данным Всемирной торговой организации, за период с 1950 по 2000 г. объем мирового экспорта возрос в 20 раз, в то время как мировое производство увеличилось в 7 раз. Мировой экспорт промышленных товаров за тот же период вырос в 35 раз, а мировое производство промышленной продукции - в 10 раз.

Динамизм торговли и повышение ее значимости в мировой экономике обусловлены объективными процессами глобализации, роста взаимозависимости большинства стран мира. Дополнительный стимул мировая торговля получила благодаря деятельности Всемирной торговой организации по либерализации экспортно-импортных операций, в частности по снижению и ликвидации тарифных и нетарифных барьеров.

Заинтересованность практически всех стран в расширении своей внешней торговли связана, прежде всего, с потребностью сбыта национальной продукции на внешних рынках, необходимостью получения определенных товаров извне и, наконец, стремлением извлечь высокую прибыль за счет международного разделения труда, позволяющего добиться экономии общественного труда в процессе рационального производства и обмена его результатами между различными странами.

Приоритетным во внешней торговле следует считать ориентир на развитие экспорта, так как покупку товаров по импорту можно осуществлять либо при наличии иностранной валюты, либо конкурентоспособного товара.

Функции внешнеэкономических связей России в настоящее время направлены на обеспечение экспортных поставок для федеральных нужд и межгосударственных экономических (включая валютно-кредитные, торговые) соглашений Российской Федерации. Реализуются внешнеэкономические связи «сверху вниз»: объемы и перечень номенклатуры товаров и услуг определяются на правительственном уровне.

Организационные формы торговли предполагают многообразие условий и возможностей проведения международных сделок, в зависимости от целевой установки внешнеэкономической политики и требований внешней среды. Под методами такой торговли понимаются либо прямые договоры, либо посреднические операции.

При прямом методе торговли экспортер сам занимается поиском клиентов на зарубежном рынке и организацией работы с ними. Таким образом, экспортер не сотрудничает с посредниками и экономит денежные средства на комиссионных вознаграждениях, а также нет риска недобросовестности посредника. Экспортер владеет полной информацией о рынке и может оперативно корректировать характеристики товара или методы его продвижения в зависимости от ситуации. Таким образом продается сложное промышленное оборудование, осуществляется строительство крупных объектов, закупаются большие партии сырья и сельскохозяйственной продукции на основе долгосрочных соглашений.

Однако позволить себе самостоятельную экспортную деятельность могут только крупные фирмы, обладающие специальными знаниями в области международной торговли. Для компаний, только начинающих экспортную деятельность и не очень хорошо осведомленных о рынке, выгоднее воспользоваться услугами специализированных посредников: брокеров, торговых агентов, комиссионеров, консигнаторов, дистрибьюторов. Такой метод осуществления экспортных операций называется опосредованным.

Проблема состоит в том, что исследования незнакомого рынка требуют больших финансовых затрат экспортера. В то время как посредники уже обладают необходимыми опытом и знаниями. Кроме того, им хорошо знакомы обычаи местного рынка и его конкурентная среда. Посредники могут предоставлять клиентам дополнительные услуги, которые повышают шансы товара быть проданным (приспособление товара к условиям местного рынка, организация послепродажного сервисного обслуживания, продажа сопутствующих товаров, предоставление кредитов покупателям). Поэтому большая часть внешней торговли осуществляется при помощи посредников.

Опосредованный экспорт обычно ведется через торговые фирмы: экспортно-импортные компании, дистрибьюторов. При осуществлении экспорта не имеющее опыта экспортирования малое или среднее предприятие (экспортер) заключает сделку с более крупной компанией (посредник), которая уже осуществляет операции на ряде иностранных рынков и готова действовать от имени экспортера, стремящегося к экспортированию своей продукции на эти рынки. Это позволяет посреднику полностью использовать свои экспортные возможности и налаженную систему распределения на зарубежном рынке. За свои услуги он либо получает комиссионные и, таким образом, выступает в роли агента, либо получает некоторую дополнительную прибыль, непосредственно закупая и перепродавая товар, выполняя функции дистрибьютора.

Передаваемый экспортером товар, как правило, является неконкурирующим и взаимодополняющим товары посредника. Иногда он может иметь некоторые сходства с товаром посредника, что позволяет создавать последнему единую систему сервисного обслуживания. Единый подход может быть использован при реализации брендинга, а также осуществлении политики продвижения товара. В некоторых случаях посредник может купить товар и выпустить его на рынок под своим брендом, но чаще он сохраняет название бренда производителя, и две компании подписывают между собой соглашение о продвижении продукта.

Такой принцип осуществления экспорта выгоден посреднику. Он получает возможность расширить свой товарный ассортимент, не вкладывая каких-либо дополнительных средств в разработку, создание и массовое производство товара. Это позволяет обеспечить более полное удовлетворение нужд и потребностей потребителей и существенно расширить экспортные возможности фирмы.

Осуществление экспортной деятельности опосредованно обеспечивает определенные преимущества для экспортера. Во-первых, он, не создавая собственные каналы распределения, организует продажу своих товаров на зарубежных рынках. Во-вторых, он получает возможность изучить опыт экспортной деятельности посредника и в перспективе организовать самостоятельную продажу своих товаров на зарубежных рынках.

Отдельные виды товаров в международной торговле продаются с помощью конкурсных методов торговли на товарных биржах, аукционах, международных торгах. В настоящее время в России довольно активно внедряется конкурсный (тендерный) подход к экспортно-импортным поставкам.

Обмен продукцией на международном рынке, так же, как и на внутреннем, происходит вследствие тщательной подготовки, путем проведения коммерческих операций по подготовке, заключению и выполнению сделок.

Сделка - это решающая часть коммерческой операции. Международная торговая сделка - договор или соглашение между двумя или несколькими сторонами, находящимися в разных странах, по поставке установленного количества товаров, услуг, результатов интеллектуальной деятельности в соответствии с согласованными сторонами условиями. К подготовительным операциям для осуществления сделки относится ознакомление с качеством товара, с ценами и другими условиями их поставки покупателю. Организация экспортно-импортных операций включает в себя следующие этапы:

изучение внешнего рынка и его конъюнктуры;

формирование экспортных ресурсов для их реализации на внешнем рынке;

поиск и выбор контрагента для заключения контракта;

заключение и исполнение контрактов.

Изучение внешнего рынка должно помочь установить возможность успешной продажи товара. Для этого необходимо изучить состояние рынка - его емкость, структуру, коммерческие условия реализации, основных конкурентов и другие данные.

Экспортные возможности предприятия определяются, прежде всего, наличием конкурентоспособной на внешнем рынке продукции. Чтобы сделать продукцию конкурентоспособной следует проанализировать ресурсное обеспечение предприятия - сырьевое, финансовое, наличие необходимого оборудования, возможность привлечения к производству высококвалифицированного персонала.

Важным элементом коммерческой работы по организации экспортно-импортных операций является выбор контрагентов - зарубежных фирм-покупателей (продавцов) товаров. Найти нужную фирму можно по специальным товарно-фирменным или отраслевым справочникам, каталогам, рекламным указателям, публикациям в прессе, а также в других источниках. Выбирая контрагента, необходимо хорошо знать его реальное положение на рынке, показатели хозяйственной деятельности, эффективность работы.

Техника оформления внешнеторговых операций включает в себя направление предложения (оферты), подтверждение заказа покупателя (продавца), участие в переговорах, оформление и подписание контракта, и организацию его исполнения. Основным документом, с помощью которого оформляется сделка, является международный контракт купли-продажи товаров. В нем оговариваются содержание договорных условий, порядок их исполнения и ответственность сторон. Процесс исполнения контрактов включает:

·   подготовку товаров к отгрузке;

·   организацию их транспортирования;

·   страхование товаров;

·   финансовые расчеты.

Сделки купли-продажи товаров являются традиционными для мировой торговли. Они занимают также ведущее место и в деятельности внешнеторговых организаций и фирм.

Национальная экономика должна производить продукцию, конкурентоспособную на мировых рынках, и экспортировать ее в достаточных объемах по мировым ценам. Эту способность экономики характеризует экспортный потенциал. Необходимость укрепления экспортного потенциала Российской Федерации продиктована исключительной значимостью экспорта как фактора развития национальной экономики. Россия заинтересована в оказании поддержки российским организациям-экспортерам, так как это обеспечивает увеличение объемов отечественного производства, рост налоговых поступлений в бюджет и создание дополнительных рабочих мест.

Для повышения заинтересованности производителей экспортной продукции в развитии экспортного потенциала и его практической реализации государственная поддержка осуществляется методами тарифного и нетарифного регулирования, льготного налогообложения и кредитования, государственного страхования экспортных операций и другими средствами государственного регулирования.

В настоящее время в Российской Федерации государственная финансовая поддержка экспорта промышленной продукции определяется приоритетами международного сотрудничества, осуществляется в области предоставления кредитов правительствам иностранных государств и распространяется в основном на крупные комплектные поставки, строительство объектов за рубежом и содействие в рамках военно-технического сотрудничества. Также в России в целях совершенствования кредитования и гарантирования внешнеэкономических операций создано закрытое акционерное общество «Государственный специализированный Российский экспортно-импортный банк» (ЗАО «Росэксимбанк»), которое является агентом Правительства Российской Федерации по осуществлению государственной финансовой (гарантийной) поддержки экспорта промышленной продукции.

В качестве агента Правительства Российской Федерации ЗАО РОСЭКСИМБАНК отвечает за решение следующих задач:

·  проведение государственной политики в области гарантийной поддержки российского экспорта, ориентированной на усиление конкурентных позиций российских экспортеров на традиционных рынках развивающихся стран и государств СНГ;

·              оказание содействия российским экспортерам по продвижению их промышленной продукции на рынки;

·              предоставление российским экспортерам доступа к долгосрочным кредитам, включая предэкспортное кредитование по минимальным рыночным ставкам.

России необходимо не только поддерживать экспорт, но и модернизировать экспортную структуру, с тем, чтобы в ней было больше товаров высокой степени переработки, с высокой добавленной стоимостью. Отдельной программы развития экспорта в РФ на данный момент не принято. Но вопросы развития экспорта рассматриваются в рамках других программ. Например, разработана программа «Развитие экспорта транспортных услуг» (2010-2015 годы). Также разрабатываются программы развития экспорта в рамках развития отдельных областей. Например, программы развития Калининградской, Нижегородской областей. В Нижегородской области - это «Концепция развития малого и среднего предпринимательства на территории Нижегородской области до 2020 года», утвержденная Губернатором Нижегородской области, в которой предусмотрен раздел «Развитие экспортного потенциала». Либо же направления развития экспортного потенциала предусмотрены в программах развития отдельных отраслей. Примером такой программы может служить Приказ Министерства промышленности и энергетики РФ от 14 марта 2008 г. N 119 «Об утверждении стратегии развития химической и нефтехимической промышленности на период до 2015 года».

Топливно-сырьевой комплекс составляет основу российского экспорта, что свидетельствует о его высокой конкурентоспособности на мировом рынке. В настоящее время состояние ведущих экспортоориентированных отраслей (топливно-энергетического комплекса, металлургической промышленности, лесопромышленного комплекса и др.) характеризуется следующими показателями:

·      постепенное истощение старых месторождений и рост затрат на разведку и развитие технологий для повышения эффективности добычи, необходимость строительства новых трубопроводов;

·              необходимость модернизации основных фондов;

·              высокие транспортные издержки.

Товарная структура экспорта России представлена в таблице 1.

Таблица 1

Товарная структура экспорта Российской Федерации

(в фактически действовавших ценах, по данным ФТС России с учетом взаимной торговли с Республикой Беларусь и Республикой Казахстан)


2003

2004

2005

2006

2007

2008

2009

2010


Миллиардов долларов США

Экспорт, всего

133,7

181,6

241,5

301,24

351,9

467,6

301,7

396,6

В том числе: продовольственные товары и сельскохозяйственное сырье (кроме текстильного)

3,4

3,3

4,5

5,5

9,1

9,3

9,97

9,4

минеральные продукты

76,6

104,95

156,4

198,6

228,4

326,3

203,4

272,8

продукция химической промышленности, каучук

9,2

12,0

14,4

16,8

20,8

30,2

18,7

25,2

кожевенное сырье, пушнина и изделия из них

0,33

0,35

0,33

0,36

0,34

0,35

0,24

0,31

древесина и целлюлозно-бумажные изделия

5,58

7,02

8,3

9,53

12,26

11,56

8,44

9,86

текстиль, текстильные изделия и обувь

0,95

1,1

0,97

0,97

0,95

0,87

0,72

0,81

металлы, драгоценные камни и изделия из них

23,7

36,7

40,6

48,94

55,96

61,75

38,6

51,3

машины, оборудование и транспортные средства

11,99

14,1

13,5

17,4

19,7

22,8

17,9

22,6

прочие товары

1,9

2,06

2,5

3,1

4,4

4,5

3,8

4,4

Проанализировав товарную структуру экспорта России можно отметить, что преобладает экспорт минеральных продуктов и его доля постоянно растет, а также экспорт металлов и драгоценных камней. С каждым годом увеличивается экспорт машин, оборудования, транспортных средств и продукции химической промышленности. Меньшую долю составляет экспорт пушнины и продовольственных товаров (их доля колеблется около 1 %). Также растет экспорт машиностроительной продукции, в которую входят не только машины и оборудование, но и продукция приборостроения. Экспорт машиностроительной продукции за январь-август 2011 года составил 15,9 млрд. долларов, 129,5% к соответствующему периоду 2010 года.

Судя по данным платежного баланса Российской Федерации с 2008 по 2011 года, отмечается рост экспорта и превышение общего объема экспорта над импортом. Следовательно, динамика экспорта России за последние годы положительная. По данным Федеральной службы государственной статистики, в январе 2012г. внешнеторговый оборот России составил, по данным Банка России, 59,7 млрд. долларов США (127,9% к январю 2011г.), в том числе экспорт - 40,1 млрд. долларов (132,2%), импорт - 19,6 млрд. долларов (120,0%).

Превышение объема экспорта над импортом свидетельствует о положительном сальдо платежного баланса. Положительное сальдо торгового баланса России свидетельствует о том, что экспортируемые товары пользуются спросом на мировом рынке, а также об увеличении поступления денежных средств в экономику страны. Однако необходимо модернизировать экспортную структуру страны, так как современная российская промышленность продолжает тяготеть в сторону добывающего сектора экономики, который в течение последних 4 лет увеличил свои масштабы на 36,20%, в то время как масштабы обрабатывающих отраслей увеличились на 25,58%. И в большей степени положительное сальдо торгового баланса складывается из-за увеличения экспорта сырья и минеральных ресурсов. Однако экспортная структура России не разнообразна и необходимо увеличь в структуре экспорта долю товаров и услуг с высокой долей добавленной стоимостью.

.2 Показатели эффективности экспортных операций и методы их оценки

При операциях экспорта и импорта необходимым условием для их успешного осуществления является анализ эффективности экспорта и импорта. Анализ эффективности экспортно-импортных операций предприятия помогает принять решения, чтобы оптимизировать экономические показатели внешнеэкономической деятельности.

Расчеты экономической эффективности и эффекта внешнеторговой деятельности целесообразно проводить на предприятии для:

обоснования отдельных предложений о продаже и закупке товаров;

разработки планов экспорта и импорта;

оценки сложившейся структуры и направлений внешнеторгового оборота.

Эффектом от внешней торговли считается полученный доход. Доход при осуществлении экспортной операции - это разница между экспортной ценой и покупной ценой экспортируемого товара на внутреннем рынке.

Эффективность экспорта - выгодность экспорта, измеряемая отношением стоимости во внешнеторговых ценах товара, вывезенного из страны, к его стоимости во внутренних ценах.

Для определения эффективности экспортно-импортных операций необходимо на предприятиях организовать учет, обеспечивающий получение достоверной информации о продажах (закупках) в абсолютном и натуральном выражении, а также о затратах и доходах, связанных с реализацией (закупкой) товаров на внешнем рынке в разрезе отдельных государств. Наличие оперативной внешнеторговой информации на предприятии позволит определить ряд показателей, дающих возможность оценить результативность международных торговых сделок.

Главная цель анализа эффективности экспорта - выявить объективные возможности наиболее рационального участия в международном разделении труда, определить на перспективный период оптимальную структуру экспортного производства.

Для того чтобы экспорт товара был эффективен, необходимо, чтобы экспортный доход превышал экспортные затраты. Однако это условие не является достаточным. Экспорт товара целесообразен, если экспортная прибыль превышает прибыль предприятия от продажи товара внутри страны. Экспортная прибыль равна экспортному доходу за вычетом экспортных затрат, а внутренняя прибыль - внутреннему доходу за вычетом себестоимости товара. При этом внутренний доход - это рублевая выручка от продажи товара, предназначенного на экспорт, в России.

Определение экономической эффективности и эффекта экспортной деятельности предприятия целесообразно производить в следующей последовательности:

расчет безубыточной внешнеторговой цены экспортного товара (при известных полных затратах в соответствии с базисными условиями поставки);

расчет максимально допустимых полных затрат на экспорт товара в соответствии с базисными условиями поставки (при известной внешнеторговой цене);

расчет экономического эффекта экспорта товара;

расчет экономической эффективности экспорта товара.

При расчете показателей эффективности экспорта необходимо учитывать следующие три условия:

цена за экспортную продукцию внешнеторговых операторов зафиксирована в российской валюте;

цена за экспортную продукцию внешнеторговых операторов зафиксирована в валюте импортера или третьих стран;

цена за экспортную продукцию внешнеторговых операторов зафиксирована в валюте импортера или третьих стран, способ оплаты за товар - коммерческий кредит.

Расчет безубыточной внешнеторговой цены экспортного товара (при известных полных затратах) с учетом трех условий выглядит следующим образом:

Вэк.б.ц = Вэк.з.

где Вэк.б.ц - безубыточная экспортная цена товара в рублях;

Вэк.з. - полные затраты на экспорт товара (затраты, связанные с производством товара и его реализацией на внешнем рынке) в рублях.

Вэк. б. ц 1 = Вэк. з. / kв. е

где Вэк.б.ц. 1 - безубыточная экспортная цена товара в рублях;в. е - курс валюты по данным Центрального банка Российской Федерации на расчетную дату, руб./вал. ед.

Вэк.б.ц2 = Вэк.з /(kв.е * kкр)

где Вэк.б.ц 2 - безубыточная экспортная цена товара в рублях;кр. - коэффициент кредитного влияния.

Для учета влияния условий коммерческого кредита на эффективность сделки рассчитывается коэффициент кредитного влияния как отношение результата сделки с предоставлением коммерческого кредита к результату сделки без предоставления коммерческого кредита, т. е. при оплате наличными:

Ккр = ,

где Ккр - коэффициент кредитного влияния, доли единицы;

Вк - рублевый эквивалент валютной выручки от экспорта товаров с предоставлением отсрочки платежа (коммерческого кредита покупателю), приведенный к моменту поставки товара, руб.;

Вн - рублевый эквивалент валютной выручки от экспорта товара без предоставления отсрочки платежа (при оплате наличными), руб.

Экономический смысл коэффициента кредитного влияния состоит в том, что показывает, во сколько раз снижается (если значение коэффициента меньше единицы) или повышается (если значение коэффициента больше единицы) эффективность сделки с предоставлением коммерческого кредита (Эк) по сравнению со сделкой без предоставления коммерческого кредита (Эн), т. е. Эк = Эн*Ккр.

Для развития экспорта характерен тот случай, когда национальная стоимость вывозимого за рубеж товара ниже его интернациональной стоимости, т.е. стоимости на внешнем рынке. Получение сверхприбыли является той экономической выгодой, которая дополнительно стимулирует участие предприятий в международном разделении труда.

Сверхприбыль экспортера от реализации своего товара на внешнем рынке представляет собой разность между прибылью, полученной при международной торговле, и средней прибылью, которая существует на этот товар на национальном рынке. Величина сверхприбыли может быть выражена следующей формулой:

Пс = П - Пн,

где Пс - сверхприбыль, полученная предприятием при реализации единицы продукции на внешнем рынке, в руб.;

П - прибыль, полученная предприятием при реализации единицы продукции на внешнем рынке, в руб.;

Пн - средняя прибыль, существующая на данный товар на национальном рынке экспортера, в руб.

Сверхприбыль - это важный показатель, стимулирующий участие хозяйствующих субъектов в развитии внешнеэкономических связей. Она дает представление об абсолютных размерах добавочного дохода, который экспортеры получают от продажи каждой единицы своей продукции на внешнем рынке по сравнению с ее реализацией внутри страны.

Измерение экономической эффективности экспорта имеет свои особенности. Его нельзя осуществлять на основе нормы прибыли. Так как предприятие экспортирует часть всей произведенной продукции, то прибыль от поставок на внешний рынок составляет определенную долю всей прибыли предприятия, которая не может быть отнесена к авансированному капиталу, т.е. ко всем его единовременным затратам. Это невозможно сделать в том случае, когда вывоз за рубеж обеспечивает всего лишь обычную национальную среднюю прибыль, и тогда, когда он приносит помимо средней и сверхприбыль. Следовательно, эффективность экспорта можно определить только путем отношения полученной на внешнем рынке прибыли к текущим затратам предприятия на экспортную продукцию, т.е. на базе рентабельности.

При данных текущих затратах рентабельность экспортной продукции зависит от масштабов получаемой прибыли. Если прибыль от экспортной деятельности равна национальной средней прибыли, то и рентабельность экспортной продукции будет такой же, как и внутри страны. Когда экспортная прибыль превышает внутреннюю среднюю, тогда и рентабельность будет выше, чем внутри страны. Поскольку одним из основных мотивов для участия предприятия в международном разделении труда является стремление обеспечить себе сверхприбыль, то за эталон эффективности следует признать ту рентабельность, которая складывается у экспортера при получении именно этой сверхприбыли.

На основе данных о внешнеэкономической рентабельности можно делать экономически обоснованный вывод о целесообразности экспорта того или иного товара. Более высокая рентабельность дает основание осуществить эффективный вариант специализации и экспорта, т.е. выбрать для этой цели такой товар, который на единицу текущих затрат обеспечит наибольший доход. При этом необходимо знать конъюнктуру мирового рынка и номенклатуру товаров, которые при экспорте дают высокий результат.

При оценке эффективности экспортной деятельности рассчитываются показатели валютной эффективности, которые дают возможность получить относительную (сравнительную) оценку выгодности торговли тем или иным товаром (или группой товаров) путем сопоставления валютной эффективности всех экспортируемых товаров. Затем строятся таблицы (шкалы) относительной эффективности, в которых экспортируемые товары располагаются в соответствии с убыванием показателя их валютной эффективности. Шкала дает необходимый исходный материал для планирования и улучшения структуры внешнеторгового оборота.

Показатель валютной эффективности экспорта, используемый для перспективного обоснования включения того или иного товара в экспортный план, рассчитывается по формуле:

вал= B ⁄ (Cэкс+ tэкс),

где Квал - коэффициент валютной эффективности экспорта товара;

В - валютная выручка от экспорта товара (внешнеторговая цена);

Сэкс - себестоимость экспортного товара;экс - транспортные и накладные расходы по доставке товара до границы.

В данном показателе находит количественное выражение величина валютной выручки, которую предприятие получает в расчете на единицу народнохозяйственных затрат при экспорте конкретного товара.

Поскольку показатели валютной эффективности экспорта различных товаров используются в практике внешнеторгового планирования только в сравнении между собой, то в целях обеспечения их сопоставимости внешнеторговые цены товаров приводятся к единому базису цены FOB.

Следует отметить, что использование показателей валютной эффективности внешней торговли, в данном случае экспорта, наталкивает на ряд ограничений.

Во-первых, они пригодны лишь для анализа вариантов экспорта по отдельному рынку и не дают возможности сопоставлять валютную эффективность товаров на различных рынках, так как цены в иностранной валюте и конкретные условия, в которых реализуются товары на различных рынках, различны. В этой связи, для обеспечения сопоставимости валютной эффективности необходим учет реальной ценности различных валют.

Во-вторых, показатели валютной эффективности не дают ответа на вопрос: действительно ли происходит экономия затрат труда в результате внешней торговли и какова абсолютная величина этой экономии?

Для преодоления отмеченных недостатков расчеты коэффициента валютной эффективности экспорта дополняется расчетами показателей абсолютной эффективности.

Показатель абсолютной эффективности экспорта исчисляется по формуле:

Кабс= В ⁄ (Зэкс+ V),

где Кабс - коэффициент абсолютной эффективности экспорта;- показатель валютного курса, отражающий народнохозяйственную ценность иностранной валюты, приобретаемой в данном рынке (или валютной зоне);

Зэкз - полные затраты предприятия на экспорт товара.

Полные затраты предприятия на экспорт товара (Зэкс) включают в себя производственную себестоимость экспортного товара (Сэкс) и весь комплекс затрат, связанных с выполнением внешнеэкономической операции (Тэкс).

В числе затрат, связанных с осуществлением внешнеэкономической операции необходимо выделить следующие возможные статьи: стоимость фрахта и страхования до порта (аэропорта и т.д.); стоимость погрузки товаров на борт (если она не входит в оплату за перевозку); экспортные пошлины, лицензии; стоимость перевозки от порта (аэропорта) до станции назначения; страховые расходы от порта (аэропорта) до станции назначения; стоимость разгрузки (если она не входит в плату за перевозку); стоимость фрахта и страхования от порта назначения до конечного пункта доставки; таможенная пошлина; акциз; НДС; оплата таможенных процедур; оплата терминала; услуги таможенного брокера; сертификация; заключение ТПП; хранение на таможенном складе и др.

Поскольку валютный курс (V) характеризует реальную ценность валюты, выручаемой на том или ином внешнем рынке в валюте национальной, то умножение его на внешнеторговую цену экспортного товара дает общую сумму экономического эффекта (например, в рублях), которую можно получить при продаже на рассматриваемом рынке конкретного товара. Таким образом, в показателе абсолютной эффективности экспорта сопоставляется общая величина полезного эффекта, которая может быть получена при экспорте товара, с реальными народнохозяйственными издержками, необходимыми для его производства и экспорта.

Очевидно, что если величина показателя Кабс > 1, то экспорт товара экономически целесообразен, а если Кабс < 1, то экспорт товара приведет не к дополнительной экономии, а потерям.

Величина абсолютного эффекта от экспорта отдельного товара (Эабс) может быть определена по формуле (обозначения прежние):

Эабс= В*V-Зэкс

Естественно, что чем больше этот показатель, тем эффективнее расширение экспорта рассматриваемого товара.

Оценивая экономическую эффективность экспорта, практический интерес представляет сопоставление показателя абсолютной эффективности экспорта Кабс с показателем эффективности продажи этого товара на внутреннем рынке (Квн), который рассчитывается по формуле:

Квн = Оэкс ⁄ Сэкс,

где Квн - коэффициент эффективности продажи экспортного товара на внутреннем рынке;

Оэкс - объем экспорта во внутренних среднегодовых ценах.

Понятно, что экспорт соответствующего товара является для предприятия экономически выгодным, если Кабс > Квн.

Таким образом, показатели Квал, Кабс, Квн, Эабс целесообразно рассчитывать при заключении каждой экспортной сделки с целью выбора наиболее оптимальной (по критерию Эабс max, Квал max и при условии Кабс > Квн, Кабс > 1), а также при анализе внешнеэкономической деятельности предприятия за прошедший период и при планировании внешнеэкономической деятельности на предстоящий период.

Для оценки эффективности экспортной деятельности рассчитывается базовый и альтернативный коэффициенты эффективности. Базовый коэффициент эффективности экспорта:

,

где Кэб - базовый коэффициент эффективности экспорта;

Вэ - выручка от экспорта;

Ст - себестоимость товара;

Тр - транспортные расходы;

Ор - организационные расходы.

Если Кэб > 1, экспорт эффективен. Чем выше этот коэффициент, тем выше эффективность экспорта.

Для определения эффективности экспорта расчета только базового коэффициента эффективности экспорта недостаточно. Необходимо выяснить, является ли экспорт товара более выгодной операцией, чем продажа этого товара внутри страны. Для этого рассчитывается альтернативный коэффициент эффективности экспорта:

,

где Кэа - альтернативный коэффициент эффективности экспорта;

Вв - внутренняя выручка ( выручка от продажи товара внутри страны); остальные элементы аналогичны элементам предыдущей формулы.

Если Кэа > 1, то экспорт продукции эффективен.

В случае, если оба коэффициента больше единицы, экспорт товара эффективен. Если Кэб < 1, а Кэа > 1, то в этом случае экспорт неэффективен, так как экспортные затраты превышают экспортный доход. Если Кэб > 1, а Кэа < 1, то и в этом случае экспорт также неэффективен, потому что прибыль от продажи товара внутри страны будет выше, чем от его экспорта. В случае, если оба эти коэффициента меньше единицы, то экспорт товара неэффективен по вышеприведенным причинам.

В случае если предприятие собирается в дальнейшем использовать валюту, полученную в результате экспорта или импорта, то для анализа эффективности продажи валюты могут быть рассчитаны следующие коэффициенты:

) коэффициент эффективности продажи валюты 1 - этот коэффициент применяется тогда, когда предприятие собирается продать валюту, а полученные рублевые средства положить в банк под проценты. Затем, когда наступит срок операции с использованием валюты, купить валюту за рублевые средства. Альтернативой этому является помещение валюты в банк на беспроцентный валютный счёт (счёт, по которому не начисляются годовые проценты).

,

где Кпв1 - коэффициент эффективности продажи валюты 1;

Кпок - курс покупки валюты;

Iр - годовой процент по рублевым вкладам;

Т - количество лет (периодов, за которые начисляется процент);

Кпр - курс (предполагаемый) продажи валюты.

Если Кпв1 > 1, продажа валюты эффективна.

) коэффициент эффективности продажи валюты 2 - этот коэффициент аналогичен предыдущему, только предприятие помещает валюту на процентный валютный счёт.

,

где Кпв2 - коэффициент эффективности продажи валюты 2,

Iвал - годовой процент по валютным счетам; остальные элементы эквивалентны элементам формулы, представленной выше.

Если Кпв2 > 1, продажа валюты эффективна.

) коэффициент эффективности продажи валюты 3 - этот коэффициент применяется, когда предприятие может продать валюту и полученные рублевые средства пустить в оборот. Затем, когда наступит срок проведения операции с валютой, купить валюту. Альтернативой этому является помещение валюты на беспроцентный валютный счёт в банке.

,

где Кпв3 - коэффициент эффективности продажи валюты 3;

Фо - коэффициент фондоотдачи от вложенных рублевых средств;

Т - количество оборотов вложенных рублевых средств;

Если Кпв3 > 1, продажа валюты эффективна.

) коэффициент эффективности продажи валюты 4 - этот коэффициент отличается от предыдущего только тем, что предприятие помещает валюту на процентный валютный счёт.

,

где Кпв4 - коэффициент эффективности продажи валюты 4; остальные элементы эквивалентны элементам предыдущих формул.

Если Кпв4 > 1, продажа валюты эффективна.

Итак, для анализа эффективности продажи валюты предприятию необходимо оценить возможные пути использования рублевых средств, которые могут быть получены от продажи валюты, и рассчитать соответствующие коэффициенты эффективности, приведенные выше.

Преимуществом анализа базовой и альтернативной эффективности экспорта является определение покрываются ли затраты на экспорт выручкой от экспорта, а также является ли экспорт товаров за рубеж более выгодным, чем их продажа внутри страны.

На основании расчетов представленных выше коэффициентов можно составить таблицы эффективности экспорта товаров в различные страны, и при их помощи выявить наиболее эффективную для предприятия экспортную сделку. Кроме того, предприятие имеет возможность выявить наиболее эффективные пути использования полученных от экспорта валютных средств.

Выводы по исследовательской главе

Экспортно-импортные отношения являются формой международных отношений. Повышение значимости торговли в мировой экономике обусловлены процессами глобализации и роста взаимозависимости большинства стран мира, а дополнительный стимул мировая торговля получила благодаря деятельности Всемирной торговой организации по либерализации экспортно-импортных операций.

Заинтересованность практически всех стран в расширении своей внешней торговли связана, прежде всего, с потребностью сбыта национальной продукции на внешних рынках, необходимостью получения определенных товаров извне. А приоритетным во внешней торговле следует считать ориентир на развитие экспорта, так как покупку товаров по импорту можно осуществлять либо при наличии иностранной валюты, либо конкурентоспособного товара.

Осуществлять экспортную деятельность организации могут самостоятельно или опосредованно через дистрибьюторов, брокеров, торговых агентов. Обмен продукцией на международном рынке, так же, как и на внутреннем, происходит путем проведения коммерческих операций по подготовке, заключению и выполнению сделок.

При операциях экспорта и импорта необходимым условием для их успешного осуществления является анализ эффективности экспорта и импорта. Анализ эффективности экспортно-импортных операций предприятия помогает принять решения для оптимизации экономических показателей внешнеэкономической деятельности. Эффективность экспорта можно определить путем расчета рентабельности экспортной продукции, а также расчета базового и альтернативного коэффициентов эффективности, которые показывают, выгоден ли экспорт продукции реализации этой продукции на внутреннем рынке.

Глава 2. Эффективность экспортной деятельности на примере ОАО «Термоприбор»

.1 Характеристика деятельности ОАО «Термоприбор»

Строительство термометрового завода в городе Клин началось в 1952 году на основании постановления Совета Министров СССР от 12 июня 1952 года, а с 1 ноября 1954 года завод был «включен в строй действующих». Начало строительства завода совпадает с периодом, который историки относят к восстановительному периоду СССР. Строительство термометрового завода именно в городе Клин связано с наличием в городе стеклодувных традиций.

В 1992 году Указ Президента Российской Федерации № 721 «Об организационных мерах по преобразованию государственных предприятий, добровольных объединений государственных предприятий в акционерные общества» положил начало первому этапу приватизации государственных предприятий. Следуя требованиям закона, рабочая комиссия по приватизации государственного предприятия «Термоприбор» разработала план приватизации, и 11 ноября 1992 года акционерное общество открытого типа «Термоприбор» было зарегистрировано.

ОАО «Термоприбор» производит весь диапазон стеклянных жидкостных и ртутных термометров, ртутных термоконтакторов, широко применяемых в различных отраслях промышленности, сельском хозяйстве, научных исследованиях и в быту, благодаря сочетанию точности измерения с простотой отсчета температуры. Интервал измеряемой температуры от -70°С до +600°С. Точность измерения - от 0,01°С до 10°С в зависимости от диапазона измеряемой температуры, цены деления шкалы и применяемой термометрической жидкости. Термометр медицинский сертифицирован на соответствие стандартам качества и безопасности Европейского Союза. Вся выпускаемая продукция занесена в государственный реестр средств измерений Российской Федерации.

Согласно Уставу ОАО «Термоприбор» основными видами деятельности акционерного общества являются:

производство термометров и других приборов контроля и регулировании технологических процессов, медицинских термометров и другой медицинской техники, товаров народного потребления и другой продукции, пользующейся спросом и отвечающей требованиям покупателей;

разработка новых видов приборов и другой продукции, соответствующей мировым достижениям;

оптовая и розничная продажа собственной и другой продукции, разработок, товаров и услуг;

работа с драгметаллами, их солями и сплавами.

ОАО «Термоприбор» имеет обособленные подразделения - представительства в Российской Федерации, действующие на основании положения, утвержденного советом директоров, в городах Москва и Новосибирск, а также представительства за пределами Российской Федерации - в городе Киев.

Рынками сбыта продукции ОАО «Термоприбор» являются: Москва и Московская область, Центральный, Уральский, Северо-западный и Сибирский федеральные округа Российской Федерации, Украина, республика Беларусь, Молдавия, Казахстан, Германия и Виргинские острова.

В числе покупателей продукции ОАО «Термоприбор» - крупные фармдистрибьюторы, компании газо-нефтедобывающей и химической отрасли, ведущие предприятия других отраслей промышленности, гидрометеослужбы многих зарубежных государств.

ОАО «Термоприбор» сотрудничает со следующими иностранными контрагентами:

- Научно-производственное инженерное общество с ограниченной ответственностью «Белросттеплосервис» (г. Минск, республика Беларусь) - предприятие является одним из поставщиков контрольно-измерительных приборов и автоматики для предприятий энергетического комплекса Республики Беларусь;

Совместное общество с ограниченной ответственностью «Завод теплотехнических приборов» (г. Минск, республика Беларусь) - высокотехнологичное предприятие, специализирующееся на разработке, серийном производстве и поставке приборов для измерения давления, температуры и влажности, а также различной вспомогательной арматуры;

Общество с ограниченной ответственностью «Митек» (г. Киев, Украина) - дистрибьюция лекарственных средств российского производства;

Товарищество с ограниченной ответственностью «БиоХимПрибор» (г. Алматы, Казахстан) - розничная продажа медикаментов, медицинских изделий и оборудования.

общее собрание акционеров (высший орган управления обществом);

совет директоров;

генеральный директор (единоличный исполнительный орган).

Органом внутреннего контроля за финансово-хозяйственной и правовой деятельностью общества является ревизионная комиссия. Постоянно действующий орган общего собрания - счетная комиссия. В соответствии с Федеральным законом от 26.12.1995 N 208-ФЗ (ред. от 30.11.2011) «Об акционерных обществах» функции счетной комиссии ОАО «Термоприбор» выполняет регистратор.

Также ОАО «Термоприбор» подлежит обязательному аудиту, в связи с этим у общества заключен договор с аудиторской компанией, которая проводит проверку всей финансово-хозяйственной деятельности.

Организационная структура ОАО «Термоприбор» представлена на рисунке 1.

Рисунок 1

ОАО «Термоприбор» осуществляет экспорт выпускаемой продукции, а также импорт некоторых составных частей для производства термометров.

Внешнеэкономической деятельностью в организации занимается менеджер по ВЭД, главный бухгалтер, а также в ОАО «Термоприбор» есть должность менеджера-декларанта, который отвечает за экспорт продукции.

Менеджер-декларант подготавливает пакет документов для клиента, а по прибытии перевозчика декларант снимает копии с документов, а также передает необходимые документы в бухгалтерию.

Менеджер по внешнеэкономической деятельности занимается всеми вопросами, касающимися этой сферы. Основные обязанности менеджера по ВЭД:

осуществление руководства разработки предложений и мероприятий по развитию прогрессивных форм внешнеэкономических связей, научно-технического и экономического сотрудничества с зарубежными странами;

организация установления прямых, производственных и научно-технических связей;

решение вопросов производственно-технической кооперации с предприятиями и фирмами других стран;

разработка технико-экономического обоснования по установлению прямых производственных связей с зарубежными фирмами;

осуществление подготовки и участие в переговорах с иностранными фирмами;

организация в установленном порядке приема представителей зарубежных и отечественных предприятий (фирм), прибывших для решения вопросов по внешнеэкономической деятельности;

разработка рекомендаций по развитию новых форм внешнеэкономического сотрудничества;

организация сбора, систематизации, изучения и обобщения информационных материалов по маркетингу, экономической, сбытовой и прочей деятельности предприятий (фирм), с которыми заключены договора о сотрудничестве;

предоставление информации о конкурентоспособности выпускаемой предприятием продукции и о требованиях к аналогичной продукции на мировом рынке;

организация работы по увеличению объема экспортных поставок, вовлечению в экспорт других видов товаров и ресурсов;

контроль выполнения договоров с внешнеторговыми организациями по поставкам продукции на экспорт;

осуществление согласования работы предприятия в области внешнеэкономической деятельности с соответствующими республиканскими ведомствами;

подготовка для руководства предприятия информации по всем вопросам внешнеэкономических связей.

Менеджер по ВЭД имеет право:

знакомиться с проектами решений руководства предприятия, касающимися его деятельности;

по вопросам, находящимся в его компетенции, вносить на рассмотрение руководства предприятия предложения по улучшению внешнеэкономической деятельности предприятия;

осуществлять взаимодействие с руководителями структурных подразделений;

запрашивать и получать от руководителей структурных подразделений и специалистов необходимую информацию;

подписывать и визировать документы в пределах своей компетентности;

требовать от руководства предприятия оказания содействия в исполнении своих должностных прав и обязанностей.

Для осуществления внешнеэкономической деятельности у ОАО «Термоприбор» открыты рублевые и валютные (в долларах США и евро) счета в ОАО «Сбербанк России» и банке «Возрождение».

Правовое обеспечение внешнеэкономической деятельности организации осуществляется через банк. Банк производит валютный контроль, регистрирует контракты и оформляет паспорт сделки.

При оформлении документов при осуществлении внешнеэкономической деятельности ОАО «Термоприбор» руководствуется Служебной инструкцией «О правилах оформления документов при осуществлении внешнеэкономической деятельности и порядок предоставления резидентам уполномоченным банкам подтверждающих документов, связанных с проведением валютных операций».

В данной инструкции:

определен порядок заключения контракта с иностранным покупателем;

описаны правила оформления резидентами в уполномоченных банках паспорта сделки, его переоформления и закрытия;

определен порядок оформления таможенной стоимости товаров, расчет экспортных ввозных пошлин, таможенных сборов, декларирование вывозимых товаров;

определен порядок предоставления резидентами уполномоченным банкам документов и информации при осуществлении валютных операций;

описаны требования валютного законодательства, определенные Федеральным законом от 10.12.2003 N 173-ФЗ (ред. от 06.12.2011) «О валютном регулировании и валютном контроле» (с изм. и доп., вступающими в силу с 01.01.2012), и ответственность за их нарушение.

Согласно этой инструкции при заключении внешнеторгового договора (контракта) необходимо верно определить нерезидента в целях валютного регулирования и валютного контроля. Необходимо получить копии учредительных документов, подтверждающих регистрацию юридического лица в соответствии с правилами того или иного государства. При оформлении контракта с иностранным покупателем необходимо четко определить предмет сделки и согласовать базисные условия поставок. При составлении контракта необходимо руководствоваться правилами толкования торговых терминов «Инкотермс - 2010».

.2 Оценка экспортной деятельности ОАО «Термоприбор»

ОАО «Термоприбор» осуществляет экспорт выпускаемой продукции, а именно термометров и других приборов контроля и регулировании технологических процессов, медицинских термометров и другой медицинской техники, а также стеклошариков для дорожной разметки. Завод экспортирует свою продукцию в основном в страны СНГ.

Сотрудничество ОАО «Термоприбор» с иностранным контрагентом оформляется путем заключения международного договора купли-продажи (контракта). После заключения контракта с иностранным контрагентом, контракт регистрируется в уполномоченном банке, и банк оформляет паспорт сделки (Приложение 1). Для отправления товара покупателю составляется справка о подтверждающих документах, в которой содержатся счет на оплату продукции, товарная накладная, счет-фактура (инвойс), спецификация к контракту, доверенность водителю на перевозку товара. После получения товара покупателем на счет экспортера перечисляются денежные средства по контракту. ОАО «Термоприбор» составляет справку о поступлении валюты Российской Федерации, в которую входят платежное поручение и уведомление банка о зачислении на счет экспортера денежных средств, поступивших от нерезидента (покупателя).

У ОАО «Термоприбор» заключен контракт с таможенным представителем. Таможенный представитель занимается таможенным оформлением документов для экспорта продукции.

В процессе работы с иностранными контрагентами происходят изменения в контракте, которые отражаются в дополнительных соглашениях к контракту. При этом на дополнительное соглашение оформляется паспорт сделки.

Для экспорта продукции завода менеджер-декларант подготавливает пакеты документов для иностранного покупателя и для таможни. Пакет документов для покупателя:

копия Контракта, подписанного обеими сторонами;

2 оригинала Контракта, подписанного со стороны экспортера (если отсутствует оригинал Контракта, подписанный обеими сторонами);

2 оригинала Спецификации к Контракту, подписанные со стороны экспортера;

Сертификаты с описаниями на каждый вид продукции, заверенные печатью завода;

счет на оплату продукции;

счет-фактура;

товарная накладная.

Документы для таможни:

копия контракта;

копия паспорта сделок;

комплект СМR (Международная товарно-транспортная накладная) (дает водитель) (Приложение 2);

калькуляция на каждый вид продукции;

сертификаты на каждый вид продукции;

инвойсы (или счета-фактуры, если контракт в рублях) (Приложение 3).

Если машина с TIR, то его прикладывают к таможенным документам.

В зависимости от договоренностей с клиентом в Дмитровской Межрайонной Торгово-Промышленной Палате (ДМТПП) оформляют сертификат происхождения.

Для определения эффективности экспортной деятельности ОАО «Термоприбор» необходимо провести ее анализ. Данный анализ позволит определить, насколько эффективен экспорт производимой продукции, а также послужит основанием для разработки путей повышения эффективности экспортной деятельности.

В анализе эффективности экспортной деятельности будут использованы данные 2008 - 2010 годов, полученные в ОАО «Термоприбор».

Для определения экономической эффективности экспортной деятельности ОАО «Термоприбор» необходимо рассчитать показатели валютной эффективности.

По оборотно-сальдовой ведомости по счету 90.1.1 можно определить выручку от экспортной деятельности за 2008, 2009 и 2010 года. В 2008 году экспортная выручка составила 115544087,18 рублей. В 2009 году выручка от экспорта продукции составила 185328047,88 рублей, а в 2010 году - 67321253,51 рублей. Несмотря на увеличение экспорта медицинских и промышленных термометров, большую долю экспорта завода составляют стеклошарики для дорожной разметки. Уменьшение экспортной выручки в 2010 году связано с сокращением объемов экспорта стеклошариков. Таким образом, доля экспортируемой продукции в общем объеме продаваемой продукции в 2010 году сократилась по сравнению с 2008 и 2009 годом. В 2008 году доля экспортируемой продукции от всего объема продукции составляет 37%, в 2009 году - 47%, а в 2010 году - 20,4%.

Показатель валютной эффективности экспорта, используемый для перспективного обоснования включения того или иного товара в экспортный план, рассчитывается по формуле:

вал= B ⁄ (Cэкс+ tэкс),

где Квал - коэффициент валютной эффективности экспорта товара;

В - валютная выручка от экспорта товара (внешнеторговая цена);

Сэкс - себестоимость экспортного товара;экс - транспортные и накладные расходы по доставке товара до границы.

) коэффициент валютной эффективности экспорта товара в 2008 году:

;

) коэффициент валютной эффективности экспорта товара в 2009 году:

;

) коэффициент валютной эффективности экспорта товара в 2010 году:

.

Как видно из расчетов в 2008 и 2010 годах экспорт продукции неэффективен, так как значение коэффициента валютной эффективности экспорта меньше 1. А в 2009 году экспорт продукции был эффективен, так как значение коэффициента больше 1. В 2009 году увеличился объем экспорта стеклошариков, несмотря на снижение объемов экспорта термометров.

Также для оценки эффективности экспортной деятельности рассчитывается базовый и альтернативный коэффициенты эффективности. Базовый коэффициент эффективности экспорта:

,

где Кэб - базовый коэффициент эффективности экспорта;

Вэ - выручка от экспорта;

Ст - себестоимость товара;

Тр - транспортные расходы;

Ор - организационные расходы.

Транспортные расходы включают в себя расходы на транспортировку товара, которые несёт предприятие-экспортёр. Эти расходы зависят от цены контракта, и при экспорте принято использовать цену FOB товара. Организационные расходы - это расходы предприятия на заключение контракта, таможенные пошлины и сборы при перевозке товара через таможенную границу.

Рассчитаем базовый коэффициент по трем годам:

1)  базовый коэффициент эффективности экспорта в 2008 году:

;

2)  базовый коэффициент эффективности экспорта в 2009 году:

;

3)  базовый коэффициент эффективности экспорта в 2010 году:

.

В 2008 и 2009 годах Кэб больше 1, следовательно, экспорт эффективен. Но после кризисного 2008 года, когда объем продаж у ОАО «Термоприбор» уменьшился, в 2009 году произошло увеличение экспорта в основном за счет продажи стеклошариков для дорожной разметки в Германию и Виргинские острова. В 2010 году базовый коэффициент эффективности экспорта равен 0,91, а значит, экспорт не очень эффективен.

Для определения эффективности экспорта кроме базового коэффициента необходимо рассчитать альтернативный коэффициент эффективности экспорта и выяснить, является ли экспорт товара более выгодной операцией, чем продажа этого товара внутри страны. Альтернативный коэффициент эффективности экспорта:

,

где Кэа - альтернативный коэффициент эффективности экспорта;

Вв - внутренняя выручка (выручка от продажи товара внутри страны); остальные элементы аналогичны элементам предыдущей формулы расчета базового коэффициента.

Также как и базовый коэффициент эффективности, альтернативный коэффициент рассчитывается по трем годам:

1)  альтернативный коэффициент эффективности экспорта в 2008 году:

;

2)  альтернативный коэффициент эффективности экспорта в 2009 году:

;

3)  альтернативный коэффициент эффективности экспорта в 2010 году:

.

В 2008 и 2010 годах значения альтернативного коэффициента эффективности экспорта меньше 1. Следовательно, экспорт продукции ОАО «Термоприбор» неэффективен, т.е. прибыль от продажи продукции внутри страны больше, чем от экспорта этого товара. Однако значения базового коэффициента эффективности экспорта больше 1, значит экспорт товара хоть и не достаточно эффективен, но ОАО «Термоприбор» все равно получает прибыль от экспорта.

Снижение экспортной выручки в 2010 году и, как следствие неэффективность экспорта, вызвано уменьшением выручки от экспорта стеклошариков для дорожной разметки в 3 раза (в 2009 году экспортная выручка была 180830809,05 рублей, а в 2010 году - 59291938 рублей).

В 2009 году значения базового и альтернативного коэффициентов эффективности экспорта больше 1, следовательно, экспорт термометров и стеклошариков эффективен. В 2009 году завод увеличил объем экспорта продукции, а также снизились затраты на экспорт, что и привело к повышению эффективности экспорта.

Недостаточная эффективность экспорта ОАО «Термоприбор» является результатом влияния экономического кризиса. Однако чтобы не допустить дальнейшее снижение эффективности, необходимо принять меры по улучшению организации экспортных операций в ОАО «Термоприбор».

.3 Предложения по улучшению организации экспортной деятельности ОАО «Термоприбор»

Главным условием рациональной организации внешнеэкономической деятельности является четкое разграничение учетных функций внутри предприятия и исключение дублирования всех учетных работ. Для того чтобы исключить дублирование учетных работ необходимо предусмотреть рациональный документооборот и возможность обмена информацией между сотрудниками ОАО «Термоприбор».

В ОАО «Термоприбор» сотрудники для обмена необходимой информацией не используют современные технологии, такие, как обмен информацией по средствам корпоративной электронной почты или с помощью системы электронного документооборота. В связи с этим на предприятии происходят некоторые задержки в предоставлении менеджерами из отдела продаж документов по экспортным контрактам в финансовую службу.

Для достижения требуемого качества документооборота, а также для устранения задержек в обмене необходимой документацией в процессе исполнения экспортных контрактов можно внедрить систему электронного документооборота, что позволит сделать работу предприятия, в частности в области внешнеэкономической деятельности, более оперативной и эффективной.

Основным объектом использования систем электронного документооборота, автоматизации этого процесса являются документы и бизнес-процессы, представляющие как движение документов, так и их обработку.

Основными принципами электронного документооборота являются:

однократная регистрация документов, позволяющая идентифицировать документ;

возможность параллельного выполнения операций, что позволяет сократить время движения документов и повысить оперативность их исполнения;

непрерывность движения документа, позволяющая идентифицировать (установить) ответственного за исполнение документа в каждый момент времени;

единая база документной информации, которая позволяет исключить возможность дублирования документов;

эффективно организованная система поиска документа, позволяющая находить документ, обладая минимальной информацией о нем.

развитая система отчетности по различным статусам документов, позволяющая контролировать движение документов по процессам документооборота и принимать управленческие решения, основываясь на данные из отчетов.

Система электронного документооборота позволит регистрировать входящую и исходящую корреспонденцию, создавать электронный архив документов, контролировать исполнение документов и поручений, создавать и управлять библиотекой регламентов управленческих процедур, оформлять командировки, организовывать внутренний информационный портал предприятия и его отделов, контролировать выполнение должностных инструкций.

Внедрение таких технологий позволит ОАО «Термоприбор» более слаженно организовывать работу отделов с финансовой службой в области обмена документацией, предоставления ее в срок. При соблюдении данной рекомендации будет меньше возникать разногласий между заводом и его клиентами, в том числе и иностранных, это позволит улучшить работу предприятия и в сфере экспортной деятельности.

В работе ОАО «Термоприбор» в сфере внешнеэкономической деятельности не использую современные средства связи в общении с иностранными контрагентами. Внедрение современных систем связи, использование автоматизированных систем управления предприятием позволит ОАО «Термоприбор» более оперативно осуществлять внешнеэкономические операции с иностранными контрагентами и в целом улучшить сотрудничество завода с ними.

Автоматизированная система управления (АСУ) - комплекс аппаратных и программных средств, предназначенный для управления различными процессами в рамках технологического процесса, производства, предприятия. АСУ применяются в различных отраслях промышленности, энергетике, транспорте и т.д.

Функции АСУ устанавливают в техническом задании на создание конкретной АСУ на основе анализа целей управления, заданных ресурсов для их достижения, ожидаемого эффекта от автоматизации и в соответствии со стандартами, распространяющимися на данный вид АСУ. Каждая функция АСУ реализуется совокупностью комплексов задач, отдельных задач и операций. Функции АСУ в общем случае включают в себя следующие элементы (действия):

·  планирование и (или) прогнозирование;

·              учет, контроль, анализ;

·              координацию и (или) регулирование.

Необходимый состав элементов выбирают в зависимости от вида конкретной автоматизированной системы управления. Одним из видов АСУ является система управления взаимоотношениями с клиентами (CRM-система).

Система управления взаимоотношениями с клиентами (CRM-система, Customer Relationship Management) - прикладное программное обеспечение для организаций, предназначенное для автоматизации стратегий взаимодействия с заказчиками (клиентами), в частности, для повышения уровня продаж, оптимизации маркетинга и улучшения обслуживания клиентов путём сохранения информации о клиентах и истории взаимоотношений с ними, установления и улучшения бизнес-процедур и последующего анализа результатов.

В CRM-системе центром философии бизнеса является клиент, а основными направлениями деятельности являются меры по поддержке эффективного маркетинга, продаж и обслуживания клиентов. Поддержка этих бизнес-целей включает сбор, хранение и анализ информации о потребителях, поставщиках, партнёрах, а также о внутренних процессах компании. Функции для поддержки бизнес-целей включают продажи, маркетинг, поддержку потребителей.

Основная цель внедрения CRM-стратегии - создание «конвейера» по привлечению новых клиентов и развитию существующих клиентов. Очень важную роль в воплощении CRM-стратегии в жизнь играют информационные технологии. Программные средства CRM <#"879177.files/image018.gif">

Рисунок 2. Сетевой график, отражающий выполнение работ без использования системы электронного документооборота

Критический путь:

L = 0; 1; 2; 3; 5; 6

t (L) = 2+3+7+2+3 = 17.

Таким образом, все работы с документаций по исполнению экспортного контракта выполняются менеджером без использования системы электронного документооборота за 17 дней.

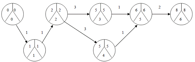
Необходимо построить сетевой график, который отражает выполнение работ по оформлению и обмену документацией при использовании системы электронного документооборота. Нулевой работой также следует считать подготовку к исполнению экспортного контракта.

Рисунок 3. Сетевой график, отражающий выполнение работ при использовании системы электронного документооборота.

Критический путь:

L = 0; 1; 2; 3; 5; 6 или L = 0; 1; 2; 4; 5; 6

t (L) = 1+1+3+1+2 = 8.

Все работы с документаций по исполнению экспортного контракта выполняются менеджером при использовании системы электронного документооборота за 8 дней. Таким образом, экономия времени на подготовку необходимой документации составляет 9 дней. Следовательно, внедрение в ОАО «Термоприбор» системы электронного документооборота способствует оптимизации процесса обмена документацией.

Выводы по экономико-математической главе

С помощью метода сетевого планирования можно решать задачи исследования операций, в которых необходимо оптимально распределить сложные комплексы работ, а также рационально осуществлять процессы планирования, организации, координации и контроля любого комплекса работ.

В данном исследовании необходимо было оптимизировать работу менеджеров ОАО «Термоприбор» в области обмена документацией по экспортным контрактам. Для этого были построены две сетевые модели, отражающие выполнение работ с документами без использования системы электронного документооборота и с использованием данной системы. В результате метод сетевого планирования позволил выявить экономию времени на обработку и обмен документами. Экономия времени составляет 9 дней, а значит, это позволит более оперативно и слаженно организовывать работу отделов с финансовой службой в области обмена документацией, предоставляя ее в срок.

Выявление экономии временных ресурсов подтверждает значимость рекомендации по внедрению в ОАО «Термоприбор» современных технологий для обмена необходимой информацией. А это значит, что использование системы электронного документооборота позволит компании устранить задержки в обмене документацией в процессе исполнения экспортных контрактов, так как позволяет регистрировать входящую и исходящую корреспонденцию, создавать электронный архив документов, контролировать исполнение документов, организовывать внутренний информационный портал предприятия и его отделов. Следовательно, будет меньше возникать разногласий между заводом и его клиентами, в том числе и иностранными, и работа предприятия улучшиться и в сфере экспортной деятельности.

Заключение

Международная торговля - одна из наиболее развитых и традиционных форм международных экономических отношений. Экспортно-импортные отношения являются формой международных отношений.

Благодаря процессам глобализации и росту взаимозависимости большинства стран мира повышается значимость торговли в мировой экономике. Многие страны заинтересованы в расширении своей внешней торговли с целью сбыта национальной продукции на внешних рынках и необходимостью получения определенных товаров извне. Приоритетным во внешней торговле следует считать ориентир на развитие экспорта, так как способность компании успешно продавать товары за рубежом показывает ее реальную конкурентоспособность, а экспорт - это качественно новая ступень развития компаний.

Осуществлять экспортную деятельность организации могут самостоятельно или опосредованно. Обмен продукцией на международном рынке, так же, как и на внутреннем, происходит путем заключения с контрагентами договора международной купли-продажи.

Экспортный потенциал - это способность экономики производить продукцию, конкурентоспособную на мировом рынке, и экспортировать ее в достаточном объеме. Для развития экспортного потенциала необходима государственная поддержка производителей экспортной продукции. Так России необходимо укреплять экспортный потенциал, оказывая поддержку российским организациям-экспортерам, так как это обеспечивает увеличение объемов отечественного производства, рост налоговых поступлений в бюджет и создание дополнительных рабочих мест.

Для укрепления экспортного потенциала необходимо повышать эффективность экспортной деятельности предприятий. Анализ эффективности экспортных операций предприятия является условием для осуществления экспортной деятельности и помогает принять решения для оптимизации экономических показателей внешнеэкономической деятельности. Эффективность экспорта можно определить путем расчета рентабельности экспортной продукции, а также расчета базового и альтернативного коэффициентов эффективности, которые показывают, выгоден ли экспорт продукции реализации этой продукции на внутреннем рынке.

В данном исследовании осуществлялся анализ экспортной деятельности ОАО «Термоприбор». ОАО «Термоприбор» производит медицинские и производственных термометры, приборы контроля и регулирования технологических процессов, стеклошарики для дорожной разметки, а также осуществляет продажу своей продукции на внутреннем и внешнем рынках.

Основными зарубежными рынками сбыта продукции для ОАО «Термоприбор» являются рынки Украины, Белоруссии, Казахстана, Молдавии. Сделки с иностранными контрагентами осуществляются путем заключения договора международной купли-продажи товаров (контракта).

Оценив эффективность экспортной деятельности предприятия, можно сделать вывод, что экспорт продукции ОАО «Термоприбор» с 2008 по 2010 года неэффективен, т.е. прибыль от продажи продукции внутри страны больше, чем от экспорта этого товара. Однако экспорт товара хоть и не достаточно эффективен, но ОАО «Термоприбор» все равно получает прибыль от экспорта, что связано с экономическим кризисом. Поэтому для увеличения эффективности экспорта продукции предприятию следует улучшить организацию экспортных операций.

Для улучшения организации экспортной деятельности ОАО «Термоприбор» следует ввести систему электронного документооборота, которая позволит компании устранить задержки в обмене документацией в процессе исполнения экспортных контрактов. Также внедрение автоматизированных систем управления предприятием позволит ОАО «Термоприбор» более оперативно осуществлять внешнеэкономические операции с иностранными контрагентами и в целом улучшить сотрудничество завода с ними.

Привлечение иностранных инвестиций и приходящие с ними новые технологии и методы управления дадут ОАО «Термоприбор» мощный толчок для развития более конкурентоспособного производства, и как следствие увеличение объемов продаж производимой продукции. Также для повышения эффективности экспортной деятельности ОАО «Термоприбор» стоит сотрудничать с новым иностранным контрагентом на уже известном рынке, что позволит заводу увеличить объем экспорта промышленных и медицинских термометров.

Данные рекомендации не нарушают действие Федеральных законов «О персональных данных», «Об информации, информационных технологиях и о защите информации» и «Об электронно-цифровой подписи». При использовании на предприятии системы электронного документооборота или автоматизированной системы управления ОАО «Термоприбор» должно руководствоваться данными Федеральными законами. Согласно этим Федеральным законам завод должен сохранять конфиденциальность персональных данных работника, предоставляя иностранным контрагентам доступ к отслеживанию исполнения контрактов, предприятие должно обеспечить этот доступ к информации, а также вправе защищать ее. Также использование электронной цифровой подписи, предназначенной для защиты данного электронного документа от подделки, позволит улучшить работу системы электронного документооборота и АСУ.

ОАО «Термоприбор» при заключении с иностранными контрагентами контрактов на экспорт продукции должно руководствоваться «Конвенцией Организации Объединенных наций о договорах международной купли-продажи товаров», в которой приняты единообразные нормы, регулирующие договоры международной купли-продажи товаров.

Осуществляя экспортную деятельность в странах СНГ, входящих в зону свободной торговли и в Таможенный союз, ОАО «Термоприбор» следует учитывать особенности таможенного оформления и таможенного контроля товаров, перемещаемых между этими государствами, которые обозначены в Таможенном кодексе Таможенного союза, Соглашении от 08.10.1999 «О порядке таможенного оформления и таможенного контроля товаров, перемещаемых между государствами - участниками Соглашения о создании зоны свободной торговли» и Решении Комиссии Таможенного союза от 08.12.2010 N 494 «Об Инструкции о порядке предоставления и использования таможенной декларации в виде электронного документа». Также эти нормативно-правовые документы позволяют осуществлять электронное таможенное декларирование с использованием электронной таможенной декларации.

Следуя рекомендации по использованию на предприятии системы электронного документооборота можно устранить задержки в оформлении и обмене документацией в процессе исполнения экспортных контрактов. В экономико-математической главе с помощью метода сетевого планирования была определена экономия времени для оптимизации работы менеджеров ОАО «Термоприбор» в области обмена документацией по экспортным контрактам. Были построены две сетевые модели, отражающие выполнение работ с документами без использования системы электронного документооборота и с использованием данной системы. В результате метод сетевого планирования позволил выявить экономию времени на обработку и обмен документами, которая составляет 9 дней.

Выявление экономии временных ресурсов подтверждает значимость рекомендации по внедрению в ОАО «Термоприбор» современных технологий для обмена необходимой информацией. А это значит, что использование системы электронного документооборота позволит компании более оперативно и слаженно организовывать работу отделов с финансовой службой в области обмена документацией, предоставляя ее в срок. Следовательно, организации работы завода с иностранными контрагентами улучшиться, что положительно повлияет на эффективность экспортной деятельности.

Список литературы

1.         «Конвенция Организации Объединенных наций о договорах международной купли-продажи товаров» (заключена в Вене 11.04.1980) (вместе со «Статусом Конвенции Организации Объединенных Наций о договорах международной купли-продажи товаров (Вена, 11 апреля 1980)» (по состоянию на 4 мая 2011 года))// «Вестник ВАС РФ», N 1, 1994.

2.         «Таможенный кодекс Таможенного союза» (приложение к Договору о Таможенном кодексе Таможенного союза, принятому Решением Межгосударственного Совета ЕврАзЭС на уровне глав государств от 27.11.2009 N 17) (ред. от 16.04.2010)// «Собрание законодательства РФ», 13.12.2010, N 50, ст. 6615.

3.         Соглашение от 08.10.1999 «О порядке таможенного оформления и таможенного контроля товаров, перемещаемых между государствами - участниками Соглашения о создании зоны свободной торговли»// «Бюллетень международных договоров», N 12, 2000.

4.         Решение Комиссии Таможенного союза от 08.12.2010 N 494 «Об Инструкции о порядке предоставления и использования таможенной декларации в виде электронного документа»// Официальный сайт Комиссии Таможенного союза <http://www.tsouz.ru/>, 10.12.2010.

5.         Федеральный закон от 10.01.2002 N 1-ФЗ (ред. от 08.11.2007) «Об электронной цифровой подписи»// «Российская газета», N 6, 12.01.2002.

6.         Федеральный закон от 27.07.2006 N 149-ФЗ (ред. от 06.04.2011) «Об информации, информационных технологиях и о защите информации»// «Российская газета», N 165, 29.07.2006.

7.         Федеральный закон от 27.07.2006 N 152-ФЗ (ред. от 25.07.2011) «О персональных данных»// «Российская газета», N 165, 29.07.2006.

8.         Абанина И.Н. Мировая торговля и мировые товарные рынки: Курс лекций. - М.: МГАДА, 2011. - 55 с.

9.         Акулич И.Л. Международный маркетинг. - Минск: БГЭУ, 2007. - 496 с.

10.      Жигулин Г.П., Серебров А.И., Яковлев А.Д. Прогнозирование устойчивости. Учебник. - СПб.: СПбГУ ИТМО, 2004. - 204 с.

11.      Кудрявцев Е.М. Методы сетевого планирования и управления проектом: Учебное пособие. - М.: ДМК Пресс, 2007. - 238 с.

12.      Ларионова И.А. Управление производством. Сетевое планирование: Учебное пособие. - М.: МИСиС, 2009. - 53 с.

13.      Лопатников Л. И. Экономико-математический словарь: Словарь современной экономической науки. - 5-е изд., перераб. и доп. - М.: Дело, 2003. - 520 с.

14.      Маховикова Г.А. Внешнеэкономическая деятельность: учебный курс. - М.: ЭКСМО, 2009. - 286 с.

15.      Международные экономические отношения: Учебник/ Под общ.ред. В.Е. Рыбалкина. - 8-е изд., перераб. и доп. - М.: ЮНИТИ-Дана, 2009. - 623 с.

16.      Мысник В.Г. Организация внешнеторговой деятельности: учебное пособие. - Хабаровск: ДВГУПС, 2008. - 191 с.

17.      Райзберг Б. А., Лозовский Л. Ш., Стародубцева Е. Б.Современный экономический словарь. 5-е изд., перераб. и доп. - М.: ИНФРА-М, 2007. - 495 с.

18.      Российский статистический ежегодник. 2010: Стат.сб./Росстат. - М., 2010. - 813 с.

19.      Семенов К.А. Международные экономические отношения: Курс лекций. - М.: Гардарики, 2007. - 336 с.

20.      Стефанов С.И. Реклама и полиграфия: опыт словаря-справочника. - М.: Гелла-принт, 2008. - 320 с.

21.      Стровский Л.Е. Внешнеэкономическая деятельность предприятия. - М.: ЮНИТИ-Дана, 2010. - 584 с.

22.      Филиппова И.А. Организация международной торговли: Учебное пособие. - Ульяновск: УлГТУ, 2002. - 140 с.

23.      Интернет-сайт по финансовому руководству, источник: <http://www.financialguide.ru/article/economics/eksportnyj-potencial-rossii>

24.      Официцальный сайт группы компаний Terrasoft, источник: <http://www.terrasoft.ru/products/CRM/>

25.      Официальный сайт ЗАО «Росэксимбанк», источник:

<http://www.eximbank.ru/state_support/>

26.      Официальный сайт компании DHL, источник:

http://www.dhl.ru/ru/express/small_business_solutions/business_across_borders.html#exporting

27.      Официальный сайт ОАО «Термоприбор», источник:

<http://www.thermopribor.com/>

28.      Официальный сайт транспортно-экспедиторской компании «Prime Logistics», источник: <http://www.primelog.ru/cmr.html>

29.      Портал машиностроения, источник:

<http://www.mashportal.ru/machinery_russia-21401.aspx>

30.      Свободная энциклопедия, источник: <http://ru.wikipedia.org/wiki/>

31.      Федеральная служба государственной статистики, источник: <http://www.gks.ru/>

Похожие работы на - Совершенствование организации экспортной деятельности ОАО 'Термоприбор'

 

Не нашли материал для своей работы?
Поможем написать уникальную работу
Без плагиата!
Без нейросетей!