Фармацевтические субстанции гепатопротекторных средств

  • Вид работы:
    Курсовая работа (т)
  • Предмет:
    Медицина, физкультура, здравоохранение
  • Язык:
    Русский
    ,
    Формат файла:
    MS Word
    1,11 Мб
  • Опубликовано:
    2015-06-08
Вы можете узнать стоимость помощи в написании студенческой работы.
Помощь в написании работы, которую точно примут!

Фармацевтические субстанции гепатопротекторных средств

Оглавление

ПЕРЕЧЕНЬ УСЛОВНЫХ ОБОЗНАЧЕНИЙ

ВВЕДЕНИЕ

. Связь структуры и действия гепатопротекторов

.1 Определение понятия и патогенетические механизмы поражений печени

.2 Классификация гепатопротекторов и структурные формулы веществ для каждого класса

.3 Возможные формы выпуска, состав и торговые наименования ЛС        

.4 Фармококинетика, лекарственное взаимодействие с ЛС из другой фармакологической группы, связь между структурой и фармакологической активностью

.4.1 Гепатопротекторы растительного происхождения

.4.2 Гепатопротекторы, содержащие эссенциальные фосфолипиды

.4.3 Гепатопротекторы, содержащие аминокислоты и их производные

.4.4 Гепатопротекторы производные дезоксихолевой кислоты

. Фармацевтические субстанции гепатопротекторных средств 

.1 DL-Метионин и метионин

.2 Урсодезоксихолевая кислота

ЗАКЛЮЧЕНИЕ

СПИСОК ИСПОЛЬЗОВАННЫХ ИСТОЧНИКОВ

 гепатопротектор лекарственный аминокислота

ПЕРЕЧЕНЬ УСЛОВНЫХ ОБОЗНАЧЕНИЙ

АТФ - аденозилтрифосфат

БФ - Британская фармакопея

ГФ РБ - Государственная фармакопея Республики Беларусь

ГФ РК - Государственная фармакопея Республики Казахстан

ЕФ - Европейская фармакопея

ЛПВП - липопротеины высокой плотности

ЛС - лекарственное средство

РНК - рибонуклеиновая кислота

УДХК - урсодезоксихолевая кислота

цАМФ - циклический аденозилмонофосфат

ЭФЛ - эссенциальные фосфолипиды

ВВЕДЕНИЕ

Актуальность темы. Одним из ключевых органов человеческого тела является печень. Она осуществляет такие жизненно важные функции, как регулирование углеводного и жирового обмена и очистка крови от токсинов. Кроме того, печень синтезирует гормоны и защищает организм от вредных веществ, вдыхаемых с воздухом или поступающих вместе с водой и пищей. Роль печени сложно переоценить. И нужно регулярно задумываться, насколько она защищена и готова выполнять свои функции. Однако нездоровый образ жизни, вредные привычки, в частности, злоупотребление алкоголем, могут привести к развитию заболевания печени. Согласно данным Всемирной организации здравоохранения, за последние 20 лет во всем мире наметилась отчетливая тенденция к росту числа болезней гепато-билиарной системы. В мире насчитывается более 2 миллиардов человек, страдающих заболеваниями печени. Для лечения данных патологий используются класс лекарственных препаратов, которые называются гепатопротекторами [1].

Целью данной курсовой работы является изучение гепатопротекторных препаратов, их связь структуры и действия и контроль качества.

Для достижения поставленной цели (на основе подобранного материала) необходимо решить ряд задач:

дать определение понятию «гепатопротекторные средства», привести их классификацию и структурные формулы

описать основные патогенетические поражения печени

рассмотреть состав, возможные формы выпуска и торговые наименования гепатопротекторных средств

изучить фармакокинетику гепатопротекторов, их связь структуры и действия, а также их взаимодействия с ЛС из других фармакологических групп

провести сравнительный анализ методик, используемых при идентификации, определении посторонних примесей и количественного содержания веществ в субстанциях и лекарственных формах согласно требованиям отечественной и зарубежной нормативной документации.

. СВЯЗЬ СТРУКТУРЫ И ДЕЙСТВИЯ ГЕПАТОПРОТЕКТОРОВ

.1 Определение понятия и патогенетические механизмы поражений печени

Несмотря на успехи, достигнутые в последнее время в лечении хронических заболеваний печени, в клинической практике нередки ситуации, когда назначение этиотропной терапии по тем или иным причинам невозможны и в то же время требуется уменьшение активности воспалительного процесса. Традиционно для этой цели используются препараты, относящиеся к группе гепатопротекторов. Гепатопротекторы - средства повышающие устойчивость гепатоцитов к воздействию повреждающих факторов и способствующие восстановлению их функций. Учитывая отсутствие прямого воздействия на этиологию заболевания, принципиальным направлением действия препаратов гепатопротекторной группы является влияние на патогенетические механизмы, лежащие в основе заболеваний печени, и вследствие этого замедление прогрессирования заболевания. Эти механизмы сложны и разнообразны, зависят от этиологии заболевания (вирусная, аутоиммунная, токсическая), однако все они характеризуются клеточным повреждением, сопровождающимся воспалительной реакцией, цитолизом и в конечном итоге развитием и прогрессированием фиброза. В таблице 1 представлены типичные синдромы заболеваний печени и механизмы, лежащие в их основе [2, 3].

Таблица 1- Патогенетические механизмы при заболеваниях печени

Основные клинические синдромы заболеваний печени

Патогенетический механизм

Синдром цитолиза

Разрушение гепатоцитов (некрозы и дистрофия)

Синдром холестаза

Внеклеточный - нарушение продвижения желчи в виде застоя в желчных протоках. Внутриклеточный - ультрастрктурные изменения гепатоцита, накопление компонентов желчи в гепатоците

Мезенхимально-воспалительный синдром

Внутрипеченочные и системные изменения показателей клеточных и гуморальных иммунных реакций

Синдром печеночно-клеточной недостаточности

Снижение антитоксических и синтетических функций гепатоцитов

Фиброзообразование

Замещение гепатоцитов рубцовой соединительной тканью вплоть до развития цирроза печени

 

К сожалению, точные механизмы действия гепатопротекторов изучены недостаточно и в большинстве случаев являются лишь предполагаемыми, что обусловливает сложности в определении показаний к их применению. Также данные по клинической эффективности гепатопротекторов при различных формах поражения печени характеризуются противоречием [3, 4].

.2 Классификация гепатопротекторов и структурные формулы веществ для каждого класса

Единой классификации препаратов группы гепатопротекторов не существует. Наиболее часто их классифицируют в зависимости от происхождения и, соответственно, химического состава:

препараты растительного происхождения

препараты животного происхождения

препараты, содержащие эссенциальные фосфолипиды (ЭФЛ)

препараты, содержащие аминокислоты

препараты, производные дезоксихолевой кислоты [3-5].

Таблица 2 - Структурные формулы веществ различных классов гепатопротекторов

Класс соединений

Структурная формула

Растительного происхождения

 Силикристин  Силибинин

Аминокислоты и их производные

Эссенциальные фосфолипиды

 Фосфолипиды

Производные дезоксихолиевой кислоты

  Дезоксихолевая кислота  Урсодезоксихолиевая кислота



1.3 Возможные формы выпуска, состав и торговые наименования ЛС

Гепатопротекторы растительного происхождения содержат в своем составе экстракт (смесь флавоноидов) расторопши пятнистой, основным компонентом которого является силимарин. Силимарин представляет собой смесь изомерных соединений - силибинина, силикристина и силидианина, основной компонент - силибин [4].

Формы выпуска: таблетки (силимар); драже (карсил, лепротек); капсулы (легалон, гепабене, карсил форм); субстанция-порошок (силимарин);

Торговые наименования ЛС: легалон, лепротек, силимарин, силимар, карсил, карсил форм, гепабене, силибор [6-8].

Гепатопротекторы животного происхождения представляют собой гидролизаты экстракта печени крупного рогатого скота, содержащие цианокобаламин, аминокислоты, низкомолекулярные метаболиты и фрагменты ростовых факторов печени [5].

Формы выпуска: раствор для инъекций.

Торговые наименования ЛС: сирепар [6-8].

Гепатопротекторы производные аминокислот содержат в своем составе аминокислоты и их производные (метионин, орнитин, адеметионин).

Формы выпуска: таблетки, покрытые оболочкой (гептор, гептрал, метионин); гранулы для приготовления раствора внутрь (гепа-мерц); субстанция-порошок (L-метионин, D,L-метионин, метионин); концетрат для приготовления раствора для инфузий (гепа-мерц, орнилатекс).

Торговые наименования ЛС: содержащие метионин (L-метионин, D,L-метионин, метионин), содержащие орнитин (орнилатекс, гепа-мерц), содержащие адеметионин (гептор, гептрал) [6-8].

Гепатопротекторы, содержащие эссенциальные фосфолипиды (то есть «сущностные» - от слова «сущность, суть») имеют в своем составе фосфолипиды способные восполнять дефицит фософолипидов клеточной стенки гепатоцитов [2].

Формы выпуска: капсулы

Торговые наименования ЛС: антралив, бренциале форте, ливолайф форте, липоид, резалют про, фосфонциале, эссенциале [6-8].

Гепатопротекоры производные дезоксихолевой кислоты представляют собой ЛС, содержащие в качестве действующего вещества урсодезоксихолевую кислоту.

Формы выпуска: капсулы (гринтерол, урсодезоксихолевая кислота, урдокса, урсором ромфарм, урсосан, холудексан, эксхол, урсолив, урсофальк, урсодез); таблетки (ливодекса); таблетки, покрытые оболочкой (урсодекс); суспензия для приема внутрь (урсофальк); порошок-субстанция (урсодезоксихолевая кислота).

Торговые наименования ЛС: гринтерол, ливодекса, урдокса, урсодекс, урсолив, урсором, ромфарм, урсосан, урсофальк, холудексан, эксхол, урсодезоксихолевая кислота [6-8].

.4 Фармококинетика, лекарственное взаимодействие с ЛС из другой фармакологической группы, связь между структурой и фармакологической активностью

.4.1 Гепатопротекторы растительного происхождения

Связь между структурой и фармакологической активностью:

Гепатопротекторы растительного происхождения содержат в своем составе экстракт плодов расторопши пятнистой. Они являются наиболее изученными и широко используемыми, что в значительной степени связано с большим спектром действия этой группы препаратов, доступностью их в ценовом отношении, минимальным количеством побочных эффектов. Основным действующим веществом является силимарин. Он взаимодействует со свободными радикалами, переводя их в менее токсичные соединения. Прерывая процесс перекисного окисления липидов, препятствует дальнейшему разрушению клеточных структур. В поврежденных гепатоцитах стимулирует синтез структурных и функциональных белков и фосфолипидов (за счет специфической стимуляции РНК-полимеразы А), стабилизирует клеточные мембраны, предотвращает потерю компонентов клетки, ускоряет регенерацию гепатоцитов. Замедляет проникновение в клетку некоторых гепатотоксических веществ, в частности ядов бледной поганки - α-аманитина и фаллоидина (рисунок 1) [2, 4, 9].

Рисунок 1 - Основные механизмы действия силимарина

Также силимарин блокирует фосфодиэстеразу, что способствует замедлению распада циклического аденозинмонофосфата (цАМФ), и, как следствие, понижению содержания кальция внутри клеток, угнетению кальций - зависимого процесса активации фосфолипаз. Имеются данные о замедлении темпов прогрессирования фиброза печени на фоне длительного приема силимарина [9].

Фармококинетика: Силимарин медленно всасывается из пищеварительного тракта (период полуабсорбции - 2,2 часа). Метаболизируется в печени путем деконъюгации, затем реабсорбируется и включается в энтерогепатическую циркуляцию, в связи с чем концентрация препарата в плазме не достигает высоких значений. Экскретируется преимущественно с желчью (80%) в форме глюкоуронидов и сульфатов, в незначительной степени - с мочой. T1/2 - 6,3 часа. Не кумулирует. После многократного приема достигается стабильный уровень выделения с желчью [4].

Лекарственное взаимодействие с ЛС из других фармакологических групп не описано [4].

.4.2 Гепатопротекторы, содержащие эссенциальные фосфолипиды

Связь между структурой и фармакологической активностью:

Эссенциальные фосфолипиды играют важную роль в формировании структуры клеточных мембран. Для понимания механизма их действия следует учитывать, что все клеточные мембраны имеют типичное строение и в среднем на 2/3 состоят из фосфолипидов, 80-90% которых представлены фосфатидилхолином. Помимо структурной функции фосфолипиды участвуют в процессах молекулярного транспорта, делении и дифференцировке клетки, стимулируют активность различных ферментативных систем. Различные патогенные факторы, особенно этанол и гепатотоксические вещества, вызывают повреждение цитоплазматической и митохондриальных мембран гепатоцитов, что закономерно ведет к нарушению внутриклеточного метаболизма и гибели клетки. Предполагаемым механизмом воздействия ЭФЛ является восполнение дефицита фосфолипидов клеточной стенки, стабилизация мембран гепатоцитов и уменьшение цитолиза. Кроме того, предполагается антиоксидантный эффект за счет участия фосфолипидов в реакциях перикосного окисления липидов (рисунок 2) [2, 4].

Рисунок 2 - Основные механизмы действия эссенциальных фосфолипидов

В России и Беларуси ЭФЛ применяются часто, хотя в Европейском Союзе и США они не используются в клинической практике, поскольку рандомизированные плацебо-контролируемые клинические исследования, в частности Veterans Affairs cooperative study, проведенное в 2003 году и включавшее 789 больных с алкогольных и смешанной этиологией гепатитов, не выявило никаких положительных влияний данных препаратов на функцию печени по сравнению с плацебо. Более того, было установлено, что при острых и хронических вирусных гепатитах он противопоказан, так как может способствовать усилению холестатического синдрома и увеличению цитолиза [2, 4, 10].

Фармакокинетика (на примере эссенциале форте Н): Более 90% принятых внутрь фосфолипидов всасывается в тонком кишечнике. Большая часть их расщепляется фосфолипазой А до 1-ацил-лизофосфатидилхолина, 50% которого немедленно подвергается обратному ацетилированию в полиненасыщенный фосфатидилхолин еще в ходе процесса всасывания в слизистой оболочке кишечника. Этот полиненасыщенный фосфатидилхолин с током лимфы попадает в кровь и оттуда, главным образом в связанном с ЛПВП виде, поступает в печень. Исследования фармакокинетики у людей проводились с помощью дилинолеил-фосфатидилхолина с радиоактивной меткой (3Н и 14С). Холиновая часть была мечена 3Н, а остаток линолевой кислоты имел в качестве метки 14С. Cmax 3Н достигается через 6-24 ч после введения и составляет 19,9% от назначенной дозы. T1/2холинового компонента составляет 66 ч.Cmax 14С достигается через 4-12 ч после введения и составляет до 27,9% от назначенной дозы.T1/2 этого компонента составляет 32 ч. В кале обнаруживается 2% от введенной дозы 3Н и 4,5% от введенной дозы 14С, в моче - 6% от3Н и лишь минимальное количество 14С. Оба изотопа более чем на 90% всасываются в кишечнике [11].

Лекарственное взаимодействие с ЛС из других фармакологических групп не описано [4].

.4.3 Гепатопротекторы, содержащие аминокислоты и их производные

Связь между структурой и фармакологической активностью:

Наиболее широко из гепатопротекторов этой группы используется ЛС, содержащие адеметионин. Адеметионин (химическое название - S-аденозил-L-метионин) - природное вещество эндогенно синтезируемое из метионина и аденозина. Это кофермент, принимающий участие в реакциях переноса метильных групп. Адеметионин образуется из АТФ и метионина ферментом метионин аденозилтрансферозой. В клетке участвует в таких метаболических путях, как трансметилирование, транссульфирование и аминопропилилирование. И хотя эти анаболические реакции идут во многих тканях организма, большая часть адеметионина образуется в печени. Более 40 метаболических реакций требуют переноса метильной группы от S-аденозил-L-метионина на такие субстраты, как нуклеиновые кислоты, белки и липиды. Реакции трансметилирования являются важным этапом синтеза эндогенных фосфолипидов. Нарушение транссульфирования приводит к дефициту глутатиона - важнейшего клеточного антиоксиданта. Недостаток глутатиона снижает устойчивость гепатоцитов к повреждающему действию свободных радикалов. Помимо этого, адеметионин служит предшественником и других тиоловых соединений. Синтез полиаминов имеет непосредственное отношение к процессам пролиферации гепатоцнитов и регенерации печени (рисунок 3) [2, 4, 12].

Рисунок 3 - Механизмы действия адеметионина

Рандомизированных плацебо-контролируемых исследований, подтверждающих эффективность адеметионина при заболеваниях печени до настоящего времени не проведено. Экспериментальные и клинические данные свидетельствуют об антиоксидантном и детоксицирующем действии адеметионина, а также об ускорении под его влиянием регенерации печеночной ткани и замедлении развития фиброза. Кроме гепатопротекторных свойств, адеметионин обладает также антидепрессивным эффектом, механизм которого остается неясным [2, 12].

Фармокинетика: при приеме внутрь 400 мг однократно Cmax 0,7 мг/дл. Время достижения Cmax 2-6 часа. Биодоступность при приеме внутрь 5%, при введении внутримышечно - 95%. Связь с белками плазмы крови незначительная, проникает через ГЭБ. Независимо от пути введения, отмечается значительное увеличение концентрации адеметионина в спинномозговой жидкости. Метаболизируется в печени. T1/2 -1,5 часа, экскретируется почками. Некоторые показатели фармакокинетики представлены в таблице 3 [4].

Таблица 3 - Некоторые показатели фармакокинетики адеметионина

Cmax

0,7 мг/дл

Tmax

2-6 ч

Биодоступность при приеме внутрь

5%

Биодоступность при введении в/м

95%

T1/2

1,5 ч

Экскреция с мочой

~100 %


Лекарственное взаимодействие с ЛС из других фармакологических групп не описано [4].

.4.4 Гепатопротекторы производные дезоксихолевой кислоты

Связь между структурой и фармакологической активностью:

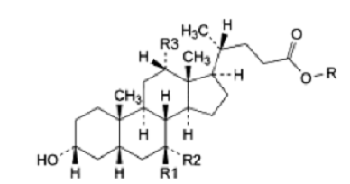
Препараты данного класса в качестве действующего вещества содержат урсодезоксихолевую кислоту (УДХК). УДХК - гидрофильная, нетоксичная, третичная желчная кислота. На фоне приема препарата уменьшается энтерогепатическая циркуляция гидрофобных желчных кислот, предупреждается их токсический эффект на мембраны гепатоцитов и эпителий желчных протоков. Все механизмы действия УДХК сложны и на сегодняшний день окончательно не изучены. Наиболее понятными представляются цитопротективный и холеретический эффекты вследствие вытеснения пула токсических гидрофобных желчных кислот. Как было недавно установлено, цитопротективное влияние на клетки билиарного эпителия реализуется через предотвращение выхода цитохрома С из митохондрий что в свою очередь блокируют активацию каспаз и апаптоз холангиоцитов. Помимо этого, УДХК обладает иммуностимулирующим действием, уменьшая экспрессию молекул HLA I и II классах на клетках билиарного эпителия и снижая продукцию противоспалительных цитокинов. УДХК снижает насыщенность желчи холестерином за счет угнетения его абсорбции в кишечнике, подавления синтеза в печени и уменьшения секреции в желчь; повышает растворимость холестерина в желчи посредством образования с ним жидких кристаллов; снижает литогенный индекс желчи, увеличивая содержание в ней желчных кислот [2].

Разнообразные механизмы действия обуславливают многообразие показаний к назначению УДХК. При первичном билиарном циррозе УДХК является основным препаратом выбора, не только улучшающим клинические, биохимические и гистологические показатели, но и увеличивающим продолжительность жизни, что продемонстрировано в многочисленных клинических исследованиях [2].

Рисунок 4 - Механизмы действия УДХК

Фармакокинетика: Урсодезоксихолевая кислота абсорбируется в тощей кишке за счет пассивной диффузии (около 90%), а в подвздошной кишке посредством активного транспорта. Сmax при приеме внутрь 500 мг через 30, 60, 90 мин составляет 3,8 ммоль/л, 5,5 ммоль/л и 3,7 ммоль/л соответственно. Сmax достигается через 1-3 ч. Связь с белками плазмы крови высокая - до 96-99%. Проникает через гематоплацентарный барьер. При систематическом приеме урсодезоксихолевая кислота составляет около 48% от общего количества всех желчных кислот в сыворотке крови, что соответствует 40-60% концентрации урсодезоксихолевой кислоты в составе желчи (при дозировке 10-14 мг/кг веса тела). Терапевтический эффект препарата намного больше зависит от концентрации урсодезоксихолевой кислоты в желчи, чем в сыворотке крови. Метаболизируется в печени (клиренс при «первичном прохождении» через печень) в тауриновый и глициновый конъюгаты. Образующиеся конъюгаты секретируются в желчь. Около 50-70% общей дозы препарата выводится с желчью. Незначительное количество невсосавшейся урсодезоксихолевой кислоты поступает в толстый кишечник, где подвергается расщеплению бактериями (7-дегидроксилирование); образующаяся литохолевая кислота частично всасывается из толстого кишечника, но сульфатируется в печени и быстро выводится в виде сульфолитохолилглицинового или сульфолитохолилтауринового конъюгата [6-8].

Лекарственное взаимодействие с ЛС из других фармакологических групп: антациды, содержащие алюминия гидроксид или смектит <#"878890.files/image012.gif">

Рисунок 5 - Инфракрасный спектр пропускания ФСО DL-метионина

Как видно, исходя из данных таблицы 5, методики контроля качества и числовые показатели практически идентичны. Различия наблюдаются в контроле качества метионина и DL-метионина. В частности, отсутствие таких испытаний на DL-метионин как удельное оптическое вращение, определение содержания солей аммония и железа, различия в идентификации и числовых показателей содержания примесей (тяжелые металлы и сульфаты). Также следует отметить, что только в ГФ РБ присутствуют испытания на остаточные количества органических растворителей и микробиологическую чистоту. Количественные определения полностью идентичны.

.2 Урсодезоксихолевая кислота

Не смотря на то, что данная субстанция широко используется в составе гепатопротекторных средств, в ГФ РБ урсодезоксихолевая кислота не включена. В таблице 5 будет представлен сравнительный анализ методик контроля качества и числовые показатели на основе Британской и Европейской фармакопей.

Определение: Урсодезоксихолевая кислота содержит не менее 99,0% и не более 101,0% 3α,7β-дигидрокси-5βхолан-24-новой кислоты в пересчете на сухое вещество.

Физические свойства: Белый или почти белый порошок, практически нерастворим в воде, хорошо растворим в этаноле, плохо растворим в ацетоне, практически нерасвторим в метилен хлориде [14, 15].

Таблица 5 - Сравнение методик контроля качества различных фармакопей [14, 15]

Показатель

ЕФ

БФ

Идентификация

Подлинность

Первая идентификация: А Вторая идентификация: В,С.

Первая идентификация: А Вторая идентификация: В,С.

А

Абсорционная инфракрасная спектрофотометрия. Сравнение со спектром (рисунок 6)

Абсорционная инфракрасная спектрофотометрия. Сравнение со спектром (рисунок 6)

В

Просматривают хроматограммы, полученные в испытании «Сопутствующие примеси».На хроматограмме испытуемого раствора обнаруживается пятно соответствующие пятну раствора сравнения

Просматривают хроматограммы, полученные в испытании «Сопутствующие примеси».На хроматограмме испытуемого раствора обнаруживается пятно соответствующие пятну раствора сравнения

С

Образец растворяют в серной кислоте, добавляют формальдегид дают постоять 5 минут. Добавляют воду, наблюдается зеленовато-синее окрашивание.

Образец растворяют в серной кислоте, добавляют формальдегид дают постоять 5 минут. Добавляют воду, наблюдается зеленовато-синее окрашивание.

Испытания

Удельное оптическое вращение

 От +58,0 до +62,0 в пересчете на сухую субстанцию.

От +58,0 до +62,0 в пересчете на сухую субстанцию.

Сопутствующие примеси

Жидкостная хроматография.

Жидкостная хроматография.

Тяжелые металлы

Не более 0,002% (20 ppm).

Не более 0,002% (20 ppm).

Потеря в массе при высушивании

Не более 0,1%. 1,000г образца сушат при температуре 105° C.

Не более 0,1%. 1,000г образца сушат при температуре 105° C.

Сульфатная зола

Не более 0,1%. Испытание проводят из 1,0 г образца.

Не более 0,1%. Испытание проводят из 1,0 г образца.

Количественное определение

Вид титрования

Прямое алкалиметрическое титрование

Прямое алкалиметрическое титрование

Среда

Смесь этанола и воды

Смесь этанола и воды

Титрант

0,1 М раствор гидроксида натрия

0,1 М раствор гидроксида натрия

Индикатор

Фенолфталеин

Фенолфталеин

Расчеты

1 мл 0,1М раствора гидроксида натрия соотвесвует 39,26мг 3α,7β-дигидрокси-5βхолан-24-новой кислоты.

1 мл 0,1М раствора гидроксида натрия соотвесвует 39,26мг 3α,7β-дигидрокси-5βхолан-24-новой кислоты.


+ Испытания на специфицированные примеси: А, С.

Другие обнаруживаемые примеси (следующие вещества, если они присутствуют в значительных количествах, следует определить тем или иным испытанием, описанным в частной статье. Их содержание лимитируется общим критерием приемлемости для других/неспецифицированных примесей и/или общей статьей. Субстанции для фармацевтического использования. Вследствие этого нет необходимости идентифицировать эти примеси для доказательства соответствия требованиям).

Рисунок 6.1 - Химические формулы примесей урсодезоксихолевой кислоты

Рисунок 6 - Инфракрасный спектр пропускания ФСО урсодезоксихолевой кислоты

Исходя из полученной таблицы можно сделать вывод, что методики контроля качества и числовые показатели урсодезоксихолевой кислоты в фармакопиях ЕФ и БФ полностью идентичны.

ЗАКЛЮЧЕНИЕ

Таким образом, на основании изученных в ходе написания курсовой работы источников, можно сделать следующие выводы:

основными патологиями печени являются синдром цитолиза, синдром холестаза, мезенхимально-воспалительный синдром, синдром печеночной недостаточности и фиборозообразование.

точные механизмы действия гепатопротекторов изучены недостаточно и в большинстве случаев являются лишь предполагаемыми, что обусловливает сложности в определении показаний к их применению.

данные по клинической эффективности гепатопротекторов при различных формах поражения печени характеризуются противоречием.

наиболее распространенными гепатопротекторами в медицинской практике являются ЛС растительного происхождения, ЛС, содержащие аминокислоты и их производные, ЛС, содержащие ЭФЛ и ЛС, имеющие в составе УДХК.

в ГФ РБ включена только одна субстанция, обладающая гепатопротекорным действием (DL-метионин).

ГФ РБ и ЕФ предлагают одинаковые методики на идентификацию, испытания и количественное определение DL-метионина, исключение составляют национальные дополнительные испытания (#): микробиологическая чистота, остаточные количества органических растворителей.

БФ и ГФ РК имеют абсолютно идентичные методики контроля качества метионина; методики контроля качества УДХК, описанные в БФ и ЕФ также идентичны.

СПИСОК ИСПОЛЬЗОВАННЫХ ИСТОЧНИКОВ

Всемирная организация здравоохранения: ВОЗ [Электронный доступ]. - Режим доступа: http://www.who.int/en/. - Дата доступа: 20.04.2015.

Аляутдин, Р.Н.-Фармакология - 4-е издание, переработанное и дополненное -ГЭОТАР-Медиа, 2010 - 832 с.

Рациональная фармакотерапия заболеваний органов пищеварения: Рук. Для практикующих врачей / В.Т. Ивашкин, Т.Л. Лапина и др.; Под общей ред. В.Т. Ивашкина. - М.: Литтерра, 2003. - 1046 с.

Абдуева, Ф.М, Бычкова О.Ю, Бондаренко, И.А. Терапевтическая фармакология: Практическое пособие для студентов и врачей. - Х.: ХНУ имени В.Н.Каразина, 2011. - 483 с.

Справочник лекарственных препаратов Видаль [Электронный ресурс]. - Режим доступа: http://vidal.ru. - Дата доступа: 15.04.2015.

Справочник лекарственных препаратов Видаль. Описание лекарственных средств [Электронный ресурс]. - Режим доступа: http://www.vidal.by. - Дата доступа: 15.04.2015.

Регистр лекарственных средств России [Электронный ресурс]. - Режим доступа: http:// www.rlsnet.ru. - Дата доступа: 21.04.2015.

Журнал «Провизор» [Электронный ресурс]. - Режим доступа: <http://www.provisor.com.ua/>. - Дата доступа: 09.05.2015.

Lieber CS, Weiss DG, Groszmann R et al. II. Veterans Affairs Cooperative Study of polyenylphosphatidyclonine in alcoholic liver disease // Alcohol Clin Exp Res 2003; 1765-72.

Справочник лекарств [Электронный доступ]. - Режим доступа http://piluli.kharkov.ua/. - Дата доступа: 05.05.2015.

Mato J.M., Camara J., Fernandez de Paz J. et al. S-adenosylmethionin in alcoholic liver cirrhosis: a randomized, placebo-controlled, double-blind, multicenter clinical trial. Hepatalogy, 1999. - p. 1081-1089.

Государственная фармакопея Республики Беларусь. В 3 т. Т. 3. Контроль качества фармацевтических субстанций / Центр экспертиз и испытаний в здравоохранении; под общ. ред. А.А. Шерякова.- Молодечно: «Типография «Победа», 2009.Pharmacopoeia 7th ed. / Council of Europe. - France: Strasbourg, 2011. 3310 p.Pharmacopoeia / British Pharmacopoeia Commision. - London, 2009. - 376p.

Государственная фармакопея Республики Казахстан. Т. 2. - Алматы: Издательский дом «Жибек жолы», 2009, 804с.

Похожие работы на - Фармацевтические субстанции гепатопротекторных средств

 

Не нашли материал для своей работы?
Поможем написать уникальную работу
Без плагиата!
Без нейросетей!