Разработка бизнес-плана предприятия, занимающегося выпуском сувенирной продукции

  • Вид работы:
    Курсовая работа (т)
  • Предмет:
    Менеджмент
  • Язык:
    Русский
    ,
    Формат файла:
    MS Word
    414,05 Кб
  • Опубликовано:
    2016-01-04
Вы можете узнать стоимость помощи в написании студенческой работы.
Помощь в написании работы, которую точно примут!

Разработка бизнес-плана предприятия, занимающегося выпуском сувенирной продукции














Разработка бизнес-плана предприятия, занимающегося выпуском сувенирной продукции

РЕФЕРАТ

Курсовая работа содержит 42 страниц, 18 таблиц, 8 рисунков и 19 литературных источников.

Ключевые слова: сувенирная продукция, ставка дисконтирования, инвестиционный план, переменные издержки, план производства, показатели эффективности, анализ безубыточности, метод Монте-Карло.

Целью данной работы является разработка бизнес-плана предприятия, занимающегося выпуском сувенирной продукции.

В ходе работы поставлены следующие задачи:

.        Рассмотреть цели, задачи и функции бизнес-плана;

.        Изучить методы оценки эффективности и степени риска инвестиционного проекта;

.        Разработать деловую ситуацию по созданию предприятия, занимающегося выпуском сувенирной продукции.

Актуальность данной работы обоснована тем, что в сложившейся на рынке ситуации, не имея тщательно проработанного и всесторонне проанализированного бизнес-плана, успешно работать невозможно.

В работе для разработки бизнес-плана использовалась программа Project Expert: программа для разработки бизнес-планов и анализа инвестиционных проектов.

После проведения необходимых вычислений были получены следующие основные результаты:

Срок окупаемости инвестиционного проекта составляет 30 месяца, что меньше всей продолжительности проекта. За всё время продолжительности проекта, он успеет окупиться, вернёт заёмные средства с процентами и начнёт приносить прибыль.

Для осуществления проекта потребуются заёмные средства в размере 935000 руб. При этом собственные средства предприятия составят 500000 руб.

Средняя норма рентабельности проекта составляет 73,92%, внутренняя норма рентабельности 69,57%, индекс прибыльности - 1,55.

Анализ степени риска с помощью метода Монте-Карло показал, что проект достаточно устойчив (72,1%) к изменению таких риск-факторов, как величина объёмов продаж продуктов и цен на материалы и комплектующие.

СОДЕРЖАНИЕ

Введение

Глава 1. Теоретические основы бизнес - планирования

.1 Цели, задачи и функции бизнес-плана

1.2 Структура и основные разделы бизнес-плана

Глава 2. Методы оценки эффективности и степени риска инвестиционного проекта

2.1 Показатели оценки эффективности инвестиционного проекта

.1.1 Статические показатели оценки эффективности инвестиционного проекта

.1.2 Динамические показатели оценки эффективности инвестиционного проекта

.2 Методы оценки риска инвестиционного проекта

2.2.1 Анализ чувствительности инвестиционного проекта

.2.2 Анализ безубыточности степени риска инвестиционного проекта

.2.3 Статистический анализ степени риска инвестиционного проекта. Метод Монте-Карло

2.3 Аналитические системы, предназначенные для формирования бизнес-плана и анализа эффективности и степени риска инвестиционного проекта

.4 Описание и функциональные возможности аналитической системы Project Expert

Глава 3. Разработка бизнес-плана по созданию предприятия, занимающегося выпуском сувенирной продукции

3.1 Описание деловой ситуации по созданию предприятия, занимающегося выпуском сувенирной продукции с помощью аналитической системы Project Expert

3.2 Разработка бизнес-плана по созданию предприятия, занимающегося выпуском сувенирной продукции

3.3 Анализ эффективности и оценка степени рисков инвестиционного проекта по созданию предприятия, занимающегося выпуском сувенирной продукции

Заключение

Список использованных источников

Приложение 1

Приложение 2

Введение

Бизнес-план, ТЭО (технико-экономическое обоснование) - эти понятия прочно вошли в современную экономику. Бизнес-план - это не простая формальность, а жизненная необходимость финансового благополучия предприятия. При создании нового дела, расширении производства, реструктуризации бизнеса руководство предприятия (часто с помощью специалистов) проводит анализ бизнес-процессов, строит бизнес-прогнозы и т.д., т.е. разрабатывает бизнес-план или укороченный его вариант - технико-экономическое обоснование. Существует множество методик и компьютерных программ по составлению бизнес-плана.

Часто при разработке проекта по созданию или расширению действующего бизнеса процедура составления бизнес-плана является добровольной. Однако в российском законодательстве существует ряд направлений деятельности, при которых составление бизнес-плана является обязательным, т.е. бизнес-план как документ является одним из необходимых документов при получении лицензии, разрешений, квот и т.д. Кроме того, разработка бизнес-плана зачастую является обязательным условием при получении долгосрочного инвестиционного кредита.

Целью данной работы является разработка бизнес-плана предприятия, занимающегося выпуском сувенирной продукции.

В ходе работы поставлены следующие задачи:

.        Рассмотреть цели, задачи и функции бизнес-плана;

.        Изучить методы оценки эффективности и степени риска инвестиционного проекта;

.        Разработать деловую ситуацию по созданию предприятия, занимающегося выпуском сувенирной продукции.

Актуальность данной работы обоснована тем, что в сложившейся на рынке ситуации, не имея тщательно проработанного и всесторонне проанализированного бизнес-плана, успешно работать невозможно.

Глава 1. Теоретические основы бизнес - планирования

.1 Цели, задачи и функции бизнес-плана

Бизнес план - подробный, четко структурированный и тщательно подготовленный документ, описывающий цели и задачи, которые необходимо решить предприятию, способы достижения поставленных целей и технико-экономические показатели предприятия и/или проекта в результате их достижения [1].

Основной целью разработки бизнес-плана является планирование хозяйственной деятельности предприятия на ближайший и отдаленные периоды в соответствии с потребностями рынка и возможностями получения необходимых ресурсов.

Главная цель бизнес-плана - выработка стратегических решений путем рассмотрения предлагаемого объекта бизнеса с позиции маркетингового синтеза. Другие цели разработки бизнес-планов могут быть различными, например:

.        получение кредита в банке;

.        изменение формы собственности предприятия;

.        получение зарубежных инвестиций [2].

Следует отметить, что в настоящее в России первоочередной целью бизнес-планирования является привлечение для участия в проектах потенциальных инвесторов и партнеров.

Задача бизнес-плана - обоснование концепции предпринимательского предложения, технической возможности и экономической целесообразности бизнеса, характеризующегося набором количественных данных или параметров результата, определенного целью.

При этом учитываются условия получения наибольшего экономического эффекта на основе прогнозирования конъюнктуры рынка, разработки стратегии маркетинга, формирования финансовой, организационной политики при реализации проектного предложения, обоснования инвестиционной программы.

В современной практике бизнес-план выполняет пять функций.

Первая функция связана с возможностью его использования для разработки стратегии бизнеса. Эта функция жизненно необходима в период создания предприятия или при выработке новых направлений деятельности.

Вторая функция - планирование. Она позволяет оценить возможности развития нового направления деятельности, контролировать процессы внутри фирмы.

Третья функция позволяет привлекать извне денежные средства - ссуды, кредиты. В современных российских условиях без кредитных ресурсов практически невозможно осуществлять какой-либо значительный проект. Однако получить кредит непросто. Главная причина заключается не столько в проблеме высоких процентных ставок, сколько в возросшей невозвратности кредитов. В этой ситуации банки принимают целый комплекс мер по обеспечению возврата денежных средств, среди которых следует отметить требования банковских гарантий, реального залога и другие. Однако решающим фактором при предоставлении кредита является наличие тщательно проработанного бизнес-плана.

Четвертая функция позволяет привлечь к реализации планов предприятия потенциальных партнеров, которые пожелают вложить в производство собственный капитал или имеющиеся у них технологию. Решение вопроса о предоставлении капитала, ресурсов или технологии возможно лишь при наличии бизнес-плана, отражающего курс развития предприятия на определенный период времени.

Пятая функция позволяет путем вовлечения всех сотрудников в процесс составления бизнес-плана улучшить информированность всех сотрудников о предстоящих действиях, скоординировать их усилия, распределить обязанности, создать мотивацию достижения цели [3].

При практической реализации бизнес-планирования как процесса представляется важным соблюдение следующих принципов:

.        гибкости, предусматривающей постоянную адаптацию к изменениям среды, в которой функционирует данное предприятие;

.        непрерывности, предусматривающей «скользящий» характер планирования;

.        коммуникативности, под которой понимается координация и интеграция усилий (все должно быть взаимоувязано и взаимозаменяемо);

.        интерактивности, предусматривающей творческий характер планирования и неоднократность проработки уже составленных разделов плана;

.        многовариантности, предусматривающей выбор наилучшего из альтернативных возможностей поставленной цели;

.        участия, предполагающего важность самого процесса планирования с точки зрения вовлечения в него всех возможных участников будущей организации;

.        адекватности отражения реальных проблем и самооценка в процессе планирования [4].

1.2 Структура и основные разделы бизнес-плана

Типичный бизнес-план содержит 11 разделов.

.Резюме (аннотация) представляет собой сокращённую версию самого бизнес-плана, содержащую информацию о целях инвестиционного проекта, а так же общие выводы из всех последующих глав.

2. Описание товара/услуги. Здесь необходимо рассказать о том, какие товары или услуги планирует предоставлять предприятие, отметить, насколько изменчив спрос на продукт, доказать, почему этот товар необходим потребителю.

. Рынок сбыта. В этом разделе описывается целевой рынок, описывается его модель, рассматриваются основные тенденции. Так же здесь прописывается планируемый объём сбыта.

. Оценка конкурентов. Раздел логично вытекает из предыдущего и характеризует основных конкурентов в рамках выбранного целевого сегмента, их стратегию, преимущества и недостатки. Так же проводится SWOT-анализ.

. Стратегия маркетинга. Этот раздел предполагает формулировку маркетинговых целей и того, какие меры будут предприниматься для их достижения.

6. План производства. В этой главе описывается производственный процесс - начиная от помещений и заканчивая персоналом и оборудованием. По сути главной задачей этого раздела является наглядное доказательство того, что фирма в состоянии реально производить требуемое количество товара в заданные сроки и с соответствующим качеством.

. Организационный план. В этом разделе приводится список требуемых специалистов с указанием их квалификации и функций, описывается оргструктура фирмы.

. Юридический план. В этом разделе необходимо указать, кто будет являться учредителем организации, когда и где организация зарегистрирована (или будет зарегистрирована), а так же её юридический статус.

. Финансовый план. Содержит финансовые расчёты по предприятию. Особое внимание в этом разделе уделяется показателям рентабельности (срок окупаемости, простая и внутренняя ставка дохода и т.д.). Все расчёты выполняются на основе информации, приведённой в предыдущих главах [5].

10. Анализ рисков. В этом разделе описываются возможные риски, возникающие при реализации проекта и способы их снижения, если таковые имеются.

. Стратегия финансирования. В этой главе должна быть изложена суть инвестиционной политики предприятия, описано и обосновано сколько средств необходимо на реализацию проекта, из каких источников и т.д.[6].

Глава 2. Методы оценки эффективности и степени риска инвестиционного проекта

2.1 Показатели оценки эффективности инвестиционного проекта

Эффективность инвестиционного проекта характеризуется системой показателей, отражающих соотношение затрат и результатов в зависимости от интересов его участников. В первую очередь речь идёт об экономической эффективности, и она отражается в следующих показателях:

.Показатели коммерческой эффективности, учитывающие финансовые последствия реализации проекта для его непосредственных участников;

.Показатели бюджетной эффективности, отражающие финансовые последствия осуществления проекта для федерального, регионального или местного бюджетов;

.Показатели экономической эффективности, учитывающие результаты и затраты, связанные с реализацией инвестиционного проекта, выходящие за пределы прямых финансовых интересов участников проекта и допускающие стоимостное измерение [7]

Показатели, используемые в анализе инвестиционной деятельности, можно разделить на две группы, в зависимости от того, учитывается или нет временной параметр:

. Cтатические, в которых денежные потоки, возникающие в разные моменты времени, оцениваются как равноценные;

. Динамические, в которых денежные потоки, вызванные реализацией проекта, приводятся к эквивалентной основе посредством их дисконтирования, обеспечивая сопоставимость разновременных денежных потоков.

.1.1 Статические показатели оценки эффективности инвестиционного проекта

Наиболее распространенным статическим показателем оценки инвестиционных проектов является срок окупаемости (Payback Period, PP). Под данным показателем понимается период времени с начала реализации проекта до того момента, когда доходы от эксплуатации объекта становится равным первоначальным инвестициям, т.е. он даёт ответ на вопрос - когда произойдёт полный возврат вложенного капитала?

. Общая формула расчета показателя РР имеет вид:

,   (1)

где PР - период окупаемости;- величина первоначальных инвестиций.

А- размер аннуитета.

Аннуитет-это поток, в котором денежные поступления в каждом периоде остаются одинаковыми по величине.

Другим показателем статической финансовой оценки проекта является коэффициент эффективности инвестиций (Account Rate of Return или ARR). Данный коэффициент называют также учетной нормой прибыли или коэффициентом рентабельности проекта.

          (2)

где CFt - денежный поток от реализации инвестиций в момент времени t;или investments- средняя величина (величина) первоначальных вложений;количество периодов t [7].

.1.2 Динамические показатели оценки эффективности инвестиционного проекта

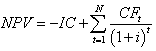
Чистый дисконтированный доход (ЧДД или NVP). Суть критерия состоит в сравнении текущей стоимости будущих денежных поступлений от реализации проекта с инвестиционными расходами, необходимыми для его реализации.

ЧДД или NPV для постоянной нормы дисконта и разовыми первоначальными инвестициями определяют по следующей формуле:

,   (3)

где NPV- читый приведённый доход;С- величина первоначальных инвестиций;Ft - денежный поток от реализации инвестиций в момент времени t;- шаг расчета (год, квартал, месяц и т. д.);- ставка дисконтирования;

N- количество периодов t (соответствует длительности инвестиционного потока).

Условия принятия инвестиционного решения на основе данного критерия сводятся к следующему:

если NPV > 0, то проект следует принять;

если NPV < 0, то проект принимать не следует;

если NPV = 0, то принятие проекта не принесет ни прибыли, ни убытка.

Индекс рентабельности - относительный показатель эффективности инвестиционного проекта и характеризует уровень доходов на единицу затрат, то есть эффективность вложений - чем больше значение этого показателя, тем выше отдача денежной единицы, инвестированной в данный проект. Данному показателю следует отдавать предпочтение при комплектовании портфеля инвестиций с целью максимизации суммарного значения NPV.

  (4)

где PI-индекс прибыльности;- инвестиции предприятия в момент времени.

Условия принятия проекта по данному инвестиционному критерию следующие:

если РI > 1, то проект следует принять;

если РI < 1, то проект следует отвергнуть;

если РI = 1, проект ни прибыльный, ни убыточный. Несложно заметить, что при оценке проектов, предусматривающих одинаковый объем первоначальных инвестиций, критерий PI полностью согласован с критерием NPV.

Под внутренней нормой рентабельности, или внутренней нормой прибыли, инвестиций (IRR) понимают значение ставки дисконтирования, при котором NPV проекта равен нулю:

= i, при котором NPV = f(i) = 0.

Экономический смысл этого показателя заключается в следующем: предприятие может принимать любые решения инвестиционного характера, уровень рентабельности которых не ниже текущего значения показателя СС (цены источника средств для данного проекта). Именно с ним сравнивается показатель IRR, рассчитанный для конкретного проекта, при этом связь между ними такова:

если IRR > СС, то проект следует принять;

если IRR < СС, то проект следует отвергнуть;

если IRR = СС, то проект ни прибыльный, ни убыточный.

Критерии NPV, IRR и PI, наиболее часто применяемые в инвестиционном анализе, являются фактически разными версиями одной и той же концепции, и поэтому их результаты связаны друг с другом.

Модифицированная ставка доходности (MIRR) позволяет устранить существенный недостаток внутренней нормы рентабельности проекта, который возникает в случае неоднократного оттока денежных средств. Основное отличие данного метода в том, что реинвестирование производится по безрисковой ставке, величина которой определяется на основе анализа финансового рынка.

Формула для расчета модифицированной внутренней нормы доходности (MIRR):

,  (5)

- приток денежных средств в периоде t;- отток денежных средств в периоде t (по абсолютной величине);- барьерная ставка (ставка дисконтирования), доли единицы;- уровень реинвестиций, доли единицы (процентная ставка, основанная на возможных доходах от реинвестиции полученных положительных денежных потоков или норма рентабельности реинвестиций);- число периодов [8].

.2 Методы оценки риска инвестиционного проекта

Для учета факторов риска при оценке эффективности проекта используется вся имеющаяся информация об условиях его реализации, в том числе и не выражающаяся в форме каких-либо вероятностных законов распределения. При этом могут использоваться следующие два вида методов:

методы качественной оценки рисков

методы количественной оценки рисков

Методика качественной оценки рисков проекта должна привести аналитика исследователя к количественному результату, к стоимостной оценке выявленных рисков, их негативных последствий и “стабилизационных” мероприятий [9].

Экспертный метод представляет собой обработку оценок экспертов по каждому виду рисков и определение интегрального уровня риска.

Его разновидностью является:

Метод Делфи - метод, при котором эксперты лишены возможности обсуждать ответы совместно, учитывать мнение лидера. Этот метод позволяет повышать уровень объективности экспертных оценок.

Метод анализа уместности затрат ориентирован на выявление потенциальных зон риска и используется лицом, принимающим решение об инвестировании средств, для минимизации риска, угрожающего капиталу [10].

Метод аналогий - этот метод предполагает анализ аналитических проектов для выявления потенциального риска оцениваемого проекта.

Методы количественной оценки предполагают численное определение величины риска инвестиционного проекта. Они включают:

определение предельного уровня устойчивости проекта;

анализ чувствительности проекта;

анализ сценариев развития проекта;

имитационное моделирование рисков по методу Монте-Карло [11].

2.2.1 Анализ чувствительности инвестиционного проекта

Анализ чувствительности (уязвимости) заключается в оценке влияния изменения исходных параметров проекта на его конечные характеристики, в качестве которых, обычно, используется внутренняя норма прибыли или NPV. Техника проведения анализа чувствительности состоит в изменении выбранных параметров в определенных пределах, при условии, что остальные параметры остаются неизменными. Чем больше диапазон вариации параметров, при котором NPV или норма прибыли остается положительной величиной, тем устойчивее проект.

Анализ чувствительности проекта позволяет оценить, как изменяются результирующие показатели реализации проекта при различных значениях заданных переменных, необходимых для расчета. Этот вид анализа позволяет определить наиболее критические переменные, которые в наибольшей степени могут повлиять на осуществимость и эффективность проекта.

При относительном анализе чувствительности сравнивается относительное влияние исходных переменных (при их изменении на фиксированную величину, например, на 10%) на результирующие показатели проекта. Этот анализ позволяет определить наиболее существенные для проекта исходные переменные; их изменение должно контролироваться в первую очередь.

Абсолютный анализ чувствительности позволяет определить численное отклонение результирующих показателей при изменении значений исходных переменных. Значения переменных, соответствующие нулевым значениям результирующих показателей, соответствуют рассмотренным выше показателям предельного уровня [12].

2.2.2 Анализ безубыточности степени риска инвестиционного проекта

Анализ безубыточности является неотъемлемой частью инвестиционного проектирования.

Сущность анализа безубыточности заключается в том, чтобы выявить точку безубыточности. Под ней понимается такая ситуация, при которой доходы от реализации продукции равны затратам на ее изготовление, т.е. прибыль равна нулю. Определение точки безубыточности является одним из ориентиров в оценке риска инвестиционных расходов. Чем больше значение выпуска продукции в точке безубыточности, тем выше риск реализации ИП, т.к. необходимо больше изготовить и реализовать продукции для обеспечения необходимого уровня рентабельности.

Выручка от реализации продукции выражается следующей формулой:

ВР = Цi * Х;                          (6)

где ВР - выручка от реализации определенного количества товаров в точке безубыточности;

Цi - договорная цена единицы продукции;

Х - количество единиц реализованной продукции в точке безубыточности.

Производственные затраты (себестоимость продукции) рассчитывают по формуле:

С = Ипi * Х + Сп;                                                                (7)

где Ипi - переменные затраты на единицу конкретного вида продукции;

Сп - постоянные затраты, отнесенные на проданную продукцию.

Учитывая, что в точке безубыточности затраты на изготовление продукции равны выручке от ее продажи, взаимосвязь между вышеприведенными формулами можно записать следующим образом:

Цi * Х = Ипi * Х + Сп

;                             (8)

Таким образом, точка безубыточности служит порогом между убыточностью и прибыльностью ИП, и, естественно, надо стремиться к ее быстрейшему достижению [13].

2.2.3 Статистический анализ степени риска инвестиционного проекта. Метод Монте-Карло

При разработке и экспертизе инвестиционного проекта вопрос о его эффективности решается на основе анализа значений различных интегральных показателей - NPV, IRR, РВ, PI и т.д. Но все расчеты проводятся для базового варианта инвестиционного проекта, реализация которого, по мнению разработчиков, наиболее правдоподобна. [14].

Первым этапом в процессе риск-анализа является создание математической модели. Так как для проведения собственно имитационного моделирования по методу Монте-Карло применяется компьютерная программа, самым главным процессом в имитационном моделировании является именно формулировка модели проекта.

Основная логика процедуры построения модели состоит в следующем: определение переменных, которые включаются в модель; определение типа распределения, которому эти переменные подвержены; определение взаимозависимости).

Соблюдение такой процедуры необходимо для создания модели, которая будет выглядеть следующим образом:

NPV =f(x1,..., хi,..., xn; a1,..., aj,..., am),                                       (9)

где хi - риск-переменные (составляющие денежного потока, являющиеся случайными величинами);- число риск-переменных;- фиксированные параметры модели, т.е, те составляющие денежного потока, которые в результате предыдущего анализа были определены как независимые или малозависимые от внешней среды и поэтому рассматриваются как детерминированные величины;- количество параметров модели.

Закон распределения задает вероятность выбора значений в рамках определенного диапазона. Стандартные инвестиционные расчеты используют один вид распределения вероятностей для всех проектных переменных, включенных в расчетную модель - детерминированное распределение, когда конкретное единственное значение переменной выбирается с вероятностью, равной единице (р = 1). Следовательно, базовая модель инвестиционного проекта может рассматриваться как детерминированный анализ и частный случай имитационной модели для детерминированных риск-переменных [15].

.3 Аналитические системы, предназначенные для формирования бизнес-плана и анализа эффективности и степени риска инвестиционного проекта

На сегодняшний день на российском рынке существует порядка десяти аналитических систем, призванных помочь в выборе наиболее привлекательного инвестиционного проекта (см.табл.1).

Как видно из таблицы, аналитическая система Project Expert обладает одним из самых широких спектров решаемых задач. С её помощью возможно моделирование деятельности разных масштабов, начиная от небольших компаний и заканчивая холдингами.

бизнес планирование инвестиционный проект project

Таблица 1

Аналитические системы, предназначенные для формирования бизнес-плана и анализа эффективности и степени риска инвестиционного проекта

Фирма-разрабротчик

Программный продукт

Задачи, решаемые системой

«Альт»

«Альт-Финансы»

Анализ финансово-хозяйственной деятельности предприятия по данным финансовой отчетности.

«Альт»

«Альт-Инвест»

Разработка финансового обоснования инвестиционного проекта, оценка эффективности инвестиций.

«Интеллект-Сервис»

«БЭСТ-Анализ»

Анализ товарооборота, закупок и цен для торговых организаций (дополняет программный комплекс БЭСТ 4.0).

«Интеллект-Сервис»

«БЭСТ-Маркетинг»

Анализ положения предприятия на рынке и конкурентов. Планирование маркетинговой деятельности.

ИНЭК

АФСП

Анализ финансового состояния предприятия по данным баланса и отчета о прибылях и убытках.

ИНЭК

«Аналитик»

Анализ производственно-финансовой деятельности предприятия. Разработка и анализ бизнес-плана. Оценка бизнеса.

ИНЭК

«Инвестор»

Модификация системы «Аналитик», дополненная возможностью разработки бизнес-планов для торговых организаций.

«Касатка»

«Касатка»

Разработка маркетинговой стратегии и тактики (более похожа на мультимедийный учебник, чем на аналитическую систему).

«Курс»

Marketing Analytic

Анализ маркетинговой деятельности. Оперативное и стратегическое планирование маркетинга.

«Expert Systems»

Audit Expert

Анализ финансово-хозяйственной деятельности предприятия по данным финансовой и управленческой отчетности. Большой выбор регламентированных методик анализа. Возможность реализации собственных аналитических методик. Переоценка статей баланса. Сравнительный анализ группы предприятий по финансовым показателям, построение рейтингов.

«Expert Systems»

Project Expert Holding

Инвестиционный анализ. Разработка бизнес-планов. Анализ сценариев развития предприятия. Оценка бизнеса. Анализ безубыточности. Оценка рисков. Версия PIC Holding предназначена для анализа инвестиционной деятельности холдинга.

«Expert Systems»

Invest Center

Мониторинг финансово-хозяйственной деятельности предприятий региона или холдинга. Многокритериальный отбор инвестиционных проектов. Формирование инвестиционного бюджета региона или холдинга. Управление инвестиционным бюджетом.

«Expert Systems»

Forecast Expert

Прогнозирование экономических показателей на основании статистических данных.

«Expert Systems»

Marketing Expert

Анализ прибыльности сегментов рынка и каналов сбыта. Анализ сильных и слабых сторон компании. Анализ портфеля продукции. Анализ стратегий. Разработка плана маркетинга.

РОФЭР

«Бизнес План PL»

Разработка бизнес-плана.

.4 Описание и функциональные возможности аналитической системы Project Expert

Аналитическая система Project Expert - программа позволяющая «прожить» планируемые инвестиционные решения без потери финансовых средств, предоставить необходимую финансовую отчётность потенциальным инвесторам и кредиторам, обосновать для них эффективность участия в проекте [16].

Эффективным, адекватным решаемым задачам методом является метод имитационного моделирования, основу которого составляет сценарный подход. Имитационные модели позволяют проигрывать различные варианты развития предприятия, состояния внешнего экономического окружения, планируемые инвестиционные проекты. Они дают возможность проверить различные идеи, гипотезы и предположения относительно развития бизнеса, проанализировать последствия их реализации. Деятельность предприятия в модели воспроизводится посредством описания движения денежных потоков (поступлений и выплат, Cash-Flow) как событий, происходящих в различные периоды времени.

Названные подходы положены в основу аналитической системы Project Expert, программы, базирующейся на методике оценки инвестиционных проектов UNIDO и ставшей стандартом де-факто в области бизнес-планирования и инвестиционного проектирования в странах СНГ и Балтии. Последовательно моделируя в системе планируемую деятельность нового или действующего предприятия и изменения в экономической среде, можно вести инвестиционное проектирование и финансовое планирование, создавать бизнес-планы, удовлетворяющие международным требованиям, а также оценивать эффективность реализации проектов. Project Expert позволяет проанализировать альтернативные варианты развития проекта и выбрать оптимальный путь развития предприятия, определить потребность предприятия в денежных средствах, подобрать оптимальную схему финансирования и условия кредитования, оценить запас прочности бизнеса, эффективность вложений для всех участников проекта, выбрать варианты производства, закупок и сбыта, а также вести контроль за реализацией проектов.

Работа с Project Expert на разных стадиях разработки, оценки и реализации инвестиционного проекта может быть описана в виде следующих основных шагов:

• построение финансовой модели компании и ее экономического окружения в рамках проекта ее развития;

• определение потребности в финансировании проекта во времени;

• разработка стратегии финансирования;

• анализ прогнозируемых финансовых результатов инвестиционного проекта;

• бизнес планирование и создание бизнес плана - документа, содержащего текстовую часть, необходимые итоговые таблицы, графики и диаграммы;

• анализ данных о текущем состоянии инвестиционного проекта в процессе его реализации [17].

Глава 3. Разработка бизнес-плана по созданию предприятия, занимающегося выпуском сувенирной продукции

.1 Описание деловой ситуации по созданию предприятия, занимающегося выпуском сувенирной продукции с помощью аналитической системы Project Expert

Рассматривается проект создания предприятия, специализирующегося на выпуске сувенирной продукции. Предполагается производство следующих видов сувенирной продукции:

Керамические кружки;

Футболки;

Коврики для мыши;

Бейсболки;

Керамические тарелки.

Предприятие занимается нанесением на вышеперечисленные виды сувенирной продукции изображения, которые выбирают заказчик. Изображение переносится на объект с помощью термобумаги и термопресса. Учёт продукции целесообразно вести в штуках (см.табл.2).

Таблица 2

Список производимых продуктов

Наименование

Единицы измерения

Керамические кружки

шт.

Футболки

шт.

Коврики для мыши

шт.

Бейсболки

шт.

Керамические тарелки

шт.


Для печати предполагается использование универсального термопресса Max Armoured, который позволяет осуществлять печать как на керамических поверхностях, так и на тканях. Главным критерием при выборе печатной пресса была её многофункциональность, высокая скорость работы и экономичность. Для распечатки планируемых для нанесения изображений на термобумаге используется лазерное МФУ HP Color Laserjet.

Прочее оборудование представлено в табл. 3.

Дата начала проекта - 1.01.2013. Продолжительностью проекта - 3 года.

Таблица 3

Стоимость оборудования

№ п/п

Наименование оборудования

Кол-во

Цена (руб.)

Оборудование для производства

1.

Универсальный термопресс Max Armoured

1

43500

2.

Лазерное МФУ HP LaserJet Pro 100 Color MFP M175a

1

10800

Итого стоимость основного оборудования:

54300

Вспомогательное оборудование

3.

Стеллажи для хранения готовой продукции

2

750

4.

Стол компьютерный

2

6000

5.

Стул

4

600

6.

Компьютер

2

20000

Итого стоимость вспомогательной техники:

55900

Итого:

110200


Основная валюта для проведения расчётов - Рубли. В качестве второй валюты выбираем Евро.

Ставка дисконтирования (ставка сравнения, норма дохода) - это стоимость привлеченного капитала, т.е. ставка ожидаемого дохода, при котором владелец капитала согласен инвестировать. Доходность депозитов или других ценных бумаг, инфляция и другие подобные финансовые показатели являются только косвенными данными, на основе которых можно принимать решение о приемлемом для инвестора доходе на вложенный капитал [7]. Значение ставки дисконтирования зависят от текущей ставки рефинансирования, определяемым ЦБ РФ (на данный момент он составляет 8,25 %) [18], прогнозируемого уровня инфляции (6,3-6,4 %) [19] и возможности риска.

Величину ставки дисконтирования берём 23% для рубля, и 15% для евро. Курс евро берём в соответствии со ставкой ЦБ РФ 1 евро = 40,55 руб. [18].

В качестве основного источника денежных средств в начальный период планируется использовать собственный капитал, в размере 500000 руб.

Для того чтобы компенсировать дефицит наличных средств в период развития компании, планируется взять кредит в банке: ~ 2 млн. рублей. Условия подбора кредита с помощью программы Project Expert - период кредита с 1 по 20 месяц, при ежемесячном выплате процентов, по ставке 15%.

Для производства перечисленных выше продуктов необходимо оборудовать офисное помещение. Перечень необходимых для этого ресурсов и их характеристики приведены в табл. 4.

Таблица 4

Список ресурсов

 Наименование ресурса

 Тип ресурса

 Ед. изм.

Стоимость ед. изм. (руб.)

Универсальный термопресс Max Armoured

Оборудование

шт.

43500

Лазерное МФУ HP LaserJet Pro 100 Color MFP M175a

Оборудование

шт.

10800

Компьютер

Оборудование

шт.

20000

Стеллаж

Оборудование

шт.

750

Стол компьютерный

Оборудование

шт.

6000

Телефон

Оборудование

шт.

1000

Телефон-факс

Оборудование

шт.

2000

Услуги компьютерной организации

Услуги

усл.

7000

Услуги полиграфической организации

усл.

2000

Услуги рекламного агентства

Услуги

усл.

50000

Услуги ремонтной организации

Услуги

усл.

30000



Предполагается, что организация будет снимать помещение, ремонт которого будет проводить ремонтная организация. В услуги компьютерной организации включается установка компьютерной техники, телефонов и наладка компьютерных сетей. Затраты на установку термопресса включены в стоимость услуг полиграфической организации.

До начала производства продукции планируется провести ряд работ, перечень которых представлен в табл. 5.

Таблица 5

Перечень этапов и необходимых для их реализации ресурсов

Наименование этапа

Ресурсы

Кол-во ед. ресурса

Длительность этапа (в днях)

Актив

Ремонт помещения

Услуги ремонтной организации

1

10

Нет

Установка оборудования

Универсальный термопресс Max Armoured

1

10

Да


Лазерное МФУ HP LaserJet Pro 100 Color MFP M175a

1




Стол компьютерный

2




Стеллаж

2




Услуги полиграфической организации

1



Установка компьютеров и монтаж сети

Телефон

2

3

Да


Телефон-факс

1




Офисный компьютер

2




Услуги компьютерной организации

1



Производство [Керамическая кружка]

Производство [Футболка]

Производство [Коврик для мыши]

Производство [Бейсболка]

Производство [Керамическая тарелка]

Реклама

Услуги рекламного агентства

1

1000

Нет


Программа Project Expert имеет возможность настройки связей между этапами. Эта информация позволяет программе автоматически устанавливать даты начала и окончания этапов. Это особенно актуально, если этапы проходят параллельно друг другу. Перечень этапов с указанием предшествующим им стадий и типов связей приведен в табл.6. Для этапов, являющимися активами, необходимо учесть при расчетах дополнительные параметры, связанные с типом актива, начислением амортизации и т.д. (см. табл.7).

Таблица 6

Связи между этапами

Название этапа

Предшествующие стадии

Тип связи

Ремонт помещения

нет

нет

Установка оборудования

Ремонт помещения

конец-начало

Установка компьютеров и монтаж сети

Установка оборудования

конец-начало

Производство [Керамическая кружка]

Установка компьютеров и монтаж сети

конец-начало

Производство [Футболка]

Установка компьютеров и монтаж сети

конец-начало

Производство [Коврик для мыши]

Установка компьютеров и монтаж сети

конец-начало

Производство [Бейсболка]

Установка компьютеров и монтаж сети

конец-начало

Производство [Керамическая тарелка]

Установка компьютеров и монтаж сети

конец-начало

Реклама

Производство [Керамическая тарелка]

конец-начало


Таблица 7

Активы

Наименование этапа

Тип актива

Период амортизации (мес.)

Амортизация 1-го года (%)

Установка оборудования

Оборудование

50

20

Установка компьютеров и монтаж сети

Оборудование

72

20


Для производства сувенирной продукции используются керамические кружки и тарелки, футболки, бейсболки и коврики для мыши без нанесённого на них рисунка, и термобумага, с помощью которой изображения переносятся на перечисленные предметы. Цены на материалы, а также необходимые уровни страховых запасов материалов приведены в табл. 8.

Таблица 8

Материалы и комплектующие

Наименование материала или комплектующего

Единица измерения материала

Цена единицы измерения материала

Страховой запас (%)



(руб.)


Термобумага

лист

40

15

Керамическая кружка

шт.

30

10

Керамическая тарелка

шт.

50

10

Коврик для мыши

шт.

25

10

Футболка

шт.

80

10

Бейсболка

шт.

70

10

Издержки производства и себестоимость продуктов могут быть определены на основании норм расхода материалов и комплектующих на единицу каждого вида продукта. В табл. 8 приведены данные о расходе материалов, необходимых для изготовления единицы каждого вида продукции. Итоговую себестоимость на каждый вид продукции и отпускные цены можно увидеть в табл.10 и 11 соответственно.

Таблица 9

Продукты и необходимые для их производства материалы

Наименование продукта или услуги

Единица измерения продукта

Наименование материала или комплектующего

Расход материала на единицу продукта (в единицах измерения материала)

Потери (%)

 

Керамическая кружка

1 шт.

Термобумага А4

1

7


Керамическая кружка

1

5

Керамическая тарелка

1 шт.

Термобумага А4

1

7


Керамическая тарелка

1

5

Коврик для мыши

1 шт.

Термобумага А4

1

7


Коврик для мыши

1

5

Футболка

1 шт.

Термобумага А4

1

7


Футболка

1

5

Бейсболка

1 шт.

Термобумага А4

1

7


Бейсболка

1

5

Таблица 10

Издержки производства по видам продукции

Продукт

Издержки производства (руб./ед.)

Керамическая кружка

74,10

Керамическая тарелка

95,30

Футболка

126,80

Коврик для мыши

69,05

Бейсболка

116,30

Таблица 11

Отпускные цены по видам продукции

Продукт

Отпускные цены (руб./ед.)

Керамическая кружка

300,00

Керамическая тарелка

300,00

Футболка

350,00

Коврик для мыши

200,00

Бейсболка

450,00


Общие издержки, связанные с направлениями затрат “Управление” и “Производство”, представлены в табл. 12.

Издержки, связанные с выплатой заработной платы сотрудникам в различных областях деятельности компании, приведены в. табл. 13.

 

Таблица 12

Общие издержки

Наименование издержек

Сумма (в руб.)

Периодические выплаты

Общие издержки управления

Офисные расходы

10000

Ежемесячно

Общие издержки производства

Электроэнергия

10000

Ежемесячно

Аренда

50000

Ежемесячно



Таблица 13

Издержки по заработной плате

Должность

Количество

Сумма, руб.

Периодические выплаты

Сотрудники аппарата управления

Генеральный директор

1

60 000

Ежемесячно

Бухгалтер

1

 15 000

Ежемесячно

Сотрудники производства

Производственный персонал

2

45 000

Ежемесячно

Сотрудники службы маркетинга

Менеджер по работе с клиентами

2

25 000

Ежемесячно

Офис-менеджер

1

15 000

Ежемесячно


Издержки, связанные с выплатой налогов, рассчитываются с учетом основных налогов, представленных в табл.14. Никаких специальных налогов на выпуск сувенирной продукции в законодательстве РФ не предусматривается.

Таблица 14

Налоги

Наименование налога

Налогооблагаемая база

Периодичность выплат

Ставка (%)

Налог на прибыль

Прибыль

Квартал

20

НДС

Добавленная стоимость

Месяц

18

Налог на имущество

Имущество

Квартал

2,2

Социальные взносы

Зарплата

Месяц

30


Начало продаж всех видов продукции - 24 января 2013 года.

3.2 Разработка бизнес-плана по созданию предприятия, занимающегося выпуском сувенирной продукции

Для разработки бизнес-плана с помощью аналитической системы Project Expert требуется занести некоторые данные в программу. Сначала на основании таблицы 2 формируется список производимых продуктов, затем заносятся ресурсы, необходимые для начала функционирования предприятия (представлены в таблице 3). После, на основе данных таблиц 4 и 5, строится календарный план, включающий в себя такие стадии, как ремонт помещения, установка оборудования и установка компьютеров, и далее - производство всех видов продукции. В заключении предполагается проведение рекламной кампании (см.рис.П.1.1 в Приложении 1).

На основании данных таблиц 7 и 8 заполняется раздел «Материалы и комплектующие». После заполняется раздел «План производства», где прописывается расход каждого вида материалов и процентное количество потерь при производстве каждого вида продукции. При этом издержки на продукт каждого вида рассчитывается автоматически. Например, издержки на производство единицы продукции «Керамическая кружка» составит 74,10 руб. (см.рис.П.1.2 в Приложении 1). Остальные издержки представлены в табл. 9. Затем в программу вносятся отпускные цены на каждый вид продукции, представленные в табл.10

Затем в программу Project Expert вводятся данные, представленные в таблице 11, 12 и 13. С помощью этих данных соответственно формируются разделы «План по персоналу», «Общие издержки» и «Налоги».

План сбыта продукции приведён в табл.П.1.3 в Приложении 1.

Далее следуем в раздел «Кэш-фло», где формируется отчёт о движении денежных средств. Программа позволяет построить график, который наглядно показывает потребность предприятия в денежных средствах (см.рис.1).

Рисунок 1.График движения денежных средств

Очевидно, что в нашем случае существует определённый дефицит денежных средств.

С помощью программы Project Expert можно автоматически произвести подбор кредита. Мы берём кредит на 17 месяцев, с отсрочкой первой выплаты на 3 месяца и процентной ставкой 15%. В результате расчётов получена сумма 282053 руб. (см.рис.2)

Рисунок 2. Результат подбора кредита

При построении графика Кэш-фло после получения заёмного капитала видно, что предприятие начинает приносить прибыль на третий год существования (см.рис.3).

Рисунок 3.График наличия денежных средств после подбора кредита

3.3 Анализ эффективности и оценка степени рисков инвестиционного проекта по созданию предприятия, занимающегося выпуском сувенирной продукции

После того, как расчёты проведены, необходимо провести оценку эффективности инвестиций и оценить привлекательность проекта для потенциальных инвесторов. Показатели эффективности инвестиций приведены в таблице 15.

Таблица 15

Показатели экономической эффективности инвестиционного проекта

Наименование показателя

Рубли

Ставка дисконтирования, %

23,00

Период окупаемости - PB, мес.

27

Дисконтированный период окупаемости - DPB, мес.

29

Средняя норма рентабельности, - ARR, %

73.92

Чистый приведённый доход, - NPV

1394472

Индекс прибыльности, - Pl

1,55

Внутренняя норма рентабельности - IRR, %

69,57

Модифицированная норма рентабельности, MIRR, %

49,23

Из данных таблицы 15 видно, что дисконтированный период окупаемости составляет 29 месяцев, что меньше всей длительности инвестиционного проекта. Период окупаемости меньше длительности проекта и составляет 27 месяца.

Средняя норма рентабельности - это отношение между среднегодовыми поступлениями и величиной начальных инвестиций. В нашем случае это значение равно 73.92%, что является довольно высоким значением.

Чистый приведенный доход - это абсолютная величина дохода от реализации проекта с учетом ожидаемого изменения стоимости денег и зависит от нормы дисконта. Для обеспечения дохода от инвестированных средств, чистый приведённый доход должен быть положительным значением. В нашем случае это значение равно 1394472.

Внутренняя норма рентабельности отражает величину процентной ставки дисконтирования, которое обеспечит положительное значение чистого приведённого дохода. Для нашего инвестиционного проекта внутренняя норма рентабельности составляет 69,57%.

Индекс прибыльности отражает относительную величину доходности проекта. У эффективного инвестиционного проекта эта величина должна быть больше единицы, и в нашем случае она именно такая, - 1, 55.

Затем проводится анализ безубыточности по каждому виду продукции. Результаты анализа приведены в табл. 16.

Таблица 16

Результат анализа безубыточности по видам продукции

Продукт

Показатели безубыточности в отчётные годы (в шт.)


2013

2014

2015

Керамическая кружка

7915,72

8128,30

6834,40

Футболка

4044,21

4082,97

4409,57

Коврик для мыши

4026,33

3782,61

3489,61

Бейсболка

4787,16

4582,13

4360,58

Керамическая тарелка

1990,66

2472,90

3345,70


График анализа точки безубыточности по сбыту продукции «Керамическая кружка» представлен на рис.П.2.1 (см. Приложение 2).

Анализ чувствительности NPV показал, диапазон параметров, в котором показатели эффективности остаются в пределах приемлемых значений, составляет от -10% до 30%, при этом наиболее чувствителен разрабатываемый проект к изменению цен сбыта, наименее - к изменению общих издержек (см.рис.П.2.3 в Приложении 2).

Так же программа Project Expert позволяет провести статистический анализ проекта по методу Монте-Карло, что бы определить влияние на выходные показатели одновременного изменения нескольких случайных риск-факторов. В разрабатываемом бизнес-плане в качестве риск-факторов используется величина объёма продаж продуктов и цены на материалы и комплектующие.

Анализ показал, что устойчивость данного проекта составляет 77,2%, что является достаточно высоким показателем. Следовательно, высока вероятность того, что проект будет доведён до завершения без дефицита средств (см.табл.17).

Таблица 17

Статистический анализ проекта по методу Монте-Карло

Эффективность инвестиций

Среднее

Неопределённость

Дисконтированный период окупаемости, мес.

29

0,04

Индекс прибыльности

1.74

0,12

Чистый приведённый доход

1157411

0,17

Внутренняя норма рентабельности

74.42

0,07

Период окупаемости, мес.

27

0,04

Средняя норма рентабельности

84.26

0,14

Модиф.внутренняя норма рентабельности

58,07

0,18


Вид диалогового окна представлен на рис.П.2.4 в Приложении 2.

Дисконтированный период окупаемости меньше длительности проекта, индекс прибыльности больше единицы, чистый приведённый доход положительный. Таким образом показатели являются приемлемыми.

Максимальный процент неопределённости составляет 18% для модифицированной нормы прибыли. Таким образом, для всех параметров мера значение будет меньше 20%, и, соответственно, все они находятся в пределах нормы.

Заключение

В процессе написания курсовой работы были решены следующие задачи:

.        Определена сущность понятия бизнес-планирование;

.        Рассмотрены основные методы оценки степени риска инвестиционного проекта;

.        Разработан бизнес-план по созданию предприятия, занимающегося выпуском сувенирной продукции;

.        Проведён анализ эффективности и степени риска инвестиционного проекта.

В результате проведённых расчётов получены следующие результаты: срок окупаемости инвестиционного проекта составляет 33 месяца, что меньше всей продолжительности проекта. За всё время продолжительности проекта, он успеет окупиться, вернёт заёмные средства с процентами и начнёт приносить прибыль.

На основе проведённого анализа можно сказать о том, что проект привлекателен для инвестиций. Метод Монте-Карло показал, что проект достаточно устойчив (77,2%) к изменению таких риск-факторов, как величина объёмов продаж продуктов и цен на материалы и комплектующие. При этом анализ чувствительности показал, что инвестиционный проект наиболее чувствителен к изменению цены сбыта и наименее чувствителен - к изменению общих издержек. Средняя норма рентабельности проекта составляет 73,92%, внутренняя норма рентабельности 69,57%, индекс прибыльности - 1,55.

Таким образом, можно сделать вывод, что представленный проект является экономически эффективным и окупаемым.

Список использованных источников

1. Бизнес - планирование/ Под ред. В.М. Попова, С.И. Ляпунова. - М.: Финансы и статистика, 2007.

2. Бизнес-план инвестиционного проекта: Отечественный и зарубежный опыт. Современная практика и документация / Под ред. В.М. Попова. - М.: Финансы и статистика, 2010.

3. Черняк В.З., Черняк А.В., Довдиенко И.В.. Бизнес планирование. Учебно-практическое пособие. -М.: 2009.

. Экономические основы бизнес планирования/ Под ред. Сергеева А.А. - М.: ЮНИТИ, 2006.

5. Зимина И.В., Беляев Д.А.. Составление бизнес-плана проекта. Практической пособие для предпринимателей. - М.: Милета, 2013.

. Бизнес-планирование на издательско-полиграфическом производстве: учеб.пособие Н.Б. Лезунова, Э.Б. Песиков, Л.И. Цейтлин. - СПб., 2011

7. Бланк И.А. Управление торговым предприятием / И.А. Бланк. - М.: ТАНДЕМ; ЭКМОС, 2012. - 560 с.

. Ендовицкий, Д.А Формирование и анализ показателей прибыли организации / Ендовицкий, Д.А // Экономический анализ. - 2007

9. А.С. Пелих. Бизнес-план или как организовать собственный бизнес. - М.: Ось-89, 2001

. Грачёва М.В. Риск-анализ инвестиционного проекта. - М.: ЮНИТИ, 2007

. Смоляк С.А. Оценка эффективности инвестиционных проектов в условиях риска и неопределенности. - М.: Наука, 2008

. Нешитой А.С. Инвестиции: Учебник. - М.: Дашков и К, 2011. - 371 с.

. Виленский П.Л, Лившиц В.Н., Смоляк С.А. Оценка эффективности инвестиционных проектов. Теория и практика. - 2-е изд., перераб. и доп. - М.: Дело, 2002.

. Дегтяренко В.Н. Оценка эффективности инвестиционных проектов. - М.: Экспертное бюро. - М., 2010

Приложение 1

Календарный план, план производства и сбыта продукции разрабатываемого бизнес-плана

Рис.П.1.1.Календарный план инвестиционного проекта по созданию предприятия, занимающегося выпуском сувенирной продукции

Рис.П.1.2. План производства продукта «Керамическая кружка»

Таблицы П.1.3. План сбыта продукции

Продукт

Объём сбыта продукции (шт.) по годам


02.2013

03.2013

04.2013

05.2013

06.2013

07.2013

08.2013

09.2013

10.2013

11.2013

12.2013

2014

2015

Керамическая кружка

820

850

740

800

630

570

610

700

730

830

970

9180

9300

Керамическая тарелка

300

315

250

260

215

290

160

170

180

230

320

3520

3790

Футболка

490

435

360

340

335

325

290

325

380

420

480

4400

4750

Бейсболка

560

515

485

450

415

385

410

420

470

490

600

5560

5820

Коврик для мыши

465

450

410

385

330

345

360

415

420

450

470

4650

4930


Приложение 2

Отчёт о движении денежных средств, график анализа безубыточности и график анализа чувствительно по разрабатываемому бизнес-плану

Рис.П.2.1. Отчет о движении средств после подбора кредита

Рис.П.2.2. График анализа безубыточности по сбыту продукции «Керамическая кружка» за 2013 год

Рис.П.2.3. График анализа чувствительности по показателю NPV

Рис.П.2.4. Результаты статистического анализа проекта по методу Монте-Карло

Похожие работы на - Разработка бизнес-плана предприятия, занимающегося выпуском сувенирной продукции

 

Не нашли материал для своей работы?
Поможем написать уникальную работу
Без плагиата!
Без нейросетей!