Фармакогностическая характеристика и медицинское значение Чесночницы лекарственной

  • Вид работы:
    Дипломная (ВКР)
  • Предмет:
    Медицина, физкультура, здравоохранение
  • Язык:
    Русский
    ,
    Формат файла:
    MS Word
    2,31 Мб
  • Опубликовано:
    2016-01-24
Вы можете узнать стоимость помощи в написании студенческой работы.
Помощь в написании работы, которую точно примут!

Фармакогностическая характеристика и медицинское значение Чесночницы лекарственной















Фармакогностическая характеристика и медицинское значение Чесночницы лекарственной

Введение

лекарственный фармакологический растение

Несмотря на развитие химических препаратов все так же ведущее место занимает лечение лекарственными растениями, в том числе и Чесночница лекарственная.

Это лекарственное растение занимает ведущее место по применению и использованию такого рода препаратов. В некоторых лечебных направлениях они занимают более 50%.Поэтому необходимо использовать опыт народной медицины по применению местных растений в качестве лекарств ,выявить лекарственные виды и проводить их лабораторные исследования. В связи с этим целью нашей курсовой работы было изучить чеснок лекарственный. Так же были поставлены такие задачи:

1)      Изучить применение Чесночницы лекарственной в народной медицине;

2)      Выявить основные группы БАВ;

)        Выявить диагностические признаки;

)        Предположить возможные пути использования Чесночницы лекарственной в официальной медицине.

1. Обзор литературы

.1 Ботаническая характеристика Чесночницы лекарственной

Семейство капустные- Brassicaceae (крестоцветные - Cruciferae.)

Распространена в европейской части России, на Украине, в Беларуси, на Кавказе, в Средней Азии (Горно-Туркменский, Памиро-Алтайский, Тянь-Шаньский район). Растет в лесной и черноземной зонах европейской части России (кроме Карелии), на Кавказе и в Средней Азии. Особенно широко распространен в лесном поясе Главного Кавказского хребта, где местами господствует в травяном покрове. Лесное растение встречается преимущественно во влажных местообитаниях: на полянах, в тенистых местах, под пологом лиственного леса, по берегам мелких водоемов, ручьев и мелких речек, среди кустарников, по днищам ущелий, на щебеночных склонах до высокогорного пояса, в садах, на хорошо увлажненных почвах, иногда образует небольшие заросли.

Описание. Двулетнее травянистое растение с характерным чесночным запахом. Листья очередные, сердцевидные, выемчато-зубчатые. Цветки мелкие, белые, с четырьмя лепестками. Плоды - длинные четырехгранные раскрывающиеся строчки. Высота 35-100 см. Розеточные укороченные побеги Чесночницы, появившиеся ещё до зимы, весной продолжают свой рост, вытягивается лиственный стебель.

Стебли у Чесночницы одиночные, с сизоватым налётом, внизу опушённые. Листья - сердцевидно-яйцевидные, на коротких черешках, по весне очень нежные с зубчатой каймой, при растирании источают чесночный аромат. Мелкие белые четырёхлепестковые цветки собраны в кисти на концах стеблей. У нижних цветков имеются прицветники. Растет на полянах, в лесах, среди кустарников, в ущельях, на щебнистых склонах до высокогорного пояса. С лечебной целью используются листья, семена и трава (стебли, листья, цветки).

Время цветения. Май - июнь.

Распространение. Встречается в лесной и черноземной зонах европейской части России и на Кавказе.

Местообитание. Растет в лесах и по кустарникам.

Применяемая часть. Листья и семена.

Cбор. Листья собирают в мае - июне, семена - в июле, Плоды - длинные четырёхгранные раскрывающиеся стручки.

Применение. Чесночница обладает противоцинготным, антисептическим и противоглистным действием. Лекарственным сырьем служат листья и семена. Листья собирают во время цветения, семена - после их полного созревания. Запах чеснока в растении после сушки теряется.

Настой верхушек стеблей с листьями применяют при астме, цанге и против глистов. Наружно измельченные листья и водный настой растения используют при нарывах, язвах и злокачественных новообразованиях кожи. Внутреннее примените Чесночницы лекарственной, как ядовитого растения, требует осторожности.

Рис.

Легенды о чесночнице: В Европе чесночницу используют в кулинарии, многие страны относят её к овощному растению. Например, английская литература описывает чесночницу как дикий овощ уже с XVII века. Употребляли её в основном ранней весной, когда листики Чесночницы особенно нежны и почти нет другой зелени. Англичане и поныне добавляют листья Чесночницы в весенние салаты, в овощное рагу с бараниной, в сэндвичи с зелёным маслом, солониной и ветчиной.

Из семян получают жирное масло. А корни Чесночницы лекарственной употребляются в виде приправы к салатам с уксусом. Вкус и запах зелёной массы растения напоминает одновременно и хрен, и горчицу и чеснок. Французы листья Чесночницы используют как приправу к супам и мясу вместо чеснока. На Кавказе из корней Чесночницы варят щи и готовят салаты. К счастью, листики Чесночницы не грубеют и после цветения, поэтому при желании их можно срывать в течение всего лета. Всё чаще садоводы-любители выделяют для Чесночницы отдельную грядку на своём участке Чесночницы лекарственной районы.

Существует такая легенда: весна в зелёных одеждах, развеваемых ветром, спустилась на землю, и росы, точно жемчужины, заблистали на изумрудном шёлке Деревья и цветы встречали её с радостью, кланялись ей, благодарили за подаренное тепло и живительную воду весенних весело журчащих ручейков.

Многие растения она называла по имени, а другие только просили подарить им имя собственное. Вот и травка с мягкими листиками поклонилась весне и промолвила: "Прекрасная, добрая Весна, дай мне, пожалуйста, имя".Весна подошла к травке, дотронулась до листочка и почувствовала чесночный аромат. - Быть тебе, милая травка, наречённой сестрой чеснока, чесночницей. И действительно, среди первой зелени легко даже в парках и садах найти чесночницу черешковую, названную так из-за яркого чесночного запаха её листьев при растирании.

Однако всё-таки сестрой чеснока её называть не совсем верно. Чеснок принадлежит семейству лилейных, а Чесночница - к семейству капустных или крестоцветных. Родовое название Чесночницы - Alliaria - дословно переводится как «похожая на чеснок».

.2 Сведения об использовании Чесночницы лекарственной в народной медицине и хозяйстве

Препараты из Чесночницы обладают антисептическим, потогонным, отхаркивающим, мочегонным, противоцинготным, противоопухолевым и антигельминтным действием. В народной медицине отвары из Чесночницы применяют при астме, колитах, поносах, глистах, фурункулезе, ревматизме, подагре, невралгии

Фармакологические свойства чесночника определяются его химическим составом. Научная медицина до настоящего времени чесночник не использует.

В народной медицине растение применяется как мочегонное, отхаркивающее, противоцинготное, противоглистное, антисептическое и противоастматическое средство. Настой травы в Туркмении и западных областях Украины, России используется как противоцинготное и антигельминтное, диуретическое, потогонное, отхаркивающее средство, а также при поносах, кровохарканье, асците.

Чесночница обладает противоцинготным, мочегонным, антисептическим, отхаркивающим и противоглистным действием.

Во Франции настой травы применяется как стимулирующее и диуретическое. Настой листьев на Кавказе и на Украине назначается при цинге, бронхиальной астме, поносах, колитах, энтероколитах, фурункулезе, как антигельминтное , в Бельгии - при раке и язвах. Измельченные семена используются для приготовления горчичников, а также в виде настоя при поносах, цинге, бронхиальной астме, как антигельминтное, измельченные листья местно - при фурункулезе, ожогах, ушибах, порезах, язвах.

Семена применяются и для получения жирного масла. Корни Чесночницы лекарственной, обладающие чесночным запахом и привкусом хрена, употребляются в виде приправы к салатам с уксусом и маслом вместо горчицы и хрена. Надземная часть во Франции употребляется в качестве приправы к супам и мясу вместо чеснока. По данным Н. Максимовича-Амбодика, растение в конце XVIII века использовалось для лечения рака. Внутреннее применение Чесночницы лекарственной как ядовитого растения требует осторожности.

Использование чесночника в хозяйстве:

Растение считается вполне привычным диким овощем, хорошо известным уже в литературе XVII века. Для еды наиболее хороша верхняя облиственная часть побега до цветения, а позже - только листья, стебель же становится жестким. Подавать к столу салаты и супы с листьями растения интереснее всего в период весеннего авитаминоза. Чесночник - полноценная замена черемше. Из него готовят салаты. Листья и стебли едят так же, как свербигу, до распускания цветов, пока они еще нежные. Англичане также варят из чесночника овощное рагу с бараниной или свежей сельдью, различные соусы. В пищу используют корни, выкопанные осенью, и листья растения, собранные весной. Англичане называют его: чесночная горчица. Корни, имеющие запах и привкус хрена, употребляют иногда в виде приправы к салатам, сдабривая их уксусом и маслом. Надземную часть растения едят вместо чеснока как пряность. Следует помнить, что лицам с воспалительными заболеваниями почек, печени, желудочно-кишечного тракта следует ограничить употребление чесночника.

Животные любят эту траву, но молоко у коров приобретает оранжевый оттенок и чесночный привкус.

Из этого же настоя делаются примочки при язвах, ушибах, ранах, нарывах. Семена Чесночницы используют для приготовления горчичников. В Бельгии препаратами из Чесночницы лечат онкологию и язвы. Деревенские лекари применяют чесночницу при грибке на ногах..

Фармакологические свойства Чесночницы лекарственной:

Фармакологические свойства чесночника определяются его химическим составом.

В народной медицине растение применяется как мочегонное, отхаркивающее, противоцинготное, противоглистное, антисептическое и противоастматическое средство.

Настой надземной части растения используется как противоцинготное и антигельминтное, потогонное, диуретическое, отхаркивающее средство.

Настой травы в Туркмении и западных областях Украины, России используется как противоцинготное и антигельминтное, диуретическое, потогонное, отхаркивающее средство, а также при поносах, кровохарканье, асците. Лекарственное употребление чесночника обусловлено жжением, которое вызывают на коже толченые семена, то есть их используют вместо горчичников как раздражающее. Помимо того, чесночное масло, содержащееся в растении, является хорошим бактерицидом. Во Франции настой травы применяется как стимулирующее и диуретическое

1.3 Химический состав

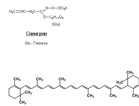
Листья Чесночницы содержат витамин С, каротин, эфирное масло, которое и придаёт растению запах чеснока, воск, смолы. Семена содержат витамин С, жирное масло, горчичное масло, сапонины, сахара, флавоноиды. Корни содержат тиогликозид синегрин.

Корни содержат тиогликозид синегрин. В надземной части найдены флавоноиды, С-гликозиды апигенина, горчичное масло 0,03-0,09%. В листьях обнаружены аскорбиновая кислота, каротин, флавоноид аллиарозид, в пестиках, в пыльниках флавоноиды (моногликозиды и дигликозиды апигенина). Семена содержат горчичное масло, тиогликозид синигрин и 22-30% жирного масла, в его составе (в %): эруковая 47, линолевая 22, олеиновая 7, линоленовая 4, пальмитиновая 4, эйкозеновая 1, эйкозадиеновая 0,8, стеариновая 0,4.

Формулы основных компонентов

Рис. Аскорбиновая кислота

Рис. Каротин

2.Эксперементальна часть

.1 Макроскопические признаки сырья травы Чесночницы лекарственной

Рис.

Товарный вид - высушенная трава

Стебель:

форма - округленная; ветвление - очередное

положение в пространстве - прямостоячее; длина - до 50 см

диаметр - 0.3 мм; расположение листьев - очередное

опущение - есть (в нижней части)

Листья:

тип листа - простой

расчленение листовой пластинки - цельная

черешок - короткий

форма листа или листочков - треугольно-сердцевидное

край - крупно-пильатый

характер жилкования - пересто-сетчатое

цвет верхней стороны - зеленый; нижней стороны - светло-зеленый

длина - 3-8 см; ширина - 2-5 см

Цветки:

тип соцветия - кисть

цветоножка ( наличие, размеры) - короткая

прицветники ( наличие , форма)

цветоложе: форма - плоская

околоцветник - двойной

симметрия - правильная

чашечка: форма - крестовидная; цвет - зеленый

венчик: форма - крестовидный; цвет - белый

лепестки: форма - цельные; верхушка - выемчатая

размеры - 3-6 мм

Плоды и семена:

тип плода - стручок

форма - вытянутая , цилиндрическая

характер поверхности - бугристая

косточки или семена: количество - много; форма - шаровидная

запах (при растирании) - чесночный

вкус - слабый привкус чеснока

специфические особенности - имеет запах чеснока

2.2 Микроскопические признаки сырья Чесночницы лекарственной

Рис. Нижняя эпидерма листа

Клетки нижней эпидермы сильно извилистые, устицы окружены эпидермальными клетками. Устицы анизацитные, стандартные для всех капустных. Анизацитные устицы (с греч anisos-неравный) замыкающиеся клетки окружены тремя побочными клетками, из которых одна заметно крупнее или меньше двух других.

Рис. Поперечный срез стебля

Рис. Поперечный срез листа:

.проводящий пучок

.жилка

.верхняя эпидерма

.нижня эпидерма

Выводы

На основании исследований, проведенных на протяжении всего изучения Чесночницы лекарственной можно сделать следующие выводы:

. Данное растение широко распространено по всей территории Украины. Имеет большую сырьевую базу.

. В качестве ЛРС используют траву и семена

.Выявлены основные группы БАВ: витамин С, каротин, эфирное масло, которое и придаёт растению запах чеснока, воск, смолы, жирное масло, горчичное масло, сапонины, сахара, флавоноиды, тиогликозид синегрин.

.Растение обладает широким спектром действия: антисептическим, потогонным, отхаркивающим, мочегонным, противоцинготным, противоопухолевым и антигельминтным действием.

. В данной курсовой работе проводились выявления диагностических признаков

.Требуется дальнейшее исследование Чесночницы лекарственной.

лекарственный фармакологический растение

Список литературы

.Бавтуга Г.А .Лабораторный практикум по анатомии и морфологии растений-Мл.:Вышюшк.2008.

2.Ботанико-фармакогностический словарь :Справ.пособие/К.Ф Блинова Н.А, Борисова Г.Б ,Гортинский Г.Б..и дрПод ред К.Ф блинова,Г.П Яковлева-М Высш шк 1990 г.

3.Войтюк Ю.О, Кучерявая Л.Ф Баданина В.А-Морфология растений с основами анатомии и цитоэмбриологии-Киев -2008.

4.Георгиевский В.П, Комиссаренко Н.Ф .,Дмитрук С.Е Биологически активные вещества лекарственных растений -Новосибирск ,Сиб.отд-ние 1990г.

6.Ковальов В.М.,Павлий О.И.Исакова Т.И. Фармакогнозия с основами биохимии растений.-Х: Прапор :Вид-во НФАУ. 2010 г.

5. Красная книга Украины . Растительный мир .-Киев:УЕ,1996-608 ст.

. Лебедев С .И .Физиология растний.-К.:высш.шк., 2014 г.

7. Лекарственные препараты Украины 1990-2000 г.:В 3 т .-Х.:Прапор 1990 г.

8.Лекарственные растени я :Энциклопедия .спарав./Под .ред. А.М Гродзинский .-К.:Укр .Энцкл. им. М.П Бажана:Олимп 1992 г.

. Литвиненко В.И .Химия природных флавоноидов и создание препарато при комплексной переработке природного растительного сырья :Авт.дис д-ра хим .наук .-Х 1997 г.

. Морозюк С.С,Протопова В.В Альбом по ботанике .-Киев 1998.

. Нечитайло. В.А Систематика высших растений .-Киев фитоцентр,1997.

. Н и др.-Киев:Научн мысль2007.

. Определитель растений Украины / Под.ред Д.К Зерова -Киев Урожай -1998.

. Практический курс систематических растений / Гордеева Т.Н, Дроздова И.Н и др -МПросветление 1996.

. Рыбачук И.З и др. -Киев Урожай 1995.

.Солодовиченко Н.М., Журавльов М.С., Ковальов В .М .Лекарственное сырье ии фитопрепараты.-Х.: Вид-во НФАУ:олотые страницы.2001г.

. .Фармацевтическая энциклопедия /Глава ред.рады автор идеи.В.П.Черных-2010 год.

. Энциклопедический словарь лекарственных растений и продуктов животного происхождения :Учеб.пособие /Под ред.Г.П Яковлева и К.Ф. блиновой._СПб.:спец лит 2009 г.

.Юридические аспекты фармации // Провизор :Спецвыпуск (Сб.нормат.актов по сост.на 20 мая 1999.г.).-х:Мегаполис.

Похожие работы на - Фармакогностическая характеристика и медицинское значение Чесночницы лекарственной

 

Не нашли материал для своей работы?
Поможем написать уникальную работу
Без плагиата!
Без нейросетей!