Теорема Миттаг–Леффлера (представление мероморфной функции)
Теорема Миттаг-Леффлера
(представление мероморфной функции)
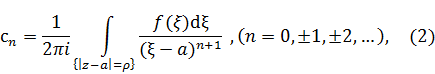
1. Вспомогательные сведения
Определение 1.1 Мероморфной функцией будем называть однозначную
аналитическую функцию, не имеющую в конечной части плоскости особых точек,
отличных от полюсов.
В частности, к мероморфным функциям относятся целые функции, так как они
вообще не имеют никаких особых точек в конечной части плоскости, а также
рациональные функции.
Другое определение мероморфной функции:
Функция f(z), отличная от тождественного нуля,
называется мероморфной, если в окрестности любой конечной точки a для неё имеет место разложение
f(z)=c0(z-a)r+c1(z-a)r+1+…,
где r-целое число, а с0≠0.
Число r будем
называть порядком нуля функции f(z) в точке a, считая тем самым, что полюс порядка s-это нуль отрицательного порядка -s.
Из определения мероморфной функции вытекают следующие свойства класса
мероморфных функций:
. Любая постоянная-мероморфная функция.
. Сумма и разность двух мероморфных функций-мероморфные функции.
. Произведение и частное двух мероморфных функций-мероморфные функции.
. Рациональная функция от мероморфных функций-мероморфные функции.
В
частности, отношение двух целых функций-мероморфная функция. Так как 
и 
-целые
функции, то
являются
мероморфными функциями.
Определение
1.2. Если мероморфная функция f(z) имеет полюсов, то она является целой функцией.
Пусть
мероморфная функция f(z) имеет
только конечное число полюсов
a0, a1, a2, …, и пусть
главные
части в этих полюсах. Тогда
где

- целая
функция.
Определение
1.3. Если особая точка z=a
однозначной аналитической функции f(z)
не является особой точкой для функции

, то
точка a называется полюсом. Все другие изолированные
особые точки однозначных аналитических функций будем называть существенно
особыми точками.
Определение
1.4. Выясним поведение функции в
окрестности полюса. Если точка a - полюс функции f(z), то в некоторой окрестности этой точки (но не в самой
точке a, поскольку значения f(z) в точке a не существует) имеет место
равенство
где

-
степенной ряд. (Считаем, что 
.)
Согласно равенству (1) в некоторой окрестности точки a
можно написать неравенство
т.
е.
Отсюда
видно, что 
, так как
при 
точка a
не была бы особой точкой для функции f(z).
Число
k будем называть порядком полюса.
Когда
точка z стремится к полюсу a, функции f(z), как видно из формулы(2), стремится к бесконечности,
причем
-
конечное число, отличное от нуля. Число k
показывает, таким образом, с какой скоростью стремится к бесконечности функция
в данном полюсе.
Определение
1.5. Используя равенство (2) из определения
1.4, запишем его в виде
Отсюда
видно, что разность:
Разлагается
в окрестности точки a в степенной ряд, т. е. не имеет особой точки при 
.
Поэтому будем говорить, что функция 
имеет в
точке a ту же особенность, что и многочлен от 
Этот
многочлен от 
будем
называть главной частью функции f(z)
в полюсе a.
Определение
1.6. Точка a
называется изолированной особой точкой функции f,
если существует такая проколотая окрестность этой точки (то есть множество 
, если
точка a конечна, или множество 
, если a=∞),
в которой функция f голоморфна.
Определение
1.6’. В зависимости от поведения f
при приближении к такой точке различают три типа особых точек.
Изолированная
особая точка a функции
f называется:
.
устранимой точкой, если существует конечный

;
.
полюсом, если существует

;
.
существенно особой точкой, если f не имеет
ни конечного, ни бесконечного предела при 
.
Примеры.
1. 
,
точка z=0 является
устранимой особой точкой.
2. 
, точка z=0
является полюсом.
. 
, точка z=0
является существенно особой точкой.
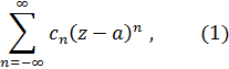
Теорема
1(Лорана). Любую функцию f, голоморфную в кольце 
, можно в
этом кольце представить как сумму сходящегося ряда
Коэффициенты
которого определяются по формулам
где

.
Определение
1.7. Функцию, определенную в области D,
будем называть регулярной в этой области, если в окрестности каждой
точки области D эта функция представляется сходящимся степенным
рядом.
.
Теорема Миттаг-Леффлера
Если
мероморфная функция f(z) имеет бесконечно много полюсов, то они могут иметь
предельную точку только в бесконечности. Действительно, предельная точка
полюсов - тоже особая точка и притом не полюс (полюс - изолированная
особенность), а по определению мероморфная функция не имеет в конечной части
плоскости особых точек, отличных от полюсов.
Полюсы
мероморфной функции f(z) договоримся нумеровать в порядке возрастания их
модулей. Если a0, a1, a2, …- полюсы функции f(z),
то наша договоренность означает, что |a0|≤|a1|≤|a2|≤…, а, согласно сделанному выше замечанию, 
Заметим,
что в последовательности 
в нуль
может обращаться только число |a0|, все следующие положительны.
Главные
части функции f(z) в её полюсах будем обозначать

, 
, …
Естественно,
возникает вопрос, должны ли полюсы мероморфной функции и главные части в этих
полюсах удовлетворять каким либо условиям?
соответственно.
Для
доказательства теоремы Миттаг-Леффлера нам понадобится следующая лемма:
Лемма
1. Пусть F0(z), F1(z), F2(z),
…-последовательность мероморфных функций. Предположим, что функции Fn(z) (n=0, 1, 2, …) регулярны в кругах |z|≤rn соответственно, причем
r0≤r1≤r2≤…, 
.
Тогда
существует такая последовательность 
многочленов
от z, что ряд
равномерно
сходится в круге |z|≤R при любом R<∞ (если отбросить
конечное число членов этого ряда, которые могут обращаться в бесконечность).
Доказательство
леммы 1. Для доказательства леммы заметим, что ряд
равномерно
сходится в круге |z |≤rn, так как функция Fn(z)
по условию леммы регулярна там. Поэтому для любого числа εn>0 можно выбрать номер mn таким
образом, чтобы при всех z из круга |z|≤rn выполнялось неравенство
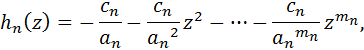
Выберем
последовательность положительных чисел ε0, ε1, … так,
чтобы сходился ряд ε0+ε1+ε2+…, и
обозначим
Покажем,
что построенные многочлены hn(z) составляют последовательность, существование которой
утверждается в лемме.
Действительно,
возьмем любое число R<∞ и выберем номер N таким образом,
чтобы выполнялось неравенство rN≥R. Тогда при |z|≤R ряд
будет
мажорироваться сходящимся числовым рядом εN+εN+1+…, и
следовательно, будет равномерно сходиться при |z|≤R.
Тем самым лемма доказана.
Перейдем
к доказательству теоремы Миттаг-Леффлера.
Доказательство
теоремы 1.
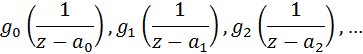
Возьмем
в качестве последовательности {Fn(z)} последовательность главных частей 
. Если
взять 
, то
условия леммы будут выполнены, так как функции 
регулярны
в кругах |z|≤
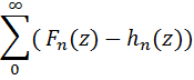
|an|≤|an|. Убедимся, что сумма ряда
представляет
собою мероморфную функцию с заданными полюсами и главными частями в них.
Согласно лемме ряд (2) будет равномерно сходиться в круге |z|≤R с
любым фиксированным R, если отбросить конечное число его первых членов. По
теореме Вейерштрасса сумма равномерно сходящегося ряда регулярных
функций-регулярная функция. Поэтому особые точки суммы ряда (2) в этом круге
совпадают с особыми точками суммы конечного числа первых членов этого ряда. Эти
особые точки-полюсы в заданных точках с заданными главными частями. Теорема
доказана.
3.
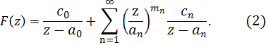
Общий вид мероморфной функции с заданными полюсами
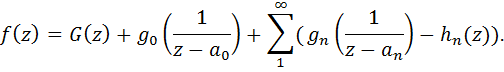
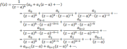
Пусть
f(z) -
мероморфная функция с полюсами a0, a1, …,
занумерованными в порядке возрастания модулей. Главные части функции f(z)
в этих полюсах обозначим
Согласно
теореме Миттаг-Леффлера можно построить функцию
имеющую
те же полюсы и те же главные части в этих полюсах, что и функция f(z). Разность G(z)=f(z)-F(z) будет целой функцией, так что
мероморфный функция теорема миттаг
Таким
образом:
Любую
мероморфную функцию f(z) можно
представить в виде суммы целой функции и ряда, членами которого являются
рациональные функции, причем каждая из этих функций имеет в конечной плоскости
полюсом только один из полюсов функции f(z).
4.
Случай простых полюсов
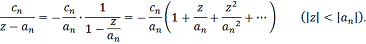
Рассмотрим
подробнее часто встречающийся и наиболее простой случай, когда главные части,
отвечающие всем точкам a0, a1, a2, …, имеют вид
При

имеют
место разложения
Поэтому,
если полюсы простые, то
А
Поскольку
формулу
(1) можно записать и в виде
Целые
числа 
входящие
в формулу (1) и (2), следует выбирать так, чтобы написанные ряды равномерно
сходились в любом конечном круге (после отбрасывания членов, имеющих в этом
круге полюсы). Попытаемся придать этому условию более простую форму.
Возьмем
любое 
и
рассмотрим z из
круга 
. При
достаточно большом n величина 
будет
сколь угодно мала. Поэтому можно найти такой номер N, чтобы при
всех 
выполнялись
неравенства
Тогда
будут справедливы и неравенства
Следовательно:
Ряд
(2) для функции F(z) абсолютно
сходится в любом конечном круге тогда и только тогда, когда ряд
Абсолютно
сходится при любом z.
В
случае абсолютной сходимости ряда (3) ряд (2) равномерно сходится в любом
конечном круге (после отбрасывания членов с полюсами в этом круге).
Действительно, выбирая номер N тем же способом, что и выше, видим, что ряд
при

мажорируется
рядом
Последний
ряд является сходящимся числовым рядом с положительными членами.
Таким
образом, мы доказали теорему:
Теорема
1. Если в формуле (2) числа 
выбраны
так, что ряд
абсолютно
сходится при любом z, то ряд в формуле (2) равномерно сходится в любом
конечном круге (после отбрасывания конечного числа членов).
Если
положить все числа 
равными
одному и тому же числу m, то
Это
дает нам теорему:
Теорема
2. В формуле (2) все числа 
можно
взять равными одному и тому же числу m, если
сходится ряд

Это
условие заведомо выполняется, если
так
как 
при 
. В
частности, получаем отсюда:
Если
все полюсы простые, а вычеты 
в этих
полюсах ограничены, то всегда можно взять в формуле (2) 
.
Список
используемой литературы
1. А. Гурвиц, Р. Курант, перевод М.А. Евграфова, Теория
функций.-М.: Наука, 1968.
2. Б.В. Шабат, Введение в комплексный анализ.-М.: Наука,
1976.