К определению коэффициента сопротивления трению в турбулентном потоке когерированной струи жидкости применительно к условиям гидроабразивной резки

  • Вид работы:
    Статья
  • Предмет:
    Другое
  • Язык:
    Русский
    ,
    Формат файла:
    MS Word
    22,88 Кб
  • Опубликовано:
    2016-02-26
Вы можете узнать стоимость помощи в написании студенческой работы.
Помощь в написании работы, которую точно примут!

К определению коэффициента сопротивления трению в турбулентном потоке когерированной струи жидкости применительно к условиям гидроабразивной резки















к определению коэффициента сопротивления трению в турбулентном потоке когерированной струи жидкости применительно к условиям гар.

Смирнов В.Б..B. Smirnov

Смирнов Владимир Борисович - генеральный директор ООО «Инжиниринговое агентство системных технологий» (Комсомольск-на-Амуре); 681032, Комсомольск-на-Амуре, ул. Дикопольцева 40/3, оф.23. E-mail: iastcom61@mail.ru <mailto:iastcom61@mail.ru>. Vladimir B. Smirnov - General director of Engineering agency of system technologies (Komsomolsk-on-Amur); 681032, Komsomolsk-on-Amur, 40/3 Dikopoltseva St., 23 r. E-mail: iastcom61@mail.ru <mailto:iastcom61@mail.ru>

Аннотация. Приведено уточнение формулы по определению безразмерного коэффициента трения применительно к оптимизации конструктивных параметров режущей головки установки гидроабразивной резки.. Formula specification by definition of dimensionless factor of a friction with reference to optimization of design data of a cutting head of installation hydroabrasive is resulted are sharp.

Ключевые слова: гидроабразивная резка, обработка материалов, заготовительное производство, коллиматор, режущая головка, резание, коэффициент трения

Key words: water jet cutting, material working, blank production, collimator, cutterblock, cutting, friction factor

Как известно, заготовительное производство является частью любого технологического процесса, в ходе которого изготавливаются заготовки под сборку готовой конструкции. Основное назначение заготовительного производства состоит в обеспечении механических и сборочно-сварочных цехов высококачественными заготовками. В машиностроении используют заготовки, получаемые литьем, обработкой давлением, сваркой, а также из пластмасс и порошковых материалов. Среди известных способов резки, как основной операции заготовительного производства, выделяется относительно новый способ раскроя материалов - гидроабразивная резка (ГАР). Основным недостатком данного способа является снижение давления резания, вследствие потерь скорости рабочей жидкости, за счет преодоления сопротивлений в фокусирующей трубке (коллиматоре) /1/.

Целью исследований является уточнение математической модели определения потерь напора когерированной струи и оптимизации основных конструктивных соотношений комплектующих режущей головки (РГ) ГАР.


Для решения поставленной задачи предлагается процесс формирования когерированной струи жидкости ( рис.1).

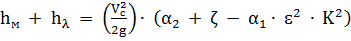
Запишем уравнение Бернулли для потока с резким сужением, характеризующимся значимым перепадом размеров пропускных каналов:

 , (1)

где 𝜁- безразмерный коэффициент формы местного сопротивления;

α1 и α2- безразмерные коэффициенты распределения скоростей в потоке (коэффициенты Кориолиса) до места сужения и за ним;

ρ - плотность используемой жидкости, для воды при 20 равна 103 кг/м3.

Безразмерный коэффициент формы местного сопротивления, определяется по формуле:

(2)

Значения критерия Re определяются по формуле:

 (3)

безразмерный трение режущий гидроабразивный

Критерий Re используется для оценки режима потока, при Re < 2320, поток устойчиво ламинарен, при Re > 4000, поток устойчиво турбулентен.

Используя условие неразрывности потока (рис.1):

 

 

преобразуем уравнение (1) к виду:

 , (4)

где К- безразмерный коэффициент сжатия потока на местном сопротивлении,(К= f0/F);

ԑ- безразмерный коэффициент сжатия струи, (ԑ=dс/d0).

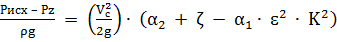
Левая часть уравнения (4) представляет собой потери напора при формировании когерированной струи жидкости:

(5)

Как известно, потери напора представляют собой сумму потерь энергии на преодоление местных сопротивлений, сопротивлений трению от шероховатости стенок когерирующего коллиматора и сдвиговым напряжениям в слоях потока сжимаемой жидкости:

(6)

Преобразуем уравнение (6) с учетом правой части уравнения (4) к виду:

 (7)

Потери на преодоление местных сопротивлений определяют по формуле:

 (8)

Преобразуем уравнение (7) с учетом уравнения (8) к виду:

 (9)

Уравнение (9) запишем в единицах давления:

 (10)


 (11)

Приравнивая (11) к (10) запишем уравнение для определения безразмерного коэффициента трения λ в виде:

 , (12)

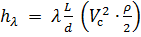
где d- внутренний диаметр канала коллиматора, (м); L - длина когерирующего канала коллиматора, (м).

В гидравлике, при оценке сопротивлений, действующих в области квадратичных скоростей, когда значение числа Re не имеют существенного влияния на потери напора, определение λ производят по формуле Б.Л. Шифринсона:

 , (13)

где  - значение шероховатости внутренней поверхности когерирующего канала коллиматора, (м).

Многократные расчеты значений λ по формулам (12) и (13) при различных комбинациях d, L и , позволили определить корректировочный показатель значения степени к формуле Б.Л. Шифринсона равным 1,41. С учетом корректировки формула (13) принимает вид:

 (14)

Относительная погрешность точности расчетов λ по формулам (12) и (14) в пределах 1%.

Практическое приложение формул (12) и (14) будет состоять в оптимизации конструктивных соотношений параметров d, L,  РГ установки ГАР по принципу минимизации отклонений точности расчета значений λ.

Пример применения оптимизации:

Назначим скорость струи Vc = 400 м/с; вязкость используемой жидкости ν = 1,3 10-6 м2/с; d=0,5 мм; L=75мм; α1=1,045 (переходный турбулентный режим); α2=1,1 (стабилизированный турбулентный режим); ԑ= 0,9; К= fo/F = do2/D2 (безразмерный коэффициент сжатия потока по рис.1), принят равным 0,1 при d=0,5мм и D=5мм; - размер шероховатости равен 0,001мм; 𝜁= 0,0123.

Определим значение числа Re:= 400*0,5*10-3/1,3*10-6 = 153846 ( поток устойчиво турбулентен).

Расчет λ по формуле (12):

λ= 0,5/75*(1,1 + 0,0123(1- 0,92 0,12) - 1,045* 0,92 0,12) = 0,007358

Расчет λ по формуле (14):

λ= [0,11*(0,001/0,5)0,25]1,41 = 0,004977

Корректировка размера L=110мм, ведет к снижению значения λ, повторный расчет по формуле (12):

λ=0,5/110*(1,1 + 0,0123(1- 0,92 0,12) - 1,045*0,92* 0,12) = 0,005017


ЛИТЕРАТУРА

1 Смирнов В.Б. Теоретическое обоснование внесения конструктивных изменений в устройство режущей головки установки гидроабразивной резки/ В.Б. Смирнов, В.Н. Комельков, Б.Н. Марьин, В.А. Ханов// Учёные записки Комсомольского-на-Амуре государственного технического университета. Науки о природе и технике. - 2012. - № …- С.

. Башта Т.М. Гидравлика, гидромашины и гидроприводы: Учебник для машиностроительных вузов/ Т.М. Башта, С.С. Руднев, Б.Б. Некрасов [и др.] - 2-е изд., перераб.- М.: Машиностроение, 1982. - 423с.

. Корнеев С.Д. Гидрогазодинамика.

. Идельчик И.Е. Справочник по гидравлическим сопротивлениям/ под общ. ред. М.О. Штейнберга. - 3-е изд., перераб. и доп. - М.: Машиностроение, 1992. - 672с.

. Крохалев А. А. Гидравлика: учеб. пособие для студ. вузов, обуч. по направл. подготовки 260100 "Технология продуктов питания", 260500 "Технология продовольственных продуктов специального назначения и общественного питания", 260600 "Пищевая инженерия", 150400 "Технологические машины и оборудование"/ А. А. Крохалев, А. Б. Шушпанников. -Кемерово: КемТИПП, 2006. - 99 с.

. Методические указания. Расход жидкостей и газов. Методика выполнения измерений с помощью специальных сужающих устройств: РД 50-411-83: утв. Постановлением Госстандарта 17.06.83 № 2586: введен с 01.07.84. - М.: Изд-во стандартов, 1984. - 40с.

. Вострова Р. Н. Гидравлика, гидрология и гидрометрия водотоков.

Похожие работы на - К определению коэффициента сопротивления трению в турбулентном потоке когерированной струи жидкости применительно к условиям гидроабразивной резки

 

Не нашли материал для своей работы?
Поможем написать уникальную работу
Без плагиата!
Без нейросетей!