Исследование термонапряженного состояния и оценка ресурса охлаждаемой лопатки турбины авиационного ГТД
Министерство образования
и науки Украины Национальный аэрокосмический университет им. Н. Е. Жуковского
"ХАИ"
Курсовая работа по
дисциплине: «Теплонапряженное состояние и идентификация тепловых расчетов
элементов Аид и ЭУ»
на тему:
«Исследование термонапряженного
состояния и оценка ресурса охлаждаемой лопатки турбины авиационного ГТД»
Выполнил: студент гр. 258е Куценко Д.С.
Проверил: проф. Симбирский Д.Ф.
ст.преп. Марценюк Е.В.
Харьков 2015г.
СОДЕРЖАНИЕ
Введение
Техническое
задание
1.
Расчет граничных условий теплообмена на наружной поверхности и в каналах
охлаждаемой лопатки
.
Создание конечно-элементной сетки
.
Расчет температурного поля лопатки на базовом режиме
.
Расчёт поля напряжение лопатки на базовом режиме
.
Выбор критической точки лопатки и предварительная оценка ресурса лопатки по
критерию ДП
.
Расчёт температур и напряжений в критической точке лопатки на всех режимах ОПЦ
.
Оценка ресурсов рабочей лoпатки турбины авиационного ГТД
.
Расчет повреждаемости лопатки за ОПЦ по длительной прочности
.
Расчёт повреждаемости лопатки (ПN) за ОПЦ по малоцикловой усталости
(МЦУ)
10.
Оценки ресурсов рабочей лопатки по ДП, МЦУ и суммарная
Вывод
Список
литературы
ВВЕДЕНИЕ
Лопатка турбины
является одной из наиболее ответственных деталей авиационного газотурбинного
двигателя, в значительной степени определяющей его экономичность, надежность,
ресурс и другие характеристики. Трудности проектирования лопаток обусловлены
тем, что в процессе работы они подвергаются значительным механическим и тепловым
нагрузкам при высоких температурах, имеют сложную форму и изготавливаются из
очень ограниченного круга материалов, обработка которых требуют специальных
технологических процессов. В современных газотурбинных двигателях температура
рабочего тела (газа) превышает рабочую температуру материала лопаток на 500 К и
более, поэтому для обеспечения работоспособности лопаток создают систему
воздушного охлаждения. При конструировании необходимо учитывать затраты
полезной мощности на прокачку воздуха по системе и возникновение в лопатках
значительных температурных напряжений, зачастую сводящих на нет эффект
увеличения несущей способности лопаток при уменьшении их температуры.
Конструктору приходится искать компромиссные решения между противоречивыми
требованиями газодинамического совершенства, минимальной массы, обеспечения
заданного в соответствии с ресурсом запаса прочности и. технологичности,
включая неразрушающий контроль внутренних полостей лопаток. Это требует от
конструктора владения методами газовой динамики, теплообмена прочности и знания
технологии.
ТЕХНИЧЕСКОЕ ЗАДАНИЕ
на тему:
«Исследование термонапряженного состояния и оценка ресурса
охлаждаемой лопатки турбины авиационного ГТД»
. ОБЪЕКТ ИССЛЕДОВАНИЯ: рабочая лопатка 1-й
ступенитурбины высокого давления ТВаД.
Материал лопатки - литейный сплав ЖС-6.
. Продолжительность обобщённого полётного цикла (ОПЦ)
tопц=____.
Сведения о режимах ОПЦ приведены в таблице 2.
. ОСНОВНЫЕ ИСХОДНЫЕ ДАННЫЕ приведены в таблице 1.
Таблица 1
|
№
|
Параметры
|
Значения
|
|
1
|
Частота
вращения
|
51000 об/мин
|
|
2
|
Температура
торможения в относительном движении
|
|
|
3
|
Давление на
входе в РК
|
0,64 МПа
|
|
4
|
Давление на
выходе из РК
|
0,29 МПа
|
|
5
|
Относительная
скорость на входе в РК
|
298 м/с
|
|
6
|
Относительная
скорость на выходе из РК
|
558 м/с
|
|
7
|
Температура
торможения за компрессором (в ступени отбора воздуха)
|
575 К
|
|
8
|
Полное давление
за компрессором (в ступени отбора)
|
0,79 МПа
|
|
9
|
Хорда профиля в
среднем сечении
|
7,4 мм
|
|
10
|
Радиус входной
кромки
|
0,35 мм
|
|
11
|
Средний диаметр
|
161,5 мм
|
|
12
|
Высота лопатки
|
14 мм
|
|
13
|
Угол входа
|
38 °
|
|
14
|
Угол выхода
|
24 °
|
|
15
|
Угол установки
профиля
|
67,5 °
|
|
16
|
Число лопаток
|
105
|
|
17
|
Объём бандажной
полки
|
м3
|
В процессе исследования исходные данные могут уточняться или
быть изменены по согласованию с консультантом.
Перечень величин средней интенсивности 
и длительности ti (i=1,2,…6) режимов работы двигателя
в ОПЦ приведены в таблице 2.
Таблица 2
|
№
|
Режим
|
1
|
2
|
3
|
4
|
|
|
Отбор воздуха
на СКВ на земле
|
Отбор на запуск
двигателей (базовый)
|
Отбор на СКВ
при рулении
|
Запуск ВСУ и
прогрев на холостом ходу
|
|
1
|
|
0,8
|
1
|
0,9
|
0,1
|
. Исследования должны вестись по плану,
представленному в таблице 1. В процессе исследования план может быть
скорректирован и изменён по согласованию с консультантом.
. ОТЧЁТНАЯ ДОКУМЕНТАЦИЯ: результаты исследования
должны быть изложены в пояснительной записке. По каждому разделу записки должно
быть приведено: постановка задачи раздела, исходные данные, рабочие формулы,
наименование программного продукта и результаты расчетов.
В состав записки должен входить следующий иллюстрационный
материал:
- исходные данные к работе, включая сведения
о режимах ОПЦ;
- чертёж среднего сечения лопатки;
- координаты точек профиля;
- конечно-элементная сетка;
- расчёт α наружного;
- расчёт α внутреннего;
- исходные данные для расчёта температурного
поля лопатки;
- температурное поле лопатки на базовом
режиме;
- исходные данные для расчёта поля
напряжений в лопатке;
- поле напряжений в лопатке на базовом
режиме;
- вид ОПЦ двигателя;
- результату расчёта температур и напряжений
в критической точке на режимах ОПЦ;
- результаты расчета поврежцаемостей лопатки
по ДП, Пдпi и Пдп,опц;
- результаты расчета повреждаемостей лопатки
по МЦУ для основного цикла Пмцу,1 подцикла ТIмцу,2 и за один ОПЦ в целом
Пмцу,опц;
- результаты расчета ресурсов лопатки по ДП
и МЦУ и вид детерминированных кривых безопасности.
Желательно выполнение записки на компьютере. Рекомендуемый
шрифт - Times New Roman, интервал - обычный, размер - 12. Межстрочный интервал
-минимум. Необходимые разделы работы представлены в таблице З.
Таблица 3
|
№
|
Разделы работы
|
% готовности
|
|
1
|
Расчёт
граничных условий теплообмена на наружной поверхности и в каналах охлаждаемой
лопатки
|
10
|
|
2
|
Создание
конечно-элементарной расчетной сетки
|
18
|
|
3
|
Расчет
температурного поля лопатки на базовом режиме
|
25
|
|
4
|
Расчет тюля
напряжений лопатки на базовом режиме
|
35
|
|
5
|
Выбор
критической точки и предварительные оценки ресурса лопатки по критерию
длительной прочности (ДП)
|
45
|
|
6
|
Расчет
температур и напряжений в критической точке лопатки на всех режимах
обобщенного полетного цикла (ОПЦ)
|
55
|
|
7
|
Расчет
повреждаемости лопатки за ОПЦ по ДП
|
65
|
|
8
|
Расчет
повреждаемости лопатки по малоцикловой усталости (МЦУ)
|
80
|
|
9
|
Оценки ресурсов
лопатки по ДП, МЦУ и суммарной
|
90
|
|
10
|
Оформление
пояснительной записки и сдача работы
|
100
|
1.
РАСЧЕТ ГРАНИЧНЫХ УСЛОВИЙ ТЕПЛООБМЕНА НА НАРУЖНОЙ ПОВЕРХНОСТИ И В КАНАЛАХ
ОХЛАЖДАЕМОЙ ЛОПАТКИ
Расчет коэффициентов теплоотдачи на наружной поверхности
лопатки
Постановка задачи: необходимо рассчитать коэффициенты
теплоотдачи на наружной поверхности охлаждаемой лопатки.
Общие сведения.
Как известно, максимум теплоотдачи на лопатке находится в точке
разветвления потока, т.е. на входной кромке. Далее по обеим сторонам профиля по
мере формирования ламинарного пограничного слоя коэффициент теплоотдачи а
уменьшается, достигая минимума на расстоянии Хн от входной кромки в точках
начала перехода ламинарного течения в турбулентное. Начало перехода связано с
достижением критического значения числа Рейнольдса 
. По данным Л.М.Зысиной-Моложен для продольного безградиентного
обтекания пластин воздушным потоком зависимость 
от турбулентного потока Тu описывается уравнением:

,

Второй максимум теплоотдачи на расстоянии Хк от входной кромки
связан с возникновением турбулентного пограничного слоя. Координата 
соответствует выражению:
Точки 
и 
совмещают, считая, что переход от ламинарного к турбулентному
происходит в одной точке 
, соответствующей значению 
.
Расчет коэффициента теплоотдачи проводится обычно для пяти
участков профиля: на входной кромке, в средней части профиля (со стороны
корытца и со стороны спинки) и на выходной части (со стороны корытца и со
стороны спинки).
На каждом участке 
находится из критериального уравнения:
где 
;, n - берутся из таблиц;

- коэффициент, учитывающий вращение лопатки;- расчётный
диаметр;длина пера лопатки;, q - берутся из таблиц;
В предварительных расчетах можно считать, что вращение увеличивает
теплоотдачу с наружной поверхности лопатки в 1,3...1,4 раза.
Расчет граничных условий теплообмена.
Для снижения температуры лопатки применили следующий вид
охлаждения: конвективное в каналах охлаждения. Расчеты по описанной методике
выполняются ха ЭВМ с помощью программы gru.ехе.
Программа «Теплоотдача на наружной поверхности gru.ехе
рассчитывает коэффициенты теплоотдачи на наружной поверхности профиля лопатки
по методикам ЦИАМ, КАИ и -др. для работы программы необходимо ввести следующие
значения величин:
- диаметр входной кромки - 0,7 мм;
- хорда профиля - 7,4мм;
- угол входа потока - 38 град;
- угол выхода - 24 град;
- длина лопатки - 16 мм;
- средний диаметр проточной части - 161,5
мм;
- «греющая» температура газа на входе в
решётку - 1270 К;
- «греющая» температура газа на вы ходе из
решётки - 1270 К;
- давление на входе - 0,64 МПа;
- давление на выходе - 0,29 МПа;
- скорость потока на входе -- 298 м/с;
- скорость потока на выходе - 558 м/с;
- расчетный радиус - 80,75 мм;
- частота вращении - 51000 об/мин;
После запуска программы и ввода этих значений получаем
значения коэффициентов теплоотдачи α на входной кромке, в
средней части профиля (на корытце и спинке) и на выходной части (со стороны
корытца и со стороны спинки). Результаты расчета представлены на рисунке 1.
Рисунок 1 - расчёт коэффициентов наружного теплообмена
По данным расчета видно, что максимум теплоотдачи находится в
точке разветвления потока на входной кромке. Далее по обеим сторонам профиля по
мере формирования ламинарного пограничного слоя коэффициент теплоотдачи
уменьшается.
2. СОЗДАНИЕ КОНЕЧНО-ЭЛЕМЕНТНОЙ СЕТКИ
Постановка задачи: необходимо создать конечно-элементную
расчётную сетку.
Общие сведения.
Для решения данной задачи используем подмодуль САПР
«Расчетная сетка», который является частью программы для расчёта охлаждаемых
лопаток турбин и предназначен для автоматизированного построения сетки
триангуляционных (треугольных) элементов внутри плоской многосвязной области
для решения уравнений теплопроводности и термонапряженного состояния.
Условия для создания расчетной сетки:
. Располагается расчетная сетка в первом квадрате
координатной системы так, чтобы для координат любой точки контура выполнялось
условие Х>0 и У>0. 2.
. Количество опорных точек должно быть минимальным
(достаточным для описания контура прямолинейными отрезками). Между опорными
точками автоматически будут добавлены промежуточные точки с заданным шагом.
. Сначала задаются координаты опорных точек наружного
контура при обходе его от произвольной точки против часовой стрелки. Затем:
задаются координаты одного из внутренних контуров (каналов охлаждения).
Направление обхода - по часовой стрелке от произвольной точки.
Создание конечно-элементной расчетной сетки.
Задаем координаты точек профили и создаем файл 11.st,
необходимый для создания простой сетки (таблица 4):
Таблица 4
1
0.500000
.190000
0.066966 0.010000 0.050000 0.223876 0.460000 0.802351
.165645
1.509998 1.909932 2.290821 2.669337 3.198297 3.708345 4.321023
.829393
5.161463 5.411249 5.579855 5.723482 5.851273 6.042338 6.130730
.235663
6.344531 6.385277 6.481534 6.481534 6.468976 6.437166 6.384128
.252422
6.040614 5.880000 5.740000 5.700000 5.439575 5.400000 5.229258
.070588
4.916266 4.762772 4.620000 4.309120 4.068994 3.700000 2.980000
.630344
2.200000 1.610568 1.263731 0.683427 0.420000 -0.560000 0.720000
.080000
1.515346 1.920000 2.181384 2.703382 3.330918 3.483860 3.773839
.928921
4.166700 4.276931 4.475345 4.673759 4.764359 4.730582 4.359146
.079000
3.695764 3.321188 3.087687 2.630413 2.173139 1.822886 1.496957
.219329
0.939285 0.620000 0.518237 -4.984474 4.634290 4.634290 4.897463
.074245
5.301537 5.474110 5.711234 5.776958 5.864591 6.021466 6.013565
.969749
5.920000 5.878183 5.772956 5.700000 5.483356 5.304642 5.187304
.200000
1.997391 1.700000 1.500000 1.255382 1.100000 0.931212
.805457
0.703610 0.627432 0.575060 0.567340 0.633953 0.735828 1.014118
.304270
1.582553 1.838584 2.094615 2.419337 2.699311 3.369662 3.731645
.175788
4.768085 5.176471 6.459488 6.856317 7.911111 8.292829 8.475919
.574698
8.620000 8.580000 8.450000 8.200000 6.072837 5.750000 5.152700
.717852
4.298977 3.916846 3.650000 3.220273 2.985150 2.780000 2.500000
.403742
2.320000 2.276227 2.334671 2.425064 2.380000 1.880000 1.940000
.880000
1.821575 1.800000 1.816642 1.906516 2.087991 2.132393 2.259770
.329807
2.447110 2.469156 2.358926 2.138465 2.014642 1.876052 1.639445
.469356
1.298439 1.167094 1.113583 1.064937 1.064937 1.118448 1.181688
.269010
1.403494 1.580000 1.704686 2.389838 2.785046 2.900106 3.247598
.516981
4.034700 4.518747 5.345490 5.582097 5.844994 5.847374 5.568953
.073831
4.620000 4.375638 3.929473 3.680000 3.020169 2.559928 2.415404
.996521
6.062660 6.128798 6.018568 5.974475 5.092634 5.731969
.172890
5.842199 6.084706 4.431253 0.705473 0.551151 4.078516 4.894220 0.352737
0.242506
.231100
7.958619 8.267263 7.583836 6.944501 2.050281 6.283120 6.283120 6.591764
6.613811 2.821892 2.138465 1.278670 2.777800 1.631407 2.006189 1.609361
Файл содержит следующую информацию:
. Два числа: количество контактирующих деталей и
максимальный допустимый шаг сетки, мм.
. Количество опорных точек на контуре.
. Количество дополнительных узлов внутри контура - 0.
. Первый индекс сложности на контуре - 0.
. Второй индекс сложности сетки - 0.
. Абсциссы опорных точек контура, мм (со знаком минус
у первых абсцисс внутренних контуров).
. Ординаты опорных точек контура, мм.
. Абсциссы дополнительных узлов внутри контура.
. Ординаты дополнительных узлов внутри контура.
После запуска программы grid.exe, получаем конечно-элементную
сетку - файл 11.set. Контур лопатки представлен на рисунке 2.
Рисунок 2 - Конечно-элементная сетка
3. РАСЧЕТ ТЕМПЕРАТУРНОГО ПОЛЯ ЛОПАТКИ НА
БАЗОВОМ РЕЖИМЕ
Постановка задачи: рассчитать температурное поле лопатки на
базовом режиме.
Общие сведения Для определения напряженного состояния лопаток
в условиях неравномерного нагрева на этапах рабочего проектирования выполняют
детальный расчет температурных полей в поперечных сечениях лопатки на наиболее
опасном (обычно взлетном) режиме.
Ряд особенностей конвективного охлаждения лопаток, таких, как
малая толщина стенок (по сравнению с длиной пера), высокие значения
коэффициентов теплоотдачи от газа к лопатке и от нее к воздуху, позволяют во
многих случаях рассчитывать температурное поле, решая двухмерное и уравнение
стационарной теплопроводности.
где Т - температура в точке поперечного сечения с
координатами Х и У
λ - коэффициент
теплопроводности материала лопатки.
В качестве граничных условий для данного уравнения
используются: на наружном контуре сечения лопатки - температура газа и
коэффициенты теплоотдачи от газа, на внутренних контурах - температура воздуха
и коэффициенты теплоотдачи от лопатки к воздуху.
Для решения уравнения теплопроводности численными методами
необходимо создать в поперечном сечении лопатки достаточно густую сетку из
треугольных элементов (триангуляционную сетку). В настоящее время известно
большое количество алгоритмов и программ для автоматизированного построения
сеток и решения на них уравнения теплопроводности. В конструкторских бюро
авиационного двигателестроения наибольшее распространение получили программы,
разработанные в Центральном институте авиационного моторостроения.
В лопатках конвективно-заградительного охлаждения
температурное поле, особенно в районе перфорационных отверстий, трехмерно, что
существенно усложняет задачу расчета. Чтобы свести задачу к двухмерной,
проводят расчет осредненного в пределах шага перфорации температурного поля. С
этой целью каждый ряд перфорационных отверстий заменяют одним или несколькими
радиальными каналами прямоугольного сечения, центры которых равномерно
распределяют по проекции оси отверстия на расчетное сечение. Влияние
заменяющего канала на местное тепловое сопротивление передачи тепла
теплопроводностью будет приблизительно таким же, как и ряда перфорации, если
размеры канала в направлениях нормали к контуру, и параллельном ему, определены
по соотношениям:
где 
- толщина стенки лопатки;- диаметр отверстий перфорации;

- длина проекции канала на линии контура;- количество заменяющих
клапанов;-шаг перфорации.
Если длина
отрезка меньше ε -
минимального расстояния, воспринимаемого алгоритмом создания сетки как две
отдельные точки, то этот отрезок необходимо принять равным ε и рассчитать по данной формуле количество
заменяющих каналов.
Граничные условия
на контуре заменяющего канала задаются из условия эквивалентности теплоотдачи в
нем теплоотдаче в отверстиях перфорации. Эквивалентность будет достигнута, если
температуру воздуха в канале принять равной температуре воздуха в перфорации, а
коэффициенты теплоотдачи в канале 
и перфорации 
будут связаны соотношением:
где Δ
- дли на одного отверстия.
Введение
заменяющего канала позволяет использовать для расчета температурного поля
лопаток конвективно-заградительного охлаждения те же программы, что и для
лопаток коивективного охлаждения.
Расчет
температурного поля лопатки
Расчет
производится с использованием подмодуля «Температурное поле», который может
рассчитывать температурное поле в поперечном сечении турбиной лопатки с
конвективной и конвективно-заградительной системами охлаждения.
Информация о
результатах предшествующего проектирования поступает в подмодуль через
описанный ранее файл «Расчетная сетка» и создаваемый пользователем файл
исходных данных Условия теплообмена». Результаты расчетов с помощью файлов
«Листинг температурного поля» и «Температурное поле» документируются и передаются
для продолжения проектирования. Специальная программа «Изображение поля»
обеспечивает визуализацию результатов на экране. Создаем файл «Условия
теплообмена» (11.tem), который содержит описание распределений коэффициентов
теплоотдачи, температуры среды по контуру лопатки и зависимости коэффициента
теплопроводности материала от температуры. Для подготовки описания
коэффициентов теплоотдачи наружный и внутренний контуры, пользуясь изображением
сетки (рисунок 3), разбиваем на «отрезки теплоотдачи» двух видов, на которых
коэффициенты задаем в каждом узле и одним значением на всем отрезке. Также
составляем список отрезков, обозначая их номерами последних (наибольших)
входящих в них узлов, перечисляя их в порядке возрастания номеров. Перед
обозначением отрезка с заданием коэффициентов в узлах ставится знак
"-". Коэффициенты теплоотдачи на отрезках записываются в файл строкой
или столбцом при задании значений в узлах и только столбцом при задании одним
числом. Температуры записываются в файле в строку или в столбец, если задаются
в узлах, и только в столбец, если задаются одним числом на отрезке. Очередность
перечисления должна соответствовать порядку отрезков в «списке отрезков».
В результате
имеем файл со следующими исходными данными:
1
11
18 56 84 94 97
106 126 143 162 185
коэффициент
теплоотдачи на вх. кромке
коэффициент
теплоотдачи на ср. части спинки
коэффициент
теплоотдачи на вых. части спинки
коэффициент
теплоотдачи на вых. части корыта
коэффициент
теплоотдачи на ср. части корыта
коэффициент
теплоотдачи на вх. кромке
коэффициент
теплоотдачи в 1-м канале
коэффициент
теплоотдачи во 2-м канале
коэффициент
теплоотдачи в 3-м канале
коэффициент
теплоотдачи в 4-м канале
коэффициент
теплоотдачи в 5-м канале
2
185
греющая
температура
охлаждающая
температура
700 1000
Непосредственно
расчет производим, используя программу «Расчет температурного поля» grid2.ехе.
- основная программа подмодуля, осуществляющая решение уравнения
теплопроводности (стационарной и нестационарной) методом конечных элементов на
плоской триангуляционной сетке при задании на контуре граничных условий
третьего рода (коэффициентов теплоотдачи и температуры среды). После запуска
программа запрашивает имя файла с условием теплообмена (11.tm). Далее
запрашивается имя файла расчетной сетки (11.set). В результате расчета имеем
поле распределения температур, которое записывается в файл 11.tem (рисунок 3):
Рисунок 3- температурное поле лопатки на базовом режиме
4. РАСЧЁТ ПОЛЯ НАПРЯЖЕНИЕ ЛОПАТКИ НА БАЗОВОМ
РЕЖИМЕ
лопатка авиационный газотурбинный теплообмен
Постановка задачи - рассчитать поле напряжений лопатки на
базовом режиме.
Общие сведения
В пределах упругости материала напряжения от внешних сил и
неравномерного нагрева можно рассчитывать независимо.
Напряжения от действия центробежных сил в точке сечения
лопатки с координатами Х, Y относительно осей жесткости находится по формуле:

где N - центробежная сила, приложенная к сечению;(X,Y) -
модель упругости;- площадь сечения;(X,Y) - элементарная площадка;
Напряжения от изгиба газодинамическими и центробежными
силами:
где 
и 
- изгибающие моменты.
При выполнении машинных расчетов часто приходится приводить такие
моменты, действующие на лопатку в окружном направлении и в осевой плоскости, к
осям, используемым при проектировании лопатки. Для осей Х1 и Y1
формулы приведения имеют вид:
где 
- изгибающий момент в плоскости вращения;

- изгибающий момент в осевой плоскости;, Pu - интенсивности
газовых сил в окружном и осевом направлениях;п, R - радиусы периферийного и
расчётного сечений.
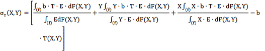
Температурные напряжения рассчитываются по формуле
Биргера-Малинина:
где b - коэффициент линейного расширения;(X,Y) - температура.
Как правило, второе и третье слагаемые в данной формуле
незначительны и, если принять модуль упругости постоянным по сечению, то она
переходит в удобную для предварительных расчетов формулу:
где 
- средняя температура сечения F
Суммарное напряжение в точке Х, У:
Значение напряжений позволяет определить запасы прочности, несущей
способности и другие характеристики напряженного состояния.
Расчёт поля напряжений лопатки
Для выполнения расчетов применяют модуль САПР «Термонапряженное
состояние».
Этот подмодуль рассчитывает поле напряжений, запасы прочности и
другие величины, F характеризующие плосконапряженное состояние, при длительном
воздействии центробежных сил, изгибающих моментов и неравномерного нагрева.
Информация о результатах предшествующего проектирования передается в модуль
через файл исходных данных «Внешние нагрузки» и описанные раннее файлы
межпрограммного обмена «Температурное поле» и «Расчетная сетка». Результаты
проектирования с помощью файла «Листинг напряженного состояния» могут
документироваться в печатной форме, а с помощью файла «Напряженное состояние»
воспринимается другими программами, в частности программой визуализации «
Изображение поля».
В первую очередь создается файл «Внешние нагрузки» «setax.dat»,
который содержит следующую информацию (построчно):
- Число -1;
- Имя файла со свойствами материала (для
сплава ЖС-6 - gs32.dat);
- Три числа, задающих вид расчета
- 0 0 0 - упругопластический на
кратковременную прочность;
- 1 1 1 - упругопластический на длительную
прочность с учетом ползучести
- Три числа: центробежная сила (Н),
изгибающий момент Му (Н·м), изгибающий момент Му (Н·м);
- Время работы деталей в часах (при расчете
на кратковременную прочность может не задаваться);
- Повторение п.5.
Исходные данные для данного расчета приведены в таблице 3.
Таблица 3
|
4.set -1
gs6.dat 1 1 1 1460 22.8 26.4 1500 1500
|
Сетка МКЭ
Материал Тип расчёта (упругий, без учёта ползучести) Нагрузки 2*N кг, 2*Мха
г*см, 2*Мук г*см Продолжительность работы, час Продолжительность работы, час
|
Программа «Расчет напряженного состояния» gridЗ.ехе -
основная программа подмодуля, осуществляет расчет поля напряжений, запасов
прочности и других величин, характеризующих плосконапряженное состояние при
длительном воздействии центробежных сил, изгибающих моментов и неравномерного
нагрева. Расчет напряжений от действия центробежных и газодинамических сил
ведется по формулам 1.1 и 1.2, температурных - по формуле Биргера-Малинина.
Входящие в нее поверхностные интегралы рассчитываются численно по
триангуляционной сетке. Программа запрашивает имя файла температурного поля
(4.tem) и файл записи - 4.sig.
Поле напряжений в лопатке на базовом режиме изображено на
рисунке 4.
Рисунок 4 - Поле напряжений в среднем сечении лопатки
5. ВЫБОР КРИТИЧЕСКОЙ ТОЧКИ ЛОПАТКИ И
ПРЕДВАРИТЕЛЬНАЯ ОЦЕНКА РЕСУРСА ЛОПАТКИ ПО КРИТЕРИЮ ДП
В результате расчёта поля напряжений лопатки на базовом
режиме получаем, что минимальный запас прочности без ползучести, равный 0,79
имеет точка 55 (таблица 4).
Таблица 4
|
Температура, °С
|
1010,9
|
|
Напряжение σ,
МПа
|
113,12
|
|
Запас прочности
без учёта ползучести n
|
1,42
|
|
Ресурс, ч
|
1500
|
6. РАСЧЁТ ТЕМПЕРАТУР И НАПРЯЖЕНИЙ В
КРИТИЧЕСКОЙ ТОЧКЕ ЛОПАТКИ НА ВСЕХ РЕЖИМАХ ОПЦ
Постановка задачи: необходимо рассчитать температуры и
напряжения в критической точке лопатки на всех режимах ОПЦ. Для двигателя Д436
ОПЦ состоит из четырёх ТПЦ. На рисунке 5 приведен ориентировочный ТПЦ/
Общие сведения
Расчёт напряжений и температур будем вести соответственно по
следующим формулам:

где 
- напряжение в критической точке лопатки на i-ом режиме ОПЦ;

= 113,12 МПа - напряжение в критической точке лопатки на базовом
режиме;i - величина средней интенсивности оборотов на i-ом режиме
ОПЦ;

- температура в критической точке лопатки на i-ом режиме ОПЦ;

= 1010,9 °С - температура в критической точке лопатки на базовом
режиме.
Для удобства и быстроты, расчёты проводим с помощью
программного продукта «Excel», а результаты представлены в виде таблицы 5.
Таблица 5
|
Режим
|
ВЗЛ
|
МП
|
0,4МП
|
ЗМГ
|
|
|
1
|
0,937
|
0,85
|
0,59
|
|
|
133,12
|
116,87
|
96,17
|
46,33
|
|
 , °С1010,9947,21859,26596,43
|
|
|
|
|
|
 , МПа190225275330
|
|
|
|
|
|
|
-
|
-
|
-
|
-
|
Рисунок 5 - Обобщённый полётный цикл двигателя Д436
7. ОЦЕНКА РЕСУРСОВ РАБОЧЕЙ ЛOПАТКИ ТУРБИНЫ
АВИАЦИОННОГО ГТД
Определяющими повреждающими факторами, которые приводят к выработке
ресурса деталей авиационных ГТД, являются:
. Длительное статическое нагружение при повышенных
температурах или длительная прочность (ДП).
. Повторно-статическое (циклическое) нагружение с
большим размахом деформаций малоцикловая усталость (МЦУ). Количественные
характеристики нагружения этими факторами вытекают из особенностей обобщенного
полетного цикла (ОПЦ), который задается для каждого конкретного ГТД,
устанавливаемого на конкретном летательном аппарате.
8.
РАСЧЕТ ПОВРЕЖДАЕМОСТИ ЛО ПАТКИ ЗА ОПЦ ПО ДЛИТЕЛЬНОЙ ПРОЧНОСТИ
Постановка задачи: необходимо рассчитать время до разрушения
лопатки на каждом из режимов, повреждаемость лопатки на этих режимах и
суммарную за ОПЦ по длительной прочности, изобразить кривые ДП.
Общие сведения
Детали узлов горячен части авиационного ГТД работают при
температурах 600-1000°С, при которых конструкционные материалы обнаруживают два
новых свойства - ползучесть и длительная прочность. Ползучестью называется
возрастание пластической (остаточной) деформации при постоянных нагрузках.
Длительной прочностью называется зависимость разрушающих напряжений (пределов
прочности) от длительной работы. Свойства ползучести и длительной прочности
проявляются у углеродистых сталей при Т>300 °С, для легированных сталей -
при T>350 °С, для алюминиевых сплавов - при 100 °С. Пределом длительной
прочности а называется напряжение, при котором материал при заданной
температуре Т разрушается не ранее заданного времени tp.
В основу определения количественных связей между пределом
длительной прочности материала σдл, температурой Т и
времени до разрушения tp положены экспериментальные данные испытаний образцов
материала при одноосном растяжении. При достаточном количестве
экспериментальных точек (σдл, T, tp) могут быть
построены кривые длительной прочности - кривые ДП. Кривые длительной прочности
обычно описываются следующими зависимостями:
которые в логарифмических координатах lgσдл, lgtр для различных температур Т выражаются
Прямыми линиями. Обычно имеют место перегибы для этих прямых, которые образуют
по два отрезка - для высоких и низких значений пределов длительной прочности.
Причем эти области отличаются даже характером разрушения материала. Из данных
уравнений можно получить величины предела прочности σдл (Т), если задать значения σ и t, и времени до
разрушения tp(σ,Т), если задать значения σ и Т.
Каждому из двух отрезков кривых длительной прочности при
определяющей температуре Т cоответствуют свои значения параметров m(Т), А(Т).
Особую роль выполняет параметр m(Т): во-первых, m(Т) вместе с А(Т) определяет
кривые длительной прочности;
во-вторых, т(Т) позволяет установить важную практическую
связь между запасами прочности по напряжениям n6(Т) и по долговечности nt(Т),
которая выражается зависимостью:
Для удобства введения в программы расчетов
напряженно-деформированного состояния (НДС) деталей авиадвигателей, а также для
восполнения недостатков в экспериментальных данных повсеместно используется
модель Ларсона-Миллера. Модель представляет собой зависимость lgσдл от так называемого параметра Ларсона-Миллера:
где С - постоянная величина, определяемая из эксперимента, а
размерности Т и tp принимаются в виде К и часах соответственно.
Из технической литературы известно, что для большинства
материалов 15<С<30. В частности материалов турбин и камер сгорания
авиационных ГТД принимаются С=20. Таким образом, модель Ларсона-Миллера имеет
вид:
Следует иметь ввиду, что с уверенностью модель может быть
использована только в экспериментально проведенном диапазоне σдл.T и tp. Лишь в отдельных случаях допускается экстраполяция по tp
на ±1 порядок. Из кривых длительной прочности можно определить параметры
модели, задав её для двух близкорасположенных точек σ1, t1 и σ2, t2 при
T=const:
Из этих уравнений можно найти m(T) и lgA(T) по следующим формулам:
Расчет повреждаемости лопатки за ОПЦ по ДП (Пt)
Выработка ресурса по ДП за ОПЦ, в котором имеются различные
установившиеся режимы работы двигателя, обычно осуществляется по формуле:
где 
- повреждаемость детали по ДП за ОПЦ;

- время работы на i-ом режиме;

- время до разрушения, соответствующее параметрам 
и Тi на i-ом режиме.
Величина tpi определяется по следующей модели,
которая определена на основе экспериментальных данных для материала ЖС-6:
lgσ = -2,0317·10-13·(Pл-м)3+8,0742·10-9·(Pл-м)2-9,8401·10-5·(Pл-м)+3,2775
Расчет ведем, используя программный пакет «Excel». Сначала,
задавая значения 1g(tp) от 1 до 4, определяем параметр
Ларсона-Миллера для каждого режима полетного цикла. Затем, подставляя
полученные значения параметра Ларсона-Миллера, рассчитываем величины lgσ по данной формуле. Кривая Ларсона-Миллерa представлена на рисунке
5.
Диаграмма Ларсона-Миллера
Рисунок 5 - Кривая Ларсона-Миллера для ЖС-6
После чего строим кривые длительной прочности, по кото ым ого
разрушения t для каждого из режимов. Кривые ДП рис. представлены на рисунке 6.
Рисунок 6 - Кривые ДП сплава ЖС-6
Время до разрушения определим из модели Ларсона-Миллера,
которую строим для материала ЖС-6 в большом диапазоне параметра
Ларсона-Миллера, но с маленьким шагом. Затем на кривой находим значения lgσ, соответствующие расчетным на этих режимах, и по обратной связи Pл-м
от lgσ определяем время до разрушения tp на этих режимах.
После этого, разделив время работы на i-ом режиме ti на время до
разрушения tpi на этом режиме, получим значения
повреждаемости.1опатки по длительной прочности на каждом режиме ОПЦ Пдп;
и за весь ОПЦ ПДП ОЦП. Результаты расчета заносим в таблицу 6.
Таблица 6
|
№
|
Режимы
|
Si
|
ti,Σ
|
Σi, МПа
|
Тлi
|
tpi
|
ПДПi
|
|
|
|
t
|
часы
|
|
|
часы
|
|
|
1
|
ВЗЛ
|
|
3
|
0,919
|
133,12
|
1010,9
|
3,4205Е+7
|
2,768Е-7
|
|
2
|
0,4МП
|
|
28
|
0,958
|
96,17
|
859,26
|
1422
|
9,524Е-6
|
|
3
|
МП
|
|
|
0,939
|
116,87
|
947,21
|
25485
|
7,936Е-6
|
|
4
|
ЗМГ
|
|
6
|
1,028
|
46,33
|
596,43
|
36654
|
6,054Е-5
|
Так как ПДПМП<<ПДПВЗЛ значением
повреждаемости на режиме малого газа пренебрегаем. В результате получаем
Пдп,опц= 3,16.10-5
Найдём параметры m(T) и lgA(T) модели ДП на взлётном (базовом
режиме) ОПЦ по формулам:
Откуда A(T)=2,69·1011.
9. РАСЧЁТ ПОВРЕЖДАЕМОСТИ ЛОПАТКИ (ПN)
ЗА ОПЦ ПО МАЛОЦИКЛОВОЙ УСТАЛОСТИ (МЦУ)
Постановка задачи: необходимо рассчитать количество циклов
одного j-ого вида за ОПЦ, количество циклов одного вида до разрушения,
соответствующее размаху деформаций Δεj
и другим
параметрам цикла j-ого вида, повреждаемость лопатки за ОПЦ по МЦУ.
Общие сведения
Выработка ресурса по МЦУ за ОПЦ, в котором имеются различные
циклы нагружения детали, обычно определяется по формуле:
где ПN - повреждаемость детали по МЦУ за ОПЦ;j
- количество циклов одного j-ого вида за ОПЦ;j - количество циклов
одного вида до разрушения, соответствующее размаху деформаций Δεj и другим параметрам цикла j-ого вида.
Количество циклов j-ого вида до разрушения приближенно
определяется из слудеющего универсального уравнения Менсона:
где 
-- повреждаемость детали по МЦУ за ОПЦ;

- предел временной прочтости материаоа;

- среднее напряжение цикла;(T) - модуль упругости материала.
Задавая значения 
и 
а также значения параметров 
, 
, E(T), зависящих от температуры Tj в критической точке, можно
определить количество циклов Npj до разрушения.
Величину 
размаха деформаций в критической точке детали обычно определят по
формуле:
где 
и 
- максимальное и минимальное напряжение в цикле;

и 
- соответствующие им значения модуля упругости материала.
Обычно уравнение Мэнсона решают методом последовательных
приближений.
Расчёт повреждаемости лопатки (ПN) за ОПЦ по
малоцикловой усталости (МЦУ)
Из анализа ОПЦ (рисунок 6) следует, что в нём четко
выделяется основной цикл 1 «режим 0 - взлётный - режим 0» и два подцикла 2.1
«МП - взлётный МП» и 2.2 «МП - 0,4МП - МП».
Основные параметры циклов представлены в таблице 9.
Таблица 9
|
|
ОПЦ
|
1-ой подцикл
|
2-ой подцикл
|
|
Режимы
|
|
|
|
|
|
σmax
|
МПа
|
82,50
|
82,50
|
66,83
|
|
Tmax
|
С
|
1010,9
|
1010,9
|
964
|
|
E(Tmax)
|
1011
Па
|
0,981
|
0,981
|
1,0328
|
|
σmin
|
МПа
|
-
|
46,33
|
46,33
|
|
Tmin
|
С
|
|
859,18
|
859,18
|
|
σ
|
1011
Па
|
|
|
|
|
Δε
|
|
0,006054
|
0,00956
|
0,00873
|
|
Ψ(Tmax)
|
|
0,26
|
0,26
|
0,27
|
|
Σ(Tmax)
|
МПа
|
592
|
592
|
699
|
Для начала, рассчитаем размахи деформации в соответствии с
формулой для основного цикла и двух подциклов по формулам:
Затем определяем количество основных циклов до разрушения Np
из уравнения Мэнсона, второе решается трижды для основного цикла и двух
подциклов. Решение данного уравнения ведём методом приближений:
1. Рассчитываем значение 
, представляющего собой левую часть уравнения Мэнсона.
. Определяем значения коэффициентов
и
Тогда правая часть уравнения Мэнсона примет вид:
3.
Задавая различные возрастающие значения Npj =10,1100.1000.10000. … рассчитываем
значения 
и разницы 
до достижения изменения её знака.
То значение Npj, при котором происходит смена знака
и будет искомым значением.
После этого, считаем повреждаемость ПN по МЦУ для
одного ОПЦ по следующей формуле:
Результаты расчётов заносим в таблицу 10.
Таблица 10
|
Режимы
|
ОПЦ
|
1-й подцикл
|
2-й подцикл
|
|
Np
|
2,768·107
|
4,08·107
|
1,42·107
|
|
0,0000005
|
0,00000025
|
5,61362·10-8
|
В результате получаем Пмцу, опц=8,03458·107
Расчеты были проведены с помощью программного пакеты «Excel»
10. ОЦЕНКИ РЕСУРСОВ РАБОЧЕЙ ЛОПАТКИ ПО ДП, МЦУ
И СУММАРНАЯ
Общие сведения
Выше было показано, что определяющим повреждающими факторами,
которые приводят к выработке ресурса рабочей лопатки турбины авиационного ГТД,
являются:
- длительное статическое нагружение при
повышенных температураз или длительная прочность (ДП);
- повторно-статические и циклические
нагружения с большим размахом деформаций - малоцикловая усталость(МЦУ).
Используя информацию о напряжениях 
температурах Ti в критической точке лопатки, параметрах
обобщённого полётного цикла (ОПЦ) летательного аппарата и моделях материала
лопатки выше были получены величины повреждаемости лопатки Пдп,опц и Пмцу,опц
за один ОПЦ по критериям ДП и МЦУ.
Тогда модели разрушения лопатки будут иметь вид:
по критерию ДП:
по критерию МЦУ:
где 
и 
- накопленные разрушающие повреждаемости, а N - количество
реализованных ОПЦ на момент разрушения.
Оценка ресурсов рабочей лопатки по ДП и МЦУ
Величины 
относят к некоторому эквивалентному установившемуся режиму, на
котором время работы равно tэкв, а время до разрушения - tpэкв.
Обычно в качестве такого режима вымарают максимальный режим работы двигателя.
Тогда:
где 
- запас долговечности по критерию ДП
Из формулы выше следует, что
Расчет ведем при помощи программного продукта «Ехсеl». Подставляя
различные значения N, считаем коэффициент запаса долговечностги по ДП 
)
Известно также, что запасы долговечности 
и прочности
связаны между собой соотношением:
значит, [
]=
где m(T)= 
Тогда следует, что

где m1 - показатель степени в модели LG материала детали типа:
Результаты расчетов представлены в таблице 11.
Таблица 11
|
П
|
lgN
|
n
|
N
|
|
ДП
|
1,10·10-4
|
3 3,2
|
9,088606
5,734522 2,863076 1,420426 0,908861 0,573452 0,444409 0,278306 0,090557
|
1000 1584,8931
3162,266 6208 10000 15848,46 19584,61 31644,884 100000
|
|
|
3,5 3,8
|
|
|
|
|
4 4,2
|
|
|
|
|
4,3 4,5
|
|
|
|
|
5
|
|
|
Как видно из расчетов, по критерию ДП количество
реализованных ОПЦ на момент разрушения составило Т = 2749 циклов = 13242 часа.
Величину Пмцу также относят к некоторому
количеству эквивалентных циклов Nэкв, число которых до разрушения по
критерию МЦУ равно Nр,экв. Выполнив преобразования, аналогичные
вьпцеприведенкым, можно получить следуюшие зависимости для определения запасов
долговечности nмцу,N, и прочности nмцу по критерию МЦУ:
Где m2 - показатель степени в модели МЦУ материала детали
типа:
Значение нормированного коэффициента запаса долговечности 
=10. Тогда
Расчет ведем при помощи программного продукта «Ехсе1». Подставляя
различные значения N, считаем коэффициент запаса долговечности по МЦУ 
(N). Результаты расчетов представлены в таблице 12.
Таблица 12
|
П
|
lgN
|
n
|
N
|
|
МЦУ
|
8,0232·10-7
|
5
|
12,45902
|
100000
|
|
|
5,02
|
11,88927
|
104725,8546
|
|
|
5,04
|
11,36245
|
109645,8195
|
|
|
5,06
|
10,85461
|
114765,6446
|
|
|
5,08
|
10,36425
|
120226,4123
|
|
|
5,1
|
9,854764
|
125892,5413
|
|
|
5,5
|
3,941564
|
316227,755
|
|
|
6
|
1,248129
|
1000000
|
|
|
6,5
|
0,396597
|
3162277,66
|
Как видно из расчётов, по критерию МЦУ количество
реазизованных ОПЦ на момент разрушения составило N=124590 циклов или 622952
час.
Приведенные выше зависимости запасом прочности 
, 
и 
, 
по критериям ДII и МЦУ, являются детерминированными показателями
безотказности детали по наработке. Наработка по МЦУ определяется текущим числом
ОПЦ - N, а по ДП [часах ОПЦ] tΣ=N·tопц. где tопц -
длительность ОПЦ. То есть, и для ДП наработка может выражаться числом ОПЦ - N,
(при известном tопц). После определения ресурса рабочей лопатки
турбины авиационного ГТД при полученном минимальном запасе прочности без учета
ползучести 
= l.3, найдем ресурс лопатки при 
, 
по критерию ДП.
Определяем величины нормированньпс запасов долговечности по
критерию ДП для 
1,1; 1,3; 1,5.
После чего на график детерминированной кривой безотказности по
критерию ДП наносим уровень значений нормированных запасов долговечности 
, 
и 
,а на график детерминированной кривой безотказности по критерию
МЦУ наносим 
=10. Результаты расчетов представлены в таблице 13 и на рисунках
9,10.
Таблица 13
|
nσ
|
nt
|
lgN
|
N
|
Ресурс
|
|
|
|
Кол-во циклов
|
Время, ч
|
|
1,1
|
1,5
|
3,78
|
5963
|
29814
|
|
1,3
|
3,2
|
3,45
|
2849
|
14243
|
|
1,5
|
6
|
3,18
|
1513
|
7565
|
|
10
|
5,1
|
124590
|
622951
|
Рисунок 7 - Кривая безотказности по наработке по ДП
Рисунок 8 - Кривая безотказности по наработке МЦУ
ВЫВОД
В ходе выполнения расчетной курсовой работы по дисциплине «
Термонапряженное состояние и идентификация тепловых режимов элементов тепловых
двигателей» был проведен расчет теплонапряженного состояния среднего сечения
рабочей лопатки авиационного ГТД. В результате чего было получены поля
температур и напряжений по среднему сечению лопатки, найдена критическая точка
- точка с минимальным запасом прочности (без учета ползучести); также был
проведен расчет коэффициента теплоотдачи с наружной стороны. Получили, ЧТО
лопатка удовлетворяет требованиям современной авиации и технологическим
возможностям производства. Целью второй части данной курсовой работы является
оценка ресурсов лопатки по критериям длительной прочности (ДП) и малоцикловой
усталости (МЦУ) (раздельно) на основании информации об обобщенном полетном
цикле (ОПЦ) двигателя ы полуденных в первой части работы результатов по
температурному и напряженному состоянию лопатки на базовом (взлетном) режиме.
Во второй части работы было найдено время до разрушения лопатка на каждом
режиме ОПЦ, т.е. ее повреждаемость на этих режимах и суммарная повреждаемость
лопатки за ОПЦ по критерию ДП. До этого были построены кривые ДП для всех
режимов ОПЦ н кривая Ларсона-Миллера для материала лопатки ЖС-32. Также был
проведен расчет количества циклов до разрушения лопатки на основном цикле и 2-х
подциклах ОПЦ, т.е. повреждаемость лопатки на этих циклах и ее повреждаемость
за ОПЦ по критерию МЦУ. Затем был определен ресурс лопатки при различных
значениях нормированных запасов прочности па критерию ДП 
= 1,1; 1,15; 1,2. Было получено, что при увеличении запаса
долговечности ресурс рабочей лопатки снижается, т.к. при уменьшении запаса
долговечности увеличивается число циклов ОПЦ. Все расчеты велись при помощи
программного продукта Excel и MathCAD, а все результаты расчета представлены в
виде таблиц, графиков и рисунков.
СПИСОК ЛИТЕРАТУРЫ
1. А.В. Олейник, С.Ю. Шарков, «Расчёт
теплового и термонапряжённого состояния охлаждаемых лопаток турбин», Харьков
«ХАИ», 1995 г.
. «Двигатели 1944-2000: авиационные,
ракетные, морские, промышленные двигатели», - Москва, «АКС-Конверсалт», 2000 г.
. Лабораторная работа №1. «Определение
пределов длительной прочтосни и высокотемпературных конструкционных
материалов». Кафедра 203, 2006 г.
. Лабораторная работа №2. «Расчёты
повреждаемостей рабочей лопатки турбины по критериям ДП и МУЦ за ОПЦ». Кафедра
203, 2006 г.
. Лабораторная работа №3.
«Детерминированные оценки безотказности работы и ресурса лопатки». Кафедра 203,
2006 г.
. Электронный конспект лекций по
дисциплине.