Прикладні задачі, які зводяться до розв'язання диференціальних рівнянь
План
Вступ
Розділ І. Задачі, які приводять до диференціальних рівнянь
Розділ ІІ. Диференційні рівняння в прикладних задачах
2.1 Методика складання диференціальних рівнянь
2.2 Схема складання диференціального рівняння
Розділ ІІІ. Прикладні задачі
Висновок
Список використаної літератури
Вступ
Під час розв'язування багатьох практичних задач
доводиться знаходити невідому функцію з рівняння, яке містить поряд з цією
невідомою функцією її похідні.
Рівняння, яке містить невідому функцію та її
похідні, називається диференціальним. Порядок найвищої
похідної, яка входить до диференціального рівняння, називається його порядком.
Наприклад, рівняння y''+ 4у = 0 є диференціальним рівнянням
другого порядку.
Якщо до рівняння входить незалежна змінна,
невідома функція і її похідна, то це рівняння називається диференціальним
рівнянням першого порядку. Якщо, крім того, в рівняння входить похідна другого
порядку від шуканої функції, то рівняння називається диференціальним рівнянням
другого порядку і т.д.
В даній роботі буде розглянуто прикладні задачі,
які зводяться до розв’язання диференціальних рівнянь, а також розглянута
методика та схема розв’язання диференціальних рівнянь.
Розділ
І. Задачі, які приводять до диференціальних рівнянь
Використання математичних моделей є одним з
найбільш ефективних методів вивчення різноманітних фізичних процесів і явищ.
Математичні моделі допомагають зрозуміти фізичний процес, дають можливість
установити якісні та кількісні характеристики його стану, з їх використанням
можна передбачити подальший розвиток процесу без натуральних експериментів,
проведення яких у багатьох випадках є надто дорогим або просто неможливим.
Вивчаючи фізичні явища, не завжди вдається
безпосередньо знайти закони або формули, які пов’язують між собою величини
фізичного процесу, але часто можна виявити певну функціональну залежність між
невідомими характеристиками процесу, швидкостями їх зміни й часом, тобто знайти
рівняння, які містять похідні невідомих характеристик процесу.
Розв’язування задачі дослідження певного фізичного
явища чи процесу можна розділити на два етапи:
. Складання диференціального рівняння, яке
при певних припущеннях описує сутність явища чи процесу.
2. Знаходження розв’язку диференціального
рівняння, тобто функціональної залежності між величинами, які характеризують
фізичне явище.
Для складання диференціальних рівнянь природничих
наук використовують фізичний зміст першої та другої похідних, а також додаткові
умови та закони, притаманні конкретній галузі науки, такі як-от:
- другий закон Ньютона (
, де т - маса тіла, а - прискорення
руху, 
- сума сил, що діють на тіло);
- закон всесвітнього тяжіння (
, де 
- маси двох тіл, r - відстань між ними);
- закон Кірхгофа (алгебрична сума
сил струмів, які протікають у певній точці електричного кола, дорівнює нулю);
- закон Фур’є (
, де 
- питомий потік теплоти,

- коефіцієнт теплопровідності середовища, 
- швидкість зміни температури Т);
- закон Ньютона про
охолодження тіла (швидкість охолодження тіла пропорційна різниці температур
тіла та середовища);
- закон розчинення
речовини (швидкість розчинення пропорційна наявній кількості нерозчиненої
речовини та різниці концентрацій насиченого розчину і розчину у певний момент
часу);
- закон Гука (сила
пружності пружини пропорційна її видовженню) тощо.
Питання про відповідність математичної моделі й
реального явища вивчається на основі аналізу результатів досліду та їх
порівняння з поведінкою розв’язку одержаного диференціального рівняння.
Зауважимо, що багато розділів фізики значною
мірою можна розглядати як різні розділи теорії диференціальних рівнянь. Перш за
все це виявляється в аналітичній механіці, яку багато вчених розглядають як
математичну дисципліну. Основним апаратом сучасної теоретичної фізики також є
диференціальні рівняння.
Розглянемо деякі прикладні задачі, які приводить
до диференціальних рівнянь.
Задача 1. Матеріальна точка Р
рухається по прямій, яку приймемо за вісь x, і в момент часу t
займає положення х (рис. 1.1). Відома швидкість руху v
(t). Знайти закон руху точки, тобто залежність х від t,

якщо відомо, що у момент часу 
точка Р займає положення 
.
Рис. 1.1
Розв’язання. З курсу математичного аналізу відомо, що
швидкість точки у момент часу t дорівнює похідній х' (t) (фізичний
зміст похідної), тобто
х' (і) = v (t). (1.1)
Співвідношення (1.1) є диференціальним рівнянням руху
точки Р і задає закон її руху в диференціальній формі. Інтегруючи
рівняння (1.1) , одержуємо:
де C - довільна стала (стала інтегрування).
За умовою задачі, x (t0) = x0. Підставляючи
в (1.2) x = x0 і t = 
, одержуємо, що C = x0.
Отже, шуканим розв’язком (рухом) є
Розглянемо задачу геометричного змісту.
Розв‘язання цієї задачі допоможе з‘ясувати зміст довільних сталих.
Задача 2. Знайти рівняння кривої,
що проходить через точку М (1;
), якщо кутовий коефіцієнт проведеної до нього дотичної
дорівнює 4x3.
Розв‘язання. У цій задачі треба знайти
формулу, що задає функцію F, похідною якої є функція f (x) = 4x3,
тобто треба знайти первісну функції y=4x3. Крім того, відомо,
що графік шуканої функції проходить через задану точку М (1;2). Множина
первісних всіх функцій для функції y=4x3 має вигляд F (x)
= x4+С, де С - довільна стала. Щоб виділити з цієї
множини первісну, графік якої проходить через точку М (1;2),
враховується, що коли x=1, значення функції F (1) має дорівнювати
2. Підставляючи у рівність F (x) = x4+С замість x число
1, а замість F (x) - число 2, дістанемо 2 = 1 + С, звідки С=1.
Підставляючи значення С в ту саму рівність дістанемо, що F (x) =
x4+1 - шукане рівняння кривої, яка проходить через точку М
(1;2).Отже визначені довільні сталі значно звужують множину розв‘язків і
допомагають знайти один - потрібний для даної задачі.
Загальним розв'язком даного диференціального
рівняння називається розв'язок (якщо він існує), у якого число довільних сталих
дорівнює порядкові рівняння.
Розв'язок диференціального рівняння при певних,
значеннях довільних сталих називається окремим розв'язком цього
диференціального рівняння.
Так, у розглянутому вище прикладі у" +
у = 0 розв'язок у = A sin x + В cos x є загальним,
а розв'язок у=cos x - окремим.
На практиці здебільшого окремий розв'язок
конкретного диференціального рівняння знаходять із загального розв'язку,
виходячи з деяких умов, яким має задовольняти шуканий окремий розв'язок. Умови,
яким має задовольняти окремий розв'язок даного диференціального рівняння,
називають початковими умовами.
Задача відшукання конкретного окремого розв'язку
даного диференціального рівняння за початковими умовами називається, задачею
Коші.
Приклади. Знайти окремий розв'язок
диференціального рівняння
уy'+2х=0. (1)
яке задовольняє початковим умовам: у = 4, х
= 3, якщо загальний розв'язок даного рівняння задано у вигляді
х2 + у2 =а2
(2)
Розв'язання. Підставивши в загальний
розв'язок (2) початкові умови, дістанемо значення довільної сталої 32
+ 42 = a2, звідси а = ±5. Отже, шуканий
окремий розв'язок диференціального рівняння (1) для заданих початкових
умов є функція у, задана рівнянням х2 + у2
=25.
Дамо геометричну інтерпретацію розв'язку рівняння
(1).
Оскільки кожний окремий розв'язок даного рівняння
е деякою функцією однієї змінної, то в прямокутній системі координат на площині
цьому розв'язку відповідає деяка лінія. Ця лінія називається інтегральною
кривою даного диференціального рівняння. Загальному розв'язку
диференціального рівняння відповідає множина всіх інтегральних кривих цього
рівняння, яка називається сім'єю інтегральних кривих диференціального
рівняння.
Ми встановили, що окремим розв'язком рівняння уу'
+ 2х=0 при початкових умовах х=3 і у =4 є крива х2
+ у2 = 25, а загальним розв'язком x2 + y2
= а2.
У системі координат на площині загальний
розв'язок задає множину концентричних кіл з центром у початку координат.
Початкові умови означають, що серед цієї множини кіл треба взяти те, яке
проходить через точку з координатами х = 3, у = 4. Це коло
радіуса 5, тобто x2 + у2 = 25.
Багато фізичних законів мають вигляд
диференціальних рівнянь. Інтегрування цих рівнянь - складна справа. Одні
диференціальні рівняння вдається розв'язати в явному вигляді, тобто записати
шукану функцію у вигляді формули. Для інших ще й досі не знайдено зручних
формул. У цих випадках знаходять наближені розв'язки за допомогою ЕОМ.
Диференціальні рівняння досить просто і повно описують виробничі процеси. Тому
важливо не лише вміти їх розв'язувати, а й складати.
Розділ
ІІ. Диференційні рівняння в прикладних задачах
2.1
Методика складання диференціальних рівнянь
Складання
диференціального рівняння по умові завдання (механічною, фізичною, хімічною,
технічною або будь-який інший) полягає зазвичай у визначенні математичної
залежності між змінними величинами і їх приростами, які відразу ж замінюються
відповідними диференціалами.
У ряді випадків
диференціальне рівняння виходить без розгляду приросту - за рахунок їх
попереднього обліку.
Так, представляючи швидкість виразом
ми не використовуємо приростів 
хоча вони фактично враховані внаслідок того, що
Прискорення у будь-який момент часу t виражається
залежністю
Вивчення будь-якого процесу зводиться до визначення його
окремих моментів і встановлення загального закону його течії.
Окремий момент процесу (елементарний процес) виражається
диференціальним рівнянням, що зв'язує змінні величини процесу з їх
диференціалами або похідними; закон загального перебігу процесу, що отримується
після інтеграції, виражається рівнянням, що зв'язує змінні величини процесу.
Вичерпних правил для складання диференціальних рівнянь
немає.
1) докладний розбір
умов завдання і складання креслення, що пояснює її суть;
) складання диференціального
рівняння даного процесу;
) інтеграція цього
рівняння і визначення його загального рішення;
) визначення часткового
рішення задачі на підставі даних початкових умов;
) визначення в міру
необхідності допоміжних параметрів (наприклад, коефіцієнта пропорційності і
т.д.) з використанням для цієї мети додаткових умов завдання;
) виведення загального
закону даного процесу і числове визначення шуканих величин;
) аналіз відповіді і
перевірка початкового положення завдання.
Деякі з цих рекомендацій
залежно від характеру завдання можуть і не використовуватися.
Як і при складанні
алгебраїчних рівнянь, при вирішенні прикладних завдань за допомогою
диференціальних рівнянь багато що залежить від навиків, що набувають вправою.
Проте тут ще в більшому ступені потрібна винахідливість і глибоке розуміння
суті процесів, що вивчаються. Можна робити спрощуючі допущення, наприклад,
замінювати існуючий складний (криволінійний) елемент прикладного завдання
простішим (прямолінійним), нерівномірний рух матеріальної точки за малий
проміжок часу рівномірним, припускати швидкість протікання будь-якого процесу
за малий проміжок часу постійної.
Ідея заміни одних
нескінченно малих іншими вимагає обов'язкового дотримання еквівалентності
замінюючого і замінюваного нескінченно малих елементів. У математичній моделі
завдання треба враховувати тільки основні параметри.
2.2
Схема складання диференціального рівняння
Підготовчий етап
1. Встановлення в
результаті аналізу завдання аргументу (незалежної змінної) і шуканої функції.
. Дослідження наявності
конкретного сенсу у похідної шуканої функції.
. Пошук співвідношення
між диференціалами змінних, якщо похідна не має конкретного сенсу.
. Фіксація довільного
значення аргументу і відповідного йому значення функції, надання аргументу
приросту і визначення відповідного приросту функції.
Основний етап
1. Спроба знайти
співвідношення між приростом Δу функції і
приростом Δх її аргументу,
тобто вираз Δу у вигляді функції
Δх і х. Шукану функцію у можна також виразити
елементарним підсумовуванням її послідовних приростів на відрізку від а до х.
2. Введення (у разі
неможливості визначення співвідношення між Δх і Δу) умовного
елементу, замінюючи приріст Δу у шуканій
функції і що характеризується умовним приростом, який отримала б шукана функція
за наявності допущень, що спрощують характер її зміни і що не відбиваються на
точності результату. Цей елемент приймається як диференціал шуканої функції.
. Перевірка
коректності допущень, які у міру наближення Δх і Δу до нуля із
зростаючим ступенем точності наближалися б до повної істинності. Рівняння, що
зв'язує диференціали dy i dx повинні складатися на основі відомих
законів математики, фізики, хімії, механіки і так далі
. Встановлення
залежності між диференціалами шуканої функції dy і її аргументу dx
в загальному випадку у вигляді простого рівняння

(або диференціального рівняння вищого порядку) на основі
зроблених допущень, які дають можливість замінити нерівномірний процес
рівномірним, використовуючи загальнотеоретичні закони або співвідношення даної
прикладної області.
. Інтеграція отриманого диференціального рівняння завдання
і визначення шуканої функції з урахуванням початкових (і додаткових) умов.
. Дослідження отриманого закону завдання в граничних
випадках і вивчення характеру залежності рішення від параметрів.
Розділ
ІІІ. Прикладні задачі
Задача 1. Льотчик веде літак у напрямі до міста В,
розташованому на одній паралелі на захід від злітного майданчика. Знайти
рівняння траєкторії польоту літака, якщо його швидкість 
км/год і вітер дме з півдня із швидкістю 
км/год. Злітний майданчик знаходиться на відстані 
км від міста В.
мал. 4
Розв'язання. Нехай 
- положення літака у момент часу t (мал.4). Вектор, що
представляє його швидкість, має величину v і направлений до точки В.
Нехай 
- кут, утворений вектором з горизонталлю, що сполучає злітний
майданчик і місто В. Вектор швидкості вітру направлений на північ і має
величину w.
Тоді діагональ паралелограма, утвореного векторами 
і 
, представляє дійсний напрям вектора швидкості літака у момент t.
Діагональ повинна стосуватися траєкторії літака в точці М.
Отже, вона утворює нахил 
з шуканою кривою.
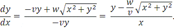
Тому завдання зводиться до визначення рівняння, яке виражає
похідну 
у вигляді функції х і у.
Відповідні складові швидкості літака в напрямках х і
у будуть
(6.1)
Тому дійсна швидкість літака в напрямку у з
урахуванням швидкості вітру
(6.2)
З мал. 4 очевидно, що
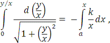
Підставляючи ці значення в перше рівняння (6.1) і в
рівняння (6.2), отримаємо
(6.3)
Ділення другого рівняння (6.3) на перше рівняння (6.1) дає
(6.4)
Нехай тепер
тобто k - коефіцієнт відношення швидкостей вітру і
літака. Отже, рівність (6.4) набуде вигляду
(6.5)
Рівняння (6.5) є однорідним рівнянням.
Перетворимо його до інтегрованого виразу
або
(6.6)
Початкові умови: при 
, 
, 
, 
.
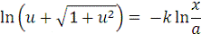
Інтегруючи рівняння (6.6), маємо
звідки
(6.7)
Нехай
(6.8)
Тоді рівність (6.7) приймає вигляд
або
звідки
або
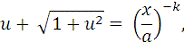
Звідси отримуємо, що
Повертаючись, згідно співвідношенню (8), до попередньої
змінної, маємо:
мал. 5
Підставляючи 
, остаточно отримуємо рівняння траєкторії
диференціальне рівняння прикладна задача
(6.9)
Досліджуємо залежність
розв’язку від параметрів.
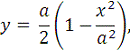
Випадок 1. Швидкість вітру w
рівна швидкості літака v. В цьому випадку розв’язок (6.9) ухвалює
вигляд
звідки
тобто рівняння траєкторії представляє параболу
(мал.5). Літак ніколи не досягне місця призначення.
Випадок 2. Швидкість вітру w більше швидкості
літака v. В цьому випадку 
, так що 
. Тому при 
величина
мал. 6
Отже, згідно рівності (6.9), при 
. Знову літак ніколи не досягне місця призначення. Траєкторія
показана на мал. 5 при 
.
Випадок 3. Швидкість вітру w менше швидкості
літака v. В цьому випадку
, так що 
. З рівняння (6.9) очевидно, що при х=0, y=0. Тому літак
досягне міста В. Приблизна траєкторія зображається на мал.5 при 
.
Задача 2. Льотчик веде літак, передня частина якого
направлена до міста N, розташованого на одній паралелі західніше
злітного майданчика на відстані а км. Знайти рівняння траєкторії
польоту, якщо вітер дме із швидкістю w в напрямку, створюючому кут 
з вертикаллю (мал. 6).
Розв'язання. Як видно з мал. 7, рівнодіюча дійсних
швидкостей вітру і літака в напрямках х і у набуде вигляду
(7.1)
мал. 7
Розділимо друге рівняння (7.1) на перше, внаслідок чого
отримаємо
(7.2)
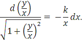
В рівнянні (7.2) виконуємо заміни:
У результаті отримуємо однорідне рівняння
(7.3)
в якому величини v, w cos а і w
sin а постійні. Рівняння (З) перетворимо за допомогою підстановки 
, 
, звідки
Виконуючи множення, подальше скорочення і приведення
подібних членів, маємо
звідки після ділення рівності на х отримуємо
(7.4)
Інтегруючи рівняння (7.4) і замість u підставляючи 
, приходимо до рівності
яке елементарними перетвореннями приводиться до вигляду
Після потенціювання загальний інтеграл рівняння прийме
вигляд
(7.5)
Початкова умова: при х=а, у=0. Звідси
або
Підставляючи знайдене значення C в рівняння (7.5),
після скорочення на 
i отримуємо шукане рівняння траєкторії польоту

.
Висновок
Вивчаючи фізичні явища, не завжди вдається
безпосередньо знайти закони або формули, які пов’язують між собою величини
фізичного процесу, але часто можна виявити певну функціональну залежність між
невідомими характеристиками процесу, швидкостями їх зміни й часом, тобто знайти
рівняння, які містять похідні невідомих характеристик процесу. Саме в такому
випадку стануть у пригоді диференціальні рівняння, бо склавши за умовою задачі
рівняння, ми можемо знайти розв’язок.
Метою даної роботи було дати означення
диференціальним рівнянням, показати та розв’язати задачі, які приводять до
диференціальних рівнянь. Також в курсовій роботі показана методика та схема
складання диференціальних рівнянь
Список
використаної літератури
1. Амелькин В.В.
Дифференциальные уравнения в приложэниях, М:, 1956.
2. Гутер Р.С., Янпольский
А.Р. Дифференциальные уравнения, 2-е издание, Минск, 1965.
3. Еругин Н.П. Книга для
чтения по общему курсу дифференциальных уравнений, Минск, 1972
4. Пономарев К.К.
Составление дифференциальных уравнений, Минск, 1973.
5. Самойленко А.М., Кривошея
С.А., Перестюк М.О., Дифференціальні рівняння в прикладах і задачах. К:, 2003.
6. Сикорский Ю.С.
Обыкновенные дифференциальные уравнения с приложэнием их к некоторым
техническим задачам. М:, 1965.
7. Боголюбов Н.Н., "О
некоторых статических методах в математической физике", Львов, 1945.